Analysing Virtual Labs Through Integrated Multi-Channel Eye-Tracking Technology: A Proposal for an Explanatory Fit Model
Abstract
1. Introduction
1.1. Cognitive Load Definition and Measurement
1.2. Machine Learning Algorithms Used in the Interpretation of Cognitive Load
1.3. Proposed Models for Measuring Cognitive Load
2. Materials and Methods
2.1. Participants
2.2. Instruments
- (a)
- Tobii pro lab (Stockholm, Sweden) version 1.194 with 64 Hz.It is eye-tracking software that provides a visual user interface and dedicated soft-ware functions that support the researcher in all phases of an eye-tracking experiment, from test design and recording to analysis. An image of the device used is shown in Figure 1 below.
- (b)
- Laptop computer. Falkon i7. Screen 15.6”; processor Intel core I7-9750H; hard disk 512 Gb SSD; memory 16 Gb of RAM; Geforce RTX 2070 MAX-Q GDDR6 8 GB; Windows 10 Professional; connections: HDMI/USB-C/USB 3.1/RJ45 × 1/HDMI × 1/3.5 mm Jack/USB-A 3.1 × 4/Thunderbolt × 1—Bluetooth/WiFi/Gigabit Ethernet. Display resolution of 1080 × 1920.
- (c)
- Shimmer3 GSR+ (galvanic skin response) (Europe Research Ltd., Dublin, Ireland) single-channel galvanic skin response data acquisition unit (measures electrodermal resistance (EDR)/electrodermal activity (EDA)). The GSR+ unit is suitable for measuring the electrical characteristics or conductance of skin. Traditional galvanic skin response theory is based on the idea that the electrical resistance of the skin varies with the state of the sweat glands. Sweating in the human body is regulated by the autonomous nervous system (ANS). More specifically, if the sympathetic branch (SNS) of the ANS is excited, the activity of sweat glands increases, which in turn increases skin conductance. This device is compatible with Tobii pro lab version 1.194 and allows for the integration of records. Figure 2 shows the device and how it is placed to record EDA.
- (d)
- Virtual lab for the resolution of clinical cases. This lab was developed within the European project “Specialized and updated training on supporting advance technologies for early childhood education and care professionals and graduates”, eEarlyCare-T-No. 2021-1-ES01-KA220-SCH-000032661. In this study, the virtual lab is a representation of a dialogue between two avatars: a student and a teacher.Two labs were used in this study. In Group 1 and Group 2, a general simulation virtual lab was applied (this referred to content that could be used in both degrees, as they were general and about patient intervention processes). This lab is extensively described in the study by Sáiz-Manzanares et al. [32] (see Figure 1 in that publication). In addition, a specific lab with biomedical engineering content was applied to Group 3. This lab can be found in Supplementary Materials (Figure S1). Both virtual labs can be accessed and used free of charge by logging into the Virtual Classroom in the eEarlyCare-T project https://www2.ubu.es/eearlycare_t/en/project (accessed on 16 August 2024).
- (e)
- Learning Strategies Scales (ACRA) by Román and Gallego [63]. This is an instrument that has been widely tested in research. It identifies 32 strategies at different points in the information processing cycle and has reliability indicators between α = 0.75 and α = 0.90, and content validity indicators between r = 0.85 and r = 0.88. In the present study, we applied the metacognitive skills subscale, which includes 17 strategies on the use of metacognitive skills in problem-solving tasks that are distributed over three subscales: Self-knowledge, Planning, and Self-Evaluation.
2.3. Procedure
2.4. Data Analysis
3. Results
3.1. Objective 1: To Select Characteristics with Respect to Different Indicators of Cognitive Load Related to the Performance of Simulation Tasks in Virtual Environments
3.2. Objective 2: To Determine Cognitive Load Levels (Low, Medium, and High) in the Participating Groups
3.3. Objective 3: To Apply Supervised Machine Learning Prediction Techniques to Determine How the Variables of Presentation Type 1 (Not Having Previously Watched the Lab vs. Having Done So) and Presentation Type 2 (Visual–Auditory vs. Visual) from the Virtual Laboratories Predict the Indicators of Cognitive Load and Learning Results
3.4. Objective 4: To Apply Supervised Machine Learning Classification Techniques to Identify the Most Representative Classifiers of Cognitive Load
3.5. Objective 5: Apply Unsupervised Machine Learning Techniques to Determine Possible Groupings Without a Prior Assignment Variable with Respect to Cognitive Load Indicators and Learning Outcomes
3.6. Objective 6: To Determine Whether There Are Significant Differences in the Indicators of Cognitive Load and Test Results Depending on the Type of Task and the Way the Task Is Presented (Visual–Auditory vs. Visual) in the Participation Groups
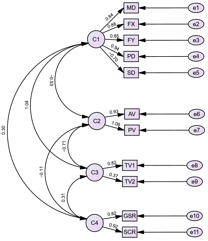
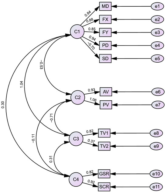
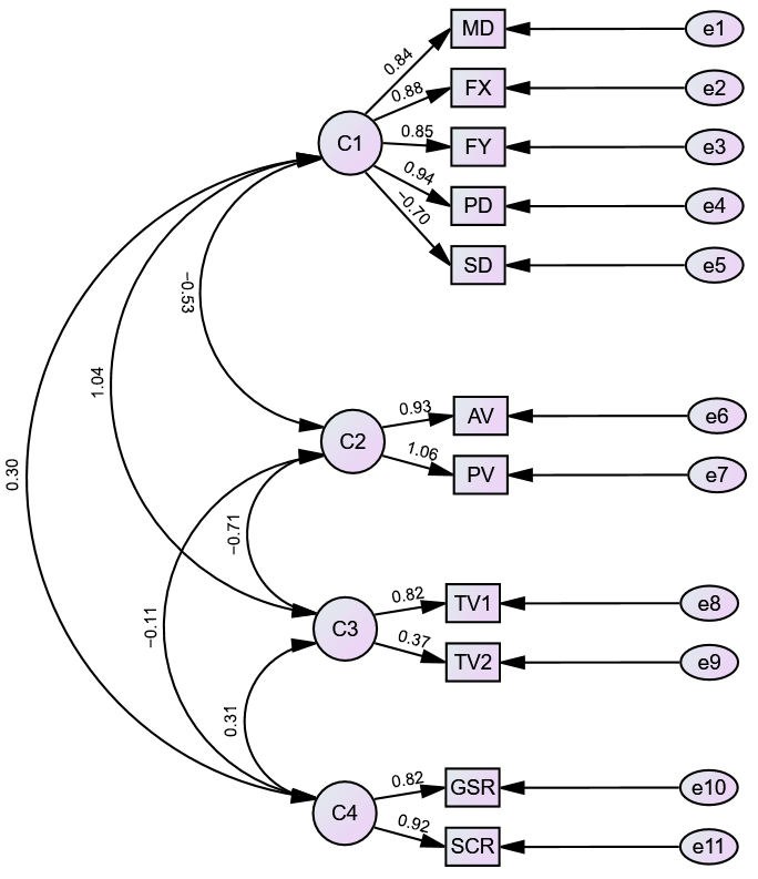
3.7. Objective 7: To Propose a Model of Analysis of the Markers of Cognitive Load
4. Discussion
5. Conclusions
Supplementary Materials
Author Contributions
Funding
Institutional Review Board Statement
Informed Consent Statement
Data Availability Statement
Conflicts of Interest
References
- Brünken, R.; Seufert, T.; Paas, F. Measuring Cognitive Load. In Cognitive Load Theory; Plass, J.L., Moreno, R., Brünken, R., Eds.; Cambridge University Press: Cambridge, UK, 2010; pp. 181–202. [Google Scholar] [CrossRef]
- Eggemeier, F.T.; Wilson, G.F.; Kramer, A.F.; Damos, D.L. Workload assessment in multi-task environments. In Multiple-Task Performance; Damos, D.L., Ed.; Taylor & Francis: London, UK; Washington, DC, USA, 1991; pp. 207–216. [Google Scholar] [CrossRef]
- Johannsen, G. Workload and Workload Measurement. In Mental Workload; NATO Conference Series; Moray, N., Ed.; Springer: Boston, MA, USA, 1979; Volume 8, pp. 3–11. [Google Scholar] [CrossRef]
- Sevcenko, N.; Appel, T.; Ninaus, M.; Moeller, K.; Gerjets, P. Theory-based approach for assessing cognitive load during time-critical resource-managing human-computer interactions: An eye-tracking study. J. Multimodal User Interfaces 2023, 17, 1–19. [Google Scholar] [CrossRef]
- Kirschner, P.A.; Sweller, J.; Kirschner, F.; Zambrano, R.J. From Cognitive Load Theory to Collaborative Cognitive Load Theory. Intern. J. Comput.-Support. Collab. Learn. 2018, 13, 213–233. [Google Scholar] [CrossRef]
- Sweller, J. The effect of task complexity and sequence on rule learning and problem solving. Br. J. Psychol. 1976, 67, 553–558. [Google Scholar] [CrossRef]
- Sáiz-Manzanares, M.C.; Marticorena-Sánchez, R.; Martín-Antón, L.J.; González-Diez, I.; Carbonero-Martín, I. Using eye tracking technology to analyse cognitive load in multichannel activities in university students. Int. J. Hum.-Comput. Interact. 2023, 40, 3263–3328. [Google Scholar] [CrossRef]
- Sweller, J. Cognitive load during problem solving: Effects on learning. Cogn. Sci. 1998, 12, 257–285. [Google Scholar] [CrossRef]
- Sweller, J.; Chandler, P.; Tierney, P.; Cooper, M. Cognitive load as a factor in the structuring of technical material. J. Exp. Psychol. Gen. 1990, 119, 176–192. [Google Scholar] [CrossRef]
- Mayer, R.E. Multimedia Learning; Cambridge University Press: New York, NY, USA, 2001. [Google Scholar] [CrossRef]
- Tindall-Ford, S.; Chandler, P.; Sweller, J. When two sensory modes are better than one. J. Exp. Psychol. Appl. 1997, 3, 257–287. [Google Scholar] [CrossRef]
- Baddeley, A. Working memory. Science 1992, 255, 556–559. [Google Scholar] [CrossRef]
- Schnotz, W.; Kürschner, C.A. Reconsideration of Cognitive Load Theory. Educ. Psychol. Rev. 2007, 19, 469–508. [Google Scholar] [CrossRef]
- Miller, G.A. The magical number seven, plus or minus two: Some limits on our capacity for processing information. Psychol. Rev. 1956, 63, 81–97. [Google Scholar] [CrossRef]
- Peterson, L.; Peterson, M. Short-term retention of individual verbal items. J. Exp. Psychol. 1959, 58, 193–198. [Google Scholar] [CrossRef]
- Marcus, N.; Cooper, M.; Sweller, J. Understanding instructions. J. Educ. Psychol. 1996, 88, 49–63. [Google Scholar] [CrossRef]
- Vygotski, L.S. Learning and mental development at school age. In Educational Psychology in the U.S.S.R.; Simon, B.J., Simon, J., Eds.; Routledge & Kegan Paul: London, UK, 1963; pp. 21–34. [Google Scholar]
- Sweller, J. Cognitive load theory and individual differences. Learn. Individ. Differ. 2024, 110, 102423. [Google Scholar] [CrossRef]
- Ahmad, M.I.; Keller, I.; Robb, D.A.; Lohan, K.S. A framework to estimate cognitive load using physiological data. Pers. Ubiquitous Comput. 2023, 27, 2027–2041. [Google Scholar] [CrossRef]
- Lee, Y.; Szulewski, A.; Young, J.Q.; Donkers, J.; Jarodzka, H.; Van Merriënboer, J.J.G. The medical pause: Importance, processes, and training. Med. Educ. 2021, 55, 1152–1160. [Google Scholar] [CrossRef]
- Seufert, T. The interplay between self-regulation in learning and cognitive load. Educ. Res. Rev. 2018, 24, 116–129. [Google Scholar] [CrossRef]
- Holmqvist, K.; Nyström, M.; Andersson, R.; Dewhurst, R.; Jarodzka, H.; Weijer, J.V.D. Eye Tracking: A Comprehensive Guide to Methods and Measures; Oxford University Press: Oxford, UK, 2011. [Google Scholar]
- Scheutz, M.; Aeron, S.; Aygun, A.; de Ruiter, J.P.; Fantini, S.; Fernandez, C.; Haga, Z.; Nguyen, T.; Lyu, B. Estimating Systemic Cognitive States from a Mixture of Physiological and Brain Signals. Top. Cogn. Sci. 2024, 16, 485–526. [Google Scholar] [CrossRef]
- Mayer, R.E. Unique contributions of eye-tracking research to the study of learning with graphics. Learn. Instr. 2010, 20, 167–171. [Google Scholar] [CrossRef]
- Mutlu-Bayraktar, D.; Ozel, P.; Altindis, F.; Yilmaz, B. Relationship between objective and subjective cognitive load measurements in multimedia learning. Interact. Learn. Environ. 2020, 31, 1322–1334. [Google Scholar] [CrossRef]
- Koć-Januchta, M.; Höffler, T.; Thoma, G.-B.; Prechtl, H.; Leutner, D. Visualizers versus verbalizers: Effects of cognitive style on learning with texts and pictures—An eye-tracking study. Comput. Hum. Behav. 2017, 68, 170–179. [Google Scholar] [CrossRef]
- Duchowski, A.T.; Krejtz, K.; Gehrer, N.A.; Bafna, T.; Bækgaard, P. The low/high index of pupillary activity. In Proceedings of the CHI Conference on Human Factors in Computing Systems, Honolulu, HI, USA, 25–30 April 2020; pp. 1–12. [Google Scholar]
- Critchley, H.D. Electrodermal responses: What happens in the brain. Neuroscientist 2002, 8, 132–142. [Google Scholar] [CrossRef] [PubMed]
- Winter, M.; Pryss, R.; Probst, T.; Reichert, M. Towards the applicability of measuring the electrodermal activity in the context of process model comprehension: Feasibility study. Sensors 2020, 20, 4561. [Google Scholar] [CrossRef] [PubMed]
- Kramer, A.F. Physiological metrics of mental workload. In Multiple Task Performance; CRC Press: Boca Raton, FL, USA, 1991; pp. 279–328. [Google Scholar]
- Abbad-Andaloussi, A.; Burattin, A.; Slaats, T.; Kindler, E.; Weber, B. Complexity in declarative process models: Metrics and multi-modal assessment of cognitive load. Expert Syst. Appl. 2023, 233, 120924. [Google Scholar] [CrossRef]
- Sáiz-Manzanares, M.C.; Marticorena-Sánchez, R.; Escolar-Llamazares, M.C.; González-Díez, I.; Martín Antón, L.J. Using integrated multimodal technology: A way to personalised learning in Health Sciences and Biomedical engineering Students. Appl. Sci. 2024, 14, 7017. [Google Scholar] [CrossRef]
- Liberman, L.; Dubovi, I. The effect of the modality principle to support learning with virtual reality: An eye-tracking and electrodermal activity study. J. Comput. Assist. Learn. 2023, 39, 547–557. [Google Scholar] [CrossRef]
- Li, Q.; Luximon, Y.; Zhang, J.; Song, Y. Measuring and classifying students’ cognitive load in pen-based mobile learning using handwriting, touch gestural and eye-tracking data. Br. J. Educ. Technol. 2024, 55, 625–653. [Google Scholar] [CrossRef]
- Raftery, A.E. Use and communication of probabilistic forecasts. Statistical Analysis and Data Mining: The ASA. Data Sci. J. 2016, 9, 397–410. [Google Scholar] [CrossRef]
- Sáiz-Manzanares, M.C. Metacognition and Artificial Intelligence: Beyond the Parallelism of Functioning [Metacognición e Inteligencia Artificial: Más allá del Paralelismo de Funcionamiento]. Ph.D. Thesis, University of Burgos, Burgos, Spain, 2019. Available online: http://hdl.handle.net/10259/5357 (accessed on 12 August 2024).
- Gogna, Y.; Tiwari, S.; Singla, R. Evaluating the performance of the cognitive workload model with subjective endorsement in addition to EEG. Med. Biol. Eng. Comput. 2024, 62, 2019–2036. [Google Scholar] [CrossRef]
- Gogna, J.; Tiwari, S.; Singla, R. Mental workload assessment of gamers’ eeg with multi-domain feature-based cognitive model and its validation. Biomed. Eng. Appl. Basis Commun. 2024, 36, 2450022. [Google Scholar] [CrossRef]
- Sazuka, N.; Katsumata, K.; Komoriya, Y.; Oba, T.; Ohira, H. Association of brain-autonomic activities and task accuracy under cognitive load: A pilot study using electroencephalogram, autonomic activity measurements, and arousal level estimated by machine learning. Front. Hum. Neurosci. 2024, 18, 1272121. [Google Scholar] [CrossRef]
- Minissi, M.E.; Altozano, A.; Marín-Morales, J.; Giglioli, I.A.C.; Mantovani, F.; Alcañiz, M. Biosignal comparison for autism assessment using machine learning models and virtual reality. Comput. Biol. Med. 2024, 171, 108194. [Google Scholar] [CrossRef] [PubMed]
- Karmakar, S.; Kamilya, S.; Dey, P.; Guhathakurta, P.K.; Dalui, T.M.; Bera, T.K.; Halder, S.; Koley, C.; Pal, T.; Basu, A. Real time detection of cognitive load using fNIRS: A deep learning approach. Biomed. Signal Process. Control 2023, 80, 104227. [Google Scholar] [CrossRef]
- Shaposhnyk, O.; Yanushkevich, S.; Babenko, V.; Chernykh, M.; Nastenko, I. Inferring Cognitive Load Level from Physiological and Personality Traits. In Proceedings of the 2023 International Conference on Information and Digital Technologies (IDT), Zilina, Slovakia, 20–22 June 2023; pp. 233–242. [Google Scholar] [CrossRef]
- Murdaca, G.; Banchero, S.; Casciaro, M.; Tonacci, A.; Billeci, L.; Nencioni, A.; Pioggia, G.; Genovese, S.; Monacelli, F.; Gangemi, S. Potential Predictors for Cognitive Decline in Vascular Dementia: A Machine Learning Analysis. Processes 2022, 10, 2088. [Google Scholar] [CrossRef]
- Sáiz-Manzanares, M.C.; Escolar-Llamazares, M.-C.; Arnaiz González, Á. Effectiveness of Blended Learning in Nursing Education. Int. J. Environ. Res. Public Health 2020, 17, 1589. [Google Scholar] [CrossRef]
- Sáiz-Manzanares, M.C.; Ramos Pérez, I.; Arnaiz-Rodríguez, Á.; Rodríguez-Arribas, S.; Almeida, L.; Martin, C.F. Analysis of the learning process through eye tracking technology and feature selection techniques. Appl. Sci. 2021, 11, 6157. [Google Scholar] [CrossRef]
- Sáiz-Manzanares, M.C.; Rodríguez-Díez, J.J.; Marticorena, R.; Zaparaín, M.J.; Cerezo, R. Lifelong Learning from Sustainable Education: An Analysis with Eye Tracking and Data Mining Techniques. Sustainability 2020, 12, 1970. [Google Scholar] [CrossRef]
- Sáiz-Manzanares, M.C.; Marticorena-Sánchez, R.; Martín-Antón, L.J.; Almeida, L.; Carbonero-Martín, I. Application and challenges of eye tracking technology in Higher Education. Comunicar 2023, 76, 35–46. [Google Scholar] [CrossRef]
- Langner, M.; Toreini, P.; Maedche, A. Cognitive state detection with eye tracking in the field: An experience sampling study and its lessons learned. i-com 2024, 23, 109–129. [Google Scholar] [CrossRef]
- Wang, A.; Huang, C.; Wang, J.; He, D. The association between physiological and eye-tracking metrics and cognitive load in drivers: A meta-analysis. Transp. Res. Part F Psychol. Behav. 2024, 104, 474–487. [Google Scholar] [CrossRef]
- Foltyn, A.; Deuschel, J.; Lang-Richter, N.R.; Holzer, N.; Oppelt, M.P. Evaluating the robustness of multimodal task load estimation models. Front. Comput. Sci. 2024, 6, 1371181. [Google Scholar] [CrossRef]
- Havugimana, F.; Moinudin, K.A.; Yeasin, M. Deep Learning Framework for Modeling Cognitive Load From Small and Noisy EEG Data. IEEE Trans. Cogn. Dev. Syst. 2024, 16, 1006–1015. [Google Scholar] [CrossRef]
- Khan, M.K.; Asadi, H.; Zhang, L.; Qazani, M.R.C.; Oladazimi, S.; Loo, C.K.; Lim, C.P.; Nahavandi, S. Application of artificial intelligence in cognitive load analysis using functional near-infrared spectroscopy: A systematic review. Expert Syst. Appl. 2024, 249, 123717. [Google Scholar] [CrossRef]
- Hijazi, H.; Gomes, M.; Castelhano, J.; Castelo-Branco, M.; Praça, I.; de Carvalho, P.; Madeira, H. Dynamically predicting comprehension difficulties through physiological data and intelligent wearables. Sci. Rep. 2024, 14, 13678. [Google Scholar] [CrossRef] [PubMed]
- Gong, J.; Cao, S.; Korivand, S.; Jalili, N. Reconstructing human gaze behavior from EEG using inverse reinforcement learning. Smart Health 2024, 32, 100480. [Google Scholar] [CrossRef]
- Yang, H.; Wu, J.; Hu, A.; Lv, C. Real-Time Driver Cognitive Workload Recognition: Attention-Enabled Learning With Multimodal Information Fusion. IEEE Trans. Ind. Electron. 2024, 71, 4999–5009. [Google Scholar] [CrossRef]
- Chango, W.; Lara, J.A.; Cerezo, R.; Romero, C. A review on data fusion in multimodal learning analytics and educational data mining. Wiley Interdiscip. Rev. Data Min. Knowl. Discov. 2022, 12, e1458. [Google Scholar] [CrossRef]
- Vaswani, A.; Shazeer, N.; Parmar, N.; Uszkoreit, J.; Jones, L.; Gomez, A.N.; Kaiser, L.; Polosukhin, I. Attention Is All You Need. arXiv 2017, arXiv:1706.03762. [Google Scholar] [CrossRef]
- Ozdel, S.; Rong, Y.; Albaba, B.M.; Kuo, Y.-L.; Wang, X.; Kasneci, E. A Transformer-Based Model for the Prediction of Human Gaze Behavior on Videos. arXiv 2024, arXiv:2404.07351v1. [Google Scholar] [CrossRef]
- Toy, J.; MacAdam, J.; Tabor, P. Metacognition is all you need? Using Introspection in Generative Agents to Improve Goal-directed Behavior. arXiv 2024, arXiv:2401.10910. [Google Scholar] [CrossRef]
- An, Y.; Zhang, K.; Chai, Y.; Zhu, Z.; Liu, Q. Gaussian Mixture Variational-Based Transformer Domain Adaptation Fault Diagnosis Method and Its Application in Bearing Fault Diagnosis. IEEE Trans. Ind. Inform. 2024, 20, 615–625. [Google Scholar] [CrossRef]
- An, Y.; Li, Z.; Li, Y.; Zhang, K.; Zhu, Z.; Chai, Y. Few-Shot Learning-Based Fault Diagnosis Using Prototypical Contrastive-Based Domain Adaptation Under Variable Working Conditions. IEEE Sens. J. 2024, 24, 25019–25029. [Google Scholar] [CrossRef]
- Suzuki, Y.; Wild, F.; Scanlon, E. Measuring cognitive load in augmented reality with physiological methods: A systematic review. J. Comput. Assist. Learn. 2024, 40, 375–393. [Google Scholar] [CrossRef]
- Román Sánchez, J.M.; Gallego Rico, S. ACRA Escalas de Estrategias de Aprendizaje [Learning Strategy Scales]; TEA: Madrid, Spain, 2008; Available online: http://www.web.teaediciones.com/Ejemplos/ACRA_extracto_web.pdf (accessed on 21 October 2024).
- Eibe, F.; Hall, M.A.; Witten, I.H. The WEKA Workbench. In Online Appendix for “Data Mining: Practical Machine Learning Tools and Techniques”, 4th ed.; Morgan Kaufmann: Burlington, MA, USA; San Francisco, CA, USA, 2016. [Google Scholar]
- IBM Corp. SPSS Statistical Package for the Social Sciences (SPSS), 28th ed.; IBM Corp.: Armonk, NY, USA, 2024. [Google Scholar]
- IBM Corp. Structural Equation Modeling (AMOS SPSS), 29th ed.; IBM Corp.: Armonk, NY, USA, 2024. [Google Scholar]
- Cohen, J.; Cohen, P.; West, G.; Aiken, L.S. Applied Multiple Regression/Correlation Analysis for the Behavioral Sciences, 3rd ed.; Routledge: New York, NY, USA, 2002. [Google Scholar] [CrossRef]







| Elements to Consider | Measurement |
|---|---|
| Task characteristics, indicators of the extrinsic cognitive load (form of task presentation (visual—image, text, etc.)) and extrinsic cognitive load written, auditory, all), multimedia learning environment simulation, task execution schedule, etc. | Description of the type of task Analysis of the presentation of the task |
| Physical space [characteristics of the space in which the task takes place (lighting, space, etc.)]. | Indicators for brightness, temperature, noise, time, and time of day |
| Learner characteristics (age, gender, prior knowledge, motivation towards the task, way of responding, way of solving, type of reasoning applied, etc.). | Variables assigned (age, gender, etc.) |
| Analysis of prior knowledge | |
| Cognitive style and learning style | |
| Physiological indicators of the intrinsic cognitive load | Pupil diameter Fixations Saccades GSR amplitude SCR count |
| Perception of the germane load | Performance indicators in the execution of the task |
| Contrast Tests | Usefulness in Measuring Cognitive Load |
|---|---|
| Feature selection [19,37] | The use of feature selection algorithms provides information in a hierarchical order on which features are most relevant. |
| Logistic regression [34] Probabilistic study (percentile analysis) [36]. | Helps in the detection of intrinsic cognitive load levels (low, medium, and high) [19]. Allows a determination of the level of execution (low, medium, and high). |
| Predictions (linear regression, SVM, Decision tree, Neuronal Networks) | Provide information on cognitive load indicators that may be more relevant in explaining, e.g., learning outcomes. |
| Classification (analysis, discriminant analysis, KNN, SVM, Naive Bayes, Random Forest [38,39,40], and Neural networks [41,42]) | The classifiers provide information on the most important cognitive load indicators with respect to ranking groups of variables in relation to a reference variable, such as academic performance. |
| Clustering (k-Means, k-Medoids, s-Means) [45], string-edit Methods [46] | Determines interaction profiles of task performance without prior grouping variables. Identifies route maps in different types of learners. |
| Adjustment indicators (accuracy, recall, and precision) [41,42,43], goodness-of-fit indices (NFI, RMSEA, SRMR, TLI, CFI, AIC, ECVI) [44] | Determine the effectiveness, fit and precision when comparing the results obtained with different algorithms. |
| Parametric statistics (ANOVA, ANCOVA, MANOVA and effect sizes) [47] If the sample does not have a normal distribution, similar tests would be applied in a non-parametric context (Mann–Whitney U test, Kruskal–Wallis, Wilcoxon signed-rank test, etc.) | Determine whether there are significant differences in terms of variables considered as independent variables on variables considered as dependent variables. Also, determine the size of the significant effect. |
| Research Objectives | Test | Test Instrument |
|---|---|---|
| Objective 1. To select characteristics with respect to different indicators of cognitive load related to the performance of simulation tasks in virtual environments. | Feature selection | WEKA v.3.8.5 [64] |
| Objective 2. To determine participants’ levels of cognitive load (low, medium, and high). | Percentiles (25, 50, and 75) | SPSS v. 28 [65] |
| Objective 3. To apply supervised machine learning prediction techniques to determine how the variables of presentation type 1 (not having previously watched the lab vs. having done so) and presentation type 2 (visual–auditory vs. visual) from the virtual laboratories predict the indicators of cognitive load and learning results. | Multiple linear regression | SPSS v. 28 [65] |
| Objective 3 (continued) To apply principal component analysis to determine the groupings of the cognitive load indicators. | Principal component analysis | SPSS v. 28 [65] |
| Objective 4. To apply supervised machine learning techniques for classification in order to determine the most representative classifiers of cognitive load. | Discriminant analysis KNN | SPSS v. 28 [65] |
| Objective 5. To apply unsupervised machine learning techniques to find possible groupings without a prior assignment variable with respect to cognitive load indicators and learning outcomes. | k-means | SPSS v. 28 [65] |
| Objective 6. To determine whether there are significant differences in the indicators of cognitive load and learning outcomes depending on the type of task and the way it is presented (visual–auditory vs. visual) in the participating groups. | Two-factor fixed-effect MANOVA | SPSS v. 28 [65] |
| Objective 7. To propose an analysis model for the indicators of cognitive load. | Structural equation modelling | AMOS v. 29 [66] |
| Indicators of Cognitive Load | Mean | SD | Minimum | Maximum | Percentiles | ||
|---|---|---|---|---|---|---|---|
| 25 | 50 | 75 | |||||
| Group 1 | |||||||
| Mean duration | 140.72 | 34.77 | 105.33 | 224.75 | 118.63 | 140.72 | 174.36 |
| Fixation point X | 994.84 | 288.42 | 750.66 | 1924.86 | 798.22 | 994.84 | 1227.70 |
| Fixation point Y | 866.17 | 195.53 | 635.68 | 1247.70 | 693.81 | 866.17 | 1048.09 |
| Average pupil diameter | 5311.03 | 1286.28 | 3715.67 | 7991.97 | 4338.36 | 5311.03 | 6558.44 |
| Saccade direction | 278,133.97 | 70,405.30 | 130,426.22 | 431,082.91 | 238,321.58 | 278,133.97 | 329,400.50 |
| Average velocity | 233,191.56 | 250,444.66 | 152,868.39 | 1,260,057.37 | 187,812.06 | 233,191.56 | 339,436.29 |
| Peak velocity | 336,697.42 | 260,723.55 | 230,621.84 | 1,398,529.00 | 261,396.24 | 336,697.42 | 493,273.13 |
| Saccade amplitude | 6173.42 | 2359.82 | 2020.85 | 10,407.48 | 5115.04 | 6173.42 | 8437.59 |
| Average GSR | 1.47 | 1.38 | 0.01 | 7.44 | 1.47 | 1.47 | 1.47 |
| SCR Count | 10.18 | 5.76 | 0.00 | 34.00 | 10.13 | 10.18 | 10.24 |
| Group 2 | |||||||
| Mean duration | 153.58 | 35.61 | 93.25 | 237.41 | 136.26 | 153.58 | 173.51 |
| Fixation point X | 1119.89 | 527.97 | 158.17 | 2424.80 | 988.74 | 1119.89 | 1276.17 |
| Fixation point Y | 951.40 | 438.04 | 162.18 | 2023.44 | 849.83 | 951.40 | 1132.69 |
| Average pupil diameter | 6371.50 | 4451.51 | 1132.41 | 19,140.53 | 4432.29 | 6371.50 | 7298.63 |
| Saccade direction | 319,974.78 | 115,718.13 | 41,797.90 | 397,630.64 | 267,580.33 | 319,974.78 | 375,132.14 |
| Average velocity | 229,531.47 | 94,148.06 | 49,784.31 | 382,706.45 | 199,910.41 | 229,531.47 | 266,353.23 |
| Peak velocity | 331,430.91 | 132,544.18 | 64,173.60 | 537,397.30 | 272,005.44 | 331,430.91 | 398,652.17 |
| Saccade amplitude | 7372.37 | 2653.55 | 989.92 | 9646.79 | 5714.81 | 7372.37 | 8285.77 |
| Average GSR | 1.10 | 1.12 | 0.01 | 3.17 | 0.01 | 1.10 | 1.99 |
| SCR count | 8.00 | 11.33 | 0.00 | 38.00 | 0.00 | 8.00 | 16.00 |
| Group 3 | |||||||
| Mean duration | 250.43 | 54.94 | 134.61 | 399.59 | 239.68 | 250.43 | 286.75 |
| Fixation point X | 2919.06 | 1260.15 | 1162.95 | 6185.12 | 2068.23 | 2919.06 | 4091.90 |
| Fixation point Y | 2643.52 | 1307.08 | 959.91 | 6157.44 | 2225.84 | 2643.52 | 3557.76 |
| Average pupil diameter | 25,055.68 | 7498.00 | 11,358.53 | 40,122.79 | 19,702.44 | 25,055.68 | 29,343.05 |
| Saccade direction | 105,956.02 | 24,936.85 | 51,991.70 | 149,285.16 | 89,490.71 | 105,956.02 | 120,311.50 |
| Average velocity | 84,465.25 | 18,890.28 | 51,017.96 | 121,059.84 | 71,890.70 | 84,465.25 | 97,068.89 |
| Peak velocity | 105,569.23 | 24,746.30 | 64,997.00 | 152,861.24 | 95,035.23 | 105,569.23 | 127,999.83 |
| Saccade amplitude | 2006.29 | 521.67 | 1300.68 | 2952.87 | 1785.50 | 2006.29 | 2645.64 |
| Average GSR | 0.86 | 4.11 | 0.01 | 14.11 | 0.18 | 0.86 | 4.75 |
| SCR count | 11.00 | 12.14 | 0.00 | 39.00 | 6.00 | 11.00 | 24.50 |
| Cognitive Load Indicators | Lambda Wilks | F | df1 | df2 | pLambda |
|---|---|---|---|---|---|
| Mean duration | 0.36 | 40.10 | 2 | 45 | <0.001 * |
| Fixation point X | 0.38 | 36.12 | 2 | 45 | <0.001 * |
| Fixation point Y | 0.39 | 35.28 | 2 | 45 | <0.001 * |
| Average pupil diameter | 0.20 | 92.56 | 2 | 45 | <0.001 * |
| Saccade direction | 0.35 | 41.44 | 2 | 45 | <0.001 * |
| Average velocity | 0.71 | 9.04 | 2 | 45 | <0.001 * |
| Peak velocity | 0.62 | 13.91 | 2 | 45 | <0.001 * |
| Saccade amplitude | 0.42 | 31.26 | 2 | 45 | <0.001 * |
| Average GSR | 0.93 | 1.79 | 2 | 45 | 0.18 |
| SCR count | 0.94 | 1.43 | 2 | 45 | 0.25 |
| Indicators of Cognitive Load | Cluster | ||
|---|---|---|---|
| 1 n = 22 | 2 n = 25 | 3 n = 1 | |
| Mean duration | 150.58 | 225.34 | 172.44 |
| Fixation point X | 1165.44 | 2315.30 | 994.84 |
| Fixation point Y | 997.23 | 2190.93 | 921.50 |
| Average pupil diameter | 6178.29 | 17,931.22 | 6156.46 |
| Saccade direction | 322,067.82 | 140,859.37 | 130,426.22 |
| Average velocity | 298,529.77 | 109,142.61 | 1,260,057.37 |
| Peak velocity | 406,223.39 | 147,998.56 | 1,398,529.00 |
| Saccade amplitude | 7562.57 | 3058.55 | 2861.72 |
| Average GSR | 1.64 | 2.31 | 1.47 |
| SCR count | 11.54 | 12.86 | 10.15 |
| Results test | 1 | 1 | 1 |
| Cluster | Error | F | p | |||
|---|---|---|---|---|---|---|
| Mean Square | df | Mean Square | df | |||
| Mean duration | 32,856.22 | 2 | 3367.96 | 45 | 9.756 | <0.001 * |
| Fixation point X | 8,035,738.38 | 2 | 1,267,468.79 | 45 | 6.340 | 0.004 * |
| Fixation point Y | 8,584,531.38 | 2 | 1,266,594.11 | 45 | 6.778 | 0.003 * |
| Average pupil diameter | 827,482,721.38 | 2 | 72,932,182.36 | 45 | 11.346 | <0.001 * |
| Saccade direction | 196,570,633,958.60 | 2 | 4,242,830,417.24 | 45 | 46.330 | <0.001 * |
| Average velocity | 762,312,710,583.10 | 2 | 7,488,341,771.28 | 45 | 101.800 | <0.001 * |
| Peak velocity | 1,014,921,268,496.76 | 2 | 8,945,463,462.81 | 45 | 113.457 | <0.001 * |
| Saccade amplitude | 121,297,203.11 | 2 | 3,563,210.06 | 45 | 34.042 | <0.001 * |
| Average GSR | 2.76 | 2 | 7.55 | 45 | 0.365 | 0.696 |
| SCR count | 12.45 | 2 | 100.40 | 45 | 0.124 | 0.884 |
| Results test | 0.44 | 2 | 1.16 | 45 | 0.378 | 0.687 |
| Cluster Number of Cases | Degrees | Total | |||
|---|---|---|---|---|---|
| 1 | 2 | 3 | |||
| 1 | 13 | 9 | 0 | 22 | |
| 2 | 7 | 1 | 17 | 25 | |
| 3 | 1 | 0 | 0 | 1 | |
| Total | 21 | 10 | 17 | 48 | |
| Metacognitive Strategies | Groups | Shapiro–Wilk test | ||
|---|---|---|---|---|
| Statistic | df | p | ||
| Self-knowledge | 1 | 0.96 | 21 | 0.53 |
| 2 | 0.90 | 10 | 0.23 | |
| 3 | 0.91 | 17 | 0.10 | |
| Planning | 1 | 0.92 | 21 | 0.08 |
| 2 | 0.86 | 10 | 0.08 | |
| 3 | 0.89 | 17 | 0.04 | |
| Self-Evaluation | 1 | 0.91 | 21 | 0.05 |
| 2 | 0.97 | 10 | 0.86 | |
| 3 | 0.791 | 17 | 0.09 | |
| Source | Indicators | F | df | p | η2 |
|---|---|---|---|---|---|
| Display 1 (no preview vs. display) | Mean duration | 25.17 | 2 | 0.00 * | 0.55 |
| Fixation point X | 17.25 | 2 | 0.00 * | 0.45 | |
| Fixation point Y | 16.90 | 2 | 0.00 * | 0.45 | |
| Average pupil diameter | 54.18 | 2 | 0.00 * | 0.72 | |
| Saccade direction | 30.31 | 2 | 0.00 * | 0.59 | |
| Average velocity | 6.79 | 2 | 0.00 * | 0.24 | |
| Peak velocity | 10.48 | 2 | 0.00 * | 0.33 | |
| Saccade amplitude | 21.68 | 2 | 0.00 * | 0.51 | |
| Average GSR | 0.31 | 2 | 0.74 | 0.01 | |
| SCR count | 0.32 | 2 | 0.73 | 0.02 | |
| Results test | 0.21 | 2 | 0.81 | 0.01 | |
| Visualisation 2 (visual–auditory vs. visual) | Mean duration | 0.37 | 1 | 0.55 | 0.01 |
| Fixation point X | 2.21 | 1 | 0.15 | 0.05 | |
| Fixation point Y | 2.26 | 1 | 0.14 | 0.05 | |
| Average pupil diameter | 0.40 | 1 | 0.53 | 0.01 | |
| Saccade direction | 2.27 | 1 | 0.14 | 0.05 | |
| Average velocity | 1.35 | 1 | 0.25 | 0.03 | |
| Peak velocity | 1.07 | 1 | 0.31 | 0.02 | |
| Saccade amplitude | 1.30 | 1 | 0.26 | 0.03 | |
| Average GSR | 1.62 | 1 | 0.21 | 0.04 | |
| SCR count | 1.54 | 1 | 0.22 | 0.04 | |
| Results test | 0.08 | 1 | 0.77 | 0.00 | |
| Interaction Visualisation 1 * Visualisation 2 | Mean duration | 0.90 | 2 | 0.41 | 0.04 |
| Fixation point X | 2.97 | 2 | 0.06 | 0.12 | |
| Fixation point Y | 2.21 | 2 | 0.12 | 0.10 | |
| Average pupil diameter | 0.52 | 2 | 0.60 | 0.02 | |
| Saccade direction | 0.70 | 2 | 0.50 | 0.03 | |
| Average velocity | 1.79 | 2 | 0.18 | 0.08 | |
| Peak velocity | 2.01 | 2 | 0.15 | 0.09 | |
| Saccade amplitude | 0.58 | 2 | 0.56 | 0.03 | |
| Average GSR | 0.57 | 2 | 0.57 | 0.03 | |
| SCR count | 0.25 | 2 | 0.78 | 0.01 | |
| Results test | 0.10 | 2 | 0.90 | 0.00 |
| Research Objectives | Results |
|---|---|
| Objective 1. To select characteristics with respect to different indicators of cognitive load related to performance of simulation tasks in virtual environments. | Feature selection Fixation point X, average GSR |
| Objective 2. To determine participants’ levels of cognitive load (low, medium, and high). | Low P25–49 Medium P50–74 High P75–99 |
| Objective 3. To apply supervised machine learning prediction techniques to determine how the variables of presentation type 1 (not having previously watched the lab vs. having done so) and presentation type 2 (visual–auditory vs. visual) from the virtual laboratories predict the indicators of cognitive load and learning results. | Presentation type 1 [form of task presentation (generalist vs. specific content) and preview vs. no preview] explains 76.3% of the results for the cognitive load indicators. Presentation type 2 [form of task display (visual–audio vs. audio)] explains 25.5% of the results for the cognitive load indicators. However, some of the cognitive load indicators may accumulate redundant information. Three main components were found. Component 1 was related to indicators of duration, position, pupil diameter, saccade direction, and saccade amplitude. Component 2 is related to indicators of velocity, and Component 3 is related to indicators of conductance. |
| Objective 4. To apply supervised machine learning techniques for classification in order to determine the most representative classifiers of cognitive load. | Differences were found for all indicators of cognitive load depending on the way the task was presented, except for those related to skin conductance. Likewise, the classifiers found were related to the gaze position at point X and Y, and the average duration of cognitive load. |
| Objective 5. To apply unsupervised machine learning techniques to find possible groupings without a prior assignment variable with respect to cognitive load indicators and learning outcomes. | The clusters found showed greater homogeneity in the group that was able to watch the information before the test. Differences were found in all indicators of cognitive load, except those related to skin conductance and in the results of the knowledge test. |
| Objective 6. To determine whether there are significant differences in the indicators of cognitive load and learning outcomes depending on the type of task and the way it is presented (visual–auditory vs. visual) in the participating groups. | Significant differences were found with respect to the way the task was presented in all cognitive load indicators, except those related to skin conductance; no differences were found in the results of the knowledge test. No significant differences were found for the display type variable. |
| Goodness- of-Fit Index | Default Model 1 | Independence Model 1 | Accepted Value |
|---|---|---|---|
| χ2 | 85.98, df = 38 p = 0.00 *. | - | p > 0.05 α = 0.95 |
| RAMSEA | 0.16 | 0.45 | >0.05–0.08 |
| RAMSEA intervals (LO 90) | 0.12 | 0.42 | >0.05–0.08 |
| SRMR | 0.06 | - | >0.05–0.08 |
| NFI | 0.85 | 0.00 | 0.85–0.90< |
| TLI | 0.90 | 0.00 | 0.85–0.90< |
| IFC | 0.90 | 0.00 | 0.95–0.97< |
| AIC | 163.98 | 623.68 | The lowest value |
| ECVI | 3.49 | 13.27 | The lowest value |
| ECVI interval (90%) | 2.99 | 11.70 | The lowest value |
Disclaimer/Publisher’s Note: The statements, opinions and data contained in all publications are solely those of the individual author(s) and contributor(s) and not of MDPI and/or the editor(s). MDPI and/or the editor(s) disclaim responsibility for any injury to people or property resulting from any ideas, methods, instructions or products referred to in the content. |
© 2024 by the authors. Licensee MDPI, Basel, Switzerland. This article is an open access article distributed under the terms and conditions of the Creative Commons Attribution (CC BY) license (https://creativecommons.org/licenses/by/4.0/).
Share and Cite
Sáiz-Manzanares, M.C.; Marticorena-Sánchez, R.; Sáez-García, J.; González-Díez, I. Analysing Virtual Labs Through Integrated Multi-Channel Eye-Tracking Technology: A Proposal for an Explanatory Fit Model. Appl. Sci. 2024, 14, 9831. https://doi.org/10.3390/app14219831
Sáiz-Manzanares MC, Marticorena-Sánchez R, Sáez-García J, González-Díez I. Analysing Virtual Labs Through Integrated Multi-Channel Eye-Tracking Technology: A Proposal for an Explanatory Fit Model. Applied Sciences. 2024; 14(21):9831. https://doi.org/10.3390/app14219831
Chicago/Turabian StyleSáiz-Manzanares, María Consuelo, Raúl Marticorena-Sánchez, Javier Sáez-García, and Irene González-Díez. 2024. "Analysing Virtual Labs Through Integrated Multi-Channel Eye-Tracking Technology: A Proposal for an Explanatory Fit Model" Applied Sciences 14, no. 21: 9831. https://doi.org/10.3390/app14219831
APA StyleSáiz-Manzanares, M. C., Marticorena-Sánchez, R., Sáez-García, J., & González-Díez, I. (2024). Analysing Virtual Labs Through Integrated Multi-Channel Eye-Tracking Technology: A Proposal for an Explanatory Fit Model. Applied Sciences, 14(21), 9831. https://doi.org/10.3390/app14219831

