Land Subsidence Predictions Based on a Multi-Component Temporal Convolutional Gated Recurrent Unit Model in Kunming City
Abstract
1. Introduction
2. Study Area and Data
2.1. Study Area
2.2. Data Source
3. Methodology
3.1. SBAS-InSAR
3.2. MC-TCGRU
3.2.1. CEEMDAN Decomposition Algorithm
- 1.
- Add Gaussian white noise with an amplitude of to the signal , resulting in the following:
- 2.
- Decompose each using the EMD algorithm. The first component of each sample is averaged to obtain :
- 3.
- Subtract the obtained above from the original signal to obtain the residual component :
- 4.
- Add white noise to the residual component to obtain . This new sequence is decomposed using EMD to calculate the and its residual :
- 5.
- Repeat the above steps for other stages to compute and its residual:
- 6.
- The algorithm terminates when the residual component can no longer be decomposed using EMD. The final residual component can be expressed as follows:
3.2.2. TCGRU
3.2.3. Architecture of MC-TCGRU
3.3. Accuracy Evaluation Metrics
4. Results and Discussion
4.1. Spatiotemporal Evolution Characteristics of Land Subsidence in Kunming
- Region A is located along the northern shore of Dianchi Lake, encompassing areas in Xishan District.
- Region B is in the southwest of Kunming’s central urban area and appears to be expanding toward the city center, covering areas in the Guandu District.
- Region C is situated within the Guandu District.
- Region D encompasses the Chenggong District.
- Region E, located in the Jinning District, is the most severely affected area, with a maximum subsidence rate exceeding 42 mm/year.
4.2. CEEMDAN Decomposition Results
4.3. Land Subsidence Time Series Prediction Results
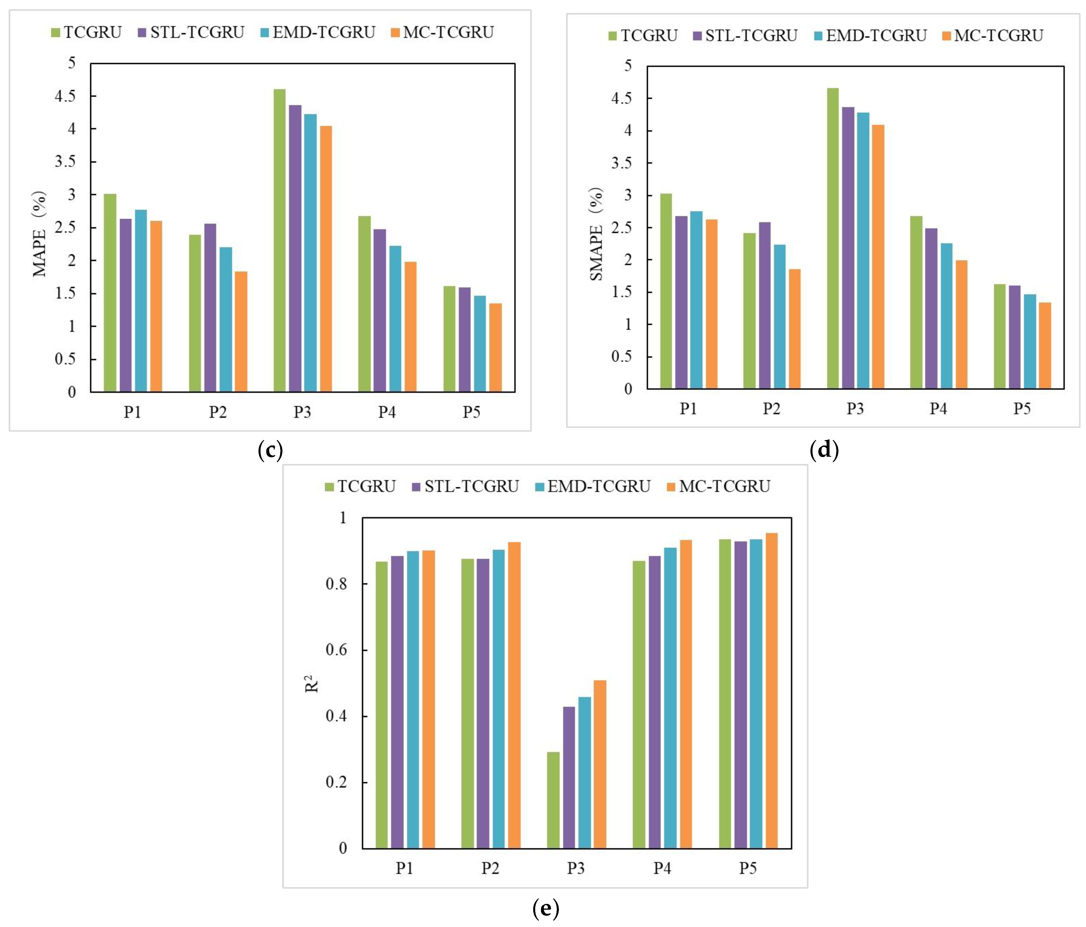
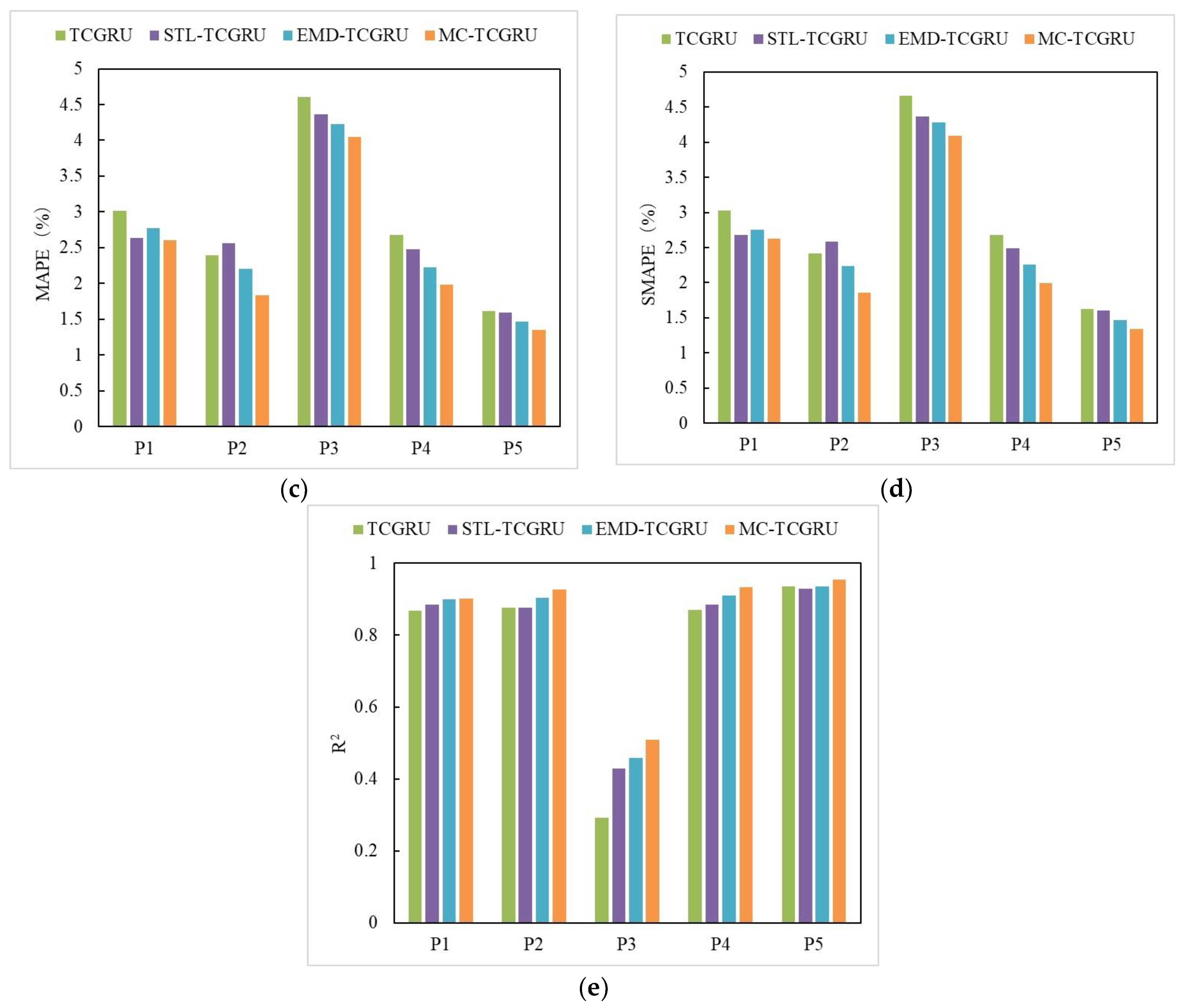
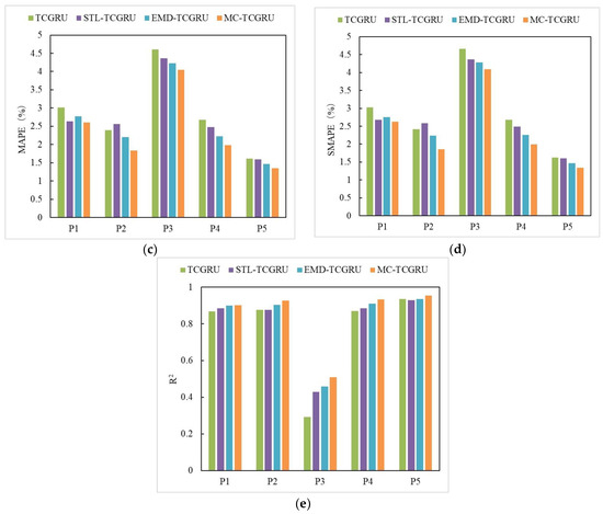
4.4. Model Performance Evaluation
5. Conclusions
Author Contributions
Funding
Institutional Review Board Statement
Informed Consent Statement
Data Availability Statement
Conflicts of Interest
Abbreviations
| LS | land subsidence | 
| MC-TCGRU | multi-component temporal convolutional gate recurrent unit | 
| STL | seasonal-trend decomposition using LOESS | 
| EMD | empirical-mode decomposition | 
| GPS | global positioning system | 
| TS-InSAR | Time-series interferometric synthetic aperture radar | 
| PS-InSAR | persistent scatterer InSAR | 
| SBAS-InSAR | small baseline subset InSAR | 
| LSP | land subsidence prediction | 
| RNN | recurrent neural network | 
| LSTM | long short-term memory | 
| CEEMDAN | complete-ensemble empirical-mode decomposition with adaptive noise | 
| IMF | intrinsic mode function | 
| EEMD | ensemble empirical-mode decomposition | 
| GRU | gated recurrent unit | 
| TCN | temporal convolutional network | 
| TCGRU | temporal convolutional gated recurrent unit | 
| AEMs | accuracy evaluation metrics | 
| MAE | mean absolute error | 
| RMSE | root mean squared error | 
| R² | coefficient of determination | 
| MAPE | mean absolute percentage error | 
| SMAPE | symmetric mean absolute percentage error | 
References
- Li, Y.; Zuo, X.; Yang, F.; Bu, J.; Wu, W.; Liu, X. Effectiveness Evaluation of DS-InSAR Method Fused PS Points in Surface Deformation Monitoring: A Case Study of Hongta District, Yuxi City, China. Geomat. Nat. Hazards Risk 2023, 14, 2176011. [Google Scholar] [CrossRef]
- Yan, X.X.; Yang, T.L.; Xu, Y.; Tosi, L.; Stouthamer, E.; Andreas, H.; Minderhoud, P.; Ladawadee, A.; Hanssen, R.; Erkens, G.; et al. Advances and practices on the research, prevention and control of land subsidence in coastal cities. Acta Geol. Sin. 2020, 94, 162–175. [Google Scholar] [CrossRef]
- Jiang, H.; Balz, T.; Cigna, F.; Tapete, D.; Li, J.; Han, Y. Multi-sensor InSAR time series fusion for long-term land subsidence monitoring. Geo-Spat. Inf. Sci. 2023, 1–17. [Google Scholar] [CrossRef]
- Xu, Y.S.; Ma, L.; Du, Y.J.; Shen, S.L. Analysis of urbanisation-induced land subsidence in Shanghai. Nat. Hazards 2012, 63, 1255–1267. [Google Scholar] [CrossRef]
- Li, Y.T.; Bao, T.F.; Gong, J.; Shu, X.S.; Zhang, K. The prediction of dam displacement time series using STL, extra-trees, and stacked LSTM neural network. IEEE Access 2020, 8, 94440–94452. [Google Scholar] [CrossRef]
- Shi, W.; Chen, G.; Meng, X.; Jiang, W.; Chong, Y.; Zhang, Y.; Dong, Y.; Zhang, M. Spatial-Temporal Evolution of Land Subsidence and Rebound over Xi’an in Western China Revealed by SBAS-InSAR Analysis. Remote Sens. 2020, 12, 3756. [Google Scholar] [CrossRef]
- Hu, B.; Li, Z. Time-Series InSAR Technology for Ascending and Descending Orbital Images to Monitor Surface Deformation of the Metro Network in Chengdu. IEEE J. Sel. Top. Appl. Earth Obs. Remote Sens. 2021, 14, 12583–12597. [Google Scholar] [CrossRef]
- Ding, Q.; Shao, Z.; Huang, X.; Altan, O.; Zhuang, Q.; Hu, B. Monitoring, analyzing and predicting urban surface subsidence: A case study of Wuhan City, China. Int. J. Appl. Earth Obs. Geoinf. 2021, 102, 102422. [Google Scholar] [CrossRef]
- Xiong, S.-H.; Wang, Z.-P.; Li, G.; Skibniewski, M.J.; Chen, Z.-S. Prediction of Airport Runway Settlement Using an Integrated Sbas-Insar and Bp-Enkf Approach. Inf. Sci. 2024, 665, 120376. [Google Scholar] [CrossRef]
- Cigna, F.; Tapete, D. Urban growth and land subsidence: Multi-decadal investigation using human settlement data and satellite InSAR in Morelia, Mexico. Sci. Total Environ. 2021, 811, 152211. [Google Scholar] [CrossRef]
- Goorabi, A.; Karimi, M.; Yamani, M.; Perissin, D. Land subsidence in Isfahan metropolitan and its relationship with geological and geomorphological settings revealed by Sentinel-1A InSAR observations. J. Arid. Environ. 2020, 181, 104238. [Google Scholar] [CrossRef]
- Zhou, W.; Chen, F.; Guo, H. Differential Radar Interferometry for Structural and Ground Deformation Monitoring: A New Tool for the Conservation and Sustainability of Cultural Heritage Sites. Sustainability 2015, 7, 1712–1729. [Google Scholar] [CrossRef]
- Ferretti, A.; Prati, C.; Rocca, F. Nonlinear subsidence rate estimation using permanent scatterers in differential SAR interferometry. IEEE Trans. Geosci. Remote Sens. 2000, 38, 2202–2212. [Google Scholar] [CrossRef]
- Berardino, P.; Fornaro, G.; Lanari, R.; Sansosti, E. A new algorithm for surface deformation monitoring based on small baseline differential SAR interferograms. IEEE Trans. Geosci. Remote Sens. 2002, 40, 2375–2383. [Google Scholar] [CrossRef]
- Lanari, R.; Casu, F.; Manzo, M.; Zeni, G.; Berardino, P.; Manunta, M.; Pepe, A. An Overview of the Small BAseline Subset Algorithm: A DInSAR Technique for Surface Deformation Analysis. In Deformation and Gravity Change: Indicators of Isostasy, Tectonics, Volcanism, and Climate Change; Wolf, D., Fernández, J., Eds.; Pageoph Topical Volumes; Birkhäuser Basel: Basel, Switzerland, 2007. [Google Scholar] [CrossRef]
- Bai, L.; Jiang, L.; Wang, H.; Sun, Q. Spatiotemporal Characterization of Land Subsidence and Uplift (2009–2010) over Wuhan in Central China Revealed by TerraSAR-X InSAR Analysis. Remote Sens. 2016, 8, 350. [Google Scholar] [CrossRef]
- Sabrian, P.G.; Saepuloh, A.; Kashiwaya, K.; Koike, K. Combined SBAS-InSAR and geostatistics to detect topographic change and fluid paths in geothermal areas. J. Volcanol. Geotherm. Res. 2021, 416, 107272. [Google Scholar] [CrossRef]
- Yang, W.; Xia, X. Prediction of mining subsidence under thin bedrocks and thick unconsolidated layers based on field measurement and artificial neural networks. Comput. Geosci. 2013, 52, 199–203. [Google Scholar] [CrossRef]
- Kumar, S.; Kumar, D.; Donta, P.K.; Amgoth, T. Land subsidence prediction using recurrent neural networks. Stoch. Environ. Res. Risk Assess. 2022, 36, 373–388. [Google Scholar] [CrossRef]
- Francesco, R.D. Exact solution of Terzaghi’s consolidation equation and extension to two/three-dimensional cases. Appl. Math. 2013, 4, 713–717. [Google Scholar] [CrossRef][Green Version]
- Rogers, J.D.; Chung, J.-W. Applying Terzaghi’s method of slope characterization to the recognition of Holocene land slippage. Geomorphology 2016, 265, 24–44. [Google Scholar] [CrossRef]
- Zhao, F.C.; Miao, F.S.; Wu, Y.P.; Xiong, Y.; Gong, S.Q.; Sun, D.K. Land subsidence susceptibility mapping in urban settlements using time-series PS-InSAR and random forest model. Gondwana Res. 2024, 125, 406–424. [Google Scholar] [CrossRef]
- Rahmati, O.; Falah, F.; Naghibi, S.A.; Biggs, T.; Soltani, M.; Deo, R.C.; Cerdà, A.; Mohammadi, F.; Tien Bui, D. Land subsidence modelling using tree-based machine learning algorithms. Sci. Total Environ. 2019, 672, 239–252. [Google Scholar] [CrossRef] [PubMed]
- Zhang, H.; Dang, X.; Jia, L.; Zhao, J.; Fan, X.; Lu, M. Analysis and prediction of landslide subsidence characteristics of Dangchuan based on sentinel-1A data. In Proceedings of the International Conference on Neural Networks, Information, and Communication Engineering (NNICE), Qingdao, China, 25–27 March 2022; Volume 12258, pp. 345–352. [Google Scholar] [CrossRef]
- Guo, H.; Yuan, Y.; Wang, J.; Cui, J.; Zhang, D.; Zhang, R.; Cao, Q.; Li, J.; Dai, W.; Bao, H.; et al. Large-Scale Land Subsidence Monitoring and Prediction Based on SBAS-InSAR Technology with Time-Series Sentinel-1A Satellite Data. Remote Sens. 2023, 15, 2843. [Google Scholar] [CrossRef]
- Li, H.; Zhu, L.; Gong, H.; Sun, H.; Yu, J. Land subsidence modelling using a long short-term memory algorithm based on time-series datasets. Proc. Int. Assoc. Hydrol. Sci. 2020, 382, 505–510. [Google Scholar] [CrossRef]
- Chen, Y.; He, Y.; Zhang, L.; Chen, Y.; Pu, H.; Chen, B.; Gao, L. Prediction of InSAR deformation time-series using a long short-term memory neural network. Int. J. Remote Sens. 2021, 42, 6919–6942. [Google Scholar] [CrossRef]
- Liu, Q.; Zhang, Y.; Deng, M.; Wu, H.; Kang, Y.; Wei, J. Time series prediction method of large-scale surface subsidence based on deep learning. Acta Geod. Cartogr. Sin. 2021, 50, 396–404. [Google Scholar]
- Torres, M.E.; Colominas, M.A.; Schlotthauer, G.; Flandrin, P. A complete ensemble empirical mode decomposition with adaptive noise. In Proceedings of the 2011 IEEE International Conference on Acoustics, Speech and Signal Processing (ICASSP), Prague, Czech Republic, 22–27 May 2011; pp. 4144–4147. [Google Scholar] [CrossRef]
- Hogenson, K.; Kristenson, H.; Kennedy, J.; Johnston, A.; Rine, J.; Logan, T.A.; Zhu, J.; Williams, F.; Herrmann, J.; Smale, J.; et al. Hybrid Pluggable Processing Pipeline (HyP3): A Cloud-Native Infrastructure for Generic Processing of SAR Data. In Proceedings of the 2016 AGU Fall Meeting, San Francisco, CA, USA, 12–16 December 2016. [Google Scholar]
- Zhu, J.J.; Li, Z.W.; Hu, J. Research progress and methods of InSAR for deformation monitoring. Acta Geogr. Sin. 2017, 46, 1717–1733. [Google Scholar] [CrossRef]
- Zhang, Y.J.; Fattahi, H.; Amelung, F. Small baseline InSAR time series analysis: Unwrapping error correction and noise reduction. Comput. Geosci. 2019, 133, 104331. [Google Scholar] [CrossRef]
- Wu, Z.; Huang, N.E. Ensemble empirical mode decomposition: A noise-assisted data analysis method. Adv. Adapt. Data Anal. 2011, 1, 1–41. [Google Scholar] [CrossRef]
- Chung, J.; Gülçehre, Ç.; Cho, K.; Bengio, Y. Empirical Evaluation of Gated Recurrent Neural Networks on Sequence Modeling. arXiv 2014, arXiv:1412.3555. [Google Scholar] [CrossRef]
- Bai, S.; Kolter, J.Z.; Koltun, V. An Empirical Evaluation of Generic Convolutional and Recurrent Networks for Sequence Modeling. arXiv 2018, arXiv:1803.01271. [Google Scholar] [CrossRef]
- Song, Y.Q.; Li, Y.M. Ground Deformation Monitoring around Dianchi Lake Based on SBAS-InSAR. Geomatics Spatial Inf. Technol. 2024, 47, 39–42. [Google Scholar] [CrossRef]
- Zhou, D.; Zuo, X.; Zhao, Z. Constructing a Large-Scale Urban Land Subsidence Prediction Method Based on Neural Network Algorithm from the Perspective of Multiple Factors. Remote Sens. 2022, 14, 1803. [Google Scholar] [CrossRef]
- Xiao, B.; Zhao, J.; Li, D.; Zhao, Z.; Xi, W.; Zhou, D. The Monitoring and Analysis of Land Subsidence in Kunming (China) Supported by Time Series InSAR. Sustainability 2022, 14, 12387. [Google Scholar] [CrossRef]
- Wang, J.; Li, M.; Yang, M.; Tang, B.-H. Deformation Detection and Attribution Analysis of Urban Areas near Dianchi Lake in Kunming Using the Time-Series InSAR Technique. Appl. Sci. 2022, 12, 10004. [Google Scholar] [CrossRef]
- Zhu, S.; Zuo, X.; Shi, K.; Li, Y.; Guo, S.; Li, C. Surface Subsidence Monitoring in Kunming City with Time-Series InSAR and GNSS. Appl. Sci. 2022, 12, 12752. [Google Scholar] [CrossRef]
- Cleveland, R.B.; Cleveland, W.S.; McRae, J.E.; Terpenning, I. STL: A seasonal-trend decomposition. J. Off. Stat. 1990, 6, 3–73. [Google Scholar]
















| Points | Model | RMSE | MAE | R2 | MAPE (%) | SMAPE (%) | 
|---|---|---|---|---|---|---|
| P1 | TCGRU | 2.83 | 2.24 | 0.87 | 3.02 | 3.03 | 
| STL-TCGRU | 2.64 | 2.00 | 0.89 | 2.64 | 2.68 | |
| EMD-TCGRU | 2.46 | 2.09 | 0.90 | 2.77 | 2.76 | |
| MC-TCGRU | 2.44 | 1.99 | 0.90 | 2.61 | 2.63 | |
| P2 | TCGRU | 2.19 | 1.63 | 0.88 | 2.40 | 2.41 | 
| STL-TCGRU | 2.17 | 1.75 | 0.88 | 2.56 | 2.58 | |
| EMD-TCGRU | 1.92 | 1.52 | 0.90 | 2.20 | 2.24 | |
| MC-TCGRU | 1.67 | 1.28 | 0.93 | 1.84 | 1.85 | |
| P3 | TCGRU | 2.50 | 1.86 | 0.29 | 4.61 | 4.66 | 
| STL-TCGRU | 2.25 | 1.73 | 0.43 | 4.37 | 4.37 | |
| EMD-TCGRU | 2.19 | 1.71 | 0.46 | 4.23 | 4.28 | |
| MC-TCGRU | 2.08 | 1.64 | 0.51 | 4.05 | 4.09 | |
| P4 | TCGRU | 2.45 | 2.00 | 0.87 | 2.68 | 2.68 | 
| STL-TCGRU | 2.31 | 1.83 | 0.88 | 2.48 | 2.49 | |
| EMD-TCGRU | 2.04 | 1.69 | 0.91 | 2.23 | 2.25 | |
| MC-TCGRU | 1.77 | 1.49 | 0.93 | 1.99 | 2.00 | |
| P5 | TCGRU | 2.92 | 2.37 | 0.93 | 1.61 | 1.63 | 
| STL-TCGRU | 3.04 | 2.37 | 0.93 | 1.59 | 1.61 | |
| EMD-TCGRU | 2.90 | 2.23 | 0.94 | 1.47 | 1.47 | |
| MC-TCGRU | 2.41 | 1.99 | 0.96 | 1.34 | 1.34 | 
| Disclaimer/Publisher’s Note: The statements, opinions and data contained in all publications are solely those of the individual author(s) and contributor(s) and not of MDPI and/or the editor(s). MDPI and/or the editor(s) disclaim responsibility for any injury to people or property resulting from any ideas, methods, instructions or products referred to in the content. | 
© 2024 by the authors. Licensee MDPI, Basel, Switzerland. This article is an open access article distributed under the terms and conditions of the Creative Commons Attribution (CC BY) license (https://creativecommons.org/licenses/by/4.0/).
Share and Cite
Chen, T.; Ning, D.; Liu, Y. Land Subsidence Predictions Based on a Multi-Component Temporal Convolutional Gated Recurrent Unit Model in Kunming City. Appl. Sci. 2024, 14, 10021. https://doi.org/10.3390/app142110021
Chen T, Ning D, Liu Y. Land Subsidence Predictions Based on a Multi-Component Temporal Convolutional Gated Recurrent Unit Model in Kunming City. Applied Sciences. 2024; 14(21):10021. https://doi.org/10.3390/app142110021
Chicago/Turabian StyleChen, Tao, Di Ning, and Yuhang Liu. 2024. "Land Subsidence Predictions Based on a Multi-Component Temporal Convolutional Gated Recurrent Unit Model in Kunming City" Applied Sciences 14, no. 21: 10021. https://doi.org/10.3390/app142110021
APA StyleChen, T., Ning, D., & Liu, Y. (2024). Land Subsidence Predictions Based on a Multi-Component Temporal Convolutional Gated Recurrent Unit Model in Kunming City. Applied Sciences, 14(21), 10021. https://doi.org/10.3390/app142110021
 
        


 
       