Validating the Threat of a Virtual Reality Clinical Environment: A Mixed Methods Study
Abstract
Featured Application
Abstract
1. Introduction
2. Materials and Methods
2.1. Subjects
2.2. Sample Size
2.3. Study Design
2.4. VR Environments
2.5. Measuring the Threat Response
2.5.1. Cortisol Sample Collection
2.5.2. Cortisol Sample Preparation and Analysis
2.6. Statistical Analysis
3. Results
3.1. Subjects
3.2. Subjective Threat Measurement: 2QT
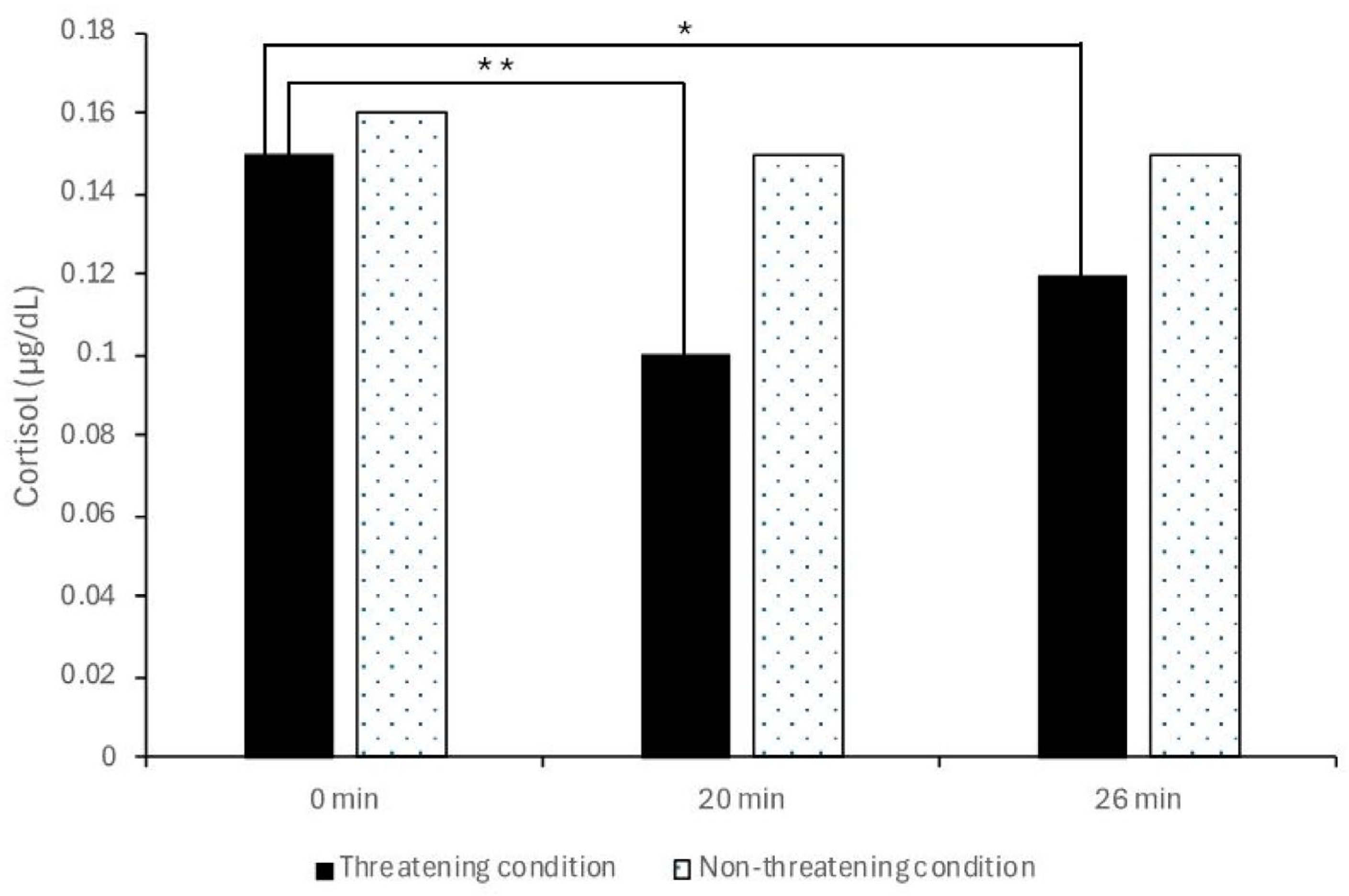
3.3. Physiological Threat Measurement: Cortisol Concentration
4. Discussion
Author Contributions
Funding
Institutional Review Board Statement
Informed Consent Statement
Data Availability Statement
Acknowledgments
Conflicts of Interest
References
- Pourmand, A.; Davis, S.; Marchak, A.; Whiteside, T.; Sikka, N. Virtual Reality as a Clinical Tool for Pain Management. Curr. Pain Headache Rep. 2018, 22, 53. [Google Scholar] [CrossRef] [PubMed]
- Addab, S.; Hamdy, R.; Thorstad, K.; Le May, S.; Tsimicalis, A. Use of virtual reality in managing paediatric procedural pain and anxiety: An integrative literature review. J. Clin. Nurs. 2022, 31, 3032–3059. [Google Scholar] [CrossRef] [PubMed]
- Trost, Z.; France, C.; Anam, M.; Shum, C. Virtual reality approaches to pain: Toward a state of the science. Pain 2021, 162, 325–331. [Google Scholar] [CrossRef]
- Colloca, L.; Raghuraman, N.; Wang, Y.; Akintola, T.; Brawn-Cinani, B.; Colloca, G.; Kier, C.; Varshney, A.; Murthi, S. Virtual reality: Physiological and behavioral mechanisms to increase individual pain tolerance limits. Pain 2020, 161, 2010–2021. [Google Scholar] [CrossRef] [PubMed]
- Fordyce, W.E. Behavioural science and chronic pain. Postgrad. Med. J. 1984, 60, 865–868. [Google Scholar] [CrossRef] [PubMed]
- Loeser, J.D.; Melzack, R. Pain: An overview. Lancet 1999, 353, 1607–1609. [Google Scholar] [CrossRef]
- Karos, K.; Williams, A.C.d.C.; Meulders, A.; Vlaeyen, J.W.S. Pain as a threat to the social self: A motivational account. Pain 2018, 159, 1690–1695. [Google Scholar] [CrossRef]
- Timmers, I.; Quaedflieg, C.; Hsu, C.; Heathcote, L.C.; Rovnaghi, C.R.; Simons, L.E. The interaction between stress and chronic pain through the lens of threat learning. Neurosci. Biobehav. Rev. 2019, 107, 641–655. [Google Scholar] [CrossRef]
- Moseley, G.L.; Arntz, A. The context of a noxious stimulus affects the pain it evokes. Pain 2007, 133, 64–71. [Google Scholar] [CrossRef]
- Ellerbrock, I.; May, A. MRI scanner environment increases pain perception in a standardized nociceptive paradigm. Brain Imaging Behav. 2015, 9, 848–853. [Google Scholar] [CrossRef]
- Haluza, D.; Schönbauer, R.; Cervinka, R. Green perspectives for public health: A narrative review on the physiological effects of experiencing outdoor nature. Int. J. Environ. Res. Public Health 2014, 11, 5445–5461. [Google Scholar] [CrossRef] [PubMed]
- Faul, F.; Erdfelder, E.; Lang, A.-G.; Buchner, A. G*Power 3: A flexible statistical power analysis program for the social, behavioral, and biomedical sciences. Behav. Res. Methods 2007, 39, 175–191. [Google Scholar] [CrossRef] [PubMed]
- Martens, M.A.; Antley, A.; Freeman, D.; Slater, M.; Harrison, P.J.; Tunbridge, E.M. It feels real: Physiological responses to a stressful virtual reality environment and its impact on working memory. J. Psychopharmacol. 2019, 33, 1264–1273. [Google Scholar] [CrossRef] [PubMed]
- Kobayashi, H.; Song, C.; Ikei, H.; Park, B.J.; Kagawa, T.; Miyazaki, Y. Diurnal Changes in Distribution Characteristics of Salivary Cortisol and Immunoglobulin A Concentrations. Int. J. Environ. Res. Public Health 2017, 14, 987. [Google Scholar] [CrossRef] [PubMed]
- Sin, N.L.; Ong, A.D.; Stawski, R.S.; Almeida, D.M. Daily positive events and diurnal cortisol rhythms: Examination of between-person differences and within-person variation. Psychoneuroendocrinology 2017, 83, 91–100. [Google Scholar] [CrossRef]
- Wiercioch-Kuzianik, K.; Bąbel, P. Color Hurts. The Effect of Color on Pain Perception. Pain Med. 2019, 20, 1955–1962. [Google Scholar] [CrossRef]
- Walters, J.; Apter, M.J.; Svebak, S. Color preference, arousal, and the theory of psychological reversals. Motiv. Emot. 1982, 6, 193–215. [Google Scholar] [CrossRef]
- Alvarsson, J.J.; Wiens, S.; Nilsson, M.E. Stress Recovery during Exposure to Nature Sound and Environmental Noise. Int. J. Environ. Res. Public Health 2010, 7, 1036–1046. [Google Scholar] [CrossRef]
- Hall, A.M.; Aubrey-Bassler, K.; Thorne, B.; Maher, C.G. Do not routinely offer imaging for uncomplicated low back pain. BMJ 2021, 372, n291. [Google Scholar] [CrossRef]
- Beukeboom, C.J.; Langeveld, D.; Tanja-Dijkstra, K. Stress-Reducing Effects of Real and Artificial Nature in a Hospital Waiting Room. J. Altern. Complement. Med. 2012, 18, 329–333. [Google Scholar] [CrossRef]
- Ulrich, R.S.; Simons, R.F.; Losito, B.D.; Fiorito, E.; Miles, M.A.; Zelson, M. Stress recovery during exposure to natural and urban environments. J. Environ. Psychol. 1991, 11, 201–230. [Google Scholar] [CrossRef]
- Park, S.-H.; Mattson, R.H. Ornamental Indoor Plants in Hospital Rooms Enhanced Health Outcomes of Patients Recovering from Surgery. J. Altern. Complement. Med. 2009, 15, 975–980. [Google Scholar] [CrossRef] [PubMed]
- Parsons, R. The potential influences of environmental perception on human health. J. Environ. Psychol. 1991, 11, 1–23. [Google Scholar] [CrossRef]
- Malenbaum, S.; Keefe, F.J.; Williams, A.C.C.; Ulrich, R.; Somers, T.J. Pain in its environmental context: Implications for designing environments to enhance pain control. Pain 2008, 134, 241–244. [Google Scholar] [CrossRef]
- Ulrich, R.S.; Zimring, C.; Zhu, X.; DuBose, J.; Seo, H.-B.; Choi, Y.-S.; Quan, X.; Joseph, A. A Review of the Research Literature on Evidence-Based Healthcare Design. HERD Health Environ. Res. Des. J. 2008, 1, 61–125. [Google Scholar] [CrossRef]
- Bar, M.; Neta, M. Humans Prefer Curved Visual Objects. Psychol. Sci. 2006, 17, 645–648. [Google Scholar] [CrossRef]
- Woody, A.; Hooker, E.D.; Zoccola, P.M.; Dickerson, S.S. Social-evaluative threat, cognitive load, and the cortisol and cardiovascular stress response. Psychoneuroendocrinology 2018, 97, 149–155. [Google Scholar] [CrossRef]
- Raja, S.N.; Carr, D.B.; Cohen, M.; Finnerup, N.B.; Flor, H.; Gibson, S.; Keefe, F.J.; Mogil, J.S.; Ringkamp, M.; Sluka, K.A.; et al. The revised International Association for the Study of Pain definition of pain: Concepts, challenges, and compromises. Pain 2020, 161, 1976–1982. [Google Scholar] [CrossRef]
- Vachon-Presseau, E. Effects of stress on the corticolimbic system: Implications for chronic pain. Prog. Neuro-Psychopharmacol. Biol. Psychiatry 2018, 87, 216–223. [Google Scholar] [CrossRef]
- Traeger, A.C.; Hübscher, M.; Henschke, N.; Moseley, G.L.; Lee, H.; McAuley, J.H. Effect of Primary Care–Based Education on Reassurance in Patients with Acute Low Back Pain: Systematic Review and Meta-analysis. JAMA Intern. Med. 2015, 175, 733–743. [Google Scholar] [CrossRef]
- Davey, H.M.; Barratt, A.L.; Butow, P.N.; Deeks, J.J. A one-item question with a Likert or Visual Analog Scale adequately measured current anxiety. J. Clin. Epidemiol. 2007, 60, 356–360. [Google Scholar] [CrossRef] [PubMed]
- Taber, K.S. The Use of Cronbach’s Alpha When Developing and Reporting Research Instruments in Science Education. Res. Sci. Educ. 2018, 48, 1273–1296. [Google Scholar] [CrossRef]
- Sullivan, G.M.; Feinn, R. Using Effect Size-or Why the P Value Is Not Enough. J Grad. Med. Educ. 2012, 4, 279–282. [Google Scholar] [CrossRef] [PubMed]
- Botella, C.; Garcia-Palacios, A.; Vizcaíno, Y.; Herrero, R.; Baños, R.M.; Belmonte, M.A. Virtual reality in the treatment of fibromyalgia: A pilot study. Cyberpsychol. Behav. Soc. Netw. 2013, 16, 215–223. [Google Scholar] [CrossRef]
- Wiederhold, B.K.; Gao, K.; Sulea, C.; Wiederhold, M.D. Virtual reality as a distraction technique in chronic pain patients. Cyberpsychol. Behav. Soc. Netw. 2014, 17, 346–352. [Google Scholar] [CrossRef]
- Jin, W.; Choo, A.; Gromala, D.; Shaw, C.; Squire, P. A Virtual Reality Game for Chronic Pain Management: A Randomized, Controlled Clinical Study. Stud. Health Technol. Inform. 2016, 220, 154–160. [Google Scholar] [CrossRef]
- Sharar, S.R.; Alamdari, A.; Hoffer, C.; Hoffman, H.G.; Jensen, M.P.; Patterson, D.R. Circumplex Model of Affect: A Measure of Pleasure and Arousal During Virtual Reality Distraction Analgesia. Games Health, J. 2016, 5, 197–202. [Google Scholar] [CrossRef]
- O’Connor, S.; Mayne, A.; Hood, B. Virtual Reality-Based Mindfulness for Chronic Pain Management: A Scoping Review. Pain Manag. Nurs. 2022, 23, 359–369. [Google Scholar] [CrossRef]
- Smith, M.G.; Farrar, L.C.; Gibson, R.J.; Russo, R.N.; Harvey, A.R. Chronic pain interference assessment tools for children and adults who are unable to self-report: A systematic review of psychometric properties. Dev. Med. Child Neurol. 2023, 65, 1029–1042. [Google Scholar] [CrossRef]
- Hellhammer, D.H.; Wüst, S.; Kudielka, B.M. Salivary cortisol as a biomarker in stress research. Psychoneuroendocrinology 2009, 34, 163–171. [Google Scholar] [CrossRef]
- Diemer, J.; Lohkamp, N.; Mühlberger, A.; Zwanzger, P. Fear and physiological arousal during a virtual height challenge--effects in patients with acrophobia and healthy controls. J. Anxiety Disord. 2016, 37, 30–39. [Google Scholar] [CrossRef] [PubMed]
- Gu, H.; Ma, X.; Zhao, J.; Liu, C. A meta-analysis of salivary cortisol responses in the Trier Social Stress Test to evaluate the effects of speech topics, sex, and sample size. Compr. Psychoneuroendocrinol. 2022, 10, 100125. [Google Scholar] [CrossRef] [PubMed]
- Trilck, M.; Flitsch, J.; Lüdecke, D.K.; Jung, R.; Petersenn, S. Salivary Cortisol Measurement—A Reliable Method for the Diagnosis of Cushing’s Syndrome. Exp. Clin. Endocrinol. Diabetes 2005, 113, 225–230. [Google Scholar] [CrossRef] [PubMed]
- Kudielka, B.M.; Hellhammer, D.H.; Wüst, S. Why do we respond so differently? Reviewing determinants of human salivary cortisol responses to challenge. Psychoneuroendocrinology 2009, 34, 2–18. [Google Scholar] [CrossRef]
- Clements, A.D. Salivary cortisol measurement in developmental research: Where do we go from here? Dev. Psychobiol. 2013, 55, 205–220. [Google Scholar] [CrossRef]
- Davis, K.B.; Small, B.C. Rates of cortisol increase and decrease in channel catfish and sunshine bass exposed to an acute confinement stressor. Comp. Biochem. Physiol. Part C Toxicol. Pharmacol. 2006, 143, 134–139. [Google Scholar] [CrossRef]
- Jung, C.; Greco, S.; Nguyen, H.H.; Ho, J.T.; Lewis, J.G.; Torpy, D.J.; Inder, W.J. Plasma, salivary and urinary cortisol levels following physiological and stress doses of hydrocortisone in normal volunteers. BMC Endocr. Disord. 2014, 14, 91. [Google Scholar] [CrossRef]
- Vedhara, K.; Hyde, J.; Gilchrist, I.D.; Tytherleigh, M.; Plummer, S. Acute stress, memory, attention and cortisol. Psychoneuroendocrinology 2000, 25, 535–549. [Google Scholar] [CrossRef]
- Ramadoss, V.; Lazarus, K.; Prevost, A.T.; Tan, T.; Meeran, K.; Choudhury, S. Improving the Interpretation of Afternoon Cortisol Levels and SSTs to Prevent Misdiagnosis of Adrenal Insufficiency. J. Endocr. Soc. 2021, 5, bvab147. [Google Scholar] [CrossRef]
- Nicolson, N.; Storms, C.; Ponds, R.; Sulon, J. Salivary cortisol levels and stress reactivity in human aging. J. Gerontol. A Biol. Sci. Med. Sci. 1997, 52, M68–M75. [Google Scholar] [CrossRef]
- Wüst, S.; Wolf, J.; Hellhammer, D.H.; Federenko, I.; Schommer, N.; Kirschbaum, C. The cortisol awakening response-normal values and confounds. Noise Health 2000, 2, 79–88. [Google Scholar] [PubMed]
- Hansen, A.M.; Garde, A.H.; Christensen, J.M.; Eller, N.H.; Netterstrøm, B. Evaluation of a radioimmunoassay and establishment of a reference interval for salivary cortisol in healthy subjects in Denmark. Scand. J. Clin. Lab. Investig. 2003, 63, 303–310. [Google Scholar] [CrossRef] [PubMed]
- Wüst, S.; Federenko, I.S.; van Rossum, E.F.; Koper, J.W.; Hellhammer, D.H. Habituation of cortisol responses to repeated psychosocial stress-further characterization and impact of genetic factors. Psychoneuroendocrinology 2005, 30, 199–211. [Google Scholar] [CrossRef] [PubMed]
- Clauss, K.; Gorday, J.Y.; Bardeen, J.R. Eye tracking evidence of threat-related attentional bias in anxiety- and fear-related disorders: A systematic review and meta-analysis. Clin. Psychol. Rev. 2022, 93, 102142. [Google Scholar] [CrossRef]
- DuBose, J.; MacAllister, L.; Hadi, K.; Sakallaris, B. Exploring the Concept of Healing Spaces. HERD Health Environ. Res. Des. J. 2018, 11, 43–56. [Google Scholar] [CrossRef]



| Threatening Room (n = 13) | Non-Threatening Room (n = 13) | ||||||||||||
|---|---|---|---|---|---|---|---|---|---|---|---|---|---|
| Adjective | SD | D | N | A | SA | Mdn | SD | D | N | A | SA | Mdn | p-Value |
| (%) | (%) | (%) | (%) | (%) | (IQR) | (%) | (%) | (%) | (%) | (%) | (IQR) | MWU | |
| Threatening ^ | 2 | 4 | 3 | 4 | 0 | 3 | 7 | 5 | 1 | 0 | 0 | 1 | p = 0.008 * |
| (15) | (31) | (23) | (31) | (0) | (2) | (54) | (38) | (8) | (0) | (0) | (1) | ||
| Stressful ^ | 1 | 1 | 2 | 7 | 2 | 4 | 4 | 7 | 2 | 0 | 0 | 2 | p < 0.001 * |
| (8) | (8) | (15) | (54) | (15) | (1) | (31) | (54) | (15) | (0) | (0) | (1) | ||
| Unpleasant ^ | 0 | 1 | 1 | 9 | 2 | 4 | 5 | 7 | 0 | 1 | 0 | 2 | p < 0.001 * |
| (0) | (8) | (8) | (69) | (15) | (0) | (38) | (54) | (0) | (8) | (0) | (1) | ||
| Calming # | 5 | 6 | 1 | 0 | 1 | 2 | 0 | 0 | 2 | 10 | 1 | 4 | p < 0.001 * |
| (38) | (46) | (8) | (0) | (8) | (1) | (0) | (0) | (15) | (77) | (8) | (0) | ||
| Safe # | 0 | 5 | 5 | 2 | 1 | 3 | 0 | 0 | 1 | 6 | 6 | 4 | p < 0.001 * |
| (0) | (38) | (38) | (15) | (8) | (2) | (0) | (0) | (8) | (46) | (46) | (1) | ||
| Reassuring # | 4 | 7 | 1 | 1 | 0 | 2 | 0 | 0 | 4 | 6 | 3 | 4 | p < 0.001 * |
| (31) | (54) | (8) | (8) | (0) | (1) | (0) | (0) | (31) | (46) | (23) | (2) | ||
| Cronbach’s Alpha | α = 0.88 | α = 0.74 | |||||||||||
| Median Threat Score + | 22/30 | 10/30 | p < 0.05 | ||||||||||
Disclaimer/Publisher’s Note: The statements, opinions and data contained in all publications are solely those of the individual author(s) and contributor(s) and not of MDPI and/or the editor(s). MDPI and/or the editor(s) disclaim responsibility for any injury to people or property resulting from any ideas, methods, instructions or products referred to in the content. |
© 2024 by the authors. Licensee MDPI, Basel, Switzerland. This article is an open access article distributed under the terms and conditions of the Creative Commons Attribution (CC BY) license (https://creativecommons.org/licenses/by/4.0/).
Share and Cite
O’Neill, D.; Titmus, M.; Lamont, W.; Teh, W.H.; Perimal, E.; Di Pietro, F. Validating the Threat of a Virtual Reality Clinical Environment: A Mixed Methods Study. Appl. Sci. 2024, 14, 10009. https://doi.org/10.3390/app142110009
O’Neill D, Titmus M, Lamont W, Teh WH, Perimal E, Di Pietro F. Validating the Threat of a Virtual Reality Clinical Environment: A Mixed Methods Study. Applied Sciences. 2024; 14(21):10009. https://doi.org/10.3390/app142110009
Chicago/Turabian StyleO’Neill, David, Morgan Titmus, Wesley Lamont, Wan Hui Teh, Enoch Perimal, and Flavia Di Pietro. 2024. "Validating the Threat of a Virtual Reality Clinical Environment: A Mixed Methods Study" Applied Sciences 14, no. 21: 10009. https://doi.org/10.3390/app142110009
APA StyleO’Neill, D., Titmus, M., Lamont, W., Teh, W. H., Perimal, E., & Di Pietro, F. (2024). Validating the Threat of a Virtual Reality Clinical Environment: A Mixed Methods Study. Applied Sciences, 14(21), 10009. https://doi.org/10.3390/app142110009

