The Influence of Ionizing Radiation on Fluoride Release from Restorative Dental Materials: A Comparative In Vitro Study
Abstract
1. Introduction
2. Materials and Methods
2.1. Sample Preparation and Handling
2.2. Irradiation Procedure
2.3. Fluoride Measurement
2.4. Sample Size Calculation
2.5. Statistical Analysis
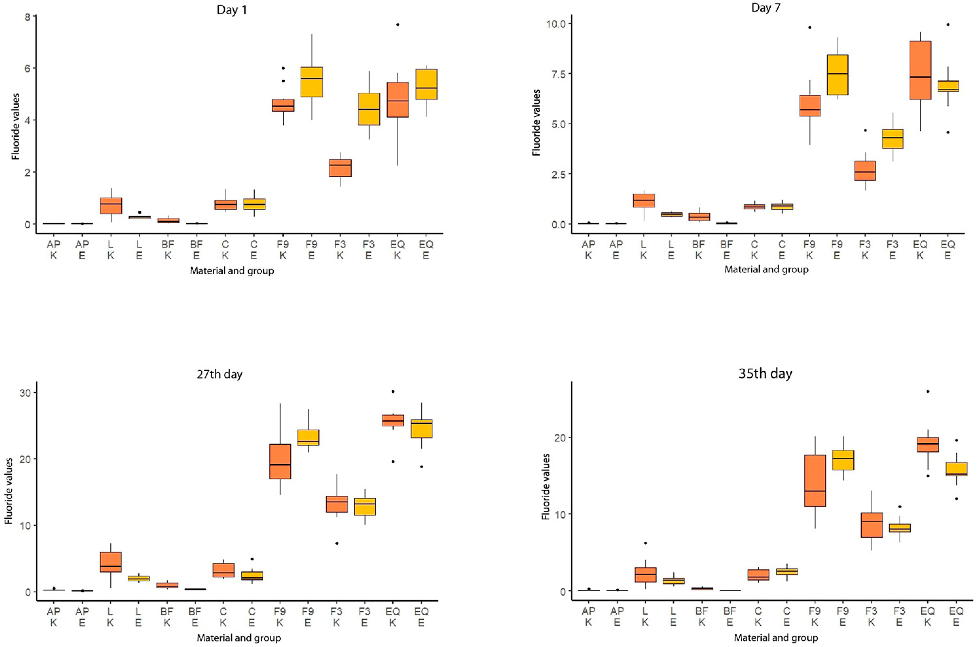
3. Results
Analysis of the Effect of Ionizing Radiation—Comparison of Experimental and Control Groups
4. Discussion
5. Conclusions
Author Contributions
Funding
Institutional Review Board Statement
Informed Consent Statement
Data Availability Statement
Conflicts of Interest
References
- Sung, H.; Ferlay, J.; Siegel, R.L.; Laversanne, M.; Soerjomataram, I.; Jemal, A. Global Cancer Statistics 2020: GLOBOCAN Estimates of Incidence and Mortality Worldwide for 36 Cancers in 185 Countries. CA Cancer J. Clin. 2021, 71, 209–249. [Google Scholar] [CrossRef] [PubMed]
- Deng, J.; Jackson, L.; Epstein, J.B.; Migliorati, C.A.; Murphy, B.A. Dental demineralization and caries in patients with head and neck cancer. Oral Oncol. 2015, 51, 824–831. [Google Scholar] [CrossRef] [PubMed]
- Weyant, R.J.; Tracy, S.L.; Anselmo, T.T.; Beltrán-Aguilar, E.D.; Donly, K.J.; Frese, W.A. Topical fluoride for caries prevention: Executive summary of the updated clinical recommendations and supporting systematic review. J. Am. Dent. Assoc. 2013, 144, 1279–1291. [Google Scholar] [CrossRef]
- Toumba, K.J.; Twetman, S.; Splieth, C.; Parnell, C.; van Loveren, C.; Lygidakis, N.A. Guidelines on the use of fluoride for caries prevention in children: An updated EAPD policy document. Eur. Arch. Paediatr. Dent. 2019, 20, 507–516. [Google Scholar] [CrossRef]
- Krol, D.M.; Whelan, K. Maintaining and Improving the Oral Health of Young Children. Pediatrics 2023, 151, e2022060417. [Google Scholar] [CrossRef]
- Elad, S.; Cheng, K.K.F.; Lalla, R.V.; Yarom, N.; Hong, C.; Logan, R.M. MASCC/ISOO clinical practice guidelines for the management of mucositis secondary to cancer therapy. Cancer 2020, 126, 4423–4431. [Google Scholar] [CrossRef]
- Mercadante, V.; Jensen, S.B.; Smith, D.K.; Bohlke, K.; Bauman, J.; Brennan, M.T. Salivary Gland Hypofunction and/or Xerostomia Induced by Nonsurgical Cancer Therapies: ISOO/MASCC/ASCO Guideline. J. Clin. Oncol. 2021, 39, 2825–2843. [Google Scholar] [CrossRef] [PubMed]
- Ludwig, E. Zahnärztliche Betreuung bei Tumortherapie der Kopf-Hals-Region[nl]—Teil 1: Radiatio. Laryngo-Rhino-Otol. 2008, 87, 885–901. [Google Scholar] [CrossRef]
- McCaul, L.K. Oral and dental management for head and neck cancer patients treated by chemotherapy and radiotherapy. Dent. Update 2012, 39, 135–138, 140. [Google Scholar] [CrossRef]
- Argiris, A.; Karamouzis, M.V.; Raben, D.; Ferris, R.L. Head and Neck Cancer. Lancet 2008, 371, 1695–1709. [Google Scholar] [CrossRef]
- Lieshout, H.F.J.; Bots, C.P. The Effect of Radiotherapy on Dental Hard Tissue—A Systematic Review. Clin. Oral Investig. 2014, 18, 17–24. [Google Scholar] [CrossRef]
- Palmier, N.R.; Madrid Troconis, C.C.; Normando, A.G.C.; Guerra, E.N.S.; Araújo, A.L.D.; Arboleda, L.P.A.; Fonsêca, J.M.; de Pauli Paglioni, M.; Gomes-Silva, W.; Vechiato Filho, A.J.; et al. Impact of Head and Neck Radiotherapy on the Longevity of Dental Adhesive Restorations: A Systematic Review and Meta-Analysis. J. Prosthet. Dent. 2021, 128, 886–896. [Google Scholar] [CrossRef] [PubMed]
- Muñoz, M.A.; Garín-Correa, C.; González-Arriagada, W.; Quintela Davila, X.; Häberle, P.; Bedran-Russo, A.; Luque-Martínez, I. The Adverse Effects of Radiotherapy on the Structure of Dental Hard Tissues and Longevity of Dental Restoration. Int. J. Radiat. Biol. 2020, 96, 910–918. [Google Scholar] [CrossRef]
- Arrifin, A.; Heidari, E.; Burke, M.; Fenlon, M.; Banerjee, A. The Effect of Radiotherapy for Treatment of Head and Neck Cancer on Oral Flora and Saliva. Oral Health Prev. Dent. 2018, 16, 425–429. [Google Scholar]
- Catelan, A.; Padilha, A.C.S.; Salzedas, L.M.P.; Coclete, G.A. Effect of Radiotherapy on the Radiopacity and Flexural Strength of a Composite Resin. Acta Odontol Latinoam 2008, 21, 159–162. [Google Scholar] [PubMed]
- Curtis, P.M.; Farman, A.G.; von Fraunhofer, J.A. Effects of Gamma Radiation on the in Vitro Wear of Composite Restorative Materials. J. Dent. 1991, 19, 241–244. [Google Scholar] [CrossRef] [PubMed]
- Hegde, M.N.; Hegde, N.D.; Kumari, S.N.; Sanjeev, G. Priya Effect of Ionising Radiation on Micro Hardness Property of Restorative Materials. J. Health Allied Sci. NU 2016, 6, 57–61. [Google Scholar]
- Brandeburski, S.B.N.; Della Bona, A. Effect of Ionizing Radiation on Properties of Restorative Materials. Dent. Mater. 2018, 34, 221–227. [Google Scholar] [CrossRef]
- Taher, R.M.; Moharam, L.M.; Amin, A.E.; Zaazou, M.H.; El-Askary, F.S.; Ibrahim, M.N. The Effect of Radiation Exposure and Storage Time on the Degree of Conversion and Flexural Strength of Different Resin Composites. Bull. Natl. Res. Cent. 2021, 45, 146. [Google Scholar] [CrossRef]
- Eltohamy, S.; Kandil, M.; El Refai, D. Head and Neck Cancer Radiotherapy Effect on Some Properties of Different Dental Restorative Materials: An in Vitro Study. J. Res. Med. Dent. Sci. 2020, 8, 153–161. [Google Scholar]
- Viero, F.L.; Boscolo, F.N.; Demarco, F.F.; Faot, F. Effect of Radiotherapy on the Hardness and Surface Roughness of Two Composite Resins. Gen. Dent. 2011, 59, e168–e172. [Google Scholar] [PubMed]
- Tiskaya, M.; Al-eesa, N.A.; Wong, F.S.L.; Hill, R.G. Characterization of the Bioactivity of Two Commercial Composites. Dent. Mater. 2019, 35, 1757–1768. [Google Scholar] [CrossRef] [PubMed]
- Miletic, I.; Baraba, A.; Basso, M.; Pulcini, M.G.; Markovic, D.; Peric, T.; Ozkaya, C.A.; Turkun, L.S. Clinical Performance of a Glass-Hybrid System Compared with a Resin Composite in the Posterior Region: Results of a 2-Year Multicenter Study. J. Adhes Dent. 2020, 22, 235–247. [Google Scholar] [PubMed]
- Yap, A.U.; Wang, X.; Wu, X.; Chung, S.M. Comparative hardness and modulus of tooth-colored restoratives: A depth-sensing microindentation study. Biomaterials 2004, 25, 2179–2185. [Google Scholar] [CrossRef]
- Creanor, S.L.; Carruthers, L.M.; Saunders, W.P.; Strang, R.; Foye, R.H. Fluoride uptake and release characteristics of glass ionomer cements. Caries Res. 1994, 28, 322–328. [Google Scholar] [CrossRef]
- Forsten, L. Short- and long-term fluoride release from glass ionomers and other fluoridecontaining filling materials in vitro. Scand. J. Dent. Res. 1990, 98, 179–185. [Google Scholar]
- Haveman, C.W.; Summitt, J.B.; Burgess, J.O.; Carlson, K. Three restorative materials and topical fluoride gel used in xerostomic patients: A clinical comparison. J. Am. Dent. Assoc. 2003, 134, 177–184. [Google Scholar] [CrossRef][Green Version]
- Garoushi, S.; Vallittu, P.K.; Lassila, L. Characterization of fluoride releasing restorative dental materials. Dent. Mater. J. 2018, 37, 293–300. [Google Scholar] [CrossRef] [PubMed]
- Shiozawa, M.; Takahashi, H.; Iwasaki, N. Fluoride release and mechanical properties after 1-year water storage of recent restorative glass ionomer cements. Clin. Oral Investig. 2014, 18, 1053–1060. [Google Scholar] [CrossRef]
- Saxena, S.; Tiwari, S. Energy dispersive X-ray microanalysis, fluoride release, and antimicrobial properties of glass ionomer cements indicated for atraumatic restorative treatment. J. Int. Soc. Prev. Community Dent. 2016, 6, 366–372. [Google Scholar] [CrossRef]
- Bayrak, G.D.; Sandalli, N.; Selvi-Kuvvetli, S.; Topcuoglu, N.; Kulekci, G. Effect of two different polishing systems on fluoride release, surface roughness and bacterial adhesion of newly developed restorative materials. J. Esthet. Restor. Dent. 2017, 29, 424–434. [Google Scholar] [CrossRef] [PubMed]
- Tiwari, S.; Kenchappa, M.; Bhayya, D.; Gupta, S.; Saxena, S.; Satyarth, S. Antibacterial Activity and Fluoride Release of Glass-Ionomer Cement, Compomer and Zirconia Reinforced Glass-Ionomer Cement. J. Clin. Diagn. Res. 2016, 10, ZC90–ZC93. [Google Scholar] [CrossRef] [PubMed]
- Reichmanis, E.; Frank, C.W.; O’Donnell, J.H. (Eds.) Irradiation of Polymeric Materials: Processes, Mechanisms, and Applications; ACS Symposium Series; American Chemical Society: Washington, DC, USA, 1993. [Google Scholar]
- Yesilyurt, C.; Bulucu, B.; Sezen, O.; Bulut, G.; Celik, D. Bond strengths of two conventional glass-ionomer cements to irradiated and non-irradiated dentin. Dent. Mater. J. 2008, 27, 695–701. [Google Scholar] [CrossRef] [PubMed][Green Version]
- Jingarwar, M.M.; Pathak, A.; Bajwa, N.K.; Sidhu, H.S. Quantitative assessment of fluoride release and recharge ability of different restorative materials in different media: An in vitro study. J. Clin. Diagn. Res. 2014, 8, ZC31–ZC34. [Google Scholar] [CrossRef]
- Mousavinasab, S.M.; Meyers, I. Fluoride release by glass ionomer cements, compomer and giomer. Dent. Res. J. 2009, 6, 75–81. [Google Scholar]
- Chen, R.; Han, Z.; Huang, Z.; Karki, J.; Wang, C.; Zhu, B. Antibacterial activity, cytotoxicity and mechanical behavior of nano-enhanced denture base resin with different kinds of inorganic antibacterial agents. Dent. Mater. J. 2017, 36, 693–699. [Google Scholar] [CrossRef]
- Dasgupta, S.; Saraswathi, M.V.; Somayaji, K.; Pentapati, K.C.; Shetty, P. Comparative evaluation of fluoride release and recharge potential of novel and traditional fluoride-releasing restorative materials: An in vitro study. J. Conserv. Dent. 2018, 21, 622–626. [Google Scholar]
- Itota, T.; Carrick, T.E.; Rusby, S.; Al-Naimi, O.T.; Yoshiyama, M.; McCabe, J.F. Determination of fluoride ions released from resin-based dental materials using ion-selective electrode and ion chromatograph. J. Dent. 2004, 32, 117–122. [Google Scholar] [CrossRef]
- Colceriu Burtea, L.; Prejmerean, C.; Prodan, D. New Pre-reacted Glass Containing Dental Composites (giomers) with Improved Fluoride Release and Biocompatibility. Materials 2019, 12, 4021. [Google Scholar] [CrossRef]
- Vermeersch, G.; Leloup, G.; Vreven, J. Fluoride release from glass-ionomer cements, compomers and resin composites. J. Oral Rehabil. 2001, 28, 26–32. [Google Scholar] [CrossRef]
- Par, M.; Attin, T.; Tarle, Z.; Tauböck, T.T. A New Customized Bioactive Glass Filler to Functionalize Resin Composites: Acid-Neutralizing Capability, Degree of Conversion, and Apatite Precipitation. J. Clin. Med. 2020, 9, 1173. [Google Scholar] [CrossRef] [PubMed]
- Ruengrungsom, C.; Burrow, M.F.; Parashos, P.; Palamara, J.E.A. Evaluation of F, Ca, and P release and microhardness of eleven ion-leaching restorative materials and the recharge efficacy using a new Ca/P containing fluoride varnish. J. Dent. 2020, 102, 103474. [Google Scholar] [CrossRef]
- Panpisut, P.; Toneluck, A. Monomer conversion, dimensional stability, biaxial flexural strength, and fluoride release of resin-based restorative material containing alkaline fillers. Dent. Mater. J. 2020, 39, 608–615. [Google Scholar] [CrossRef] [PubMed]
- Gupta, N.; Jaiswal, S.; Nikhil, V.; Gupta, S.; Jha, P.; Bansal, P. Comparison of fluoride ion release and alkalizing potential of a new bulk-fill alkasite. J. Conserv. Dent. 2019, 22, 296–299. [Google Scholar] [CrossRef]
- Singbal, K.; Shan, M.K.W.; Dutta, S.; Kacharaju, K.R. Cention N Compared to Other Contemporary Tooth-Colored Restorative Materials in Terms of Fluoride Ion Releasing Effcacy: Validation of a Novel Caries-Prevention-Initiative by the Ministry of Health, Malaysia. Biomed. Pharmacol. J. 2022, 15, 669–676. [Google Scholar] [CrossRef]
- Rifai, H.; Qasim, S.; Mahdi, S.; Lambert, M.J.; Zarazir, R.; Amenta, F. In-vitro evaluation of the shear bond strength and fluoride release of a new bioactive dental composite material. J. Clin. Exp. Dent. 2022, 14, e55–e63. [Google Scholar] [CrossRef]
- Hokii, Y.; Carey, C.; Heiss, M.; Joshi, G. Fluoride ion release/re-charge behavior of ion-releasing restorative materials. Dent. Mater. 2019, 35, 17–18. [Google Scholar] [CrossRef]
- Vicente, A.; Rodríguez-Lozano, F.J.; Martínez-Beneyto, Y.; Jaimez, M.; Guerrero-Gironés, J.; Ortiz-Ruiz, A.J. Biophysical and Fluoride Release Properties of a Resin Modifed Glass Ionomer Cement Enriched with Bioactive Glasses. Symmetry 2021, 13, 494. [Google Scholar] [CrossRef]
- Nicholson, J.W. Fluoride-releasing dental restorative materials: An update. Balk. J. Dent. Med. (BJDM) 2015, 18, 60–69. [Google Scholar] [CrossRef]
- Haugen, H.J.; Marovic, D.; Par, M.; Khai Le Thieu, M.; Reseland, J.E.; Johnsen, G.F. Bulk fill composites have similar performance to conventional dental composites. Int. J. Mol. Sci. 2020, 21, 5136. [Google Scholar] [CrossRef]



| Material | Type | Manufacturer | Composition | LOT |
|---|---|---|---|---|
| GC Equia Forte HT | Bulk-fill glass hybrid | GC Corp., Tokyo, Japan | Powder: fluoroaluminosilicate glass, polyacrylic Liquid: polybasic carboxylic acid, water | 230310B |
| Cention N | non-adhesive bulk-fill resinous material | Ivoclar AG; Schaan, Liechtenstein | Powder: barium aluminum silicate glass, ytterbium trifluoride, isofiller, calcium barium, aluminum fluorosilicate glass, calcium fluoro, silicate glass Liquid: urethane dimethacrylate, tricyclodecandimethanol dimethacrylate, tetramethylxylylene diurethane dimethacrylate, polyethylene glycol 400 dimethacrylate, ivocerin, hydroxyperoxide | ZL08SP |
| Fuji IX | Conventional glass ionomer material | GC Corp., Tokyo, Japan | Liquid: distilled water, polyacrylic acid Powder: fluoroaluminosilicate glass | 230105A |
| Fuji Triage | Conventional glass ionomer material | GC Corp., Tokyo, Japan | Glass ionomer, fluoroaluminosilicate glass, polyacrylic acid, distilled water, polybase carboxylic acid | 2206031 |
| Activa Presto | Sculptable resin composite | (Pulpdent, Watertown, MA, USA) | Blend of diurethane and other methacrylates with modified polyacrylic acid, silica, amorphous, sodium fluoride | 220419 |
| Luminos | Sculptable resin composite | Luminos (Unodent, Manchester, UK) | Bis-GMA/TEGDMA resin, multifunctional filler (including micronized fluoroboroaluminosilicate glass) | 20250225 |
| Beautifil II | Bulk resin composite | (Shofu, Bunkyo, Japan) | BISGMA, TEGDMA, aluminofluoro-borosilicate glass filler, aluminum oxide, silica, prereacted glass ionomer filler, camphoroquinone | 032266 |
| Day | Material | ||||||
|---|---|---|---|---|---|---|---|
| AP | L | BF | C | F9 | F3 | EQ | |
| 1. | 7.461 *** [5.256, 10.592] | 5.803 *** [3.089, 10.903] | 1.339 [0.692, 2.593] | 0.743 [0.554, 0.995] | 1.234 *** [1.098, 1.387] | 1.980 *** [1.632, 2.402] | 1.035 [0.854, 1.253] |
| 2. | 0.263 ** [0.110, 0.628] | 2.081 [0.387, 11.181] | 0.464 ** [0.296, 0.727] | 1.131 [0.738, 1.734] | 1.456 *** [1.260, 1.682] | 2.313 *** [1.902, 2.813] | 0.860 [0.712, 1.039] |
| 3. | 2.097 [0.351, 12.536] | 1.560 [0.352, 6.91] | 1.027 [0.392, 2.692] | 1.135 [0.800, 1.611] | 1.165 *** [1.080, 1.256] | 1.900 *** [1.621, 2.227] | 0.944 [0.775, 1.149] |
| 4. | 1.009 [0.478, 2.129] | 1.355 [0.688, 2.670] | 0.343 *** [0.213, 0.554] | 0.995 [0.719, 1.376] | 2.114 *** [1.785, 2.505] | 3.279 *** [2.258, 4.76] | 1.419 ** [1.124, 1.792] |
| 5. | 0.381 [0.179, 0.812] | 0.595 [0.335, 1.058] | 0.131 *** [0.080, 0.216] | 0.956 [0.738, 1.238] | 2.408 ** [1.349, 4.298] | 2.981 *** [2.455, 3.619] | 1.196 [0.946, 1.512] |
| 6. | 0.193 *** [0.140, 0.266] | 0.324 *** [0.195, 0.539] | 0.061 *** [0.044, 0.084] | 0.685 ** [0.536, 0.876] | 1.159 [0.921, 1.459] | 1.316 [1.067, 1.622] | 0.877 [0.683, 1.126] |
| 7. | 0.569 *** [0.420, 0.77] | 0.532 ** [0.345, 0.819] | 0.139 *** [0.097, 0.199] | 1.013 [0.809, 1.267] | 1.268 [1.046, 1.537] | 1.626 *** [1.292, 2.046] | 0.938 [0.783, 1.124] |
| 8. | 0.462 *** [0.347, 0.614] | 0.413 *** [0.268, 0.637] | 0.140 *** [0.104, 0.189] | 0.983 [0.687, 1.408] | 0.918 [0.761, 1.108] | 1.249 [1.003, 1.555] | 0.754 *** [0.664, 0.857] |
| 9. | 0.475 *** [0.361, 0.625] | 0.455 ** [0.274, 0.755] | 0.201 *** [0.143, 0.283] | 0.874 [0.623, 1.226] | 1.239 [0.996, 1.54] | 1.917 *** [1.429, 2.571] | 1.077 [0.903, 1.283] |
| 10. | 0.728 [0.552, 0.959] | 0.574 [0.333, 0.99] | 0.234 *** [0.147, 0.371] | 0.919 [0.661, 1.277] | 1.190 [1.018, 1.392] | 2.041 *** [1.661, 2.510] | 1.139 [0.911, 1.422] |
| 21. | 0.669 ** [0.514, 0.871] | 0.604 [0.386, 0.945] | 0.377 *** [0.270, 0.528] | 0.745 [0.546, 1.016] | 1.193 [1.029, 1.383] | 0.976 [0.808, 1.179] | 0.957 [0.850, 1.079] |
| 35. | 0.544 *** [0.415, 0.713] | 0.799 [0.399, 1.598] | 0.335 *** [0.196, 0.573] | 1.241 [0.913, 1.687] | 1.264 [1.055, 1.513] | 0.953 [0.777, 1.168] | 0.815 [0.693, 0.959] |
| Day | Group | Material | ||||||
|---|---|---|---|---|---|---|---|---|
| AP | L | BF | C | F9 | F3 | EQ | ||
| 1. | K | 0.353 A [0.276, 0.452] | 0.110 B [0.070, 0.171] | 0.100 B [0.062, 0.159] | 1.083 C [0.881, 1.332] | 47.394 D [43.632, 51.480] | 14.020 F [12.231, 16.072] | 51.070 D [44.598, 58.487] |
| EKS | 2.635 A [2.056, 3.376] | 0.636 B [0.407, 0.994] | 0.133 C [0.084, 0.213] | 0.804 B [0.654, 0.989] | 58.498 D [53.855, 63.548] | 27.757 E [24.216, 31.82] | 52.847 D [46.15, 60.522] | |
| p < 0.001 | p < 0.001 | NS | NS | p < 0.001 | p < 0.001 | NS | ||
| 2. | K | 0.295 A [0.159, 0.545] | 0.605 A, B, C [0.184, 1.985] | 0.853 B [0.621, 1.172] | 2.294 C [1.696, 3.104] | 14.318 D [12.928, 15.857] | 4.157 E [3.619, 4.774] | 21.221 F [18.567, 24.254] |
| EKS | 0.078 A [0.042, 0.143] | 1.258 B, C [0.383, 4.131] | 0.396 B [0.288, 0.544] | 2.595 C [1.918, 3.51] | 20.847 D [18.825, 23.088] | 9.614 E [8.37, 11.042] | 18.258 F [15.975, 20.870] | |
| p = 0.046 | NS | p = 0.024 | NS | p < 0.001 | p < 0.001 | NS | ||
| 3. | K | 0.193 A [0.054, 0.682] | 1.491 A, B [0.521, 4.272] | 0.557 A [0.282, 1.101] | 2.665 B [2.081, 3.414] | 20.124 C [19.075, 21.23] | 6.903 D [6.171, 7.724] | 24.167 C [21.025, 27.782] |
| EKS | 0.404 A [0.114, 1.431] | 2.326 A, B [0.812, 6.663] | 0.573 A [0.29, 1.132] | 3.026 B [2.362, 3.875] | 23.444 C [22.222, 24.732] | 13.120 D [11.726, 14.677] | 22.810 C [19.842, 26.219] | |
| NS | NS | NS | NS | p < 0.001 | p < 0.001 | NS | ||
| 4. | K | 0.075 A [0.044, 0.126] | 0.767 B, C [0.475, 1.239] | 0.381 B [0.272, 0.534] | 1.424 C [1.132, 1.791] | 6.282 D [5.572, 7.082] | 2.359 E [1.812, 3.07] | 7.918 D [6.713, 9.339] |
| EKS | 0.075 A [0.044, 0.128] | 1.039 B [0.643, 1.678] | 0.131 A [0.093, 0.183] | 1.416 B [1.126, 1.781] | 13.282 C [11.781, 14.972] | 7.732 D [5.94, 10.065] | 11.235 C, D [9.525, 13.251] | |
| NS | NS | p < 0.001 | NS | p < 0.001 | p < 0.001 | p = 0.043 | ||
| 5. | K | 0.069 A [0.04, 0.117] | 1.003 B [0.668, 1.507] | 0.345 C [0.242, 0.491] | 1.110 B [0.924, 1.332] | 5.048 D [3.351, 7.606] | 2.746 E [2.395, 3.15] | 8.437 D [7.148, 9.958] |
| EKS | 0.026 A [0.015, 0.045] | 0.597 B [0.397, 0.897] | 0.045 A [0.032, 0.064] | 1.061 B [0.884, 1.274] | 12.153 C [8.067, 18.309] | 8.187 C [7.138, 9.391] | 10.089 C [8.546, 11.908] | |
| NS | NS | p < 0.001 | NS | p = 0.048 | p < 0.001 | NS | ||
| 6. | K | 0.048 A [0.038, 0.060] | 1.107 B [0.774, 1.586] | 0.373 C [0.297, 0.468] | 0.840 B [0.706, 0.999] | 5.761 D [4.897, 6.777] | 2.662 E [2.296, 3.088] | 5.966 D [4.999, 7.119] |
| EKS | 0.009 A [0.007, 0.012] | 0.359 B [0.251, 0.514] | 0.023 C [0.018, 0.028] | 0.575 B [0.483, 0.684] | 6.679 D [5.677, 7.857] | 3.503 E [3.02, 4.062] | 5.234 D [4.385, 6.245] | |
| p < 0.001 | p < 0.001 | p < 0.001 | p = 0.036 | NS | NS | NS | ||
| 7. | K | 0.039 A [0.031, 0.048] | 0.894 B [0.659, 1.213] | 0.315 C [0.245, 0.406] | 0.841 B [0.718, 0.986] | 5.894 D [5.145, 6.752] | 2.607 E [2.215, 3.067] | 7.232 D [6.365, 8.216] |
| EKS | 0.022 A [0.018, 0.027] | 0.475 B [0.35, 0.645] | 0.044 C [0.034, 0.057] | 0.852 D [0.727, 0.998] | 7.472 E [6.522, 8.561] | 4.238 F [3.602, 4.987] | 6.784 E [5.971, 7.708] | |
| p < 0.001 | p = 0.048 | p < 0.001 | NS | NS | p < 0.001 | NS | ||
| 8. | K | 0.107 A [0.087, 0.131] | 2.257 B [1.662, 3.066] | 0.785 C [0.636, 0.97] | 1.635 B [1.268, 2.108] | 13.348 D [11.687, 15.246] | 6.441 E [5.516, 7.522] | 15.102 D [13.802, 16.522] |
| EKS | 0.049 A [0.04, 0.06] | 0.932 B [0.686, 1.266] | 0.110 C [0.089, 0.136] | 1.608 D [1.247, 2.073] | 12.259 E [10.734, 14.002] | 8.045 F [6.89, 9.393] | 11.390 E [10.410, 12.462] | |
| p < 0.001 | p < 0.001 | p < 0.001 | NS | NS | NS | p < 0.001 | ||
| 9. | K | 0.028 A [0.023, 0.034] | 0.500 B [0.349, 0.716] | 0.133 C [0.105, 0.17] | 0.734 B [0.577, 0.932] | 4.523 D [3.878, 5.276] | 2.216 E [1.8, 2.727] | 5.678 D [5.016, 6.427] |
| EKS | 0.013 A [0.011, 0.016] | 0.227 B [0.159, 0.325] | 0.027 C [0.021, 0.034] | 0.641 D [0.504, 0.814] | 5.602 E, F [4.803, 6.535] | 4.248 E [3.451, 5.227] | 6.113 F [5.4, 6.92] | |
| p < 0.001 | p = 0.030 | p < 0.001 | NS | NS | p < 0.001 | NS | ||
| 10. | K | 0.020 A [0.016, 0.024] | 0.484 B [0.329, 0.711] | 0.094 C [0.068, 0.13] | 0.763 B [0.605, 0.963] | 4.605 D [4.122, 5.145] | 2.136 E [1.846, 2.472] | 4.586 D [3.918, 5.368] |
| EKS | 0.014 A [0.012, 0.018] | 0.278 B [0.189, 0.408] | 0.022 A [0.016, 0.03] | 0.701 C [0.555, 0.885] | 5.482 D [4.907, 6.125] | 4.361 D [3.769, 5.047] | 5.223 D [4.462, 6.112] | |
| NS | NS | p < 0.001 | NS | NS | p < 0.001 | NS | ||
| 21. | K | 0.200 A [0.166, 0.241] | 3.209 B [2.337, 4.407] | 0.848 C [0.669, 1.076] | 3.041 B [2.442, 3.787] | 19.570 D [17.625, 21.73] | 12.945 E [11.326, 14.795] | 25.439 F [23.38, 27.677] |
| EKS | 0.134 A [0.111, 0.161] | 1.937 B [1.411, 2.66] | 0.320 C [0.253, 0.406] | 2.266 B [1.82, 2.822] | 23.348 D [21.027, 25.925] | 12.632 E [11.052, 14.439] | 24.354 D [22.383, 26.496] | |
| p = 0.034 | NS | p < 0.001 | NS | NS | NS | NS | ||
| 35. | K | 0.111 A [0.092, 0.134] | 1.514 B [0.927, 2.471] | 0.235 C [0.161, 0.344] | 1.890 B [1.521, 2.349] | 13.476 D [11.863, 15.307] | 8.651 E [7.492, 9.99] | 19.045 F [16.979, 21.364] |
| EKS | 0.060 A [0.05, 0.073] | 1.209 B [0.741, 1.975] | 0.079 A [0.054, 0.115] | 2.346 B [1.888, 2.915] | 17.027 C [14.99, 19.34] | 8.244 D [7.139, 9.519] | 15.526 C [13.841, 17.414] | |
| p < 0.001 | NS | p < 0.001 | NS | NS | NS | NS | ||
Disclaimer/Publisher’s Note: The statements, opinions and data contained in all publications are solely those of the individual author(s) and contributor(s) and not of MDPI and/or the editor(s). MDPI and/or the editor(s) disclaim responsibility for any injury to people or property resulting from any ideas, methods, instructions or products referred to in the content. |
© 2024 by the authors. Licensee MDPI, Basel, Switzerland. This article is an open access article distributed under the terms and conditions of the Creative Commons Attribution (CC BY) license (https://creativecommons.org/licenses/by/4.0/).
Share and Cite
Čekalović Agović, S.; Klarić, E.; Ivanišević, A.; Soče, M.; Grego, T.; Radin Nujić, I. The Influence of Ionizing Radiation on Fluoride Release from Restorative Dental Materials: A Comparative In Vitro Study. Appl. Sci. 2024, 14, 9701. https://doi.org/10.3390/app14219701
Čekalović Agović S, Klarić E, Ivanišević A, Soče M, Grego T, Radin Nujić I. The Influence of Ionizing Radiation on Fluoride Release from Restorative Dental Materials: A Comparative In Vitro Study. Applied Sciences. 2024; 14(21):9701. https://doi.org/10.3390/app14219701
Chicago/Turabian StyleČekalović Agović, Sara, Eva Klarić, Ana Ivanišević, Majana Soče, Timor Grego, and Irena Radin Nujić. 2024. "The Influence of Ionizing Radiation on Fluoride Release from Restorative Dental Materials: A Comparative In Vitro Study" Applied Sciences 14, no. 21: 9701. https://doi.org/10.3390/app14219701
APA StyleČekalović Agović, S., Klarić, E., Ivanišević, A., Soče, M., Grego, T., & Radin Nujić, I. (2024). The Influence of Ionizing Radiation on Fluoride Release from Restorative Dental Materials: A Comparative In Vitro Study. Applied Sciences, 14(21), 9701. https://doi.org/10.3390/app14219701

