Parameter Identification Method of a Double-Layer Supercapacitor by Using a Real Voltage Source
Abstract
1. Introduction
2. Materials
2.1. Variable Capacitance Model
2.2. Test Bench
2.3. Electrical Analysis of an SC Connected to an RVS
3. Methods
3.1. Three-Point Method (3PM)
3.2. Least Squares Method (LSM) Using the External Voltage, uco(t)
- These methods can be used directly in those applications where the SC is to operate connected to an RVS or be discharged through a constant resistance, which makes it possible to estimate the parameters during normal operation of the SC.
- Only the cell terminal voltage, uco(t), needs to be measured. It is not necessary to obtain any other signal, such as the internal voltage or any of its derivatives, nor is it necessary to adjust those functions by means of polynomials or Taylor series, as is performed in other methods [30], which adds complexity and may cause additional errors.
- The three parameters (R, C0, and kc) can be obtained directly by both methods (3PM and LSM) in a single step. However, in other approaches, like the one proposed by Sergio M. Coca et al. [30], C0 and kc values must be obtained in the first stage using a discharge of SC with a high constant current. From this, in the second phase, the value of the resistance R.
- When an ideal constant current source is used, a high value of current is required to measure the voltage drop across the internal resistance, ΔV = R·I. For example, Faranda [28] used 33 A current source to estimate the parameters of a 600 F cell. It must be considered that the higher the capacitance of an SC, the lower its internal resistance R. Sergio M. Coca et al. [30] used 120 A discharge current in their method for a 3000 F cell. Using an RVS, if it has a very low internal resistance, Rc, which in these examples would be the sum of the resistance of the wires plus the limiting resistor, the voltage drop ΔV is obtained using a simple voltage divider, given by the Equation (17), which can be easily measured, even if the no-load voltage of the source, E, or the current injected at the moment of connection, i(t = 0), are low.
- The method can be used by discharging the SC directly on a constant resistor Rc, the SC being at an initial voltage U0, so that in the formulas shown, it would be sufficient to consider E = 0 V. In this case, the equipment needed to discharge the SC would be a simple low-value resistor, e.g., a piece of nichrome conductor. Its price would be considerably cheaper than that of a high current source or voltage source.
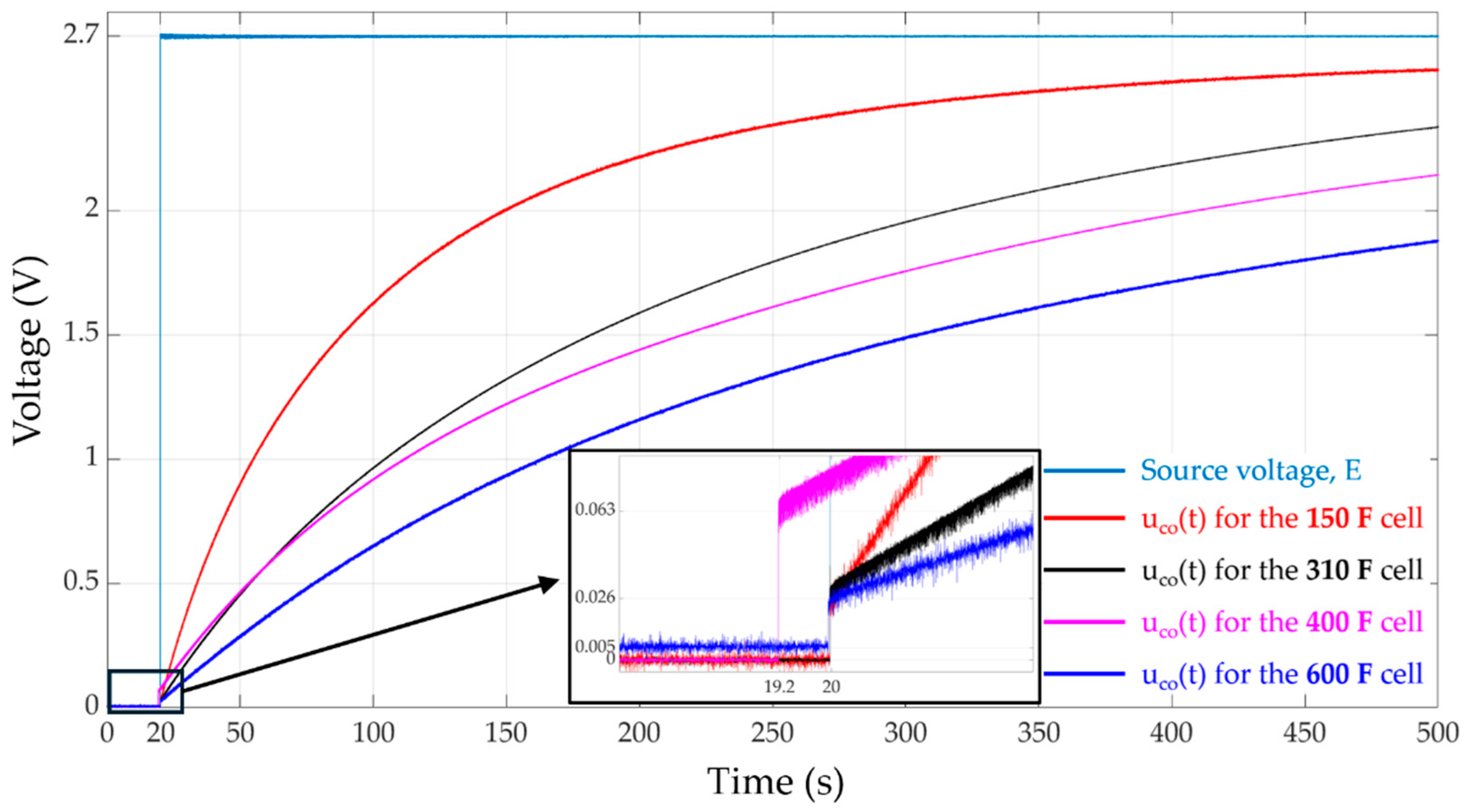
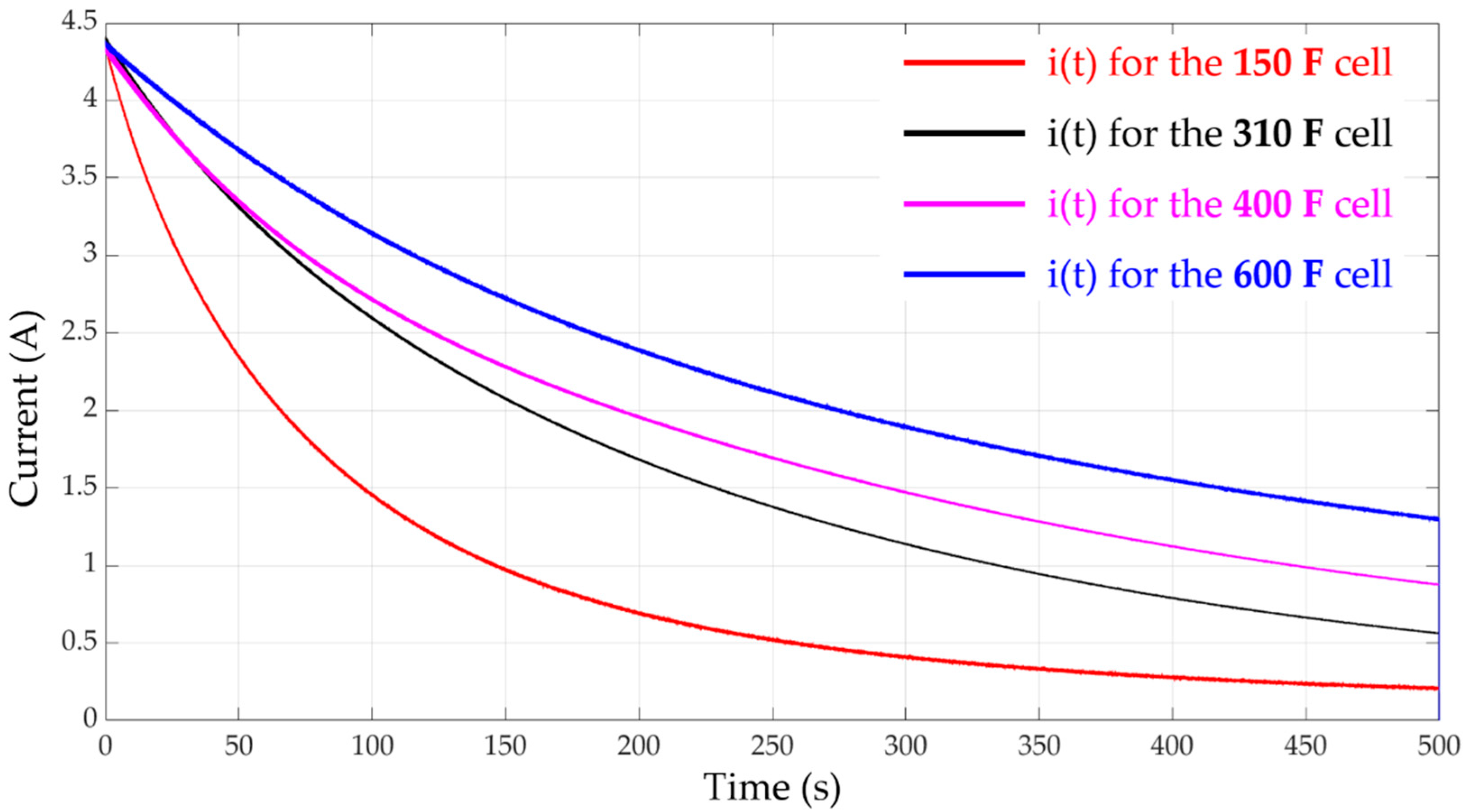
4. Results and Discussion
5. Conclusions
Author Contributions
Funding
Institutional Review Board Statement
Informed Consent Statement
Data Availability Statement
Conflicts of Interest
Abbreviations
| SC | Supercapacitor |
| C(u) | Variable capacitance [F] |
| C0 | Initial capacitance [F] |
| C1(u) | Variable part of C(u) [F] |
| CN | Rated capacitance [F] |
| R | Internal resistance of the SC [Ω] |
| Rwi | Electrical resistance of the wires [Ω] |
| UN | Rated voltage [V] |
| k0 | Normalized Initial Capacitance (dimensionless) |
| u(t) | Internal voltage of SC [V] |
| U0 | Initial internal voltage of SC [V] |
| uco(t) | External voltage of SC [V] |
| i(t) | Current [A] |
| RVS | Real constant voltage source |
| E | No-load voltage of the RVS [V] |
| Rc | Internal resistance of the RVS [Ω] |
| Rlim | Current-limiting resistor [Ω] |
| g(t) | Time function defined as u(t) − E [V] |
| km | Constant measured in [V−1] |
| kn | Constant measured in [s−1] |
| kp | Constant (dimensionless) |
| k1 | Constant measured in volts |
| k2 | Constant (dimensionless) |
| k3 | Constant measured in [V·s−1] |
| α | Constant measured in seconds |
| β | Constant measured in seconds |
| γ | Constant measured in [V·s−1] |
| εmin | Minimum error [mV] |
| εmean | Mean error [mV] |
| εmax | Maximum error [mV] |
| σ | Standard deviation [mV2] |
| R2 | Correlation coefficient of the fit |
| t | Time [s] |
| W0(x) | Main branch of the Lambert-W function |
References
- Vandeginste, V. A Review of Fabrication Technologies for Carbon Electrode-Based Micro-Supercapacitors. Appl. Sci. 2022, 12, 862. [Google Scholar] [CrossRef]
- Cabanas, M.F.; Duque, S.B.; González, J.D.; González, F.P.; Fernández, M.G. Preliminary Results of a Hybrid Thermoelectric Propulsion System for a Multirotor UAS with Active Rectifying, Electronic Throttle Control and Supercapacitors. Appl. Sci. 2021, 11, 7899. [Google Scholar] [CrossRef]
- Lampasi, A.; Testa, R.; Gudala, B.; Terlizzi, C.; Pipolo, S.; Tenconi, S. Optimization of DC Energy Storage in Tokamak Poloidal Coils. Appl. Sci. 2024, 14, 8975. [Google Scholar] [CrossRef]
- Burke, A.F.; Zhao, J. Development, Performance, and Vehicle Applications of High Energy Density Electrochemical Capacitors. Appl. Sci. 2022, 12, 1726. [Google Scholar] [CrossRef]
- Carretero, A.; Real, S.; Araujo, A. Autonomous Active Tag Using Energy Harvesting Strategies. Appl. Sci. 2020, 10, 5260. [Google Scholar] [CrossRef]
- Subasinghage, K.; Gunawardane, K. Supercapacitor-Assisted Energy Harvesting Systems. Energies 2024, 17, 3853. [Google Scholar] [CrossRef]
- Detka, K.; Górecki, K. Selected Technologies of Electrochemical Energy Storage—A Review. Energies 2023, 16, 5034. [Google Scholar] [CrossRef]
- Zhang, L.; Hu, X.; Wang, Z.; Sun, F.; Dorrell, D.G. A review of supercapacitor modeling, estimation, and applications: A control/management perspective. Renew. Sustain. Energy Rev. 2018, 81, 1868–1878. [Google Scholar] [CrossRef]
- Pedrayes, J.F.; Melero, M.G.; Cano, J.M.; Norniella, J.G.; Duque, S.B.; Rojas, C.H.; Orcajo, G.A. Lambert W function based closed-form expressions of supercapacitor electrical variables in constant power applications. Energy J. 2021, 218, 119364. [Google Scholar] [CrossRef]
- Marín-Coca, S.; Bifaretti, S.; Roibás-Millán, E.; Pindado, S. Mathematical modelling and performance analysis of supercapacitors with variable capacitance under constant power loads. In Proceedings of the 11th International Conference on Mathematical Modeling in Physical Sciences, Belgrade, Serbia, 5–8 September 2022; Volume 2872. [Google Scholar] [CrossRef]
- Naresh, P.; Kishore, N.S.V.; Sravan Kumar, V.S. Design of Ultracapacitor based Energy Storage System for Constant Current and Constant Power Applications. In Proceedings of the 2022 IEEE International Conference on Power Electronics, Drives and Energy Systems (PEDES), Jaipur, India, 14–17 December 2022; pp. 1–5. [Google Scholar] [CrossRef]
- Yang, H. Peukert’s Law for Supercapacitors with Constant Power Loads: Applicability and Application. IEEE Trans. Ind. Appl. 2019, 55, 4064–4072. [Google Scholar] [CrossRef]
- Pedrayes, J.F.; Melero, M.G.; Norniella, J.G.; Cano, J.M.; Cabanas, M.F.; Orcajo, G.A.; Rojas, C.H. A novel analytical solution for the calculation of temperature in supercapacitors operating at constant power. Energy J. 2019, 188, 116047. [Google Scholar] [CrossRef]
- Victor Voicu, I.; Bode, F.; Abboud, W.; Louahlia, H.; Gualous, H.; Sandu, M.; Nastase, I. Experimental and Numerical Study for a Novel Arrangement of a SuperCapacitors Stack to Improve Heat Transfer. Appl. Sci. 2022, 12, 662. [Google Scholar] [CrossRef]
- Pedrayes, J.F.; Melero, M.G.; Norniella, J.G.; Cabanas, M.F.; Orcajo, G.A.; González, A.S. Supercapacitors in Constant-Power Applications: Mathematical Analysis for the Calculation of Temperature. Appl. Sci. 2021, 11, 10153. [Google Scholar] [CrossRef]
- Pedrayes, J.F.; Quintana, M.F.; Orcajo, G.A.; Zaldivar, E.E.V.; Melero, M.G.; Cabanas, M.F. Thermal Analysis of a Fast Charger for Public Service Electric Vehicles Based on Supercapacitors. Batteries 2024, 10, 128. [Google Scholar] [CrossRef]
- Zhang, L.; Hu, X.; Wang, Z.; Sun, F.; Deng, J.; Dorrell, D.G. Multiobjective Optimal Sizing of Hybrid Energy Storage System for Electric Vehicles. Trans. Veh. Technol. 2018, 67, 1027–1035. [Google Scholar] [CrossRef]
- Bolonne, S.R.A.; Chandima, D.P. Sizing an Energy System for Hybrid Li-Ion Battery-Supercapacitor RTG Cranes Based on State Machine Energy Controller. IEEE Access 2019, 7, 71209–71220. [Google Scholar] [CrossRef]
- Pedrayes, J.F.; Melero, M.G.; Cano, J.M.; Norniella, J.G.; Orcajo, G.A.; Cabanas, M.F.; Rojas, C.H. Optimization of supercapacitor sizing for high-fluctuating power applications by means of an internal-voltage-based method. Energy J. 2019, 183, 504–513. [Google Scholar] [CrossRef]
- Luta, D.N.; Raji, A.K. Optimal sizing of hybrid fuel cell-supercapacitor storage system for off-grid renewable applications. Energy 2019, 166, 530–540. [Google Scholar] [CrossRef]
- Macias, A.; Kandidayeni, M.; Boulon, L.; Trovão, J.P. Fuel cell-supercapacitor topologies benchmark for a three-wheel electric vehicle powertrain. Energy 2021, 224, 120234. [Google Scholar] [CrossRef]
- Pedrayes, J.F.; Melero, M.G.; Cabanas, M.F.; Quintana, M.F.; Orcajo, G.A.; González, A.S. Sizing Methodology of a Fast Charger for Public Service Electric Vehicles Based on Supercapacitors. Appl. Sci. 2023, 13, 5398. [Google Scholar] [CrossRef]
- Yang, H.; Zhang, Y. Self-discharge analysis and characterization of supercapacitors for environmentally powered wireless sensor network applications. J. Power Sources 2011, 196, 8866–8873. [Google Scholar] [CrossRef]
- Zubieta, L.; Bonert, R. Characterization of double-layer capacitors for power electronics applications. Trans. Ind. Appl. 2000, 36, 199–205. [Google Scholar] [CrossRef]
- Devillers, N.; Jemei, S.; Péra, C.; Bienaimé, D.; Gustin, F. Review of characterization methods for supercapacitor modelling. J. Power Sources 2014, 246, 596–608. [Google Scholar] [CrossRef]
- Grbovic, P.J.; Delarue, P.; Le Moigne, P.; Bartholomeus, P. Modeling and Control of the Ultracapacitor-Based Regenerative Controlled Electric Drives. Trans. Ind. Electron. 2011, 58, 3471–3484. [Google Scholar] [CrossRef]
- Naseri, F.; Farjah, E.; Ghanbari, T.; Kazemi, Z.; Schaltz, E.; Schanen, J.-L. Online Parameter Estimation for Supercapacitor State-of-Energy and State-of-Health Determination in Vehicular Applications. Trans. Ind. Electron. 2020, 67, 7963–7972. [Google Scholar] [CrossRef]
- Faranda, R. A new parameters identification procedure for simplified double layer capacitor two-branch model. Electr. Power Syst. Res. 2010, 80, 363–371. [Google Scholar] [CrossRef]
- Nassef, A.M.; Fathy, A.; Rezk, H.; Yousri, D. Optimal parameter identification of supercapacitor model using bald eagle search optimization algorithm. J. Energy Storage 2022, 50, 104603. [Google Scholar] [CrossRef]
- Marín-Coca, S.; Ostadrahimi, A.; Bifaretti, S.; Roibás-Millán, E.; Pindado, S. New Parameter Identification Method for Supercapacitor Model. IEEE Access 2023, 11, 21771–21782. [Google Scholar] [CrossRef]
- Pedrayes, J.F.; Quintana, M.F.; Cabanas, M.F.; Melero, M.G.; Orcajo, G.A.; González, A.S. Non-Linear Analytical Model for the Study of Double-Layer Supercapacitors in Different Industrial Uses. Appl. Sci. 2023, 13, 6714. [Google Scholar] [CrossRef]
- Staņa, Ģ.; Voitkāns, J.; Kroičs, K. Supercapacitor Constant-Current and Constant-Power Charging and Discharging Comparison under Equal Boundary Conditions for DC Microgrid Application. Energies 2023, 16, 4167. [Google Scholar] [CrossRef]
- Reema, N.; Jagadan, G.; Sasidharan, N.; Shreelakshmi, M.P. Comparative Analysis of CC–CV/CC Charging and Charge Redistribution in Supercapacitors. In Proceedings of the 31st Australasian Universities Power Engineering Conference (AUPEC), Perth, Australia, 26–30 September 2021; pp. 1–5. [Google Scholar]
- Li, H.; Zhang, X.; Peng, J.; He, J.; Huang, Z.; Wang, J. Cooperative CC–CV Charging of Supercapacitors Using Multicharger Systems. IEEE Trans. Ind. Electron. 2020, 67, 10497–10508. [Google Scholar] [CrossRef]
- Zhang, X.; Liao, Y.; Li, H.; Liu, Y.; Zhang, R.; Meng, Z.; Peng, J.; Huang, Z. Consensus Control for CC–CV Charging of Supercapacitors. In Proceedings of the IEEE Energy Conversion Congress and Exposition (ECCE), Baltimore, MD, USA, 29 September–3 October 2019; pp. 2015–2020. [Google Scholar]
- Ibrahim, T.; Stroe, D.; Kerekes, T.; Sera, D.; Spataru, S. An overview of supercapacitors for integrated PV—Energy storage panels. In Proceedings of the IEEE 19th International Power Electronics and Motion Control Conference (PEMC), Gliwice, Poland, 25–29 April 2021; pp. 828–835. [Google Scholar]
- Milan, S.; Vračar, J.; Vračar, L. Different Ways to Charging Supercapacitor in WSN Using Solar Cells. In Proceedings of the 7th International Conference on Electrical, Electronic and Computing Engineering, IcETRAN, Palembang, Indonesia, 6–9 June 2022; pp. 28–29. [Google Scholar]
- Sun, Y.; Yan, X. Recent advances in dual-functional devices integrating solar cells and supercapacitors. Sol. RRL 2017, 1, 1700002. [Google Scholar] [CrossRef]
- Fernando, J.; Kularatna, N.; Silva, S.; Thotabaddadurage, S.S. Supercapacitor assisted surge absorber technique: High performance transient surge protectors for consumer electronics. IEEE Power Electron. Mag. 2022, 9, 48–60. [Google Scholar] [CrossRef]
- Kularatna, N.; Subasinghage, K.; Gunawardane, K.; Jayananda, D.; Ariyarathna, T. Supercapacitor-Assisted Techniques and Supercapacitor-Assisted Loss Management Concept: New Design Approaches to Change the Roadmap of Power Conversion Systems. Electronics 2021, 10, 1697. [Google Scholar] [CrossRef]
- Kularatna, N.; Fernando, J.; Pandey, A. Surge endurance capability testing of supercapacitor families. In Proceedings of the IECON 2010—36th Annual Conference on IEEE Industrial Electronics Society, Glendale, AZ, USA, 7–10 November 2010; pp. 1858–1863. [Google Scholar]
- Silva Thotabaddadurage, S.U.; Kularatna, N.; Steyn-Ross, D.A. Optimization of Supercapacitor Assisted Surge Absorber (SCASA) Technique: A New Approach to Improve Surge Endurance Using Air-Gapped Ferrite Cores. Energies 2021, 14, 4337. [Google Scholar] [CrossRef]
- Kularatna, N.; Gattuso, A.; Gurusinghe, N.; Jayasuriya, T.; Toit, J.D. Pre-stored supercapacitor energy as a solution for burst energy requirements in domestic in-line fast water heating systems. In Proceedings of the IECON 2014—40th Annual Conference of the IEEE Industrial Electronics Society, Dallas, TX, USA, 29 October–1 November 2014; pp. 3163–3167. [Google Scholar]
- Gurusinghe, N.; Kularatna, N.; Charleston, S.A.; Fernando, J. System implementation aspects of supercapacitor based fast in-line water heating system. In Proceedings of the 2015 IEEE 24th International Symposium on Industrial Electronics (ISIE), Buzios, Brazil, 3–5 June 2015; pp. 1313–1317. [Google Scholar] [CrossRef]
- Chavan, D.S.; Gadhwal, B.S.; Sankpal, J.; Siddhharth; Sahil, V.; Singh, A.; Dalal, M.K.; Priyanka. Ice melting from wind turbine blades using resistive heating. In Proceedings of the 2017 International Conference on Energy, Communication, Data Analytics and Soft Computing (ICECDS), Chennai, India, 1–2 August 2017; pp. 865–869. [Google Scholar] [CrossRef]
- Grbovic, P.J. Ultra-Capacitors in Power Conversion Systems: Applications, Analysis, and Design from Theory to Practice; John Wiley & Sons: Hoboken, NJ, USA, 2013. [Google Scholar]
- Maxwell Technologies. 310 F Datasheet. Available online: https://www.mouser.com/datasheet/2/257/bcseries_ds_1017105-2539864.pdf (accessed on 30 September 2024).
- Maxwell Technologies. 150 F Datasheet. Available online: https://www.google.com.tw/url?sa=t&source=web&rct=j&opi=89978449&url=https://maxwell.com/wp-content/uploads/2021/08/3003112-EN.1_3V-150F-Datasheet.pdf&ved=2ahUKEwjN_M_ihraJAxXv1jQHHRhcKWoQFnoECBgQAQ&usg=AOvVaw0nMBzRmotK7PLqgYcyCxi9 (accessed on 30 September 2024).
- Şahin, M.E.; Blaabjerg, F.; Sangwongwanich, A. Modelling of supercapacitors based on simplified equivalent circuit. CPSS Trans. Power Electron. Appl. 2021, 6, 31–39. [Google Scholar] [CrossRef]
- Yasin, A.; Dhaouadi, R.; Mukhopadhyay, S. A Novel Supercapacitor Model Parameters Identification Method Using Metaheuristic Gradient-Based Optimization Algorithms. Energies 2024, 17, 1500. [Google Scholar] [CrossRef]
- Jannif, N.I.; Kumar, R.R.; Mohammadi, A.; Cirrincione, G.; Cirrincione, M. Constrained Least-Squares Parameter Estimation for a Double Layer Capacitor. Energies 2023, 16, 4160. [Google Scholar] [CrossRef]
- Corless, R.; Gonnet, G.H.; Hare, D.E.G.; Jeffrey, D.J.; Knuth, D.E. On the Lambert W function. Adv. Comput. Math. 1996, 5, 329–359. [Google Scholar] [CrossRef]
- Mezo, I. The Lambert W Function: Its Generalizations and Applications, 1st ed.; Taylor & Francis Group: Abingdon, UK, 2022. [Google Scholar] [CrossRef]
- Keithley Instruments, Inc. User’s Manual for Keithley Series 2400 SourceMeter®; Document Number: 2400S-900-01 Rev. K/September 2011; Keithley Instruments, Inc.: Cleveland, OH, USA, 2011. [Google Scholar]
- USB-6343 Specifications. Available online: https://www.ni.com/docs/en-US/bundle/usb-6343-specs/page/specs.html (accessed on 26 September 2024).
- IEC 62391-1; International Standard, (part one), Edition 3.0. Fixed Electric Double-Layer Capacitors for Use in Electric and Electronic Equipment. International Electrotechnical Commission (IEC): Geneva, Switzerland, October 2022.
- IEC 62391-2; International Standard, (part two), Edition 1.0b. Sectional Specfication—Electric Double Layer Capacitors for Power Application. International Electrotechnical Commission (IEC): Geneva, Switzerland, April 2006.










| CN [F] | Rw1 [mΩ] | Rw2 [mΩ] | Rw3 [mΩ] | Rw4 [mΩ] | U0 [mV] |
|---|---|---|---|---|---|
| 150 | 59.30 | 59.90 | 0 | 0 | 0 |
| 310 | 45.78 | 66.22 | 2.23 | 2.45 | 0 |
| 400 | 54.25 | 57.08 | 6.08 | 6.37 | 0 |
| 600 | 58.32 | 58.53 | 0 | 0 | 5 |
| Manufacturer | Cmin [F] | Ctypical [F] | Cmax [F] | Rtypical [mΩ] | Rmax [mΩ] | UN [V] |
|---|---|---|---|---|---|---|
| Maxwell Technologies, San Diego, CA, USA. | 150 | 165 | 180 | 4.0 | 6.5 | 3.0 |
| Maxwell Technologies, San Diego, CA, USA. | 310 | - | - | - | 2.2 | 2.7 |
| Eaton, Cleveland, OH, USA | 380 | 400 | 440 | - | 3.2 | 2.7 |
| DGH, Knowles Corporation, Itasca, IL, USA | 540 | 600 | 780 | - | 3.5 | 2.7 |
| CN [F] | Method | R0 [mΩ] | C0 [F] | kc [F/V] |
|---|---|---|---|---|
| 150 | 3PM | 4.268 | 101.575 | 21.323 |
| LSM | 4.195 | 101.343 | 21.476 | |
| 310 | 3PM | 1.498 | 263.974 | 36.390 |
| LSM | 1.714 | 262.158 | 38.376 | |
| 400 | 3PM | 2.173 | 269.304 | 65.425 |
| LSM | 1.458 | 268.362 | 65.017 | |
| 600 | 3PM | 4.231 | 456.807 | 43.882 |
| LSM | 4.712 | 460.918 | 36.840 |
| CN [F] | Method | CN-est [F] | k0 | τ [s] |
|---|---|---|---|---|
| 150 | 3PM | 165.544 | 0.613 | 88.89 |
| LSM | 165.771 | 0.611 | 88.92 | |
| 310 | 3PM | 362.228 | 0.729 | 206.76 |
| LSM | 365.773 | 0.717 | 208.14 | |
| 400 | 3PM | 445.953 | 0.604 | 248.61 |
| LSM | 443.909 | 0.604 | 247.23 | |
| 600 | 3PM | 575.288 | 0.794 | 336.23 |
| LSM | 560.387 | 0.822 | 330.36 |
| CN [F] | εmin [mV] | εmean [mV] | εmax [mV] | σ [mV2] | Correlation Coefficient, R2 |
|---|---|---|---|---|---|
| 150 | 2.572 × 10−6 | 1.565 | 14.515 | 2.045 | 0.999977 |
| 310 | 30.532 × 10−6 | 1.361 | 8.913 | 1.382 | 0.999955 |
| 400 | 1.392 × 10−6 | 2.108 | 11.184 | 3.217 | 0.999872 |
| 600 | 35.268 × 10−6 | 1.532 | 12.208 | 2.008 | 0.999866 |
Disclaimer/Publisher’s Note: The statements, opinions and data contained in all publications are solely those of the individual author(s) and contributor(s) and not of MDPI and/or the editor(s). MDPI and/or the editor(s) disclaim responsibility for any injury to people or property resulting from any ideas, methods, instructions or products referred to in the content. |
© 2024 by the authors. Licensee MDPI, Basel, Switzerland. This article is an open access article distributed under the terms and conditions of the Creative Commons Attribution (CC BY) license (https://creativecommons.org/licenses/by/4.0/).
Share and Cite
Pedrayes, J.F.; Zaldivar, E.E.; Quintana, M.F.; Orcajo, G.A.; Cabanas, M.F.; Viera, J.C. Parameter Identification Method of a Double-Layer Supercapacitor by Using a Real Voltage Source. Appl. Sci. 2024, 14, 9939. https://doi.org/10.3390/app14219939
Pedrayes JF, Zaldivar EE, Quintana MF, Orcajo GA, Cabanas MF, Viera JC. Parameter Identification Method of a Double-Layer Supercapacitor by Using a Real Voltage Source. Applied Sciences. 2024; 14(21):9939. https://doi.org/10.3390/app14219939
Chicago/Turabian StylePedrayes, Joaquín F., Enrique E. Zaldivar, María F. Quintana, Gonzalo A. Orcajo, Manés F. Cabanas, and Juan C. Viera. 2024. "Parameter Identification Method of a Double-Layer Supercapacitor by Using a Real Voltage Source" Applied Sciences 14, no. 21: 9939. https://doi.org/10.3390/app14219939
APA StylePedrayes, J. F., Zaldivar, E. E., Quintana, M. F., Orcajo, G. A., Cabanas, M. F., & Viera, J. C. (2024). Parameter Identification Method of a Double-Layer Supercapacitor by Using a Real Voltage Source. Applied Sciences, 14(21), 9939. https://doi.org/10.3390/app14219939

