Enhancing Misinformation Detection in Spanish Language with Deep Learning: BERT and RoBERTa Transformer Models
Abstract
1. Introduction
- Creation of an extensive dataset of Spanish political news, automatically collected from reliable sources and enriched with generative artificial intelligence techniques.
 - Fine-tuning and evaluation of Transformer models, including BERT and its optimizations, for political fake news detection.
 - Comparison of our results with those from related works, highlighting the performance of our fine-tuned BERT and RoBERTa models for Spanish political content, a theme and language that are underexplored in the literature.
 
2. Related Work
3. Crafting a Spanish Fake News Dataset
3.1. Known Limitations and Desired Features
- Topic of the news. These datasets encompass a broad spectrum of topics extending beyond the Spanish political context, making it challenging to build models specialized in the detection of political fake news.
 - Format errors in news. Errors have been observed in the news articles, such as missing fields and incorrect categorizations, affecting the quality of the data. Additionally, current fake news datasets often lack temporal references, potentially leading to inaccurate and biased results in classification models since such references are indispensable for evaluating the credibility of news content. Significantly, data such as the current president’s name or statistics regarding unemployment and economic growth are inherently time sensitive. It is imperative that news articles within these datasets incorporate temporal markers to guarantee the seamless functioning of fake news detection models, ultimately improving the accuracy of misinformation identification.
 
- Our dataset should contain a significantly larger volume of news articles to address the issue of small size.
 - Furthermore, the new corpus should collect genuine news from reputable and trustworthy sources. In the absence of reliable equivalent sources for fake news, a procedure for generating fake news in a balanced manner becomes necessary. This should ensure a comprehensive and equitable dataset that reflects both real and fake information, thereby enhancing the model’s ability to accurately distinguish between them and, consequently, address misinformation effectively.
 - The new dataset should include news articles of varying lengths, allowing the model to process headlines of different extensions without compromising its effectiveness, while also addressing issues related to formatting errors in the news articles.
 - Regarding thematic diversity, the news articles in the new dataset should cover a variety of topics within the political context, such as economy, society, culture, among others. This will enable the model to verify information considering the vocabulary used in the articles, thus addressing the issue of excessively broad subject matter in current datasets.
 - Finally, it is crucial to ensure that the new dataset contains both subtle and significant differences between real and fake news articles. This is relevant because, as the similarity in language and structure between real and fake news intensifies, the task of differentiation becomes more challenging for the model. Therefore, the dataset creation process should meticulously highlight these nuanced distinctions. This approach empowers the model to more effectively identify even the most subtle variations between accurate information and misleading content, thereby enhancing its proficiency in combating misinformation.
 
3.2. Developing a Custom Dataset for Spanish Politics-Related Fake News
- ID: A unique identifier for each news item.
 - Label: A classification label designating each news item as either fake (0) or real (1).
 - Headline (Titulo in Figure 1): The headline of the news article.
 - Description (Descripcion in Figure 1): A more detailed description of the news article, providing additional insights into the subject matter, personalities, or events mentioned within.
 - Date (Fecha in Figure 1): The publication date of the news articles in DD/MM/YYYY format, commonly adopted in Spanish.
 
- Firstly, we employed web scraping to automatically extract real news from information published between April 2017 and June 2023. These data were gathered from the websites of reputable, independent media outlets that have established a strong reputation for reliability and impartiality. These outlets are known for avoiding political bias in their coverage of a wide range of topics, specifically those related to national politics. This process allowed us to collect authentic news articles that provide a balanced and accurate reflection of political events, which is critical for ensuring the credibility of the dataset (further details can be found in Section 3.2.1).
 - Secondly, as explained in Section 3.2.2, we leveraged public APIs provided by the National Institute of Statistics of Spain to generate a diverse set of fact-based news articles. These APIs gave access to a vast array of objective statistical data on a variety of politically relevant matters, such as economic performance, unemployment rates, healthcare metrics, and more. By using this wealth of data, we were able to produce news content that reflected real-world political and socio-economic trends, ensuring that our dataset maintained accuracy and relevance in terms of the key political issues that shape public discourse.
 - Finally, due to the lack of publicly available repositories of political fake news in Spanish, we employed a hybrid approach to generating misleading content. This approach involved two distinct methods. The first method utilized the generative capabilities of AI, particularly a Generative Pre-trained Transformer (GPT) model, to automatically create a multitude of varied headlines. By using the OpenAI library, we generated fake headlines that closely mimicked the style and structure of real news articles (Section 3.2.3). The second method involved making strategic alterations to real news articles to create misleading information. These alterations typically included changing the names of political leaders or parties, as well as modifying key figures such as unemployment rates or dates, thereby creating plausible but false representations of political events. More detailed explanations of these methods are provided in Section 3.2.4.
 
3.2.1. Web Scraping
3.2.2. Utilization of APIs Provided by the National Institute of Statistics
3.2.3. Leveraging Generative Models via the OpenAI API
- First, we created news items that are equivalent to the original ones but with very similar wording (in our particular example, headlines such as “The Spanish government boosts social expenditure in the 2022 state budget”, “The Spanish government increases in allocations for social initiatives in the 2022 state budget”, or “The Spanish government amplifies social spending in 2022”).
 - Second, we crafted alternative news with different wording (e.g., “Spanish fiscal plan for 2022 boosts social expenditure”, “The government of Spain boosts investment in social programs in 2022”, “Spain allocates additional resources to social policies in 2022”, “Spain increases budget allocations for social programs in 2022”, “Spanish 2022 fiscal plan sees a surge in allocations toward social welfare initiatives”, or “Spain allocates substantial increase to social investment in the 2022 fiscal plan”).
 - Third, we generated contrasting news using different terms (e.g., “In 2022 Spain decreases investment in social programs”, “The Spanish government invests less in welfare policies in 2022”, or “Contraction in Spain’s social expenditure for 2022”).
 - Lastly, we also considered the generation of contrasting news using very similar terms (e.g., “The Spanish government reduces social spending in the 2022 state budget” or “The Spanish government advocate for reduction social spending in the 2022 state budget”).
 
3.2.4. Altering Real News to Generate Fake News
- Locations such as cities, provinces, and countries, along with the names of political leaders, were identified using the spaCy library in conjunction with a publicly available pre-trained model specifically designed for named entity recognition (NER) tasks [49]. This powerful NER model enabled the accurate identification and classification of named entities within text, focusing on detecting and categorizing places and individuals. In our case, this approach played a crucial role in distinguishing regions, cities, and political figures in real news articles, allowing us to substitute these entities with names of the same category to generate corresponding fake news. Some examples are illustrated in Table 2. Given that the names used in this process were of Spanish origin, we employed the es_core_news_lg [50] model, tailored specifically for this language. In this way, we bypassed the need for other models, such as BERT for NER tasks; having been trained in English, these did not perform adequately in identifying the names of cities and even politicians originating from specific regions of Spain, such as Catalonia or Galicia.
 - The names of political parties have been manually compiled in a list, located within the real news, and replaced with other options in the fake news generated from the originals, as shown in Table 2.
 - Numerical values have been identified with the assistance of the Re library [51], which enables the detection of patterns within text. Once these patterns and the values to be altered have been located, they are replaced with other random values within a coherent range, depending on the type of data to be modified (percentage, year, etc.).
 
4. Tailoring Pre-Trained Transformer Models for Detection in Spanish
4.1. An Overview of BERT and Its Optimized Variants
- AlBERT, or A little BERT, aims to improve language models for increased efficiency and speed while making some trade-offs in performance. It focuses on resource efficiency and faster processing while still maintaining a performance level slightly below that of the original BERT model. This is particularly valuable for applications where speed and resource efficiency are crucial, such as mobile natural language processing [58,59]. AlBERT accomplishes this through the redistribution of model parameters and the integration of various optimization techniques, which are out of the scope of the paper.
 - DistilBERT, also known as Distilled BERT, shares a similar aim of enhancing language models by prioritizing efficiency and speed. It achieves this goal by creating a more compact and faster model while retaining much of the knowledge from the original BERT. DistilBERT is tailored for applications where lightweight and fast language models are essential, making it well suited for scenarios with limited computational resources [60,61].
 - In contrast, optimizations in RoBERTa are focused on enhancing natural language processing performance. This is achieved by conducting more extensive pre-training, using a larger text corpus compared to BERT, encompassing a wide range of natural language tasks prior to fine-tuning for specific applications, and more effectively adjusting hyperparameters. These enhancements empower the model to capture more intricate and nuanced language patterns, ultimately leading to superior performance in a variety of natural language processing tasks [62,63].
 
4.2. Selecting Pre-Trained Models for Detecting Fake News in Spanish
- Available BERT models. On one hand, there are two variants of BERT, known as BERT-base and BERT-large. Both are bidirectional models pre-trained on extensive text data in English, serving as the foundation for fine-tuning in a wide range of NLP applications. Specifically, BERT-base is the lighter version with fewer parameters (110 million), resulting in a smaller model size. In contrast, BERT-large is a more substantial and powerful iteration, boasting more parameters (340 million) and greater representational capacity. As a consequence, BERT-large proves more effective but also demands more computational resources, making it the preferred choice for complex natural language processing tasks. Moreover, in addition to the variations in size and capacity between BERT-base and BERT-large, both models come in cased and uncased versions. The selection between these variants should be influenced by the nature of the data and the specific requirements of each NLP task. Cased versions are better suited when preserving uppercase and lowercase distinctions is essential, such as in proper nouns and specialized contexts, for tasks like named entity recognition or machine translation [64,65,66]. Conversely, uncased versions convert all text to lowercase before training, which is beneficial when capitalization carries no semantic significance. These models find value in text classification, natural language processing in social media, and sentiment analysis in informal texts [67,68,69].Various language-specific versions of BERT models are also available. Two notable examples include BERT-multilingual and BETO models, both of which are offered in base/large and cased/uncased versions. On one hand, BERT-multilingual is a BERT variant pre-trained on a diverse set of languages, including Spanish, enabling it to capture general language representations across a wide range of linguistic backgrounds [70]. On the other hand, BETO distinguishes itself as a language-specific model explicitly trained for the Spanish language. It delivers outstanding performance across a diverse range of natural language processing tasks in Spanish, making it particularly well suited for applications like sentiment analysis, topic categorization, and various other forms of text classification [71,72].
 - Available RoBERTa models. RoBERTa is available in base and large versions, with all models being case sensitive. Additionally, there are multilingual variants, such as the xlm-roberta-base model, which was designed as a cross-lingual language model based on RoBERTa to operate effectively in 100 different languages and pre-trained on an extensive dataset of 2.5 TB of filtered CommonCrawl data [73].Furthermore, there are specialized RoBERTa models that have been pre-trained on comprehensive Spanish-language corpora. For example, the bertin-roberta-base-spanish model that was developed as part of the BERTIN project [74] and utilizes the mC4 corpus [75], a multilingual variant of the C4 dataset supporting over 100 languages sourced from the public Common Crawl web scrape. This dataset includes a total of 6.6 billion pages, with 416 million of them in Spanish [76]. Additionally, the roberta-base-bne model was created in 2021 by the Barcelona Supercomputing Center on 570 GB Spanish-language high-quality documents extracted from the National Library of Spain (BNE) (The acronym BNE in the model name RoBERTa-BNE refers to the Biblioteca Nacional de España in Spanish (National Library of Spain in English). Its website is https://www.bne.es/en (accessed on 1 November 2023).) using the supercomputer MareNostrum4 [77].
 
- The inclusion of models trained in English serves as a benchmark, allowing us to quantify their inferior performance compared to the variants adapted specifically for Spanish. This comparative analysis provides valuable insights into the extent of the performance gap between the English-trained models and their Spanish-tailored counterparts.
 - Base models strike an effective balance between computational resources and their capacity to capture information and represent language, aligning well with the resources available in our Google Colab environment.
 - In light of the unavailability of uncased RoBERTa models, we have opted to use cased BERT models to ensure a fair comparison. The dataset format has been meticulously inspected to guarantee the correct usage of lowercase and uppercase letters.
 - The dedicated support for the Spanish language ensures the versatility and efficiency required to attain effective text classification within this specific linguistic context.
 - Last but not least, all the above models are primarily aimed at being fine-tuned on tasks such as sequence classification, making them useful for our fake news detection purposes.
 
4.3. Fine-Tuning: Adjustment of Model Hyperparameters and Evaluation Metrics
- In particular, cross-validation allows us to assess the performance of the learned models and ensure their robustness in generalizing to unseen data. It works by partitioning the dataset into multiple subsets or folds, where the model is evaluated on one subset after being trained on the other ones in each iteration, ultimately yielding an average performance metric. This process aids in detecting overfitting as it highlights any significant performance discrepancies across the folds. If the model exhibits varying performance on different subsets, it signals that it may be overfitting to the training data, as it struggles to generalize to new, unseen data. In our approach, we have set aside 20% of the data for testing the final model (test data), and on the remaining 80%, we have implemented cross-validation with 5 folds (). In each fold or iteration, the model is trained on 80% of the available data (training data) and its performance is evaluated on the remaining 20% (evaluation data).
 - Regarding the fine-tuning, this process also encompasses the refinement of hyperparameter values, whose appropriate configuration is critical to build effective models. Both BERT and its RoBERTa models share common hyperparameters due to their Transformer-based architecture and pre-training process: (i) the learning rate controls how much the model weights are updated after each training step; (ii) the maximum sequence length determines the maximum size of the input that the model can handle; (iii) the batch size defines the number of training examples processed in each iteration, affecting memory usage and training speed; (iv) the number of epochs indicates how many times the model goes through the entire training dataset; and (v) regularization techniques, such as L2 regularization or weight decay, that help prevent overfitting.To optimize the hyperparameters, we carried out a series of experiments, adjusting their values based on the unique characteristics of our domain-specific dataset and the specific requirements of our binary text classification task. In doing so, we managed to strike a balance between achieving high performance on the training data and ensuring effective generalization to unseen data for each model. We carefully tuned the hyperparameters of the Transformer models evaluated through an extensive series of experiments, exploring different combinations until identifying the settings that offered the best performance. This iterative process allowed us to determine the optimal values that maximize the models’ accuracy. The chosen values for each type of model are presented in Table 3, where we also specify the seed used for reproducibility by consistently initializing random processes across model runs.Although tools such as GridSearchCV and RandomizedSearchCV, along with more sophisticated options like Optuna and Hyperopt, provide valuable techniques for hyperparameter tuning, they have notable drawbacks in our particular scope. GridSearchCV systematically examines a specified grid of parameters, but it can become resource intensive as the number of parameters increases. In contrast, RandomizedSearchCV enhances efficiency by randomly selecting parameter values but may overlook significant combinations. In light of these challenges, we chose to pursue a manual tuning approach, which offers the flexibility to concentrate on essential parameters based on our expertise in the field, thus avoiding unnecessary computational demands. Unlike automated techniques, manual tuning facilitates iterative adjustments of parameters informed by practical observations, allowing for a more targeted and effective investigation of the hyperparameter landscape. This method minimized the likelihood of missing crucial settings and granted greater control over the optimization process, ultimately resulting in outcomes that aligned more closely with our specific requirements.
 - Lastly, during the fine-tuning process, it is essential to measure various metrics to evaluate the performance of each model trained on our Spanish political fake news dataset. In Table 4, we describe the metrics adopted in our approach, obtained using the Sklearn library [79], where True Positives (TP) represent instances that are correctly predicted as positive (real news) by the model, while False Positives (FP) are instances that the model incorrectly predicts as genuine news when they are, in fact, false. Similarly, False Negatives (FN) occur when the model incorrectly predicts instances as negative (fake news) that are truly positive (real news), and True Negatives (TN) are instances that are correctly predicted as deceptive news by the model.
 
| Hyperparameters | BERT Models | RoBERTa Models | 
|---|---|---|
| BERT-Base BERT-Multilingual BETO  | RoBERTa-Base RoBERTa-Multilingual RoBERTa-BERTIN RoBERTa-BNE  | |
| Learning rate | ||
| Max sequence length | 512 | 128 | 
| Batch size | 10 | 16 | 
| Epochs | 10 | 10 | 
| Drop out rate | ||
| L2 regularization | ||
| Seed | 10 | 16 | 
| Metric | Definition | Mathematical Equation | 
|---|---|---|
| Precision | Proportion of genuine news correctly predicted by the model. | |
| Recall | Ratio of all existing authentic news articles correctly classified by the model. | |
| Accuracy | Proportion of right predictions, regardless of whether they were positive or negative, made by the model. | |
| F1-score | Evaluates how well the model balances precision and recall, that is, it focuses on how many of the predicted positives are TP and how many of the TP are captured. | |
| MCC | Evaluates the performance considering TP, TN, FP and FN to provide a comprehensive assessment of model prediction quality (1: perfect predictions, 0: random predictions, and −1 entirely inaccurate predictions). | 
- Initially, the pre-trained models are loaded using the relevant Hugging Face classes (e.g., RobertaForSequenceClassification for the RoBERTa-BNE model), and the number of labels is set to two for our fake news detection task. The entire model is fine-tuned without freezing any layers, allowing all layers to be optimized during training to fully adjust to the binary classification task.
 - To ensure that the model generalizes well to unseen data, we use 5-fold cross-validation. Therefore, the dataset is divided into five subsets, training the model on four subsets and validating on the remaining one. During each training phase of the folds, we use the AdamW optimizer with a learning rate of and L2 regularization to enhance weight decay and mitigate overfitting. After each of the ten epochs, we compute the cross-entropy loss between the predicted outputs and the true labels to evaluate the model’s performance. Gradients are computed using backpropagation (loss.backward()), and the model’s parameters are updated (through optimizer.step()). This process is repeated for each batch within the epoch, gradually refining the model’s parameters.
 - Lastly, metrics such as precision, recall, accuracy, F1 score, and MCC are computed after each epoch to measure the model’s performance, ensuring a reliable evaluation.
 
5. Results and Experimental Discussion
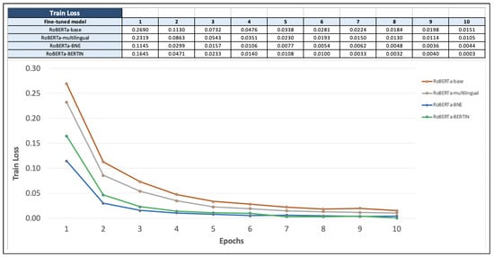
5.1. Assessing Loss and Accuracy Metrics During Model Fine-Tuning
5.2. Analyzing Test Metrics of the Fine-Tuned Models
5.2.1. Testing with a Dataset of Real and Fake News Naturally Sourced from Web Sources
5.2.2. Performance Benchmark with Related Approaches
6. Conclusions and Further Work
Author Contributions
Funding
Institutional Review Board Statement
Informed Consent Statement
Data Availability Statement
Conflicts of Interest
References
- Hakak, S.; Alazab, M.; Khan, S.; Gadekallu, T.R.; Maddikunta, P.K.; Khan, W.Z. An ensemble machine learning approach through effective feature extraction to classify fake news. Future Gener. Comput. Syst. 2021, 117, 47–58. [Google Scholar] [CrossRef]
 - Wah Chu, K.; Xie, R.; Wang, Y. Cross-language fake news detection. Data Inf. Manag. 2021, 5, 100–109. [Google Scholar] [CrossRef]
 - Poddar, K.; Bessie, G.; Umadevi, K.S. Comparison of Various Machine Learning Models for Accurate Detection of Fake News. In Proceedings of the 2019 Innovations in Power and Advanced Computing Technologies (i-PACT), Vellore, India, 22–23 March 2019; Volume 1, pp. 1–5. [Google Scholar] [CrossRef]
 - Chen, M.Y.; Lai, Y.W.; Lian, J.W. Using Deep Learning models to detect fake news about COVID-19. ACM Trans. Internet Technol. 2023, 23, 1–23. [Google Scholar] [CrossRef]
 - Farhangian, F.; Cruz, F.; Cavalcanti, G. Fake news detection: Taxonomy and comparative study. Inf. Fusion 2024, 103, 102140. [Google Scholar] [CrossRef]
 - Devlin, J.; Chang, M.W.; Lee, K.; Toutanova, K. BERT: Pre-training of Deep Bidirectional Transformers for Language Understanding. arXiv 2019, arXiv:1810.04805. [Google Scholar]
 - Rodrawangpai, B.; Daungjaiboon, W. Improving text classification with transformers and layer normalization. Mach. Learn. Appl. 2022, 10, 100403. [Google Scholar] [CrossRef]
 - Soyalp, G.; Alar, A.; Ozkanli, K.; Yildiz, B. Improving text classification with Transformer. In Proceedings of the 6th International Conference on Computer Science and Engineering (UBMK), Ankara, Turkey, 15–17 September 2021; pp. 707–712. [Google Scholar] [CrossRef]
 - Tezgider, M.; Yildiz, B.; Aydin, G. Text classification using improved bidirectional transformer. Concurr. Comput. Pract. Exp. 2022, 34, e6486. [Google Scholar] [CrossRef]
 - Shaheen, Z.; Wohlgenannt, G.; Filtz, E. Large scale legal text classification using Transformer models. arXiv 2020, arXiv:2010.12871. [Google Scholar]
 - Vaswani, A.; Shazeer, N.; Parmar, N.; Uszkoreit, J.; Jones, L.; Gomez, A.N.; Kaiser, L.; Polosukhin, I. Attention Is All You Need. arXiv 2017, arXiv:1706.03762. [Google Scholar]
 - Santana, M. Fake News Detector Spanish News Edition. 2023. Available online: https://www.kaggle.com/code/msantrod/fake-news-detector-spanish-news-edition (accessed on 1 November 2023).
 - Morcillo-Montano, J.G.; Flores-Quinayas, J.E. Modelo para la Detección de Noticias Falsas en Formato Texto en la Red Social Twitter, Aplicado al Contexto Político Colombiano de las Elecciones Presidenciales de 2022. Bachor’s Thesis, Faculty of Engineering, Master in Data Science, Santiago de Cali, Colombia, 2022. [Google Scholar]
 - Posadas-Durán, J.P.; Gomez-Adorno, H.; Sidorov, G.; Escobar, J.J. Detection of fake news in a new corpus for the Spanish language. J. Intell. Fuzzy Syst. 2019, 36, 4868–4876. [Google Scholar] [CrossRef]
 - Rodríguez-Sánchez, F.; Carrillo-de Albornoz, J.; Plaza, L.; Mendieta-Aragón, A.; Marco-Remón, G.; Makeinenko, M.; Plaza, M.; Gonzalo, J.; Spina, D.; Rosso, P. Overview of EXIST 2022: sEXIsm Identification in Social neTworks. Soc. Espa Nola Para Proces. Languaje Nat. (NLP) 2022, 69, 229–240. [Google Scholar]
 - González-Carvajal Centenera, S. Estudio del Rendimiento de BERT Frente a Métodos Clásicos de Procesamiento de Lenguaje Natural. Bachor’s Thesis, Informatic Engineering Bachelor, Universidad Autónoma de Madrid, Madrid, Spain, 2020. [Google Scholar]
 - Alim, A.; Ayman, A.; Kumar Donepudi, P.; Myung, S. Detecting fake news using Machine Learning: A systematic literature review. arXiv 2021, arXiv:abs/2102.04458. [Google Scholar]
 - Granik, M.; Mesyura, V. Fake news detection using Naïve Bayes classifier. In Proceedings of the IEEE First Ukraine Conference on Electrical and Computer Engineering (UKRCON), Kyiv, Ukraine, 29 May–2 June 2017; pp. 900–903. [Google Scholar] [CrossRef]
 - Abdullah-All-Tanvir, M.; Akhter, S.; Huq, M. Detecting fake news using Machine Learning and Deep Learning algorithms. In Proceedings of the 7th International Conference on Smart Computing & Communications (ICSCC), Sarawak, Malaysia, 28–30 June 2019; pp. 1–5. [Google Scholar] [CrossRef]
 - Kudarvalli, H.; Fiaidhi, J. Experiments on detecting fake news using Machine Learning algorithms. Int. J. Reliab. Inf. Assur. 2020, 8, 15–26. [Google Scholar] [CrossRef]
 - Vyas, P.; Liu, J.; El-Gayar, O. Fake news detection on the Web: An LSTM-based approach. Res. Publ. 2021, 267, 1–5. [Google Scholar]
 - Jain, P.; Sharma, S.; Aggarwal, P. Classifying Fake News Detection Using SVM, Naive Bayes and LSTM. In Proceedings of the 12th International Conference on Cloud Computing, Data Science & Engineering (Confluence), Virtual, 27–28 January 2022; pp. 460–464. [Google Scholar] [CrossRef]
 - Nishant, R.; Deepika, K.; Naman, K.; Chandan, R.; Ahad, A. Fake news classification using Transformer based enhanced LSTM and BERT. Int. J. Cogn. Comput. Eng. 2022, 3, 98–105. [Google Scholar] [CrossRef]
 - Islam, T.; Hosen, M.; Mony, A.; Hasan, M.; Jahan, I.; Kundu, A. A Proposed Bi-LSTM Method to Fake News Detection. In Proceedings of the International Conference for Advancement in Technology (ICONAT), Goa, India, 21–22 January 2022; pp. 1–5. [Google Scholar] [CrossRef]
 - Thampi, S.; El-Alfy, E.; Trajkovic, L. Exploring fake news identification using word and sentence embeddings. J. Intell. Fuzzy Syst. 2021, 41, 5441–5448. [Google Scholar] [CrossRef]
 - Verma, P.; Agrawal, P.; Amorim, I.; Prodan, R. WELFake: Word embedding over linguistic features for fake news detection. IEEE Trans. Comput. Soc. Syst. 2021, 8, 881–893. [Google Scholar] [CrossRef]
 - Truica, C.O.; Apostol, E. It’s all in the embedding! Fake news detection using document embeddings. Mathematics 2023, 11, 508. [Google Scholar] [CrossRef]
 - Hashmi, E.; Yayilgan, S.; Yamin, M.; Ali, S.; Abomhara, M. Advancing fake news detection: Hybrid deep learning with FastText and explainable AI. IEEE Access 2024, 12, 44462–44480. [Google Scholar] [CrossRef]
 - Fang, X.; Wu, H.; Jing, J.; Meng, Y.; Yu, B.; Yu, H.; Zhang, H. NSEP: Early fake news detection via news semantic environment perception. Inf. Process. Manag. 2024, 61, 103594. [Google Scholar] [CrossRef]
 - Dhawan, M.; Sharma, S.; Kadam, A.; Sharma, R.; Kumaraguru, P. Game-on: Graph attention network based multimodal fusion for fake news detection. Soc. Netw. Anal. Min. 2024, 14, 114. [Google Scholar] [CrossRef]
 - Wu, K.; Yang, S.; Zhu, K.Q. False rumors detection on Sina Weibo by propagation structures. In Proceedings of the IEEE 31st International Conference on Data Engineering, Seoul, Republic of Korea, 13–17 April 2015; pp. 651–662. [Google Scholar] [CrossRef]
 - Kwon, S.; Cha, M.; Jung, K.; Chen, W.; Wang, Y. Prominent features of rumor propagation in online social media. In Proceedings of the IEEE 13th International Conference on Data Mining, Dallas, TX, USA, 7–10 December 2013; pp. 1103–1108. [Google Scholar] [CrossRef]
 - Farokhian, M.; Rafe, V.; Veisi, H. Fake news detection using dual BERT deep neural networks. Multimed. Tools Appl. 2023, 83, 43831–43848. [Google Scholar] [CrossRef]
 - Tretiakov, A. Fake News in Spanish. 2020. Available online: https://www.kaggle.com/datasets/arseniitretiakov/noticias-falsas-en-espaol (accessed on 1 November 2023).
 - Gómez-Adorno, H.; Posadas-Durán, J.P.; Enguix, G.B.; Porto-Capetillo, C. Overview of FakeDeS at IberLEF 2021: Fake News Detection in Spanish Shared Task. Proces. Del Leng. Nat. 2021, 67, 223–231. [Google Scholar]
 - Rodríguez-Sánchez, F.; Carrillo-de Albornoz, J.; Plaza, L. Automatic Classification of Sexism in Social Networks: An Empirical Study on Twitter Data. IEEE Access 2020, 8, 219563–219576. [Google Scholar] [CrossRef]
 - Lakshmipathi, N. IMDB Dataset of 50 K Movie Reviews. 2019. Available online: https://www.kaggle.com/datasets/lakshmi25npathi/imdb-dataset-of-50k-movie-reviews (accessed on 1 November 2023).
 - Howard, A.; Culliton, P.; Guo, Y. Natural Language Processing with Disaster Tweets. 2019. Available online: https://www.kaggle.com/competitions/nlp-getting-started/data (accessed on 1 November 2023).
 - Camargo, F. FASAM—NLP Competition—Predict News Category. 2020. Available online: https://www.kaggle.com/competitions/fasam-nlp-competition-turma-4 (accessed on 1 November 2023).
 - Zhang, C. Tutorial for Chinese Sentiment Analysis with Hotel Review Data. 2017. Available online: https://github.com/Tony607/Chinese_sentiment_analysis/tree/master/data/ChnSentiCorp_htl_ba_6000 (accessed on 1 November 2023).
 - Shu, K.; Mahudeswaran, D.; Wang, S.; Lee, D.; Liu, H. FakeNewsNet: A Data Repository with News Content, Social Context and Dynamic Information for Studying Fake News on Social Media. Big Data 2018, 8, 171–188. [Google Scholar] [CrossRef]
 - Martínez-Gallego, K.; Álvarez-Ortiz, A.; Arias-Londoño, J. Fake News Detection in Spanish Using Deep Learning Techniques. arXiv 2021, arXiv:2110.06461. [Google Scholar]
 - Bugoi, A.; Córdova, D.A.; Corpas, J.; Hernández, D.; Karlgren, E.; Turiel, E. FakeStorage. 2021. Available online: https://github.com/alcorpas10/FakesStorage (accessed on 1 November 2023).
 - Fioretos, D.P. Fake News Detection with the GREEK-BERT Model with a Focus on COVID-19. Bachor’s Thesis, National and Kapodistrian University of Athens, Athens, Greece, 2021. Available online: https://pergamos.lib.uoa.gr/uoa/dl/object/2967905/file.pdf (accessed on 1 November 2023).
 - Keya, A.; Wadud, M.A.; Alatiyyah, M.; Hamid, A. AugFake-BERT: Handling Imbalance through Augmentation of Fake News Using BERT to Enhance the Performance of Fake News Classification. Appl. Sci. 2022, 12, 8398. [Google Scholar] [CrossRef]
 - Reitz, K. Requests: HTTP for Humans. 2011. Available online: https://docs.python-requests.org/en/latest/ (accessed on 1 November 2023).
 - Richardson, L. Beautiful Soup Documentation. 2004. Available online: https://www.crummy.com/software/BeautifulSoup/bs4/doc/ (accessed on 1 November 2023).
 - OpenAI. Official Website. Available online: https://openai.com/ (accessed on 1 November 2023).
 - Honnibal, M.; Montani, I. Spacy Website. 2015. Available online: https://spacy.io (accessed on 1 November 2023).
 - Honnibal, M.; Montani, I. Spacy’s NER Model. 2018. Available online: https://spacy.io/models/es#es_core_news_lg (accessed on 1 November 2023).
 - Python Software Foundation. Python Documentation. Available online: https://www.python.org/doc/ (accessed on 1 November 2023).
 - Chouikhi, H.; Chniter, H.; Jarray, F. Arabic Sentiment Analysis Using BERT Model. In Advances in Computational Collective Intelligence; Springer: Berlin/Heidelberg, Germany, 2021; pp. 621–632. [Google Scholar] [CrossRef]
 - Muller, M.; Salathe, M.; Kummervold, P.E. COVID-Twitter-BERT: A Natural Language Processing model to analyse COVID-19 content on Twitter. Front. Artif. Intell. 2023, 6, 1023281. [Google Scholar] [CrossRef]
 - Wang, Z.; Ng, P.; Ma, X.; Nallapati, R.; Xiang, B. Multi-Passage BERT: A Globally Normalized BERT Model for Open-Domain Question Answering. arXiv 2019, arXiv:1908.08167. [Google Scholar]
 - Lan, Z.; Chen, M.; Goodman, S.; Gimpel, K.; Sharma, P.; Soricut, R. ALBERT: A Lite BERT for self-supervised learning of language representations. arXiv 2020, arXiv:1909.11942. [Google Scholar]
 - Sanh, V.; Debut, L.; Chaumond, J.; Wolf, T. DistilBERT, a distilled version of BERT: Smaller, faster, cheaper and lighter. arXiv 2019, arXiv:1910.01108. [Google Scholar]
 - Liu, Y.; Ott, M.; Goyal, N.; Du, J.; Joshi, M.; Chen, D.; Levy, O.; Lewis, M.; Zettlemoyer, L.; Stoyanov, V. RoBERTa: A Robustly Optimized BERT Pretraining approach. arXiv 2019, arXiv:1907.11692. [Google Scholar]
 - Casola, S.; Lauriola, I.; Lavelli, A. Pre-trained transformers: An empirical comparison. Mach. Learn. Appl. 2022, 9, 100334. [Google Scholar] [CrossRef]
 - Wang, C.; Huang, S.; Zhou, Y. Sentiment analysis of MOOC reviews via ALBERT-BiLSTM model. MATEC Web Conf. 2021, 336, 05008. [Google Scholar] [CrossRef]
 - Akpatsa, S.; Lei, H.; Li, X.; Obeng, V.H.; Martey, E.; Addo, P.; Fiawoo, D. Online News Sentiment Classification Using DistilBERT. J. Quantum Comput. 2022, 4, 1–11. [Google Scholar] [CrossRef]
 - Adel, H.; Dahou, A.; Mabrouk, A.; Abd, E.; Kayed, M.; El-Henawy, I.M.; Alshathri, S.; Amin-Ali, A. Improving crisis events detection using DistilBERT with hunger games search algorithm. Mathematics 2022, 10, 447. [Google Scholar] [CrossRef]
 - Angin, M.; Beyza, T.; Arda, C.; Demiralp, G. Atay, M.; Angin, P.; Dikmener, G. A RoBERTa approach for automated processing of sustainability reports. Sustainability 2022, 14, 16139. [Google Scholar] [CrossRef]
 - Akhila, N.; Sanjanasri, J.P.; Soman, K. Comparative study of BERT models and RoBERTa in Transformer based question answering. In Proceedings of the 3rd International Conference on Intelligent Technologies (CONIT), Hubli, India, 23–25 June 2023; pp. 1–5. [Google Scholar] [CrossRef]
 - Yuzhe, Z.; Zhang, H. FinBERT-MRC: Financial named entity recognition using BERT under the machine reading comprehension paradigm. Neural Process. Lett. 2023, 55, 1–21. [Google Scholar] [CrossRef]
 - Liu, Y.; Wei, S.; Huang, H.; Lai, Q.; Li, M.; Guan, L. Naming entity recognition of citrus pests and diseases based on the BERT-BiLSTM-CRF model. Expert Syst. Appl. 2023, 234, 121103. [Google Scholar] [CrossRef]
 - Wu, X.; Xia, Y.; Zhu, J.; Wu, L.; Xie, S.; Qin, T. A study of BERT for context-aware neural machine translation. Mach. Lang. 2022, 111, 917–935. [Google Scholar] [CrossRef]
 - Prasanthi, K.; Eswari, M.; Sabarinadh, S.; Naga, D.; Sravani, B. A Novel Approach for Sentiment Analysis on social media using BERT and ROBERTA Transformer-Based Models. In Proceedings of the IEEE 8th International Conference for Convergence in Technology (I2CT), Lonavla, India, 7–9 April 2023; pp. 1–6. [Google Scholar] [CrossRef]
 - Talaat, A.S. Sentiment analysis classification system using hybrid BERT models. J. Big Data 2023, 10, 110. [Google Scholar] [CrossRef]
 - Jia, K.; Meng, F.; Liang, J.; Gong, P. Text sentiment analysis based on BERT-CBLBGA. Comput. Electr. Eng. 2023, 112, 109019. [Google Scholar] [CrossRef]
 - Pires, T.; Schlinger, E.; Garrette, D. How multilingual is multilingual BERT? arXiv 2019, arXiv:1906.01502. [Google Scholar]
 - Vásquez, J.; Gómez-Adorno, H.; Bel-Enguix, G. BERT-based approach for sentiment analysis of Spanish reviews from TripAdvisor. Proces. Del Leng. Nat. 2021, 67, 223–231. [Google Scholar]
 - Cañete, J.; Chaperon, G.; Fuentes, R.; Ho, J.H.; Kang, H.; Pérez, J. Spanish pre-trained BERT model and evaluation data. arXiv 2022, arXiv:2308.02976. [Google Scholar]
 - Goyal, N.; Du, J.; Ott, M.; Anantharaman, G.; Conneau, A. Larger-scale transformers for multilingual masked language modeling. arXiv 2021, arXiv:2105.00572. [Google Scholar]
 - de la Rosa, J.; Ponferrada, E.G.; Villegas, P.; Gonzalez, P.; de Prado, S.; Romero, M.; Grandury, M. BERTIN: Efficient Pre-Training of a Spanish Language Model using Perplexity Sampling. arXiv 2022, arXiv:2207.06814. [Google Scholar]
 - Crawl, C. Multilingual Common Crawl Corpus (MC4). 2020. Available online: https://huggingface.co/datasets/mc4 (accessed on 1 November 2023).
 - Xue, L.; Constant, N.; Roberts, A.; Kale, M.; Al-Rfou, R.; Siddhant, A.; Barua, A.; Raffel, C. mT5: A Massively Multilingual Pre-trained Text-to-Text Transformer. In Proceedings of the North American Chapter of the Association for Computational Linguistics. arXiv 2020, arXiv:2010.11934. [Google Scholar]
 - Gutiérrez-Fandiño, A.; Armengol-Estapé, J.; Pamies, M.; Llop-Palao, J.; Silveira-Ocampo, J.; Carrino, C.; González-Aguirre, C.; Armentano-Oller, C.; Rodríguez-Penagos, C.; Villegas, M. Spanish language models. arXiv 2021, arXiv:2107.07253. [Google Scholar]
 - Wolf, T. Hugging Face Transformers. 2019. Available online: https://github.com/huggingface/transformers (accessed on 1 November 2023).
 - Pedregosa, F.; Varoquaux, G.; Gramfort, A.; Michel, V.; Thirion, B.; Grisel, O.; Blondel, M.; Prettenhofer, P.; Weiss, R.; Dubourg, V.; et al. Scikit-learn: Machine Learning in Python. J. Mach. Learn. Res. 2011, 12, 2825–2830. [Google Scholar]
 









| Related Work | Adopted Technique | Dataset | Size | Language | Accuracy | 
|---|---|---|---|---|---|
| [28] | BERT, XLNet, RoBERTa | WELFake, FakeNewsNet, and FakeNewsPrediction | 72,134 | English | 99% | 
| [15] | BERT | EXIST [36] | 13,000 | English | |
| Spanish | |||||
| [16] | BERT | IMDB movie reviews [37] | 50,000 | English | |
| RealOrNot tweets [38] | 10,000 | English | |||
| Portuguese news [39] | 12,145 | Portuguese | |||
| Chinese hotel reviews [40] | 6000 | Chinese | |||
| [12] | Random Forest | Fakes1000 [34] | 2000 | Spanish | |
| XGBoost | |||||
| Logistic Regression | |||||
| [14] | SVM | The Spanish Fake News corpus [35] | 971 | Mexican Spanish | |
| Naive Bayes | |||||
| KNN (K = 3) | |||||
| Decision Tree | |||||
| [13] | Random Forest | Unpublished dataset | 634 | Spanish | |
| BERT | |||||
| [33] | Two parallel BERT networks | Fakenewsnet [41] | 23,000 | English | |
| [42] | BETO | Corpus extracted from [34,43] | 2500 | Spanish | 
| Altered Data | True News | False News | 
|---|---|---|
| Places | “Catalonia prepares for regional elections amid a pandemic and political crisis (February 2021).” | “Asturias prepares for regional elections amid a pandemic and political crisis (February 2021).” | 
| Political leaders | “Pedro Sánchez announces the extension of permanent ERTEs until May 2021 (January 2021).” | “Josep Borrell announces the extension of permanent ERTEs until May 2021 (January 2021).” | 
| Political parties | “Podemos defended the right to housing against speculation (March 2020).” | “Partido Popular defended the right to housing against speculation (March 2020).” | 
| Numeric values | “The unemployment rate in Spain drops to 15.3% in the second quarter of 2021 (July 2021).” | “The unemployment rate in Spain drops to 5.3% in the second quarter of 2021 (July 2021).” | 
| Fine-Tuned Model | Test Accuracy | Test Precision | Test F-1 Score | Test Recall | Test MCC | 
|---|---|---|---|---|---|
| BERT-multilingual | 0.5942 | 0.5944 | 0.7452 | 0.9985 | 0.0057 | 
| BETO | 0.4855 | 0.6881 | 0.3670 | 0.2456 | 0.0991 | 
| RoBERTa-multilingual | 0.5942 | 0.5942 | 0.7455 | 1 | 0 | 
| RoBERTa-BERTIN | 0.5489 | 0.6368 | 0.5963 | 0.5607 | 0.0908 | 
| RoBERTa-BNE | 0.4383 | 0.5938 | 0.2687 | 0.1737 | 0.0005 | 
| Fine-Tuned Model | Test Accuracy | Test Precision | Test F-1 Score | Test Recall | Test MCC | 
|---|---|---|---|---|---|
| BERT-multilingual | 0.925 | 0.922 | 0.930 | 0.938 | 0.911 | 
| BETO | 0.927 | 0.927 | 0.931 | 0.935 | 0.913 | 
| RoBERTa-multilingual | 0.924 | 0.921 | 0.928 | 0.935 | 0.912 | 
| RoBERTa-BERTIN | 0.931 | 0.930 | 0.934 | 0.940 | 0.928 | 
| RoBERTa-BNE | 0.986 | 0.985 | 0.988 | 0.991 | 0.971 | 
| Approach | Adopted Technique  | Dataset | Size | Language | Accuracy | 
|---|---|---|---|---|---|
| [12] | Random Forest XGBoost Logistic Regression  | Fakes1000 [34] | 2000 | Spanish | |
| [14] | SVM Naive Bayes KNN (K = 3) Decision Tree  | The Spanish Fake News corpus [35] | 971 | Mexican Spanish | |
| [13] | Random Forest BERT  | Unpublished dataset | 634 | Spanish | |
| [33] | Two parallel BERT networks | Fakenewsnet [41] | 23,000 | English | |
| [42] | BETO | Corpus extracted from [34,43] | 2500 | Spanish | |
| [15] | BERT | EXIST [36] | 13,000 | English Spanish  | |
| [16] | BERT | IMDB movie reviews [37] RealOrNot tweets [38] Portuguese news [39] Chinese hotel reviews [40]  | 50,000 10,000 12,145 6000  | English English Portuguese Chinese  | |
| Our approach | A fine-tuned RoBERTa-BNE model. | The model has been fine-tuned and tested on our Spanish Politician Fake News synthetic dataset. | 57,231 | Spanish | 98.6% | 
| Our approach | The same fine-tuned RoBERTa-BNE model as in the previous row. | The model was fine-tuned on the synthetic dataset and later tested on a new non-synthetic fake news dataset, including political news from Spain’s July 2023 electoral debates. | 63 | Spanish | 71% | 
Disclaimer/Publisher’s Note: The statements, opinions and data contained in all publications are solely those of the individual author(s) and contributor(s) and not of MDPI and/or the editor(s). MDPI and/or the editor(s) disclaim responsibility for any injury to people or property resulting from any ideas, methods, instructions or products referred to in the content.  | 
© 2024 by the authors. Licensee MDPI, Basel, Switzerland. This article is an open access article distributed under the terms and conditions of the Creative Commons Attribution (CC BY) license (https://creativecommons.org/licenses/by/4.0/).
Share and Cite
Blanco-Fernández, Y.; Otero-Vizoso, J.; Gil-Solla, A.; García-Duque, J. Enhancing Misinformation Detection in Spanish Language with Deep Learning: BERT and RoBERTa Transformer Models. Appl. Sci. 2024, 14, 9729. https://doi.org/10.3390/app14219729
Blanco-Fernández Y, Otero-Vizoso J, Gil-Solla A, García-Duque J. Enhancing Misinformation Detection in Spanish Language with Deep Learning: BERT and RoBERTa Transformer Models. Applied Sciences. 2024; 14(21):9729. https://doi.org/10.3390/app14219729
Chicago/Turabian StyleBlanco-Fernández, Yolanda, Javier Otero-Vizoso, Alberto Gil-Solla, and Jorge García-Duque. 2024. "Enhancing Misinformation Detection in Spanish Language with Deep Learning: BERT and RoBERTa Transformer Models" Applied Sciences 14, no. 21: 9729. https://doi.org/10.3390/app14219729
APA StyleBlanco-Fernández, Y., Otero-Vizoso, J., Gil-Solla, A., & García-Duque, J. (2024). Enhancing Misinformation Detection in Spanish Language with Deep Learning: BERT and RoBERTa Transformer Models. Applied Sciences, 14(21), 9729. https://doi.org/10.3390/app14219729
        
