Cross-Layer Routing Protocol Based on Channel Quality for Underwater Acoustic Communication Networks
Abstract
1. Introduction
- The cross-layer routing protocol is designed by combining the physical layer and data link layer parameters to realize the information exchange between different layers. Simulation results show that the protocol can effectively improve the network performance.
- The channel impulse response is calculated using winter sound speed profile data from a specific sea area, and the results are applied to the OFDM communication system to obtain the BER of underwater acoustic channels under specific marine environments, different transceiver positions, and fixed modulation modes. The BER serves as a channel quality evaluation index, which provides an important basis for designing cross-layer routing protocols.
- The reward function for reinforcement learning was designed by considering channel quality, node buffer state, and remaining energy to select reliable links and avoid congestion, thereby enhancing the PDR and reducing end-to-end delay. Additionally, a forwarding candidate selection method based on node depth, remaining energy, and buffer state was proposed to accelerate algorithm convergence.
2. Related Work
3. System Model
3.1. Network Model
- Numerous underwater sensor nodes are randomly scattered throughout a three-dimensional underwater network;
- The destination nodes are energy unconstrained and can obtain their position information through GPS;
- All underwater nodes can obtain their location information through positioning algorithms;
- All nodes have access to their buffer status.
3.2. Energy Consumption Model
3.3. Communication Model
4. Proposed CLCQ Protocol
4.1. Q-Learning-Based Routing Protocol
4.2. Selection of Forwarding Candidate Set
4.3. Selection of Next Hop
4.4. Packet Structure Design
4.5. Overview of CLCQ
- (1)
- Initialize the network: Set parameters such as node coordinates, Q-values, V-values, communication range, maximum buffer length, and initial energy.
- (2)
- Broadcast beacon: Obtain the status information of neighbor nodes, such as the residual energy, current buffer state, and locations.
- (3)
- Send RTS: Broadcast RTS packet with a test data segment. After receiving the RTS packet, the neighbor node uses the test data segment to calculate the BER and writes the result to the CTS packet.
- (4)
- Receive CTS packets from neighbor nodes.
- (5)
- Determine the forwarding candidate set: Select based on node depth, remaining energy, and buffer state.
- (6)
- Calculate the Q-values of all nodes in the forwarding candidate set.
- (7)
- Select the node with the highest Q-value as the next hop, update the V-value, and then proceed with the data packet transmission.
- (8)
- Determine if the sink node has received the data packet: If the sink node has received the data packet, the process ends; if not, repeat steps (3) to (7) until the sink node receives it.
| Algorithm 1 CLCQ Algorithm | |
| 1: | Initialize network; |
| 2: | Broadcast beacon; |
| 3: | Get , , , and the location of neighbors; |
| 4: | Begin |
| 5: | If ! = sink node) then |
| 6: | Send RTS; |
| 7: | Receive CTS; |
| 8: | Select forwarding candidate set; |
| 9: | While the next hop is not found do |
| 10: | For do |
| 11: | Calculate the reward function ; |
| 12: | Calculate the action-utility function ; |
| 13: | End for |
| 14: | Select with the max as the next hop; |
| 15: | Update the of with max ; |
| 16: | End while |
| 17: | Packet transmission; |
| 18: | Receive ACK; |
| 19: | End if |
| 20: | End |
5. Simulation Results and Performance Analyses
5.1. Simulation Setting
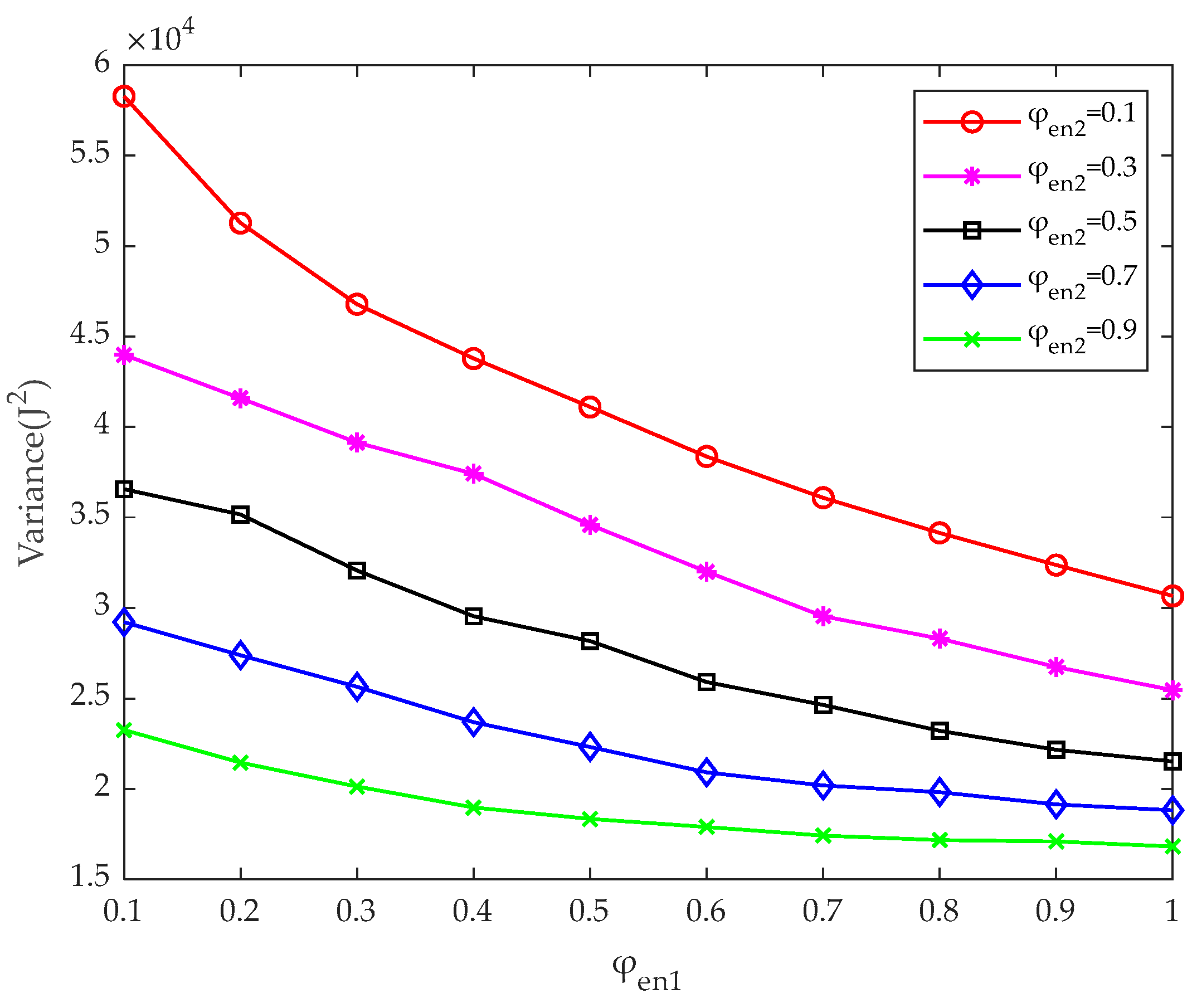
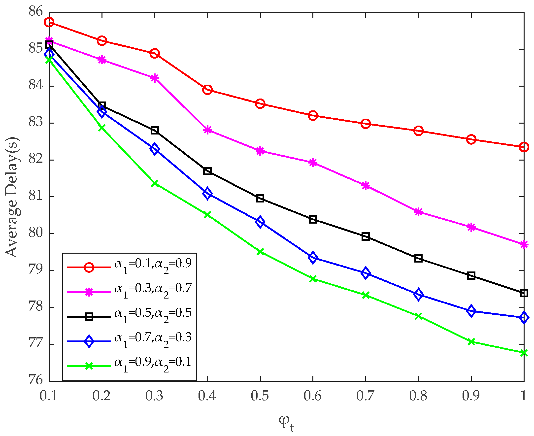
5.2. Performance Evaluation of CLCQ
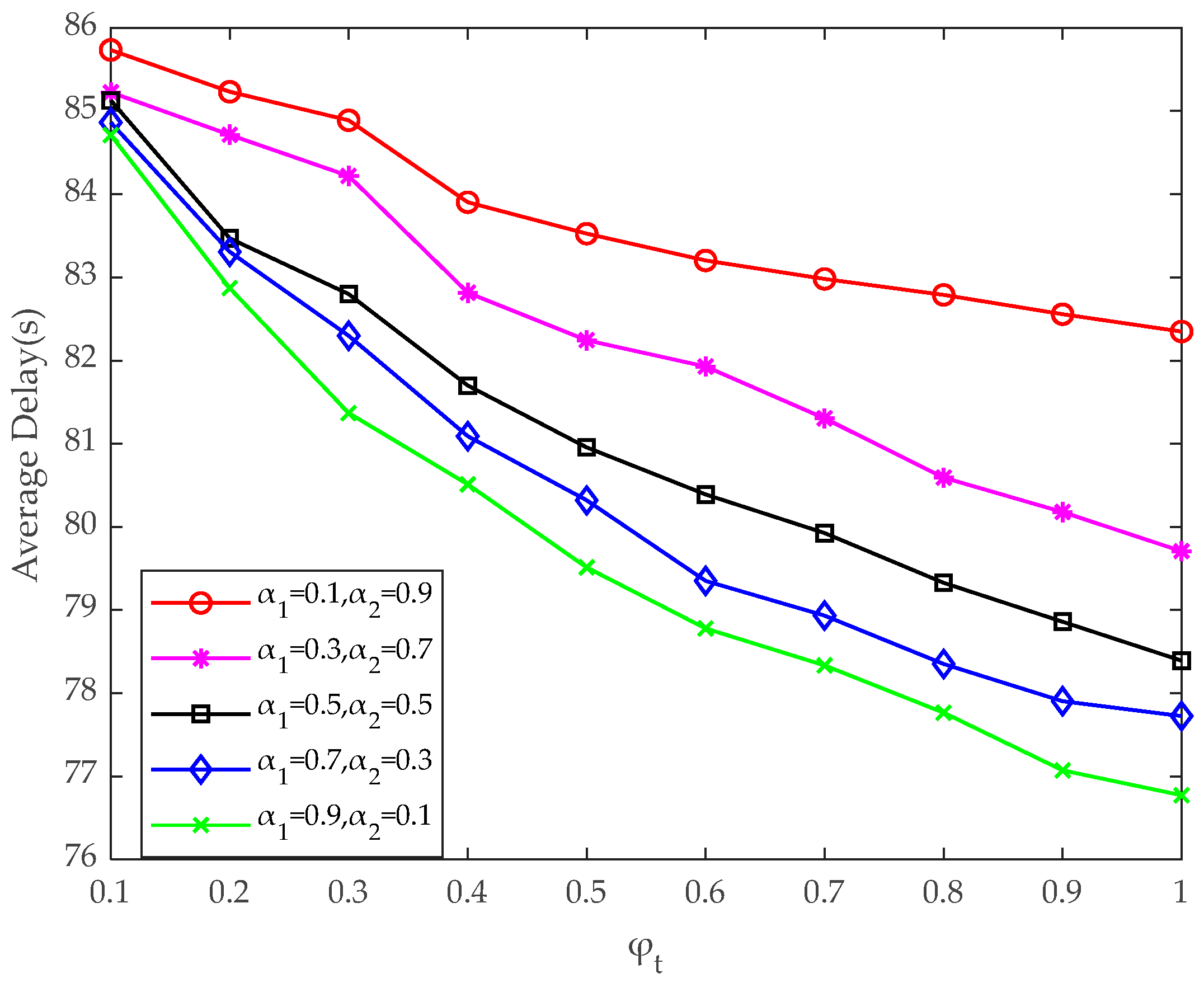
5.3. Performance Comparisons
5.4. Summary and Discussion
6. Conclusions
Author Contributions
Funding
Institutional Review Board Statement
Informed Consent Statement
Data Availability Statement
Conflicts of Interest
References
- Ali, M.F.; Jayakody, D.N.K.; Chursin, Y.A.; Affes, S.; Dmitry, S. Recent Advances and Future Directions on Underwater Wireless Communications. Arch. Comput. Methods Eng. 2020, 27, 1379–1412. [Google Scholar] [CrossRef]
- Xiao, X.; Huang, H.; Wang, W. Underwater Wireless Sensor Networks: An Energy-Efficient Clustering Routing Protocol Based on Data Fusion and Genetic Algorithms. Appl. Sci. 2021, 11, 312. [Google Scholar] [CrossRef]
- Akyildiz, I.F.; Pompili, D.; Melodia, T. Underwater Acoustic Sensor Networks: Research Challenges. Ad Hoc Netw. 2005, 3, 257–279. [Google Scholar] [CrossRef]
- Akkaya, K.; Younis, M. A Survey on Routing Protocols for Wireless Sensor Networks. Ad Hoc Netw. 2005, 3, 325–349. [Google Scholar] [CrossRef]
- Luo, Y.; Pu, L.; Zuba, M.; Peng, Z.; Cui, J.-H. Challenges and Opportunities of Underwater Cognitive Acoustic Networks. IEEE Trans. Emerg. Top. Comput. 2014, 2, 198–211. [Google Scholar] [CrossRef]
- Awan, K.M.; Shah, P.A.; Iqbal, K.; Gillani, S.; Ahmad, W.; Nam, Y. Underwater Wireless Sensor Networks: A Review of Recent Issues and Challenges. Wirel. Commun. Mob. Comput. 2019, 2019, e6470359. [Google Scholar] [CrossRef]
- Ghaffari, A. Congestion Control Mechanisms in Wireless Sensor Networks: A Survey. J. Netw. Comput. Appl. 2015, 52, 101–115. [Google Scholar] [CrossRef]
- Emokpae, L.E.; Liu, Z.; Edelmann, G.F.; Younis, M. A Cross-Stack QoS Routing Approach For Underwater Acoustic Sensor Networks. In Proceedings of the 2018 Fourth Underwater Communications and Networking Conference (UComms), Lerici, Italy, 28–30 August 2018; pp. 1–5. [Google Scholar]
- Liu, J.; Yu, M.; Wang, X.; Liu, Y.; Wei, X.; Cui, J. RECRP: An Underwater Reliable Energy-Efficient Cross-Layer Routing Protocol. Sensors 2018, 18, 4148. [Google Scholar] [CrossRef]
- Su, Y.; Xu, Y.; Pang, Z.; Kang, Y.; Fan, R. HCAR: A Hybrid-Coding-Aware Routing Protocol for Underwater Acoustic Sensor Networks. IEEE Internet Things J. 2023, 10, 10790–10801. [Google Scholar] [CrossRef]
- Pompili, D.; Akyildiz, I.F. A Multimedia Cross-Layer Protocol for Underwater Acoustic Sensor Networks. IEEE Trans. Wirel. Commun. 2010, 9, 2924–2933. [Google Scholar] [CrossRef]
- Wang, B.; Zhang, H.; Zhu, Y.; Cai, B.; Guo, X. Adaptive Power-Controlled Depth-Based Routing Protocol for Underwater Wireless Sensor Networks. J. Mar. Sci. Eng. 2023, 11, 1567. [Google Scholar] [CrossRef]
- Shen, Z.; Yin, H.; Jing, L.; Ji, X.; Liang, Y.; Wang, J. A Power Control-Aided Q-Learning-Based Routing Protocol for Optical-Acoustic Hybrid Underwater Sensor Networks. IEEE Trans. Green Commun. Netw. 2023, 7, 2117–2129. [Google Scholar] [CrossRef]
- Xu, H.; Yuan, X. Cross-Layer Design for Energy-Efficient Reliable Multi-Path Transmission in Event-Driven Wireless Sensor Networks. Sensors 2023, 23, 6520. [Google Scholar] [CrossRef]
- Jin, Z.; Zhao, Q.; Su, Y. RCAR: A Reinforcement-Learning-Based Routing Protocol for Congestion-Avoided Underwater Acoustic Sensor Networks. IEEE Sens. J. 2019, 19, 10881–10891. [Google Scholar] [CrossRef]
- Ali, R.; Sohail, M.; Almagrabi, A.O.; Musaddiq, A.; Kim, B.-S. greenMAC Protocol: A Q-Learning-Based Mechanism to Enhance Channel Reliability for WLAN Energy Savings. Electronics 2020, 9, 1720. [Google Scholar] [CrossRef]
- Guo, J.; Song, S.; Liu, J.; Chen, H.; Lin, B.; Cui, J.-H. An Efficient Geo-Routing-Aware MAC Protocol Based on OFDM for Underwater Acoustic Networks. IEEE Internet Things J. 2023, 10, 9809–9822. [Google Scholar] [CrossRef]
- Li, N.; Martínez, J.-F.; Meneses Chaus, J.M.; Eckert, M. A Survey on Underwater Acoustic Sensor Network Routing Protocols. Sensors 2016, 16, 414. [Google Scholar] [CrossRef]
- Shovon, I.I.; Shin, S. Survey on Multi-Path Routing Protocols of Underwater Wireless Sensor Networks: Advancement and Applications. Electronics 2022, 11, 3467. [Google Scholar] [CrossRef]
- Xie, P.; Cui, J.-H.; Lao, L. VBF: Vector-Based Forwarding Protocol for Underwater Sensor Networks. In Proceedings of the NETWORKING 2006. Networking Technologies, Services, and Protocols; Performance of Computer and Communication Networks; Mobile and Wireless Communications Systems; Boavida, F., Plagemann, T., Stiller, B., Westphal, C., Monteiro, E., Eds.; Springer: Berlin/Heidelberg, Germany, 2006; pp. 1216–1221. [Google Scholar]
- Nicolaou, N.; See, A.; Xie, P.; Cui, J.-H.; Maggiorini, D. Improving the Robustness of Location-Based Routing for Underwater Sensor Networks. In Proceedings of the OCEANS 2007–Europe, Aberdeen, Scotland, 18–21 June 2007; pp. 1–6. [Google Scholar]
- Xie, P.; Zhou, Z.; Peng, Z.; Cui, J.-H.; Shi, Z. Void Avoidance in Three-Dimensional Mobile Underwater Sensor Networks. In Wireless Algorithms, Systems, and Applications; Liu, B., Bestavros, A., Du, D.-Z., Wang, J., Eds.; Lecture Notes in Computer Science; Springer: Berlin/Heidelberg, Germany, 2009; Volume 5682, pp. 305–314. ISBN 978-3-642-03416-9. [Google Scholar]
- Hu, T.; Fei, Y. QELAR: A Machine-Learning-Based Adaptive Routing Protocol for Energy-Efficient and Lifetime-Extended Underwater Sensor Networks. IEEE Trans. Mob. Comput. 2010, 9, 796–809. [Google Scholar] [CrossRef]
- Luo, J.; Chen, Y.; Wu, M.; Yang, Y. A Survey of Routing Protocols for Underwater Wireless Sensor Networks. IEEE Commun. Surv. Tutor. 2021, 23, 137–160. [Google Scholar] [CrossRef]
- Coutinho, R.W.L.; Boukerche, A.; Vieira, L.F.M.; Loureiro, A.A.F. GEDAR: Geographic and Opportunistic Routing for Underwater Sensor Networks. IEEE Trans. Comput. 2016, 65, 548–561. [Google Scholar] [CrossRef]
- Yuan, Y.; Zhuo, X.; Wei, Y.; Qu, F. Multi-Objective Routing Optimization to Support IoUT Applications in UWSNs. IEEE Internet Things J. 2024, 11, 27664–27675. [Google Scholar] [CrossRef]
- Liu, S.; Wang, J.; Shi, W.; Han, G.; Yan, S.; Li, J. CLORP: Cross-Layer Opportunistic Routing Protocol for Underwater Sensor Networks Based on Multiagent Reinforcement Learning. IEEE Sens. J. 2024, 24, 17243–17258. [Google Scholar] [CrossRef]
- Sun, Y.; Ge, W.; Li, Y.; Yin, J. Cross-Layer Protocol Based on Directional Reception in Underwater Acoustic Wireless Sensor Networks. J. Mar. Sci. Eng. 2023, 11, 666. [Google Scholar] [CrossRef]
- Sozer, E.M.; Stojanovic, M.; Proakis, J.G. Underwater Acoustic Networks. IEEE J. Ocean. Eng. 2000, 25, 72–83. [Google Scholar] [CrossRef]
- Watkins, C.J.C.H.; Dayan, P. Q-Learning. Mach Learn 1992, 8, 279–292. [Google Scholar] [CrossRef]
- Naeem, M.; Rizvi, S.T.H.; Coronato, A. A Gentle Introduction to Reinforcement Learning and Its Application in Different Fields. IEEE Access 2020, 8, 209320–209344. [Google Scholar] [CrossRef]
- Molins, M.; Stojanovic, M. Slotted FAMA: A MAC Protocol for Underwater Acoustic Networks. In Proceedings of the OCEANS 2006–Asia Pacific, Singapore, 16–19 May 2006; pp. 1–7. [Google Scholar]
















| Parameters | Symbols |
|---|---|
| Constant reward | |
| Channel quality sensitivity | |
| Channel-quality-related reward | |
| Delay and congestion sensitivity | |
| Delay-and-congestion-related reward | |
| Residual energy sensitivity | |
| Residual energy reward | |
| Energy distribution sensitivity | |
| Energy distribution reward | |
| Residual energy of node ni | |
| The initial energy of node ni | |
| Average residual energy of ni neighbor nodes | |
| Current buffer length | |
| Maximum buffer length | |
| A handshake time | |
| Proportionality factor | |
| BER from ni to nj | |
| Average BER to its neighbor nodes | |
| Maximum number of retransmissions | |
| Discount factor |
| Simulation Parameters | Values |
|---|---|
| Transmission range | 1000 m |
| Frequency | 9.75 kHz |
| Receiving power | 0.6 W |
| Idle power | 1 mW |
| Transmission rate | 2 kb/s |
| Data packet size | 512 bit |
| Energy initialization of nodes | 1000 J |
| The number of nodes | [50,60,70,80,90,100] |
Disclaimer/Publisher’s Note: The statements, opinions and data contained in all publications are solely those of the individual author(s) and contributor(s) and not of MDPI and/or the editor(s). MDPI and/or the editor(s) disclaim responsibility for any injury to people or property resulting from any ideas, methods, instructions or products referred to in the content. |
© 2024 by the authors. Licensee MDPI, Basel, Switzerland. This article is an open access article distributed under the terms and conditions of the Creative Commons Attribution (CC BY) license (https://creativecommons.org/licenses/by/4.0/).
Share and Cite
He, J.; Tian, J.; Pu, Z.; Wang, W.; Huang, H. Cross-Layer Routing Protocol Based on Channel Quality for Underwater Acoustic Communication Networks. Appl. Sci. 2024, 14, 9778. https://doi.org/10.3390/app14219778
He J, Tian J, Pu Z, Wang W, Huang H. Cross-Layer Routing Protocol Based on Channel Quality for Underwater Acoustic Communication Networks. Applied Sciences. 2024; 14(21):9778. https://doi.org/10.3390/app14219778
Chicago/Turabian StyleHe, Jinghua, Jie Tian, Zhanqing Pu, Wei Wang, and Haining Huang. 2024. "Cross-Layer Routing Protocol Based on Channel Quality for Underwater Acoustic Communication Networks" Applied Sciences 14, no. 21: 9778. https://doi.org/10.3390/app14219778
APA StyleHe, J., Tian, J., Pu, Z., Wang, W., & Huang, H. (2024). Cross-Layer Routing Protocol Based on Channel Quality for Underwater Acoustic Communication Networks. Applied Sciences, 14(21), 9778. https://doi.org/10.3390/app14219778

