UPI-LT: Enhancing Information Propagation Predictions in Social Networks Through User Influence and Temporal Dynamics
Abstract
1. Introduction
2. Related Work
2.1. Social Network Models
2.2. Process-Based Information Dissemination Research
2.3. Social Factor-Based Information Dissemination Research
2.4. User Influence-Based Information Dissemination Research
2.5. Structural Hole
3. Methodology
3.1. Social Network
3.1.1. Node Importance Metrics
3.1.2. Clustering Coefficient
3.1.3. Structure Hole
3.2. Information Dissemination Models
3.2.1. Independent Cascade Mode
| Algorithm 1 Independent Cascade Model |
|
3.2.2. The Linear Threshold Model
- Step 1: In the network (), a seed set (S) is defined. At the initial time step, only the nodes in set S are in the activated state, meaning they have already been influenced by the information.
- Step 2: Check whether the cumulative influence () from neighbors is greater than or equal to the threshold (). If this condition is met, node v is successfully activated; otherwise, the activation fails.
- Step 3: This process continues until no further nodes can be activated in the network.
| Algorithm 2 Linear Threshold Model |
|
3.3. Theoretical Framework
3.3.1. Node Influence Calculation
- Initialization: Assign an initial value of 1 to all nodes in the network.
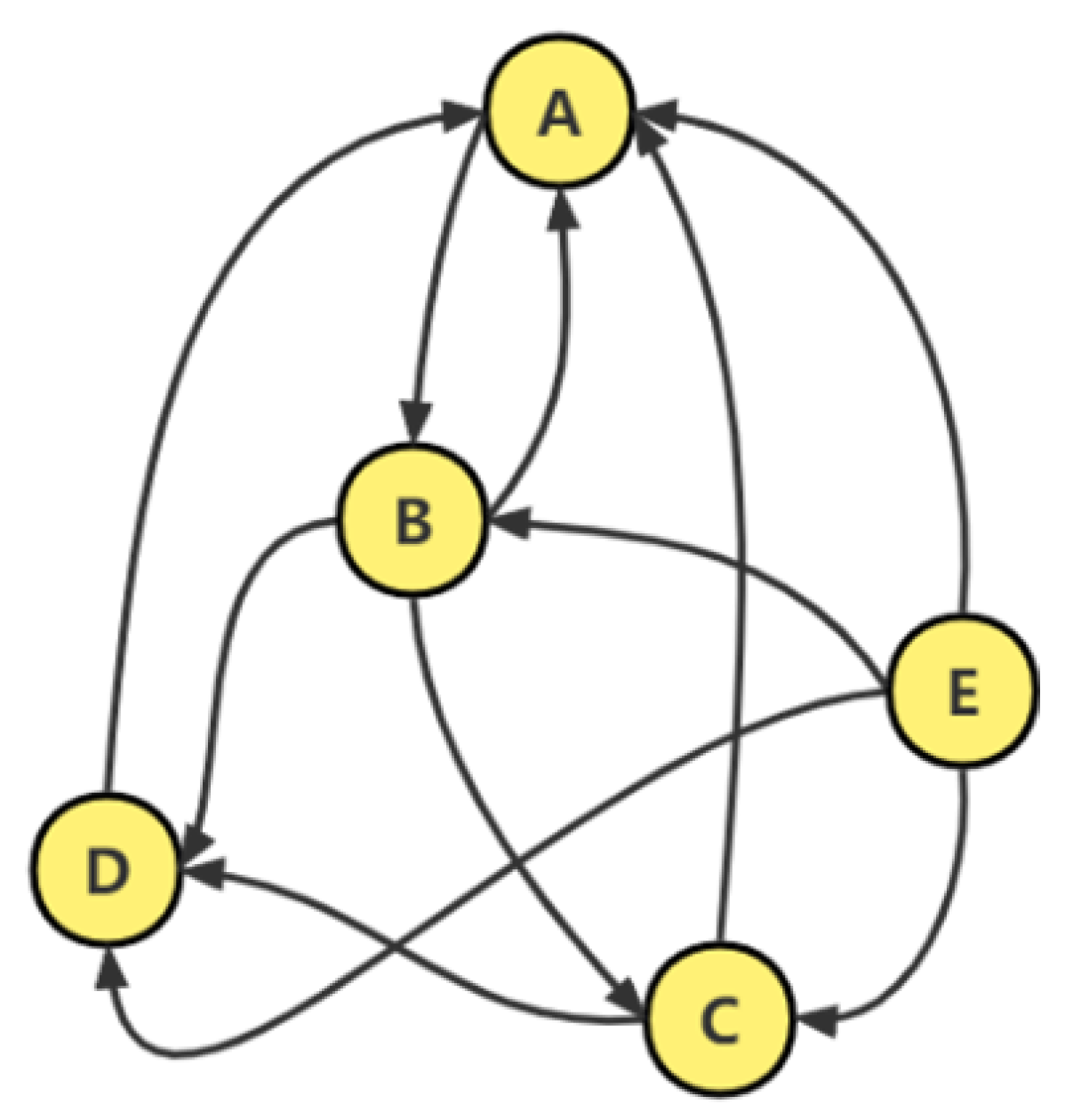
- Identify Influence: Determine which nodes influence node C. From the directed connections between the nodes, it can be seen that node C receives influence from nodes B and E, making node C a follower of B and E. During information propagation, node C is influenced by nodes B and E. As shown in Figure 7, node B influences nodes A, C, and D, meaning node C receives an influence of from B. Similarly, nodes A and D also receive from B. Likewise, node C receives an influence of from E.
- Calculate PageRank for node : Based on the directed relationships in the network, node is influenced by nodes and , meaning . However, there is a certain probability that node does not receive influence from and but, instead, randomly receives information from the entire network. The probability of receiving information from and is defined by , and the PageRank formula for node is expressed as
- Iterate: Repeat the above steps iteratively until the results converge.
3.3.2. The Impact of Homophily on User Thresholds
3.3.3. The Impact of Time Decay on Information Diffusion
3.3.4. The Role of Time Decay in Social Media Information Dissemination
3.3.5. User Propagation Influence-Based Linear Threshold Model (UPI-LT)
- , and , so , resulting in node being successfully activated.
- , and , so , resulting in node being successfully activated.
- , and , so , meaning node is not activated at this moment.
- , and , so , meaning node is not activated.
- For node , the total influence is , and , so node is successfully activated.
- For node , the total influence is , and , so node is not yet activated.
- For node , the total influence is , and since , node is successfully activated.
- For node , the total influence is , and , so , and node is not activated.
4. Results and Discussion
4.1. Environment and Datasets
| Name | Parameter | |
|---|---|---|
| Hardware | CPU | AMD Ryzen 5 3600 6-Core Processor |
| HardDisk | SSD500G | |
| RAM | 16.0 GB | |
| Software | Language | Python 3.10 |
| IDE | PyCharm 2023.1 | |
| OS | Windows 10 | |
| Data Format | txt, csv |
| Dataset | Node | Edge | Average Clustering Coefficient | The Longest Shortest Path |
|---|---|---|---|---|
| Wiki-Vote | 7115 | 103,689 | 0.1409 | 7 |
| 4039 | 88,234 | 0.6055 | 8 |
4.2. Evaluation
4.3. Experimental Settings
- The LT model that only considers the node’s importance (PageRank) is named PR-LT.
- The LT model that only considers the local clustering coefficient is named CC-LT.
- The LT model that only considers the structural hole factor is named SH-LT.
- The classic LT model with random threshold assignments and the IC model are used as baseline models.
4.4. Experimental Result
5. Conclusions
Author Contributions
Funding
Institutional Review Board Statement
Informed Consent Statement
Data Availability Statement
Acknowledgments
Conflicts of Interest
Abbreviations
| COVID-19 | Coronavirus disease 2019 |
| SI | Susceptible–infected model |
| SIS | Susceptible–infected–susceptible model |
| SIR | Susceptible–infected–recovered model |
| HK | Hegselmann–Krause model |
| IC | Independent cascade model |
| LT | Linear threshold model |
References
- Bastopcu, M.; Etesami, S.R.; Başar, T. The Role of Gossiping in Information Dissemination over a Network of Agents. Entropy 2024, 26, 9. [Google Scholar] [CrossRef]
- Li, Y.; Sheng, D. Determinants of public emergency information dissemination on social networks: A meta-analysis. Comput. Hum. Behav. 2024, 152, 108055. [Google Scholar] [CrossRef]
- Kunachowicz, D.; Kłosowska, K.; Sobczak, N.; Kepinska, M. Applicability of Quantum Dots in Breast Cancer Diagnostic and Therapeutic Modalities. Nanomaterials 2024, 14, 1424. [Google Scholar] [CrossRef]
- Safyari, Y.; Mahdianpari, M.; Shiri, H. A Review of Vision-Based Pothole Detection Methods Using Computer Vision and Machine Learning. Sensors 2024, 24, 5652. [Google Scholar] [CrossRef]
- Mukil, A.; Kakade, K.S.; Alexander, C.H.C.; Susiapan, Y.S. Wavelet-based Spectral Clustering Algorithm for Network Communication Big Data. In AIP Conference Proceedings; American Institute of Physics: College Park, MD, USA, 2024. [Google Scholar]
- Gu, X.; Chen, X.; Lu, P.; Li, Z.; Du, Y.; Li, X. AGCVT-prompt for sentiment classification: Automatically generating chain of thought and verbalizer in prompt learning. Eng. Appl. Artif. Intell. 2024, 132, 107907. [Google Scholar] [CrossRef]
- Jin, M.; Liu, F.; Ning, Y.; Gao, Y.; Li, D. A Mathematical Optimization Model Designed to Determine the Optimal Timing of Online Rumor Intervention Based on Uncertainty Theory. Mathematics 2024, 12, 2457. [Google Scholar] [CrossRef]
- Feng, Y.; Li, K.; Wang, Z. Controlling COVID-19 Rumors Through Administrative Punishment: Empirical Evidence from Zhejiang, China. Asian J. Criminol. 2024, 1–20. [Google Scholar] [CrossRef]
- Xia, Y.; Jiang, H. A Stochastic Rumor Spreading Model with Event-triggered Discontinuous Feedback Control in Multilingual Online Networks. J. Appl. Math. Comput. 2024, 1–28. [Google Scholar] [CrossRef]
- Chinebu, T.; Okafor, K.; Anoh, K.; Uzoeto, H. Smart Waterborne Disease Control for a Scalable Population Using Biodynamic Model in IoT Network. Comput. Biol. Med. 2024, 181, 109034. [Google Scholar] [CrossRef]
- Hoang, M.T.; Pham, H.T. Global Dynamics and Numerical Simulation of a Modified Epidemiological Model for Viral Marketing on Social Networks. Math. Comput. Simul. 2024, 228, 225–244. [Google Scholar] [CrossRef]
- Wu, J.T.; Peak, C.M. 1 Case Study: Modeling Fractional-Dose Emergency Vaccination Campaigns for Yellow Fever. In Principles and Practice of Emergency Research; Springer: Berlin/Heidelberg, Germany, 2024. [Google Scholar] [CrossRef]
- Zhang, X.B.; Chang, S.; Shi, Q.; Huo, H.F. Qualitative study of a stochastic SIS epidemic model with vertical transmission. Phys. A: Stat. Mech. Its Appl. 2018, 505, 805–817. [Google Scholar] [CrossRef]
- Kuniya, T.; Wang, J. Global dynamics of an SIR epidemic model with nonlocal diffusion. Nonlinear Anal. Real World Appl. 2018, 43, 262–282. [Google Scholar] [CrossRef]
- Aron, J.L. Acquired immunity dependent upon exposure in an SIRS epidemic model. Math. Biosci. 1988, 88, 37–47. [Google Scholar] [CrossRef]
- Kermack, W.O.; McKendrick, A.G. Contributions to the mathematical theory of epidemics. II.—The problem of endemicity. Proc. R. Soc. London. Ser. Contain. Pap. Math. Phys. Character 1932, 138, 55–83. [Google Scholar] [CrossRef]
- Sang, C.; Liao, S. Modeling and simulation of information dissemination model considering user’s awareness behavior in mobile social networks. Phys. A Stat. Mech. Its Appl. 2020, 537, 122639. [Google Scholar] [CrossRef]
- Wang, Z.; Liang, J.; Nie, H.; Zhao, H. A 3SI3R model for the propagation of two rumors with mutual promotion. Adv. Differ. Equations 2020, 2020, 109. [Google Scholar] [CrossRef]
- Yin, F.; Shao, X.; Tang, B.; Xia, X.; Wu, J. Modeling and analyzing cross-transmission dynamics of related information co-propagation. Sci. Rep. 2021, 11, 268. [Google Scholar] [CrossRef]
- Xiao, Y.; Zhang, L.; Li, Q.; Liu, L. MM-SIS: Model for multiple information spreading in multiplex network. Phys. A Stat. Mech. Its Appl. 2019, 513, 135–146. [Google Scholar] [CrossRef]
- Page, L.; Brin, S.; Motwani, R.; Winograd, T. The PageRank Citation Ranking: Bringing Order to the Web; Technical Report; Stanford InfoLab: Stanford, CA, USA, 1999. [Google Scholar] [CrossRef]
- McPherson, M.; Smith-Lovin, L.; Cook, J.M. Birds of a feather: Homophily in social networks. Annu. Rev. Sociol. 2001, 27, 415–444. [Google Scholar] [CrossRef]
- Goldenberg, J.; Libai, B.; Muller, E. Talk of the network: A complex systems look at the underlying process of word-of-mouth. Mark. Lett. 2001, 12, 211–223. [Google Scholar] [CrossRef]
- Rogers, E.M. Diffusion of Innovations; Simon and Schuster: New York, NY, USA, 2010; ISBN 0-02-874074-2 (cloth); 0-02-926671-8 (paper). [Google Scholar]
- Kempe, D.; Kleinberg, J.M.; Tardos, E. Maximizing the spread of influence through a social network. In Proceedings of the Ninth ACM SIGKDD International Conference on Knowledge Discovery and Data Mining, Washington, DC, USA, 24–27 August 2003; pp. 137–146. [Google Scholar] [CrossRef]
- Shakarian, P.; Bhatnagar, A.; Aleali, A.; Shaabani, E.; Guo, R. The independent cascade and linear threshold models. Diffus. Soc. Netw. 2015, 35–48. [Google Scholar] [CrossRef]
- Perozzi, B.; Al-Rfou, R.; Skiena, S. DeepWalk: Online learning of social representations. In Proceedings of the 20th ACM SIGKDD International Conference on Knowledge Discovery and Data Mining, New York, NY, USA, 24–27 August 2014; pp. 701–710. [Google Scholar] [CrossRef]
- Mikolov, T.; Chen, K.; Corrado, G.; Dean, J. Efficient Estimation of Word Representations in Vector Space. In Proceedings of the 1st International Conference on Learning Representations—Workshop Track, Scottsdale, Scottsdale, AZ, USA, 2–4 May 2013. [Google Scholar]
- Grover, A.; Leskovec, J.; Assoc Comp, M. node2vec: Scalable Feature Learning for Networks. In Proceedings of the 22nd ACM SIGKDD International Conference on Knowledge Discovery and Data Mining, San Francisco, CA, USA, 13–17 August 2016; pp. 855–864. [Google Scholar] [CrossRef]
- Tang, J.; Qu, M.; Wang, M.; Zhang, M.; Yan, J.; Mei, Q. LINE: Large-scale Information Network Embedding. In Proceedings of the 24th International Conference on World Wide Web, Florence, Italy, 18–22 May 2015; pp. 1067–1077. [Google Scholar] [CrossRef]
- Liang, D.; Yi, B.; Xu, Z. Opinion dynamics based on infectious disease transmission model in the non-connected context of Pythagorean fuzzy trust relationship. J. Oper. Res. Soc. 2021, 72, 2783–2803. [Google Scholar] [CrossRef]
- Chen, T.; Shi, J.; Yang, J.; Cong, G.; Li, G. Modeling public opinion polarization in group behavior by integrating SIRS-based information diffusion process. Complexity 2020, 2020, 4791527. [Google Scholar] [CrossRef]
- Kumar, A.; Swarnakar, P.; Jaiswal, K.; Kurele, R. SMIR model for controlling the spread of information in social networking sites. Phys. A: Stat. Mech. Its Appl. 2020, 540, 122978. [Google Scholar] [CrossRef]
- Pan, L.; Wang, W.; Cai, S.; Zhou, T. Optimal interlayer structure for promoting spreading of SIS model in two-layer networks. Phys. Rev. E 2019, 100, 022316. [Google Scholar] [CrossRef]
- Xiong, X.; Li, Y.; Qiao, S.; Han, N.; Wu, Y.; Peng, J.; Li, B. An emotional contagion model for heterogeneous social media with multiple behaviors. Phys. A Stat. Mech. Its Appl. 2018, 490, 185–202. [Google Scholar] [CrossRef]
- Li, Q.; Du, Y.; Li, Z.; Hu, J.; Hu, R.; Lv, B.; Jia, P. HK–SEIR model of public opinion evolution based on communication factors. Eng. Appl. Artif. Intell. 2021, 100, 104192. [Google Scholar] [CrossRef]
- Hegselmann, R.; Krause, U. Opinion dynamics and bounded confidence models, analysis, and simulation. J. Artif. Soc. Soc. Simul. 2002, 5, 1–33. [Google Scholar]
- Mahyar, H.; Hasheminezhad, R.; Ghalebi K., E.; Nazemian, A.; Grosu, R.; Movaghar, A.; Rabiee, H.R. Compressive sensing of high betweenness centrality nodes in networks. Phys. A Stat. Mech. Its Appl. 2018, 497, 166–184. [Google Scholar] [CrossRef]
- Gupta, M.; Mishra, R. Spreading the information in complex networks: Identifying a set of top-N influential nodes using network structure. Decis. Support Syst. 2021, 149, 113608. [Google Scholar] [CrossRef]
- Li, Z.; Ren, T.; Ma, X.; Liu, S.; Zhang, Y.; Zhou, T. Identifying influential spreaders by gravity model. Sci. Rep. 2019, 9, 8387. [Google Scholar] [CrossRef] [PubMed]
- Yu, Z.; Shao, J.; Yang, Q.; Sun, Z. Profitleader: Identifying leaders in networks with profit capacity. World Wide Web 2019, 22, 533–553. [Google Scholar] [CrossRef]
- Zhao, J.; Wang, Y.; Deng, Y. Identifying influential nodes in complex networks from global perspective. Chaos Solitons Fractals 2020, 133, 109637. [Google Scholar] [CrossRef]
- Luo, J.; Du, Y. Detecting community structure and structural hole spanner simultaneously by using graph convolutional network based Auto-Encoder. Neurocomputing 2020, 410, 138–150. [Google Scholar] [CrossRef]
- Xu, W.; Li, T.; Liang, W.; Yu, J.X.; Yang, N.; Gao, S. Identifying structural hole spanners to maximally block information propagation. Inf. Sci. 2019, 505, 100–126. [Google Scholar] [CrossRef]
- Zhang, Y.; Xu, H.; Xu, Y.; Deng, J.; Gu, J.; Ma, R.; Lai, J.; Hu, J.; Yu, X.; Hou, L.; et al. Finding structural hole spanners based on community forest model and diminishing marginal utility in large scale social networks. Knowl.-Based Syst. 2020, 199, 105916. [Google Scholar] [CrossRef]
- Yang, M.; Chen, X.; Chen, B.; Lu, P.; Du, Y. DNETC: Dynamic network embedding preserving both triadic closure evolution and community structures. Knowl. Inf. Syst. 2023, 65, 1129–1157. [Google Scholar] [CrossRef]
- Gu, X.; Chen, X.; Yang, M.; Du, Y.; Tang, M. Bi-DNE: Bilayer evolutionary pattern preserved embedding for dynamic networks. Complex Intell. Syst. 2024, 10, 3763–3788. [Google Scholar] [CrossRef]
- Langville, A.N.; Meyer, C.D. A Survey of Eigenvector Methods for Web Information Retrieval. SIAM Rev. 2005, 47, 135–161. [Google Scholar] [CrossRef]




















| Models | PageRank | Clustering Coefficient | Constraint | Time Decay | Homogeneity |
|---|---|---|---|---|---|
| IC | ✕ | ✕ | ✕ | ✓ | ✓ |
| LT | ✕ | ✕ | ✕ | ✓ | ✓ |
| PR-LT | ✓ | ✕ | ✕ | ✓ | ✓ |
| SH-LT | ✕ | ✕ | ✓ | ✓ | ✓ |
| CC-LT | ✕ | ✓ | ✕ | ✓ | ✓ |
| UPI-LT | ✓ | ✓ | ✓ | ✓ | ✓ |
Disclaimer/Publisher’s Note: The statements, opinions and data contained in all publications are solely those of the individual author(s) and contributor(s) and not of MDPI and/or the editor(s). MDPI and/or the editor(s) disclaim responsibility for any injury to people or property resulting from any ideas, methods, instructions or products referred to in the content. |
© 2024 by the authors. Licensee MDPI, Basel, Switzerland. This article is an open access article distributed under the terms and conditions of the Creative Commons Attribution (CC BY) license (https://creativecommons.org/licenses/by/4.0/).
Share and Cite
Huang, Z.; Gu, X.; Hu, J.; Chen, X. UPI-LT: Enhancing Information Propagation Predictions in Social Networks Through User Influence and Temporal Dynamics. Appl. Sci. 2024, 14, 9599. https://doi.org/10.3390/app14209599
Huang Z, Gu X, Hu J, Chen X. UPI-LT: Enhancing Information Propagation Predictions in Social Networks Through User Influence and Temporal Dynamics. Applied Sciences. 2024; 14(20):9599. https://doi.org/10.3390/app14209599
Chicago/Turabian StyleHuang, Zexia, Xu Gu, Jinsong Hu, and Xiaoliang Chen. 2024. "UPI-LT: Enhancing Information Propagation Predictions in Social Networks Through User Influence and Temporal Dynamics" Applied Sciences 14, no. 20: 9599. https://doi.org/10.3390/app14209599
APA StyleHuang, Z., Gu, X., Hu, J., & Chen, X. (2024). UPI-LT: Enhancing Information Propagation Predictions in Social Networks Through User Influence and Temporal Dynamics. Applied Sciences, 14(20), 9599. https://doi.org/10.3390/app14209599

