Experimental Evaluation of Gas-Dynamic Conditions of Heat Exchange of Stationary Air Flows in Vertical Conical Diffuser
Abstract
1. Introduction
- -
- to create an experimental setup and select a measuring base for studying the gas dynamics of the air flow in a vertical, conical, flat diffuser;
- -
- to obtain experimental data on the instantaneous values of the air flow velocity in a vertical diffuser for different initial conditions;
- -
- to describe the distribution of the velocity fields in a vertical diffuser for different boundary conditions;
- -
- to present the turbulence intensity fields of the air flow in a vertical diffuser for different initial conditions;
- -
- to obtain the dependences of the change in turbulence intensity along the downstream diffuser axis for different initial velocities at the inlet;
- -
- to perform a spectral analysis of the change in the local flow velocity over time along the height of the vertical diffuser for different boundary conditions.
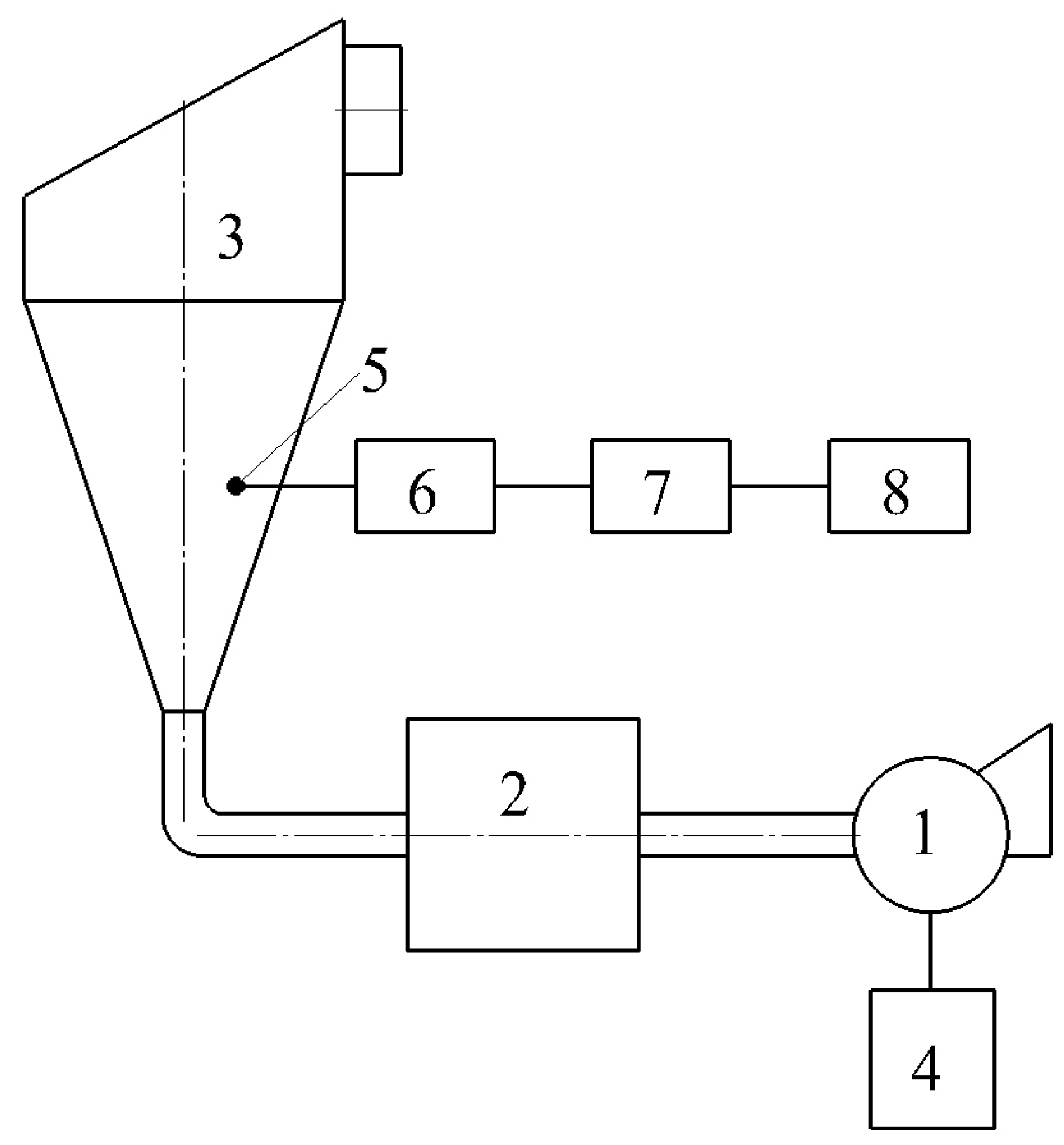
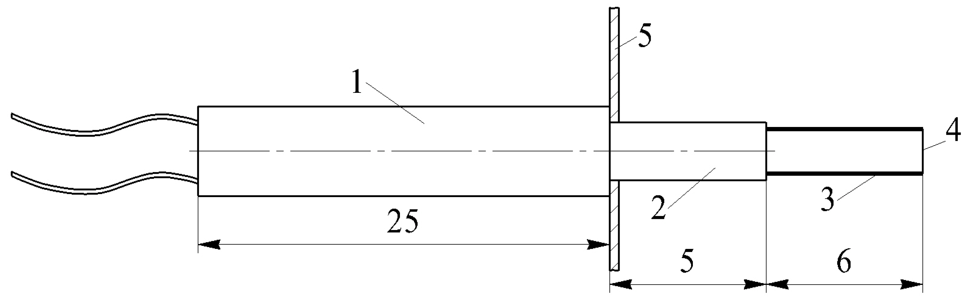
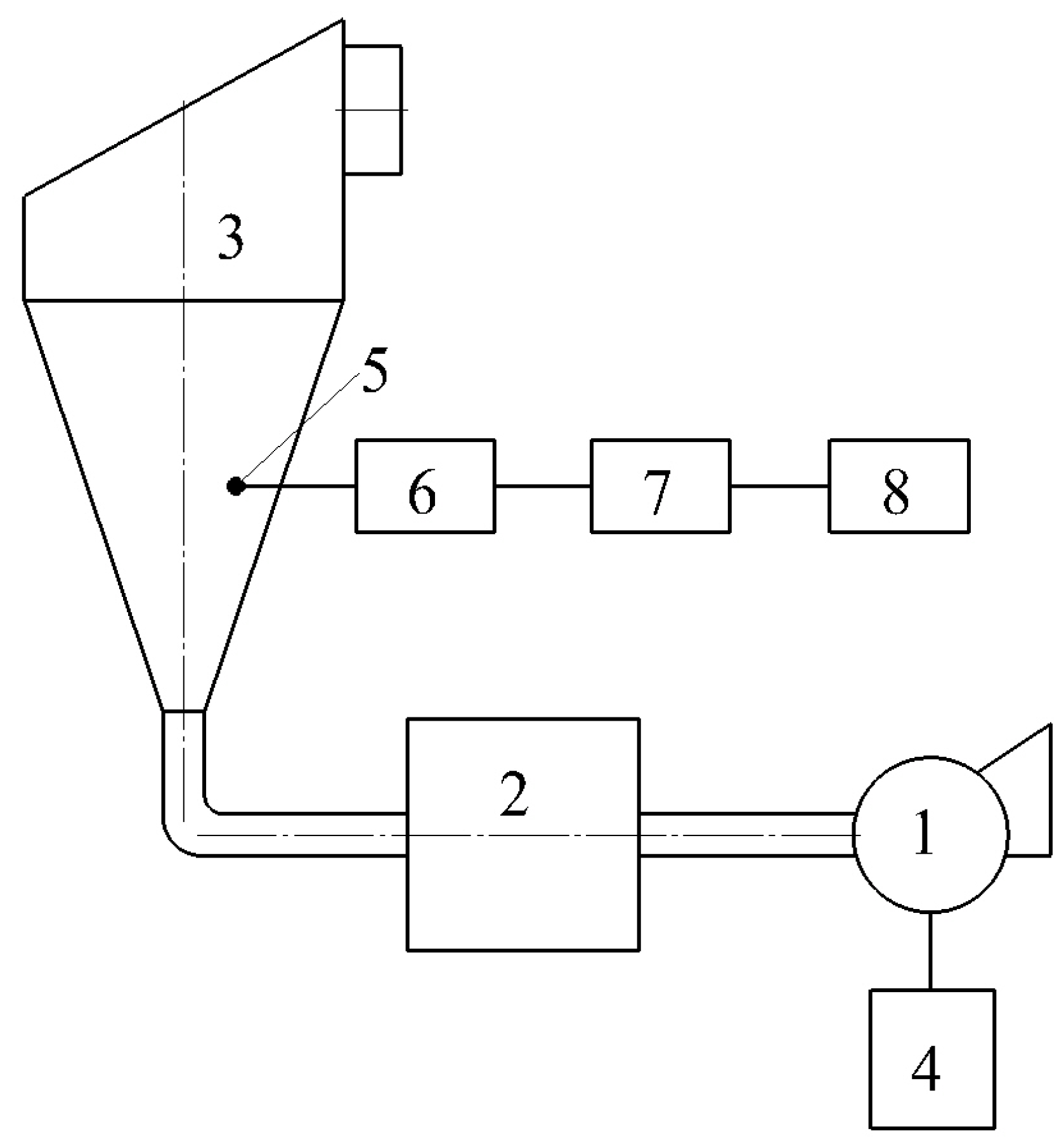
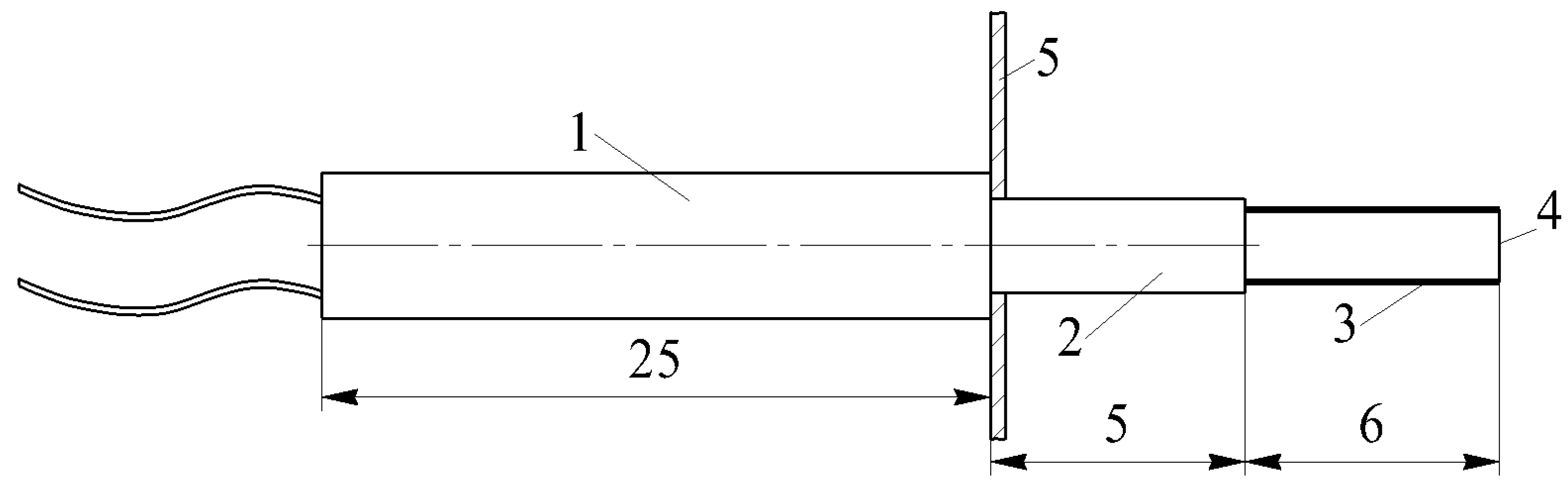
2. Statement of the Research Problem and Measurement Tools
3. Experimental Research Results, Analysis and Discussion
- -
- a wide range of flow turbulence TI variation is observed from near-zero values to 0.9 in a vertical diffuser for a given initial flow velocity (wo = 1.12 m/s);
- -
- there is an increase in TI along the downstream diffuser axis;
- -
- the highest TI values are characteristic of areas near the side walls and along the diffuser axis in control sections along the diffuser height.
- -
- the range of TI variation is from approximately zero values to 0.75 for wo = 2.22 m/s (accordingly, it can be stated that the flow turbulence decreases by an average of 15% in the diffuser with an increase in the initial velocity of the supplied air);
- -
- the TI fields have a more uniform distribution over the entire volume of the diffuser for wo = 2.22 m/s compared to the fields for wo = 1.12 m/s;
- -
- -
- there is also an increase in TI along the downstream diffuser axis;
- -
- the highest TI values are characteristic only of sections along the diffuser axis in the control sections along the diffuser height.
4. Conclusions
- -
- the experimental data on the instantaneous values of air flow velocity in a vertical, conical, flat diffuser for different initial conditions using the thermal anemometry method were obtained;
- -
- the fields of averaged velocities in a vertical diffuser for different boundary conditions were presented, where the initial flow velocity had a noticeable effect on the velocity distribution in the vertical diffuser;
- -
- the turbulence intensity fields TI in the vertical diffuser were presented; the TI values had a wide range of variation from 0.05 to 0.92; an increase in the initial flow velocity (from 0.4 m/s to 2.22 m/s) caused a drop in TI by an average of 15%; and the value of the initial flow velocity modified the turbulence intensity fields in the vertical diffuser;
- -
- the change in TI along the downstream diffuser axis was shown, where the dependence TI = f (h) was nonlinear and was determined by the initial flow velocity;
- -
- the spectral analysis of the function wx = f (τ) along the vertical diffuser height was performed. The dominant frequencies of the velocity pulsations f decreased from 52 Hz at h = 50 mm to 9 Hz at h = 630 mm. This indicates the predominance of large-scale turbulent structures downstream. The amplitudes of the velocity pulsations Aw at the dominant frequencies increased from a minimum of 0.021 m/s at h = 50 mm to a maximum of 0.095 m/s at h = 350 mm. This is due to the development of hydrodynamic instabilities and recirculation zones. The amplitude decreased due to turbulence dissipation for h > 350 mm.
Author Contributions
Funding
Institutional Review Board Statement
Informed Consent Statement
Data Availability Statement
Acknowledgments
Conflicts of Interest
References
- Tanasa, C.; Bosioc, A.; Stuparu, A.; Muntean, S.; Susan-Resiga, R. A Perspective Review of Passive Techniques Applied to Control the Swirling Flow Instabilities from the Conical Diffuser of Hydraulic Turbines. Appl. Mech. Rev. 2023, 75, 060801. [Google Scholar] [CrossRef]
- Abaimov, N.; Ryzhkov, A.; Dubinin, A.; Ding, L.; Tuponogov, V.; Alekseenko, S. Investigation into the operation of an autothermal two-section subbituminous coal fluidized bed gasifier. Int. J. Coal Sci. Technol. 2023, 10, 37. [Google Scholar] [CrossRef]
- Zheng, L.; Wang, W.; Zhang, Y.; Wang, L.; Lu, W. Optimization Analysis of the Mixing Chamber and Diffuser of Ejector Based on Fano Flow Model. CMES-Comput. Model. Eng. Sci. 2022, 133, 153–170. [Google Scholar] [CrossRef]
- Wang, K.; Liu, L.; Xu, D.; Gu, H. Simulation and optimization of a conical type swirl-vane separator in nuclear SG. Nucl. Eng. Des. 2023, 408, 112325. [Google Scholar] [CrossRef]
- Romantchik-Kriuchkova, E.; Santos-Hernandez, A.M.; Rios-Urban, E.; Terrazas-Ahumada, D. Non-uniform airflow analysis of a greenhouse extractor axial with conical diffusers using CFD simulation. IEEE Lat. Am. Trans. 2021, 19, 1325–1334. [Google Scholar] [CrossRef]
- Mfon, S.A.; Alabi, S.B.; Udoetok, E.S.; Offor, U.; Nsek, E.; Tomas, Z.; Miklík, T. A semi-empirical model for estimation of pressure drop coefficient of a conical diffuser. Chem. Eng. Trans. 2019, 74, 1003–1008. [Google Scholar]
- Teshnizi, E.S.; Momeni, F. Analytical Solutions and Analyses of the Displacement Separating Point in Diffusers. J. Appl. Comput. Mech. 2022, 8, 891–903. [Google Scholar]
- Mamoudou, A.; Fokone, A.T.; Berville, C.; Kuitche, A. Contribution to the modelling of air flows in a conical inlet drying chamber. IOP Conf. Ser. Earth Environ. Sci. 2023, 1185, 012044. [Google Scholar] [CrossRef]
- Zhou, X.; Wu, H.; Cheng, L.; Huang, Q.; Shi, C. A new draft tube shape optimisation methodology of introducing inclined conical diffuser in hydraulic turbine. Energy 2023, 265, 126374. [Google Scholar] [CrossRef]
- Zhou, X.; Huang, Q.; Hu, X.; Dai, X. Study of the effects of modified draft tube with inclined conical diffuser on draft tube and upstream region. J. Phys. Conf. Ser. 2024, 2707, 012064. [Google Scholar] [CrossRef]
- Liu, Z.; Favrel, A.; Miyagawa, K. Effect of the conical diffuser angle on the confined swirling flow induced Precessing Vortex Core. Int. J. Heat Fluid Flow 2022, 95, 108968. [Google Scholar] [CrossRef]
- Buron, J.-D.; Houde, S.; Deschênes, C. Statistical and spectral analysis of the bulbt conical diffuser flow. Int. J. Fluid Mach. Syst. 2020, 13, 79–89. [Google Scholar] [CrossRef]
- Skripkin, S.; Suslov, D.; Plokhikh, I.; Tsoy, M.; Gorelikov, E.; Litvinov, I. Data-Driven Prediction of Unsteady Vortex Phenomena in a Conical Diffuser. Energies 2023, 16, 2108. [Google Scholar] [CrossRef]
- Véras, P.; Balarac, G.; Métais, O.; Georges, D.; Bombenger, A.; Ségoufin, C. Reconstruction of numerical inlet boundary conditions using machine learning: Application to the swirling flow inside a conical diffuser. Phys. Fluids 2021, 33, 085132. [Google Scholar] [CrossRef]
- Hwang, P.-W.; Wu, J.-H.; Chang, Y.-J. Optimization Based on Computational Fluid Dynamics and Machine Learning for the Performance of Diffuser-Augmented Wind Turbines with Inlet Shrouds. Sustainability 2024, 16, 3648. [Google Scholar] [CrossRef]
- Tieghi, L.; Corsini, A.; Delibra, G.; Tucci, F.A. A machine-learnt wall function for rotating diffusers. J. Turbomach. 2021, 143, 4050442. [Google Scholar] [CrossRef]
- Brunton, S.L. Applying machine learning to study fluid mechanics. Acta Mech. Sin. 2021, 37, 1718–1726. [Google Scholar] [CrossRef]
- Yang, J.; Zhang, Y.; Chen, H.; Fu, S. Flow separation control in a conical diffuser with a Karman-vortex generator. Aerosp. Sci. Technol. 2020, 106, 106076. [Google Scholar] [CrossRef]
- Askari, E.S.S.; Hussein, A.A.; Khudhier, A. Evaluation of velocity distribution utilizing the helically coiled tape in a conical diffuser. IOP Conf. Ser. Mater. Sci. Eng. 2019, 518, 032018. [Google Scholar] [CrossRef]
- Plotnikov, L.; Ryzhkov, A. The Influence of Supply Channel Design on the Gas-Dynamic Structure of Air Flow in a Vertical Conical Diffuser. Appl. Sci. 2023, 13, 12141. [Google Scholar] [CrossRef]
- Kale, S.A.; Godse, R.V.; Phakatkar, H.G. Performance evaluation of small wind turbine diffusers with different diameters. Int. J. Innov. Technol. Explor. Eng. 2019, 8, 1077–1080. [Google Scholar]
- Yan, Y.; Liang, H.-X.; Li, Y.-J.; Suo, J.-Q. Analysis on Flow Field of Conical Diffusers with Different Profiles. J. Eng. Therm. Energy Power 2021, 36, 86–94. [Google Scholar]
- Mihailowitsch, M.; Schatz, M.; Vogt, D.M. Numerical investigations of an axial exhaust diffuser coupling the last stage of a generic gas turbine. J. Eng. Gas Turbines Power 2019, 141, 031025. [Google Scholar] [CrossRef]
- Benavides-Moran, A.; Lain, S. Numerical Simulations of Turbulent Gas-solid Flow in a Gradual Expansion. J. Appl. Fluid Mech. 2024, 17, 939–950. [Google Scholar]
- Chou, Y.-W.; Liao, C.-C. Numerical simulation of the pneumatic conveying of dilute particulate flows in a diffuser using Euler-Euler approach. AIP Conf. Proc. 2023, 2685, 050011. [Google Scholar]
- Sarukhanyan, A.; Vardanyan, Y.; Vermishyan, G. A study of hydrodynamic viscous fluid flow parameters change regularities in case of a conical diffuser. East. -Eur. J. Enterp. Technol. 2022, 4, 61–71. [Google Scholar] [CrossRef]
- Iachachene, F.; Haddad, Z.; Arıcı, M.; Jamei, M.; Mataoui, A. Turbulent forced convective flow in a conical diffuser: Hybrid and single nanofluids. Eng. Anal. Bound. Elem. 2023, 148, 205–219. [Google Scholar] [CrossRef]
- Ramesh, B.; Ellappan, S.K.; Nagaraj, S.; Srinivas, G.; Chinthala, S. Modeling and analysis of conical exhaust diffuser. AIP Conf. Proc. 2023, 2492, 040031. [Google Scholar]
- Lee, B.J.; Chung, J.T. Numerical investigation into the effects of design parameters on the flow characteristics in a turbine exhaust diffuser. Energies 2021, 14, 5171. [Google Scholar] [CrossRef]
- Zhou, X.; Shi, C.; Miyagawa, K.; Wu, H. Effect of modified draft tube with inclined conical diffuser on flow instabilities in Francis turbine. Renew. Energy 2021, 172, 606–617. [Google Scholar] [CrossRef]
- Zou, A.; Chassaing, J.-C.; Li, W.; Gu, Y.; Sauret, E. Quantified dense gas conical diffuser performance under uncertainties by flow characteristic analysis. Appl. Therm. Eng. 2019, 161, 114158. [Google Scholar] [CrossRef]
- Safiullin, R.; Posokhin, V. Air diffuser for ventilation and air conditioning systems with quantitative control. Lect. Notes Civ. Eng. 2021, 169, 230–238. [Google Scholar]
- Maslennikov, G.E.; Nikitina, G.I.; Nikitin, A.D.; Osipov, P.V.; Ryzhkov, A.F. Physical and numerical simulation of heat and mass transfer in the furnace of a thermogravimetric analyzer. Eurasian J. Math. Comput. Appl. 2024, 12, 61–72. [Google Scholar] [CrossRef]
- Miller, R. Flow Measurement Engineering Handbook; McGraw Hill: New York, NY, USA, 1996; 1168p. [Google Scholar]
- Plotnikov, L. A Thermal Anemometry Method for Studying the Unsteady Gas Dynamics of Pipe Flows: Development, Modernisation, and Application. Sensors 2023, 23, 9750. [Google Scholar] [CrossRef]
- Plotnikov, L.V. Thermal-mechanical characteristics of stationary and pulsating gas flows in a gas-dynamic system (in relation to the exhaust system of an engine). Therm. Sci. 2022, 26, 365–376. [Google Scholar] [CrossRef]
- Terekhov, V.I. Heat Transfer in Highly Turbulent Separated Flows: A Review. Energies 2021, 14, 1005. [Google Scholar] [CrossRef]
- Plotnikov, L.V. Gas dynamics and heat exchange of stationary and pulsating air flows during cylinder filling process through different configurations of the cylinder head channel (applicable to piston engines). Int. J. Heat Mass Transf. 2024, 233, 126041. [Google Scholar] [CrossRef]
- Nazzal, I.T.; Ertunç, Ö. Influence of turbulent flow characteristics on flame behaviour in diffuser combustors. Energy 2019, 170, 652–667. [Google Scholar] [CrossRef]
- Nazzal, I.T.; Ertunc, Ö. Effects of turbulence intensity and length scale on the flame location of premixed turbulent combustion in a diffuser combustor. J. Therm. Sci. Technol. 2017, 12, JTST0029. [Google Scholar] [CrossRef]
- Hartung, G.; Hult, J.; Kaminski, C.F.; Rogerson, J.W.; Swaminathan, N. Effect of heat release on turbulence and scalar-turbulence interaction in premixed combustion. Phys. Fluids 2008, 20, 035110. [Google Scholar] [CrossRef]












| Hot-Wire Anemometer Parameter | Quantitative Value of the Parameter |
|---|---|
| Power consumption, W | 5 |
| Output signal of the hot-wire anemometer channel, V | 0…5 |
| Absolute pressure value of the measured medium, kPa | 83.7…1600 |
| Average flow velocity measurement range, m/s | 0…100 |
| Frequency characteristics of the hot-wire anemometer channel, kHz | 10 |
| Ambient air temperature, °C | 0…+45 |
| Relative humidity, % at a temperature of 35 °C | no more than 95% |
| Barometric pressure, kPa | 84…106.7 |
| Overall dimensions, mm | 195 × 100 × 40 |
| Weight of the device, kg | 0.5 |
Disclaimer/Publisher’s Note: The statements, opinions and data contained in all publications are solely those of the individual author(s) and contributor(s) and not of MDPI and/or the editor(s). MDPI and/or the editor(s) disclaim responsibility for any injury to people or property resulting from any ideas, methods, instructions or products referred to in the content. |
© 2024 by the authors. Licensee MDPI, Basel, Switzerland. This article is an open access article distributed under the terms and conditions of the Creative Commons Attribution (CC BY) license (https://creativecommons.org/licenses/by/4.0/).
Share and Cite
Plotnikov, L.; Ershov, M.; Nikitin, A.; Tuponogov, V.; Ryzhkov, A. Experimental Evaluation of Gas-Dynamic Conditions of Heat Exchange of Stationary Air Flows in Vertical Conical Diffuser. Appl. Sci. 2024, 14, 10080. https://doi.org/10.3390/app142110080
Plotnikov L, Ershov M, Nikitin A, Tuponogov V, Ryzhkov A. Experimental Evaluation of Gas-Dynamic Conditions of Heat Exchange of Stationary Air Flows in Vertical Conical Diffuser. Applied Sciences. 2024; 14(21):10080. https://doi.org/10.3390/app142110080
Chicago/Turabian StylePlotnikov, Leonid, Mikhail Ershov, Alexander Nikitin, Vladimir Tuponogov, and Alexander Ryzhkov. 2024. "Experimental Evaluation of Gas-Dynamic Conditions of Heat Exchange of Stationary Air Flows in Vertical Conical Diffuser" Applied Sciences 14, no. 21: 10080. https://doi.org/10.3390/app142110080
APA StylePlotnikov, L., Ershov, M., Nikitin, A., Tuponogov, V., & Ryzhkov, A. (2024). Experimental Evaluation of Gas-Dynamic Conditions of Heat Exchange of Stationary Air Flows in Vertical Conical Diffuser. Applied Sciences, 14(21), 10080. https://doi.org/10.3390/app142110080

