Abstract
Recycled powder (RP) is the primary by-product generated during the reclamation process of construction and demolition waste (CDW). There is existing literature on the use of RP as supplemental cementitious materials (SCMs) in cement-based materials, but a comprehensive evaluation on the characteristics of RP generated from concrete waste has been missing until now. This paper critically reviews the use of RP from concrete waste in cement-based materials, as concrete waste makes up a significant amount of CDW and other components have designated recycling methods. In this sense, this study conducted a critical analysis on the use of RP as an SCM, using detailed literature research. The technology used for producing RP is detailed along with its chemical, mineralogy, and microstructural characteristics. Fresh-state properties in cementitious matrices with RP are introduced with the view of mechanical grinding, thermal activation, carbonation, chemical treatment, biomineralization, mineral addition, nano activation, and carbonation. The review highlights the significant potential of utilizing RP in cement-based materials. Specifically, RP can be advantageously utilized in the production of value-added construction materials.
1. Introduction
In the 20th century, climate change has direct impacts on human survival and development across multiple domains, including resources, energy, environment, and food security, bringing more uncertainty risks [,,]. Within this context, the traditional construction industry, which is responsible for 39% of total carbon emissions in 2018 [], is widely regarded as one of the least environmentally sustainable sectors due to three main factors: the excessive utilization of raw materials, high levels of energy consumption, and substantial pollution.
Concrete, being one of the leading materials contributing to this negative situation, requires significant quantities of natural resources such as sand, stone, cement, and water, as well as substantial amounts of fuel and energy for its production [,]. Furthermore, the manufacturing of Portland cement (PC), which serves as the primary binding agent in concrete, accounts for around 7–8% of worldwide greenhouse gas emissions [,,]. PC manufacture entails an average electricity use of 125 kW/h and leads to the emission of 800 kg of CO2 into the environment [,,]. Given the anticipated population expansion, it is estimated that the demand for PC would rise to 6 billion tons by 2050 [,].
In response to these problems, as an effective economic and environmental strategy for long-term sustainability, the construction industry has implemented strategies to reduce emissions. One of the most important and effective strategies for this goal is to utilize supplementary cementitious materials (SCMs) throughout the cement manufacturing process.
The literature has already established the practice of partially substituting cement with SCMs such as ground granulated blast-furnace slag (GGBS) [], fly ash (FA) [], silica fume (SF) [], and/or calcareous fillers []. On the other hand, by 2050, it is projected that FA and GGBS would only be able to fulfill 20% of the worldwide demand for cement production [,] and coal fire is subject to ongoing regulatory limitations in developed nations [,]. Therefore, it is necessary to investigate other materials that can be used in PC, while also ensuring that they meet the required quality control criteria [,].
The ongoing progress of industrialization and urbanization, along with the increased frequency of natural disasters and wars, has led to a significant global increase in construction and demolition waste (CDW) which encompasses the solid waste produced during construction activities and the whole or partial dismantling of structures and infrastructure [,,]. CDW represents 25–30% of worldwide total solid waste [], and it is estimated that by 2050, CDW alone would account for more than 27 billion tons of the world’s total solid waste [,].
According to the latest available data, it is estimated that in the European Union (EU), approximately 374 million tons of CDW (excluding soils) were produced in 2018 []. In the USA, in 2018, 600 million tons of CDW were generated, of which 33 million tons were generated during construction and 567.3 tons during demolition activities []. About 20.4 million tons of CDW was generated across Australia during the period of 2017–2018 []. In 2021, China produced almost 2 billion metric tons of CDW, and this number is expected to increase to 7 billion metric tons by 2030 []. In 2020, Brazil collected a total of 47 million tons of CDW which is equivalent to 221.2 kg per inhabitant per year []. In 2017, the Japanese construction industry produced a total of 83.9 million tons of waste, which accounted for approximately 22% of the overall industrial waste generated in Japan during that year [].
Although the CDW amount is extremely high, the rate of reuse or recycling is modest in most nations. The recycling rate of CDW is more than 70% in some developed countries and regions such as Japan, Europe, and the United States []. In the United States, 76.2% of CDW, which is about 457 million tons, was directed to next use and 23.8% of CDW, which is over 143 million tons, was sent to landfills in 2018 []. In Australia, during the period of 2017–2018, 33% of CDW was disposed of in landfills []. The recycling rate is currently less than 10% in China [] and about 1% in India []. In Brazil, only 6% of CDW is recycled [].
The majority of CDW is disposed of in landfills or illicitly dumped in empty plots of land, as well as along riverbanks and roadsides [,,,]. Consequently, the environment encounters various environmental repercussions, including the accumulation of sediment in rivers and lakes, contamination of soil and water [,], obstruction of urban drainage systems leading to flooding, degradation of the landscape known as visual pollution, proliferation of disease-carrying vectors that pose a threat to human health [], and numerous social and economic issues due to the substantial expenses incurred by municipalities for its removal [,,,].
The composition of the CDW might vary based on the construction system utilized in each country; however, generally, it consists of concrete, bricks, excavated soil, metals, glass, gypsum, wood, plastic, and ceramic materials [,,,]. In their study, Xiao et al. [] found that concrete and bricks composed almost 80% of the overall CDW’s weight. According to Özalp et al. [], concrete, bricks, and mortar constitute 80% of CDW’s weight. Additionally, other research has discovered that the CDW predominantly consists of waste concrete (WC) and waste brick, making up around 80% of the CDW’s weight, and this amount is recyclable [,,].
Therefore, numerous scholars and professionals have prioritized the recycling of CDW. After metals and organic materials are removed [], by utilizing suitable crushing and screening machinery, recycled aggregate (RA) of varying particle sizes is generated. RAs are used in mortar and concrete compositions, along with several additional uses (bases and subbases [,], filler material [], asphalts and roads [], building greening [], etc.). Furthermore, the use of RA in concrete reduces greenhouse gas emissions [,,].
The mechanical characteristics and durability of recycled aggregate concrete (RAC) have been extensively studied [,,,] and the researchers provided several strategies that resulted in an increased performance of RA []. There is a widely held belief that it is possible to substitute natural coarse aggregate (NCA) with recycled coarse aggregate (RCA) up to a maximum of 30% without compromising the overall effectiveness of concrete [,].
However, RA faces challenges in preserving its quality as an aggregate due to its wide variety of densities and absorption rates [,,]. Hence, concrete including RA may encounter issues pertaining to reduced compressive strength, higher mixing water demand, higher volumetric shrinkage, and durability when subjected to freezing and thawing, as compared to concrete utilizing natural material [,,,].
While producing RA, there is still one unresolved issue that is not properly addressed. A substantial amount of recycled powder (RP) is generated, but its current usability is hindered by its elevated water absorption and impurity levels [,,]. As a result, RP is mostly utilized for the preparation of backfilling materials [] and road base/subbase [,] or disposed of in landfills [].
If not properly collected and disposed of, RP has the potential to disperse and remain suspended in the air, leading to an elevation in the concentration of human-generated aerosols []. This, in turn, contributes to air pollution and can result in respiratory ailments and various conditions such as asthma and lung cancer []. The particulate-induced air pollution in numerous emerging nations poses a significant risk to public health, as seen by the rising number of air quality advisories being issued in cities across the globe [,]. Moreover, an extensive quantity of untreated RP builds up, leading to land occupation and the release of dust, which is then discharged into the river system and contributes to river silt [,]. These fine particles have a significant impact on the ecological environment [,,,]. Hence, it is crucial to develop an environmentally friendly method to dispose of the RP produced during the recycling of CDW.
The potential of recycling and converting CDW into RP for use as a partial replacement for cement in cement-based materials is highly promising. The efficient utilization of RP has the potential to substitute a portion of cement, address the difficulties associated with CDW disposal, diminish the carbon emissions of the concrete sector, and preserve natural resources. It aligns with the criteria of the cement sustainability plan and offers significant economic and environmental advantages [,,,,,,,,,,,].
This paper reviews the utilization of all types of RP exclusively obtained from WC, which is a major part of CDW, as a cement partial replacement in the cement-based materials (paste and mortar), within the framework as described in Section 2.
2. Research Methodology
A bibliographic review was conducted in this study to examine keywords related to the “utilization of RP as a cement replacement”. Given the large quantity of literature on the topic, it was imperative to choose a reliable search engine. Scopus and Web of Science were utilized due to their exceptional precision as search engines, making them ideally suited for this purpose.
The review focused on studies published between 2000 and 2024 that primarily assessed the use of all types of RP derived from WC as listed in Table 1. The review excluded evaluations of powders obtained from mortar, paste, or any other waste material except concrete. Special types of RPs such as aerated concrete waste, autoclaved concrete waste, hydrated cement paste, concrete waste slurry, and waste cellular concrete powders were also excluded in the study following Section 4. The review focused on only pastes and mortars following Section 4.

Table 1.
Concrete waste-based powders (CDW origin).
The methods and equipment used for RP preparation are initially presented, and the particle size distribution of RP and the impact of varying grinding durations on the reactivity of RP are examined. Then, the physical and chemical properties of RP are investigated, and density, appearance and microstructure, chemical composition, and mineralogical composition are further reviewed. Then, the activity index of RP is introduced. Thus far, only mechanical activation has been considered. Next, a detailed description of various ways used to stimulate the activity of RP, considering its low activity, is provided.
Under the Section 5, hydration heat analysis, microstructure, mineralogical composition, and pore structure are reviewed in detail. Next, fresh-state properties in cementitious matrices with RP are introduced with presenting workability, setting time, air content, water demand, viscosity, and fresh density. For each reviewed topic, the optimal value is suggested, considering the effect of mechanical grinding, carbonization treatment, thermal treatment, chemical treatment, biomineralization, mineral addition, and nanomaterial modification.
Overall, this article provides an overview of the impact of using RP from concrete waste as a substitute for cement on the performance of cement-based materials. It specifically investigates the impact of this substitution on the qualities of fresh mixture for pastes and mortars.
3. Fundamental Properties of RP
3.1. RP Preparation Methods and Equipment
At present, the recycling of concrete waste into RP involves four distinct phases [,,,]. During the initial phase, concrete waste is segregated and gathered from CDW. The remaining components of CDW are sorted and recycled through their respective designated pathways. Then, the concrete waste is pulverized into reclaimed materials measuring 0–31.5 mm. The coarse aggregates that have been recycled and have low absorption are used in the preparation of concrete. The fine aggregate and the large particle powder acquired from recycling are commonly employed in the preparation of RP. Nevertheless, the recycled fine aggregate (RFA) and the large particle powder have a significant particle size and a limited reactivity [,,,], and they are unsuitable for use as an SCM. To employ these two materials as an SCM, it is possible to grind them into fine powders, which are referred to as RP, which allows for the efficient exploitation of CDW []. For this purpose, the materials are dried until they reach a constant weight, and then they are ground into RP using grinding equipment. Additionally, the particle size distribution can be enhanced by modifying the type of grinding equipment and the time of grinding [,,].
The recycled material from crushed CDW can be classified into three distinct forms based on the particle sizes: RCA (5.00–31.5 mm) [,,,], RFA (0.15 mm–5.00 mm) [,,], and RP (<0.15 mm) [,,,,,].
It is worth mentioning that some scholars define the fine particles obtained by a mechanical pre-treatment (crushing, grinding, and sieving) from CDW as RP if the particle size is below 75 μm [,,,] and others define it as RP if the particle size is below 150 μm [,,,,,,,,,]. In this study, the term “RP” is used to refer to particles with a size smaller than 150 μm, to encompass a wide range of studies.
Different grinding equipment can be utilized for the preparation of RP, and the specific type of grinding equipment employed significantly affects the qualities of RP []. The microstructure of RP generated by a jet mill exhibits greater regularity compared to that produced by a ball mill.
The effectiveness of size reduction is affected by various factors, such as the velocity of the mill, the diameter of the balls, the rate at which the mill is filled, the distribution of feed sizes, the density of the pulp, the hardness of the material, the characteristics of dispersion, revolutions per minute, and the method of grinding (wet or dry) [,,,,,,].
3.2. Particle Size Distribution of RP
The particle size gradation was generally obtained using a particle size laser analyzer, image analyzer, and mercury intrusion porosimeter (MIP) in accordance with ASTM C204-11 [] and EN 196-6 []. Figure 1 summarizes the median particle size (D50) of RP reported in the literature compared to PC, FA, and GGBS. RP presents greater data dispersion, with maximum and minimum values of 142 μm [] and 0.25 μm [], respectively, and an average of 17.8 μm. Atypical points for RP are 9.19 μm and 30 μm. PC, FA, and GGBS present lower D50 value dispersion. The average D50s of cement and FA are 19.7 μm and 18.6 μm, respectively, which are similar to RP. Atypical points for cement are 14 μm and 19.97 μm and atypical points for FA are 12 μm and 30 μm. On the other hand, the D50 average of GGBS (13.6 μm) is smaller than RP. Atypical points for GGBS are 11 μm and 15.6 μm. When utilizing RP as an SCM, it is advisable to ensure it has a high reactivity and has a small particle size, comparable to or smaller than cement [,,,,]. These properties contribute to the hydration reaction by promoting nucleation, creating new hydrated products, and enhancing material compactness through a filling effect [,,].

Figure 1.
Median particle size (D50, μm) for RP, cement, FA, and GGBS.
3.3. Specific Surface Area (SSA) and the Effect of Grinding Duration on RP’s Physical Properties
As stated in Section 3.2, for optimal reactivity and performance in cement-based materials, RP particles should be extremely fine. RP reactivity has been shown to increase with higher SSA and fineness, grinding time, and grinding type [,,,,,,]. High reactivity is due to the larger specific surface area, which leads to a greater reaction area and the availability of numerous active atoms that efficiently connect with other atoms [,,].
Figure 2 presents the SSA of RP reported in literature compared to PC, FA, and GGBS. There is a substantial variation in SSA values for RP, with an average of 454.25 m2/kg and atypical points from 281.7 m2/kg to 575 m2/kg. The maximum value is 1351 m2/kg [] and the minimum value is 73.57 m2/kg []. In the case of cement, FA, and GGBS, SSA data have averages of 355.6 m2/kg, 390.05 m2/kg, and 458 m2/kg, respectively.

Figure 2.
Specific surface area (m2/kg) for RP, cement, FA, and GGBS.
The SSA data presented in Figure 2 are obtained using the Blaine method in accordance with GB/T8074-2008 [] (equivalent to that stated in ASTM C204-18-1 []), and NBR 16372 []. The Blaine method relies on measuring the difference in pressure within a dry and compressed layer of powder [].
Although the majority of the studies used the Blaine method, some recent studies used the Brunauer–Emmett–Teller (BET) method to measure the SSA [,,,,,,,,,]. Unlike air permeability, the BET approach is a precise measurement of specific surface area as it does not rely on any assumptions regarding the shape of the particles. The BET method relies on the adsorption of a gas onto the solid’s surface, which includes any accessible surface pores and fissures. It quantifies the amount of adsorbed gas that corresponds to a monomolecular layer on the surface [,].
Figure 3 shows the SSA (Blaine) of RP as a function of D50, including the dry grinding and the wet grinding of RP. The figure demonstrates that as the particle diameter of RP decreases, SSA increases.

Figure 3.
Specific surface area (m2/kg) versus median particle size (D50, μm) [,,,,,,,,,,,,,,,,,,,,,,,,,,,,,,,,,,,].
However, the process of grinding to achieve fine RP requires a significant amount of energy, resulting in adverse environmental impacts and increased production costs for RP. Furthermore, excessive grinding duration leads to an agglomeration of the material and reduces the strength of the specimen. [,,,]. To minimize energy consumption during production and achieve the finest possible particle size of RP, it is crucial to determine the optimal grinding time [,,,,]. Figure 4 presents the dry grinding time of RP as a function of D50, and Figure 5 presents the wet grinding time of RP as a function of D50.

Figure 4.
Median particle size (D50, μm) versus dry grinding time (min) [,,,,,,,,,,,,,,,,,,,,,,,,,,,,,,,,,,,,].

Figure 5.
Median particle size (D50, μm) versus wet grinding time (min) [,,,,,].
Based on the analysis of Figure 4 and Figure 5, 20 to 30 min is an appropriate duration for dry grinding, whereas 60 to 80 min is ideal for wet grinding [,,,,,,,,,,,], and the smallest RP particle sizes were produced by wet grinding [,,,].
In their study, Sun et al. [] conducted a three-stage dry grinding procedure lasting 25, 50, and 75 min. Notably, there was a substantial alteration in the D50 value between the 25 and 50 min intervals. Liu et al. [] investigated the correlation between the duration of dry grinding and the size of particles. The researchers observed that as the grinding time increased, the average particle size of RCP initially decreased rapidly within the first 30 min. However, between 30 and 50 min, the average particle size decreased at a slower rate, indicating lower grinding efficiency.
Zhang et al. [] employed durations of 10, 20, and 30 min for dry grinding. The reduction in the particle size of RCP became more pronounced as the grinding duration increased up to 20 min, but then started to decline. They stated that following a 20 min grinding process, the RCP particles exhibited a significant improvement in smoothness and acquired a more spherical form in comparison to their initial state.
In a wet grinding process lasting 120 min, Wang et al. [] achieved a reduction from 142 μm to 0.324 μm. Zhang et al. [] achieved particles with a diameter of 0.249 μm (D50) after 90 min of wet grinding, while He et al. [] achieved particles with a diameter of 1.28 μm (D50) after 60 min of wet grinding.
3.4. Physical and Chemical Properties of RP
Due to the intricate and varied sources and components of CDW, as well as the quality of the recycling facilities, physical and chemical properties of RP differ from those of conventional mineral admixtures such FA, GGBS, and SF [,]. Hence, it is imperative to investigate the composition and physicochemical characteristics of RP to identify its appropriate uses [,,].
3.4.1. Density
In the literature, the density of the RP was evaluated using a Le Chatelier specific gravity bottle according to code GB/T 208-2014 [] (equivalent to that stated in ASTM C188-17 []), NBR 16607 [] (equivalent to that stated in ASTM C188-15,2015 []), IS 4031-Part 11 (2005) [], and EN 1097-7 [].
The densities of RP, cement, and FA that are presented in Figure 6 are a collection of data obtained from multiple investigations. As shown in Figure 6, the density of RP ranges from 2.025 g/cm3 [] to 2.9 g/cm3 [], with an average of 2.487 g/cm3. The density of RP is lower than the density of cement, which ranges from 3.03 g/cm3 [] to 3.190 g/cm3 [,] with an average of 3.125 g/cm3. Conversely, the density of RP is greater than that of FA, which is between the range of 1.861 g/cm3 [] to 2.99 g/cm3 [], with an average of 2.325 g/cm3.

Figure 6.
Density (g/cm3) for RP, cement, and FA.
3.4.2. Appearance and Microstructure
The appearance and the micro-structure of RP are generally determined by equipment such as scanning electron microscopy (SEM), environmental scanning electron microscopy (ESEM), and electron dispersive spectroscopy (EDS).
RP is a dry powder which has an off-white, grey color, and its look is comparable to that of cement, FA, SF, and limestone powder (LP) [,,,,,,,,,,,]. On the other hand, RP particles exhibit non-uniform shapes and uneven edges with sharp angles [,,,,,,,,,,,,,,,,,,,,,,,,,,,,,,,,,,], contrary to cement [,,,,,,], FA [,,,], SF [], and LP [] particles.
RP contains quartz (SiO2) from sand and residues of coarse aggregate, as well as calcite (CaCO3). RP also consists of the hydration products portlandite (CH) and calcium silicate hydrate (C–S–H) gel, which are formed from the hardened cement paste, as well as belite (C2S) and alite (C3S), which primarily originate from the unhydrated cement particles in the hardened cement [,,,,,,,,,,,,,,,,,,,,,,,]. The maximum and the minimum values of major components (SiO2, CaO, Al2O3, and Fe2O3) of RP are presented in Figure 7.

Figure 7.
The maximum and the minimum values of major components of RP.
RP particles exhibit rough texture surfaces, a large number of pores, and microcracks [,,,,,,,,,,,,,,]. The surface of RP particles exhibits a higher degree of roughness compared to cement particles due to the presence of porous hydration products such as CH within the RP particles [,,,,,]. Therefore, RP is a material with higher permeability than cement [,,,,,,]. Furthermore, the presence of plate-like and needle-bar-like structures can be observed within the RP due to the inclusion of hydration products [,,,].
Despite its irregular microstructure, larger particles are often surrounded by many fine particles [,,,]. The acute angles and rough surface of the RP particles enhance reactivity and facilitate hydration processes [,,] while fine particles enhance the specific surface area, leading to increased activity [,,]. However, the non-uniform arrangement of particles and the high SSA of RP leads to a reduction in the workability of the mixture [,,,,].
3.4.3. Chemical Composition
To obtain the chemical components of RP, the common method is to use an X-ray fluorescence (XRF) analysis. Figure 8 illustrates the main constituents of RP that have received a mechanical pretreatment, for a specific period, either wet or dry.

Figure 8.
Chemical content by weight (%) [,,,,,,,,,,,,,,,,,,,,,,,,,,,,,,,,,,,,,,,,,,,,,,,,,].
The primary chemical constituents of the RP are SiO2, calcium oxide (CaO), aluminum oxide (Al2O3), and ferric oxide (Fe2O3) [,,,,,,,,,,,,,,,,,,,,,,,,,,,,,,,,,]. These chemical constituents closely resemble the composition of regular cement [,,,,,,,,,,,,,,,], FA [,,,,,,], and GGBS [,] which indicates an optimal distribution of oxides and efficient source to be utilized as SCM in cement-based materials [,,].
RP has a significant amount of CaO and SiO2 [,,,,,,,,,,,,,,]. The high content of these two oxides can be attributed to the substantial presence of natural sand (quartz) and natural coarse particles (calcite) in the initial WC [,,,,,,,].
The CaO content in RP is lower than that in cement [,,,,,,,,,,,,] and higher than that in FA [,,,,]. The CaO content in RP exists as inert CaCO3, whereas the CaO content in cement is in the form of active clinker [,]. The presence of a lower CaO compound can be attributed to the high concentration of siliceous sand and reduced cement component, primarily produced from hydrated cement, existing in the form of C–S–H and CH [,,,].
The SiO2 content in RP is higher than both cement [,,,,,,,,,,,] and FA [,,,]. The higher SiO2 content can be attributed to the fact that RP was produced by grinding WC, and the SiO2 is mostly present due to the un-hydrated cement, C–S–H, and siliceous sand [,,]. RP has a lower content of sulfur trioxide (SO3), and higher alkali content (potassium oxide (K2O) and sodium oxide (Na2O)) compared to cement, FA, and GGBS []. In addition, RP contains lower amounts of aluminum and magnesium compared to GGBS [].
There is not an agreement in the literature on the specific ratio of chemical composition in relation to RP, as it varies based on its source and the type of aggregate used in the WC [,,,,,,]. Some research indicates that RP produced from demolition waste contains more SiO2 [,,,] and laboratory-produced RP contains more CaO [,,,].
A few studies have shown that RP fulfills the necessary criteria of ASTM C618 [] to be classified as a pozzolanic material, with a composition of Fe2O3+Al2O3+SiO2 above 70% as presented in Figure 9. In addition, it should be also noted that even while certain RP samples may contain more than 70% Fe2O3+Al2O3+SiO2, they may not exhibit pozzolanic activity due to the presence of crystalline particles inside the RP. Nevertheless, the literature indicates that the fine portion of recycled CDW aggregate contains residual anhydrous clinker, which can be recovered through grinding []. Consequently, enhancing the added value of recycled materials through physical or chemical methods is essential. It has been demonstrated that grinding α-SiO2 in the powder initially converts it into the more stable β-SiO2, which subsequently transforms into amorphous SiO2 [], hence enhancing its activity, and can be used as a cement replacement material [,]. Likewise, CH and C–S–H in waste concrete can be transformed into more amorphous forms through grinding, resulting in enhanced pozzolanic activity [,].

Figure 9.
Fe2O3+Al2O3+SiO2 and LOI by weight (%).
On the other hand, the maximum loss on ignition (LOI) requirement, 6% [], is not met for most of the cases as presented in Figure 9. It is important to mention that not all studies provide complete data, especially on LOI, which is essential for categorizing the substance as pozzolanic. Increased LOI in RP compared to cement is due to the breakdown of hydration products and the high concentration of CaCO3 in RP [,]. With respect to LOI, RP has a higher percentage of LOI than cement [,,,,]. The high LOI of RP should be attributed to the decomposition of hydration products and carbonation [,,,]. It should further be noted that the dry grinding and wet grinding process, grinding period, and finesse have a limited effect on the oxide content of RP [,,,,,,,,].
3.5. Mineralogical Composition
X-ray diffraction (XRD) is commonly used to evaluate the mineralogical composition by identifying existing phases and their approximate relative content based on signal position and intensity. The mineralogical composition can be further determined using a sophisticated thermal analyzer that is capable of doing both differential scanning calorimetry (DSC) and thermogravimetric analysis (TGA) concurrently.
The mineralogical composition of RP is complex because of the various mineral phases found in cement-based materials, transitioning between crystalline and amorphous states [,,,].
The identified primary common compounds include the following: quartz (SiO2) [,,,,,,,,,,,,,,,,,,,,,,,,,,,,,,,,,], calcite (CaCO3) [,,,,,,,,,,,,,,,,,,,,,,,,,,,,,,,,,,], portlandite (Ca(OH)2 or CH) [,,,,,,,,,,,], dolomite (CaMg(CO3)2) [,,,,,,,,], albite (NaAiSi3O8) [,,,,,], belite, (dicalcium silicate, C2S) [,,,,,,], alite, (tricalcium silicate, C3S) [,,,,,], potassium or sodium feldspar [,,,,,], C–S–H gel [,,,,,,,,,,], ettringite (Aft) [,,,,,], tobermorite [,], gismondine [,,,], gypsum [,], muscovite [,], celite [], ferrite [], anorhite [], monosulfate [], margarite [], mica [], zeolite [], larnite [], chlorite [], and hedenbergite [].
The presence of quartz and albite phases in RP can be attributed to the sand and gravel particles found in WC [,,,,,,,,,]. The presence of calcite in RP is likely attributed to the carbonation process of the original concrete [,,,,,,]. Portlandite, ettringite (AFt), Ca-based anorhite, and gypsum originated from cement or the primary hydration products of cement [,] The hydrated compounds CH and C–S–H gel were formed because of the solidification of the cement paste []. C2S and C3S were derived from the unhydrated cement particles in the hardened cement []. The primary origin of dolomite is the limestone coarse aggregate present in the initial concrete [].
In some of the studies, the XRD spectrum does not show the presence of hydration products often found in hardened paste, such as AFt and CH [,,,,]. This suggests that the portlandite and ettringite encountered decomposition or carbonization [,,,].
Song et al. [] and Li et al. [] argued that the reason for the relatively low CH content is the high alkalinity of RCP, which facilitates the carbonation of CH in RCP. Furthermore, they stated that the large surface area of RCP allows for greater contact between CH and air. Additionally, CH undergoes carbonization during the synthesis of RCP. The low content of ettringite can be attributed to its breakdown caused by the rise in temperature during RCP grinding [].
Regarding the grinding time, Kim et al. [] reported that as the number of recycling cycles expands, the intensity of the portlandite becomes more pronounced, while the intensity of quartz diminishes. They stated that this is primarily caused by the adjustment of the mixed proportion of the parent concrete, which is influenced by the larger amount of adhering mortar carried by the RCA.
Li and Kang [] reported that the crystallization peak of the recycled fine powder (RFP), after being subjected to ball mill grinding for 10 min, is lower compared to the untreated RFP. For instance, the intensity of the crystallization peak of SiO2 is noticeably reduced, mostly because the mechanical force acting on SiO2 (α-SiO2) causes a distortion and transformation of its tetrahedral structure into an amorphous state. The lack of a definite shape in SiO2 has enhanced the reactivity of the RFP. The intensity of the crystallization peak of CH is noticeably reduced, and CH is exposed to the atmosphere.
Regarding the wet grinding, there has been no notable variation in the crystal phase composition of RP during the wet grinding process [,,]. More precisely, as the wet grinding duration increases, the peak intensities for quartz and calcite gradually decrease within a narrow range. The wet grinding process also decreases the peak intensities of other phases, although these changes may not be readily apparent because of their low concentrations. The reduction in peak intensity suggests a decrease in phase content, indicating that the crystal structure is partially disrupted during the wet grinding process [].
As a brief, it can be stated that RP has a significant amount of silicon dioxide and calcium oxide. Silicon dioxide is primarily sourced from aggregates and cementitious materials in concrete, while calcium oxide is predominantly obtained from waste cementitious materials. The principal compound compositions of RP lie between those of cement and fly ash, indicating the viability of utilizing RP as an SCM. Dehydrated cement particles are less prevalent in RP, with cement particles present as calcium silicate hydrate and calcium aluminate hydrate; also, the calcite (CaCO3) found in RP participates in the hydration reaction of C3S [,,,].
3.6. Activity Index
Various test methods for evaluating the pozzolanic activity have been documented in the literature. These methods can be classified as either direct or indirect [,,,,]. Direct methods employ analytical methods such as XRD, TGA, or traditional chemical titration to observe the presence of CH and its gradual decrease over time as the pozzolanic reaction progresses [,]. The Frattini test is a widely employed direct technique that utilizes chemical titration to ascertain the amounts of dissolved Ca2+ and OH- in a solution containing CEM-I and the test pozzolan []. The saturated lime method is a simplified variation of the Frattini test, where the pozzolan is combined with a solution of saturated lime instead of CEM-I and water [,]. Indirect testing methods assess a specific physical characteristic of a test sample that determines the degree of pozzolanic activity [,]. This may entail the assessment of characteristics such as compressive strength, electrical conductivity [], or heat generation by conduction calorimetry [,]. Direct tests are frequently used to verify the occurrence of pozzolanic reactions and confirm the results obtained from an indirect pozzolanic activity test [,].
Generally, indirect testing methods such as the strength activity index (SAI) are commonly used to assess the activity of RP [,,,,,,,,]. In literature, the most used standards for this purpose are GB/T 1596–2017 [], BS EN 450-1 [], NBR 12653 [], and ASTM C618 []. In addition to these standards, which relate activity index (AI) to mechanical resistance, standards such as GB/T2847-2005 [] and BS EN 196–5:2011 [] relate AI to the chemical nature of the powder.
Regarding the standards, the majority of the studies measured the AI according to GB/T 1596 [,,,,,,,,,,,,,,], BS EN450–1 [,], or JG/T 573–2020 []. According to these standards, the AI is calculated by dividing the 28 d compressive strength of mortar with 30% SCM by the 28 d compressive strength of plain mix without SCM, and the AI of SCM should be above 70% [].
In general, the AI of RP fulfills the standard requirement (GB/T 1596; BS EN450–1; JG/T 573–2020) as presented in Figure 10, and therefore, it is possible to utilize RP as a substitute for SCM in cement-based materials [,,,,,,,,,,,,,].

Figure 10.
Activity index of mechanically grinded RP versus median particle size (D50, μm) [,,,,,,,,,,,,,,,,,,,,,,,,,].
On the other hand, Dun et al. [] calculated the AI of WCP as 57%. The particle size of the WCP milled for 100 min was within the desired range, although its activity was quite low. They explained that the WCP utilized in the test was produced through the demolition of the previous brick-concrete construction, and its initial strength was not substantial. In addition, they stated that the cement particles have undergone complete hydration over time, resulting in a low level of activity induced by physical grinding. Wu et al. [] argued that RCP consists of both inert components and hydrated substances, which reduces its reactivity.
Some other studies used SAI to evaluate the strength-gaining process of pozzolans at different ages according to ASTM C311–2007 [,,,,]. The following is the ASTM C618 specification regarding the reactivity of SCMs: The compressive strength of mortar containing 20% SCMs should be at least 75% of the compressive strength of the mortar without SCMs, both at 7 and 28 d. In all of the studies, the AI of RP fulfills the standard condition [,,,,].
Jagadesh et al. [] stated that the SAI for both the 7 d and 28 d periods has shown an increase due to the larger size of the particles in RCP, their dispersion, and the formation of reactive spots on the surface of the RCP. They concluded that 25% RCP replacement with OPC is the ideal level for achieving suitable SAI. Ji et al. [] also observed that the small particle size of RCP led to an increase in SAI. This was attributed to the particles filling the pores in the cementitious matrix and causing a filling effect with micro-aggregates. Jagadesh et al. [] also stated that there is an inverse correlation between the SAI and water-to-binder ratio (w/b). Li et al. [] observed that when RCP replaced ordinary Portland cement (OPC) by a maximum of 30% by weight, the SAI at 28 d was found to be greater than 70%.
Zhang et al. [] utilized the SAI method for RCP under different grinding durations. They observed that the SAI of RCP after grinding for 45 min is above 60%, reaching a maximum of 69.22% after grinding for 75 min. This suggests that while RCP does exhibit some activity, it also contains a certain amount of ground powder from coarse and fine aggregates. They stated that extending grinding time beyond the optimal duration leads to a reduction in particle surface area and pozzolanic activity, hence impeding the desired activation effect.
In general, as the RP replacement ratio increases, the activity index of the RP decreases [,,]. Furthermore, optimal grinding duration enhances the fineness and specific surface area of RP, hence enhancing the activity index of RP [,,,,,,,].
4. Activation Methods of RP
A constraining factor in the utilization of RP as a pozzolan in cement-based materials is their relatively low reactivity in comparison to PC. The current and most common methods to overcome this issue include mechanical, thermal, CO2-curing, chemical, and biomineralization [,,,,,,,,,,,,,,]. Thus far, an examination of mechanical activation has been conducted. This section exclusively examines other activation methods that are directly applied to RP.
4.1. Thermal Activation
At present, thermal activation refers to the process of enhancing the potential activity of mineral admixtures by raising the temperature. By closely correlating the reaction rate of cementitious materials with temperature, this method effectively improves the hydration rate and maximizes the potential activity of RP [,,,,,,,,,,].
Regarding the effect of thermal treatment on the morphology and microstructure of RP, Tokareva et al. [] reported that samples that have been crushed after being dried at higher temperatures exhibit a larger SSA compared to those that were dried at ambient temperature and as the treatment increases in temperature, there is a minor increase in the density of materials.
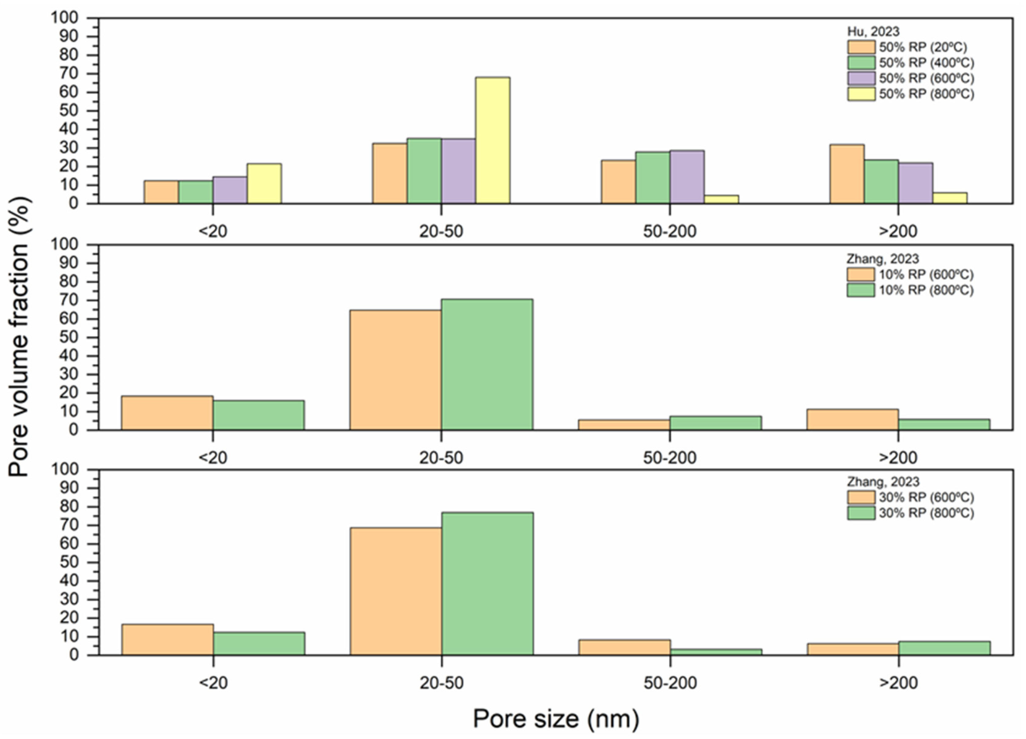
Zhang et al. [] compared mechanical, chemical, and thermal activation (400 °C, 600 °C, and 800 °C) methods on the utilization of RCP. They observed that at a modified temperature of 400 °C, the microstructure of RCP becomes compact, and it is not possible to observe the presence of C–S–H gel. After 600 °C, they detected the presence of small clusters. They stated that considering the mechanical performance, SAI, and micro-characteristics, the optimal and efficient way of activation is thermal activation at a temperature of 800 °C.
Xu et al. [] examined the impact of mechanical–thermal (550 °C, 650 °C, 750 °C, 850 °C, and 950 °C) synergistic activation on the reactivity of RP derived from scrap concrete and the characteristics of recycled powder geopolymer. The compressive strength, scanning electron microscopy (SEM), X-ray diffraction (XRD), infrared spectroscopy (IR), and mercury intrusion porosimetry (MIP) were employed to assess the mechanical properties and microstructure of RPG, respectively. The maximum compressive strength was achieved at an activation temperature of 750 °C and a grinding duration of 10 min.
Wu et al. [] employed thermal activation treatment (600 °C, 800 °C, 1000 °C, and 1200 °C) to enhance the characteristics of WCP. They observed that the untreated WCP-20C contains hydrated C–S–H gel and calcite particles, and the microstructure of the WCP-20C particle is irregular. They stated that with reference to WCP-20C, the C–S–H undergoes decomposition, and the WCP-800C and WCP-1000C particles exhibit more regularity and density due to the decomposition of hydrated products and CaCO3. The temperature range of 600–800 °C is recommended for thermal activation to enhance the qualities of WCP, while considering energy consumption and thermal activation efficiency.
Florea et al. [] examined RCFs, which are activated through a thermal treatment (500 °C, 800 °C, and 1100 °C) method. They observed that the particle size distribution of the RCFs is not appreciably affected by thermal treatment. On the other hand, the densities of the RCFs increase as the thermal treatment temperature increases, reaching a maximum at 800 °C, which is a result of the evaporation of water that is both physically and chemically attached to the substance during the process of thermal treatment.
Ma et al. [] utilized thermal treatment for 300 °C, 600 °C, and 800 °C on fire-damaged concrete waste. They reported that the microstructure of RCP-20C exhibits irregularity, and it is possible to observe the C–S–H gel. At a temperature of 300 °C, the cotton-like and porous micro-structure of RCP-300C transforms into a compact microstructure due to the disintegration of C–S–H gel. At a temperature of 800 °C, the microstructure of RCP-800C becomes more compact compared to RCP-20C due to the disintegration of portlandite and calcite.
The study of Sui et al. [] focused on the process of hydrating and reusing WCP after a thermal treatment within a temperature range of 400 °C to 800 °C. They observed that heating WCP to 600 °C resulted in the formation of large cluster structures. Following a 700 °C treatment, the presence of small clusters was noticeable. Additionally, the size of the WCP heated to 800 °C was larger than that of the WCP heated to 700° C, but smaller than that of the WCP heated to 600 °C. The surfaces of the WCP heated at 700 °C and 800 °C exhibited numerous holes, which were likely a result of the dehydration and recrystallization of C–S–H and the disintegration of calcium carbonate. In contrast, the WCP heated at 600 °C and those without thermal treatment did not show such surface changes. They concluded that WCP treated at 700 °C could be used in mortar or concrete as an admixture.
Wu et al. [] utilized thermal modification treatment (300 °C, 600 °C, 900 °C, and 1200 °C) on WCP. They stated that at thermal modification temperatures of 300–600 °C, the microstructure of WCP-300C and WCP-600C becomes compact and the formation of C–S–H gel cannot be observed. However, when the activation temperature on WCP reaches 900 °C, new components are formed and surround the WCP-900C particle. They concluded that when using the same replacement ratio of WCP, the mortar characteristics are better when using thermally modified WCP at temperatures ranging from 600 °C to 900 °C compared to using untreated WCP.
Sasui et al. [] examined the impact of high temperature (600 °C, 700 °C, and 800 °C) on WCP and its utilization in alkali-activated materials. They stated that when exposed to temperatures of 600 °C, 700 °C, and 800 °C, the thermally treated waste concrete powder (TWCP) samples exhibited the formation of small fractures and flakes on their surface. The surface cracks expanded as the treatment temperature was increased to 800 °C. They also observed particle aggregation after thermal treatment. They stated that the BET surface area exhibited a significant decrease as the temperature of thermal treatment increased, and the size of the agglomerated particles in WCP/TWCP powders likewise increased as the temperature increased.
In general, an increase in temperature during the thermal treatment of RP results in a noticeable alteration in the size of the particles as presented in Figure 11. In some of the studies, the particle size of RP after thermal activation increases because of the displacement of chemically and physically bonded water that tends to aggregate, which causes the agglomeration during the thermal treatment process [,,,,]. However, for the RP treated at low temperatures (400 °C and 600 °C), no significant difference was observed, indicating that it has a low propensity for agglomeration [,,,]. The samples that underwent treatment at elevated temperatures (800 °C) experienced volume expansion because of the transition from α- to β-quartz, which led to the formation of comparatively sizable particles [,,,]. When the activation temperature is over 800 °C, the particle size of RP tends to decrease [,,]. In some of the other studies, the particle size of RP after thermal activation decreases, especially over 400 °C [,].

Figure 11.
Median particle size (D50, μm) versus temperature (°C) [,,,,].
Regarding the effect of thermal activation on the minerology of RP, based on the experimental results observed, varying temperatures have distinct effects on the minerology of RP [,,,,,,,,,,,,,]
Zhang et al. [] observed quartz, calcite, and gismondine after thermal treatment but not dolomite, which was observed after mechanical treatment. Additionally, new active materials such as larnite and calcium silicates (Ca3SiO5 and Ca2SiO4) were detected following thermal activation temperatures of 400–600 °C. They stated that at a thermal activation temperature of 800 °C, the calcite present in RCP undergoes decomposition, resulting in the formation of CaO and CO2. In addition, they stated that the intensity of the diffraction peak in quartz is lower compared to the 400–600 °C RCP spectrum, which suggests that the amount of crystalline SiO2 decreases while the amount of amorphous SiO2 increases, which may be attributed to the crystalline transition of α-SiO2 at temperatures ranging from 600 to 800 °C.
Chen et al. [] utilized chemical, thermal (500 °C, 600 °C, 700 °C, 800 °C, and 900 °C), and combined chemical–thermal activation to stimulate the activity of RFP. They reported that the CaCO3 diffraction peak gradually diminished and vanished as the RFP was heated within the temperature range of 20–700 °C, and at temperatures over 700 °C, CaCO3 undergoes full decomposition. During the temperature range of 600 °C to 900 °C, distinct and ongoing diffraction peaks were detected, likely indicating the deterioration of the C–S–H gel into β-C2S due to thermal activation. Furthermore, the distinctive peak of β-C2S became increasingly sharper as the temperature increased to 900 °C, suggesting an improvement in the degree of crystallization.
Wu et al. [] stated that the WCP-600 is similar in mineral composition (SiO2, CaCO3, and CaMg(CO3)2) to the WCP-20C, with the exception that CaMg(CO3)2 is decomposed. They further stated that the WCP-800C, which has undergone thermal activation at 800 °C, can accumulate CaO composition through the disintegration of calcite. Additionally, additional calcium silicate was generated by the decomposition of hydration products. They reported that the concentration of CaO in WCP-1000C is higher compared to WCP-800C and at a thermal activation temperature of 1200 °C, the WCP-1200C process results in the formation of anhydrous gypsum and a small amount of amorphous SiO2.
Florea et al. [] reported that the 500 °C treated sample exhibited notable variations compared to the reference RCF-20, primarily attributed to the decrease in the intensity of portlandite peaks. Within the temperature range of 500 °C to 800 °C, the peaks associated with calcite exhibit a significant decrease, nearly reaching full elimination. Portlandite remains detectable in the sample treated at 800 °C, albeit in less quantities compared to the RCF-500 sample. This can be attributed to the rehydration of a tiny portion of the elevated CaO content caused by ambient moisture. The transition from α-quartz to β-quartz occurs at around 570 °C and can be reversed. Consequently, it is not possible to identify any β-quartz in the RCF that has been subjected to treatment at 800 °C. The intensities of the C2S/C3S peaks in the RCF sample treated at 800 °C have increased, indicating that the thermal treatment of RCF leads to the production of a calcium-rich silicate phase like that found in unhydrated cement.
Wu et al. [] reported that the XRD pattern of WCP-600C, which underwent thermal modification at 600 °C, shows the presence of C2S and C3S, but does not exhibit any observation of CaMg (CO3)2. At a thermal modification temperature of 900 °C, the calcite in WCP-900C undergoes decomposition into CaO and CO2, resulting in the presence of CaO in its XRD pattern. Additionally, the hydration products in WCP-900C decompose into more C2S and C3S, which are active components that can participate in the hydration reaction in its freshly made paste. The XRD pattern of WCP-1200C reveals the presence of anhydrous gypsum, rankinite, and amorphous silicon dioxide after subjecting WCP to thermal alteration at a temperature of 1200 °C.
Zhang et al. [] ascertained four distinct temperatures of 200 °C, 400 °C, 600 °C, and 800 °C for the pretreatment of RP. They reported that the dominant crystalline phases observed in RP were primarily quartz and calcite, accompanied by a few C–S–H crystals. Nevertheless, the mineral compositions of RP specimens subjected to calcination at temperatures of 400 °C or lower did not show any significant differences compared to the reference specimen. However, the spectra of the calcined specimens did exhibit some peaks with lower intensity, specifically in calcite and C–S–H, compared to the spectrum of the reference specimen. The intensities of the peaks corresponding to calcite and C–S–H in the spectra of the samples treated at 600 °C were further diminished compared to those in the spectrum of the reference specimen, due to the disintegration of these minerals. The RP800C spectra did not exhibit any peaks belonging to calcite or C–S–H. However, it did show peaks corresponding to CaO, which resulted from the thermal decomposition of the former. Nevertheless, the RP800C spectra still exhibited peaks that were attributed to quartz, as the mineral had exceptional temperature stability. The XRD data presented by Zhang et al. [] indicates that thermal treatment can partially modify the mineral composition of RP, leading to an enhancement in its reactivity.
Sasui et al. [] stated that, upon being subjected to a temperature of 600 °C (TWCP-600), the reflections of C–S–H, portlandite, and anorthite were diminished, whilst the reflections of ettringite were completely absent. Upon subjecting the material to temperatures of 700 °C (TWCP-700) and 800 °C (TWCP-800), it was seen that the reflections corresponding to C–S–H, portlandite, and calcite were no longer present, indicating that these phases had undergone decomposition. Furthermore, the quartz content in TWCPs, specifically in TWCP-700 and TWCP-800, also decreased, indicating that the quartz underwent disintegration when exposed to high temperatures.
Activity Index of Thermal Activation on RP
Regarding the effect of thermal activation on the AI of RP, thermal treatment increases the SAI up to 800 °C [,,,,]. The AI of RP can exceed 80% following activation at temperatures between 700 °C and 800 °C [,,].
Chen et al. [] found the AI of RFP as 77.4% at 700 °C. Sui et al. [] stated that WCP subjected to a temperature of 700 °C has the potential to serve as an additive in concrete. Ma et al. [] observed that the AIs for RCP-20C, RCP-600C, and RCP-800C are 72.6%, 75.0%, and 90.4%, respectively. Sasui et al. [] revealed that by subjecting WCP to heat treatment at temperatures of 800 °C or below, in combination with alkali activation, it is possible to enhance the reactivity of WCP. It is recommended, by Wu et al. [] and Yang et al. [], to use a thermal activation temperature of 600–800 °C to enhance the qualities of WCP. Ma et al. [] stated that RP-800C features an increased amount of active components compared to RP-600C. Vashistha et al. [] have chosen a heating temperature of 650 °C as the optimal temperature for generating active phases in WCP. Tokareva et al. [] reported that the mechanical properties of mortars were enhanced by thermal treatment at 500 °C, resulting in a 10% increase in SAI for screening waste from concrete (CSF) after 90 d of curing.
Figure 12 presents a summary of the AI values documented in the literature for various temperatures to which RP was subjected.

Figure 12.
Activity index of thermally activated RP versus temperature (°C) [,,,,].
4.2. CO2 Activation
Given that the atmospheric CO2 content is below 0.06 vol%, the CO2 diffusion coefficient of cement-based materials is estimated to be around 10−10 to 10−12 m/s [,]. So, the spontaneous carbonation process of concrete is expected to endure for several decades. Therefore, accelerated carbonation methods are used to ensure the rapid carbonation of hydrations and clinkers in RP, thus promoting CO2 mineralization which typically takes only a few days [,,,,,]. Consequently, extensive investigation into the CO2 activation of RP has been conducted in the past decade and there were positive findings regarding the enhancement and reactivation of RP [,,,,,].
This approach relies on the inherent ability of alkali Ca and Mg in RP to react with CO2 to form carbonates. The primary unhydrated calcium phases (C2S and C3S), along with hydrated phases like C–S–H gel and ettringite (AFt), and the major crystalline hydrated phase of RP, readily undergo a reaction with abundant CO2 to produce a thermodynamically stable form of CaCO3 [,]. Furthermore, it has been determined that carbonating RP has a remarkable ability to capture CO2, which could lead to a permanent stabilization of CO2 levels [,,,]. Significantly, the utilization of carbonated products in the concrete sector has the potential to decrease CO2 emissions by more than 9% [,]. Another benefit of this procedure is that the carbonated RP can serve as an SCM for producing new composite cements [,,,]. Due to its porous nature and ability to absorb water, the carbonation of RP has been recognized as an efficient method to enhance its quality by limiting water absorption and creating a denser structure [,]. CO2 activation processes can be categorized into direct and indirect techniques [,,].
4.2.1. Direct Carbonation Processes
Direct carbonation is a straightforward chemical process which involves the direct reaction of untreated RP with CO2 to produce carbonates. Carbonation can be directly carried out in either a gas–solid system or an aqueous system [,,,,,].
The gas–solid carbonation methods are developed by increasing the CO2 concentration, pressure, and temperature, along with maintaining a suitable relative humidity. Common gas–solid methods include normal CO2 curing, flow-through carbonation, and pressurized carbonation [,]. In the dry process, water exists in the form of vapor, as a coating of absorbed H2O on the particle surface, and within the pores between the particles [] and the process involves the reaction of RP with CO2 in the absence of any liquid [,,,].
Aqueous carbonation (AC) is an alternative method of carbonation that relies on interactions between a liquid and a solid. The process involves submerging the solid materials in a bulk liquid (i.e., at high liquid-to-solid ratios) and introducing CO2 by injection. Upon contact with the bulk liquid, the gaseous CO2 undergoes a transformation into aqueous carbonate species [,,,,,]. The process of carbonating RP in water-based systems is a widely used and accepted method [,]. This process not only simplifies the conversion of CH in RP into CaCO3, but also generates nano-silica as a result of the decomposition of C–S–H gel [,,].
Regarding the carbonation time, Kaliyavaradhan et al. [] found it to be 90 h with a water-to-solid ratio (w/s) of 0.4. They argued that an excessively high or low w/s hinders the efficiency of the carbonation conversion process. However, extending the carbonation duration enhances the carbonation reaction of WCP even more. They reported that the presence of reactive components in WCP allows for efficient reaction with CO2, leading to the formation of additional calcite crystals during the carbonation process.
Algourdin et al. [] carried out a parametric study of accelerated carbonation on recycled fine (RF), with varying parameters of water content (1, 7, and 25%), powder size (50 μm and 80 μm), carbonation duration (1, 3, 8, 14, 17, and 24 h), CO2 concentration (18 and 100%), and heating temperature (500 °C). They found that the impact of particle size on the extent of carbonation is substantial. A lower particle size (50 μm) exhibits a greater degree of carbonation in comparison to a larger particle size (80 μm). The duration of carbonation, ranging from 1 h to 24 h, affects the absorption of CO2. The absorption of CO2 occurs rapidly for 17 h.
Wu et al. [] evaluated the impact of temperature ranging from 20 °C to 140 °C on the carbonation efficiency of RCF. They reported that elevated temperature, in combination with a 20% concentration of CO2, enhances the carbonation process of RCF and the recommended optimal carbonation temperature is 100 °C. They also stated that the carbonation temperature has a significant impact on the polymorph and morphology of calcium CaCO3 precipitated in carbonated RCF.
Ouyang et al. [] stated that the surface of the carbonated RP is covered with a coating of amorphous silica gel and the produced CaCO3 was enveloped by silica gel. They also reported that, during the process of dry carbonation, the RP particles were in close proximity to one other because they were not well dispersed. As a result, when calcium dissolved in the moisture on the surface, the calcium carbonate (Cc) precipitated. Zajac et al. [] reported that the moisture conditions during carbonation had a significant impact on the carbonation process. According to the report, when RCP was carbonated at a relative humidity of 80%, the resulting Cc consisted of 26% calcite, 45% vaterite, 3% aragonite, and 36% amorphous Cc.
Ho et al. [] examined the process of directly carbonating waste concrete fine (WCF) in an aqueous solution under atmospheric pressure and with a low concentration of CO2. They observed that the level of carbonation increases proportionally with the increase in the solid–liquid ratio, aligning with the observed CO2 absorption outcomes.
Zhang et al. [] reported that the carbonation kinetics of RCFs in an aqueous environment exhibited a characteristic dependence on particle size. Particles with a greater size were coated with a reactive shell on their outer surface, whereas smaller particles disintegrated during accelerated carbonation. They also observed that during the process of cement hydration, carbonated RCFs had a role in initiating and stabilizing C–S–H gels, which led to the fast hydration of cement.
Shen et al. [] examined the carbonation mechanism of RCF in pure water. They observed that the Cc was the primary product of carbonation in the carbonated RCF. Two distinct types of Cc were identified: calcite and amorphous calcium carbonate (ACc). Both types of Cc were generated at the same time within the first 5 min. However, the amount of calcite increased as the carbonation duration increased, whereas the amount of ACc declined and totally disappeared after 30 min.
In general, direct carbonation increases the particle size and SSA of RP [,,,,,] due to the particle agglomeration and chemical reaction of hydration products, and the carbonated RP exhibits a denser and smoother surface topology due to the carbonation of the hydration products, which fills the micropores and voids with CaCO3 and silica gel [,,,,,]. Kaliyavaradhan et al. [] observed that D50 of raw WCP is 26.49 μm. After the carbonation process, it increased to 38.41 μm. The D50 of carbonated concrete fine (CF) was 57.00 μm, whereas the D50 of untreated CF was 24.50 μm. Ouyang et al. [] measured the D50 of carbonated RP as 49.00 μm, whereas the D50 of untreated RP was 19 μm. In contrast to the results observed with dry carbonation, Poon et al. [] discovered that RP exhibited enhanced fineness and reduced average particle sizes following liquid–solid carbonation.
Both carbonation procedures can effectively generate a suitable level of carbonation in RP. The efficacy of gas–solid carbonation is significantly influenced by the concentration of CO2, pressure, relative humidity, duration of carbonation, and moisture content of the parent materials. To ensure a satisfactory carbonation rate, it is necessary to carefully control the internal and ambient humidity of the samples [,]. The literature demonstrated that the process of gas–solid carbonation exhibited the most rapid initiation when the relative humidity was between 50% and 70% [].
On the other hand, liquid–solid carbonation was found to be more effective in completing the carbonation process within a timeframe of 6 h, whereas the carbonation time for gas–solid carbonation was 24 h [,,]. Additional pressure was necessary to expedite the diffusion of CO2 and increase the rate of gas–solid carbonation [,]. Experimental studies have shown that the carbonation rate can be enhanced by up to three times using the liquid–solid method compared to the gas–solid method [,], and almost total carbonation could be obtained within a few hours [,]. Furthermore, the maximal mass output of Cc was enhanced to more than 60%, indicating a greater level of carbonation [,]. During liquid–solid carbonation, the majority of Cc is formed as calcite, whereas the presence of other polymorphs, including amorphous Cc, is significantly reduced compared to gas–-solid carbonation. This reduction may be attributed to their transformation into calcite in a solution environment [,,].
The gas–solid carbonation tests have demonstrated markedly reduced levels of carbonation in comparison to the liquid–solid approach [,,,,,,]. The observed phenomenon is ascribed to the presence of a compact carbonation layer on the surface of the particles, which hinders the passage of more CO2 and consequently decelerates the reaction [,,,,,].
The liquid–solid carbonization caused the RP to disintegrate, which in turn enhanced the dissolution and carbonation of the interior phases, including the anhydrous clinker phases that were not accessible through gas–solid carbonation [,,,]. The process of the gas–solid carbonation of RP leads to the formation of a layered silica gel coating on the surface of CaCO3. Conversely, the process of the liquid–solid carbonation of RP leads to a heterogeneous dispersion of silica gel and CaCO3 without notable stratification [].
4.2.2. Indirect Carbonation Process
Indirect carbonation, which includes multiple steps, often utilizes acidic and basic substances to dissolve RP in order to extract calcium. The dissolved calcium ions are then exposed to a solution containing CO2 or a compound that releases carbonate ions to cause the precipitation of CaCO3 [,,]. If necessary, additional procedures such as impurity elimination and the recycling of waste solutions can be incorporated. The dissolution of RP often regulates the rate of the reaction due to the crucial role of calcium availability in the carbonation process [,]. Distilled water [], HNO3 [], CH3COOH [], HCl [,], NH4Cl solution [], or NH4OH solution [] are typically used to dissolve RP.
Some researchers proposed bipolar membrane electrodialysis (BMED) to treat the waste solution [,]. A bipolar membrane is a composite membrane consisting of an anion-exchange membrane and a cation-exchange membrane. A bipolar membrane has the ability to generate H+ and OH− ions by allowing water to pass through the anion- and cation-exchange membranes. This feature can be utilized in electrodialysis to produce BMED. Electrodialysis is a method of separating substances using a special membrane that has varying electrical potentials. OH− and H+ can be formed through the use of a bipolar membrane, allowing for the regeneration of acid and alkaline solutions [,,].
It should be noted that compared to the indirect method, direct carbonation has several key benefits, including reduced costs and environmental consequences due to its straightforward nature and decreased use of chemicals compared to indirect carbonation [,].
4.3. Biomineralization Activation
Biomineralization is the biological process by which living organisms precipitate mineral phases through their metabolic activities in the surrounding environment [,,]. Mineralization in bacterial systems occurs through either biologically controlled (BCM) or biologically induced (BIM) processes [,]. The process of microbial-induced carbonate precipitation (MCIP) is linked to BIM and is the most extensively researched aspect of biomineralization [,].
MICP is a phenomenon where calcium carbonate crystals are formed as a result of the interaction between metabolites produced by microbes and a calcium-rich environment. In alkaline conditions, various bacterial species precipitate carbonates by diverse processes [,,,]. Nearly all bacteria have the ability to perform MICP at different rates and the MICP process naturally happens under normal settings [,,].
Dong et al. [] utilized gas–solid carbonization, liquid–solid carbonization and microbial mineralization to activate the recycled hardened concrete powder (RHCP) under the normal temperature and pressure environment with a CO2 volume fraction of 19.98%. For MICP, during the activation of RHCP, a Bacillus strain with the ability to secrete carbonic anhydrase was added to the CO2 carbonization system of RHCP. They stated that mineral composition resulting from the DC-RHCP (RHCP treated with gas–solid carbonation), LC-RHCP (RHCP treated with liquid–solid carbonation), and MM-RHCP (RHCP treated with microbial mineralization) were identical. Conversely, the microstructure of RHCP was shown to vary depending on the activation method used. They observed that the MM-RHCP’s surface was filled and coated with calcite-type CaCO3, resulting in an enhancement in particle size distribution.
According to Dong et al. [], the biological deposition exhibited a lower crystal size and a spherical form, which was distinct from the chemically deposited material. Meanwhile, the recently created biologically deposited calcium carbonate might serve as the nucleation site and stimulate the production of C-S–H gel due to its smaller crystal size and bigger specific surface area. They stated that the addition of MM-RHCP can serve as sites for nucleation, promoting the development of hydration products during the curing process. This, in turn, speeds up hydration and enhances the strength of mortar or concrete. Furthermore, bacteria have the ability to assimilate CO2 from the atmosphere or mineralization chamber, thereby expediting the process of CO2 and calcium ion mineralization. This results in the formation of additional calcium carbonate, which fills the existing fractures. Thus, the performance of MM-RHCP was superior to that of DC-RHCP and LC-RHCP to some degree.
4.4. Other Activation Methods
Wang et al. [] used tannic acid (TA) for the activation of RCF. TA refers to a plant polyphenol that may dissolve in water. It is considered the third largest category of plant products in the world, following cellulose and lignin []. It can be derived from plants, microbes, or the decomposition of organic substances in water [,]. The authors immersed RCF in TA solution for 1 h. Next, the solid particles were separated from the TA solution using filtration and subsequently dried in an electric blast drying oven at a temperature of 80 °C for a duration of 24 h to eliminate any absorbed water. They observed that the peak intensities of CH are diminished due to a chemical interaction taking place between CH and the TA solution, resulting in the consumption of CH by the TA solution. Nevertheless, the XRD analysis did not reveal any evidence of new mineral formation in the RCF samples treated with 0.5% TA and 1% TA. FTIR analysis revealed that part of the calcite in the RCF samples was depleted during the chemical reaction between the RCF and TA solution and the calcium–TA complex likely formed on the surface of the RCF particles due to the coordination of polyphenol functional groups with calcium ions by chelation. SEM analysis revealed that TA treatment significantly increases the density of the RCF samples, and a considerable quantity of submicron particles are present on the treated RCF particle surfaces of the two samples.
Kanda and Harada [] acid-treated WCP samples using 2 mol/L of HCl. For acid-treated WCP (WCP-HCl), while the proportions of SiO2 and Al2O3 increased, the proportion of CaO decreased significantly. They observed that the crystal structure of the WCP mainly consists of calcite and quartz. Consequently, WCP-HCl underwent a transformation into siliceous particles.
Abdel-Gawwad et al. [] conducted a treatment process involving the addition of NaOH to concrete waste (CW). Following chemical treatment, the CW underwent a structural transformation from inactive to active. The untreated CW was predominantly composed of quartz, calcite, and dolomite. A minor peak associated with CH indicates that cement has been hydrated within the concrete structure. The introduction of NaOH into CW lead to an increase in the production of CH and Mg(OH)2.
Activity Index of CO2, Biomineralization, and Other Activation Methods on RP
AI demonstrates a substantial enhancement while utilizing carbonated RP and RP treated with nano materials and chemical activation in comparison to untreated RP as it is presented in Figure 13 [,,].

Figure 13.
Activity index (%) of chemical, CO2, and nano activation methods for RP.
Wu et al. [] presented the SAI of each mixed sample at a defined age. They reported that the early-age and long-term hydration of cement paste are significantly influenced by the carbonation temperature of RCF, and eventually the early-age strength development of the blended cement material can be facilitated by the high-temperature carbonated RCF (60 °C, 100 °C, and 140 °C). This is primarily due to the nucleation effect and the acceleration of cement hydration that are caused by the reaction of CaCO3 in the carbonated RCF (CRCF) with C3A of cement clinker. They stated that the nucleation effect of carbonation products in CRCF on cement hydration becomes less apparent as time progresses.
Kaliyavaradhan et al. [] calculated the SAI as per ASTM C311/C311M-18 [], by utilizing 20% of WCP to replace cement. They reported that the reaction between C3A and CaCO3 in carbonated WCP led to the creation of calcium carboaluminate hydrate, which was accountable for the initial increase in strength. The carbonated WCP mortar exhibited a SAI value exceeding 75 at both 7 and 28 d, indicating its suitability as a potential SCM in cement concrete, in accordance with the ASTM standard [].
Dong et al. [] tested the AI of RHCP according to JG/T573–2020 []. They reported that the mortar activity indexes of dry carbonization, liquid carbonization treatment, and microbial mineralization treatment were 56.3%, 60.2%, and 76.4%, respectively, when subjected to the identical water demand and activation circumstances. The AI of the MM-RHCP was 42.8% more than that of the untreated RHCP mortar. The AI of MM-RHCP reached 70% after 7 d of mineralization treatment. Nevertheless, following the initial 7 d activation period, the AI gradually increased as the mineralization time was extended. They advised treating the RHCP to microbial mineralization for a duration of 7 d, at conditions of ambient temperature, atmospheric pressure, and 80% humidity.
Zhang et al. [] evaluated the effect of mechanical, thermal, and chemical activations on the AI of RCPs. For the chemical activation, they found that CaO (3%) is the most ideal, followed by CaSO4 (1%) and Na2SO4 (2%), while CH (4%) is the least optimal. They found that the most optimal method for combined activation involves using CH and CaSO4 in a 1:1 ratio. They stated that, of all of the activations, thermal activation has the most significant effect, followed by chemical and mechanical activations. The authors claimed that the primary factors contributing to this improvement are the refinement of particle properties through mechanical activation, the stimulation of activity through chemical activation, and the promotion of nucleation in RCP after thermal activation, resulting in an increased number of nucleation points for hydration product formation.
Chen et al. [] measured the SAI of RFP as per JG/T 573–2020 []. As a result of the chemical activation test, the SAI of the NI1-1% (test group with water glass as the chemical activator) was 68.3%, slightly exceeding that of NS1% (68.2%) (test group with Na2SO4 as the chemical activator). They further studied the impact of combining chemical and thermal activation on the mechanical characteristics of mortar. The activation technique entailed heating the RFP to 700 °C and then adding the water-glass activator (with a modulus of one and a content of 1%) to produce the mortar. The SAI of the activated specimens reached a maximum of 69.0% and 57.5%, respectively, as compared to the unactivated specimens. When using a 30% dosage of NaOH, Na2SO4, and water-glass chemical activators, there was only a slight improvement in the strength of RFP. This improvement was only observed in the mortar system during the first 3 d of its formation. An inverse relationship was detected between the amount of activator or the modulus of the water glass and the strength at later stages (28 d). They concluded that the impact of thermal activation on the RFP was most pronounced at a temperature of 700 °C, with a dosage of 30%.
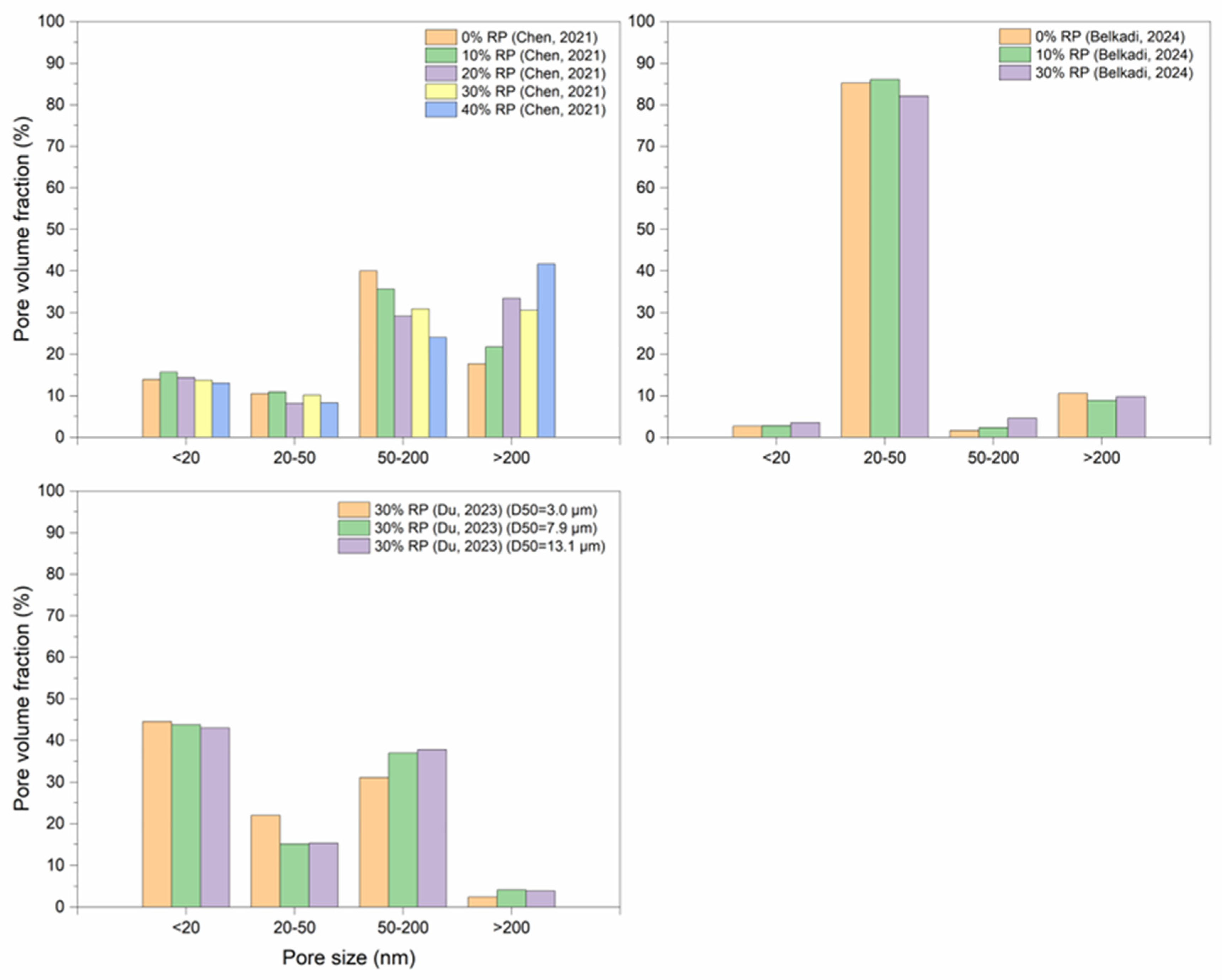
5. Micro-Properties of the Cementitious Materials with RP
This section and the following sections of the evaluation exclusively address pastes and mortars, excluding aerated concrete waste, autoclaved concrete waste, hydrated cement paste, concrete waste slurry, and waste cellular concrete powders, to compare the results of the following sections based on concrete waste-generated RPs with similar microstructure, minerology and chemical composition. The authors excluded aerated concrete waste, autoclaved concrete waste, hydrated cement paste, concrete waste slurry, and waste cellular concrete powders due to the insufficient number of studies available for analysis and comparison, as the microstructure, mineralogy, and chemical composition of these wastes are distinct compared to concrete waste-generated RPs.
5.1. Hydration Heat Analysis
The findings of the hydration heat test, which is often used to analyze the early-stage hydration kinetics of cementitious materials, provide a thorough depiction of the chemical reactions occurring in all components inside the sample. The isothermal calorimeter is used to test the hydration heat release of RP [,].
The process of hydrating heat can be categorized into five distinct phases: initial reaction (pre-induction period), induction period, acceleration period, deceleration period (delay period), and stabilization period [,,,,,,,]. Based on the Krstulovic–Dabic model, the hydration of cement pastes with RP can be described by three distinct processes: nucleation and crystal growth, interactions at phase borders, and diffusion. It is important to state that the three processes might happen at the same time, but the rate at which hydration occurs is determined by the slowest process [].
The inclusion of the RP leads to a decrease in the peak time of the heat of hydration curves, suggesting that the addition of RP enhances the rate at which the paste hydrates due to its dilution effect [,,,,,,,,,,,]. The acceleration of cement hydration is typically attributed to the finer particle size and increased surface area available for the nucleation of C–S–H, as seen by the higher specific area of RP compared to cement [,,,,,,,,].
At the early stage (the wetting heat is the heat that is generated by a unit mass of initially dry powder upon immersion in water), RP exhibits a greater wetting heat compared to cement because it possesses a more porous structure [,,]. Additionally, RP exhibits a smaller particle size and a greater specific surface area, leading to an increased release of heat during hydration due to enhanced interaction with water and a higher number of nucleation sites. Hence, the inclusion of RP can impact the rheological characteristics of cement paste by enhancing the process of cement hydration through improved dissolution and precipitation [,].
Figure 14 presents a summary of the fluctuations in accumulated heat in relation to the reference. A significant increase is observed in the initial phases and at low RP percentages.

Figure 14.
Cumulative heat variation (%) versus time (h) [,,,,,,,,,,].
Du et al. [] observed that the addition of RCP with a D50 of 3.0 μm greatly increased the rate of hydration in cement paste, compared to a larger particle size of RCP measuring 36.1 μm. Liu et al. [] suggest that replacing up to 30% by weight of PC with RCP utilizing nano silica (NS) reduces heat flow and accumulated heat. Deng et al. [] suggest that the utilization of 8% RCP not only decreases the time it takes for a reaction to start but also enhances the amount of heat that is generated. Zhang et al. [] suggest that the heat accumulation in the first 12 h is caused by the ongoing stimulation of cement hydration for 4% RCP with a particle size of 0.249 μm (D50). Chen et al. [] reported that when the RCP dosage by weight is 15%, and the substitution rate of other mineral admixtures is 15% by weight, the cumulative heat was the highest among the RCP samples mixed with FA and SF. Rocha et al. [] reported that the RCP-C with a 10% concentration exhibits comparable heat release to CP. According to Li et al. [], increasing the proportion of RFP (10–90%) in the blended cement results in a longer period of hydration induction. Additionally, the peak hydration exothermic rate and accumulated heat release show a clear decreasing trend. Chen et al. [] observed that when the content of WCRP and the content of FA and SF were both 15%, the hydration rate and cumulative hydration heat of the pastes were found to be the highest among all of the samples containing FA and SF.
Duan et al. [] presented that the rate at which heat was produced in pastes containing RP was higher than the rate in cement pastes during the initial 30 min. They argued that the presence of C3A in cement clinker significantly enhances the rate of hydration, particularly during the early stages. Simultaneously, the microelements included in RPs facilitate the hydration process of C3A, resulting in an increased rate of hydration.
Zhang et al. [] stated that the utilization of RCP promotes the initial process of cement hydration (occurring within the first 10 h) if the replacement rate does not exceed 20%. They stated that substituting OPC with RCP in the binary cement paste does not result in the formation of new hydration products, but it can contribute to a minor enhancement in the degree of cement hydration, particularly after 28 d.
Zhang et al. [] utilized wet grinded RP (WGRP) in cement pastes. They reported that WGRP clearly assisted the early release of PC hydration heat, resulting in an almost complete elimination of the induction time. In addition, the nucleation impact of WGRP greatly accelerated the formation of hydrates and increased the degree of hydration. Furthermore, it was noted that the inclusion of WGRP also led to an increase in the cumulative hydration heat.
Darweesh [] observed that the rate of hydration and cumulative heat of hydration with various concrete waste powders (CWPs) from different sources in the first 30 min were higher than that of the pure cement pastes. The initial hydration results suggest that a 2.5 weight % addition of NS has the most significant impact on enhancing the hydration of WCP blended cement pastes.
Deng et al. [] observed that the addition of 2% submicron RP (SRP) not only reduces the induction duration of PC, but also significantly shifts the location of the peak hydration heat from 13.4 h to 9.8 h, when compared to the reference. Moreover, by observing the cumulative heat of PC-SRP at various ages, they stated that SRP could promote the hydration of PC at an early stage. They also observed that the efficacy of this promotional impact was evidently diminished as time progressed.
Similar to mechanical activation, thermal activation and CO2 activation also have a positive impact on enhancing the rate at which the RP hydrates [,,,,,,,,,].
Zhang et al. [] examined the hydration process of different pastes, including a reference blend with the original RCP, as well as pastes with the RCP subjected to calcination at temperatures ranging from 400 °C to 1000 °C. They reported that, in contrast to the reference blended paste, calcined RCP exhibited an earlier initiation of the acceleration stage of cement hydration, irrespective of the calcination temperature or particle category.
Liang et al. [] reported that hydration reactivity was enhanced in RCP treated at 650 °C; after 48 h, the accumulated heat was 35% lower than that of the cement but 70% higher than that of untreated RCP.
Wu et al. [] reported findings on the hydration process of cement pastes using carbonated RCP (CRCP) at various temperatures. They observed that, when compared to pure cement paste, subjecting cement paste to a carbonation temperature of up to 60 °C resulted in a longer hydration process. Peng et al. [] found that the total heat is augmented by 30.54% when the CRCF replacement ratio increases from 0 to 20%, which suggests that the higher replacement of CRCF enhances the hydration level of OPC per unit mass. Zhang et al. [] reported that the inclusion of CRCF accelerates the early hydration of cement paste. Nevertheless, the incorporation of CRCF leads to a substantial reduction in the overall heat generated during the hydration process of cement paste after 48 h, primarily due to the decreased cement content.
Shen et al. [] worked with carbonated RCF. They observed that the mixes with varying CH concentrations exhibited a prominent hydration peak at approximately 1 h, with the majority of hydration heat being dissipated within the initial 6 h. This suggests that the amorphous gel had a notably elevated pozzolanic reactivity. Darweesh [] reported that the addition of NS resulted in a higher level of heat release during hydration, which was directly proportional to the NS content. They also stated that WCP can cause a delay in the hydration process of cement paste and negatively impact hydration.
Wang et al. [] observed the effect of the TA treatment on the hydration of the cement pastes with RCF. They observed that when using TA-treated RCF, all pastes exhibited increased thermal flow and generated more reaction heat during the initial 6 h of the measurement. They stated that the presence of residual TA slows down the cement hydration process, as indicated by the extended duration of inactivity and lower heat flow in the pastes treated with TA-treated RCF.
5.2. Microstructural Analysis
In general, the mixture without RP includes a higher concentration of fibrous C–S–H gel and an optimal quantity of CH. Upon the addition of a small amount of (10–15%) RP, the C–S–H gel experiences additional growth while the CH content significantly decreases. This suggests that the RP absorbs a portion of CH and produces C–S–H gel, resulting in a denser microstructure. As the content of RP steadily increases, it becomes challenging for C–S–H gel to increase, resulting in a small amount of unreacted RP particles remaining on the surfaces of the hydration products. This suggests that a significant quantity of CH produced during the process of cement hydration has been utilized, and the remaining RP particles did not participate in any further hydration reactions but rather served as inactive fillers. When the content of RP reaches 50%, the production of CH experiences a substantial decline and is entirely utilized by RP. There is a significant quantity of unreacted RP particles scattered near the hydration products. Additionally, the microstructure exhibited a loose and porous composition, resulting in a reduced level of compactness [,,,,].
Typically, the microstructure of cementitious matrices including RP is less dense, more porous and has more cracks compared to the reference mix [,,,,,,,,,,,,,,,,,,,,,,].
Increased looseness, more pores, and cracks can be observed when the RP ratio increases [,,,,,,,,,,,,,,]. However, when the RP content is below 30%, it does not have the ability to change the cement matrix. Instead, it forms a dense microstructure that is influenced by physical filling [,,,,,,,]. A less dense structure is attributed to the RP reducing the formation of new hydration products [,,,,,,,].
Amorphous C–S–H [,,,,,,,,,,,,,,,,,,,,,,,,,,,], plate-like CH [,,,,,,,,,,,,,,,,], and the needle-like AFt crystals [,,,,,,,,,,,,,] are the main hydration products observed in all of the groups of paste with RP. Nevertheless, there are variations in the proportions.
Wu et al. [] reported that when substituting 30% of the cement with RFP, the microstructure of the RFP-blended paste is less compact compared to the microstructure of the paste without RFP. Furthermore, the RFP particles are predominantly enveloped by hydrated substances within the paste, including RFP itself. As the hydration reaction progresses, fresh hydration products develop on the outer layer of RFP microparticles.
Zhang et al. [] performed an analysis for the effect of grinding time on hydration products. They stated that when 30 min grinded RCP is used, numerous needle/rod-shaped AFt particles are observed in the mortar, together with crystalline hexagonal plate-shaped CH crystals. They observed that after grinding for 60 min, CH crystals in the recycled mortar experience an increase in size, while the amount of AFt decreases. However, the overall structure of the mortar remains loose and porous. As the grinding duration increases, the particle size of RCP decreases, causing it to fill specific pores. Zhang et al. [] performed a similar analysis and reported that the powder-grinding operation significantly enhanced the compactness, particularly when using RCP.
Wu et al. [] stated that in contrast to regular paste containing large amounts of hydrated materials, the presence of WCP particles can be clearly observed in the paste mixed with waste powder. These particles are surrounded by C–S–H gel, which enhances the filling and nucleation effects of the waste cementitious powder at a micro-aggregate level. Chen et al. [] reported the same result stating that the paste with RP demonstrates a significant presence of RP particles enclosed inside substantial C–S–H gels, indicating the nucleation and filling actions of RP.
Wu et al. [] reported that within a mixture containing 30% ground concrete powder (GCP), a robust and efficient bonding interaction is seen between GCP particles and recently generated hydration products. Nevertheless, substituting 70% of the cement with GCP has a detrimental impact on the formation of microstructure, as well as a weak adhesive interaction between the GCP particles and C–S–H gels.
Liu et al. [] and Liu et al. [] reported that when 30% of RCP was utilized as a substitute for cement, the matrix structure exhibited increased roughness, accompanied by the presence of many pores and the observation of hexagonal flake CH. They also reported that the RCP-2%NS group exhibited a denser microstructure with fewer cracks and pores compared to the RCP group, due to the beneficial impact of NS on cement hydration.
Thermal activation, CO2 activation, chemical activation, biomineralization, and nano activation provide a denser structure and a good bonding capacity between the RP particle and new hydration products in RP blended mixtures [,,,,,,,,,].
Zhang et al. [] reported that the inclusion of the RP did not appear to modify the structure of the alkali-activated cement. Nevertheless, further microcracks emerged, and a portion of the RP became embedded within the recycled alkali-activated cement (RAAC) matrices. They also conducted tests on RP-integrated paste with various activation temperatures. They stated that the heating pretreatment of RP had a slight impact on the shape of the alkali-activated cement produced. The microstructure of RAAC10%-T600C exhibited a high level of compaction and density, with the matrix containing porous structures of the RP and spherical FA. On the other hand, RAAC10%-T800C exhibited a less uniform microstructure characterized by an increased number of cracks inside its matrix.
Wu et al. [] stated that at temperatures ranging from 300 °C to 900 °C, the microstructure of the paste including thermally modified WCP is more compact than the paste containing untreated WCP. Additionally, the thermally modified WCP particles are surrounded by a dense layer of C–S–H. However, the micro-structure of paste containing 1200 °C-modified WCP becomes less dense and more porous compared to other pastes. Hu et al. [] reported that, at a substitution level of 50%, the micro-structure of paste with 50% heat-modified WCP is denser compared to paste with 50% un-modified WCP.
Zhang et al. [] stated that the morphology of ettringite in the control sample containing 0% CRCF is more elongated compared to the ones created in cement paste with CRCF. Furthermore, the length of ettringite reduces as the level of CRCF increases. The SEM images of the sample containing 30% CRCF do not exhibit the presence of “needle-like” particles. This result suggests that CRCF has the ability to undergo a reaction with ettringite. The sample containing 30% CRCF exhibits a microstructure that is denser and less porous compared to the control sample.
Peng et al. [] investigated the impact of CRCF on the initial hydration kinetics of OPC paste. They reported that when the CRCF particle encounters water, the surface of the particle quickly becomes coated with many needle-shaped C–S–H gels. They stated that the CRCF10 paste demonstrates a microstructure that is more uniform and compact compared to the reference paste, particularly at 3 d. This phenomenon can be attributed to the increased formation of C–S–H hydrates and other hydrates caused by the accelerated growth of C–S–H seeds in the CRCF10 paste, resulting in a filling effect. They further stated that the reference paste contains a significant quantity of lamella-form CH crystals at 3 d, whereas the CRCF10 paste has only a small amount of CH. This suggests that the CH in CRCF10 is being partially consumed by the amorphous silica and silica–alumina gels.
Abdel-Gawwad et al. [] implemented one-part alkali-activated cement by mixing chemically treated CW. They reported that a one-part autoclaved aerated concrete sample exhibited a low compact microstructure with the presence of a gel-like hydration product that intertwined with unreacted slag, dolomite, and calcite particles. Ren et al. [] examined the characteristics of concrete blocks made from alkali-activated slag (AAS) that contained RCF and RCP. They found out that the majority of the AAS concrete blocks exhibit the presence of pores and cracks.
5.3. Mineralogical Composition
The XRD analysis offers valuable information into the reaction mechanisms of cement mixtures. An XRD examination of cementitious matrix, which includes RP, reveals the presence of both hydration products and minerals originating from RP. Diffraction intensities, however, exhibit variations according to factors such as matrix age, fineness, composition, origin, and treatment [,,,,,].
The identified primary common compounds include the following: calcite (CaCO3) [,,,,,,,,,,,,,,,,,,,,,,,,,,,,,,,,,,,,,,,,,,,,], quartz (SiO2) [,,,,,,,,,,,,,,,,,,,,,,,,,,,,,,,,,,,,,,,,,,], portlandite (CH) [,,,,,,,,,,,,,,,,,,,,,,,,,,,,,,,,,,,,,,,,,,], ettringite, the most important phase of Aft [,,,,,,,,,,,,,,,,,,,,,,,,], alite (C2S) and belite (C3S) [,,,,,,,,,,,,,,,,,,,,,,], calcium silicate hydrates (C–S–H) [,,,,,,,,,,,,,,,,,,,,,,,,], and gypsum [,,,,,,,,].
The identified non-common compounds include the following: tobermorite [,], dolomite [,,,,,], calcium oxide [,,,,,], mullite [,,], hydrotalcite (Ht) [,,,], C-(A)S-H [,,,], monocarboaluminate (C4ACH11) [,,], vaterite [,], rutile (TiO2) [,], kaolinite [], calcium aluminate monocarbonate (CAMC) [,], ferrite [,], feldspar [,], sodium calcium aluminosilicate hydrate (NCASH) [,], tetracalcium aluminate hydrate (C4AH13) [], magnesium silicate hydrate (MSH) [], tetracalcium aluminoferrite (C4AF) [], albite [], aragonite [], goethite [], mica [], zinc oxide (ZnO) [], and anhydride (CaSO4) [].
The hydration process of cement-based materials that include RP can be classified into two separate procedures. Upon contact with water, cement undergoes a chemical reaction, resulting in the formation of CH, C–S–H gel, and AFt compounds. Furthermore, RP exhibits pozzolanic reactivity, resulting in the production of extra C–S–H gel [,]. Furthermore, as a form of SCM, RP also provides a diluted impact. Consequently, a reduced amount of CH is produced during the hydration process, and some of the produced CH is used up, resulting in a decreased CH content in the RP paste [,].
C2S and C3S as anhydrous phases are derived from non-hydrated cement, indicating that the cement has not fully undergone hydration [,,,]. Quartz is the predominant crystalline mineral phase that mostly originates from the fine aggregates [,,,,,,]. Calcite also comes from raw material [,,]. Calcite may also have developed from the carbonation of hydrates and the introduction of RP []. Portlandite (CH) is a secondary product formed during the process of cement hydration, occurring simultaneously with the formation of C–S–H gel []. CH and AFt are hydrated phases []. CH may also originate from any remaining CH present in the RP []. It should be mentioned that the use of the conventional XRD technique for quantifying crystalline phases in pastes is often limited [] and thermogravimetry can be used to calculate the contents such as C–S–H content [,]. Sodium calcium aluminosilicate hydrate phase (NCASH) and C–S–H are the primary binding products []. Gypsum comes from cement [,,]. CaCO3 commonly undergoes hydration to form monocarboaluminate []. Additional mineral components derived from the RP include dolomite [,,,], tobermorite [], kaolinite, mica, and feldspar []. The primary origin of dolomite is the limestone coarse aggregate present in the initial concrete [].
The crystalline phases present in the RP pastes are essentially identical to those found in the OPC paste. Consequently, the addition of RP would not result in the formation of novel hydration products in the binary paste [,,,,,,,,,,,,]. Also, when comparing the paste containing RP to the reference paste, no additional hydration product is observed under various activation methods [,]. Within cementitious matrices, including RP treated with TA, the absence of any distinct peaks suggests that TA also does not produce any novel products or compounds []. However, because of the features of the initial RP, there are noticeable quantitative differences in the primary chemical oxides [].
The intensity of the diffraction peak of SiO2 is positively correlated with the amount of RP present [,,,,,,,,,,,,,,,]. The main reason for this is the significant proportion of the quartz phase present in RP [,,]. On the other hand, Ren et al. [] stated that the presence of RCF leads to a steady reduction in quartz concentration due to the decreased utilization of sand.
The concentration of CaCO3 in the paste increases as the rate of RP replacement increases [,,,,,,,,,,,,]. The increase in the intensity of the diffraction peak of SiO2 and CaCO3 are explained by the presence of a large amount of natural sand and limestone coarse aggregate in RP [,,] and a high level of crystallinity leading to an incomplete activation reaction [].
Incorporating RP decreases the intensity of C–S–H [,,,,]. This further substantiates that including RP in paste reduces the formation of hydrated products. On the other hand, Ma et al. [] and Abdel-Gawwad et al. [] reported that the presence of RP causes an increase in the characteristic peak of C–S–H, indicating that the RP used contributes to the hydration level of cementitious materials which demonstrates the ongoing process of glassy cement powder dissolving or condensing over time, resulting in an excessive amount of C–S–H content.
Incorporating RP decreases the portlandite intensity [,,,,,,,,,,,,,,,,,,,,,]. The intensity of CH decreases as the rate of RP replacement increases, due to the incorporation of RP reducing the amount of cement and the inhibited hydration process caused by a dilution effect [,,,]. The decrease in the intensity of CH, however, does not provide conclusive evidence of the occurrence of the pozzolanic reaction, as the diluting of the cement clinkers could also result in a reduction of CH []. Yang and Che [] reported that hydration products (SiO2, CaCO3, CH, and Aft) that have been mixed with other substances have a small quantity of amorphous phase which might react with CH during the process of cement hydration and trigger a reaction with volcanic ash. Wu et al. [] stated that when comparing the mineral composition of cement paste with 0% and 30% RFP, it is observed that the calcium hydroxide intensity is lower in the paste including RFP. This indicates that the presence of RFP reduces the hydration products in the cement paste.
On the other hand, Zhang et al. [], Wu et al. [], Peng et al. [], and Yang and Che [] reported that the peak intensity for CH increases. Zhang et al. [] stated that although the addition of recycled CDW powder, which is relatively inert, should have resulted in a decrease in the formation of hydration products such as CH, the presence of RCP may actually promote cement hydration by causing nucleation effects. Peng et al. [] explained this phenomenon by stating that reduced concentration of OPC and the enhancing impact of CRCF in the CRCF10 paste. Wu et al. [] reported that the thermal activation treatment of WCP results in a higher CH intensity in paste compared to paste with WCP-20C, when the WCP replacing rate is the same. This is because the thermally activated WCP includes a higher amount of CaO than the untreated WCP-20C.
The diffraction intensity of AFt in the blended samples was stronger compared to the reference sample [,]. The peak intensity of alite and belite decreased significantly due to the continuous hydration of PC [].
The results mentioned above exhibit similarities to cementitious matrices including RP that has undergone thermal treatment [,,]. The thermal treatment of RP has a limited impact on the mineral composition of the mixtures [,,]
Wu et al. [] reported that the addition of waste concrete powder (WCP) thermally treated at 600 °C, 800 °C, and 1000 °C can enhance the hydration response in novel cementitious materials. However, the inclusion of WCP-1200C has a negative impact on the hydration reaction. They indicated that the thermal activation treatment (above 800 °C) of WCP results in a higher CH intensity in the paste compared to WCP-20C, when the WCP replacing rate is the same. Ma et al. [] reported that the paste containing RCP-800C exhibits a higher concentration of hydration products compared to pastes including other fire-damaged RCPs.
Chen et al. [] stated that the hydration products of thermally treated specimens with 30% RFP content exhibited similarities to the hydration products of chemically activated specimens. The specimens underwent a steady decomposition of CaCO3 as the temperature increased beyond 500 °C. The decomposition reaction was fully completed during activation at 700 °C. They argued that the hydration reaction of the system was enhanced by the generation of β-C2S and CaO resulting from the disintegration of C–S–H gel and CaCO3 in the RFP, as the activation temperature increased. They concluded that the hydration of the system is significantly enhanced when the activation temperature is lowered from 900 °C to 700 °C.
Wu et al. [] stated that the mineral crystal type and intensity of the paste, which includes WCP30-600C, closely resemble the paste that contains WCP30-20C. They also stated that the quantity of CaCO3 in the paste decreases as the thermal modification temperature on WCP increases, due to the decomposition of CaCO3 with increasing thermal modification temperature (up to 900 °C).
Carbonation does not significantly influence the mineral composition of RP [,,].
Qian et al. [] reported that by increasing the number of cycles of carbonation in RCF, the amount of CaCO3 typically increases due to the formation of CaCO3 in carbonated RCF. Furthermore, the magnitudes of C–S–H/AFt, AFm, and CH peaks in the pastes containing RCF were diminished compared to those in the reference material. This reduction can be attributed to the dilution caused by the inclusion of RCFs. On the other hand, the CH content in the pastes with RCF appears to increase as the carbonation cycle progresses. Ouyang et al. [] stated that during the initial stages of cement hydration, the silica gel covering the surface of carbonated RP particles disintegrated, exposing CaCO3 and creating a site for the formation of C–S–H. Zhang et al. [] reported that carbonation converts some minerals, primarily C–S–H and CH, into CaCO3 and silica gels. However, this process did not considerably enhance the reactivity of RP. Zhou et al. [] stated that following the CO2 curing process, the strength of the diffraction peaks for CH and C2S decrease but the intensity of the diffraction peak for CaCO3 significantly increases. Hu et al. [] reported that, as the rate of RP replacement increases, the quantity of unreacted quartz and calcite particles likewise increases in the alkaline environment. They stated that the presence of a bread peak suggests the formation of the polymerization product C-(N)-A-S-H. The peak range expands proportionally to the modulus of sodium silicate, suggesting a rise in the polymerization product of C-(N)-A-S-H. Prošek et al. [] reported that the increase in alkalinity has little impact on the morphology of the phases.
For SCM added systems, the interaction between pozzolanic materials and CH is anticipated to generate C–S–H as well as AFt hydrates like ettringite or AFm phases such as monosulfoaluminate or stratlingite [,,,,].
Chen et al. [] stated that the FA and SF particles in RCP composite paste facilitate the creation of nucleation points. As the cementitious materials undergo rehydration, the generation of CH crystals decreases, and the surface pores are filled with CaCO3.
With regard to nano treatment, Wu et al. [] examined the influences of nano-SiO2 on cementitious materials containing WCP as partial cement replacement. They reported that when the rate of RCP replacement is identical, the addition of nano-SiO2 further reduces the intensity of CH in the paste blended with RCP. This is because the incorporation of NS activates a subsequent hydration reaction. Darweesh [] utilized NS to improve the hydration and mechanical properties of cement-based materials with CWP. They reported that the presence of NS facilitated the formation of C–S–H and other hydration products, leading to an enhanced dissolution of C3S. Liu et al. [] reported that the inclusion of NS facilitates a further hydration process between NS and CH, resulting in the production of additional C–S–H gels.
As a brief, it can be stated that, hydration products, including C–S–H gel and calcium hydroxide, accumulate around the RP microparticle, thereby establishing a stable structure. As the RP replacement ratio increases, the calcium content decreases while the silicon content increases, due to RP’s lower calcium and higher silicon concentrations compared to cement. Integrating RP reduces the amount of chemically bound water in cementitious materials. In addition, curing method and curing time do not significantly affect the types of hydration products; however, enhanced curing conditions facilitate the hydration reaction and allow the formation of hydration products.
5.4. Pore Structure
The pore structure of cement-based materials has a crucial role in determining many qualities, such as mechanical strength and durability. Furthermore, the permeability and diffusivity of cement-based material are contingent upon pore characteristics, including porosity, pore size, pore tortuosity, and pore connectedness [,,,,]. The pore distribution of cementitious materials can be assessed using MIP or BET tests []. In addition to these two methods, nuclear magnetic resonance (NMR) is a recently developed technology that has found extensive applications in cement-based materials [].
In general, concerning the effects of pore size on the performance of paste, pores in paste were categorized into four groups according to Wu’s [] pore size grading theory, i.e., harmless pores (<20 nm), less harmful pores (20–50 nm), harmful pores (50–200 nm), and more harmful pores (>200 nm) [,,,,,,,,].
In some cases, a different pore size classification is used in which pore types are divided into hydrated phases (gel) porosity, i.e., gel pores (0–10 nm), fine capillary pores (10–50 nm), middle capillary pores (50–100 nm), and large capillary pores (100–10,000 nm) [,,,,,,,]. It has been reported that pores smaller than 50 nm are associated with creep and shrinkage, whereas pores larger than 50 nm are believed to be associated with strength and permeability [,,,].
Regarding the pore structure, general comments can be made as follows, with exceptions: As RP is involved and RP content increases, porosity increases [,,,,,,,,,,,,,,,,,,,]. Figure 15 presents the porosity variations for mechanically treated RP.

Figure 15.
Porosity variation (%) for mechanically treated RP utilized in cement-based materials (%) [,,,,,,,].
The presence of greater RP content results in a proportional increase in the pore size and pore volume [,,,,,,,,,,,,,,,,] as presented in Figure 16.

Figure 16.
Average pore diameter (nm) for mechanically treated RP utilized in cement-based materials (%) [,,,].
The presence of greater RP content results in an increase in the percentage of larger pores as presented in Figure 17 [,,,,,,,]. It should also be noted that the high fineness of RP can enhance the hydration reaction of cement paste and increase the density of concrete by filling the pores [,,,].

Figure 17.
Pore volume fraction (%) versus pore sizes (nm) for mechanically treated RP utilized in cement-based materials [,,].
The increase in porosity following the incorporation of RP can be attributed to an agglomeration of finer particles within the cement matrix [,,,,]. It can also be explained by stating that the presence of untreated RP reduces the formation of new hydration products and has a negative effect on the pore structure of the produced cementitious materials [,,,,,,,,,,].
Zhang et al. [] stated that the overall porosity of the mortar increased significantly, particularly when the dose of RCP was above 20%. Wu et al. [] stated that the average pore diameter slightly decreases as the incorporation of GCP increases from 10% to 30%. Wu et al. [] observed that when replacing 30% of the cement with RFP, there is a decrease in hydration products and an increase in pore structure. Zhang et al. [] stated that substituting 20% RCP results in a higher cumulative pore volume compared to the reference paste. Du et al. [] reported that by reducing the size of RCP particles from 36.1 μm to 3.0 μm, the critical pore size of cement pastes reduces significantly from 277 nm to 60 nm. They observed that when the particle size exceeded 13.1 μm, RCP fractions had an equal ability to refine the pores of cement pastes in the later stage.
Ma et al. [] stated that substituting 30% of cement with RP increases the size of the pores and the porosity of the paste. However, when an active mineral admixture is added to the RP blended paste, it refines the pore structure. The refinement of the pore structure is more noticeable when metakaolin (MK) or SF is added to the mix. Liu et al. [] observed that the inclusion of NS resulted in a noticeable reduction in porosity. Prošek et al. [] reported that pastes including lime, FA, or slag exhibited an increase in total porosity. Chen et al. [] reported that the combination of FA and SF resulted in an increased hydration degree, leading to an improvement in the internal pore size distribution of WCRP pastes. Liu et al. [] and Liu et al. [] reported that the inclusion of NS resulted in a notable reduction in the percentage of harmful pores and a higher proportion of less harmful and harmless pores. Additionally, it was shown that NS had a beneficial influence on pore refinement.
The incorporation of RP increases the pore size of alkali-activated paste blended with RP [,,,] as presented in Figure 18 and Figure 19. An alkaline environment promotes the disruption and rearrangement of silicon–aluminum glass components, the formation of cement-like materials, and the filling of pores in the RP material [,,].

Figure 18.
Porosity variation (%) in alkali-activated cement-based materials with different RP percentages (%) [,,].

Figure 19.
Pore volume fraction (%) versus pore sizes (nm) for alkali-activated cement-based materials with different RP percentages [,].
Subjecting RP to thermal activation enhances porous microstructure in cementitious materials, and consequently the pore size, pore volume, and porosity become refined [,,,,,,,,,], as presented in Figure 20, Figure 21 and Figure 22.

Figure 20.
Porosity variation (%) in thermally activated RP utilized in cement-based materials versus temperature (°C) [,,].

Figure 21.
Average pore diameter (mm) of thermally activated RP utilized in cement-based materials versus temperature (°C) [,,,].

Figure 22.
Pore volume fraction (%) versus pore sizes (nm) for thermally activated RP utilized in cement-based materials [,].
Zhang et al. [] argued that the internal composition of the mortar exhibits the highest level of structural integrity after being subjected to heat treatment at 800 °C. Zhang et al. [] stated that following the inclusion of the RP, the dimensions of the capillary pores experienced slight enlargement, from 237 to 278 nm. Significantly, the critical pore size of RAAC decreased to 107 nm after the RP was calcined at 600 °C.
Wu et al. [] reported that untreated WCP-20C (30%) increases the pore size and porosity of the paste it is used in. When the temperature at which thermal activation occurs on WCP is between 600 °C and 1000 °C, the pore size and porosity of the paste containing activated WCP are lower compared to the paste containing unactivated WCP. They also stated that the inclusion of waste powder following activation at 1200 °C has a detrimental impact on the pore structure of the newly formed paste due to its inferior nucleation action and filler effect.
Ma et al. [] reported that the harmless and less harmful pore volume in paste containing 10% RCP-20C are lower than in plain paste, whereas the harmless pore volume and less harmful pore volume in paste containing 50% RCP-20C are higher than in the original paste. They observed that the volume of harmful and more harmful pores in the paste containing 30% RCP-800C is lower compared to the paste containing 30% RCP-20C. Additionally, the paste including 30% RCP-800C has the smallest pore size among all of the groups. They explained this result by stating that RCP-800C contains a greater number of active components compared to RCP-20C.
Hu et al. [] reported that the addition of 50% WCP significantly increases the size of the paste’s pore structure, with the increase in average pore diameter being more pronounced than the increase in porosity. But when the replacement level of WCP is maintained at 50%, the paste that contains heat-modified WCPC exhibits a finer pore structure compared to the paste that contains untreated WCP. They also stated that the proportions of harmful and more harmful pores decrease when the temperature of WCP is increased, and the most significant reduction in the percentages of harmful and more harmful pores is observed in the 50% WCP-800T blended paste.
CO2 treatment improves the pore structure [,,,,,,,,,,,,,,,,,], as presented in Figure 23 and Figure 24.

Figure 23.
Average pore diameter (nm) of CO2 activated RP utilized in cement-based materials [,].

Figure 24.
Porosity variation (%) in CO2 activated RP utilized in cement-based materials [].
Kaliyavaradhan et al. [] observed that the pore width and pore volume decreased significantly after carbonation. This phenomenon occurs because of the aggregation of calcite crystal particles, which effectively occupy the pores during the process of carbonation [,,]. Qian et al. [] reported that the introduction of carbonation in RCF promoted the development of CaCO3 crystals and nano-silica, resulting in a faster cement hydration process and a more refined pore structure in mortars containing RCF.
Zhang et al. [] stated that CRCF reacts with CH in cement paste and improves the pore structure of cured cement paste. Nevertheless, the inclusion of CRCF leads to an augmentation in the proportion of large pores in the cement paste. Zhou et al. [] reported that, as a method for utilizing CO2, it entails the interactions between CO2 and either unhydrated clinker particles or hydrated products, primarily C–S–H gel and CH. These reactions facilitate the formation of a stable CaCO3, which enhances the material’s pore structure. Peng et al. [] reported that increasing the CRCF replacement ratio leads to the production of smaller pores in the CRCF-OPC pastes.
Jiang et al. [] reported that the carbonated RCFs had a significant particle size effect on their pore structure. RCF015 (particle size smaller than 0.15 mm) saw the development of many gel holes due to the synthesis of silica gel, leading to a significant 70% increase in the total pore volume. When comparing RCF118 (particle size between 0.6–1.18 mm) and RCF236 (particle size between 1.18–2.36 mm), it was observed that the pore volume decreased by up to 31%, suggesting that the structure became denser.
Regarding the nano-activation, Darweesh [] reported that NS enhances the hardening performance of cement pastes with WCP. Consequently, the NS enhances the pore structure, leading to enhancements in the compressive strength. The total pore volume or porosity was reduced. Consequently, the level of harmlessness was significantly elevated. Wu et al. [] observed that the inclusion of nano-SiO2 in the mixture enhanced the secondary hydration reaction and improved the pore diameter of the paste containing WCP. Specifically, the proportion of harmful pores and the proportion of more harmful pores in WCP paste decrease as the NS concentration increases. Figure 25 and Figure 26 present the effect of nano activation on porosity variation and pore volume fraction.

Figure 25.
Porosity variation (%) in nano activated RP utilized in cement-based materials [,,].

Figure 26.
Pore volume fraction (%) versus pore sizes (nm) for nano activated RP utilized in cement-based materials [,,].
Regarding the TA treatment method, Wang et al. [] observed that the TA treatment has substantially decreased the pore size and overall porosity of the RCF. They explained that the sole plausible cause for this decrease in porosity is the filling of some pores by the reaction products between TA and RCF. They also stated that the pore volume of the RCF specimen decreases as the amount of TA utilized to treat the RCF increases.
Regarding the MCIP treatment, Dong et al. [] utilized dry carbonization, liquid carbonization, and microbial mineralization to activate the RHCP. They reported that both LP-RHCP and MM-RHCP were predominantly composed of mesopores, with the presence of micropores and a few macropores. The cumulative pore volume of the DC-RHCP and LC-RHCP was greater than that of the MM-RHCP.
6. Fresh-State Properties in Cementitious Matrices with RP
6.1. Workability
Workability in the literature was assessed by consistency, fluidity, flowability, slump, and spread tests as per GB/T 50080-2002 [], GB/T 50081-2002 [], GB/T 2419-2005 [], GB/T 1346-2011 [], GB/T 8077-2012 [], BS EN 1015-6 [], EN1015-3:2000 [], GB/T 17671-2021 [], ASTM-C1437 [], ASTM-C230/C230M [], and ASTM-C143/C143M [] by using a flow table [,,,,,], a slump cone-shaped cylinder [], and an electric jumping table [,,,,].
Overall, the addition of RP results in a substantial decrease in the workability [,,,,,,,,,,,,,,,,,,,,,,] as presented in Figure 27. In addition, there is an obvious decrease in the workability as the RP fineness increases [,,,]. The decrease in the workability of the mix can be partially attributable to the porous and uneven microstructure, high specific surface area of fine particles, elevated initial hydration heat in the mixture as a result of the increased RP content, and high-water absorption of RP, resulting in a faster absorption of the required free water for flow [,,,,,,,,,,,,,,,,,,,]. To maintain the workability of RP, pre-wetting, the addition of mixing water, water reduction agent, or superplasticizer, is required for moisture compensation [,,,].

Figure 27.
Spreading diameter (mm) versus mechanically grinded RP percentage (%) [,,,,,,,,].
Zhang et al. [] reported that utilizing RCP at a low concentration (less than 20%) would enhance the fluidity of the mortar. However, at greater substitution levels, such as 30%, the fluidity of the RCP mortars decreased in comparison to the OPC counterparts. Zhou et al. [] observed that, when the replacement ratio of RCP increases, the fluidity of mortars also increases, specifically when the replacement ratio reaches 40%. However, increasing the RCP replacement ratio to 50% has a detrimental impact on fluidity. Zhang et al. [] stated that when comparing the reference mortar with untreated RCP to the one with pre-ground RCP, the fluidity of the latter showed a slight increase.
Li et al. [] stated that cement paste’s fluidity increases and eventually decreases due to RFP particles’ high specific surface area and water absorption. Adding the right quantity of RFP to cement (no more than 30%) makes it more fluid. Prošek et al. [] stated that the geometry of particles seems to have negligible or moderate impact on the fluidity of fresh pastes, but the size distribution plays a significant role.
Controversially, Wu et al. [] reported that as untreated WCP is included, the paste mixture becomes slightly more fluid. This is because WCP has slightly larger particles than cement, which reduces specific surface area and water consumption. Ma and Wang [] also reported an increase in fluidity with the incorporation of ground waste concrete (GWC).
Deng et al. [] worked with recycled fine particles (RFnPs), recycled medium particles (RMdPs), and recycled coarse particles (RCrPs). They stated that regardless of the w/b of 0.4 or 0.5, a fluidity loss of 9% to 23% was seen when 10% to 30% of the cement was replaced with RFnPs. The inclusion of RCrPs considerably raised the fluidity of cement pastes, but RMdP-containing pastes did not produce any discernible changes in fluidity.
An optimal combination of SCMs enhances the workability of the mix [,,,,].
Prošek et al. [] stated that FA and slag greatly enhanced the workability of pastes. Wu et al. [] reported that the microsphere effect of FA enhances the workability. Nežerka et al. [] stated that the results of a flow test demonstrate enhanced workability when FA or GGBS are added with RCF. Chen at el. [] reported that the fluidity of the samples decreased significantly as the content of RCPs increased, in comparison to the control sample. Blending samples with composite RCPs does, however, reduce the fluidity difference. Particularly at the maximum FA dosage (FS22), the fluidity reaches a maximum comparable to the control group. FA particles serve as a “ball bearing” by lowering the frictional forces between themselves and other particles; this, in turn, reduces the likelihood of floc agglomeration and breaking, which in turn releases any trapped water [,,].
Regarding the effect of chemical activation on workability, Wan et al. [] worked with an alkali-activated slag system. The mortar exhibited an initial increase in fluidity, followed by a subsequent decrease, as the RCP content increased. This is primarily because passivated RCP particles have a ball effect and are more spherical than slag particles. The fluidity of the mortar begins to decrease when RCP surpasses 30%. This suggests that the increased water demand caused by an excess of RCP has a substantial influence on the mortar’s fluidity.
Regarding the effect of thermal activation on workability, Wu et al. [] stated that the fluidity of paste reduces as the temperature of WCP increases up to 900 °C, because the newly generated CaO, C2S, or C3S in the thermally modified WCP consumes the free water. Furthermore, when the rate of WCP increases, the impact of the thermal modification temperature of WCP on the fluidity of the freshly prepared paste becomes more pronounced. Florea et al. [] stated that both the untreated and thermally treated RCFs exhibit a greater water need compared to cement. To achieve a comparable spread to the reference mortar, the samples were treated with a superplasticizer when 20% and 30% of the OPC was substituted with RCF. The 10% replacement samples exhibited satisfactory flowability even in the absence of superplasticizer. Figure 28 presents the effect of the thermal activation on spreading diameter.

Figure 28.
Spreading diameter (mm) versus temperature (°C) for thermally activated RP [,,,].
Regarding the carbonation effect on workability, the carbonation of RP might improve the mixture’s workability by forming calcite and reducing the porosity of the RP microstructure [,,,,,] as presented in Figure 29.

Figure 29.
Spreading diameter (mm) versus CO2 activated RP percentage (%) [,,,].
Wu et al. [] stated that when applying CRCF at 100 °C, the pastes’ flowability was reduced. An increase in the specific surface area of CRFC leads to an increase in the wetting surface area and the water demand, which are directly proportional to one another. Zhang et al. [] reported that the flowability of fresh cement paste marginally reduces as the CRCF increases. Nevertheless, the impact is negligible if the dosage of CRCF is below 15%. Ouyang et al. [] observed that despite having a bigger particle size and smaller surface area, the CRP-cement paste exhibited greater flowability compared to the RP-cement paste. The strong affinity between H2O and the silica gel on the surface of CRP is the reason for this. Peng et al. [] reported that as the proportion of CRCF replacement increases, the flowability of the paste diminishes because there is less available water during the initial mixing step. They also stated that the inclusion of CRCF has a positive impact on enhancing the structural integrity of the OPC paste.
The addition of nano-SiO2, nano-CaCO3, and nano-TiO2 can enhance the pore structure of cementitious materials, but it also leads to a decrease in the fluidity of the mixture [].
6.2. Setting Time
Setting time refers to the duration it takes for a mix to progressively lose its fluidity and plasticity due to the hydration process, ultimately reaching a specific level of strength []. The setting time is a crucial parameter used to evaluate the initial behavior of cementitious materials [,,,,]. In literature, the most used standards for this purpose are GB/T 1346-2011 [], GB 175-2007 [], ASTM C187-16 [], ASTM C191–19 [], BS EN 196-3: 2005 [], and JC/T 727–2005 [].
The inclusion of RP has a dual effect on the setting time. On one side, the inclusion of RP reduces the quantity of hydration products in the mix, thereby prolonging the setting time. Conversely, RP particles function as nuclei for crystallization, thus facilitating the formation of hydration products and reducing the time it takes for the material to crystallize [,,,,,].
Some scholars stated that RP tends to decrease the setting time due to the presence of small particles, which have a nucleation effect [,,,,,,].
Zhang et al. [] observed that the usage of wet-grinded RP (WGRP) decreased the time interval between the first setting and final setting time of PC pastes. Larsen et al. [] and Li et al. [] reported that an optimal quantity of RP (30%) enhances the flowability and reduces the setting time of cement.
However, some scholars have come to the opposite conclusion, stating that the mix exhibited an increase in both the initial and final setting time compared to the reference [,,,,,,,,,,,,,]. Figure 30 presents setting time (initial and final) of mechanically grinded RP.

Figure 30.
Setting time (min) of mechanically grinded RP versus RP percentage (%) [,,,,,,,].
Ohemeng et al. [], Kim and Choi [], and Wu et al. [] argued that the delays were attributed to the reduction in C3A and C3S, which enhance the hydration reaction, as the proportion of WCP increases.
Darweesh [] stated that the setting time is prolonged in cement batches having more than 3% of NS, due to the accumulation of NS particles. Liu et al. [] also examined the effect of NS on the early hydration properties of RCP-cement-based materials. They reported that the addition of 30% RCP (without NS) resulted in a prolongation of both the initial and final setting time of the cement paste. However, contrary to Darweesh [], Liu et al. [] stated that the inclusion of NS decreased both the initial and final setting times. They explained this phenomenon by mentioning the nucleation effect of NS, which offers numerous nucleation sites for the precipitation of cement hydration products, hence expediting the hydration process.
Chen et al. [] stated that, adding FA and SF to RCP pastes, the setting time was significantly reduced. They argued that this can be ascribed to the fact that the inclusion of FA and SF can enhance the hydration process of cement, resulting in the formation of many flocculent C–S–H gels, so the cement loses its plasticity and experiences a significant reduction in setting time. Ohemeng and Naghizadeh [] also reached identical findings and stated that the setting time increases as the FA ratio increases. On the other hand, Chen et al. [] obtained contradictory outcomes by using FA and SF. They reported that, as the amount of WCRP content increased, the initial setting time of pastes initially increased and later decreased, whereas the final setting time of pastes increased but the addition of FA and SF to the WCRP paste resulted in a significant decrease in the setting time.
Regarding the effect of chemical activation on he setting time, Yao et al. [] stated that the setting time of the paste decreased substantially with the increased amount of alkali activator. They explained that within an alkaline environment, the amorphous structure present in GGBS will gradually undergo destruction and decomposition. Conversely, Zhang et al. [] yielded contrasting outcomes. They reported that the setting time was marginally prolonged as the alkali modulus (Na2O/SiO2) increased. They explained that the solubility of silicate decreased proportionally with an increase in modulus, resulting in a longer duration needed for the dissolution of enough silica to facilitate alkali activation.
Regarding the effect of the thermal activation of RP on the setting time, Wu et al. [] stated that the setting time of the mixture decreases as the temperature of the thermally modified WCP increases up to 900 °C, but it increases when WCP-1200C is incorporated, because the nucleation effect of WCP-1200C is weakened and the setting time is prolonged due to its smooth microstructure. Nevertheless, Xu et al. [] warn that this could be attributed to a misleading condition caused by the quick interaction between free lime and water, which results in the formation of portlandite in the absence of gypsum. Figure 31 presents the setting time (initial and final) of thermally activated RP.

Figure 31.
Setting time (min) of thermally activated RP versus temperature (°C) [,,].
Regarding the effect of the carbonation of RP on the setting time, Wu et al. [] stated that except for the 100 °C CRCF case, all other CRCF samples caused an increase in the setting time when compared to the pure cement paste, mainly due to the lower content of anhydrous phases of C2S and C3S available for the hydration reaction. Peng et al. [] also reported the same results by using CRCF. Figure 32 presents the setting time (initial and final) of carbonized RP.

Figure 32.
Setting time (min) of CO2 activated RP versus RP percentage (%) [,].
6.3. Air Content
The air-void parameters obtained by defined techniques include the air content, specific surface, and spacing factor. These indicators offer insight into the composition and distribution of the air spaces in the mixture []. The incorporation of RP leads to an increase in air content [] due to the higher level of the porosity of the adhering mortar and to a more irregular form compared to the PC particles [,].
6.4. Water Demand
In the literature, the assessment of water of normal consistency was carried out by a Vicat apparatus as described in BS EN 196-3:2005 [], GB/T 1346-2011 [], GB/T 1596-2017 [], GB 175-2007 [], and IS:4031-Part 4:2005 []. Water demand values reported in the literature are presented in Figure 33.

Figure 33.
Water demand (%) of mechanically grinded RP versus RP percentage (%) [,,,,,,].
As the incorporation of RP increases, water demand increases due to the irregular shape, rough surface, micro pores and the fineness of RP [,,,,,,,,,,,,,,,,,]. The multi-edged and rough morphology of RP can lead to an increase in friction between the powder particles. As a result, the water demand for the mixture including PC and RP also increased [,,,]. In addition, the particle size distribution analysis revealed that the proportion of fine particles was higher in RPs compared to PC. These small particles have a greater capacity to absorb water, resulting in an increased need for water in the paste to produce the desired consistency [,,,,]. Superplasticizers could be involved to decrease the water requirement in the mixtures [,,,,].
Chen et al. [] reported that the water demand for cement pastes to achieve standard consistency increases as the content of WCRP increases. However, when FA and SF were added to the cement pastes with WCRP, the presence of FA caused the balling effect, resulting in better fluidity of the pastes and reduced water requirements. Joshi et al. [] observed that the inclusion of steel slag (SS) did not have any impact on the water demand results, which remained comparable to the reference sample. Zheng et al. [] stated that the addition of nano-silica (NS) to cement results in an increase in water demand.
Regarding the effect of thermal treatment on the water demand, Florea et al. [] reported that both untreated and thermally treated RCF have a greater water requirement compared to cement. They observed that when substituting 10% of OPC by mass, RCF-20 primarily functions as a filler, creating nucleation sites for the formation of cement hydration products. However, when the replacement level increases to 20%, the higher water demand of RCF-20 becomes noticeable and has an impact on the development of strength. The RCF-500, which includes dehydrated cement paste including CaO produced during thermal treatment, exhibits a significantly higher water requirement that surpasses the compensatory effects of rehydration reactions.
Regarding the effect of carbonization treatment on the water demand, Zhang et al. [] reported that the water demand of cement paste typically increases as the replacement level of CRCF increases from 0% to 15%, but no notable variations are observed when the CRCF concentration exceeds 15%. They noted that the inclusion of CRCF typically alters the packing mode of cement particles, potentially affecting the amount of water needed in the pastes. Vashistha et al. [] reported that the carbonation of the WCP results in a significant reduction in the porosity of the microstructure of the cement paste, accompanied by the development of calcite crystals. Concurrently, the need for water to produce the appropriate workability decreased as the particle size increased. They recommended utilizing WCP in concrete applications where there is a higher concentration of plasticizer to address the increased water requirement. Furthermore, they recommended employing WCP with GGBS to reduce water demand, as GGBS also imparts a superplasticizer effect in concrete.
6.5. Viscosity
The viscosity of a material is an important aspect of rheology, as it indicates the interparticle interactions that take place during material flow. These interactions are affected by factors such as the particle size distribution, concentration, and form of the particles [,]. In the literature, the assessment of viscosity was carried out by a rheometer as described in ASTM C1749-17a [] and ASTM C1874-20 [].
The inclusion of RP results in a significant increase in viscosity [,,,]. The rough and irregular morphology of the particles, in conjunction with high water absorption, lead to an increase in viscosity in RP with low levels of fineness [,]. The viscosity variation (%) in mechanically grinded RP is presented in Figure 34.

Figure 34.
Viscosity variation (%) in mechanically grinded RP versus RP percentage (%) [,].
Yao et al. [] stated that by combining RP with GGBS to create a binary solid waste system, it is possible to produce a matrix with an appropriate viscosity. They concluded that excessive alkali content leads to the accelerated activation of slag and RP due to the presence of a strong alkaline solution, resulting in a significant increase in paste viscosity. Liu et al. [] and Zheng et al. [] reported that the addition of NS to cement results in an increase in water requirement, mostly because of the higher yield stress and plastic viscosity it provides. Wan et al. [] used RCP in an alkali-activation system. They reported that the addition of RCP reduces the plastic viscosity of the paste. They reported that, as the RCP concentration increased, the amount of hydration products, the cohesiveness of the slurry, and the plastic viscosity all decreased. Peng et al. [] stated that an increased CRCF replacement ratio results in increased yield stress and plastic viscosity. The fundamental reason for this is the smaller size of the particles and the larger surface area of CRCF, which allows it to quickly absorb significant quantities of free water. The viscosity variation (%) in carbonated RP studied by Peng et al. [] is presented in Figure 35.

Figure 35.
Viscosity variation (%) in carbonated RP versus RP percentage (%) [].
6.6. Fresh Density
Fresh density is the measurement of mass per unit volume of a mixture before it sets and hardens. It is a crucial new characteristic as it significantly impacts the solid characteristics of the mixture. An increased fresh density of the mixture leads to improved mechanical and durability properties due to reduced porosity and air content.
Research has found several parameters that affect the fresh density, including the quality of the aggregate, the content of recycled aggregate (RA), and the use of SCM. The aggregate’s shape, size, porosity, and texture have a significant impact on the quantity of air trapped in fresh mixtures, thus affecting the fresh density of the mixture [,,,]. In literature, the most used standard for this purpose is EN 1015-6 []. As the substitution rate of RP increased, fresh density decreased as presented in Figure 36 [,,,]. The decrease in fresh density is due to the irregular nature, porosity, and low density of RP, including a lower cement content leading to less hydration products [,,].

Figure 36.
Fresh density (kg/m3) versus RP percentage (%) [,].
7. Conclusions
The utilization of RP as a partial substitute for cement introduces a novel range of possibilities for repurposing WC, thereby making a substantial contribution to the recycling of one of the primary CDW streams. Moreover, using RP in real-world scenarios could potentially offer an alternative and additional resource to tackle the current issue of limited access to local sources, high levels of energy consumption, and substantial pollution.
This paper provides an overview of the application of RP in cementitious matrices. A comprehensive analysis has been provided on the characteristics, benefits, and constraints of using RP, specifically focusing on fundamental and micro-properties.
RP possesses an uneven microstructure, fine particle size, and large specific surface area, with RP particles in paste enveloped by C–S–H gel, hence enhancing its filler efficacy. RP comprises a mass of siliceous oxide and calcareous oxide, along with certain hydrated components and unhydrated cement particles. Eventually, the mineral composition of RP closely resembles that of FA, therefore allowing for the partial substitution of RP for cement in cement-based material production. The characteristics and mineral composition of RP in the literature are inconsistent due to the multitude of sources of concrete waste. The blended RP reduces the quantity of cement and its resultant CH and C–S–H gel in novel cement-based products. Consequently, the blended RP results in a reduction in hydration products and negatively impacts the pore structure of cement-based materials. Replacing fine RP with cement reduces the fluidity of the resulting cement-based products. The viscosity of the paste increases with an increase in RP particle size at a constant RP replacement ratio. The setup time is extended with the substitution of RP. When the RP type and replacement ratio are identical, the setting time is extended as the particle size of RP increases.
The review provided above allows for the following inferences to be made.
- When utilizing RP as an SCM, it is advisable to ensure it has a high reactivity and has a small particle size, comparable to or smaller than cement.
- RP reactivity has been shown to increase with higher SSA and fineness, grinding time, and grinding type. Enhancing the RP’s fineness can elevate the SSA of the RP, transform the stable SiO2 into amorphous SiO2, and therefore enhance the RP’s activity.
- Mechanical grinding can decrease the particle diameter and enhance the SSA of RP. However, the process of grinding to achieve fine RP requires a significant amount of energy, resulting in adverse environmental impacts and increased costs for RP. Furthermore, excessive grinding duration leads to an agglomeration of the material and reduces the strength of the specimen. Based on the analysis, 20 to 30 min is an appropriate duration for dry-grinding, whereas 60 to 80 min is ideal for wet grinding and the smallest RP particle sizes were produced by wet grinding.
- RP is a dry powder which has an off-white, grey color, and its look is comparable to that of cement, FA, SF, and LP. On the other hand, RP particles exhibit non-uniform shapes and uneven edges with sharp angles unlike cement, FA, SF, and LP particles.
- The primary chemical constituents of the RP are SiO2, CaO, Al2O3, and Fe2O3, whose contents vary according to waste origin. These chemical constituents closely resemble the composition of regular cement, FA, and GGBS which indicates an optimal distribution of oxides and an efficient source to be utilized as SCM in cement-based materials.
- SiO2 and Al2O3 are produced from sand and residues of coarse aggregate. CaO is formed through the hydration of cement particles, as well as from unhydrated cement particles and CaCO3.
- RP fulfills the necessary criteria to be classified as a pozzolanic material, with a composition of Fe2O3+Al2O3+SiO2 above 70%. On the other hand, the maximum LOI requirement, 6%, is not met for most of the cases.
- The mineralogical composition of RP is complex because of the various mineral phases found in cement-based materials, transitioning between crystalline and amorphous states.
- As the RP replacement ratio increases, the activity index of the RP decreases. Furthermore, extending the grinding period enhances the fineness and specific surface area of RP, hence enhancing the activity index of RP. In general, the AI of RP fulfills the standard requirement.
- Thermal activation effectively improves the hydration rate and maximizes the potential activity of RP. In general, an increase in temperature during the thermal treatment of RP results in a noticeable alteration in the size of the particles and on the minerology. To achieve a feasible thermal activation, it is recommended to maintain a temperature range of 600–900 °C. This temperature range will facilitate the generation of active components that can actively engage in the new hydration reaction. Regarding the effect of thermal treatment on the AI of RP, thermal activation increases the SAI up to 800 °C.
- The gas–solid and liquid–solid procedures of the direct carbonation method can effectively generate a suitable level of carbonation in RP by enhancing the microstructure of RP, resulting in reduced porosity because of the production of CaCO3 which also enhances the formation of stable CAHC, CAMC, and AFt, hence enhancing the microstructure of the cement matrix.
- Liquid–solid carbonation was found to be more effective in completing the carbonation process within a shorter timeframe (6 h), when the carbonation time for gas–solid carbonation was 24 h.
- Direct carbonation has several key benefits, including reduced costs and environmental consequences due to its straightforward nature and decreased use of chemicals compared to indirect carbonation.
- In general, direct carbonation increases the particle size and SSA of RP due to the particle agglomeration and chemical reaction of hydration products, and the carbonated RP exhibits a denser and smoother surface topology due to the carbonation of the hydration products which fills the micropores and voids with CaCO3 and silica gel.
- AI demonstrates a substantial enhancement while utilizing carbonated RP and RP treated with biomineralization in comparison to untreated RP.
- Biomineralization, chemical activation, TA activation, and the joint application of activation methods have been found to have positive results for different properties.
- RP addition decreases the alkalinity of the mixture, while the inclusion of an alkali exciter enhances the effectiveness of the RP. The use of an alkali activator can enhance the development of C–S–H, resulting in a more compact microstructure.
- The incorporation of mineral admixtures, and nano materialsis helpful to improve the performance of RP.
- The inclusion of the RP leads to a decrease in the peak time of the heat of hydration curves, suggesting that the addition of RP enhances the rate at which the paste hydrates due to its dilution effect. When the percentage of RP is below 30% and the fineness (D50) is below 20 μm, it enhances the early hydration of cement, leading to an increased rate of heat generation and a shorter induction duration. Similar to mechanical activation, thermal activation and CO2 activation have also a positive impact on enhancing the rate at which the RP hydrates.
- Typically, the microstructure of cementitious matrices including RP is less dense, more porous, and has more cracks compared to the reference mix. Increased looseness, more pores, and cracks can be observed when the RP ratio increases. However, when the RP content is below 30%, it does not have the ability to change the cement matrix. Instead, it forms a dense microstructure that is influenced by physical filling.
- The concentration of SiO2 and CaCO3 in the cementitious matrices increase, and CH and C–S–H decrease as the rate of RP replacement increases. The thermal activation and CO2 activation of RP have a limited impact on the mineral composition of the mixtures.
- As RP is involved and RP content increases, porosity increases. The presence of more RP content results in a proportional increase in the pore size and pore volume and an increase in the percentage of larger pores. High fineness of RP can enhance the hydration reaction of cement paste and increase the density of concrete by filling the pores.
- Thermal activation (up to 800 °C), CO2 activation, mineral admixtures, SCMs and nano material incorporation, and alkaline environment enhance the pore structure of the RP blended cementitious matrices.
- The addition of RP, the addition of nano materials, and thermal activation (up to 900 °C) result in a substantial decrease in workability, due to porous and uneven microstructure, the high specific surface area of fine particles, elevated initial hydration heat in the mixture because of the increased RP content, and the elevated water absorption of RP.
- Using an optimal combination of SCMs and CO2 activation enhances the workability of the mix.
- The inclusion of RP has a dual effect on the setting time. On one side, the inclusion of RP reduces the quantity of hydration products in the mix, thereby prolonging the setting time. Conversely, RP particles function as nuclei for crystallization, thus facilitating the formation of hydration products and reducing the time it takes for the material to crystallize.
- Chemical activation and thermal activation (up to 900 °C) reduce the setting time (initial and final). On the other hand, CO2 activation causes an increase in the setting time.
- The incorporation of RP leads to an increase in air content due to the higher level of the porosity of the adhering mortar and to a more irregular form compared to the PC particles.
- As the incorporation of untreated RP or thermally activated RP increases, water demand increases due to the irregular shape, rough surface, micro pores, and the fineness of RP.
- The incorporation of SCMs and CO2 activation reduces the water demand.
- The inclusion of RP results in a significant increase in viscosity due to the rough and irregular morphology of the particles. The incorporation of SCMs also increases viscosity.
- As the substitution rate of RP increases, fresh density decreases marginally, due to the irregular nature, porosity, and low density of RP.
Author Contributions
Conceptualization, K.K., S.C. and J.A.; methodology, K.K.; validation, K.K., S.C. and J.A.; formal analysis, K.K.; investigation, K.K.; resources, K.K., S.C. and J.A.; data curation, K.K. and S.C.; writing—original draft preparation, K.K.; writing—review and editing, K.K., S.C. and J.A.; visualization, K.K. and S.C.; supervision, S.C. and J.A. All authors have read and agreed to the published version of the manuscript.
Funding
This work was supported by Fundação Para a Ciência e Tecnologia (FCT)/MCTES through national funds (PIDDAC) under the R&D Unit Centre for Territory, Environment and Construction (CTAC), reference UIDB/04047/2020, and under the University of Minho Programme to Stimulate Institutional Scientific Employment, reference CEECINST/00156/2018.
Conflicts of Interest
The authors declare no conflicts of interest.
References
- Zhao, X.; Shang, Y.; Song, M. Industrial structure distortion and urban ecological efficiency from the perspective of green entrepreneurial ecosystems. Socio-Econ. Plan. Sci. 2020, 72, 100757. [Google Scholar] [CrossRef]
- Abbass, K.; Qasim, M.Z.; Song, H.; Murshed, M.; Mahmood, H.; Younis, I. A review of the global climate change impacts, adaptation, and sustainable mitigation measures. Environ. Sci. Pollut. Res. 2022, 29, 42539–42559. [Google Scholar] [CrossRef] [PubMed]
- Tripathi, A.; Tripathi, D.K.; Chauhan, D.K.; Kumar, N.; Singh, G.S. Paradigms of climate change impacts on some major food sources of the world: A review on current knowledge and future prospects. Agric. Ecosyst. Environ. 2016, 216, 356–373. [Google Scholar] [CrossRef]
- IEA. Global Status Report for Buildings and Construction; IEA: Paris, France, 2019. [Google Scholar]
- Yang, Y.; Kang, Z.; Zhan, B.; Gao, P.; Yu, Q.; Wang, J.; Zhao, W.; Zhang, Y.; Bi, W.; Yang, C.; et al. Short review on the application of recycled powder in cement-based materials: Preparation, performance and activity excitation. Buildings 2022, 12, 1568. [Google Scholar] [CrossRef]
- Sun, C.; Chen, L.; Xiao, J.; Singh, A.; Zeng, J. Compound utilization of construction and industrial waste as cementitious recycled powder in mortar. Resour. Conserv. Recycl. 2021, 170, 105561. [Google Scholar] [CrossRef]
- Oliveira, D.R.B.; Leite, G.; Possan, E.; Marques Filho, J. Concrete powder waste as a substitution for Portland cement for environment-friendly cement production. Constr. Build. Mater. 2023, 397, 132382. [Google Scholar] [CrossRef]
- Wu, H.; Yang, D.; Ma, Z. Micro-structure, mechanical and transport properties of cementitious materials with high-volume waste concrete powder and thermal modification. Constr. Build. Mater. 2021, 313, 125477. [Google Scholar] [CrossRef]
- Rocha, J.H.A.; Toledo Filho, R.D. The utilization of recycled concrete powder as supplementary cementitious material in cement-based materials: A systematic literature review. J. Build. Eng. 2023, 76, 107319. [Google Scholar] [CrossRef]
- Xiao, J.; Hao, L.; Cao, W.; Ye, T. Influence of recycled powder derived from waste concrete on mechanical and thermal properties of foam concrete. J. Build. Eng. 2022, 61, 105203. [Google Scholar] [CrossRef]
- Kim, H.S.; Lee, S.H.; Kim, B. Properties of extrusion concrete panel using waste concrete powder. Appl. Sci. 2017, 7, 910. [Google Scholar] [CrossRef]
- Cantero, B.; Bravo, M.; de Brito, J.; Sáez del Bosque, I.F.; Medina, C. Thermal performance of concrete with recycled concrete powder as partial cement replacement and recycled CDW aggregate. Appl. Sci. 2020, 10, 4540. [Google Scholar] [CrossRef]
- Tanash, A.O.; Muthusamy, K.; Yahaya, F.M.; Ismail, M.A. Potential of recycled powder from clay Brick, sanitary Ware, and concrete waste as a cement substitute for Concrete: An overview. Constr. Build. Mater. 2023, 401, 132760. [Google Scholar] [CrossRef]
- Scrivener, K.L.; John, V.M.; Gartner, E.M. Eco-efficient cements: Potential economically viable solutions for a low-CO2 cement-based materials industry. Cem. Concr. Res. 2018, 114, 2–26. [Google Scholar] [CrossRef]
- Juenger, M.C.; Snellings, R.; Bernal, S.A. Supplementary cementitious materials: New sources, characterization, and performance insights. Cem. Concr. Res. 2019, 122, 257–273. [Google Scholar] [CrossRef]
- Rocha, J.H.A.; Toledo Filho, R.D.; Cayo-Chileno, N.G. Sustainable alternatives to CO2 reduction in the cement industry: A short review. Mater. Today Proc. 2022, 57, 436–439. [Google Scholar] [CrossRef]
- Campos, H.F.; Klein, N.S.; Marques Filho, J.; Bianchini, M. Low-cement high-strength concrete with partial replacement of Portland cement with stone powder and silica fume designed by particle packing optimization. J. Clean. Prod. 2020, 261, 121228. [Google Scholar] [CrossRef]
- John, V.M.; Damineli, B.L.; Quattrone, M.; Pileggi, R.G. Fillers in cementitious materials—Experience, recent advances and future potential. Cem. Concr. Res. 2018, 114, 65–78. [Google Scholar] [CrossRef]
- Carriço, A.; Bogas, J.A.; Guedes, M. Thermoactivated cementitious materials—A review. Constr. Build. Mater. 2020, 250, 118873. [Google Scholar] [CrossRef]
- Yang, J.; Guo, Y.; Tam, V.W.; Tan, J.; Shen, A.; Zhang, C.; Zhang, J. Feasibility of recycled aggregates modified with a compound method involving sodium silicate and silane as permeable concrete aggregates. Constr. Build. Mater. 2022, 361, 129747. [Google Scholar] [CrossRef]
- Gartner, E.; Hirao, H. A review of alternative approaches to the reduction of CO2 emissions associated with the manufacture of the binder phase in concrete. Cem. Concr. Res. 2015, 78, 126–142. [Google Scholar] [CrossRef]
- Schneider, M. The cement industry on the way to a low-carbon future. Cem. Concr. Res. 2019, 124, 105792. [Google Scholar] [CrossRef]
- Zito, S.V.; Irassar, E.F.; Rahhal, V.F. Recycled Construction and Demolition Waste as Supplementary Cementing Materials in Eco-Friendly Concrete. Recycling 2023, 8, 54. [Google Scholar] [CrossRef]
- Ma, Z.; Liu, M.; Duan, Z.; Liang, C.; Wu, H. Effects of active waste powder obtained from C&D waste on the microproperties and water permeability of concrete. J. Clean. Prod. 2020, 257, 120518. [Google Scholar]
- Noaman, A.S.; Alsaffar, A.E. A suggestion of a procedural method for the management of post-war waste. Civ. Eng. J. 2019, 5, 2143–2151. [Google Scholar] [CrossRef]
- European Commission. Construction and Demolition Waste (CDW). 2016. Available online: http://ec.europa.eu/environment/waste/construction_demolition.htm (accessed on 13 March 2024).
- Wang, J.; Wu, H.; Duan, H.; Zillante, G.; Zuo, J.; Yuan, H. Combining life cycle assessment and Building Information Modelling to account for carbon emission of building demolition waste: A case study. J. Clean. Prod. 2018, 172, 3154–3166. [Google Scholar] [CrossRef]
- Wu, H.; Zuo, J.; Yuan, H.; Zillante, G.; Wang, J. A review of performance assessment methods for construction and demolition waste management. Resour. Conserv. Recycl. 2019, 150, 104407. [Google Scholar] [CrossRef]
- European Commission. Construction and Demolition Waste (CDW). 2018. Available online: https://ec.europa.eu/newsroom/growth/items/455097/en (accessed on 17 March 2024).
- US EPA. Advancing Sustainable Materials Management: 2018 Fact Sheet; US EPA: Washington, DC, USA, 2020. [Google Scholar]
- Pickin, J.; Randell, P.; Trinh, J.; Grant, B. Australian National Waste Report. 2018, Australia. Available online: https://www.dcceew.gov.au/sites/default/files/documents/national-waste-report-2018.pdf (accessed on 20 October 2024).
- Du, J.; Zhang, T.; Chen, P.; Guo, Y.; Zhan, B.; Wei, J.; Yu, Q. Phase separation of recycled concrete powder during grinding and consequent influences on its hydration behaviors in cement paste. Cem. Concr. Compos. 2023, 142, 105203. [Google Scholar] [CrossRef]
- Tisi, Y.S.A.B.; Matos, F.A.; Carneiro, M.L.N.M. Development of waste-to-energy through integrated sustainable waste management: The case of ABREN WtERT Brazil towards changing status quo in Brazil. Waste Dispos. Sustain. Energy. 2023, 5, 295–308. [Google Scholar] [CrossRef]
- Oh, D.; Noguchi, T.; Kitagaki, R.; Choi, H. Proposal of demolished concrete recycling system based on performance evaluation of inorganic building materials manufactured from waste concrete powder. Renew. Sustain. Energy Rev. 2021, 135, 110147. [Google Scholar] [CrossRef]
- Li, Z.; Bian, Y.; Zhao, J.; Wang, Y.; Yuan, Z. Recycled concrete fine powder (RFP) as cement partial replacement: Influences on the physical properties, hydration characteristics, and microstructure of blended cement. J. Build. Eng. 2022, 62, 105326. [Google Scholar] [CrossRef]
- Jain, M.S. A mini review on generation, handling, and initiatives to tackle construction and demolition waste in India. Environ. Technol. Innov. 2021, 22, 101490. [Google Scholar] [CrossRef]
- Tam, V.W.; Soomro, M.; Evangelista, A.C.J. A review of recycled aggregate in concrete applications (2000–2017). Constr. Build. Mater. 2018, 172, 272–292. [Google Scholar] [CrossRef]
- Tang, Q.; Ma, Z.; Wu, H.; Wang, W. The utilization of eco-friendly recycled powder from concrete and brick waste in new concrete: A critical review. Cem. Concr. Compos. 2020, 114, 103807. [Google Scholar] [CrossRef]
- Pastrana-Ayala, J.; Silva-Urrego, Y.; Adrada-Molano, J.; Delvasto-Arjona, S. Physical mechanic properties of self-compacting concrete produced with concrete waste powder. Informador Técnico 2019, 83, 174–190. [Google Scholar]
- Liang, C.; Lu, N.; Ma, H.; Ma, Z.; Duan, Z. Carbonation behavior of recycled concrete with CO2-curing recycled aggregate under various environments. J. CO2 Util. 2020, 39, 101185. [Google Scholar] [CrossRef]
- Seror, N.; Portnov, B.A. Estimating the effectiveness of different environmental law enforcement policies on illegal C&D waste dumping in Israel. Waste Manag. 2020, 102, 241–248. [Google Scholar]
- Xiao, J.; Ma, Z.; Ding, T. Reclamation chain of waste concrete: A case study of Shanghai. Waste Manag. 2016, 48, 334–343. [Google Scholar] [CrossRef]
- Alsheyab, M.A.T. Recycling of construction and demolition waste and its impact on climate change and sustainable development. Int. J. Environ. Sci. Technol. 2022, 19, 2129–2138. [Google Scholar] [CrossRef]
- Ferreira, R.L.; Anjos, M.A.; Nóbrega, A.K.; Pereira, J.E.; Ledesma, E.F. The role of powder content of the recycled aggregates of CDW in the behaviour of rendering mortars. Constr. Build. Mater. 2019, 208, 601–612. [Google Scholar] [CrossRef]
- Li, S.; Gao, J.; Li, Q.; Zhao, X. Investigation of using recycled powder from the preparation of recycled aggregate as a supplementary cementitious material. Constr. Build. Mater. 2021, 267, 120976. [Google Scholar] [CrossRef]
- Wang, Y.; Burris, L.; Shearer, C.R.; Hooton, D.; Suraneni, P. Strength activity index and bulk resistivity index modifications that differentiate inert and reactive materials. Cem. Concr. Compos. 2021, 124, 104240. [Google Scholar] [CrossRef]
- Özalp, F.; Yılmaz, H.D.; Kara, M.; Kaya, Ö.; Şahin, A. Effects of recycled aggregates from construction and demolition wastes on mechanical and permeability properties of paving stone, kerb and concrete pipes. Constr. Build. Mater. 2016, 110, 17–23. [Google Scholar] [CrossRef]
- Liu, Q.; Tong, T.; Liu, S.; Yang, D.; Yu, Q. Investigation of using hybrid recycled powder from demolished concrete solids and clay bricks as a pozzolanic supplement for cement. Constr. Build. Mater. 2014, 73, 754–763. [Google Scholar] [CrossRef]
- Vieira, C.S.; Pereira, P.M. Use of recycled construction and demolition materials in geotechnical applications: A review. Resour. Conserv. Recycl. 2015, 103, 192–204. [Google Scholar] [CrossRef]
- Rahman, M.A.; Imteaz, M.; Arulrajah, A.; Disfani, M.M. Suitability of recycled construction and demolition aggregates as alternative pipe backfilling materials. J. Clean. Prod. 2014, 66, 75–84. [Google Scholar] [CrossRef]
- Pourkhorshidi, S.; Sangiorgi, C.; Torreggiani, D.; Tassinari, P. Using recycled aggregates from construction and demolition waste in unbound layers of pavements. Sustainability 2020, 12, 9386. [Google Scholar] [CrossRef]
- Zhang, D.; Zhang, S.; Huang, B.; Yang, Q.; Li, J. Comparison of mechanical, chemical, and thermal activation methods on the utilisation of recycled concrete powder from construction and demolition waste. J. Build. Eng. 2022, 61, 105295. [Google Scholar] [CrossRef]
- Marinković, S.; Radonjanin, V.; Malešev, M.; Ignjatović, I. Comparative environmental assessment of natural and recycled aggregate concrete. Waste Manag. 2010, 30, 2255–2264. [Google Scholar] [CrossRef]
- Xia, B.; Ding, T.; Xiao, J. Life cycle assessment of concrete structures with reuse and recycling strategies: A novel framework and case study. Waste Manag. 2020, 105, 268–278. [Google Scholar] [CrossRef]
- Li, L.G.; Lin, C.J.; Chen, G.M.; Kwan, A.K.H.; Jiang, T. Effects of packing on compressive behaviour of recycled aggregate concrete. Constr. Build. Mater. 2017, 157, 757–777. [Google Scholar] [CrossRef]
- Jiang, Y.; Li, B.; Liu, S.; He, J.; Hernandez, A.G. Role of recycled concrete powder as sand replacement in the properties of cement mortar. J. Clean. Prod. 2022, 371, 133424. [Google Scholar] [CrossRef]
- Guo, H.; Shi, C.; Guan, X.; Zhu, J.; Ding, Y.; Ling, T.C.; Zhang, H.; Wang, Y. Durability of recycled aggregate concrete—A review. Cem. Concr. Compos. 2018, 89, 251–259. [Google Scholar] [CrossRef]
- Kancheva, Y.D.; Zaharieva, R.A. Recycling of concrete construction and demolition waste in alternative binders: Part 2–Environmental footprint. IOP Conf. Ser. Mater. Sci. Eng. 2020, 951, 012009. [Google Scholar] [CrossRef]
- Deng, X.; Li, J.; Lu, Z.; Zhang, J.; Luo, K.; Niu, Y.; Hu, J.; He, K. Rheological and early hydration of cementitious material containing recycled concrete powders collected from recycled aggregates. Constr. Build. Mater. 2023, 393, 132108. [Google Scholar] [CrossRef]
- Tam, V.W.; Gao, X.F.; Tam, C.M. Microstructural analysis of recycled aggregate concrete produced from two-stage mixing approach. Cem. Concr. Res. 2005, 35, 1195–1203. [Google Scholar] [CrossRef]
- Mehdizadeh, H.; Ling, T.C.; Cheng, X.; Mo, K.H. Effect of particle size and CO2 treatment of waste cement powder on properties of cement paste. Can. J. Civ. Eng. 2021, 48, 522–531. [Google Scholar]
- Kim, Y.J.; Choi, Y.W. Utilization of waste concrete powder as a substitution material for cement. Constr. Build. Mater. 2012, 30, 500–504. [Google Scholar] [CrossRef]
- Silva, S.; Evangelista, L.; De Brito, J. Durability and shrinkage performance of concrete made with coarse multi-recycled concrete aggregates. Constr. Build. Mater. 2021, 272, 121645. [Google Scholar] [CrossRef]
- Wang, C.; Xiao, J.; Qi, C.; Li, C. Rate sensitivity analysis of structural behaviors of recycled aggregate concrete frame. J. Build. Eng. 2022, 45, 103634. [Google Scholar] [CrossRef]
- Duan, Z.; Hou, S.; Xiao, J.; Li, B. Study on the essential properties of recycled powders from construction and demolition waste. J. Clean. Prod. 2020, 253, 119865. [Google Scholar] [CrossRef]
- Duan, Z.; Hou, S.; Xiao, J.; Singh, A. Rheological properties of mortar containing recycled powders from construction and demolition wastes. Constr. Build. Mater. 2020, 237, 117622. [Google Scholar] [CrossRef]
- Sun, D.; Huang, N.; Liu, K.; Tang, J.; Rong, N.; Wang, A.; Guan, Y.; Liang, P.; Deng, Y. Effect of recycled fine powder on autoclaved aerated concrete: Gas-foaming, physic-mechanical property and hydration products. J. Build. Eng. 2023, 67, 106013. [Google Scholar] [CrossRef]
- Zhang, S.; Zhao, Y.; Ding, H.; Qiu, J.; Guo, Z. Recycling flue gas desulfurisation gypsum and phosphogypsum for cemented paste backfill and its acid resistance. Constr. Build. Mater. 2021, 275, 122170. [Google Scholar] [CrossRef]
- Yao, C.; Guo, Y.; Shen, A.; Cui, W.; He, Z. Recycling of fine-asphalt-pavement solid waste for low-shrinkage rapid hardening Portland cement concrete pavement. Constr. Build. Mater. 2021, 289, 123132. [Google Scholar] [CrossRef]
- Kim, J. Influence of quality of recycled aggregates on the mechanical properties of recycled aggregate concretes: An overview. Constr. Build. Mater. 2022, 328, 127071. [Google Scholar] [CrossRef]
- Chen, X.; Li, Y.; Bai, H.; Ma, L. Utilization of recycled concrete powder in cement composite: Strength, microstructure and hydration characteristics. J. Renew. Mater. 2021, 9, 2189–2208. [Google Scholar] [CrossRef]
- Ohemeng, E.A.; Ekolu, S.O.; Quainoo, H.; Naghizadeh, A. Economical and eco-friendly masonry mortar containing waste concrete powder as a supplementary cementitious material. Case Stud. Constr. Mater. 2022, 17, e01527. [Google Scholar] [CrossRef]
- Yao, T.; Tian, Q.; Zhang, M.; Qi, S.; Wang, C.; Ruan, M.; Xu, G.; Cai, J. Experimental research on the preparation and properties of foamed concrete using recycled waste concrete powder. Constr. Build. Mater. 2023, 407, 133370. [Google Scholar] [CrossRef]
- Villagrán-Zaccardi, Y.A.; Marsh, A.T.; Sosa, M.E.; Zega, C.J.; De Belie, N.; Bernal, S.A. Complete re-utilization of waste concretes–Valorisation pathways and research needs. Resour. Conserv. Recycl. 2022, 177, 105955. [Google Scholar] [CrossRef]
- Gebremariam, A.T.; Di Maio, F.; Vahidi, A.; Rem, P. Innovative technologies for recycling End-of-Life concrete waste in the built environment. Resour. Conserv. Recycl. 2020, 163, 104911. [Google Scholar] [CrossRef]
- Meng, Y.; Ling, T.C.; Mo, K.H. Recycling of wastes for value-added applications in concrete blocks: An overview. Resour. Conserv. Recycl. 2018, 138, 298–312. [Google Scholar] [CrossRef]
- Zhang, X.Y.; Fan, M.X.; Zhou, Y.X.; Ji, D.D.; Li, J.H.; Yu, R. Development of a sustainable alkali activated ultra-high performance concrete (A-UHPC) incorporating recycled concrete fines. J. Build. Eng. 2023, 67, 105986. [Google Scholar] [CrossRef]
- Caneda-Martínez, L.; Monasterio, M.; Moreno-Juez, J.; Martínez-Ramírez, S.; García, R.; Frías, M. Behaviour and Properties of Eco-Cement Pastes Elaborated with Recycled Concrete Powder from Construction and Demolition Wastes. Materials 2021, 14, 1299. [Google Scholar] [CrossRef] [PubMed]
- Wu, Y.; Liu, C.; Liu, H.; Hu, H.; He, C.; Song, L.; Huang, W. Pore structure and durability of green concrete containing recycled powder and recycled coarse aggregate. J. Build. Eng. 2022, 53, 104584. [Google Scholar] [CrossRef]
- Qian, X.; Xu, W.; Wang, Y.; Fang, H.; Jing, Z.; Chen, P. Revisiting the carbonation of recycled concrete fine: A pH-cycle carbonation method. J. Build. Eng. 2023, 77, 107438. [Google Scholar] [CrossRef]
- Abdel-Gawwad, H.A.; Heikal, E.; El-Didamony, H.; Hashim, F.S.; Mohammed, A.H. Recycling of concrete waste to produce ready-mix alkali activated cement. Ceram. Int. 2018, 44, 7300–7304. [Google Scholar] [CrossRef]
- Kim, J.; Nciri, N.; Sicakova, A.; Kim, N. Characteristics of waste concrete powders from multi-recycled coarse aggregate concrete and their effects as cement replacements. Constr. Build. Mater. 2023, 398, 132525. [Google Scholar] [CrossRef]
- Deng, X.; Guo, H.; Tan, H.; He, X.; Zheng, Z.; Su, Y.; Yang, J. An accelerator prepared from waste concrete recycled powder and its effect on hydration of cement-based materials. Constr. Build. Mater. 2021, 296, 123767. [Google Scholar] [CrossRef]
- Sui, Y.; Liu, S.; Ou, C.; Liu, Q.; Meng, G. Experimental investigation for the influence of graphene oxide on properties of the cement-waste concrete powder composite. Constr. Build. Mater. 2021, 276, 122229. [Google Scholar] [CrossRef]
- Ji, Y.; Ji, W.; Li, W. Performance of Building Solid Waste Powder in Cement Cementitious Material: A Review. Materials 2022, 15, 5408. [Google Scholar] [CrossRef]
- Mucsi, G.; Halyag Papné, N.; Ulsen, C.; Figueiredo, P.O.; Kristály, F. Mechanical activation of construction and demolition waste in order to improve its pozzolanic reactivity. ACS Sustain. Chem. Eng. 2021, 9, 3416–3427. [Google Scholar] [CrossRef]
- Xiao, J.; Ma, Z.; Sui, T.; Akbarnezhad, A.; Duan, Z. Mechanical properties of concrete mixed with recycled powder produced from construction and demolition waste. J. Clean. Prod. 2018, 188, 720–731. [Google Scholar] [CrossRef]
- Pereira, P.; Evangelista, L.M.F.D.R.; De Brito, J.M.C.L. The effect of superplasticizers on the mechanical performance of concrete made with fine recycled concrete aggregates. Cem. Concr. Compos. 2012, 34, 1044–1052. [Google Scholar] [CrossRef]
- Zhao, Z.; Remond, S.; Damidot, D.; Xu, W. Influence of fine recycled concrete aggregates on the properties of mortars. Constr. Build. Mater. 2015, 81, 179–186. [Google Scholar] [CrossRef]
- Muñoz-Ruiperez, C.; Rodríguez, A.; Gutiérrez-González, S.; Calderón, V. Lightweight masonry mortars made with expanded clay and recycled aggregates. Constr. Build. Mater. 2016, 118, 139–145. [Google Scholar] [CrossRef]
- Wu, Y.; Mehdizadeh, H.; Mo, K.H.; Ling, T.C. High-temperature CO2 for accelerating the carbonation of recycled concrete fines. J. Build. Eng. 2022, 52, 104526. [Google Scholar] [CrossRef]
- Singh, A.; Miao, X.; Zhou, X.; Deng, Q.; Li, J.; Zou, S.; Duan, Z. Use of recycled fine aggregates and recycled powders in sustainable recycled concrete. J. Build. Eng. 2023, 77, 107370. [Google Scholar] [CrossRef]
- Zhang, H.; Xiao, J.; Tang, Y.; Duan, Z.; Poon, C.S. Long-term shrinkage and mechanical properties of fully recycled aggregate concrete: Testing and modelling. Cem. Concr. Compos. 2022, 130, 104527. [Google Scholar] [CrossRef]
- Nedeljkovic, M.; Visser, J.; Šavija, B.; Valcke, S.; Schlangen, E. Use of fine recycled concrete aggregates in concrete: A critical review. J. Build. Eng. 2021, 38, 102196. [Google Scholar] [CrossRef]
- Feng, Y.; Li, J.; Zhang, B.; Fu, H.; Chen, W.; Xue, Z.; Lu, Z.; Yang, J.; Xie, J. Concrete improvement incorporating recycled powder and aggregates treated via a combination of calcination and carbonation: The impact behaviors. J. Clean. Prod. 2023, 418, 138069. [Google Scholar] [CrossRef]
- Chinzorigt, G.; Lim, M.K.; Yu, M.; Lee, H.; Enkbold, O.; Choi, D. Strength, shrinkage and creep and durability aspects of concrete including CO2 treated recycled fine aggregate. Cem. Concr. Res. 2020, 136, 106062. [Google Scholar] [CrossRef]
- Zhang, B.; Feng, Y.; Xie, J.; Dai, J.; Chen, W.; Xue, Z.; Li, L.; Li, Y.; Li, J. Effects of pretreated recycled powder substitution on mechanical properties and microstructures of alkali-activated cement. Constr. Build. Mater. 2023, 406, 133360. [Google Scholar] [CrossRef]
- Zhang, H.; Zhang, C.; He, B.; Yi, S.; Tang, L. Recycling fine powder collected from construction and demolition wastes as partial alternatives to cement: A comprehensive analysis on effects, mechanism, cost and CO2 emission. J. Build. Eng. 2023, 71, 106507. [Google Scholar] [CrossRef]
- Zhang, D.; Hao, W.; Yang, Q. Experimental Study on the Application of Recycled Concrete Waste Powder in Alkali-Activated Foamed Concrete. Materials 2023, 16, 5728. [Google Scholar] [CrossRef]
- Wu, H.; Wang, C.; Yang, D.; Ma, Z. Utilizing nano-SiO2 for modifying the microstructure, strength and transport properties of sustainable cementitious materials with waste concrete powder. J. Build. Eng. 2023, 63, 105522. [Google Scholar] [CrossRef]
- Hu, R.; Wang, C.; Shen, J.; Ma, Z. Chloride transport and thermoactivated modification of sustainable cement-based materials with high-content waste concrete powder. J. Mater. Res. Technol. 2023, 23, 4012–4031. [Google Scholar] [CrossRef]
- Bu, C.; Tan, B.; Wu, Q.; Qiao, Y.; Sun, Y.; Yu, L.; Yang, Q. Activation Method and Reuse of Waste Concrete Powder—A Review. Sustainability 2023, 15, 5451. [Google Scholar] [CrossRef]
- Wang, L.; Wang, J.; Wang, H.; Fang, Y.; Shen, W.; Chen, P.; Xu, Y. Eco-friendly treatment of recycled concrete fines as supplementary cementitious materials. Constr. Build. Mater. 2022, 322, 126491. [Google Scholar] [CrossRef]
- Prziwara, P.; Breitung-Faes, S.; Kwade, A. Comparative study of the grinding aid effects for dry fine grinding of different materials. Miner. Eng. 2019, 144, 106030. [Google Scholar] [CrossRef]
- Qian, H.Y.; Kong, Q.G.; Zhang, B.L. The effects of grinding media shapes on the grinding kinetics of cement clinker in ball mill. Powder Technol. 2013, 235, 422–425. [Google Scholar] [CrossRef]
- Bu, X.; Chen, Y.; Ma, G.; Sun, Y.; Ni, C.; Xie, G. Wet and dry grinding of coal in a laboratory-scale ball mill: Particle-size distributions. Powder Technol. 2020, 359, 305–313. [Google Scholar] [CrossRef]
- Chelgani, S.C.; Parian, M.; Parapari, P.S.; Ghorbani, Y.; Rosenkranz, J. A comparative study on the effects of dry and wet grinding on mineral flotation separation—A review. J. Mater. Res. Technol. 2019, 8, 5004–5011. [Google Scholar] [CrossRef]
- Ogonowski, S.; Wolosiewicz-Glab, M.; Ogonowski, Z.; Foszcz, D.; Pawelczyk, M. Comparison of wet and dry grinding in electromagnetic mill. Minerals 2018, 8, 138. [Google Scholar] [CrossRef]
- Bu, X.; Chen, Y.; Ma, G.; Sun, Y.; Ni, C.; Xie, G. Differences in dry and wet grinding with a high solid concentration of coking coal using a laboratory conical ball mill: Breakage rate, morphological characterization, and induction time. Adv. Powder Technol. 2019, 30, 2703–2711. [Google Scholar] [CrossRef]
- Wang, Y.; He, X.; Su, Y.; Yang, J.; Strnadel, B.; Wang, X. Efficiency of wet-grinding on the mechano-chemical activation of granulated blast furnace slag (GBFS). Constr. Build. Mater. 2019, 199, 185–193. [Google Scholar] [CrossRef]
- ASTM C204; Standard Test Methods for Fineness of Hydraulic Cement by Air-Permeability Apparatus. Annual Book of ASTM. American Society of Testing and Materials: West Conshohocken, PA, USA, 2007.
- EN 196-6; Methods of Testing Cement—Part 6: Determination of Fineness. British Standards Institution: London, UK, 2010.
- Wang, T.; He, X.; Yang, J.; Zhao, H.; Su, Y. Nano-treatment of autoclaved aerated concrete waste and its usage in cleaner building materials. J. Wuhan Univ. Technol.-Mater. Sci. Ed. 2020, 35, 786–793. [Google Scholar] [CrossRef]
- Zhang, J.; Tan, H.; He, X.; Zhao, R.; Yang, J.; Su, Y. Nano particles prepared from hardened cement paste by wet grinding and its utilization as an accelerator in Portland cement. J. Clean. Prod. 2021, 283, 124632. [Google Scholar] [CrossRef]
- He, Z.H.; Han, X.D.; Zhang, M.Y.; Yuan, Q.; Shi, J.Y.; Zhan, P.M. A novel development of green UHPC containing waste concrete powder derived from construction and demolition waste. Powder Tech. 2022, 398, 117075. [Google Scholar] [CrossRef]
- Wu, R.; Zhao, T.; Zhang, P.; Yang, D.; Liu, M.; Ma, Z. Tensile behavior of strain hardening cementitious composites (SHCC) containing reactive recycled powder from various C&D waste. J. Renew. Mater. 2021, 9, 743–765. [Google Scholar]
- Wu, H.; Liang, C.; Xiao, J.; Xu, J.; Ma, Z. Early-age behavior and mechanical properties of cement-based materials with various types and fineness of recycled powder. Struct. Concr. 2022, 23, 1253–1272. [Google Scholar] [CrossRef]
- Moreno-Juez, J.; Vegas, I.J.; Rojas, M.F.; de la Villa, R.V.; Guede-Vázquez, E. Laboratory-scale study and semi-industrial validation of viability of inorganic CDW fine fractions as SCMs in blended cements. Constr. Build. Mater. 2021, 271, 121823. [Google Scholar] [CrossRef]
- Li, S.; Li, Q.; Zhao, X.; Luo, J.; Gao, S.; Yue, G.; Su, D. Experimental study on the preparation of recycled admixtures by using construction and demolition waste. Materials 2019, 12, 1678. [Google Scholar] [CrossRef] [PubMed]
- He, X.; Ma, Q.; Su, Y.; Zheng, Z.; Tan, H.; Peng, K.; Zhao, R. Humid hardened concrete waste treated by multiple wet-grinding and its reuse in concrete. Constr. Build. Mater. 2022, 350, 128485. [Google Scholar] [CrossRef]
- Prošek, Z.; Tesárek, P.; Trejbal, J. Recycling and its use in concrete waste processing by high-speed milling. Acta Polytech. CTU Proc. 2019, 21, 28–32. [Google Scholar] [CrossRef]
- Oliveira, T.C.; Dezen, B.G.; Possan, E. Use of concrete fine fraction waste as a replacement of Portland cement. J. Clean. Prod. 2020, 273, 123126. [Google Scholar] [CrossRef]
- GB/T8074; Testing Method for Specific Surface of Cement-Blaine Method. National Standard of the People’s Republic of China: Beijing, China, 2008. (In Chinese)
- ASTM C204-18-1; Standard Test Methods for Fineness of Hydraulic Cement by Air-Permeability Apparatus. ASTM International: West Conshohocken, PA, USA, 2023.
- NBR 16372; Portland Cement and Other Powdered Materials—Determination of Fineness by the Air Permeability Method (Blaine Method). Associação Brasileira de Normas Técnicas–ABNT: Rio de Janeiro, Brazil, 2015.
- Hunger, M.; Brouwers, H.J.H. Flow analysis of water–powder mixtures: Application to specific surface area and shape factor. Cem. Concr. Compos. 2009, 31, 39–59. [Google Scholar] [CrossRef]
- Wang, H.; Wang, L.; Shen, W.; Cao, K.; Sun, L.; Wang, P.; Cui, L. Compressive strength, hydration and pore structure of alkali-activated slag mortars integrating with recycled concrete powder as binders. KSCE J. Civ. Eng. 2022, 26, 795–805. [Google Scholar] [CrossRef]
- Lei, B.; Xiong, Q.; Zhao, H.; Dong, W.; Tam, V.W.; Sun, Z.; Li, W. Performance of asphalt mortar with recycled concrete powder under different filler-to-asphalt weight ratios. Case Stud. Constr. Mater. 2023, 18, 01834. [Google Scholar] [CrossRef]
- Li, J.; Zhan, B.; Gao, P.; Hu, L.; Qiao, M.; Sha, H.; Yu, Q. Effects of recycled concrete powders on the rheology, setting and early age strength of cement paste. Constr. Build. Mater. 2023, 401, 132899. [Google Scholar] [CrossRef]
- Peng, L.; Jiang, Y.; Ban, J.; Shen, Y.; Ma, Z.; Zhao, Y.; Shen, P.; Poon, C.S. Mechanism underlying early hydration kinetics of carbonated recycled concrete fines-ordinary portland cement (CRCF-OPC) paste. Cem. Concr. Compos. 2023, 144, 105275. [Google Scholar] [CrossRef]
- Li, S.; Liu, J.; Yu, C.; Li, Z.; Xie, W. Study on the performance of ternary blended cement with calcined clay and recycled concrete powder. Low-carbon Mater. Green Constr. 2024, 2, 4. [Google Scholar] [CrossRef]
- Sasui, S.; Kim, G.; van Riessen, A.; Alam, S.F.; Nam, J.; Ishak, S.; Eu, H. Influence of elevated temperature on waste concrete powder and its application in alkali activated materials. J. Clean. Prod. 2024, 434, 140423. [Google Scholar] [CrossRef]
- Liao, G.; Yao, W. Upcycling of waste concrete powder into a functionalized host for nano-TiO2 photocatalyst: Binding mechanism and enhanced photocatalytic efficiency. J. Clean. Prod. 2022, 366, 132918. [Google Scholar] [CrossRef]
- Arvaniti, E.C.; Juenger, M.C.G.; Bernal, S.A.; Duchesne, J.; Courard, L.; Leroy, S.; Provis, J.L.; Klemm, A.; Belie, N. Physical characterization methods for supplementary cementitious materials. Mater. Struct. 2015, 48, 3675–3686. [Google Scholar] [CrossRef]
- Mohan, V.B.; Jayaraman, K.; Bhattacharyya, D. Brunauer–Emmett–Teller (BET) specific surface area analysis of different graphene materials: A comparison to their structural regularity and electrical properties. Solid State Commun. 2020, 320, 114004. [Google Scholar] [CrossRef]
- Huo, W.; Zhu, Z.; Sun, H.; Gao, Q.; Zhang, J.; Wan, Y.; Zhang, C. Reaction kinetics, mechanical properties, and microstructure of nano-modified recycled concrete fine powder/slag based geopolymers. J. Clean. Prod. 2022, 372, 133715. [Google Scholar] [CrossRef]
- Wang, X.; Yan, Y.; Tong, X.; Gong, Y. Investigation of Mineral Admixtures on Mechanical Properties of Alkali-Activated Recycled Concrete Powders Cement. Buildings 2022, 12, 1234. [Google Scholar] [CrossRef]
- Topič, J.; Prošek, Z. Properties and microstructure of cement paste including recycled concrete powder. Acta Polytech. 2017, 57, 49–57. [Google Scholar] [CrossRef]
- Nežerka, V.; Havlásek, P.; Trejbal, J. Mitigating inclusion-induced shrinkage cracking in cementitious composites by incorporating recycled concrete fines. Constr. Build. Mater. 2020, 248, 118673. [Google Scholar] [CrossRef]
- Liu, X.; Liu, L.; Lyu, K.; Li, T.; Zhao, P.; Liu, R.; Zuo, J.; Fu, F.; Shah, S.P. Enhanced early hydration and mechanical properties of cement-based materials with recycled concrete powder modified by nano-silica. J. Build. Eng. 2022, 50, 104175. [Google Scholar] [CrossRef]
- Yao, Y.; Liu, C.; Liu, H.; Zhang, W.; Hu, T. Deterioration mechanism understanding of recycled powder concrete under coupled sulfate attack and freeze–thaw cycles. Constr. Build. Mater. 2023, 388, 131718. [Google Scholar] [CrossRef]
- Oksri-Nelfia, L.; Mahieux, P.Y.; Amiri, O.; Turcry, P.; Lux, J. Reuse of recycled crushed concrete fines as mineral addition in cementitious materials. Mater. Struct. 2016, 49, 3239–3251. [Google Scholar] [CrossRef]
- Huo, W.; Zhu, Z.; Chen, W.; Zhang, J.; Kang, Z.; Pu, S.; Wan, Y. Effect of synthesis parameters on the development of unconfined compressive strength of recycled waste concrete powder-based geopolymers. Constr. Build. Mater. 2021, 292, 123264. [Google Scholar] [CrossRef]
- Rocha, J.H.A.; Tinoco, M.P.; Toledo Filho, R.D. The effect of recycled concrete powder (RCP) from precast concrete plant on fresh and mechanical properties of cementitious pastes. Mater. Construcción 2023, 73, 325. [Google Scholar] [CrossRef]
- Prošek, Z.; Nežerka, V.; Hlůžek, R.; Trejbal, J.; Tesárek, P.; Karra’a, G. Role of lime, fly ash, and slag in cement pastes containing recycled concrete fines. Constr. Build. Mater. 2019, 201, 702–714. [Google Scholar] [CrossRef]
- Sun, C.; Chen, L.; Xiao, J.; Zuo, J.; Wu, H. Effects of eco powders from solid waste on freeze-thaw resistance of mortar. Constr. Build. Mater. 2022, 333, 127405. [Google Scholar] [CrossRef]
- Chen, X.; Li, Y.; Zhu, Z.; Ma, L. Evaluation of waste concrete recycled powder (WCRP) on the preparation of low-exothermic cement. J. Build. Eng. 2022, 53, 104511. [Google Scholar] [CrossRef]
- Deng, Y.; Wu, L. Effect of recycled concrete fine powder after calcination on the properties of autoclaved aerated concrete. Case Stud. Constr. Mater. 2024, 20, 02961. [Google Scholar] [CrossRef]
- Pešta, J.; Ženíšek, M.; Kočí, V.; Pavlů, T. Environmental perspectives of recycled concrete powder as cement replacement. AIP Conf. Proc. 2021, 2322, 1. [Google Scholar]
- Dacić, A.; Fenyvesi, O. Packing density investigation of blended cement pastes incorporating waste perlite and recycled concrete powder. Mater. Today Proc. 2023, in press. [Google Scholar] [CrossRef]
- Zhu, H.; Shen, Z.; Li, Z.; Zhao, Z.; Liang, S.; Yang, S.; Ruan, Z.; Ding, Y. Properties study of artificial aggregate with high-content recycled concrete powder. J. Build. Eng. 2023, 78, 107697. [Google Scholar] [CrossRef]
- Prošek, Z.; Trejbal, J.; Nežerka, V.; Goliáš, V.; Faltus, M.; Tesárek, P. Recovery of residual anhydrous clinker in finely ground recycled concrete. Resour. Conserv. Recycl. 2020, 155, 104640. [Google Scholar] [CrossRef]
- Likes, L.; Markandeya, A.; Haider, M.M.; Bollinger, D.; McCloy, J.S.; Nassiri, S. Recycled concrete and brick powders as supplements to Portland cement for more sustainable concrete. J. Clean. Prod. 2022, 364, 132651. [Google Scholar] [CrossRef]
- Ma, Z.; Duan, Z.; Ba, G. Effects of an applied load on the chloride penetration of concrete with recycled aggregates and recycled powder. Adv. Civ. Eng. 2019, 1, 1340803. [Google Scholar] [CrossRef]
- Kim, Y.J. Quality properties of self-consolidating concrete mixed with waste concrete powder. Constr. Build. Mater. 2017, 135, 177–185. [Google Scholar] [CrossRef]
- Chen, X.; Li, Y.; Kang, X.; Fan, Y. Study on recycled concrete powders as mineral admixture in recycled concrete. IOP Conf. Ser. Earth Environ. Sci. 2019, 330, 022113. [Google Scholar] [CrossRef]
- Shen, Z.; Zhu, H.; Zhao, Z.; Pang, S.; Li, Z.; Yang, S.; Cao, P.; Lin, S. High-performance artificial aggregate prepared with recycled concrete powder and its impact on concrete properties. Constr. Build. Mater. 2023, 404, 133151. [Google Scholar] [CrossRef]
- Hlůžek, R.; Trejbal, J.; Nežerka, V.; Demo, P.; Prošek, Z.; Tesárek, P. Improvement of bonding between synthetic fibers and a cementitious matrix using recycled concrete powder and plasma treatment: From a single fiber to FRC. Eur. J. Environ. Civ. Eng. 2022, 26, 3880–3897. [Google Scholar] [CrossRef]
- Li, Z.; Yu, C.; Qiao, M.; Xie, W.; Yu, J. Effect of recycled powder on the yield stress of cement paste with varied superplasticizers. Low-carbon Mater. Green Constr. 2023, 1, 24. [Google Scholar]
- Zhao, Y.; Gao, J.; Liu, C.; Chen, X.; Xu, Z. The particle-size effect of waste clay brick powder on its pozzolanic activity and properties of blended cement. J. Clean. Prod. 2020, 242, 118521. [Google Scholar] [CrossRef]
- Kaya, Y.; Aytekin, B.; Kaya, T.; Mardani, A. Investigation of pozzolanic activity of recycled concrete powder: Effect of cement fineness, grain size distribution and water/cement ratio. Mater. Today Proc. 2023, in press. [Google Scholar] [CrossRef]
- Wu, H.; Liang, C.; Wang, C.; Ma, Z. Properties of green mortar blended with waste concrete-brick powder at various components, replacement ratios and particle sizes. Constr. Build. Mater. 2022, 342, 128050. [Google Scholar] [CrossRef]
- Li, Q.; Xu, Q.; Ai, W. Study on Present Situation of Active Stimulation of Recycled Fine Powder. IOP Conf. Ser. Earth Environ. Sci. 2020, 512, 012056. [Google Scholar] [CrossRef]
- Wu, H.; Yang, D.; Xu, J.; Liang, C.; Ma, Z. Water transport and resistance improvement for the cementitious composites with eco-friendly powder from various concrete wastes. Constr. Build. Mater. 2021, 290, 123247. [Google Scholar] [CrossRef]
- Cantero, B.; Bravo, M.; De Brito, J.; del Bosque, I.S.; Medina, C. Mechanical behaviour of structural concrete with ground recycled concrete cement and mixed recycled aggregate. J. Clean. Prod. 2020, 275, 122913. [Google Scholar] [CrossRef]
- Xiao, J.; Tang, Y.; Chen, H.; Zhang, H.; Xia, B. Effects of recycled aggregate combinations and recycled powder contents on fracture behavior of fully recycled aggregate concrete. J. Clean. Prod. 2022, 366, 132895. [Google Scholar] [CrossRef]
- Kursula, K.; Perumal, P.; Ohenoja, K.; Illikainen, M. Production of artificial aggregates by granulation and carbonation of recycled concrete fines. J. Mater. Cycles Waste Manag. 2022, 24, 2141–2150. [Google Scholar] [CrossRef]
- Dun, Z.; Wang, M.; Ren, L.; Dun, Z. Tests Research on Grouting Materials of Waste-Concrete-Powder Cement for Goaf Ground Improvement. Adv. Mater. Sci. Eng. 2021, 1, 9598418. [Google Scholar] [CrossRef]
- Dong, W.; Zhan, Q.; Zhang, X.; Su, Y.; Zhou, J. Study on accelerating activation of recycled hardened concrete powder based on microbial induced calcium precipitation. Constr. Build. Mater. 2024, 411, 134710. [Google Scholar] [CrossRef]
- Tan, H.; Yang, Z.; Deng, X.; Guo, H.; Zhang, J.; Zheng, Z.; Li, M.; Chen, P.; He, X.; Yang, J.; et al. Surface reinforcement of recycled aggregates by multi-diameter recycled powder blended cement paste. J. Build. Eng. 2023, 64, 105609. [Google Scholar] [CrossRef]
- Real, S.; Carriço, A.; Bogas, J.A.; Guedes, M. Influence of the Treatment Temperature on the Microstructure and Hydration Behavior of Thermoactivated Recycled Cement. Materials 2020, 13, 3937. [Google Scholar] [CrossRef] [PubMed]
- Gao, Y.; Cui, X.; Lu, N.; Hou, S.; He, Z.; Liang, C. Effect of recycled powders on the mechanical properties and durability of fully recycled fiber-reinforced mortar. J. Build. Eng. 2022, 45, 103574. [Google Scholar] [CrossRef]
- Liu, Q.; Li, B.; Xiao, J.; Singh, A. Utilization potential of aerated concrete block powder and clay brick powder from C&D waste. Constr. Build. Mater. 2020, 238, 117721. [Google Scholar]
- Xu, J.; Kang, A.; Wu, Z.; Gong, Y.; Xiao, P. The effect of mechanical-thermal synergistic activation on the mechanical properties and microstructure of recycled powder geopolymer. J. Clean. Prod. 2021, 327, 129477. [Google Scholar] [CrossRef]
- Sun, C.; Chen, L.; Xiao, J.; Liu, Q.; Zuo, J. Low-Carbon and Fundamental Properties of Eco-Efficient Mortar with Recycled Powders. Materials 2021, 14, 7503. [Google Scholar] [CrossRef]
- Liang, C.; Zhang, Y.; Wu, R.; Yang, D.; Ma, Z. The utilization of active recycled powder from various construction wastes in preparing ductile fiber-reinforced cementitious composites: A case study. Case Stud. Constr. Mater. 2021, 15, 00650. [Google Scholar] [CrossRef]
- Liu, C.; Liu, H.; Wu, J. Effect of recycled mixed powder on the mechanical properties and microstructure of concrete. J. Renew. Mater. 2022, 10, 1397. [Google Scholar] [CrossRef]
- Yanga, D.; Liu, M.; Zhang, Z.; Yao, P.; Ma, Z. Properties and modification of sustainable foam concrete including eco-friendly recycled powder from concrete waste. Case Stud. Constr. Mater. 2022, 16, 00826. [Google Scholar] [CrossRef]
- Zhang, H.; Zhang, B.; Tang, L.; Zeng, W. Analysis of two processing techniques applied on powders from recycling of clay bricks and concrete, in terms of efficiency, energy consumption, and cost. Constr. Build. Mater. 2023, 385, 131517. [Google Scholar] [CrossRef]
- Zhou, Z.; Xiao, J.; Ye, T.; Wang, J.; Choi, D. Influence of recycled concrete powder and CO2 curing on the properties of thermal insulation mortars. Constr. Build. Mater. 2024, 414, 134907. [Google Scholar] [CrossRef]
- He, X.; Zheng, Z.; Yang, J.; Su, Y.; Wang, T.; Strnadel, B. Feasibility of incorporating autoclaved aerated concrete waste for cement replacement in sustainable building materials. J. Clean. Prod. 2020, 250, 119455. [Google Scholar] [CrossRef]
- Qin, L.; Gao, X. Recycling of waste autoclaved aerated concrete powder in Portland cement by accelerated carbonation. Waste Manag. 2019, 89, 254–264. [Google Scholar] [CrossRef] [PubMed]
- Duan, Z.; Singh, A.; Xiao, J.; Hou, S. Combined use of recycled powder and recycled coarse aggregate derived from construction and demolition waste in self-compacting concrete. Constr. Build. Mater. 2020, 254, 119323. [Google Scholar] [CrossRef]
- Kaliyavaradhan, S.K.; Ling, T.C.; Mo, K.H. Valorization of waste powders from cement-concrete life cycle: A pathway to circular future. J. Clean. Prod. 2020, 268, 122358. [Google Scholar] [CrossRef]
- GB/T208; Test Method for Determinging Cement Density. National Standard of the People’s Republic of China: Beijing, China, 2014. (In Chinese)
- ASTM C188-17; Standard Test Method for Density of Hydraulic Cement. ASTM International: West Conshohocken, PA, USA, 2023.
- NBR 16605; Portland Cement and Other Powdered Material—Determination of the Specific Gravity. ABNT: Rio de Janeiro, Brazil, 2017.
- C188-15; Standard Test Method for Density of Hidraulic Cement. ASTM International: West Conshohocken, PA, USA, 2015.
- IS 4031-11; Methods of Physical Tests for Hydraulic Cement, Part 11: Determination of Density. Bureau of Indian Standards: New Delhi, India, 2019.
- EN 1097-7:2022; Tests for Mechanical and Physical Properties of Aggregates—Part 7: Determination of the Particle Density of Filler—Pyknometer Method. European Standard: Brussels, Belgium, 2022.
- Hou, Y.; Yu, Z.; Zhang, J.; Yang, H.; Song, W. Gray Model Study of Strength and Pore Structure of Recycled Concrete Powder (RCP) Concrete Based on Low-Field NMR Technology. Materials 2023, 16, 6058. [Google Scholar] [CrossRef]
- Wu, H.; Wang, C.; Ma, Z. Drying shrinkage, mechanical and transport properties of sustainable mortar with both recycled aggregate and powder from concrete waste. J. Build. Eng. 2022, 49, 104048. [Google Scholar] [CrossRef]
- Horsakulthai, V. Effect of recycled concrete powder on strength, electrical resistivity, and water absorption of self-compacting mortars. Case Stud. Constr. Mater. 2021, 15, 00725. [Google Scholar] [CrossRef]
- Li, X.; Lv, X.; Zhou, X.; Meng, W.; Bao, Y. Upcycling of waste concrete in eco-friendly strain-hardening cementitious composites: Mixture design, structural performance, and life-cycle assessment. J. Clean. Prod. 2022, 330, 129911. [Google Scholar] [CrossRef]
- Wang, C.Q.; Cheng, L.X.; Ying, Y.; Yang, F.H. Utilization of all components of waste concrete: Recycled aggregate strengthening, recycled fine powder activity, composite recycled concrete and life cycle assessment. J. Build. Eng. 2024, 82, 108255. [Google Scholar] [CrossRef]
- Wang, C.; Yu, Q.; Zhan, B.; Gao, P.; Guo, B.; Chu, Y.; Chen, Y.; Bian, P. Activity quantification and assessment of recycled concrete powder based on the contributions of the dilution effect, physical effect and chemical effect. J. Clean. Prod. 2024, 442, 140918. [Google Scholar] [CrossRef]
- Yuan, T.; Yao, W. Preparation and Properties of g-C3N4-TiO2 Cement-Based Materials Supported by Recycled Concrete Powder. Catalysts 2023, 13, 312. [Google Scholar] [CrossRef]
- Bian, Y.; Qiu, X.; Zhao, J.; Li, Z.; Ouyang, J. Influence of Recycled Concrete Fine Powder on Durability of Cement Mortar. Fluid Dyn. Mater. Process. 2024, 20, 45–58. [Google Scholar] [CrossRef]
- Liu, M.; Hu, R.; Zhang, Y.; Wang, C.; Ma, Z. Effect of ground concrete waste as green binder on the micro-macro properties of eco-friendly metakaolin-based geopolymer mortar. J. Build. Eng. 2023, 68, 106191. [Google Scholar] [CrossRef]
- Ma, X.; Li, H.; Wang, D.; Li, C.; Wei, Y. Simulation and Experimental Substantiation of the Thermal Properties of Non-Autoclaved Aerated Concrete with Recycled Concrete Powder. Materials 2022, 15, 8341. [Google Scholar] [CrossRef]
- Wan, X.; Li, H.; Che, X.; Xu, P.; Li, C.; Yu, Q. A Study on the Application of Recycled Concrete Powder in an Alkali-Activated Cementitious System. Processes 2023, 11, 203. [Google Scholar] [CrossRef]
- Lin, Y.; He, T.; Da, Y.; Yang, R.; Zheng, D. Effects of recycled micro-powders mixing methods on the properties of recycled concrete. J. Build. Eng. 2023, 80, 107994. [Google Scholar] [CrossRef]
- Jagadesh, P.; Oyebisi, S.; Muthu, A.H.; Sarulatha, A.; Supikshaa, K.; Sor, N.A.; Mydin, M.A.O. Recycled concrete powder on cement mortar: Physico-mechanical effects and lifecycle assessments. J. Build. Eng. 2024, 86, 108507. [Google Scholar] [CrossRef]
- Maaze, M.R.; Shrivastava, S. Development of framework in the selection and reuse of concrete waste and brick waste powder as pozzolanic material in cement concrete application using analytical hierarchy process technique. Constr. Build. Mater. 2023, 393, 132056. [Google Scholar] [CrossRef]
- Hu, R.; Zhang, Y.; Zhang, Z.; Ma, Z. Development of Sustainable Cement-Based Materials with Ultra-High Content of Waste Concrete Powder: Properties and Improvement. Sustainability 2023, 15, 14812. [Google Scholar] [CrossRef]
- Boudali, S.; Kerdal, D.E.; Ayed, K.; Abdulsalam, B.; Soliman, A.M. Performance of self-compacting concrete incorporating recycled concrete fines and aggregate exposed to sulphate attack. Constr. Build. Mater. 2016, 124, 705–713. [Google Scholar] [CrossRef]
- Ye, T.; Xiao, J.; Duan, Z.; Li, S. Geopolymers made of recycled brick and concrete powder—A critical review. Constr. Build. Mater. 2022, 330, 127232. [Google Scholar] [CrossRef]
- Ohemeng, E.A.; Naghizadeh, A. Alternative cleaner production of masonry mortar from fly ash and waste concrete powder. Constr. Build. Mater. 2023, 374, 130859. [Google Scholar] [CrossRef]
- Lan, C.; Lu, J.; Chen, J.; Wu, H.; Liu, D. Study on the application of recycled fine powder in ready-mixed concrete. MATEC Web Conf. 2019, 278, 01010. [Google Scholar]
- Cantero, B.; Bravo, M.; De Brito, J.; Del Bosque, I.S.; Medina, C. Water transport and shrinkage in concrete made with ground recycled concrete-additioned cement and mixed recycled aggregate. Cem. Concr. Compos. 2021, 118, 103957. [Google Scholar] [CrossRef]
- Tokareva, A.; Kaassamani, S.; Waldmann, D. Fine demolition wastes as Supplementary cementitious materials for CO2 reduced cement production. Constr. Build. Mater. 2023, 392, 131991. [Google Scholar] [CrossRef]
- Wang, X.; Yu, R.; Shui, Z.; Song, Q.; Liu, Z.; Liu, Z.; Wu, S. Optimized treatment of recycled construction and demolition waste in developing sustainable ultra-high performance concrete. J. Clean. Prod. 2019, 221, 805–816. [Google Scholar] [CrossRef]
- Darweesh, H.H.M. Recycling of Concrete Demolition Waste Powder as a Sustainable Material in Portland Cement Pastes Modified with Nano-silica. JSMPM 2022, 2, 78–89. [Google Scholar] [CrossRef]
- Vashistha, P.; Oinam, Y.; Pyo, S. Valorization of waste concrete powder (WCP) through silica fume incorporation to enhance the reactivity and hydration characteristics. Dev. Built Environ. 2023, 16, 100272. [Google Scholar] [CrossRef]
- Sui, Y.; Ou, C.; Liu, S.; Zhang, J.; Tian, Q. Study on Properties of Waste Concrete Powder by Thermal Treatment and Application in Mortar. Appl. Sci. 2020, 10, 998. [Google Scholar] [CrossRef]
- Ren, P.; Li, B.; Yu, J.G.; Ling, T.C. Utilization of recycled concrete fines and powders to produce alkali-activated slag concrete blocks. J. Clean. Prod. 2020, 267, 122115. [Google Scholar] [CrossRef]
- Liu, X.; Liu, R.; Xie, X.; Zuo, J.; Lyu, K.; Shah, S.P. Chloride corrosion resistance of cement mortar with recycled concrete powder modified by nano-silica. Constr. Build. Mater. 2023, 364, 129907. [Google Scholar] [CrossRef]
- Song, S.; Li, X.; Wang, Z.; Wang, W. Orthogonal experimental and theoretical study on mechanical properties of fiber-reinforced recycled powder concrete. Case Stud. Constr. Mater. 2022, 17, 01546. [Google Scholar] [CrossRef]
- Kaliyavaradhan, S.K.; Li, L.; Ling, T.C. Response surface methodology for the optimization of CO2 uptake using waste concrete powder. Constr. Build. Mater. 2022, 340, 127758. [Google Scholar] [CrossRef]
- Jiang, Y.; Ling, T.C.; Shi, M. Strength enhancement of artificial aggregate prepared with waste concrete powder and its impact on concrete properties. J. Clean. Prod. 2020, 257, 120515. [Google Scholar] [CrossRef]
- Jiang, Y.; Li, L.; Lu, J.X.; Shen, P.; Ling, T.C.; Poon, C.S. Mechanism of carbonating recycled concrete fines in aqueous environment: The particle size effect. Cem. Concr. Compos. 2022, 133, 104655. [Google Scholar] [CrossRef]
- He, Z.H.; Xu, H.; Huynh, T.P.; Shi, J.Y.; Ma, Z.M.; Hu, Y.J.; Chen, F.J. Multi-scale characteristics of magnesium potassium phosphate cement enhanced by waste concrete powder. Ceram. Int. 2023, 49, 15480–15491. [Google Scholar] [CrossRef]
- Aninda, S.S.; Islam, M.S. Effectiveness of waste concrete powder in fabricating compressed stabilized earth blocks: Strength, durability and thermal assessment. J. Build. Eng. 2023, 80, 107989. [Google Scholar] [CrossRef]
- Liu, M.; Wang, C.; Wu, H.; Yang, D.; Ma, Z. Reusing recycled powder as eco-friendly binder for sustainable GGBS-based geopolymer considering the effects of recycled powder type and replacement rate. J. Clean. Prod. 2022, 364, 132656. [Google Scholar] [CrossRef]
- Liu, D.; Zhu, H.; Wu, K.; Wang, F.; Zhao, X.; Liao, Q. Understanding the effect of particle size of waste concrete powder on phosphorus removal efficiency. Constr. Build. Mater. 2020, 236, 117526. [Google Scholar] [CrossRef]
- Afrin, H.; Huda, N.; Abbasi, R. An overview of eco-friendly alternatives as the replacement of cement in concrete. IOP Conf. Ser. Mater. Sci. Eng. 2021, 1200, 012003. [Google Scholar] [CrossRef]
- Real, S.; Bogas, J.A.; Carriço, A.; Hu, S. Mechanical Characterisation and Shrinkage of Thermoactivated Recycled Cement Concrete. Appl. Sci. 2021, 11, 2454. [Google Scholar] [CrossRef]
- Shen, P.; Sun, Y.; Liu, S.; Jiang, Y.; Zheng, H.; Xuan, D.; Lu, J.; Poon, C.S. Synthesis of amorphous nano-silica from recycled concrete fines by two-step wet carbonation. Cem. Concr. Res. 2021, 147, 106526. [Google Scholar] [CrossRef]
- Liu, M.; Wu, H.; Yao, P.; Wang, C.; Ma, Z. Microstructure and macro properties of sustainable alkali-activated fly ash mortar with various construction waste fines as binder replacement up to 100%. Cem. Concr. Compos. 2022, 134, 104733. [Google Scholar] [CrossRef]
- ASTM C618; Standard Specification for Coal Fly Ash and Raw or Calcined Natural Pozzolan for Use in Concrete. American Society for Testing and Materials: West Conshohocken, PA, USA, 2003.
- Chen, L.; Wei, M.; Lei, N.; Li, H. Effect of chemical–thermal activation on the properties of recycled fine powder cementitious materials. Case Stud. Constr. Mater. 2024, 20, 02956. [Google Scholar] [CrossRef]
- Li, Y.; Kang, X. Effect of Physical Excitation on the Properties of Recycled Fine Powder. IOP Conf. Ser. Earth Environ. Sci. 2019, 219, 012025. [Google Scholar] [CrossRef]
- Gencel, O.; Nodehi, M.; Hekimoğlu, G.; Ustaoğlu, A.; Sarı, A.; Kaplan, G.; Bayraktar, O.Y.; Sutcu, M.; Ozbakkaloglu, T. Foam Concrete Produced with Recycled Concrete Powder and Phase Change Materials. Sustainability 2022, 14, 7458. [Google Scholar] [CrossRef]
- Sharma, A.; Singh, P.; Kapoor, K. Utilization of recycled fine powder as an activator in fly ash based geopolymer mortar. Constr. Build. Mater. 2022, 323, 126581. [Google Scholar] [CrossRef]
- Yao, P.; Yang, D.; Wang, C.; Ma, Z. Upcycling of construction waste powder for sustainable ultra-high performance engineered cementitious composites: Effects of waste powder source and content. Constr. Build. Mater. 2022, 349, 128789. [Google Scholar] [CrossRef]
- Donatello, S.; Tyrer, M.; Cheeseman, C.R. Comparison of test methods to assess pozzolanic activity. Cem. Concr. Compos. 2010, 32, 121–127. [Google Scholar] [CrossRef]
- Wang, H.; Liu, X.; Zhang, Z. Pozzolanic activity evaluation methods of solid waste: A review. J. Clean. Prod. 2023, 402, 136783. [Google Scholar] [CrossRef]
- Mostafa, N.Y.; Brown, P.W. Heat of hydration of high reactive pozzolans in blended cements: Isothermal conduction calorimetry. Thermochim. Acta 2005, 435, 162–167. [Google Scholar] [CrossRef]
- Tseng, Y.S.; Huang, C.L.; Hsu, K.C. The pozzolanic activity of a calcined waste FCC catalyst and its effect on the compressive strength of cementitious materials. Cem. Concr. Res. 2005, 35, 782–787. [Google Scholar] [CrossRef]
- GB/T 1596–2017; Fly Ash Used for Cement and Concrete. Chinese Standard: Beijing, China, 2017.
- EN 450–1:2012; Fly Ash for Concrete Definition, Specifications and Conformity Criteria. European Standard: Brussels, Belgium, 2012.
- NBR 12653; Pozzolanic Materials—Requirements. ABNT (Associação Brasileira de Normas Técnicas): Rio de Janerio, Brazil, 2015.
- GB/T2847–2005; Pozzolanic Materials Used for Cement Production. Chinese Standard: Beijing, China, 2005.
- BS EN 196-5:2011; Methods of Testing Cement Pozzolanicity Test for Pozzolanic Cement. European Standard: Brussels, Belgium, 2011.
- Ma, Z.; Zhang, Z.; Hu, R.; Liu, X.; Shen, J.; Wang, C. Chloride resistance and improvement of fully recycled cementitious materials with both recycled aggregate and recycled powder. J. Sustain. Cem.-Based Mater. 2024, 13, 49–67. [Google Scholar] [CrossRef]
- Yu, X.X.; Li, R.Y.; Dong, X.; Li, G.; Zhang, S. Effect of mechanical force grinding on the properties of recycled powder. J. Synth. Cryst. 2017, 46, 688–692. [Google Scholar]
- Florea, M.V.A.; Ning, Z.; Brouwers, H.J.H. Activation of liberated concrete fines and their application in mortars. Constr. Build. Mater. 2014, 50, 1–12. [Google Scholar] [CrossRef]
- Lu, B.; Shi, C.; Zhang, J.; Wang, J. Effects of carbonated hardened cement paste powder on hydration and microstructure of Portland cement. Constr. Build. Mater. 2018, 186, 699–708. [Google Scholar] [CrossRef]
- Vashistha, P.; Park, S.; Pyo, S. A review on sustainable fabrication of futuristic cementitious binders based on application of waste concrete powder, steel slags, and coal bottom ash. Int. J. Concr. Struct. Mater. 2022, 16, 51. [Google Scholar] [CrossRef]
- Wu, H.; Xu, J.; Yang, D.; Ma, Z. Utilizing thermal activation treatment to improve the properties of waste cementitious powder and its newmade cementitious materials. J. Clean. Prod. 2021, 322, 129074. [Google Scholar] [CrossRef]
- Liu, D.; Quan, X.; Zhu, H.; Huang, Q.; Zhou, L. Evaluation of modified waste concrete powder used as a novel phosphorus remover. J. Clean. Prod. 2020, 257, 120646. [Google Scholar] [CrossRef]
- Ma, Z.; Xue, R.; Li, J.S.; Zhao, Y.; Xue, Q.; Chen, Z.; Wang, Q.; Poon, C.S. Use of thermally modified waste concrete powder for removal of Pb (II) from wastewater: Effects and mechanism. Environ. Pollut. 2021, 277, 116776. [Google Scholar] [CrossRef]
- Vashistha, P.; Oinam, Y.; Kim, H.K.; Pyo, S. Effect of thermo-mechanical activation of waste concrete powder (WCP) on the characteristics of cement mixtures. Constr. Build. Mater. 2023, 362, 129713. [Google Scholar] [CrossRef]
- Zheng, Y.; Xi, X.; Liu, H.; Du, C.; Lu, H. A review: Enhanced performance of recycled cement and CO2 emission reduction effects through thermal activation and nanosilica incorporation. Constr. Build. Mater. 2024, 422, 135763. [Google Scholar] [CrossRef]
- Ma, Z.; Yao, P.; Yang, D.; Shen, J. Effects of fire-damaged concrete waste on the properties of its preparing recycled aggregate, recycled powder and newmade concrete. J. Mater. Res. Technol. 2021, 15, 1030–1045. [Google Scholar] [CrossRef]
- Ma, Z.; Hu, R.; Yao, P.; Wang, C. Utilizing heat-mechanical synergistic treatment for separating concrete waste into high-quality recycled aggregate, active recycled powder and new concrete. J. Build. Eng. 2023, 68, 106161. [Google Scholar] [CrossRef]
- Zhang, T.; Chen, M.; Wang, Y.; Zhang, M. Roles of carbonated recycled fines and aggregates in hydration, microstructure and mechanical properties of concrete: A critical review. Cem. Concr. Compos. 2023, 138, 104994. [Google Scholar] [CrossRef]
- Georget, F.; Prévost, J.H.; Huet, B. Reactive transport modelling of cement paste leaching in brines. Cem. Concr. Res. 2018, 111, 183–196. [Google Scholar] [CrossRef]
- Zajac, M.; Skibsted, J.; Bullerjahn, F.; Skocek, J. Semi-dry carbonation of recycled concrete paste. J. CO2 Util. 2022, 63, 102111. [Google Scholar] [CrossRef]
- Ho, H.J.; Iizuka, A.; Shibata, E. Chemical recycling and use of various types of concrete waste: A review. J. Clean. Prod. 2021, 284, 124785. [Google Scholar] [CrossRef]
- Shen, P.; Zhang, Y.; Jiang, Y.; Zhan, B.; Lu, J.; Zhang, S.; Xuan, D.; Poon, C.S. Phase assemblance evolution during wet carbonation of recycled concrete fines. Cem. Concr. Res. 2022, 154, 106733. [Google Scholar] [CrossRef]
- Poon, C.S.; Shen, P.; Jiang, Y.; Ma, Z.; Xuan, D. Total recycling of concrete waste using accelerated carbonation: A review. Cem. Concr. Res. 2023, 173, 107284. [Google Scholar] [CrossRef]
- Zhang, J.; Zhang, L.; Xu, B.; Yuan, J. Influences of Carbonated Recycled Concrete Fines on Cement Hydration. Buildings 2023, 13, 926. [Google Scholar] [CrossRef]
- Ho, H.J.; Iizuka, A.; Shibata, E.; Tomita, H.; Takano, K.; Endo, T. CO2 utilization via direct aqueous carbonation of synthesized concrete fines under atmospheric pressure. ACS Omega 2020, 5, 15877–15890. [Google Scholar] [CrossRef]
- Saade, M.R.M.; Yahia, A.; Amor, B. Is crushed concrete carbonation significant enough to be considered as a carbon mitigation strategy? Environ. Res. Lett. 2022, 17, 104049. [Google Scholar] [CrossRef]
- Tam, V.W.; Butera, A.; Le, K.N.; Da Silva, L.C.; Evangelista, A.C. A prediction model for compressive strength of CO2 concrete using regression analysis and artificial neural networks. Constr. Build. Mater. 2022, 324, 126689. [Google Scholar] [CrossRef]
- Veetil, S.P.; Hitch, M. Recent developments and challenges of aqueous mineral carbonation: A review. Int. J. Environ. Sci. Technol. 2020, 17, 4359–4380. [Google Scholar] [CrossRef]
- Jiang, Y.; Peng, L.; Ma, Z.; Lu, J.X.; Shen, P.; Poon, C.S. Enhancing the treatment efficiency of recycled concrete fines with aqueous carbonation. Cem. Concr. Res. 2023, 174, 107338. [Google Scholar] [CrossRef]
- Qian, X.; Wang, J.; Fang, Y.; Wang, L. Carbon dioxide as an admixture for better performance of OPC-based concrete. J. CO2 Util. 2018, 25, 31–38. [Google Scholar] [CrossRef]
- Ouyang, X.; Wang, L.; Xu, S.; Ma, Y.; Ye, G. Surface characterization of carbonated recycled concrete fines and its effect on the rheology, hydration and strength development of cement paste. Cem. Concr. Compos. 2020, 114, 103809. [Google Scholar] [CrossRef]
- Zhan, B.J.; Poon, C.S.; Shi, C.J. Materials characteristics affecting CO2 curing of concrete blocks containing recycled aggregates. Cem. Concr. Compos. 2016, 67, 50–59. [Google Scholar] [CrossRef]
- Shah, V.; Scrivener, K.; Bhattacharjee, B.; Bishnoi, S. Changes in microstructure characteristics of cement paste on carbonation. Cem. Concr. Res. 2018, 109, 184–197. [Google Scholar] [CrossRef]
- Kong, Y.K.; Song, Y.; Kurumisawa, K.; Wang, T.; Yan, D.; Zeng, Q.; Zhou, X.; Ruan, S. Use of hydrated cement pastes (HCP) as a CO2 sponge. J. CO2 Util. 2022, 55, 101804. [Google Scholar] [CrossRef]
- Iizuka, A.; Sasaki, T.; Honma, M.; Yoshida, H.; Hayakawa, Y.; Yanagisawa, Y.; Yamasaki, A. Pilot-scale operation of a concrete sludge recycling plant and simultaneous production of calcium carbonate. Chem. Eng. Commun. 2017, 204, 79–85. [Google Scholar] [CrossRef]
- Shuto, D.; Igarashi, K.; Nagasawa, H.; Iizuka, A.; Inoue, M.; Noguchi, M.; Yamasaki, A. CO2 fixation process with waste cement powder via regeneration of alkali and acid by electrodialysis: Effect of operation conditions. Ind. Eng. Chem. Res. 2015, 54, 6569–6577. [Google Scholar] [CrossRef]
- Mun, M.; Cho, H.; Kwon, J.; Kim, K.; Kim, R. Investigation of the CO2 sequestration by indirect aqueous carbonation of waste cement. Am. J. Clim. Chang. 2017, 6, 132. [Google Scholar] [CrossRef]
- Vanderzee, S.; Zeman, F. Recovery and carbonation of 100% of calcium in waste concrete fines: Experimental results. J. Clean. Prod. 2018, 174, 718–727. [Google Scholar] [CrossRef]
- Lee, M.G.; Kang, D.; Jo, H.; Park, J. Carbon dioxide utilization with carbonation using industrial waste-desulfurization gypsum and waste concrete. J. Mater. Cycles Waste Manag. 2016, 18, 407–412. [Google Scholar] [CrossRef]
- Jiang, C.; Zhang, Y.; Feng, H.; Wang, Q.; Wang, Y.; Xu, T. Simultaneous CO2 capture and amino acid production using bipolar membrane electrodialysis (BMED). J. Membr. Sci. 2017, 542, 264–271. [Google Scholar] [CrossRef]
- Luo, Y.; Liu, Y.; Shen, J.; Van der Bruggen, B. Application of Bipolar Membrane Electrodialysis in Environmental Protection and Resource Recovery: A Review. Membranes 2022, 12, 829. [Google Scholar] [CrossRef]
- Yadav, S.; Mehra, A. A review on ex situ mineral carbonation. Environ. Sci. Pollut. Res. 2021, 28, 12202–12231. [Google Scholar] [CrossRef]
- Joshi, S.; Goyal, S.; Reddy, M.S. Influence of biogenic treatment in improving the durability properties of waste amended concrete: A review. Constr. Build. Mater. 2020, 263, 120170. [Google Scholar] [CrossRef]
- Sun, X.; Miao, L.; Tong, T.; Wang, C. Study of the effect of temperature on microbially induced carbonate precipitation. Acta Geotech. 2019, 14, 627–638. [Google Scholar] [CrossRef]
- Shan, B.; Hao, R.; Xu, H.; Li, J.; Li, Y.; Xu, X.; Zhang, J. A review on mechanism of biomineralization using microbial-induced precipitation for immobilizing lead ions. Environ. Sci. Pollut. Res. 2021, 28, 30486–30498. [Google Scholar] [CrossRef] [PubMed]
- Nežerka, V.; Holeček, P.; Somr, M.; Tichá, P.; Domonkos, M.; Stiborová, H. On the possibility of using bacteria for recycling finest fractions of concrete waste: A critical review. Rev. Environ. Sci. Biotechnol. 2023, 22, 427–450. [Google Scholar] [CrossRef]
- Proudfoot, D.; Brooks, L.; Gammons, C.H.; Barth, E.; Bless, D.; Nagisetty, R.M.; Lauchnor, E.G. Investigating the potential for microbially induced carbonate precipitation to treat mine waste. J. Hazard. Mater. 2022, 424, 127490. [Google Scholar] [CrossRef]
- Zhao, Y.; Peng, L.; Zeng, W.; sun Poon, C.; Lu, Z. Improvement in properties of concrete with modified RCA by microbial induced carbonate precipitation. Cem. Concr. Compos. 2021, 124, 104251. [Google Scholar] [CrossRef]
- Liu, J.; Chen, H.; Xu, Z.; Zheng, S.; Xue, M. Adsorption of tannic acid from aqueous solution by aminopropyl functionalized SBA-15. Desalin. Water Treat. 2015, 56, 475–484. [Google Scholar] [CrossRef]
- Kanda, Y.; Harada, S. Synthesis of zeolites from calcareous waste concrete powder. Results Mater. 2022, 13, 100250. [Google Scholar] [CrossRef]
- Abdel-Gawwad, H.A.; Rashad, A.M.; Heikal, M. Sustainable utilization of pretreated concrete waste in the production of one-part alkali-activated cement. J. Clean. Prod. 2019, 232, 318–328. [Google Scholar] [CrossRef]
- ASTM C311/C311M-18; Test Methods for Sampling and Testing Fly Ash or Natural Pozzolans for Use in Portland-Cement Concrete. ASTM International: West Conshohocken, PA, USA, 2022. [CrossRef]
- JG/T573-2020; Recycled Micro-Powder for Concrete and Mortar. Ministry of Construction of the People’s Republic of China: Beijing, China, 2020.
- Liang, G.; Liu, T.; Li, H.; Wu, K. Shrinkage mitigation, strength enhancement and microstructure improvement of alkali-activated slag/fly ash binders by ultrafine waste concrete powder. Compos. B Eng. 2022, 231, 109570. [Google Scholar] [CrossRef]
- Wang, H.; Wang, L.; Xu, Y.; Cao, K.; Ge, Y.; Wang, X.; Li, Q. Accelerating the Reaction Kinetics of Na2CO3-Activated Slag Mortars by Calcined Recycled Concrete Fines. Materials 2022, 15, 5375. [Google Scholar] [CrossRef]
- Wu, H.; Yang, D.; Wang, C.; Ma, Z. Effects of construction waste powder on micro–macro properties of green high-strength cement paste with low water-to-binder ratio. Constr. Build. Mater. 2023, 385, 131493. [Google Scholar] [CrossRef]
- Belkadi, A.A.; Kessal, O.; Berkouche, A.; Noui, A.; Daguiani, S.E.; Dridi, M.; Benaniba, S.; Tayebi, T. Experimental investigation into the potential of recycled concrete and waste glass powders for improving the sustainability and performance of cement mortars properties. Sustain. Energy Technol. 2024, 64, 103710. [Google Scholar]
- Huashan, Y.A.N.G.; Yujun, C.H.E. Influences of waste concrete powder on the strength development and hydration products of mortar containing fly ash. Mater. Sci. 2022, 28, 106–112. [Google Scholar]
- Ma, X.; Wang, Z. Effect of ground waste concrete powder on cement properties. Adv. Mater. Sci. Eng. 2013, 1, 918294. [Google Scholar] [CrossRef]
- Nedunuri, A.S.S.S.; yar Mohammed, A.; Muhammad, S. Carbonation potential of concrete debris fines and its valorisation through mineral carbonation. Constr. Build. Mater. 2021, 310, 125162. [Google Scholar] [CrossRef]
- Diliberto, C.; Lecomte, A.; Aissaoui, C.; Mechling, J.M.; Izoret, L. The incorporation of fine recycled concrete aggregates as a main constituent of cement. Mater. Struct. 2021, 54, 1–14. [Google Scholar] [CrossRef]
- Bogas, J.A.; Carriço, A.; Pereira, M.F.C. Mechanical characterization of thermal activated low-carbon recycled cement mortars. J. Clean. Prod. 2019, 218, 377–389. [Google Scholar] [CrossRef]
- Wu, Z. High Performance Concrete; China Railway Publishing House: Beijing, China, 1999. [Google Scholar]
- Qian, H.; Hua, S.; Yue, H.; Feng, G.; Qian, L.; Jiang, W. Utilization of recycled construction powder in 3D concrete printable materials through particle packing optimization. J. Build. Eng. 2022, 61, 105236. [Google Scholar] [CrossRef]
- Bian, Y.; Li, Z.; Zhao, J.; Wang, Y. Synergistic enhancement effect of recycled fine powder (RFP) cement paste and carbonation on recycled aggregates performances and its mechanism. J. Clean. Prod. 2022, 344, 130848. [Google Scholar] [CrossRef]
- Deng, S.; Ren, P.; Jiang, Y.; Shao, X.; Ling, T.C. Use of CO2-active BOFS binder in the production of artificial aggregates with waste concrete powder. Resour. Conserv. Recycl. 2022, 182, 106332. [Google Scholar] [CrossRef]
- Wang, K.; Ren, L.; Yang, L. Excellent Carbonation Behavior of Rankinite Prepared by Calcining the C-S-H: Potential Recycling of Waste Concrete Powders for Prefabricated Building Products. Materials 2018, 11, 1474. [Google Scholar] [CrossRef] [PubMed]
- GB/T 50080-2002; Standard for Test Method of Performance on Ordinary Fresh Concrete, China Quality and Standards Pressing & Media. Ministry of Construction of the People’s Republic of China: Beijing, China, 2002. (In Chinese)
- GB/T 50081-2002; Standard for Test Method of Mechanical Properties on Ordinary Concrete. National Standard of the People’s Republic of China: Beijing, China, 2002; p. 60.
- GB/T 2419-2005; Test Method for Fluidity of Cement Mortar. National Standard of the People’s Republic of China: Beijing, China, 2005. (In Chinese)
- GB/T 1346-2011; Test Methods for Water Requirement of Normal Consistency, Setting Time and Soundness of the Portland Cement. Chinese National Standard: Beijing, China, 2011. (In Chinese)
- GB/T8077; Methods for Testing Uniformity of Concrete Admixture. China National Standards: Beijing, China, 2012. (In Chinese)
- BS EN 1015-6; Methods of Test for Mortar for Masonry: Determination of Bulk Density of Fresh Mortar. British Standards Institution: London, UK, 1999.
- EN 1015-3:2000; Methods of Test for Mortars for Masonry. Part 3: Determination of Consistency of Fresh Mortar (by Flow Table). European Standard: Brussels, Belgium, 2000.
- GB/T 17671-2021; Test Method of Cement Mortar Strength (IOS Method). National Standard of the People’s Republic of China: Beijing, China, 2021. Available online: https://www.chinesestandard.net/PDF/English.aspx/GBT17671-2021 (accessed on 1 June 2024).
- ASTM C1437-15; Standard Test Method for Flow of Hydraulic Cement Mortar. ASTM International: West Conshohocken, PA, USA, 2015.
- ASTM C230/C230M-21; Standard Specification for Flow Table for Use in Tests of Hydraulic Cement. ASTM International: West Conshohocken, PA, USA, 2021.
- ASTM C143/C143M; Standard Test Method for Slump of Hydraulic-Cement Concrete. ASTM International: West Conshohocken, PA, USA, 2020.
- Liu, Q.; Xiao, J.; Singh, A. Quantification of plastic shrinkage and cracking in mortars containing different recycled powders using digital image correlation technique. Constr. Build. Mater. 2021, 293, 123509. [Google Scholar] [CrossRef]
- GB 175-2007; Common Portland Cement. National Standard of the People’s Republic of China: Beijing, China, 2007.
- ASTM C187-16; Standard Test Method for Amount of Water Required for Normal Consistency of Hydraulic Cement Paste. ASTM International: West Conshohocken, PA, USA, 2016.
- ASTM C191; Standard Test Methods for Time of Setting of Hydraulic Cement by Vicat Needle. ASTM International: West Conshohocken, PA, USA, 2013.
- BS EN 196; Part 3. Methods of Testing Cement. Determination of Setting Time and Soundness. British Standards Institution: London, UK, 2005.
- JC/T 727-2005; Apparatus for Determining Normal Consistency and Setting Time of Cement Paste. National Standardization Technical Committee Cement: Beijing, China, 2005.
- Larsen, O.; Samchenko, S.; Naruts, V. Blended binder based on Portland cement and recycled concrete powder. Mag. Civ. Eng. 2022, 113, 11306. [Google Scholar]
- Yao, T.; Tian, Q.; Zhang, M.; Qi, S.; Wang, C.; Ruan, M. Laboratory investigation of foamed concrete prepared by recycled waste concrete powder and ground granulated blast furnace slag. J. Clean. Prod. 2023, 426, 139095. [Google Scholar] [CrossRef]
- Xu, L.; Wang, J.; Li, K.; Lin, S.; Li, M.; Hao, T.; Ling, Z.; Xiang, D.; Wang, T. A systematic review of factors affecting properties of thermal-activated recycled cement. Resour. Conserv. Recycl. 2022, 185, 106432. [Google Scholar] [CrossRef]
- ASTM C1749-17a; Standard Guide for Measurement of the Rheological Properties of Hydraulic Cementious Paste Using a Rotational Rheometer. American Society for Testing and Materials: West Conshohocken, PA, USA, 2017.
- ASTM C1874-20; Standard Test Method for Measuring Rheological Properties of Cementitious Materials Using Coaxial Rotational Rheometer. ASTM International: West Conshohocken, PA, USA, 2020.
- Ibrahim, M.; Alimi, W.; Assaggaf, R.; Salami, B.A.; Oladapo, E.A. An overview of factors influencing the properties of concrete incorporating construction and demolition wastes. Constr. Build. Mater. 2023, 367, 130307. [Google Scholar] [CrossRef]
- Han, F.; Pu, S.; Zhou, Y.; Zhang, H.; Zhang, Z. Effect of ultrafine mineral admixtures on the rheological properties of fresh cement paste: A review. J. Build. Eng. 2022, 51, 104313. [Google Scholar] [CrossRef]
- Perrot, A.; Rangeard, D. Effects of mix design parameters on consolidation behaviour of fresh cement-based materials. Mater. Struct. 2017, 50, 1–9. [Google Scholar] [CrossRef]
- Roussel, N.; Bessaies-Bey, H.; Kawashima, S.; Marchon, D.; Vasilic, K.; Wolfs, R. Recent advances on yield stress and elasticity of fresh cement-based materials. Cem. Concr. Res. 2019, 124, 105798. [Google Scholar] [CrossRef]
Disclaimer/Publisher’s Note: The statements, opinions and data contained in all publications are solely those of the individual author(s) and contributor(s) and not of MDPI and/or the editor(s). MDPI and/or the editor(s) disclaim responsibility for any injury to people or property resulting from any ideas, methods, instructions or products referred to in the content. |
© 2024 by the authors. Licensee MDPI, Basel, Switzerland. This article is an open access article distributed under the terms and conditions of the Creative Commons Attribution (CC BY) license (https://creativecommons.org/licenses/by/4.0/).