Optimizing Nitrate Fertilizer Production Using Plasma-Activated Water (PAW) Technology: An Analysis of Dielectric Properties
Abstract
1. Introduction
2. Material and Methods
2.1. Water Sample Preparation
2.2. Experimental Setup of a Nitrate Production System Using Plasma Technology
2.3. Measurement of Dielectric Properties
2.4. Statistical Analysis
3. Results and Discussion
3.1. Dielectric Properties Measurement Results of Test Time
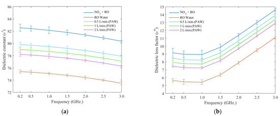
3.2. Dielectric Properties Measurement Results at Different Flow Rates
4. Conclusions
Author Contributions
Funding
Institutional Review Board Statement
Informed Consent Statement
Data Availability Statement
Acknowledgments
Conflicts of Interest
References
- Noulas, C.; Torabian, S.; Qin, R. Crop Nutrient Requirements and Advanced Fertilizer Management Strategies. Agronomy 2023, 13, 2017. [Google Scholar] [CrossRef]
 - Ayala, S.; Rao, E.P. Perspectives of Soil Fertility Management with a Focus on Fertilizer Use for Crop Productivity. Curr. Sci. 2002, 82, 797–807. [Google Scholar]
 - Singh, D.; Kumar, J.; Singh, G.; Kumar, A. Use of Ecofriendly Fertilizers and Crop Residues for Enhancing Crop Productivity and Sustainable Agriculture. In Handbook of Research on Green Technologies for Sustainable Management of Agricultural Resources; IGI Global: Hershey, PA, USA, 2022; pp. 156–179. [Google Scholar]
 - Narayanan, M.; Ma, Y. Recent Progress on Conservation and Restoration of Soil Fertility for Horticulture. Chemosphere 2024, 362, 142599. [Google Scholar] [CrossRef] [PubMed]
 - Pinto, A.P.; Faria, J.M.S.; Dordio, A.V.; Palace Carvalho, A.J. Organic Farming—A Sustainable Option to Reduce Soil Degradation. In Agroecological Approaches for Sustainable Soil Management; John Wiley & Sons Ltd.: Hoboken, NJ, USA, 2023; pp. 83–143. [Google Scholar] [CrossRef]
 - Cotrufo, M.F.; Lavallee, J.M. Soil Organic Matter Formation, Persistence, and Functioning: A Synthesis of Current Understanding to Inform Its Conservation and Regeneration. Adv. Agron. 2022, 172, 1–66. [Google Scholar]
 - Lal, R. Soil Organic Matter Content and Crop Yield. J. Soil Water Conserv. 2020, 75, 27A–32A. [Google Scholar] [CrossRef]
 - Tripathi, S.; Srivastava, P.; Devi, R.S.; Bhadouria, R. Influence of Synthetic Fertilizers and Pesticides on Soil Health and Soil Microbiology. In Agrochemicals Detection, Treatment and Remediation; Butterworth-Heinemann: Oxford, UK, 2020; pp. 25–54. [Google Scholar]
 - Pahalvi, H.N.; Rafiya, L.; Rashid, S.; Nisar, B.; Kamili, A.N. Chemical Fertilizers and Their Impact on Soil Health. In Microbiota and Biofertilizers: Ecofriendly Tools for Reclamation of Degraded Soil Environs; Springer: Cham, Switzerland, 2021; Volume 2, pp. 1–20. [Google Scholar]
 - Liu, L.; Zheng, X.; Wei, X.; Kai, Z.; Xu, Y. Excessive Application of Chemical Fertilizer and Organophosphorus Pesticides Induced Total Phosphorus Loss from Planting Causing Surface Water Eutrophication. Sci. Rep. 2021, 11, 23015. [Google Scholar] [CrossRef]
 - Ward, M.H.; Jones, R.R.; Brender, J.D.; De Kok, T.M.; Weyer, P.J.; Nolan, B.T.; Van Breda, S.G. Drinking water nitrate and human health: An updated review. Int. J. Environ. Res. Public Health 2018, 15, 1557. [Google Scholar] [CrossRef]
 - Grout, L.; Chambers, T.; Hales, S.; Prickett, M.; Baker, M.G.; Wilson, N. The potential human health hazard of nitrates in drinking water: A media discourse analysis in a high-income country. Environ. Health 2023, 22, 9. [Google Scholar] [CrossRef]
 - Ward, M.H.; De Kok, T.M.; Levallois, P.; Brender, J.; Gulis, G.; Nolan, B.T.; VanDerslice, J. Workgroup report: Drinking-water nitrate and health—Recent findings and research needs. Environ. Health Perspect. 2005, 113, 1607–1614. [Google Scholar] [CrossRef]
 - National Research Council. Nitrate and Nitrite in Drinking Water; National Academies Press: Washington, DC, USA, 1995. [Google Scholar]
 - Parvizishad, M.; Dalvand, A.; Mahvi, A.H.; Goodarzi, F. A review of adverse effects and benefits of nitrate and nitrite in drinking water and food on human health. Health Scope 2017, 6, e14164. [Google Scholar] [CrossRef]
 - Fan, A.M.; Steinberg, V.E. Health implications of nitrate and nitrite in drinking water: An update on methemoglobinemia occurrence and reproductive and developmental toxicity. Regul. Toxicol. Pharmacol. 1996, 23, 35–43. [Google Scholar] [CrossRef] [PubMed]
 - Verma, B.C.; Pramanik, P.; Bhaduri, D. Organic fertilizers for sustainable soil and environmental management. In Nutrient Dynamics for Sustainable Crop Production; Meena, R.S., Ed.; Springer: Singapore, 2020; pp. 289–313. [Google Scholar] [CrossRef]
 - Divya, S.; Rusyn, I.; Solorza-Feria, O.; Sathish-Kumar, K. Sustainable SMART fertilizers in agriculture systems: A review on fundamentals to in-field applications. Sci. Total Environ. 2023, 904, 166729. [Google Scholar]
 - Lam, S.K.; Wille, U.; Hu, H.W.; Caruso, F.; Mumford, K.; Liang, X.; Chen, D. Next-generation enhanced-efficiency fertilizers for sustained food security. Nat. Food 2022, 3, 575–580. [Google Scholar] [CrossRef]
 - Oyetunji, O.; Bolan, N.; Hancock, G. A comprehensive review on enhancing nutrient use efficiency and productivity of broadacre (arable) crops with the combined utilization of compost and fertilizers. J. Environ. Manag. 2022, 317, 115395. [Google Scholar] [CrossRef] [PubMed]
 - Sapkota, T.B.; Jat, M.L.; Rana, D.S.; Khatri-Chhetri, A.; Jat, H.S.; Bijarniya, D.; Majumdar, K. Crop nutrient management using Nutrient Expert improves yield, increases farmers’ income and reduces greenhouse gas emissions. Sci. Rep. 2021, 11, 1564. [Google Scholar] [CrossRef] [PubMed]
 - Meena, M.; Vishnuvardhan, R.K. A review on Integrated nutrient management for sustainable agriculture. Int. J. Anal. Exp. Modal Anal. 2021, 8, 541–551. [Google Scholar]
 - Batabyal, K. Nutrient management for improving crop, soil, and environmental quality. In Essential Plant Nutrients: Uptake, Use Efficiency, and Management; Springer International Publishing: Cham, Switzerland, 2017; pp. 445–464. [Google Scholar]
 - Lawrence, N.C.; Tenesaca, C.G.; VanLoocke, A.; Hall, S.J. Nitrous oxide emissions from agricultural soils challenge climate sustainability in the US Corn Belt. Proc. Natl. Acad. Sci. USA 2021, 118, e2112108118. [Google Scholar] [CrossRef]
 - Pan, S.Y.; He, K.H.; Lin, K.T.; Fan, C.; Chang, C.T. Addressing nitrogenous gases from croplands toward low-emission agriculture. npj Clim. Atmos. Sci. 2022, 5, 43. [Google Scholar] [CrossRef]
 - Chataut, G.; Bhatta, B.; Joshi, D.; Subedi, K.; Kafle, K. Greenhouse gases emission from agricultural soil: A review. J. Agric. Food Res. 2023, 11, 100533. [Google Scholar] [CrossRef]
 - Makowski, D. N2O increasing faster than expected. Nat. Clim. Chang. 2019, 9, 909–910. [Google Scholar] [CrossRef]
 - Qian, J.; Yan, W.; Zhang, W.; Zhang, J.; Wang, J.; Raghavan, V. Plasma-activated water: Perspective of the theoretical model, safety assessment and application in animal-derived products. Trends Food Sci. Technol. 2023, 143, 104282. [Google Scholar] [CrossRef]
 - Thirumdas, R.; Kothakota, A.; Annapure, U.; Siliveru, K.; Blundell, R.; Gatt, R.; Valdramidis, V.P. Plasma activated water (PAW): Chemistry, physico-chemical properties, applications in food and agriculture. Trends Food Sci. Technol. 2018, 77, 21–31. [Google Scholar] [CrossRef]
 - Mai-Prochnow, A.; Zhou, R.; Zhang, T.; Ostrikov, K.; Mugunthan, S.; Rice, S.A.; Cullen, P.J. Interactions of plasma-activated water with biofilms: Inactivation, dispersal effects and mechanisms of action. npj Biofilms Microbiomes 2021, 7, 11. [Google Scholar] [CrossRef] [PubMed]
 - Gao, Y.; Francis, K.; Zhang, X. Review on formation of cold plasma activated water (PAW) and the applications in food and agriculture. Food Res. Int. 2022, 157, 111246. [Google Scholar] [CrossRef] [PubMed]
 - Li, S.; Jiang, S.; Jia, W.; Guo, T.; Wang, F.; Li, J.; Yao, Z. Natural antimicrobials from plants: Recent advances and future prospects. Food Chem. 2023, 432, 137231. [Google Scholar] [CrossRef]
 - Wang, Q.; Salvi, D. Recent progress in the application of plasma-activated water (PAW) for food decontamination. Curr. Opin. Food Sci. 2021, 42, 51–60. [Google Scholar] [CrossRef]
 - Batiha, G.E.S.; Hussein, D.E.; Algammal, A.M.; George, T.T.; Jeandet, P.; Al-Snafi, A.E.; Cruz-Martins, N. Application of natural antimicrobials in food preservation: Recent views. Food Control 2021, 126, 108066. [Google Scholar] [CrossRef]
 - Rahman, M.; Hasan, M.S.; Islam, R.; Rana, R.; Sayem, A.S.M.; Sad, M.A.A.; Sunny, A.R. Plasma-activated water for food safety and quality: A review of recent developments. Int. J. Environ. Res. Public Health 2022, 19, 6630. [Google Scholar] [CrossRef]
 - De Jorge, B.C.; Gross, J. Smart Nanotextiles for Application in Sustainable Agriculture. In Nanosensors and Nanodevices for Smart Multifunctional Textiles; Elsevier: Amsterdam, The Netherlands, 2021; pp. 203–227. [Google Scholar]
 - Swify, S.; Mažeika, R.; Baltrusaitis, J.; Drapanauskaitė, D.; Barčauskaitė, K. Modified Urea Fertilizers and Their Effects on Improving Nitrogen Use Efficiency (NUE). Sustainability 2023, 16, 188. [Google Scholar] [CrossRef]
 - Gür, T.M. Carbon Dioxide Emissions, Capture, Storage and Utilization: Review of Materials, Processes and Technologies. Prog. Energy Combust. Sci. 2022, 89, 100965. [Google Scholar] [CrossRef]
 - Liao, X.; Liu, D.; Xiang, Q.; Ahn, J.; Chen, S.; Ye, X.; Ding, T. Inactivation Mechanisms of Non-Thermal Plasma on Microbes: A Review. Food Control 2017, 75, 83–91. [Google Scholar] [CrossRef]
 - Zhou, R.; Wang, P.; Xian, Y.; Mai-Prochnow, A.; Lu, X.; Bazaka, K. Plasma-Activated Water: Generation, Origin of Reactive Species and Biological Applications. J. Phys. D Appl. Physics. 2020, 53, 303001. [Google Scholar] [CrossRef]
 - Wong, K.S.; Chew, N.S.; Low, M.; Tan, M.K. Plasma-Activated Water: Physicochemical Properties, Generation Techniques, and Applications. Processes 2023, 11, 2213. [Google Scholar] [CrossRef]
 - Oliveira, M.; Fernández-Gómez, P.; Álvarez-Ordóñez, A.; Prieto, M.; López, M. Plasma-Activated Water: A Cutting-Edge Technology Driving Innovation in the Food Industry. Food Res. Int. 2022, 156, 111368. [Google Scholar] [CrossRef]
 - Stoleru, V.; Burlica, R.; Mihalache, G.; Dirlau, D.; Padureanu, S.; Teliban, G.C.; Patras, A. Plant Growth Promotion Effect of Plasma-Activated Water on Lactuca sativa L. Cultivated in Two Different Volumes of Substrate. Sci. Rep. 2020, 10, 20920. [Google Scholar] [CrossRef]
 - Misra, N.N.; Tiwari, B.K.; Raghavarao, K.S.M.S.; Cullen, P.J. Nonthermal Plasma Inactivation of Food-Borne Pathogens. Food Eng. Rev. 2011, 3, 159–170. [Google Scholar] [CrossRef]
 - Gorbanev, Y.; Privat-Maldonado, A.; Bogaerts, A. Analysis of Short-Lived Reactive Species in Plasma–Air–Water Systems: The Dos and The Do Nots. J. Phys. D Appl. Phys. 2018, 51, 423001. [Google Scholar] [CrossRef] [PubMed]
 - Khlyustova, A.; Labay, C.; Machala, Z.; Ginebra, M.P.; Canal, C. Important Parameters in Plasma Jets for the Production of RONS in Liquids for Plasma Medicine: A Brief Review. Front. Chem. Sci. Eng. 2019, 13, 238–252. [Google Scholar] [CrossRef]
 - Bruggeman, P.J.; Kushner, M.J.; Locke, B.R.; Gardeniers, J.G.; Graham, W.; Graves, D.B.; Zvereva, G. Plasma–Liquid Interactions: A Review and Roadmap. Plasma Sources Sci. Technol. 2016, 25, 053002. [Google Scholar] [CrossRef]
 - Zhao, Y.M.; Patange, A.; Sun, D.W.; Tiwari, B. Plasma-Activated Water: Physicochemical Properties, Microbial Inactivation Mechanisms, Factors Influencing Antimicrobial Effectiveness, and Applications in the Food Industry. Compr. Rev. Food Sci. Food Saf. 2020, 19, 3951–3979. [Google Scholar] [CrossRef]
 - Than, H.A.Q.; Pham, T.H.; Nguyen, D.K.V.; Pham, T.H.; Khacef, A. Non-Thermal Plasma-Activated Water for Increasing Germination and Plant Growth of Lactuca sativa L. Plasma Chem. Plasma Process. 2022, 42, 73–89. [Google Scholar] [CrossRef]
 - Hoek, E.M.; Weigand, T.M.; Edalat, A. Reverse Osmosis Membrane Biofouling: Causes, Consequences and Countermeasures. npj Clean Water 2022, 5, 45. [Google Scholar] [CrossRef]
 - Croen, L.A.; Todoroff, K.; Shaw, G.M. Maternal Exposure to Nitrate from Drinking Water and Diet and Risk for Neural Tube Defects. Am. J. Epidemiol. 2001, 153, 325–331. [Google Scholar] [CrossRef] [PubMed]
 - Kapoor, A.; Viraraghavan, T. Nitrate Removal from Drinking Water. J. Environ. Eng. 1997, 123, 371–380. [Google Scholar] [CrossRef]
 - Topsakal, E.; Karacolak, T.; Moreland, E.C. Glucose-Dependent Dielectric Properties of Blood Plasma. In Proceedings of the 2011 XXXth URSI General Assembly and Scientific Symposium, Istanbul, Turkey, 13–20 August 2011; pp. 1–4. [Google Scholar]
 - Khlyustova, A.; Sirotkin, N.; Kraev, A.; Agafonov, A.; Titov, V. Effect of Metal Oxides Added onto Polyvinyl Alcohol via Pulsed Underwater Plasma on Their Thermal, Electrical and Dielectric Properties. J. Appl. Polym. Sci. 2021, 138, 51174. [Google Scholar] [CrossRef]
 - Abdelgwad, A.H.; Said, T.M. Design of Ground Penetrating Radar Antenna for Detecting Soil Contamination at L-Band Frequencies. Microw. Opt. Technol. Lett. 2017, 16, 853–866. [Google Scholar] [CrossRef]
 - Yodrot, T.; Santalunai, S.; Thongsopa, C.; Thosdeekoraphat, T.; Santalunai, N. Measurement of Dielectric Properties in Soil Contaminated by Biodiesel-Diesel Blends Based on Radio Frequency Heating. Appl. Sci. 2023, 13, 1248. [Google Scholar] [CrossRef]
 - Sutacha, C.; Santalunai, S.; Thongsopa, C.; Thosdeekoraphat, T.; Penkhrue, W. Inactivation of Contaminated Fungi in Rice Grains by Dielectric Heating. Appl. Sci. 2022, 12, 10478. [Google Scholar] [CrossRef]
 - Kornsing, S.; Santalunai, S.; Thosdeekoraphat, T.; Thongsopa, C. Dielectric Property Measurement of Freshwater Fishes and Parasite Affecting Infection Opisthorchis Viverrini for Dielectric Heating Application. In Proceedings of the 2020 International Symposium on Electrical Insulating Materials (ISEIM), Tokyo, Japan, 13–17 September 2020; pp. 439–442. [Google Scholar]
 - Wasusathien, W.; Thongsopa, C.; Santalunai, S.; Thosdeekoraphat, T.; Santalunai, N. Measurement of Dielectric Properties in Mixtures of Various Rice Cultivars for Purpose of Detecting Contamination in Industry. Prz. Elektrotechniczny 2024, 2, 182–189. [Google Scholar] [CrossRef]
 - Ghazali, M.D.; Zainon, O.; Idris, K.M.; Zainon, S.N.A.; Karim, M.N.A.; Anshah, S.A.; Talib, N.F.A. The Assessment of Relative Permittivity on Diesel Vapour in the Moisture Content of Terap Red Soil by Ground Penetrating Radar. Air Soil Water Res. 2020, 13, 1–11. [Google Scholar] [CrossRef]
 - Kato, Y.; Kurita, T.; Abe, T. Dielectric Properties of Uranium and Plutonium Nitrate Solution and the Oxide Compounds Formed in the De-Nitration Process by the Microwave Heating Method. J. Nucl. Sci. Technol. 2004, 41, 857–862. [Google Scholar] [CrossRef]
 - Venkatesh, M.S.; Raghavan, G.S.V. An Overview of Dielectric Properties Measuring Techniques. Can. Biosyst. Eng. 2005, 47, 15–30. [Google Scholar]
 






| Flow Rate (L/min) | Frequency (GHz)  | NO3 + RO (10 g) | RO Water | Plasma-Activated Water (PAW) | |||||||
|---|---|---|---|---|---|---|---|---|---|---|---|
| 1 h | 2 h | 3 h | |||||||||
| ε′ (%Err.)  | ε″ (%Err.)  | ε′ (%Err.)  | ε″ (%Err.)  | ε′ (%Err.)  | ε″ (%Err.)  | ε′ (%Err.)  | ε″ (%Err.)  | ε′ (%Err.)  | ε″ (%Err.)  | ||
| 0.2 | 82.55 ± 0.58 | 9.19 ± 0.28 | 75.39 ± 0.24 | 6.49 ± 0.23 | 78.75 ± 0.37 | 7.03 ± 0.11 | 79.75 ± 0.26 | 7.53 ± 0.33 | 79.79 ± 0.41 | 5.64 ± 0.10 | |
| 0.5 | 82.41 ± 0.42 | 9.01 ± 0.32 | 75.30 ± 0.33 | 6.31 ± 0.32 | 78.54 ± 0.40 | 7.51 ± 0.13 | 79.54 ± 0.29 | 6.87 ± 0.34 | 79.70 ± 0.34 | 5.47 ± 0.18 | |
| 1.0 | 82.13 ± 0.53 | 8.96 ± 0.19 | 75.07 ± 0.29 | 6.26 ± 0.30 | 78.33 ± 0.27 | 6.05 ± 0.18 | 79.33 ± 0.41 | 6.55 ± 0.28 | 79.47 ± 0.28 | 5.42 ± 0.13 | |
| 0.5 | 1.5 | 81.78 ± 0.41 | 9.85 ± 0.19 | 74.78 ± 0.23 | 7.15 ± 0.22 | 77.73 ± 0.38 | 7.61 ± 0.14 | 78.88 ± 0.38 | 6.13 ± 0.38 | 79.18 ± 0.38 | 6.35 ± 0.15 | 
| 2.0 | 81.37 ± 0.23 | 11.39 ± 0.25 | 74.42 ± 0.19 | 8.69 ± 0.18 | 77.14 ± 0.23 | 9.85 ± 0.16 | 78.43 ± 0.25 | 7.68 ± 0.23 | 78.8 ± 0.23 | 7.89 ± 0.22 | |
| 2.5 | 80.89 ± 0.27 | 12.99 ± 0.17 | 73.99 ± 0.22 | 10.29 ± 0.21 | 76.84 ± 0.12 | 8.74 ± 0.23 | 77.98 ± 0.11 | 9.54 ± 0.31 | 78.39 ± 0.31 | 9.49 ± 0.16 | |
| 3.0 | 80.35 ± 0.14 | 14.59 ± 0.23 | 73.49 ± 0.11 | 11.89 ± 0.15 | 76.55 ± 0.18 | 12.30 ± 0.19 | 77.55 ± 0.16 | 12.80 ± 0.13 | 77.89 ± 0.13 | 11.09 ± 0.19 | |
| 0.2 | 82.55 ± 0.58 | 9.19 ± 0.28 | 75.39 ± 0.24 | 6.49 ± 0.23 | 77.99 ± 0.23 | 5.69 ± 0.22 | 78.49 ± 0.58 | 5.77 ± 0.28 | 78.99 ± 0.25 | 7.39 ± 0.23 | |
| 0.5 | 82.41 ± 0.42 | 9.01 ± 0.32 | 75.30 ± 0.33 | 6.31 ± 0.32 | 77.90 ± 0.32 | 5.51 ± 0.34 | 78.40 ± 0.42 | 5.59 ± 0.32 | 78.90 ± 0.34 | 7.33 ± 0.32 | |
| 1.0 | 82.13 ± 0.53 | 8.96 ± 0.19 | 75.07 ± 0.29 | 6.26 ± 0.30 | 77.67 ± 0.30 | 5.46 ± 0.28 | 78.17 ± 0.53 | 5.53 ± 0.19 | 78.67 ± 0.32 | 8.15 ± 0.30 | |
| 1.0 | 1.5 | 81.78 ± 0.41 | 9.85 ± 0.16 | 74.78 ± 0.23 | 7.15 ± 0.22 | 77.38 ± 0.22 | 6.35 ± 0.21 | 77.88 ± 0.41 | 6.35 ± 0.16 | 78.38 ± 0.24 | 9.69 ± 0.22 | 
| 2.0 | 81.37 ± 0.23 | 11.39 ± 0.25 | 74.42 ± 0.19 | 8.69 ± 0.18 | 77.02 ± 0.18 | 7.89 ± 0.17 | 77.52 ± 0.23 | 7.89 ± 0.25 | 78.02 ± 0.20 | 11.29 ± 0.18 | |
| 2.5 | 80.89 ± 0.27 | 12.99 ± 0.17 | 73.99 ± 0.22 | 10.29 ± 0.21 | 76.59 ± 0.21 | 9.49 ± 0.20 | 77.09 ± 0.27 | 9.49 ± 0.17 | 77.59 ± 0.23 | 12.89 ± 0.21 | |
| 3.0 | 80.35 ± 0.14 | 14.59 ± 0.23 | 73.49 ± 0.11 | 11.89 ± 0.15 | 76.09 ± 0.15 | 11.09 ± 0.14 | 76.59 ± 0.14 | 11.09 ± 0.23 | 77.09 ± 0.17 | 7.39 ± 0.15 | |
| 0.2 | 82.55 ± 0.58 | 9.19 ± 0.28 | 75.39 ± 0.24 | 6.49 ± 0.23 | 77.75 ± 0.31 | 6.53 ± 0.28 | 78.75 ± 0.29 | 7.03 ± 0.14 | 78.19 ± 0.34 | 7.44 ± 0.12 | |
| 0.5 | 82.41 ± 0.42 | 9.01 ± 0.32 | 75.30 ± 0.33 | 6.31 ± 0.32 | 77.54 ± 0.18 | 6.04 ± 0.19 | 78.43 ± 0.18 | 6.85 ± 0.25 | 78.10 ± 0.18 | 7.27 ± 0.20 | |
| 1.0 | 82.13 ± 0.53 | 8.96 ± 0.19 | 75.07 ± 0.29 | 6.26 ± 0.30 | 77.33 ± 0.15 | 5.55 ± 0.14 | 78.33 ± 0.27 | 6.05 ± 0.12 | 77.87 ± 0.31 | 7.22 ± 0.13 | |
| 2.0 | 1.5 | 81.78 ± 0.41 | 9.85 ± 0.16 | 74.78 ± 0.23 | 7.15 ± 0.22 | 76.89 ± 0.18 | 6.13 ± 0.17 | 77.87 ± 0.15 | 8.23 ± 0.16 | 77.58 ± 0.15 | 8.15 ± 0.16 | 
| 2.0 | 81.37 ± 0.23 | 11.39 ± 0.25 | 74.42 ± 0.19 | 8.69 ± 0.18 | 76.44 ± 0.34 | 7.12 ± 0.25 | 77.43 ± 0.19 | 8.89 ± 0.11 | 77.22 ± 0.18 | 9.69 ± 0.10 | |
| 2.5 | 80.89 ± 0.27 | 12.99 ± 0.17 | 73.99 ± 0.22 | 10.29 ± 0.21 | 75.99 ± 0.17 | 6.58 ± 0.18 | 77.15 ± 0.14 | 11.25 ± 0.15 | 76.79 ± 0.17 | 11.29 ± 0.14 | |
| 3.0 | 80.35 ± 0.14 | 14.59 ± 0.23 | 73.49 ± 0.11 | 11.89 ± 0.15 | 75.55 ± 0.11 | 11.80 ± 0.15 | 76.55 ± 0.09 | 12.30 ± 0.13 | 76.29 ± 0.11 | 12.89 ± 0.11 | |
| Ref. | Type | Power | Nitrate Concentration (ppm) | 
|---|---|---|---|
| [1] | Plasma Electrolysis | 700 W | 2213.5 | 
| [2] | Continuous Flow Liquid-Phase Plasma Discharge (CFLPPD) | 300 W | 73–136.2 | 
| [3] | Plasma-Activated Water (PAW) | 125 W | 2.9–3.8 | 
| [49] | Plasma-Activated Water (PAW) | 24 kV | 30–40 | 
| This work | Plasma-Activated Water (PAW) | 100 W | 235.2 | 
Disclaimer/Publisher’s Note: The statements, opinions and data contained in all publications are solely those of the individual author(s) and contributor(s) and not of MDPI and/or the editor(s). MDPI and/or the editor(s) disclaim responsibility for any injury to people or property resulting from any ideas, methods, instructions or products referred to in the content.  | 
© 2024 by the authors. Licensee MDPI, Basel, Switzerland. This article is an open access article distributed under the terms and conditions of the Creative Commons Attribution (CC BY) license (https://creativecommons.org/licenses/by/4.0/).
Share and Cite
Pakprom, J.; Santalunai, S.; Charoensiri, W.; Ramjanthuk, S.; Janpangngern, P.; Thongsopa, C.; Thosdeekoraphat, T.; Santalunai, N.; Santalunai, S. Optimizing Nitrate Fertilizer Production Using Plasma-Activated Water (PAW) Technology: An Analysis of Dielectric Properties. Appl. Sci. 2024, 14, 9997. https://doi.org/10.3390/app14219997
Pakprom J, Santalunai S, Charoensiri W, Ramjanthuk S, Janpangngern P, Thongsopa C, Thosdeekoraphat T, Santalunai N, Santalunai S. Optimizing Nitrate Fertilizer Production Using Plasma-Activated Water (PAW) Technology: An Analysis of Dielectric Properties. Applied Sciences. 2024; 14(21):9997. https://doi.org/10.3390/app14219997
Chicago/Turabian StylePakprom, Jariya, Samroeng Santalunai, Weerawat Charoensiri, Sukdinan Ramjanthuk, Pisit Janpangngern, Chanchai Thongsopa, Thanaset Thosdeekoraphat, Nuchanart Santalunai, and Samran Santalunai. 2024. "Optimizing Nitrate Fertilizer Production Using Plasma-Activated Water (PAW) Technology: An Analysis of Dielectric Properties" Applied Sciences 14, no. 21: 9997. https://doi.org/10.3390/app14219997
APA StylePakprom, J., Santalunai, S., Charoensiri, W., Ramjanthuk, S., Janpangngern, P., Thongsopa, C., Thosdeekoraphat, T., Santalunai, N., & Santalunai, S. (2024). Optimizing Nitrate Fertilizer Production Using Plasma-Activated Water (PAW) Technology: An Analysis of Dielectric Properties. Applied Sciences, 14(21), 9997. https://doi.org/10.3390/app14219997
        
