Microbiome Evolution of Brewer’s Spent Grain and Spent Coffee Ground Solid Sidestreams Under Industrial Storage Conditions
Abstract
Featured Application
Abstract
1. Introduction
2. Materials and Methods
2.1. Solid Sidestreams
2.2. Chemical and Elemental Analysis
2.3. Total Plate Counts, Microbial Isolation and Identification
2.4. Amplicon Metagenomic Sequencing
2.5. Storage of Solid Sidestreams
3. Results and Discussion
3.1. Chemical and Elemental Analysis of BSG and SCG
3.2. Microbiome Characterization of BSG and SCG
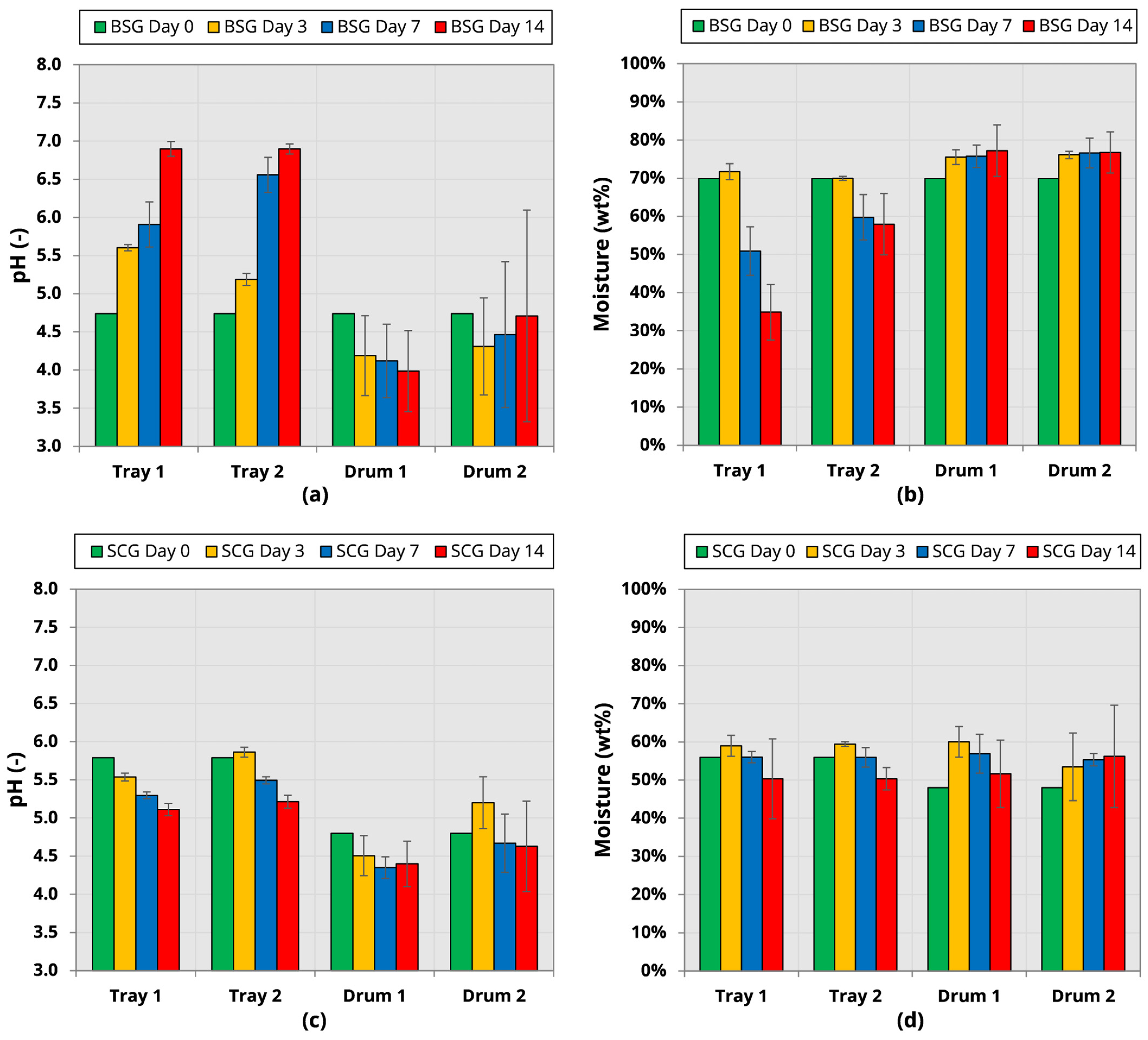
3.3. Chemical Analysis During Storage of BSG and SCG
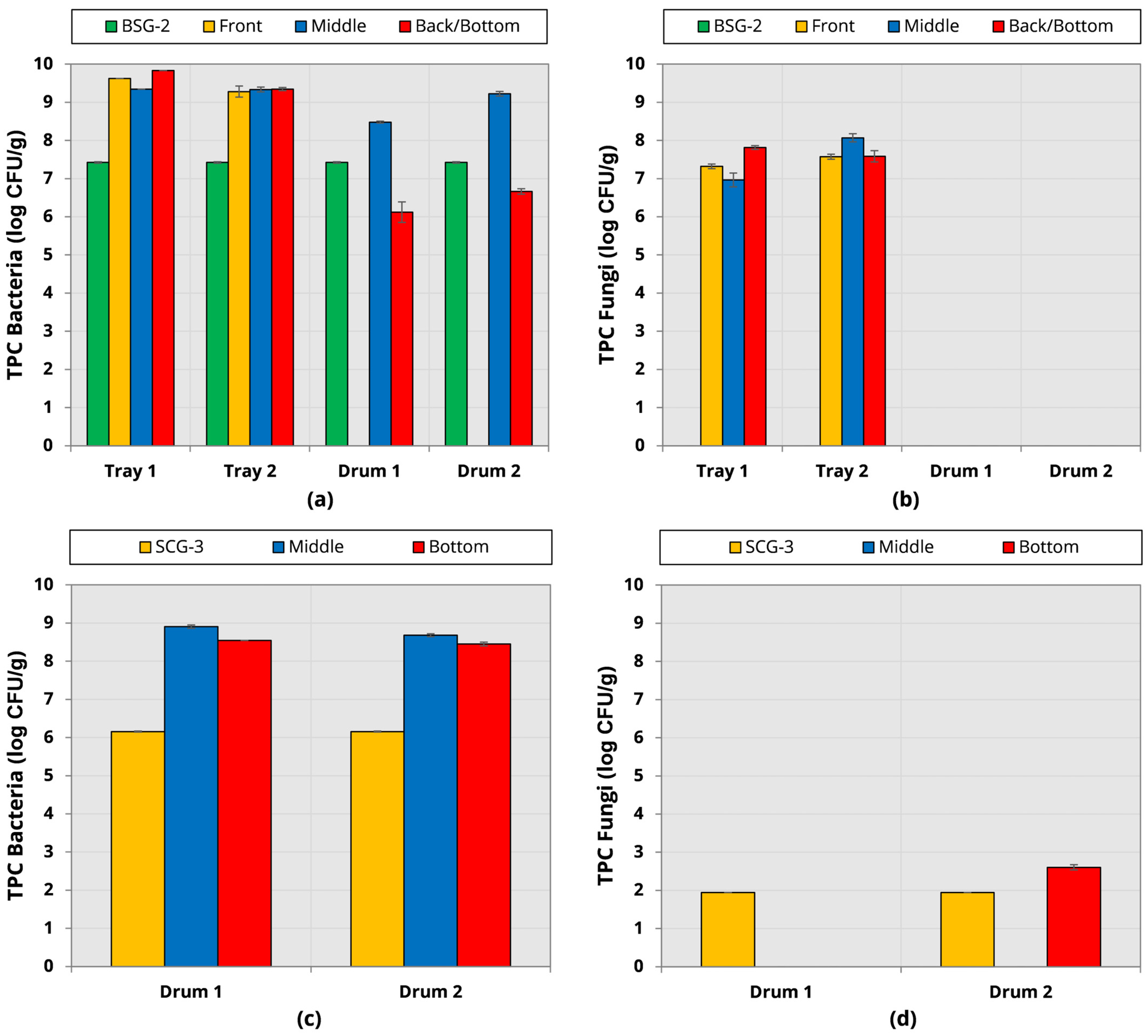
3.4. Total Plate Count After Storage of BSG and SCG
3.5. Amplicon Metagenomic Sequencing After Storage of BSG and SCG
4. Conclusions
Supplementary Materials
Author Contributions
Funding
Data Availability Statement
Acknowledgments
Conflicts of Interest
References
- Scialabba, N.; Jan, O.; Tostivint, C.; Turbé, A.; O’Connor, C.; Lavelle, P.; Flammini, A.; Hoogeveen, J.; Iweins, M.; Tubiello, F.; et al. Food Wastage Footprint: Impacts on Natural Resources. Summary Report; FAO: Rome, Italy, 2013; ISBN 978-92-5-107752-8. [Google Scholar]
- Gama, L.D.; Pearson, P.; Prezkop, L.; Walsh, L.; Weir, C.; Gupta, M.; Trewern, J.; Halevy, S.; Wakefield, S.; Lee, L.; et al. Driven to Waste: The Global Impact of Food Loss a Waste on Farms; WWF: Woking, UK, 2021. [Google Scholar]
- National Environment Agency Waste Statistics and Overall Recycling. Available online: https://www.nea.gov.sg/our-services/waste-management/waste-statistics-and-overall-recycling (accessed on 16 August 2024).
- de los Mozos, E.A.; Badurdeen, F.; Dossou, P.E. Sustainable Consumption by Reducing Food Waste: A Review of the Current State and Directions for Future Research. Procedia Manuf. 2020, 51, 1791–1798. [Google Scholar] [CrossRef]
- Uçkun Kiran, E.; Trzcinski, A.P.; Ng, W.J.; Liu, Y. Bioconversion of Food Waste to Energy: A Review. Fuel 2014, 134, 389–399. [Google Scholar] [CrossRef]
- Santeramo, F.G. Exploring the Link among Food Loss, Waste and Food Security: What the Research Should Focus On? Agric. Food Secur. 2021, 10, 4–6. [Google Scholar] [CrossRef]
- Nyhan, L.; Sahin, A.W.; Schmitz, H.H.; Siegel, J.B.; Arendt, E.K. Brewers’ Spent Grain: An Unprecedented Opportunity to Develop Sustainable Plant-Based Nutrition Ingredients Addressing Global Malnutrition Challenges. J. Agric. Food Chem. 2023, 71, 10543–10564. [Google Scholar] [CrossRef] [PubMed]
- Kamil, M.; Ramadan, K.M.; Awad, O.I.; Ibrahim, T.K.; Inayat, A.; Ma, X. Environmental Impacts of Biodiesel Production from Waste Spent Coffee Grounds and Its Implementation in a Compression Ignition Engine. Sci. Total Environ. 2019, 675, 13–30. [Google Scholar] [CrossRef] [PubMed]
- Devnani, B.; Moran, G.C.; Grossmann, L. Extraction, Composition, Functionality, and Utilization of Brewer’s Spent Grain Protein in Food Formulations. Foods 2023, 12, 1543. [Google Scholar] [CrossRef] [PubMed]
- Mussatto, S.I. Brewer’s Spent Grain: A Valuable Feedstock for Industrial Applications. J. Sci. Food Agric. 2014, 94, 1264–1275. [Google Scholar] [CrossRef]
- Terefe, G. Preservation Techniques and Their Effect on Nutritional Values and Microbial Population of Brewer’s Spent Grain: A Review. CABI Agric. Biosci. 2022, 3, 1–8. [Google Scholar] [CrossRef]
- Mitri, S.; Salameh, S.J.; Khelfa, A.; Leonard, E.; Maroun, R.G.; Louka, N.; Koubaa, M. Valorization of Brewers’ Spent Grains: Pretreatments and Fermentation, a Review. Fermentation 2022, 8, 50. [Google Scholar] [CrossRef]
- Milew, K.; Manke, S.; Grimm, S.; Haseneder, R.; Herdegen, V.; Braeuer, A.S. Application, Characterisation and Economic Assessment of Brewers’ Spent Grain and Liquor. J. Inst. Brew. 2022, 128, 96–108. [Google Scholar] [CrossRef]
- Chetrariu, A.; Dabija, A. Brewer’s Spent Grains: Possibilities of Valorization, a Review. Appl. Sci. 2020, 10, 5619. [Google Scholar] [CrossRef]
- Lynch, K.M.; Steffen, E.J.; Arendt, E.K. Brewers’ Spent Grain: A Review with an Emphasis on Food and Health. J. Inst. Brew. 2016, 122, 553–568. [Google Scholar] [CrossRef]
- Robertson, J.A.; I’Anson, K.J.A.; Treimo, J.; Faulds, C.B.; Brocklehurst, T.F.; Eijsink, V.G.H.; Waldron, K.W. Profiling Brewers’ Spent Grain for Composition and Microbial Ecology at the Site of Production. LWT 2010, 43, 890–896. [Google Scholar] [CrossRef]
- Montanari, L.; Floridi, S.; Marconi, O.; Tironzelli, M.; Fantozzi, P. Effect of Mashing Procedures on Brewing. Eur. Food Res. Technol. 2005, 221, 175–179. [Google Scholar] [CrossRef]
- Robertson, J.A.; IAnson, K.J.A.; Brocklehurst, T.F.; Faulds, C.B.; Waldron, K.W. Effect of Storage Conditions on the Microbial Ecology and Biochemical Stability of Cell Wall Components in Brewers Spent Grain. J. Agric. Food Chem. 2010, 58, 7266–7272. [Google Scholar] [CrossRef]
- Mussatto, S.I.; Dragone, G.; Roberto, I.C. Brewers’ Spent Grain: Generation, Characteristics and Potential Applications. J. Cereal Sci. 2006, 43, 1–14. [Google Scholar] [CrossRef]
- Ballesteros, L.F.; Teixeira, J.A.; Mussatto, S.I. Chemical, Functional, and Structural Properties of Spent Coffee Grounds and Coffee Silverskin. Food Bioprocess Technol. 2014, 7, 3493–3503. [Google Scholar] [CrossRef]
- Campos-Vega, R.; Loarca-Piña, G.; Vergara-Castañeda, H.A.; Dave Oomah, B. Spent Coffee Grounds: A Review on Current Research and Future Prospects. Trends Food Sci. Technol. 2015, 45, 24–36. [Google Scholar] [CrossRef]
- Magengelele, M.; Malgas, S.; Pletschke, B.I. Bioconversion of Spent Coffee Grounds to Prebiotic Mannooligosaccharides—An Example of Biocatalysis in Biorefinery. RSC Adv. 2023, 13, 3773–3780. [Google Scholar] [CrossRef]
- Franca, A.S.; Oliveira, L.S. Potential Uses of Spent Coffee Grounds in the Food Industry. Foods 2022, 11, 2064. [Google Scholar] [CrossRef]
- Bevilacqua, E.; Cruzat, V.; Singh, I.; Rose’Meyer, R.B.; Panchal, S.K.; Brown, L. The Potential of Spent Coffee Grounds in Functional Food Development. Nutrients 2023, 15, 994. [Google Scholar] [CrossRef]
- Johnson, K.; Liu, Y.; Lu, M. A Review of Recent Advances in Spent Coffee Grounds Upcycle Technologies and Practices. Front. Chem. Eng. 2022, 4, 838605. [Google Scholar] [CrossRef]
- Monente, C.; Bravo, J.; Vitas, A.I.; Arbillaga, L.; De Peña, M.P.; Cid, C. Coffee and Spent Coffee Extracts Protect against Cell Mutagens and Inhibit Growth of Food-Borne Pathogen Microorganisms. J. Funct. Foods 2015, 12, 365–374. [Google Scholar] [CrossRef]
- Calheiros, D.; Dias, M.I.; Calhelha, R.C.; Barros, L.; Ferreira, I.C.F.R.; Fernandes, C.; Gonçalves, T. Antifungal Activity of Spent Coffee Ground Extracts. Microorganisms 2023, 11, 242. [Google Scholar] [CrossRef]
- Ren, Y.; Wang, C.; Xu, J.; Wang, S. Cafestol and Kahweol: A Review on Their Bioactivities and Pharmacological Properties. Int. J. Mol. Sci. 2019, 20, 4238. [Google Scholar] [CrossRef]
- McNutt, J.; He, Q. (Sophia) Spent Coffee Grounds: A Review on Current Utilization. J. Ind. Eng. Chem. 2019, 71, 78–88. [Google Scholar] [CrossRef]
- de Oliveira Junqueira, A.C.; de Melo Pereira, G.V.; Coral Medina, J.D.; Alvear, M.C.R.; Rosero, R.; de Carvalho Neto, D.P.; Enríquez, H.G.; Soccol, C.R. First Description of Bacterial and Fungal Communities in Colombian Coffee Beans Fermentation Analysed Using Illumina-Based Amplicon Sequencing. Sci. Rep. 2019, 9, 8794. [Google Scholar] [CrossRef] [PubMed]
- Chin, X.H.; Ho, S.; Chan, G.; Basri, N.; Teo, M.; Thong, A.; Goh, F.; Lindley, N.D.; Peterson, E.C. Aromatic Yeasts: Interactions and Implications in Coffee Fermentation Aroma Profiles. J. Agric. Food Chem. 2023, 71, 9677–9686. [Google Scholar] [CrossRef] [PubMed]
- Kusumaningrum, H.D.; Rasyidah, M.M. Prevalence of Spoilage Mold in Coffee before and after Brewing. Food Res. 2019, 3, 720–726. [Google Scholar] [CrossRef]
- Viegas, C.; Gomes, B.; Oliveira, F.; Dias, M.; Cervantes, R.; Pena, P.; Gomes, A.Q.; Caetano, L.A.; Carolino, E.; de Andrade, E.T.; et al. Microbial Contamination in the Coffee Industry: An Occupational Menace besides a Food Safety Concern? Int. J. Environ. Res. Public Health 2022, 19, 13488. [Google Scholar] [CrossRef]
- Lopane, S.N.; McGregor, J.U.; Rieck, J.R. An Investigation of the Shelf Life of Cold Brew Coffee and the Influence of Extraction Temperature Using Chemical, Microbial, and Sensory Analysis. Food Sci. Nutr. 2024, 12, 985–996. [Google Scholar] [CrossRef] [PubMed]
- ISO 4833-2; Microbiology of the Food Chain—Horizontal Method for the Enumeration of Microorganisms. ISO: Geneva, Switzerland, 2013.
- Coronado, M.A.; Montero, G.; Montes, D.G.; Valdez-Salas, B.; Ayala, J.R.; García, C.; Carrillo, M.; León, J.A.; Moreno, A. Physicochemical Characterization and SEM-EDX Analysis of Brewer’s Spent Grain from the Craft Brewery Industry. Sustainability 2020, 12, 7744. [Google Scholar] [CrossRef]
- Assandri, D.; Pampuro, N.; Zara, G.; Cavallo, E.; Budroni, M. Suitability of Composting Process for the Disposal and Valorization of Brewer’s Spent Grain. Agriculture 2021, 11, 2. [Google Scholar] [CrossRef]
- Bejenari, V.; Lisa, C.; Cernǎtescu, C.; Mǎmǎligǎ, I.; Lisa, G. Isothermal Drying Kinetic Study of Spent Coffee Grounds Using Thermogravimetric Analysis. Int. J. Chem. Eng. 2022, 2022, 2312147. [Google Scholar] [CrossRef]
- de Bomfim, A.S.C.; de Oliveira, D.M.; Walling, E.; Babin, A.; Hersant, G.; Vaneeckhaute, C.; Dumont, M.-J.; Rodrigue, D. Spent Coffee Grounds Characterization and Reuse in Composting and Soil Amendment. Waste 2022, 1, 2–20. [Google Scholar] [CrossRef]
- Zheng, J.; Wittouck, S.; Salvetti, E.; Franz, C.M.A.P.; Harris, H.M.B.; Mattarelli, P.; O’toole, P.W.; Pot, B.; Vandamme, P.; Walter, J.; et al. A Taxonomic Note on the Genus Lactobacillus: Description of 23 Novel Genera, Emended Description of the Genus Lactobacillus Beijerinck 1901, and Union of Lactobacillaceae and Leuconostocaceae. Int. J. Syst. Evol. Microbiol. 2020, 70, 2782–2858. [Google Scholar] [CrossRef]
- Xu, Z.; Luo, Y.; Mao, Y.; Peng, R.; Chen, J.; Soteyome, T.; Bai, C.; Chen, L.; Liang, Y.; Su, J.; et al. Spoilage Lactic Acid Bacteria in the Brewing Industry. J. Microbiol. Biotechnol. 2020, 30, 955–961. [Google Scholar] [CrossRef]
- Rodríguez-Saavedra, M.; González de Llano, D.; Moreno-Arribas, M.V. Beer Spoilage Lactic Acid Bacteria from Craft Brewery Microbiota: Microbiological Quality and Food Safety. Food Res. Int. 2020, 138, 109762. [Google Scholar] [CrossRef]
- Botina, S.G.; Lysenko, A.M.; Sukhodolets, V.V. Elucidation of the Taxonomic Status of Industrial Strains of Thermophilic Lactic Acid Bacteria by Sequencing of 16S RRNA Genes. Mikrobiologiya 2005, 74, 520–525. [Google Scholar] [CrossRef]
- Juven, B.J.; Ben-Shalom, N.; Weisslowicz, H. Identification of Chemical Constituents of Tomato Juice Which Affect the Heat Resistance of Lactobacillus Fermentum. J. Appl. Bacteriol. 1983, 54, 335–338. [Google Scholar] [CrossRef]
- Fei, P.; Jiang, Y.; Feng, J.; Forsythe, S.J.; Li, R.; Zhou, Y.; Man, C. Antibiotic and Desiccation Resistance of Cronobacter Sakazakii and C. Malonaticus Isolates from Powdered Infant Formula and Processing Environments. Front. Microbiol. 2017, 8, 316. [Google Scholar] [CrossRef] [PubMed]
- Zalma, S.A.; El-Sharoud, W.M. Diverse Thermophilic Bacillus Species with Multiple Biotechnological Activities Are Associated within the Egyptian Soil and Compost Samples. Sci. Prog. 2021, 104, 1–12. [Google Scholar] [CrossRef]
- Elhalis, H.; Chin, X.H.; Chow, Y. Soybean Fermentation: Microbial Ecology and Starter Culture Technology. Crit. Rev. Food Sci. Nutr. 2023, 64, 7648–7670. [Google Scholar] [CrossRef] [PubMed]
- Buehner, K.P.; Anand, S.; Djira, G.D. Prevalence of Thermoduric Bacteria and Spores in Nonfat Dry Milk Powders of Midwest Origin. J. Dairy Sci. 2015, 98, 2861–2866. [Google Scholar] [CrossRef] [PubMed]
- Tan, B.H.; Chakrabarti, A.; Li, R.Y.; Patel, A.K.; Watcharananan, S.P.; Liu, Z.; Chindamporn, A.; Tan, A.L.; Sun, P.L.; Wu, U.I.; et al. Incidence and Species Distribution of Candidaemia in Asia: A Laboratory-Based Surveillance Study. Clin. Microbiol. Infect. 2015, 21, 946–953. [Google Scholar] [CrossRef]
- Pereira, G.V.M.; Alvarez, J.P.; Neto, D.P.d.C.; Soccol, V.T.; Tanobe, V.O.A.; Rogez, H.; Góes-Neto, A.; Soccol, C.R. Great Intraspecies Diversity of Pichia Kudriavzevii in Cocoa Fermentation Highlights the Importance of Yeast Strain Selection for Flavor Modulation of Cocoa Beans. LWT 2017, 84, 290–297. [Google Scholar] [CrossRef]
- Rocha, S.N.; Abrahão-Neto, J.; Gombert, A.K. Physiological Diversity within the Kluyveromyces Marxianus Species. Antonie Van Leeuwenhoek 2011, 100, 619–630. [Google Scholar] [CrossRef]
- Lukito, B.R.; Basri, N.; Thong, A.; Hermansen, C.; Weingarten, M.; Peterson, E.C. Co-Culture of Kluyveromyces Marxianus and Meyerozyma Guilliermondii with In Situ Product Recovery of 2-Phenylethanol. J. Agric. Food Chem. 2023, 71, 8991–8997. [Google Scholar] [CrossRef]
- Duarte, L.C.; Carvalheiro, F.; Lopes, S.; Neves, I.; Gírio, F.M. Yeast Biomass Production in Brewery’s Spent Grains Hemicellulosic Hydrolyzate. Appl. Biochem. Biotechnol. 2008, 148, 119–129. [Google Scholar] [CrossRef]
- Roselli, G.E.; Kerruish, D.W.M.; Crow, M.; Smart, K.A.; Powell, C.D. The Two Faces of Microorganisms in Traditional Brewing and the Implications for No- and Low-Alcohol Beers. Front. Microbiol. 2024, 15, 1346724. [Google Scholar] [CrossRef]
- Rochefort, L.; Caille, O.; Van Nedervelde, L. Sequentially Pitching Lactic Acid Bacteria and Active Dry Yeasts for Sour Beer Production. J. Am. Soc. Brew. Chem. 2024, 82, 141–149. [Google Scholar] [CrossRef]
- Muzdalifah, D.; Athaillah, Z.A.; Nugrahani, W.; Devi, A.F. Colour and PH Changes of Tempe during Extended Fermentation. AIP Conf. Proc. 2017, 1803, 20036. [Google Scholar] [CrossRef]
- Zapaśnik, A.; Sokołowska, B.; Bryła, M. Role of Lactic Acid Bacteria in Food Preservation and Safety. Foods 2022, 11, 1283. [Google Scholar] [CrossRef] [PubMed]
- Kondamudi, N.; Mohapatra, S.K.; Misra, M. Spent Coffee Grounds as a Versatile Source of Green Energy. J. Agric. Food Chem. 2008, 56, 11757–11760. [Google Scholar] [CrossRef]
- Šarkanj, B.; Mastanjevi, K.; Lukinac, J.; Juki, M. Multi-(Myco)Toxins in Malting and Brewing By-Products. Toxins 2019, 11, 30. [Google Scholar] [CrossRef]
- Karimi, K.; Zamani, A. Mucor Indicus: Biology and Industrial Application Perspectives: A Review. Biotechnol. Adv. 2013, 31, 466–481. [Google Scholar] [CrossRef]
- Cao, J.; Yu, Z.; Liu, W.; Zhao, J.; Zhang, H.; Zhai, Q.; Chen, W. Probiotic Characteristics of Bacillus Coagulans and Associated Implications for Human Health and Diseases. J. Funct. Foods 2020, 64, 103643. [Google Scholar] [CrossRef]
- Yutin, N.; Galperin, M.Y. A Genomic Update on Clostridial Phylogeny: Gram-Negative Spore-Formers and Other Misplaced Clostridia. Environ. Microbiol. 2013, 15, 2631–2641. [Google Scholar] [CrossRef]
- Gomes, R.J.; Borges, M.d.F.; Rosa, M.d.F.; Castro-Gómez, R.J.H.; Spinosa, W.A. Acetic Acid Bacteria in the Food Industry: Systematics, Characteristics and Applications. Food Technol. Biotechnol. 2018, 56, 139–151. [Google Scholar] [CrossRef]
- Santos, M.V.; Ranalli, N.; Orjuela-Palacio, J.; Zaritzky, N. Brewers Spent Grain Drying: Drying Kinetics, Moisture Sorption Isotherms, Bioactive Compounds Stability and Bacillus Cereus Lethality during Thermal Treatment. J. Food Eng. 2024, 364, 111796. [Google Scholar] [CrossRef]
- Hou, Q.; Bai, X.; Li, W.; Gao, X.; Zhang, F. Design of Primers for Evaluation of Lactic Acid Bacteria Populations in Complex Biological Samples. Front. Microbiol. 2018, 9, 2045. [Google Scholar] [CrossRef]




| Sample | Source | Description | Collection Time |
|---|---|---|---|
| BSG-1 | Alive Brewing Company | Craft brewery | Evening same day |
| BSG-2 | Tiong Lam Supplies | Recycling facility | Morning next day |
| BSG-3 | Envcares | Recycling facility | Morning next day |
| SCG-1 | Little Big Coffee Roasters | Café | Evening same day |
| SCG-2 | Tiong Lam Supplies | Recycling facility | Morning next day |
| SCG-3 | Tiong Lam Supplies | Recycling facility | Morning next day |
| Agar Medium | Selectivity | Incubation Conditions |
|---|---|---|
| Luria–Bertani agar (LB) | Aerobic bacteria | Aerobic; 30 °C; 72 h |
| Luria–Bertani agar (LB) | Anaerobic bacteria | Anaerobic; 30 °C; 72 h |
| Potato dextrose agar (PDA) | Fungi | Aerobic; 30 °C; 72 h |
| Yeast extract peptone dextrose agar (YPD) | Yeasts | Aerobic; 30 °C; 72 h |
| De Man–Rogosa–Sharpe agar (MRS) | Lactic acid bacteria | Anaerobic; 37 °C; 72 h |
| Plate count agar (PCA) | Bacteria | Aerobic; 30 °C; 24 h |
| Plate count agar (PCA) | Fungi | Aerobic; 30 °C; 120 h |
| Primer and 5′–3′ Sequence | Target Region | Run Conditions |
| 27F: AGAGTTTGATCCTGGCTCAG | Bacterial 16S rRNA gene | 94 °C for 5 min, 31 cycles at 94 °C for 1 min, 58 °C for 1 min, 72 °C for 2 min, and then 72 °C for 8 min, and finally 4 °C for 30 min |
| 1494R: CTACGGCTACCTTGTTACGA | ||
| NS1: GTAGTCATATGCTTGTCTC | Yeast 18S gene, the internal transcribed spacer (ITS) segment, and most of the 5.8S gene in ribosomal (r)DNA | 95 °C for 3 min; 35 cycles of 60 s at 95 °C, 60 s at 55 °C, and 90 s at 72 °C, and finally an extension step of 5 min at 72 °C |
| ITS2: GCTGCGTTCTTCATCGATGC | ||
| Storage Containers | Datalogging and Sampling | Storage Conditions |
| 2 × Trays (aerobic) 100 cm × 100 cm × 12 cm 40 kg wet weight | Temperature and humidity: Middle, bottom Sampling: Day 0, 3, 7, 14 | Ambient conditions at Tiong Lam Supplies (~30 °C; 70% to 80% RH) |
| 2 × Drums (anaerobic) ∅58 cm × 95 cm 100 kg wet weight | Temperature and humidity: Front, middle, back Sampling: Day 0, 3, 7, 14 | Ambient conditions at Tiong Lam Supplies (~30 °C; 70% to 80% RH) |
| Chemical Analysis (fwb 1) | Elemental Analysis (dwb 2) | Total Plate Count (log10 CFU/g (fwb) 1) | ||||
|---|---|---|---|---|---|---|
| Sample | Moisture | pH | TC 3 | TN 4 | Bacteria | Fungi |
| BSG-1 | 65% | 6.0 | 43.3% | 2.43% | 3.53 ± 0.03 | <1 |
| BSG-2 | 70% | 4.7 | 46.1% | 2.80% | 7.42 ± 0.02 | <1 |
| BSG-3 | 72% | 3.7 | 55.4% | 3.76% | 7.07 ± 0.08 | <1 |
| Average | 69 ± 4% | 4.8 ± 1.1 | 48 ± 6.3% | 3.0 ± 0.7% | 6.0 ± 1.9 | <1 |
| SCG-1 | 64% | 5.1 | 55.1% | 2.14% | <1 | <1 |
| SCG-2 | 56% | 5.8 | 50.6% | 2.38% | 7.70 ± 0.02 | <1 |
| SCG-3 | 48% | 4.8 | 43.2% | 1.71% | 6.16 ± 0.02 | 1.94 ± 0.00 |
| Average | 56 ± 8% | 5.2 ± 0.5 | 49.6 ± 6.0% | 2.1 ± 0.3% | 4.6 ± 3.6 | 0.65 ± 1.00 |
| Type of Microorganism | Identified Species |
|---|---|
| Aerobic bacteria | Bacillus subtilis Bacillus spizizenii Bacillus rugosus |
| Anaerobic bacteria | Enterococcus durans Cronobacter malonaticus |
| Lactic Acid Bacteria | Pediococcus acidilactici Enterococcus faecium Limosilactobacillus fermentum |
| Yeast | Candida tropicalis Pichia kudriavzevii Kluyveromyces marxianus |
| Fungi | - |
Disclaimer/Publisher’s Note: The statements, opinions and data contained in all publications are solely those of the individual author(s) and contributor(s) and not of MDPI and/or the editor(s). MDPI and/or the editor(s) disclaim responsibility for any injury to people or property resulting from any ideas, methods, instructions or products referred to in the content. |
© 2024 by the authors. Licensee MDPI, Basel, Switzerland. This article is an open access article distributed under the terms and conditions of the Creative Commons Attribution (CC BY) license (https://creativecommons.org/licenses/by/4.0/).
Share and Cite
Hermansen, C.; Chong, Q.K.; Ho, S.; Natali, F.; Weingarten, M.; Peterson, E.C. Microbiome Evolution of Brewer’s Spent Grain and Spent Coffee Ground Solid Sidestreams Under Industrial Storage Conditions. Appl. Sci. 2024, 14, 9759. https://doi.org/10.3390/app14219759
Hermansen C, Chong QK, Ho S, Natali F, Weingarten M, Peterson EC. Microbiome Evolution of Brewer’s Spent Grain and Spent Coffee Ground Solid Sidestreams Under Industrial Storage Conditions. Applied Sciences. 2024; 14(21):9759. https://doi.org/10.3390/app14219759
Chicago/Turabian StyleHermansen, Christian, Qi Kang Chong, Sherilyn Ho, Federica Natali, Melanie Weingarten, and Eric Charles Peterson. 2024. "Microbiome Evolution of Brewer’s Spent Grain and Spent Coffee Ground Solid Sidestreams Under Industrial Storage Conditions" Applied Sciences 14, no. 21: 9759. https://doi.org/10.3390/app14219759
APA StyleHermansen, C., Chong, Q. K., Ho, S., Natali, F., Weingarten, M., & Peterson, E. C. (2024). Microbiome Evolution of Brewer’s Spent Grain and Spent Coffee Ground Solid Sidestreams Under Industrial Storage Conditions. Applied Sciences, 14(21), 9759. https://doi.org/10.3390/app14219759

