A Novel Hybrid Elementary Cellular Automata and Its Application in a Stream Cipher
Abstract
1. Introduction
2. Preliminaries
2.1. Elementary Cellular Automaton
2.2. Hybrid ECA
3. HECA with Dynamic Mask and Its Properties
3.1. Introduction of the Novel HECA with Dynamic Mask
3.2. Properties Analyses of the HECA-M
4. Stream Cipher Based on HECA-M
4.1. Description of Proposed Stream Cipher
| Algorithm 1. The pseudocode of the proposed stream cipher |
| Step 1: Initialize variables Input: secret_key K (256 bits or 512 bits), constant_vector IV (256 bits) Step 2: Determine chaotic rule group and initialize HECA-M idx = Hamming (K, IV) chaotic_rule_group (rm, r1, r0) = LUT (idx) (From Table 5) inv = SHA512 (K, IV) (inv_d, inv_m) = inv Step 3: Initialize HECA-M The ECA of driver part ← inv_d,r1,r0 The ECA of MASK part ← inv_m,rm Step 4: Generate original keystream Iterate HECA-M to generate the original_keystream Step 5: Using buffer to generate final keystream n0 = bin2dec(middle_10_bits_of(inv)) Remove first n0 iterations from original_keystream flag = Hamming(inv) % 2 If flag == 0: final_keystream←Select sequences generated by cells with even indexes from original_keystream Else: final_keystream ← Select sequences generated by cells with odd indexes from original_keystream Output: final_keystream |
- Give a secret key and get a constant vector IV
- 2.
- Get a chaotic rule group and initialize the HECA-M
- 3.
- Generate original keystream
- 4.
- Process the original keystream by the buffer and generate the final keystream
4.2. Statistic and Secure Analyses
- NIST test
- 2.
- Berlekamp–Massey synthesis
- 3.
- Linear analysis (distinguishing attack)
- 4.
- Key space and period
- 5.
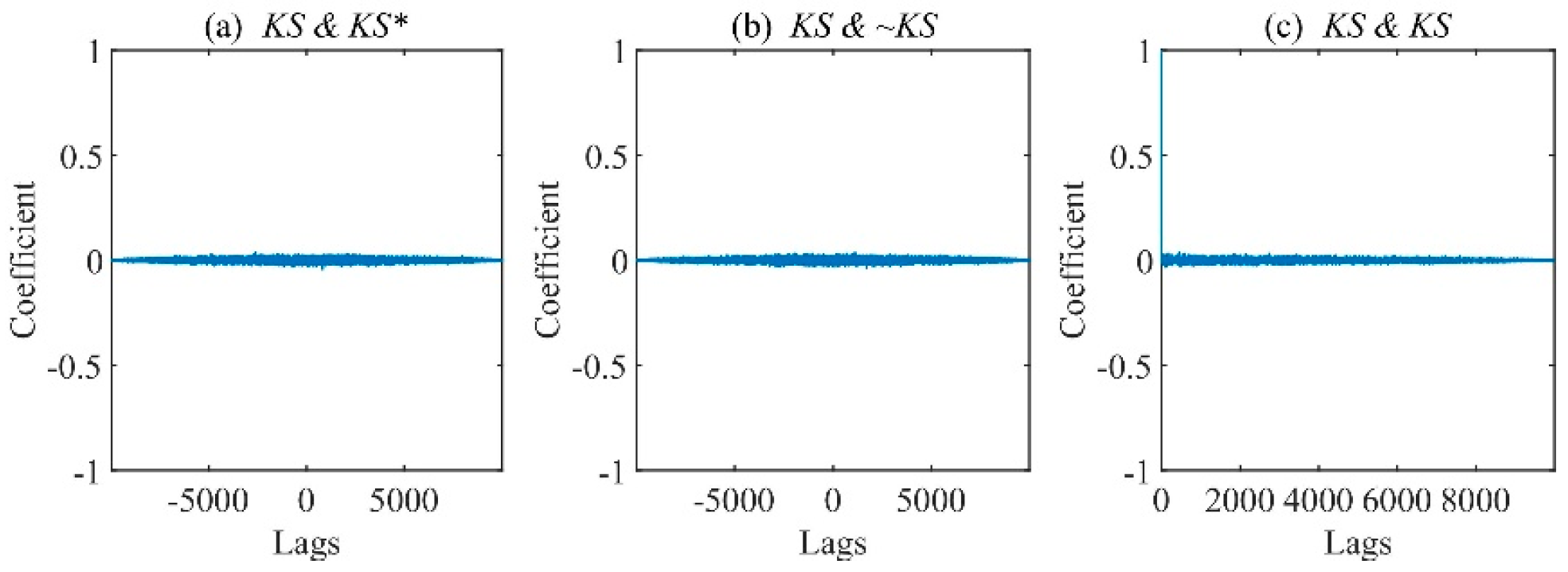
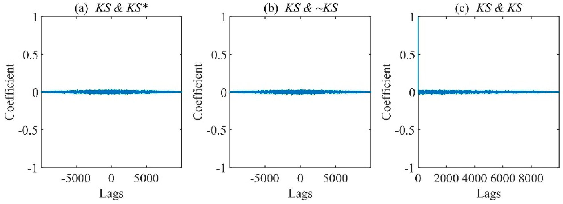
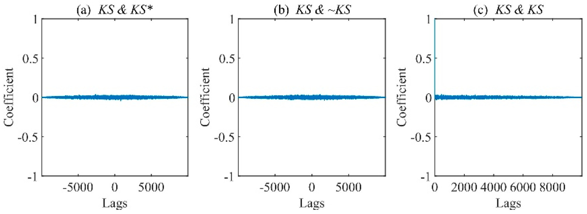
- Autocorrelation and cross-correlation
- 6.
- Time–memory–data tradeoff
- 7.
- Guess-and-determine attack
4.3. Time and Space Consumption
5. Conclusions
Author Contributions
Funding
Institutional Review Board Statement
Informed Consent Statement
Data Availability Statement
Conflicts of Interest
References
- Zolfaghari, B.; Bibak, K.; Koshiba, T. The Odyssey of Entropy: Cryptography. Entropy 2022, 24, 266. [Google Scholar] [CrossRef]
- Zhang, B.; Xu, C.; Feng, D. Design and Analysis of Stream Ciphers: Past, Present and Future Directions. J. Cryptologic Res. 2016, 3, 527–545. [Google Scholar]
- Menezes, A.J.; Oorschot, P.; Vanstone, S.A. Handbook of Applied Cryptography; CRC Press: Boca Raton, FL, USA, 1997. [Google Scholar]
- Devipriya, M.; Brindha, M. Image encryption using modified perfect shuffle-based bit level permutation and learning with errors based diffusion for IoT. Comput. Electr. Eng. 2022, 100, 107954. [Google Scholar]
- Garcia, J.E.; Cotrina, G.; Peinado, A.; Ortiz, A. Security and Efficiency of Linear Feedback Shift Registers in GF(2(n)) Using n-Bit Grouped Operations. Mathematics 2022, 10, 996. [Google Scholar] [CrossRef]
- Rainer, R.A. Analysis and Design of Stream Ciphers; Springer: New York, NY, USA, 1986. [Google Scholar]
- Maitra, S.; Gupta, K.C.; Venkateswarlu, A. Multiples of primitive polynomials and their products over GF(2). In Proceedings of the 9th Annual International Workshop on Selected Areas in Cryptography, St. John’s, NF, Canada, 15–16 August 2003; pp. 214–231. [Google Scholar]
- Zhang, B.; Xu, C.; Feng, D.G. Practical Cryptanalysis of Bluetooth Encryption with Condition Masking. J. Cryptol. 2018, 31, 394–433. [Google Scholar] [CrossRef]
- Deb, S.; Bhuyan, B. Chaos-based medical image encryption scheme using special nonlinear filtering function based LFSR. Multimed. Tools Appl. 2021, 80, 19803–19826. [Google Scholar] [CrossRef]
- Nandi, S.; Krishnaswamy, S.; Zolfaghari, B.; Mitra, P. Key-Dependent Feedback Configuration Matrix of Primitive sigma-LFSR and Resistance to Some Known Plaintext Attacks. IEEE Access 2022, 10, 44840–44854. [Google Scholar] [CrossRef]
- Chetry, M.K.; Bishoi, S.K.; Matyas, V. When Lagged Fibonacci Generators jump. Discrete Appl. Math. 2019, 267, 64–72. [Google Scholar] [CrossRef]
- Prajapat, R.P.; Bhadada, R.; Sharma, G. Implementation of Enhanced A5/1 Stream Cipher and its Randomness Analysis by NIST Test Suite. In Proceedings of the 2021 IEEE International Symposium on Smart Electronic Systems (ISES 2021), 7th IEEE International Symposium on Smart Electronic Systems (IEEE-iSES), Jaipur, India, 20–22 December 2021; pp. 426–431. [Google Scholar]
- Din, M.; Pal, S.K.; Muttoo, S.K. Applying PSO Based Technique for Analysis of Geffe Generator Cryptosystem. In Harmony Search and Nature Inspired Optimization Algorithms, 4th International Conference on Harmony Search, Soft Computing and Applications (ICHSA), Gurgaon, India, 7–9 February 2018; Yadav, N., Yadav, A., Bansal, J.C., Deep, K., Kim, J.H., Eds.; Springer: Singapore, 2019; pp. 741–749. [Google Scholar]
- Hodzic, S.; Pasalic, E.; Wei, Y.Z. Guess and determine cryptanalysis with variable sampling and its applications. IET Inform. Secur. 2019, 13, 559–569. [Google Scholar] [CrossRef]
- Cao, C.P.; Cen, Z.; Feng, X.T.; Wang, Z.Y.; Zhu, Y.M. Straightforward Guess and Determine Analysis Based on Genetic Algorithm. J. Syst. Sci. Complex. 2022, 35, 1988–2003. [Google Scholar] [CrossRef]
- Kiyomoto, S.; Tanaka, T.; Sakurai, K. Experimental analysis of guess-and-determine attacks on clock-controlled stream ciphers. IEICE Trans. Fund. Electr. 2005, E88A, 2778–2791. [Google Scholar] [CrossRef]
- Afzal, M.; Masood, A. Algebraic attack on A5-type irregularly clocked key stream generator, IMECS 2007: International Multiconference of Engineers and Computer Scientists, Vols I and II. In Proceedings of the International MultiConference of Engineers and Computer Scientists 2007, IMECS 2007, Hong Kong, China, 21–23 March 2007; pp. 670–674. [Google Scholar]
- Siegenthaler, T. Correlation-immunity of nonlinear combining functions for cryptographic applications (Corresp.). IEEE Trans. Inform. Theory 1984, 30, 776–780. [Google Scholar] [CrossRef]
- Li, B.H.; Liu, M.C.; Lin, D.D. FPGA implementations of Grain v1, Mickey 2.0, Trivium, Lizard and Plantlet. Microprocess Microsy 2020, 78, 103210. [Google Scholar] [CrossRef]
- Hao, Y.L.; Leander, G.; Meier, W.; Todo, Y.; Wang, Q.J. Modeling for Three-Subset Division Property without Unknown Subset Improved Cube Attacks Against Trivium and Grain-128AEAD. In Advances in Cryptology—Eurocrypt 2020, PT I, 39th Annual International Conference on the Theory and Applications of Cryptographic Techniques (EUROCRYPT), Zagreb, Croatia, 10–14 May 2020; Canteaut, A., Ishai, Y., Eds.; Springer: Cham, Switzerland, 2020; pp. 466–495. [Google Scholar]
- Dubrova, E.; Hell, M. Espresso: A stream cipher for 5G wireless communication systems. Cryptogr. Commun. 2017, 9, 273–289. [Google Scholar] [CrossRef]
- Sinha, N. Internal State Recovery of Espresso Stream Cipher Using Conditional Sampling Resistance and Tmdto Attack. Adv. Math. Commun. 2021, 15, 539–556. [Google Scholar] [CrossRef]
- Liang, X.N.; Xiao, Y.; Ozdemir, S.; Vasilakos, A.V.; Deng, H.M. Cipher feedback mode under go-back-N and selective-reject protocols in error channels. Secur. Commun. Netw. 2013, 6, 942–954. [Google Scholar] [CrossRef]
- Good, T.; Benaissa, M. AES as stream cipher on a small FPGA. In Proceedings of the 2006 IEEE International Symposium on Circuits and Systems, Kos, Greece, 21–24 May 2006; Volume 1–11, pp. 529–+. [Google Scholar]
- Klein, A. Attacks on the RC4 stream cipher. Design Code Cryptogr. 2008, 48, 269–286. [Google Scholar] [CrossRef][Green Version]
- El Batouty, A.S.; Farag, H.H.; Mokhtar, A.A.; El-Badawy, E.A.; Aly, M.H. Improvement of Radio Frequency Identification Security Using New Hybrid Advanced Encryption Standard Substitution Box by Chaotic Maps. Electronics 2020, 9, 1168. [Google Scholar] [CrossRef]
- Paul, R.; Mitra, J.; Dey, H.; Sau, S.; Baidya, P.; Ghosh, R.; Chakrabrti, A. Secure multi-gigabit optical link design for high energy physics experiment with acceleration of more secure RC4 variant in reconfigurable platform. J. Instrum. 2020, 15, P10024. [Google Scholar] [CrossRef]
- Vanhoef, M.; Piessens, F.; USENIX, A. All Your Biases Belong to Us: Breaking RC4 in WPA-TKIP and TLS. In Proceedings of the 24th Usenix Security Symposium, Washington, DC, USA, 12–14 August 2015; pp. 97–112. [Google Scholar]
- Mishra, G.; Gupta, I.; Murthy, S.; Pal, S.K. Deep Learning based Cryptanalysis of Stream Ciphers. Defence Sci. J. 2021, 71, 499–506. [Google Scholar] [CrossRef]
- Neumann, J.; Burks, A.W. Theory of Self-Reproducing Automata; University of Illinois Press: Urbana, IL, USA, 1966. [Google Scholar]
- Zhang, F.; Chen, X.P.; Zhang, X.H. Parallel thinning and skeletonization algorithm based on cellular automaton. Multimed. Tools Appl. 2020, 79, 33215–33232. [Google Scholar] [CrossRef]
- Trevisi, M.; Akbari, A.; Trocan, M.; Rodriguez-Vazquez, A.; Carmona-Galan, R. Compressive Imaging Using RIP-Compliant CMOS Imager Architecture and Landweber Reconstruction. IEEE Trans. Circ. Syst. Vid. 2020, 30, 387–399. [Google Scholar] [CrossRef]
- Adak, S.; Bhattacharjee, K.; Das, S. Maximal length cellular automata in GF(q) and pseudo-random number generation. Int. J. Mod. Phys. C 2020, 31, 2050037. [Google Scholar] [CrossRef]
- Palchaudhuri, A.; Dhar, A.S. Speed-area optimized VLSI architecture of multi-bit cellular automaton cell based random number generator on FPGA with testable logic support. J. Parallel. Distr. Com. 2021, 151, 13–23. [Google Scholar] [CrossRef]
- Rukhin, A.; Soto, J.; Nechvatal, J.; Smid, M.; Barker, E. A Statistical Test Suite for Random and Pseudorandom Number Generators for Cryptographic Applications; NIST Special Publication 800-22; National Institute of Standards and Technology: Gaithersburg, MD, USA, 2001.
- Liu, Z.; Wang, Y.; Zhao, Y.; Zhang, L.Y. A stream cipher algorithm based on 2D coupled map lattice and partitioned cellular automata. Nonlinear Dynam. 2020, 101, 1383–1396. [Google Scholar] [CrossRef]
- Naskar, P.K.; Bhattacharyya, S.; Nandy, D.; Chaudhuri, A. A robust image encryption scheme using chaotic tent map and cellular automata. Nonlinear Dynam. 2020, 100, 2877–2898. [Google Scholar] [CrossRef]
- Dong, Y.; Zhao, G. A spatiotemporal chaotic system based on pseudo-random coupled map lattices and elementary cellular automata. Chaos Solitons Fractals 2021, 151, 111217. [Google Scholar] [CrossRef]
- Dong, Y.; Zhao, G.; Ma, Y.; Pan, Z.; Wu, R. A novel image encryption scheme based on pseudo-random coupled map lattices with hybrid elementary cellular automata. Inf. Sci. 2022, 593, 121–154. [Google Scholar] [CrossRef]
- Wolfram, S.; Mallinckrodt, A.J. Cellular Automata and Complexity. Comput. Phys. 1995, 9, 55. [Google Scholar] [CrossRef]
- Wolfram, Stephen, Cellular automata as models of complexity. Nature 1998, 311, 419–424.
- Li, W.; Packard, N. The Structure of the Elementary Cellular Automata Rule Space. Complex Syst. 2000, 4, 281–297. [Google Scholar]
- Subhrajyoti, D.; Bhuyan, B. Performance analysis of current lightweight stream ciphers for constrained environments. Sādhanā 2020, 45, 256. [Google Scholar]
- Feng, G.L.; Tzeng, K.K. A generalization of the Berlekamp-Massey algorithm for multisequence shift-register synthesis with applications to decoding cyclic codes. IEEE Trans. Inf. Theory 1991, 37, 1274–1287. [Google Scholar] [CrossRef]













| 111 | 110 | 101 | 100 | 011 | 010 | 001 | 000 | |
| 1 | 0 | 1 | 1 | 0 | 1 | 1 | 1 |
| Class | Rule Number |
|---|---|
| Global chaotic | 18(183), 22(151), 30(86, 135, 149), 45(75, 89, 101), 60(102, 153, 195), 90(165), 105, 106(120, 169, 225), 129(126), 137(110, 124, 193), 146(182), 150, 161(122) |
| No. | 1 | 2 | 3 | 4 | 5 | 6 | 7 | 8 | 9 |
| Rule | 18 | 183 | 22 | 151 | 30 | 86 | 135 | 149 | 45 |
| No. | 10 | 11 | 12 | 13 | 14 | 15 | 16 | 17 | 18 |
| Rule | 75 | 89 | 101 | 60 | 102 | 153 | 195 | 90 | 165 |
| No. | 19 | 20 | 21 | 22 | 23 | 24 | 25 | 26 | 27 |
| Rule | 105 | 106 | 120 | 169 | 225 | 129 | 126 | 137 | 110 |
| No. | 28 | 29 | 30 | 31 | 32 | 33 | 34 | ||
| Rule | 193 | 146 | 182 | 150 | 161 | 122 | 193 |
| rm | 18 | 183 | 22 | 151 | 30 | 86 | 135 | 149 | 45 |
| r1 | 60 | 105 | 60 | 135 | 105 | 105 | 165 | 165 | 60 |
| r0 | 105 | 60 | 165 | 169 | 90 | 90 | 105 | 105 | 105 |
| IE | 7.86 | 7.86 | 7.52 | 5.34 | 7.89 | 7.89 | 7.89 | 7.89 | 7.95 |
| rm | 75 | 89 | 101 | 60 | 102 | 153 | 195 | 90 | 165 |
| r1 | 150 | 102 | 90 | 102 | 75 | 86 | 135 | 89 | 30 |
| r0 | 101 | 89 | 153 | 86 | 149 | 151 | 150 | 86 | 135 |
| IE | 7.51 | 7.83 | 7.74 | 5.34 | 5.37 | 5.34 | 5.34 | 5.33 | 5.34 |
| rm | 105 | 106 | 120 | 169 | 225 | 129 | 126 | 137 | 110 |
| r1 | 90 | 60 | 102 | 165 | 165 | 169 | 105 | 150 | 195 |
| r0 | 105 | 165 | 165 | 60 | 86 | 105 | 120 | 60 | 105 |
| IE | 7.78 | 7.58 | 7.58 | 7.58 | 7.00 | 7.27 | 7.27 | 7.84 | 7.84 |
| rm | 124 | 193 | 146 | 182 | 150 | 161 | 122 | ||
| r1 | 102 | 105 | 102 | 105 | 153 | 106 | 105 | ||
| r0 | 105 | 153 | 105 | 60 | 105 | 105 | 120 | ||
| IE | 7.84 | 7.84 | 7.86 | 7.86 | 7.40 | 7.27 | 7.27 |
| No. | 1 | 2 | 3 | 4 | 5 | 6 | 7 | 8 | 9 | 10 | 11 | 12 | 13 | 14 |
| rm | 22 | 30 | 86 | 135 | 149 | 45 | 75 | 89 | 101 | 60 | 195 | 90 | 165 | 105 |
| r1 | 60 | 105 | 105 | 165 | 165 | 60 | 150 | 102 | 90 | 102 | 135 | 89 | 30 | 90 |
| r0 | 165 | 90 | 90 | 105 | 105 | 105 | 101 | 89 | 153 | 86 | 150 | 86 | 135 | 105 |
| No. | 15 | 16 | 17 | 18 | 19 | 20 | 21 | 22 | 23 | 24 | 25 | 26 | 27 | |
| rm | 106 | 120 | 169 | 225 | 129 | 126 | 137 | 110 | 124 | 193 | 150 | 161 | 122 | |
| r1 | 60 | 102 | 165 | 165 | 169 | 105 | 150 | 195 | 102 | 105 | 153 | 106 | 105 | |
| r0 | 165 | 165 | 60 | 86 | 105 | 120 | 60 | 105 | 105 | 153 | 105 | 105 | 120 |
| No. | The Index of the Sub-Test in the Test Suite SP800-22 | ||||||||||||||
|---|---|---|---|---|---|---|---|---|---|---|---|---|---|---|---|
| 1 | 2 | 3 | 4 | 5 | 6 | 7 | 8 | 9 | 10 | 11 | 12 | 13 | 14 | 15 | |
| 1 | 125 | 126 | Pass | 128 | 126 | 127 | 127 | Pass | 127 | 126 | 127 | Pass | Pass | Pass | 128 |
| 2 | 126 | 128 | Pass | 127 | 127 | 126 | 124 | Pass | 126 | 127 | 127 | Pass | Pass | Pass | 128 |
| 3 | 127 | 128 | Pass | 127 | 127 | 126 | 128 | Pass | 128 | 127 | 125 | Pass | Pass | Pass | 125 |
| 4 | 128 | 127 | Pass | 128 | 126 | 127 | 128 | Pass | 128 | 126 | 128 | Pass | Pass | Pass | 125 |
| 5 | 128 | 124 | Pass | 126 | 126 | 127 | 126 | Pass | 128 | 126 | 127 | Pass | Pass | Pass | 127 |
| 6 | 125 | 127 | Pass | 126 | 127 | 127 | 126 | Pass | 125 | 125 | 126 | Pass | Pass | Pass | 128 |
| 7 | 127 | 125 | Pass | 126 | 126 | 124 | 128 | Pass | 123 | 126 | 127 | Pass | Pass | Pass | 126 |
| 8 | 128 | 126 | Pass | 128 | 128 | 128 | 125 | Pass | 125 | 128 | 126 | Pass | Pass | Pass | 128 |
| 9 | 128 | 128 | Pass | 125 | 127 | 128 | 127 | Pass | 126 | 128 | 125 | Pass | Pass | Pass | 125 |
| 10 | 128 | 126 | Pass | 127 | 125 | 125 | 126 | Pass | 123 | 126 | 127 | Pass | Pass | Pass | 127 |
| 11 | 127 | 128 | Pass | 128 | 128 | 126 | 127 | Pass | 127 | 127 | 128 | Pass | Pass | Pass | 127 |
| 12 | 126 | 127 | Pass | 124 | 128 | 123 | 126 | Pass | 125 | 127 | 127 | Pass | Pass | Pass | 127 |
| 13 | 123 | 128 | Pass | 125 | 126 | 125 | 127 | Pass | 127 | 127 | 128 | Pass | Pass | Pass | 127 |
| 14 | 127 | 127 | Pass | 128 | 127 | 128 | 127 | Pass | 125 | 127 | 127 | Pass | Pass | Pass | 126 |
| 15 | 128 | 127 | Pass | 124 | 126 | 126 | 125 | Pass | 127 | 127 | 127 | Pass | Pass | Pass | 127 |
| 16 | 127 | 126 | Pass | 125 | 127 | 128 | 124 | Pass | 128 | 128 | 127 | Pass | Pass | Pass | 126 |
| 17 | 125 | 128 | Pass | 126 | 128 | 128 | 125 | Pass | 126 | 127 | 127 | Pass | Pass | Pass | 128 |
| 18 | 127 | 127 | Pass | 128 | 126 | 126 | 128 | Pass | 127 | 127 | 127 | Pass | Pass | Pass | 126 |
| 19 | 128 | 127 | Pass | 128 | 128 | 126 | 126 | Pass | 127 | 128 | 125 | Pass | Pass | Pass | 127 |
| 20 | 128 | 127 | Pass | 126 | 127 | 128 | 126 | Pass | 126 | 127 | 128 | Pass | Pass | Pass | 128 |
| 21 | 128 | 128 | Pass | 127 | 125 | 127 | 126 | Pass | 128 | 124 | 127 | Pass | Pass | Pass | 125 |
| 22 | 128 | 128 | Pass | 127 | 127 | 128 | 128 | Pass | 127 | 126 | 127 | Pass | Pass | Pass | 125 |
| 23 | 128 | 128 | Pass | 126 | 128 | 127 | 127 | Pass | 125 | 127 | 126 | Pass | Pass | Pass | 128 |
| 24 | 126 | 125 | Pass | 128 | 124 | 127 | 128 | Pass | 126 | 127 | 128 | Pass | Pass | Pass | 127 |
| 25 | 128 | 126 | Pass | 125 | 128 | 126 | 127 | Pass | 126 | 127 | 128 | Pass | Pass | Pass | 125 |
| 26 | 126 | 126 | Pass | 125 | 126 | 128 | 127 | Pass | 127 | 127 | 126 | Pass | Pass | Pass | 128 |
| 27 | 127 | 127 | Pass | 126 | 128 | 127 | 125 | Pass | 127 | 125 | 128 | Pass | Pass | Pass | 128 |
| 1. Frequency | 2. Block frequency | 3. Cumulative sums * | |||||||||||||
| 4. Runs | 5. Longest runs | 6. Rank | |||||||||||||
| 7. FFT | 8. Non-overlapping template * | 9. Overlapping template | |||||||||||||
| 10. Universal | 11. Approximate entropy | 12. Random excursions * | |||||||||||||
| 13. Random excursions variant * | 14. Serial * | 15. Linear complexity | |||||||||||||
| Test | Lizard | Fruit | Plantlet | Sprout | Grain V1 | Espresso | Proposed |
|---|---|---|---|---|---|---|---|
| Frequency | 0.350485 | 0.122325 | 0.924076 | 0.032923 | 0.122325 | 0.304126 | 0.551026 |
| Block frequency | 0.008879 | 0.350485 | 0.637119 | 0.897763 | 0.455937 | 0.739918 | 0.602458 |
| Cumulative sums | 0.350485 | 0.739918 | 0.514124 | 0.401199 | 0.122325 | 0.162606 | 0.232760 |
| Runs | 0.534146 | 0.911413 | 0.181557 | 0.574903 | 0.834308 | 0.834308 | 0.534146 |
| Longest runs | 0.350485 | 0.574903 | 0.739918 | 0.637119 | 0.883171 | 0.739918 | 0.242986 |
| Rank | 0.534146 | 0.213309 | 0.000070 | 0.000233 | 0.011791 | 0.010988 | 0.078086 |
| FFT | 0.991468 | 0.739918 | 0.004301 | 0.171867 | 0.045675 | 0.171867 | 0.468595 |
| Non-overlapping template | 0.550133 | 0.474986 | 0.657933 | 0.236810 | 0.616305 | 0.455937 | 0.637119 |
| Overlapping template | 0.350485 | 0.350485 | 0.851383 | 0.289667 | 0.236810 | 0.108791 | 0.819544 |
| Universal | 0.000621 | 0.000513 | 0.015826 | 0.000079 | 0.007315 | 0.002347 | 0.931952 |
| Approximate entropy | 0.350485 | 0.739918 | 0.191687 | 0.213309 | 0.439621 | 0.426931 | 0.392456 |
| Random excursions * | 0.028181 | 0.179539 | 0.080519 | 0.090936 | 0.012071 | 0.139921 | 0.031064 |
| Random excursions variant * | 0.031894 | 0.016717 | 0.041890 | 0.021505 | 0.077290 | 0.017912 | 0.117948 |
| Serial * | 0.137154 | 0.12911 | 0.262249 | 0.554420 | 0.000474 | 0.171867 | 0.105618 |
| Linear complexity | 0.035174 | 0.031254 | 0.383827 | 0.637119 | 0.040108 | 0.045675 | 0.468595 |
| Index of the Chaotic Rule Group | p-Value (>0.01) | PASS or NOT |
|---|---|---|
| 1 | 0.9658 | PASS |
| 2 | 0.7527 | PASS |
| 3 | 0.0208 | PASS |
| 4 | 0.1732 | PASS |
| 5 | 0.1690 | PASS |
| 6 | 0.0159 | PASS |
| 7 | 0.7002 | PASS |
| 8 | 0.8940 | PASS |
| 9 | 0.8162 | PASS |
| 10 | 0.6187 | PASS |
| 11 | 0.3112 | PASS |
| 12 | 0.2944 | PASS |
| 13 | 0.9400 | PASS |
| 14 | 0.2361 | PASS |
| 15 | 0.8033 | PASS |
| 16 | 0.8391 | PASS |
| 17 | 0.8818 | PASS |
| 18 | 0.7311 | PASS |
| 19 | 0.7231 | PASS |
| 20 | 0.7743 | PASS |
| 21 | 0.2715 | PASS |
| 22 | 0.0440 | PASS |
| 23 | 0.5938 | PASS |
| 24 | 0.4436 | PASS |
| 25 | 0.0178 | PASS |
| 26 | 0.9695 | PASS |
| 27 | 0.4292 | PASS |
| 512 bits | p-value | 0.9572 | 0.9009 | 0.9427 | 0.9570 | 0.9557 |
| Pass or Not | Pass | Pass | Pass | Pass | Pass | |
| 256 bits | p-value | 0.9629 | 0.9576 | 0.9545 | 0.9754 | 0.9411 |
| Pass or Not | Pass | Pass | Pass | Pass | Pass |
| Sx,y−1, Sx,y, Sx,y+1 | 111 | 110 | 101 | 100 | 011 | 010 | 001 | 000 |
|---|---|---|---|---|---|---|---|---|
Disclaimer/Publisher’s Note: The statements, opinions and data contained in all publications are solely those of the individual author(s) and contributor(s) and not of MDPI and/or the editor(s). MDPI and/or the editor(s) disclaim responsibility for any injury to people or property resulting from any ideas, methods, instructions or products referred to in the content. |
© 2024 by the authors. Licensee MDPI, Basel, Switzerland. This article is an open access article distributed under the terms and conditions of the Creative Commons Attribution (CC BY) license (https://creativecommons.org/licenses/by/4.0/).
Share and Cite
Du, P.; Dong, Y.; Cui, Q.; Li, H. A Novel Hybrid Elementary Cellular Automata and Its Application in a Stream Cipher. Appl. Sci. 2024, 14, 9719. https://doi.org/10.3390/app14219719
Du P, Dong Y, Cui Q, Li H. A Novel Hybrid Elementary Cellular Automata and Its Application in a Stream Cipher. Applied Sciences. 2024; 14(21):9719. https://doi.org/10.3390/app14219719
Chicago/Turabian StyleDu, Peng, Youheng Dong, Qi Cui, and Hui Li. 2024. "A Novel Hybrid Elementary Cellular Automata and Its Application in a Stream Cipher" Applied Sciences 14, no. 21: 9719. https://doi.org/10.3390/app14219719
APA StyleDu, P., Dong, Y., Cui, Q., & Li, H. (2024). A Novel Hybrid Elementary Cellular Automata and Its Application in a Stream Cipher. Applied Sciences, 14(21), 9719. https://doi.org/10.3390/app14219719

