Abstract
Garlic consumption is a well-known cause of unpleasant breath and body odour, with volatile organosulfur compounds, such as diallyl disulfide (DADS) and allyl methyl sulfide (AMS) responsible for the characteristic odour. Certain foods that are rich in polyphenols (PPs) and polyphenol oxidase (PPO) are known to deodorise garlic breath. However, no study into garlic body odour has been reported owing to the very low amounts of emitted volatile organosulfur compounds. Herein, we aimed to demonstrate the effects of ingesting natural food additives rich in both PPs and PPO on the emissions of skin-derived DADS and AMS using a passive flux sampler in conjunction with gas chromatography–mass spectrometry. Three healthy male subjects were subjected to garlic-consumption testing, with all subjects commonly observed to exhibit remarkably higher dermal DADS- and AMS-emission fluxes after consuming 45 g of cooked garlic, which then gradually decreased toward their initial baseline levels. In comparison, remarkably lower emission fluxes of both organosulfur compounds were observed after consuming a natural food additive following garlic consumption in a dose-dependent manner. The optimal amount of ingested natural food additive required to reduce garlic body odour was found to be 1–2 g. Considering the metabolic pathway associated with garlic-derived sulfur compounds and elimination reactions involving PPs and PPO, allyl mercaptan is likely to be a key substance involved in reducing garlic body odour through the ingestion of natural food additives.
1. Introduction
Garlic (Allium sativum L.) is a bulb widely utilised as a seasoning, health-promoting food, and a component of herbal medicine that has been used since the dawn of time [1,2]. The consumption of garlic has been shown to remarkably enhance health and prevent a variety of prevalent human ailments such as cancer, cardiovascular and metabolic disorders, hypertension, and diabetes through its antioxidant, anti-inflammatory, and lipid-lowering properties [3,4,5,6,7,8,9,10]. However, consuming garlic is known to result in unpleasant breath and body odour, which can persist for several hours or even days [11,12,13,14,15]. Organosulfur compounds, such as diallyl disulfide (DADS) and allyl methyl sulphide (AMS) are known to be responsible for characteristic garlic breath and body odour [12,13,14,15,16,17]. Garlic itself has a barely noticeable smell; however, once chopped, crushed or chewed, its natural constituent alliin (S-allylcysteine sulfoxide) is converted to allicin (diallylthiosulfinate) in an enzyme-mediated process catalysed by alliinase [18]. Allicin is a precursor of several organosulfur compounds that produce the distinctive garlic odour in the human body [18,19]. DADS, which has a very low odour threshold of 0.22 ppb, is a volatile organosulfur compound produced through the metabolism of allicin [20]. DADS is subsequently metabolised into other compounds such as AMS, which has a very low odour threshold of 0.14 ppb [20]. AMS is also formed via the rapid methylation of allylmercaptan (2-propene-1-thiol) [16,17]. While the excretion of these compounds through exhaled air and the skin surface is a natural phenomenon, the odour of garlic can adversely affect interpersonal relationships; consequently, developing methods for its deodorisation is imperative.
Ingesting various fruits and vegetables has been shown to successfully lower the levels of the abovementioned volatiles both in vitro and in vivo because they contain polyphenols (PPs), polyphenol oxidase (PPO), and reducing agents (reductases) [21,22]. Polyphenols are naturally occurring compounds that are characterised by the presence of multiple phenolic functional groups. PPs with hydroxyl groups at their ortho positions are oxidised to the corresponding o-quinones, with the rate of the reaction enhanced by PPO [21,22]. o-Quinones bind thiols and eliminate them by forming conjugates. Disulfides are degraded by reductases to the corresponding thiols which are also removed by o-quinones. The resulting conjugates are either odourless or have different odours; consequently, garlic-breath can be deodorised by ingesting foods rich in both PPs and PPO [16,21,22]. Mirondo and Barringer [16] demonstrated that the levels of several organosulfur compounds in the exhaled breath of subjects who chewed 3 g of garlic cloves were reduced by apple, lettuce, mint leaves, and green tea, and elucidated the roles played by PPs and PPO in deodorising such garlic-associated chemicals. However, to the best of our knowledge, how ingesting foods rich in both PPs and PPO affect the deodorisation of garlic body odour associated with trace amounts of dermal emissions has not been reported.
Body odour comprises a mixture of volatile organic and inorganic compounds that emanate from the skin surface that are collectively known as human skin gas [23,24,25]. These compounds are released from the skin surface via three emission routes: dermal glands, blood, and surface reactions [25]; they move to the skin surface during perspiration and sebum secretion (dermal ground route) and/or directly leave from the bloodstream through the dermal layers (blood route) when they are produced in the human body through internal metabolism. In addition, skin-derived gases are produced by bacterial metabolism or chemical reactions with substrates in the sweat and sebum on the skin surface (surface reaction route). As for body odour associated with garlic, DADS and AMS are produced by the internal metabolism of allicin and then released mainly via the blood route during circulation [17]. Human skin gas affects indoor odour more than exhaled gas [26]; hence, deodorising garlic body odour also contributes to improving the quality of indoor air. Hiramoto et al. [27] aimed to develop a novel and safe deodorant using natural materials and produced a food additive derived from coffee and burdock (which are familiar foods) as a water-soluble powder prepared by mixing green coffee-bean extract, which is rich in PP (mainly chlorogenic acid), with burdock powder, which contains PPO, in a 1:1 ratio. Chewing gum containing the natural food additive has been reported to reduce the concentrations of hydrogen sulphide, methyl mercaptan, ammonia, and trimethylamine in the oral cavity [27]. Furthermore, the direct addition of the natural food additive to human faeces reportedly diminished the release of hydrogen sulphide, methyl mercaptan, and lower fatty acids [27]. With this background in mind, this study aimed to demonstrate the effects of ingesting a natural food additive on the dermal emissions of DADS and AMS, which are responsible for garlic body odour.
2. Materials and Methods
2.1. Materials and Reagents
Garlic was purchased from a local supermarket in Japan, wrapped in aluminium foil, and grilled, which is culinary practice and a popular way of enjoying garlic in Japan.
As a deodorising material, the natural food additive (trade name: DEOTAK® P-1-G, Takasago International Corporation, Tokyo, Japan) was used. It was prepared by mixing green coffee-bean extract (PP rich) and burdock powder (PPO rich) in a 1:1 ratio based on weight. The green coffee-bean extract and burdock powder were prepared as follows: Green coffee beans (robusta species) were ground and the beans that did not pass through a 5-mm mesh were removed, water was added, and the beans were extracted at 85–95 °C for 2 h. The extract was filtered and the filtrate was adsorbed onto an XAD-2 column (Organo Co., Ltd., Tokyo, Japan). The column was then washed with water and the adsorbed substances were eluted with methanol and dried to obtain green coffee-bean extract. The polyphenol content of the extract was determined to be 0.84 mmol g−1 by the Folin–Ciocalteu method [28,29]. The polyphenol concentration in the extract was expressed as catechol equivalents, which was spectrophotometrically determined using chlorogenic acid as a standard. Washed raw burdock and acetone cooled at −20 °C were placed in a mixer, ground, and then suction-filtered. The residue was then thoroughly washed with aqueous 80% acetone at 5 °C and freeze-dried to obtain the burdock powder. The enzyme-specific activity of burdock powder was determined to be 50 units g−1 based on substrate reactivity toward chlorogenic acid.
Reagent-grade DADS and AMS were purchased from a commercial source (Fujifilm Wako Pure Chemical, Osaka, Japan) and used to calibrate dermal emissions.
2.2. Subject Testing
Open-label and before/after trials of the natural food additive on the dermal emissions of DADS and AMS were conducted by recruiting three healthy male subjects (age 24, 25, and 31). Exclusion criteria were as follows: (1) subjects regularly using medicines or supplements that could affect metabolism, (2) those who are not good at eating garlic, (3) those participating in another study, and (4) those judged inappropriate for the study by the investigator. The dermal emission amounts of both organosulfur compounds before and after garlic consumption were measured at the non-dominant forearm of each subject, following the schedule shown in Figure 1. After sampling human skin gas for 1 h, (between 8:00 and 9:00 (t = −1 h), the subjects consumed ~45 g of the grilled garlic, and subsequently ingested 0 (control), 0.50, 1.0, 2.0, or 4.0 g of the natural food additive, 0.50 g of the green coffee-bean extract, or 0.50 g of burdock powder over 30 min. All test materials were dissolved in 200 mL of water. The quantity of garlic consumed was calculated by measuring the weight difference of the dish before and after consumption using an electric balance. After intake, sampling was conducted for 0.5 h between 9:30 and 10:00 (t = 0 h) and between 10:00 and 10:30 (t = 0.5 h), after which sampling was performed for 1 h at t = 1, 2, 3, 6, and 8 h. The subjects were asked to refrain from consuming garlic, polyphenol-rich fruits and vegetables (apples, prunes, berries, burdocks, blackcurrants, etc.), tea, coffee, or milk during the test period, with bread, rice, or noodles along with water recommended for breakfast and lunch. The three subjects ingested the same amount of the natural food additive on the same days.
Figure 1.
Subject-testing schedule for investigating the effect of ingesting test materials on the dermal emissions of DADS and AMS after consuming 45 g of grilled garlic.
2.3. Measuring Dermal DADS and AMS Emissions
Following a previous report [17], the emission fluxes of DSDS and AMS emanating from the skin surface were determined using a passive flux sampler (PFS) in conjunction with gas chromatography–mass spectrometry (GC-MS). Figure 2 shows a schematic of the PFS applied to human skin. The skin surface was not specially treated prior to sampling. The PFS was gently affixed to the skin surface to create a headspace. The DADS and AMS released from the skin move toward and were sampled by the flat adsorbent composed of monolithic silica embedded with activated carbon particles (MonoTrap® DCC18, GL Science, Tokyo, Japan). The diffusion length, a distance between the skin surface and the adsorbent in the PFS, was set to 0.80 cm.
Figure 2.
Schematic of the PFS used to sample DADS and AMS released from the human skin surface. During the sampling, the PFS was gently affixed to the skin surface with surgical tape.
After sampling, the adsorbent was placed into a glass vial and sealed. The trapped volatile compounds were heated and desorbed at 120 °C using a STRAP headspace sampler (JEOL, Tokyo, Japan) and the desorbed gases in the headspace were introduced into a GC-MS system (JMS-Q1000GC MkII, JEOL, Tokyo, Japan) by a split mode at the ratio of 10:1. The analytes were separated using an InertCap® Pure-Wax column (0.25 µm film thickness; 30 m × 0.25 mm, GL Sciences, Tokyo, Japan) using the following column temperature program: hold for 5 min at 35 °C, increase at 5 °C min−1 to 100 °C, then immediately to 250 °C at 25 °C min−1 and hold there for 6 min. G1 grade helium (Taiyo Nippon Sanso, Tokyo, Japan) was used as a carrier gas with 1.0 mL min−1 of flow rate. Sample data were acquired using real-time Selected Ion Monitoring (SIM) mode: m/z = 41 for DADS and m/z = 73 for AMS. The temperature of the detector interface was held at 250 °C. The emission fluxes of DADS and AMS at sampling time t, Et in the unit of ng cm−2 h−1 was calculated by:
where Wt is the collected amounts (ng) of DADS and AMS at sampling time t, S is the functional cross-section of the disk-type adsorbent (=0.594 cm2), and Tt is the sampling duration (0.5 or 1.0 h). Because no significant contamination was observed in the blank samples, the limit of detection was set at three-times the baseline noise level (S/N = 3), resulting in 8.7 × 10−3 ng cm−2 h−1 for DADS and 2.2 × 10−3 ng cm−2 h−1 for AMS after 1 h of sampling.
The total amounts of DADS and AMS emitted during testing following garlic consumption, Q (ng cm−2), were calculated by integrating the obtained emission fluxes multiplied by the sampling duration at 0.5, 1, 2, 3, 6 and 8 h, as follows:
Q = ΣEt·Tt
2.4. Statistical Analysis
All the statistical analyses were conducted using Microsoft Excel for Windows 2021 MSO. Differences in the total dermal emissions following garlic consumption were analysed using a two-tailed paired t-test. Statistical significance was set at: * p < 0.05, ** p < 0.01.
3. Results
Figure 3a shows the time course of the average dermal DADS-emission flux of the three subjects prior to and following the consumption of 45 g of cooked garlic with or without the ingestion of the natural food additive. The time points on the x-axis show the sampling times following ingestion (Figure 1). The three male subjects exhibited a common trend in the control experiment. An initial DADS emission flux (t = −1 h) of 0.072 ± 0.020 ng cm−2 h−1 was recorded at the forearm (n = 3); this value falls within the range of daily baseline levels that have been previously reported [17]. The emission flux exhibited a maximum value of 4.8 ± 0.36 ng cm−2 h−1 during the first sampling period (t = 0 h) following garlic consumption, and then continued to decrease over time. Despite this trend, the emission flux remained greater than the initial value even at t = 8 h; hence, the garlic odour released from the body surface is persistent. Meanwhile, the consumption of the natural food additive led to different time courses that depended on the amount ingested. A lower dermal emission flux was recorded at each measurement time compared to that of the control, with peak values of 2.9 ± 0.18 ng cm−2 h−1 recorded after ingesting 0.5 g of the natural food additive (41% lower than the control), 1.6 g ± 0.92 ng cm−2 h−1 after ingesting 1 g (67% lower than the control), 1.4 ± 1.1 ng cm−2 h−1 with 2 g (72% lower), and 1.9 ± 0.11 ng cm−2 h−1 with 4 g (67% lower) at t = 0 h.
Figure 3.
Time courses of dermal emission fluxes of (a) DADS and (b) AMS measured from the forearms of three healthy male subjects prior to and following the consumption of 45 g of cooked garlic and 0, 0.5, 1, 2, and 4 g of the natural food additive dissolved in water. Bars show the means of three subjects with standard deviations.
AMS exhibited a different dermal emission flux time course to that of DADS; however, it was common among all subjects, as shown in Figure 3b. An initial AMS-emission flux of 0.022 ± 0.0010 ng cm−2 h−1 was measured in the control experiment (n = 3); this value is approximately one-third that recorded for DADS and is within the range of previously reported daily baseline levels of AMS [17]. The emission flux reached its peak at 2.9 ± 0.079 ng cm−2 h−1 at t = 0.5 h after ingesting grilled garlic and then decreased with increasing time. The time course observed for AMS differed from that of DADS, whose emission peaked at t = 0 h; that is, peak dermal AMS-emission flux was observed at a later time, which is most likely due to AMS being formed from precursors like allyl mercaptan and DADS, and remained somewhat latent in the skin layer after leaving the bloodstream, unlike DADS [17]. While no apparent change was found in the variation of the cutaneous emission flux after consuming 0.5 or 4 g of the natural food additive, a remarkably lower emission flux was observed when 1 or 2 g of the natural food additive was ingested, with a value of 0.84 ± 0.23 ng cm−2 h−1 following the ingestion of 1 g of the natural food additive (72% lower than the control) and 0.61 g ± 0.01 ng cm−2 h−1 with 2 g (79% lower) at t = 0.5 h.
These results, presented above, show that natural food additives can reduce dermal emissions of DADS and AMS, and that an optimal intake exists. Figure 4a displays the relationship between the amount of the natural food additive ingested and the total dermal emission of cutaneous DADS following garlic consumption to t = 8 h, as calculated using Equation (2). Significantly lower DADS emissions were observed at all doses (two-tailed paired t-test) compared to that of the control, with the greatest impact observed at doses of 1 and 2 g. In contrast, Figure 5a shows that significantly lower AMS emissions were only observed when 1 or 2 g of the natural food additive was ingested (two-tailed paired t-test). Therefore, we conclude that 1–2 g of the natural food additive is optimal for reducing body odour caused by the consumption of 45 g of cooked garlic.
Figure 4.
(a) Influence of the ingestion of the natural food additive and (b) 0.5 g of each ingredient on the total emission of DADS from the skin surface after garlic consumption, as calculated using Equation (2). Significant differences: * p < 0.05, ** p < 0.01, two-tailed paired t-test against control.
Figure 5.
(a) Influence of the ingestion of the natural food additive and (b) 0.5 g of each ingredient on the total emission of AMS from the skin surface after garlic consumption, as calculated using Equation (2). Significant differences: * p < 0.05, ** p < 0.01, two-tailed paired t-test against control.
One gram of the natural food additive consists of 0.5 g of green coffee-bean extract and 0.5 g of burdock powder. To investigate the role of each ingredient, we separately investigated the effects of their ingestion on the cutaneous emission amounts of DADS and AMS. Figure 4b and Figure 5b show the total amounts of DADS and AMS dermally emitted following garlic consumption and the ingestion of 0.5 g of each ingredient as well as those of the control and 1 g of the natural food additive. While no significant changes in DADS emissions were observed when the green coffee-bean extract was ingested, the ingestion of burdock powder led to slightly lower emissions (p = 0.056). On the other hand, both ingredients separately led to significantly lower cutaneous AMS emissions.
4. Discussion
As presented above, ingesting the natural food additive containing PPs and PPO can successfully reduce the emission fluxes of cutaneous DADS and AMS. Emission fluxes of human skin gases vary greatly from person to person [25,30,31]. However, the three healthy male subjects exhibited common time-course profiles in the dermal emission fluxes of both organosulfur compounds, with little individual variations observed, which is mainly ascribable to the consumption of large amounts of garlic.
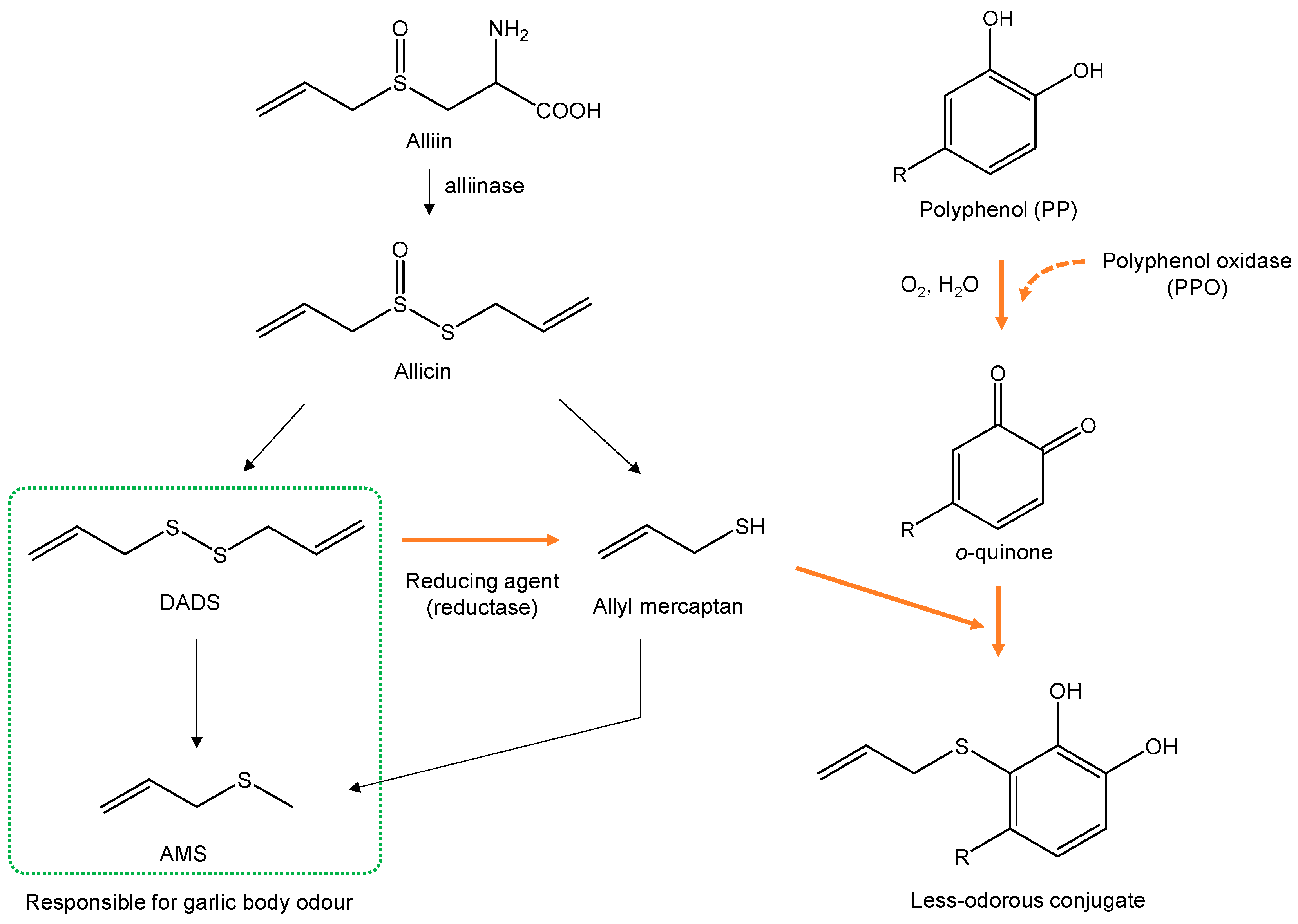
The mechanisms associated with the generation of garlic body odour and the removal of organosulfur compounds by natural food additives are shown in Figure 6 based on the results presented above. Alliin is converted into allicin when garlic is consumed orally, and allicin is a precursor of a variety sulphur-containing organic compounds in the body, including allyl mercaptan and DADS, which are subsequently metabolised to other compounds, including AMS. Volatile sulphur compounds, typically DADS and AMS, are transferred to the skin surface via the blood and released, causing garlic body odour. The shift in the peak observed in the AMS time course (Figure 3b) is most likely related to AMS formed from DSDS and allyl mercaptan and is consequently somewhat latent in the skin layer after leaving the bloodstream [17]. The PPs in the natural food additive is readily oxidised to the corresponding o-quinones by oxygen and water, and this process is promoted by PPO [21,22,30]. According to Yasuda and Arakawa [32], (−)-epigallocatechin gallate (EGCg) exhibits deodorising activity against methyl mercaptan (CH3SH) because the methylthio group (CH3S-) adds to the o-quinone; however, it exhibits no activity against dimethyl disulfide (CH3S-SCH3), which suggests that the o-quinone generated from the natural food additive eliminates allyl mercaptan rather than DADS. The results shown in Figure 4b support the notion that no significant change is observed by ingesting green coffee-bean extract alone. However, the slight decrease in the dermal emission was observed when 0.5 g of the burdock powder was consumed; this probably reflects the fact that a DADS reducing agent is present in the burdock powder, with a formation of allyl mercaptan from DADS. Consequently, dermal emissions of DADS were significantly reduced by the natural food additive because both ingredients are mixed. Meanwhile, only cutaneous AMS emissions were significantly lowered by the ingestion of green coffee-bean extract (Figure 5b). This is because AMS is produced through the rapid methylation of allyl mercaptan by S-adenosylmethionine and gut microflora [16,17]. The resulting conjugates are either odourless or have different smells. Based on the series of reactions examined in this study, we propose that ally mercaptan acts as a key garlic-body-odour-reducing substance through the ingestion of natural food additives rich in PPs and PPO.
Figure 6.
Metabolic pathways for the synthesis of DADS and AMS from alliin and the elimination of organosulfur compounds by ingested natural food additives containing PPs and PPO. The black arrows show the metabolic pathway of alliin via allicin, while the orange arrows show the reaction routes induced by the ingestion of the natural food additive.
The optimal dose of the natural food additive determined in this study only applies to the consumption of 45 g of cooked garlic, which is a limitation of this study. The emission fluxes of skin-derived DADS and AMS have previously been reported [17] to vary nonlinearly with garlic consumption, which is likely ascribable to the digestion rate of solid garlic pieces affecting the rates of formation of the organosulfur compounds. Furthermore, garlic is a versatile ingredient, with various cooking and consumption methods other than grilling used globally. We intend to examine the effects of natural food additives on various garlic dishes and their consumption for deodorising garlic body odour.
Food and food additives are known to control skin-gas emissions. For example, trans-2-nonenal, an odour associated with ageing, can be reduced by ingesting New Zealand black currant powder [30], while improving the gut environment by ingesting lactulose produced from milk sugar reduces levels of ammonia while increasing levels of γ-lactone [31]. The emission of cutaneous ammonia can also be reduced by ingesting L-ornithine, which is a non-proteinogenic α-amino acid involved in the urea cycle that functions by lowering the blood ammonia level [33,34]. This study is the first to report the deodorisation of garlic body odour and provides new insight into reducing body odour through food intake. Therefore, other human skin gases that may contribute to body odour need to be further studied.
5. Conclusions
This study aimed to demonstrate the effects of ingesting a natural food additive rich in both PPs and PPO on the quantity of skin-derived DADS and AMS, which are responsible for garlic body odour. Garlic-consumption experiments involving three healthy male subjects revealed that the remarkably lower dermal emission fluxes of both organosulfur compounds were achieved by ingesting the natural food additive after consuming 45 g of cooked garlic compared to the control; the levels subsequently gradually decreased to those initially recorded. While the DADS-emission flux peaked immediately following garlic consumption, that of AMS peaked 30 min after consumption. Both compounds exhibited lower dermal emission fluxes in a manner that depended on the amount of ingested natural food additive. The optimal ingestion dose of the natural food additive was determined to be 1–2 g for reducing garlic body odour. Considering the metabolic pathway for the synthesis of DADS and AMS and the elimination reactions involving the PPs and PPO, we suggest that mercaptan is a key substance associated with the reduction of garlic body odour through the intake of natural food additives. Based on this study, we will further investigate the deodorizing effect of ingesting the natural food additive on other human skin gases, such as trans-2-nonenal and ammonia, considering the reaction mechanisms with PPs and PPO.
Author Contributions
Conceptualization, T.H. and Y.S.; methodology, Y.K. and S.S; formal analysis, Y.K., S.S. and Y.S.; investigation, Y.K. and S.S.; data curation, T.H. and Y.S.; writing—original draft preparation, Y.S.; writing—review and editing, T.H. All authors have read and agreed to the published version of the manuscript.
Funding
This research received no external funding. T.H. was supported by Takasago Food Products Co., Ltd., and Y.K. was supported by Takasago International Corporation in the form of salaries. Y.S. and S.S have received a research grant from Takasago International Corporation.
Institutional Review Board Statement
This study was performed in accordance with the guidelines laid out in the Declaration of Helsinki and was conducted with the approval of the Institutional Review Board, Takasago International Corporation (No. 201702002R) and Shonan Campus, Tokai University, Japan (No. 16182). Written informed consent was obtained from all participants.
Informed Consent Statement
Informed consent was obtained from all subjects involved in the study. Written informed consent has been obtained from the subjects to publish this paper.
Data Availability Statement
The original contributions presented in the study are included in the article, further inquiries can be directed to the corresponding author.
Conflicts of Interest
The authors declare no competing interests. The funder, Takasago International Corporation, provided funding for authors, but did not have any additional role in the study design, data collection and analysis, decision to publish, or preparation of the manuscript.
References
- Goncagul, G.; Ayaz, E. Antimicrobial effect of garlic (Allium sativum) and traditional medicine. J. Anim. Vet. Adv. 2010, 9, 1–4. [Google Scholar] [CrossRef]
- Milner, J.A. Garlic: Its anticarcinogenic and antitumorigenic properties. Nutr. Rev. 1996, 54, S82–S86. [Google Scholar] [CrossRef] [PubMed]
- Block, G.; Patterson, B.; Subar, A. Fruit, vegetables, and cancer prevention: A review of the epidemiological evidence. Nutr. Cancer 1992, 18, 1–29. [Google Scholar] [CrossRef]
- Challier, B.; Perarnau, J.M.; Viel, J.F. Garlic, onion and cereal fiber as protective factors for breast cancer: A French case-control study. Eur. J. Epidemiol. 1998, 14, 737–747. [Google Scholar] [CrossRef]
- Amagase, H.; Petesch, B.L.; Matsuura, H.; Kasuga, S.; Itakura, Y. Intake of garlic and its bioactive components. J. Nutr. 2001, 131, 955S–962S. [Google Scholar] [CrossRef]
- Fleischauer, A.T.; Arab, L. Garlic and cancer: A critical review of the epidemiologic literature. J. Nutr. 2001, 131, 1032S–1040S. [Google Scholar] [CrossRef]
- Ansary, J.; Forbes-Hernández, T.Y.; Gil, E.; Cianciosi, D.; Zhang, J.; Elexpuru-Zabaleta, M.; Simal-Gandara, J.; Giampieri, F.; Battino, M. Potential Health Benefit of Garlic Based on Human Intervention Studies: A Brief Overview. Antioxidants 2020, 9, 619. [Google Scholar] [CrossRef]
- Zhang, Y.; Liu, X.; Ruan, J.; Zhuang, X.; Zhang, X.; Li, Z. Phytochemicals of garlic: Promising candidates for cancer therapy. Biomed. Pharmacother. 2020, 123, 109730. [Google Scholar] [CrossRef]
- De Greef, D.; Barton, E.M.; Sandberg, E.N.; Croley, C.R.; Pumarol, J.; Wong, T.L.; Das, N.; Bishayee, A. Anticancer potential of garlic and its bioactive constituents: A systematic and comprehensive review. Semin. Cancer Biol. 2021, 73, 219–264. [Google Scholar] [CrossRef]
- Lee, J.; Zhao, N.; Fu, Z.; Choi, J.; Lee, H.J.; Chung, M. Effects of garlic intake on cancer: A systematic review of randomized clinical trials and cohort studies. Nutr. Res. Pract. 2021, 6, 773–788. [Google Scholar] [CrossRef]
- Haggard, H.W.; Greenberg, L.A. Breath odors from alliaceous substance: Cause and remedy. J. Am. Med. Assoc. 1935, 104, 2160–2163. [Google Scholar] [CrossRef]
- Minami, T.; Boku, T.; Inada, K.; Morita, M.; Okazaki, Y. Odor components of human breath after the ingestion of grated raw garlic. J. Food Sci. 1989, 54, 763–765. [Google Scholar] [CrossRef]
- Taucher, J.; Hansel, A.; Jordan, A.; Lindinger, W. Analysis of compounds in human breath after ingestion of garlic using proton-transfer-reaction mass spectrometry. J. Agric. Food Chem. 1996, 44, 3778–3782. [Google Scholar] [CrossRef]
- Borlinghaus, J.; Foerster Née Reiter, J.; Kappler, U.; Antelmann, H.; Noll, U.; Gruhlke, M.C.H.; Slusarenko, A.J. Allicin, the Odor of Freshly Crushed Garlic: A Review of Recent Progress in Understanding Allicin’s Effects on Cells. Molecules 2021, 26, 1505. [Google Scholar] [CrossRef]
- Yu, S.; Huang, X.; Wang, L.; Wang, Y.; Jiao, X.; Chang, X.; Tian, X.; Ren, Y.; Zhang, X. Characterization of the volatile flavor profiles of black garlic using nanomaterial-based colorimetric sensor array, HS-SPME-GC/MS coupled with chemometrics strategies. Food Chem. 2024, 458, 140213. [Google Scholar] [CrossRef]
- Mirondo, R.; Barringer, S. Deodorization of garlic breath by foods, and the role of polyphenol oxidase and phenolic compounds. J. Food Sci. 2016, 81, C2425–C2430. [Google Scholar] [CrossRef]
- Sato, S.; Sekine, Y.; Kakumu, Y.; Hiramoto, T. Measurement of diallyl disulfide and allyl methyl sulfide emanating from human skin surface and influence of ingestion of grilled garlic. Sci. Rep. 2020, 10, 465. [Google Scholar] [CrossRef]
- Nadeem, M.S.; Kazmi, I.; Ullah, I.; Muhammad, K.; Anwar, F. Allicin, an Antioxidant and Neuroprotective Agent, Ameliorates Cognitive Impairment. Antioxidants 2021, 11, 87. [Google Scholar] [CrossRef]
- Iciek, M.; Kwiecien, I.; Wlodek, L. Biological properties of garlic and garlic-derived organosulfur compounds. Environ. Mol. Mut. 2009, 50, 247–265. [Google Scholar] [CrossRef]
- Japan Association on Odor Environment. Available online: https://orea.or.jp/gijutsu/kyuukakusokuteihou/odor-threshold-values/ (accessed on 23 September 2024).
- Negishi, O.; Negishi, Y.; Ozawa, T. Effects of food materials on removal of Allium- specific sulfur compounds. J. Agric. Food Chem. 2002, 50, 3856–3861. [Google Scholar] [CrossRef]
- Negishi, O.; Negishi, Y. Enzymatic deodorization with raw fruits, vegetables and mushrooms. Food Sci. Technol. Res. 1999, 5, 176–180. [Google Scholar] [CrossRef]
- Mitra, A.; Choi, S.; Boshier, P.R.; Razumovskaya-Hough, A.; Belluomo, I.; Spanel, P.; Hanna, G.B. The Human Skin Volatolome: A Systematic Review of Untargeted Mass Spectrometry Analysis. Metabolites 2022, 12, 824. [Google Scholar] [CrossRef] [PubMed]
- Mochalski, P.; King, J.; Unterkofler, K.; Hinterhuber, H.; Amann, A. Emission rates of selected volatile organic compounds from skin of healthy volunteers. J. Chromatogr. B 2014, 959, 62–72. [Google Scholar] [CrossRef] [PubMed]
- Sekine, Y.; Oikawa, D.; Todaka, M. Human skin gas profile of individuals with the people allergic to me phenomenon. Sci. Rep. 2023, 13, 9471. [Google Scholar] [CrossRef]
- Tsushima, S.; Wargocki, P.; Tanabe, S. Sensory evaluation and chemical analysis of exhaled and dermally emitted bioeffluents. Indoor Air 2018, 28, 146–163. [Google Scholar] [CrossRef]
- Hiramoto, T. Deodorant material born from food ingredients DEOATAK®. Takasago Times 2011, 168, 13–20. (In Japanese) [Google Scholar]
- Singleton, V.L.; Rossi, J.A. Colorimetry of total phenolics with phosphomolybdic-phosphotungstic acid reagents. Am. J. Enol. Vitic. 1965, 16, 144–158. [Google Scholar] [CrossRef]
- Pérez, M.; Dominguez-López, I.; Lamuela-Raventós, R.M. The chemistry behind the folin-ciocalteu method for the estimation of (poly)phenol content in food: Total phenolic intake in a mediterranean dietary pattern. J. Agric. Food Chem. 2023, 46, 17543–17553. [Google Scholar] [CrossRef]
- Willems, M.E.T.; Todaka, M.; Banic, M.; Cook, M.D.; Sekine, Y. Intake of New Zealand Blackcurrant Powder affects skin-borne volatile organic compounds in middle-aged and older adults. J. Diet. Suppl. 2022, 19, 603–620. [Google Scholar] [CrossRef]
- Sekine, Y.; Uchiyama, S.; Todaka, M.; Sakai, Y.; Sakiyama, R.; Ochi, H.; Muramatsu, M.; Asai, S.; Umezawa, K. Influence of Ingestion of Lactulose on γ-Lactones Emanating from Human Skin Surface. Appl. Sci. 2023, 13, 3930. [Google Scholar] [CrossRef]
- Yasuda, H.; Arakawa, T. Deodorizing Mechanism of (–)-Epigallocatechin Gallate against Methyl Mercaptan. Biosci. Biotech. Biochem. 1995, 59, 1232–1236. [Google Scholar] [CrossRef]
- Komano, Y.; Kirisako, T.; Morishita, K.; Nozawa, H.; Miura, Y.; Kamiya, U.; Tsuda, T.; Kokubo, T. The effect of L-ornithine intake on ammonia secretion from the skin. Jpn. Pherm. Therap. 2013, 41, 797–801. [Google Scholar]
- Hadjihambi, A.; Arias, N.; Sheikh, M.; Jalan, R. Hepatic encephalopathy: A critical current review. Hepatol. Int. 2018, 12 (Suppl. S1), 135–147. [Google Scholar] [CrossRef] [PubMed]
Disclaimer/Publisher’s Note: The statements, opinions and data contained in all publications are solely those of the individual author(s) and contributor(s) and not of MDPI and/or the editor(s). MDPI and/or the editor(s) disclaim responsibility for any injury to people or property resulting from any ideas, methods, instructions or products referred to in the content. |
© 2024 by the authors. Licensee MDPI, Basel, Switzerland. This article is an open access article distributed under the terms and conditions of the Creative Commons Attribution (CC BY) license (https://creativecommons.org/licenses/by/4.0/).





