Next Article in Journal
Design of a Lower Limb Prosthesis for Ballet Practice
Previous Article in Journal
CycleDiffusion: Voice Conversion Using Cycle-Consistent Diffusion Models
Previous Article in Special Issue
Radiometric, Mechanical and Agronomic Characterization of Four Commercial Polymeric Films for Greenhouse Applications
 
 
Font Type:
Arial Georgia Verdana
Font Size:
Aa Aa Aa
Line Spacing:
Column Width:
Background:
Article

Study on Multi-Crack Damage Evolution and Fatigue Life of Corroded Steel Wires Inside In-Service Bridge Suspenders

School of Transportation and Logistics Engineering, Wuhan University of Technology, Wuhan 430063, China
*
Author to whom correspondence should be addressed.
Appl. Sci. 2024, 14(20), 9596; https://doi.org/10.3390/app14209596
Submission received: 8 September 2024 / Revised: 7 October 2024 / Accepted: 18 October 2024 / Published: 21 October 2024
(This article belongs to the Special Issue Construction Materials: Characterization, Structure and Durability)

Abstract

The parallel steel wires used in arch bridge suspenders experience random corrosion damage on their surfaces during service. Corrosion damage, including micro-cracks, pitting, and a combination of both, leads to significant stress concentration under axial loading, which affects the performance of the steel wires. The change in the stress field caused by surface damage alters the stress intensity factor at the crack tip, and the presence of adjacent crack tips significantly amplifies the stress intensity factor, thereby accelerating crack propagation. The development of small surface damages in the steel wires is difficult to control and observe through experiments. By utilizing finite element methods for simulation, it is possible to intuitively analyze the crack propagation process, the trend of stress changes at the crack tip, and the interaction between damages. Numerical simulation results based on Paris’ law indicate that corrosion pits have a certain impact on the stress intensity factor at the crack tip. The propagation process of coplanar double cracks is highly sensitive to the initial crack size and the distance between adjacent crack tips. When the crack spacing is less than the crack depth, the stress intensity factor at the adjacent crack tips exhibits significant amplification. Based on this phenomenon, the coplanar double-crack system can be simplified to a complete single crack for analysis. By comparing the fatigue life of the double-crack system with that of the equivalent single crack, the effectiveness of the simplification rule has been validated.

1. Introduction

The suspenders of arch bridges are important load-bearing components, with their high-strength steel wires appearing relatively small compared to other components. However, their tensile performance determines the bridge’s load-bearing capacity and service life [1,2,3]. Currently, methods for assessing corrosion damage to steel wires often involve visual inspection or observation assisted by endoscopy. During service, the suspenders continuously bear the bridge’s own load, traffic loads, and natural loads from the environment. The outer protective measures of the suspension rods are susceptible to mechanical damage or aging, leading to protection failure. Corrosion-induced rusting of the internal steel wires of the suspenders can cause a decline in the overall service performance of the suspenders. This occurs because the corroded steel wire surface generates numerous randomly distributed small cracks or pits. Under prolonged loading, these surface cracks will gradually propagate, leading to a rapid deterioration in load-bearing performance after a certain period, endangering the safety of the bridge. Research on the mechanical properties of steel wires with cracks due to corrosion, through experimental testing and numerical simulations, is of great significance for determining the remaining service life of corroded suspender steel wires and ensuring the safe operation of bridges.
To avoid ambiguity arising from macroscopic descriptions of corrosion states, Hopwood et al. established a grading standard for corrosion states based on external features, such as the surface glossiness and roughness of steel wires [4,5]. Building upon this, the research focuses on the performance of steel wires with different degrees of corrosion, primarily centered around their tensile and fatigue properties, as well as analysis of their fracture surfaces [6,7,8,9,10]. Kazuhiro Miyachi utilized non-contact mapping to obtain surface characteristics of rusted steel wires, followed by fatigue testing of the corroded wires. It was observed that the location of wire fractures in rusted steel wires correlates with the maximum area loss of the wires [11]. Li investigated the relationship between the life expectancy of rusted steel wires and the degree of corrosion. The study revealed that steel wires experiencing deep corrosion exhibited significant degradation in fatigue life under low-stress conditions [12]. Zheng established a finite element model for rusted steel wires based on cellular automata, investigating the evolution process of corrosion damage in the wires. It was found that the evolution of randomly shaped pits exhibited a more complex form compared to idealized semi-ellipsoidal pits. Under the influence of random corrosion pits, the fatigue life of rusted steel wires was significantly shortened [13]. Mihaela Iordachescu studied the fatigue performance of steel wires for cable-stayed bridges. Experimental replication of the damage incurred by the wires was conducted to determine the fatigue life. Through electron microscopy observation, the fatigue life was correlated with the fracture of damaged samples. It was found that only highly corroded steel wires failed within the stress amplitude range of 200 MPa [14]. Wang studied the effects of acidic, alkaline, and neutral corrosive solutions on steel wire corrosion. By changing the fatigue loading method for steel wires obtained through different corrosion modes, it was found that acidic corrosion more easily promoted the generation of surface cracks in the steel wires. Additionally, lower stress ratios and higher-frequency loading accelerated the generation of fatigue crack sources [15]. Regarding the impact of corrosion on fatigue performance, Lan et al. proposed methods for predicting the remaining fatigue life of steel wires [16,17]. Based on this, Deng studied the two-stage characteristics of corroded steel wire life [18].
The studies listed above establish a connection between the mass loss rate of the steel wire and its lifespan under specific stress amplitudes. Meanwhile, the recorded lifespan of the steel wire exhibits noticeable variability. In order to provide a more comprehensive explanation for the fatigue life degradation and fracture of the steel wire, attention has gradually shifted toward the initiation of fatigue cracks and the process of damage evolution. Wang, using a combined experimental and simulation approach, studied the damage evolution process of pre-existing notches in steel wires under the coupling action of fatigue loads and corrosion factors and predicted the service life of steel wires [19]. Miao, by preparing pre-existing notches on steel wires, revealed the influence of pits and stress amplitude on the fatigue life of steel wires under simultaneous mechanical and electrochemical corrosion [20]. Bai considered the stochastic and discrete nature of corrosion damage to steel wires and quantitatively studied the effect of corrosion on the fatigue life of high-strength steel wires using a multi-parameter Weibull model. The proposed model enables a quantitative assessment of the life expectancy of steel wires at specific survival rates under a wide range of corrosion conditions [21]. Li investigated the development process of corrosion damage in steel wires from both microscopic and macroscopic perspectives. By conducting experiments, they determined the fatigue crack growth rate and identified the primary factors influencing the life expectancy of steel wires during the initial microscopic damage phase [22]. Wang et al. quantitatively investigated the effect of corrosion on the residual fatigue life of suspension bridge cables. They proposed a rusted steel wire fatigue life prediction model that simultaneously considers both the corrosion propagation stage and the fatigue crack propagation stage based on the equivalent initial crack size method. Stress concentration induced by pitting corrosion was incorporated into the stress intensity factor model. The fracture morphology of the steel wire was observed using scanning electron microscopy, providing insights into the relationship between corrosion severity and wire life [23]. Jiang utilized three-dimensional scanning to measure the surface morphology of rusted steel wires, statistically analyzing corrosion features. By integrating fatigue experiments, they established a predictive method for the fatigue life of rusted steel wires [24]. Toribio et al. used artificially created notches to simulate rust-damaged steel wire components and studied the fracture characteristics of the rusted steel wire under different tensile stress conditions [25]. Hydrogen can diffuse through corrosion in acidic environments into the microstructural defects, grain boundaries, or crack tips of steel and accumulate in these areas, leading to stress concentration. Yang et al.’s research indicates that the formation of corrosion product films (CPFs) at the crack tip significantly impacts the stress state and hydrogen diffusion. The CPFs, through hygroscopic expansion-induced stress, reduce the tensile stress at the crack tip and significantly inhibit hydrogen permeation into the crack tip, thereby exerting an important influence on the material’s fatigue performance [26]. In the study of hydrogen embrittlement in parallel steel wires within bridge suspender components, Betti conducted tensile tests on galvanized steel wires and found that the decisive factors affecting the ductility of the wires were surface irregularities and damage. By measuring the hydrogen content in wires under different conditions using inert gas methods, it was determined that the hydrogen concentration was insufficient to cause brittle fracture [9]. Similarly, Suzumura et al. measured the hydrogen diffusion and accumulation in corroded steel wires and, combined with an electron microscopic analysis of fracture surfaces in actual bridge wires, concluded that the hydrogen penetrating the steel had not reached the critical concentration required to induce brittle fracture [27].
In summary, by correlating descriptions of the corrosion state with fatigue life, it is possible to assess the remaining service life of steel wires. However, the decrease in fatigue life due to corroded steel wires exhibits strong variability, necessitating further research into representative defects on the steel wire surface. This study employs numerical simulation methods based on Paris’ law to establish numerical models for coplanar dual cracks and dual cracks with corrosion pits in steel wires. It investigates the effects of initial crack morphology and crack interactions on fatigue crack propagation and fatigue life. By combining the results of the fracture cross-sections from fatigue tensile tests with numerical simulations, it was found that fatigue crack propagation in coplanar double cracks can be divided into three stages: independent propagation, crack coalescence, and post-coalescence propagation. The interaction of multiple cracks is studied by comparing stress intensity factor amplification factors. In this paper, the double-crack region is combined into an equivalent single crack with the same depth to jointly assess the lifespan of the steel wire.

2. Surface and Fracture Morphology of the Damaged Steel Wire

At the outset of design, it was assumed that the suspender components, being insulated by the sheath, would experience minimal or no corrosion damage to the internal steel wires during service. However, during the service life of the bridge, factors such as alternating vehicle loads, changes in environmental temperature, and aging of the suspender sheath can lead to damage to the sheath. This damage allows environmental corrosive agents to infiltrate the interior of the suspender, leading to corrosion of the steel wires. With the passage of time, the surface of the steel wires transitions from uniform corrosion to the formation of pits. As the number of pits increases, individual, relatively independent corrosion pits connect with each other, forming larger pits. The shape and quantity of the pits on the steel wire cannot be predicted. Researchers conduct quantitative studies of different damage characteristics through statistical methods, dividing the degree of corrosion of the steel wires into different grades. The surface morphology of the damaged steel wires can be observed using a digital microscope and a field emission scanning electron microscope, as shown in Figure 1.
The corrosion fatigue performance of this batch of steel wires has been studied in the experiments detailed in reference [18]. Through an artificially accelerated corrosion test on 7 mm galvanized high-strength steel wire, the number and three-dimensional dimensions of the pits on the surface of the wire were found to vary unpredictably across different corrosion grades, showing weak regularity. The positions of the pits also appear randomly. However, these pits can generally be categorized into the following typical shapes based on their depth: groove-shaped, semi-ellipsoidal, hemispherical, and composite, as shown in Table 1.
The corrosion process of steel wires inside arch bridge suspenders lasts for a very long time, with the number and morphology of pits differing in each stage. The morphology of pits changes as time progresses, and there is a certain regularity in this change. In the early stages of corrosion, micro-cracks will appear on the surface of the wire matrix, as shown in Figure 2a. In the mid-term of wire corrosion, relatively dispersed and independent corrosion pits will appear on the wire matrix, as shown in Figure 2b. As the corrosion progresses, in the mid-term of wire corrosion, some independent corrosion pits will coalesce into a larger area corrosion pit. The appearance of corrosion pits greatly reduces the effective cross-sectional area of the wire, and the appearance of cracks seriously affects the performance and service life of the wire.
Figure 3 illustrates the typical fatigue fracture characteristics of steel wires with three levels of corrosion severity at a stress amplitude of 450 MPa, corresponding to mild, moderate, and severe corrosion states. The fracture surfaces of the three steel wires are generally similar, consisting of smooth and flat fatigue propagation regions and rough transient crack initiation zones. Comparing the fracture morphologies of the three steel wires, it is observed that the fracture surfaces of the steel wires in Figure 3a maintain regular arc shapes, with small spherical defects visible at the middle of the outer edge of the propagation region. In Figure 3b, the fracture surfaces of the steel wire exhibit obvious tooth-like features. Contrasting the fracture morphology in Figure 3c with those of the other steel wires, it is evident that this steel wire exhibits three fatigue propagation plateaus, which are indicative of multiple-source fatigue cracks. All three of the abovementioned fracture characteristics are typical features of brittle fracture. At the same level of corrosion severity, the fatigue crack propagation rate is faster, leading to a shorter fatigue life.

3. Crack Propagation and Dual-Crack Model

The diameter of the steel wires used in the parallel wire stay cables is 7 mm, and the corrosion pits and cracks on their surfaces are difficult to control and capture through manual means during the expansion process. To clarify the corrosion damage and crack propagation mechanisms of the steel wires under axial loading, a finite element method was employed. Based on the assumptions of isotropy and linear elasticity for the steel wires, this study utilized FRANC3D and ANSYS for numerical simulations.
First, a model of uncracked steel wires was established, and the stress distribution before crack initiation was obtained using SOLID185, which is an eight-node solid element in ANSYS 19.0 This model includes both a global model and a local model, with local and global interaction analysis performed using FRANC3D 7.5.5. The local model, which contains only the cracks, will be re-meshed, as shown in Figure 4. Subsequently, FRANC3D automatically calculates the stress intensity factor at the crack tip based on linear elastic fracture mechanics. The crack model generated by FRANC3D will be computed using ANSYS to create a new model that meets the crack propagation requirements.
The crack propagation process is based on Equation (1), which calculates the incremental crack growth at the nodes along the crack front. Once the local crack growth increments are obtained, the nodes at the crack front will be updated to new positions, and cubic spline interpolation will be used to generate the new crack front. Then, the updated node positions will be appropriately adjusted along the spline curve to avoid singularities during the computation, as shown in Figure 5. This process will continue until the maximum stress intensity factor reaches the fracture toughness. In the numerical analysis, a stress ratio of 0.5 was utilized, where the steel wire model was fixed at one end and subjected to tensile loading at the other end, resulting in a stress amplitude of 360 MPa.
In axial tensile load tests, Paris’ law is widely used to describe the process of fatigue crack propagation. In this process, the crack propagation rate can be expressed as follows:
d a d N = C ( Δ K ) m
where Δ K is the range of the stress intensity factor at the crack tip, C is a constant in Paris’ law, and m is the material exponent, which is typically dependent on material properties and test conditions. Toribio [26] recommends the parameter values for C and M obtained from experiments on cold-drawn steel wire as 4.1 and 3.0, respectively, with units in MPa and m.
Before conducting crack propagation simulations, it is necessary to determine the material stress intensity factor threshold and the critical crack length. J. Llorca and V. Sanchez-Galvez obtained the stress intensity factor threshold for high-strength steel wires through experiments and used the least squares method to establish the relationship between the threshold value and stress ratio [28], as shown in Equation (2). For a stress ratio of 0.5 in this study, ΔKth = 87.67 MPa·mm0.5 can be calculated.
Δ K t h = 3.43 R + 5.54
After determining the threshold value for crack propagation in the steel wire, it is also necessary to determine the critical crack length af at which the wire ultimately fractures. In fracture mechanics, it is considered that when a structure experiences fracture failure, the stress intensity factor at the crack tip and the fracture toughness satisfy the following equation:
K = Y σ π a f K c
In the equation, K is the stress intensity factor; Y is the crack geometry correction factor; σ is the far-field stress; af is the critical crack length; and Kc is the material’s fracture toughness.
Reference [1] determined the fracture toughness of corroded steel wire experimentally as Kc = 1944.12 MPa·mm0.5, and Zeng Yong fitted the expression for the geometry correction factor of semicircular cracks in steel wires [29,30,31], as shown in Equation (4), where a represents the crack depth and D denotes the diameter of the wire.
Y ( a D ) = 0.5964 0.2686 ( a D ) + 4.0122 ( a D ) 2
Combining Equations (3) and (4), the critical crack length is calculated to be 3.27 mm, which can be approximated as 3.3 mm. At the same time, assuming the crack extends by 0.1 mm per increment, the steel wire containing a corrosion pit with a depth of 0.2 mm, after the initiation of a 0.1 mm initial crack, would reach the critical crack length after 31 steps of crack propagation, resulting in the fracture failure of the steel wire.
Through fatigue testing, the fracture sections of steel wires reveal significant effects of coplanar damage mechanisms on wire performance. The expansion behavior of coplanar elliptical cracks with equal spacing and axis dimensions between adjacent crack tips is compared. The dimensions of the wire model are significantly larger than the crack opening dimensions. Two coplanar semi-elliptical cracks are included in the wire model perpendicular to the axis of the cylinder (i.e., the direction of the applied load), as shown in Figure 6a. The parameters of the dual-crack system are identified in Figure 6b. The crack size is controlled by the lengths of two semi-axes, a and b. Parameter l represents the spacing between adjacent crack tips. In fatigue loading conditions, the actual crack shape is often assumed to be elliptical. Point A represents the deepest point of the crack, B and B′ denote the endpoints of the elliptical major axis, and C and C′ represent the actual crack tip endpoints on the wire. When the wire is subjected to axial loading σ, it remains in a state of linear elasticity. Interaction between adjacent cracks leads to damage different from that caused by a single crack. By combining coplanar crack dimensions, the equivalent crack shape after interaction is obtained for fatigue assessment, as shown in Figure 6c. The combination of two cracks results in an equivalent crack depth a equal to the depth of a single coplanar crack. The equivalent crack width equals the sum of the major axis length of the single crack and the spacing between adjacent crack tips.

4. Numerical Simulation of Damaged Steel Wire

4.1. Effect of Corrosion Defects on the Mechanical Stress of the Steel Wire

Fatigue tests on corroded steel wires indicate that the influence of corrosion on wire stress and fatigue life primarily involves changes in stress distribution due to surface damage and defects, leading to stress concentration and increased average stress, thereby reducing mechanical performance. Finite element models are established to simulate the morphology of corrosion defects in steel wires and to analyze the stress distribution near the damaged areas.
The surface damage caused by actual corrosion on steel wires is complex and random. Based on the measurement results presented in reference [32], an analysis and discussion of the simplified idealized representations of defects are conducted. Models were established for steel wires featuring semi-spherical pit defects, groove-shaped pit defects, single-crack defects, and defects characterized by both pits and cracks, as illustrated in Figure 7. The semi-spherical defect has a radius of 0.2 mm, the groove-shaped defect has a length of 0.4 mm and a depth of 0.2 mm, and the crack size is a semicircular crack with a radius of 0.3 mm.
The four steel wire models undergo elastic analysis, and Figure 8 provides corresponding Mises stress distribution contour plots near the defects. From the figure, it can be observed that the peak stress for the steel wire with spherical pit defects is 905.3 MPa, for the wire with groove-shaped pit defects, it is 1016.6 MPa, for the wire with a single crack, it is 1155.5 MPa, and for the wire with cracks and pits, it is 1356.3 MPa. The stress concentration in the groove-shaped pit is higher than that in the spherical pit, and the stress concentration in the wire with cracks and pits is higher than that with a single crack. As the distance from the damage location increases, the stress decreases sharply, and the concentrated area becomes very small. The stress reduction gradient for the wire without cracks is steeper compared to the wire with cracks.

4.2. Influence of the Initial Crack Shape

To verify the accuracy of the finite element model, this study conducted a comparative analysis of the fatigue life data of corroded steel wires obtained from existing references [12,16,18]. Figure 9 presents a comparison between the numerical simulated lives and experimental lives of 50 samples, with the vertical axis indicating the logarithmic ratio of the numerical simulation values to the fatigue life values reported in the literature. The analysis shows that this ratio fluctuates around one, indicating a relative consistency between the numerical simulations and experimental results. Considering the variability in the fatigue life of corroded steel wires, this result further supports the validity of the established model. Therefore, it can be concluded that the model demonstrates good predictive capability in simulating the fatigue behavior of corroded steel wires.
The microscopic observations indicate that micro-cracks can occur in the steel wire matrix under mild corrosion conditions. Some cracks may even develop within the areas affected by corrosion pits. Therefore, prior to analyzing the propagation of multiple cracks, it is essential to examine the behavior of single-crack propagation.
In the model without corrosion pits, the initial crack depth is set to 0.3 mm, corresponding to the short radius of an ellipse. For the model containing corrosion pits, the depth of these pits is established at 0.2 mm, with the crack located 0.1 mm deep within the deepest portion of the corrosion pit. The ratio of the long radius to the short radius—referred to as the width-to-depth ratio—dictates the shape of the crack and is categorized into five groups: 3, 2, 1, 1/2, and 1/3.
Figure 10 presents the stress intensity factors at the crack front during both the initial and critical stages preceding fracture. The data illustrate that the shape of the crack significantly influences the stress intensity factor during the initial stage. When comparing the impact of corrosion pits on the initial crack stress intensity factor, it was observed that the stress intensity factor near the ends of the crack without corrosion pits is greater than that of the crack situated within corrosion pits. Conversely, the stress intensity factor at the midpoint of the crack front without corrosion pits is lower than that of the crack with corrosion pits. This indicates that corrosion pits have a significant impact on crack propagation behavior.
The trends in stress intensity factors at the critical fracture stage are largely consistent, with the values of the stress intensity factors being relatively close. This indicates that under axial tensile loading, the crack advances to a similar position, ultimately leading to the failure and fracture of the steel wire.
Using a semicircular crack with a radius of 0.3 mm as the benchmark, where a = b = 0.3, Figure 11 illustrates the impact of crack geometry on fatigue life under two distinct conditions. The results indicate that the fatigue life of double cracks with corrosion pits is lower than that without corrosion pits, and the effect of crack size variation on fatigue life ranges from 0.5 to 2 times.

4.3. Analysis of Crack Propagation

Both steel wires, whether with or without corrosion pits, feature two initial cracks located at the mid-section of the wire. Figure 12 illustrates the propagation morphology of single and double cracks under fatigue loading. In Figure 12a, the single crack propagates along the centerline of the crack front. Conversely, in Figure 12b,c, the double-crack scenario demonstrates that during the initial stages of crack propagation, the two cracks propagate independently at similar rates and trajectories. It is only when the tips of the two independent cracks come into contact that a significant change occurs. Following this contact, the two cracks rapidly coalesce into a single continuous crack. Subsequently, the morphology of the crack propagation stage resembles that of a single crack until the wire ultimately fractures upon reaching the critical crack depth.
The propagation curve of the coalesced crack is depicted in Figure 13, which identifies three distinct stages of crack development: independent propagation, crack coalescence, and post-coalescence propagation. Notably, the rapid expansion and coalescence of the two cracks during this process consume a substantial number of fatigue cycles. Furthermore, corrosion pits have been shown to accelerate the independent growth of cracks throughout this process. The initial sizes of the cracks, as well as the spacing between adjacent cracks, significantly influence the propagation dynamics of multiple cracks in the steel wire. When adjacent cracks are in close proximity, their interaction becomes a critical consideration for assessing fatigue performance.

5. Parametric Analysis of Coplanar Dual Cracks

5.1. Interaction Between Coplanar Cracks

The stress intensity factor at the crack tip is a key parameter for predicting crack propagation rates and estimating material fatigue life. It is commonly regarded as the driving force for cracks. To evaluate the effect of mutual interaction between coplanar double cracks, the interaction factor γ can be defined by comparing the stress intensity factors of double cracks with those of single cracks [33], as shown in Equation (5), as follows:
γ = k int k s
where kint represents the stress intensity factor at the crack front of a single crack in a pair of interacting cracks with identical geometries, and ks represents the stress intensity factor at the crack tip of a single crack with the same geometric shape as in the double-crack system, under identical stress conditions.
In order to obtain a more comprehensive analysis result, the influence of interaction factors was examined by setting different geometrically shaped initial cracks and crack tip distances. With the crack depth set to a = 0.3 mm, Figure 14a,b illustrates the variation trend of the interaction factor γ for different relative positions of crack fronts under two scenarios. It can be observed that the interaction factor γ for both the combination of cracks with and without corrosion pits exhibits a similar variation trend. Due to the interaction between adjacent crack tips, the cracks tend to coalesce, resulting in the interaction factor γ reaching a peak near the inner crack tip C and gradually decreasing after moving away from the interaction region. Meanwhile, corrosion pits have a certain amplifying effect on the interaction factor at the crack tips.
Comparing the interaction factors at the three key points, A, C, and C′, in Figure 14c,d, it is found that the interaction factors at points A and C′ are less than 1.05. Therefore, the amplification effect of the stress intensity factor at points A and C′ under the influence of dual cracks can be neglected. The presented case study indicates that as the distance l between crack tips exceeds the crack depth a, the interaction effect gradually converges toward 1.
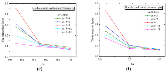
Figure 14e,f compares the influence of the initial crack shape on the interaction factor γ, showing a similar trend and indicating that the pattern defined by the crack depth a serves as a boundary and is largely independent of the initial crack shape.
Figure 15 illustrates the effect of dual crack interaction on the fatigue life of the steel wire. The results indicate that when the distance between adjacent cracks is less than the crack depth, the fatigue life of the dual-crack steel wire is less than 90% of that of the single-crack wire. As the distance between adjacent cracks increases, the fatigue life of the dual-crack steel wire gradually approaches that of the single-crack wire. This also demonstrates the applicability of using the crack depth as a boundary.

5.2. Evaluation of Crack Equivalent Rules

Based on the crack propagation patterns obtained in the previous section, the combination rules of coplanar double cracks can be used to determine the equivalent crack size. This approach facilitates the prediction of the fatigue life of steel wires with multiple cracks. Using the crack size model shown in Figure 9, change the stress amplitude to 630 MPa and calculate the initial stress intensity factors for the double cracks and the equivalent crack, as shown in Figure 16a,b. Based on the information obtained from the figure, it is observed that the stress intensity factors at the crack front of the equivalent crack are greater than those of the dual cracks, both for cases without corrosion pits and with corrosion pits. Additionally, the stress intensity factor for cracks with corrosion pits is greater than that for cracks without corrosion pits. The relationship curve between crack size and fatigue life obtained through calculations is shown in Figure 16c. The calculation results of the equivalent crack tend to be conservative, which may be due to neglecting the separate development stages of the dual cracks. Figure 17 uses numerical simulations to compare the differences in fatigue life between the double-crack model and the equivalent crack model. The results indicate that the equivalent crack calculation method is relatively conservative. Using the equivalent crack model can simplify the calculation of the steel wire’s fatigue behavior to a certain extent, and it is feasible to use this result to evaluate the fatigue life of the steel wire.

6. Conclusions

Through microscopic observation of the corroded steel wire surface and fatigue fracture surfaces, a reasonable summary of the surface cracks, corrosion pits, and fatigue fracture morphology was made. Finite element numerical simulations were used to analyze the propagation behavior of tiny initial cracks under fatigue loading in different scenarios. The conclusions of this study are as follows:
(1) Microscopic observations have revealed that under mild corrosion, small cracks can initiate on the surface of the steel wire substrate. As the degree of corrosion intensifies, both corrosion pits and cracks appear simultaneously on the surface, resulting in composite damage. These pitting and cracking damages lead to a loss of effective cross-section and alter the local stress field, thereby affecting the stress intensity factor of the cracks, accelerating their propagation, and significantly reducing the service life of the steel wire.
(2) The analysis of crack propagation processes reveals that the crack shape significantly influences the initial stress intensity factor. The stress intensity factor at the crack tip in the absence of corrosion pits is higher than that at the base of the corrosion pit, while the stress intensity factor at the center of the crack front is comparatively lower. At the critical fracture stage, the variation trend of the stress intensity factor remains consistent, with values converging to a similar range. This indicates that under the same load, cracks can propagate to the same position, leading to failure. Additionally, crack shape has a notable impact on fatigue life, with variations between 0.5 and 2 times, which accounts for the significant dispersion in the fatigue life of damaged steel wires.
(3) In the parameter analysis, the interaction between double cracks was evaluated based on parameters such as initial crack size and crack spacing. The results indicate that multiple-crack propagation is particularly sensitive to crack spacing. Within the range of crack depth, the interaction between adjacent cracks should be carefully considered. When the relative spacing between cracks exceeds the crack depth, the development of double cracks tends to be independent, with minimal interaction effects. Conversely, when the relative spacing is within the range of crack depth, the stress intensity factor between the cracks exhibits significant amplification. The stages of crack merging and post-merging rapidly consume a substantial number of fatigue cycles.
(4) Based on the amplification effect of the stress intensity factors at the tips of adjacent cracks, a comparison of the lifetimes of the double-crack system and the equivalent single crack reveals that the results under equivalent single-crack conditions are more conservative. This is because, compared to double cracks, the equivalent single crack lacks the independent development stage of the cracks. Using the equivalent crack instead of double cracks in practical applications tends to be safer and offers higher feasibility.

Author Contributions

L.D.: methodology, formal analysis, writing—original draft, and writing—review and editing; Y.D.: investigation, supervision. All authors have read and agreed to the published version of the manuscript.

Funding

This work was supported by the National Nature Science Foundation of China (Grant Nos. 51678459 and 51378406) and the Technology Project of Shanxi Transportation Holdings Group Co., Ltd. (Grant Nos. 19-JKKJ-8). Any opinions, findings, and conclusions expressed herein are those of the authors and do not necessarily reflect the views of the sponsors.

Institutional Review Board Statement

Not applicable.

Informed Consent Statement

Not applicable.

Data Availability Statement

The original contributions presented in this study are included in the article; further inquiries can be directed to the corresponding author.

Conflicts of Interest

The authors declare that they do not have any commercial or associative interest that represents a conflict of interest in connection with the work submitted.

References

  1. Li, S.; Zhang, L.; Wang, Y.; Hu, P.; Jiang, N.; Guo, P.; Wang, X.; Feng, H. Effect of cathodic protection current density on corrosion rate of high-strength steel wires for stay cable in simulated dynamic marine atmospheric rainwater. Structures 2021, 29, 1655–1670. [Google Scholar] [CrossRef]
  2. Li, F.; Liu, Z.; Zhao, Y.; Qu, Y.; Lu, R. Experimental study on corrosion progress of interior bond section of anchor cables under chloride attack. Constr. Build. Mater. 2014, 71, 344–353. [Google Scholar] [CrossRef]
  3. Sun, H.; Xu, J.; Chen, W.; Yang, J. Time-Dependent Effect of Corrosion on the Mechanical Characteristics of Stay Cable. J. Bridge Eng. 2018, 23, 04018019. [Google Scholar] [CrossRef]
  4. Hopwood, T.; Havens, J.H. Inspection, Prevention, and Remedy of Suspension Bridge Cable Corrosion Problems; Kentucky Transportation Research Program, College of Engineering, University of Kentucky: Lexington, KY, USA, 1984. [Google Scholar]
  5. Salas, R.M.; Kotys, A.L.; West, J.S.; Breen, J.E.; Kreger, M.E. Final evaluation of corrosion protection for bonded internal tendons in precast segmental construction. In Research Report 1405-6; Center for Transportation Research, The University of Texas at Austin: Austin, TX, USA, 2002. [Google Scholar]
  6. Barton, S.C.; Vermaas, G.W.; Duby, P.F.; West, A.C.; Betti, R. Accelerated corrosion and embrittlement of high-strength bridge wire. J. Mater. Civ. Eng. 2000, 12, 33–38. [Google Scholar] [CrossRef]
  7. Xu, J.; Chen, W. Behavior of wires in parallel wire stayed cable under general corrosion effects. J. Constr. Steel Res. 2013, 85, 40–47. [Google Scholar] [CrossRef]
  8. Nakamura, S.; Suzumura, K.; Tarui, T. Mechanical properties and remaining strength of corroded bridge wires. Struct. Eng. Int. 2004, 14, 50–54. [Google Scholar] [CrossRef]
  9. Betti, R.; West, A.C.; Vermaas, G.; Cao, Y. Corrosion and embrittlement in high-strength wires of suspension bridge cables. J. Bridge Eng. 2005, 10, 151–162. [Google Scholar] [CrossRef]
  10. Xue, S.; Shen, R.; Chen, W.; Miao, R. Corrosion fatigue failure analysis and service life prediction of high strength steel wire. Eng. Fail. Anal. 2020, 110, 104440. [Google Scholar] [CrossRef]
  11. Miyachi, K.; Chryssanthopoulos, M.; Nakamura, S. Experimental assessment of the fatigue strength of corroded bridge wires using non-contact mapping techniques. Corros. Sci. 2021, 178, 109047. [Google Scholar] [CrossRef]
  12. Li, R.; Miao, C.; Feng, Z.; Wei, T. Experimental study on the fatigue behavior of corroded steel wire. J. Constr. Steel Res. 2021, 176, 106375. [Google Scholar] [CrossRef]
  13. Zheng, Y.; Wang, Y. Damage evolution simulation and life prediction of high-strength steel wire under the coupling of corrosion and fatigue. Corros. Sci. 2020, 164, 108368. [Google Scholar] [CrossRef]
  14. Iordachescu, M.; Valiente, A.; De Abreu, M. Effect of environmentally assisted damage on fatigue resistance of tie-down cables after 30 years of service in a cable-stayed bridge. Eng. Fail. Anal. 2021, 126, 105455. [Google Scholar] [CrossRef]
  15. Wang, S.; Zhang, D.; Hu, N.; Zhang, J. Effect of stress ratio and loading frequency on the corrosion fatigue behavior of smooth steel wire in different solutions. Materials 2016, 9, 750. [Google Scholar] [CrossRef] [PubMed]
  16. Li, H.; Lan, C.M.; Ju, Y.; Li, D.S. Experimental and numerical study of the fatigue properties of corroded parallel wire cables. J. Bridge Eng. 2012, 17, 211–220. [Google Scholar] [CrossRef]
  17. Lan, C.; Xu, Y.; Liu, C.; Li, H.; Spencer, B. Fatigue life prediction for parallel-wire stay cables considering corrosion effects. Int. J. Fatigue 2018, 114, 81–91. [Google Scholar] [CrossRef]
  18. Deng, Y.; Deng, L. Corrosion Fatigue Test and Performance Evaluation of High-Strength Steel Wires Based on the Suspender of a 11-Year-Old Concrete-Filled Steel Tube Arch Bridge. Coatings 2022, 12, 1475. [Google Scholar] [CrossRef]
  19. Wang, Y.; Zheng, Y.; Zhang, W.; Lu, Q. Analysis on damage evolution and corrosion fatigue performance of high-strength steel wire for bridge cable: Experiments and numerical simulation. Theor. Appl. Fract. Mech. 2020, 107, 102571. [Google Scholar] [CrossRef]
  20. Miao, C.; Li, R.; Yu, J. Effects of characteristic parameters of corrosion pits on the fatigue life of the steel wires. J. Constr. Steel Res. 2020, 168, 105879. [Google Scholar] [CrossRef]
  21. Bai, N.; Li, H.; Ma, J.; Lan, C.; Spencer, B.F. Fatigue life evaluation model for high-strength steel wire considering different levels of corrosion. Struct. Infrastruct. Eng. 2022, 19, 409–419. [Google Scholar] [CrossRef]
  22. Li, C.X.; Tang, X.S.; Xiang, G.B. Fatigue crack growth of cable steel wires in a suspension bridge: Multiscaling and mesoscopic fracture mechanics. Theor. Appl. Fract. Mech. 2010, 53, 113–126. [Google Scholar] [CrossRef]
  23. Wang, G.; Ma, Y.; Wang, L.; Zhang, J. Experimental study and residual fatigue life assessment of corroded high-tensile steel wires using 3D scanning technology. Eng. Fail. Anal. 2021, 124, 105335. [Google Scholar] [CrossRef]
  24. Jiang, C.; Wu, C.; Jiang, X. Experimental study on fatigue performance of corroded high-strength steel wires used in bridges. Constr. Build. Mater. 2018, 187, 681–690. [Google Scholar] [CrossRef]
  25. Toribio, J.; Matos, J.C.; González, B. A macro-and micro-approach to the anisotropic fatigue behaviour of hot-rolled and cold-drawn pearlitic steel. Eng. Fract. Mech. 2014, 123, 70–76. [Google Scholar] [CrossRef]
  26. Yang, F.; Zhang, J.; Zhang, Y. Modeling Corrosion Product Film Formation and Hydrogen Diffusion at the Crack Tip of Austenitic Stainless Steel. Materials 2023, 16, 5799. [Google Scholar] [CrossRef] [PubMed]
  27. Suzumura, K.; Nakamura, S. Enviromental factors affecting corrosion of galvanized steel wires. J. Mater. Civ. Eng. 2004, 16, 1–7. [Google Scholar] [CrossRef]
  28. Llorca, J.; Sanchez-Galvez, V. Fatigue threshold determination in high strength cold drawn eutectoid steel wires. Eng. Fract. Mech. 1987, 26, 869–882. [Google Scholar] [CrossRef]
  29. Lovegrove, J.M. Stress intensity factors for fatigue cracking of round bars. Int. J. Fatigue 1981, 3, 117–123. [Google Scholar]
  30. Forman, R.G.; Shivakumar, V. Growth behavior of surface cracks in the circumferential plane of solid and hollow cylinders. In Fracture Mechanics: Seventeenth Volume; ASTM International: West Conshohocken, PA, USA, 1986. [Google Scholar]
  31. Zeng, Y.; Chen, A.; Ma, R. Fracture strength of wires with cracks in suspension bridge. J. Tongji Univ. Nat. Sci. 2009, 37, 1010–1013. [Google Scholar]
  32. Ye, H.; Duan, Z.; Tang, S.; Yang, Z.; Xu, X. Fatigue crack growth and interaction of bridge wire with multiple surface cracks. Eng. Fail. Anal. 2020, 116, 104739. [Google Scholar] [CrossRef]
  33. Deng, L.; Deng, Y. Temporal and Spatial Variation Study on Corrosion of High-Strength Steel Wires in the Suspender of CFST Arch Bridge. Coatings 2024, 14, 628. [Google Scholar] [CrossRef]
Figure 1. Surface defects in the wire. (a) Digital microscope. (b) Field emission scanning electron microscope.
Figure 1. Surface defects in the wire. (a) Digital microscope. (b) Field emission scanning electron microscope.
Applsci 14 09596 g001
Figure 2. Surface defects in the wire. (a) Surface cracks. (b) Cracks near corrosion pits.
Figure 2. Surface defects in the wire. (a) Surface cracks. (b) Cracks near corrosion pits.
Applsci 14 09596 g002
Figure 3. Fatigue fracture cross-section. (a) Mild corrosion. (b) Moderate corrosion. (c) Severe corrosion.
Figure 3. Fatigue fracture cross-section. (a) Mild corrosion. (b) Moderate corrosion. (c) Severe corrosion.
Applsci 14 09596 g003
Figure 4. FEM crack insertion procedure.
Figure 4. FEM crack insertion procedure.
Applsci 14 09596 g004
Figure 5. Continuous process analysis of fatigue crack propagation.
Figure 5. Continuous process analysis of fatigue crack propagation.
Applsci 14 09596 g005
Figure 6. Geometry model of coplanar dual crack steel wire. (a) 3D view. (b) Crack section. (c) Equivalent crack.
Figure 6. Geometry model of coplanar dual crack steel wire. (a) 3D view. (b) Crack section. (c) Equivalent crack.
Applsci 14 09596 g006
Figure 7. Finite element meshing with cracks. (a) Hemispherical pits. (b) Groove-shaped pits. (c) Cracks without pits. (d) Cracks with pits.
Figure 7. Finite element meshing with cracks. (a) Hemispherical pits. (b) Groove-shaped pits. (c) Cracks without pits. (d) Cracks with pits.
Applsci 14 09596 g007
Figure 8. Stress contour plot of damaged steel wire. (a) Hemispherical pits. (b) Groove-shaped pits. (c) Cracks without pits. (d) Cracks with pits.
Figure 8. Stress contour plot of damaged steel wire. (a) Hemispherical pits. (b) Groove-shaped pits. (c) Cracks without pits. (d) Cracks with pits.
Applsci 14 09596 g008
Figure 9. Stress contour plot of damaged steel wire.
Figure 9. Stress contour plot of damaged steel wire.
Applsci 14 09596 g009
Figure 10. Influence of initial crack shape on the stress intensity factor. (a) Initial SIF for a single crack. (b) Initial SIF for a single crack with a pit. (c) Critical SIF for a single crack. (d) Critical SIF for a single crack with a pit.
Figure 10. Influence of initial crack shape on the stress intensity factor. (a) Initial SIF for a single crack. (b) Initial SIF for a single crack with a pit. (c) Critical SIF for a single crack. (d) Critical SIF for a single crack with a pit.
Applsci 14 09596 g010
Figure 11. Influence of shape on the fatigue life of a single-crack steel wire.
Figure 11. Influence of shape on the fatigue life of a single-crack steel wire.
Applsci 14 09596 g011
Figure 12. Process of coplanar dual crack propagation. (a) Single-crack propagation path. (b) Double-crack propagation path without pits. (c) Double-crack propagation path with pits.
Figure 12. Process of coplanar dual crack propagation. (a) Single-crack propagation path. (b) Double-crack propagation path without pits. (c) Double-crack propagation path with pits.
Applsci 14 09596 g012
Figure 13. Coplanar dual crack propagation curve. (a) Relative spacing. (b) Relative spacing. (c) Initial crack size. (d) Initial crack size.
Figure 13. Coplanar dual crack propagation curve. (a) Relative spacing. (b) Relative spacing. (c) Initial crack size. (d) Initial crack size.
Applsci 14 09596 g013
Figure 14. Analysis of interaction factor. (a) Variation of γ at the crack front. (b) Variation of γ at the crack front. (c) Relative spacing relative spacing. (d) Relative spacing relative spacing. (e) Initial crack shape. (f) Initial crack shape.
Figure 14. Analysis of interaction factor. (a) Variation of γ at the crack front. (b) Variation of γ at the crack front. (c) Relative spacing relative spacing. (d) Relative spacing relative spacing. (e) Initial crack shape. (f) Initial crack shape.
Applsci 14 09596 g014aApplsci 14 09596 g014b
Figure 15. Fatigue life under dual-crack interaction. (a) Double crack. (b) Double cracks with corrosion pits.
Figure 15. Fatigue life under dual-crack interaction. (a) Double crack. (b) Double cracks with corrosion pits.
Applsci 14 09596 g015
Figure 16. Comparison between coplanar dual cracks and equivalent cracks. (a) Initial SIF for a crack without corrosion pit. (b) Initial SIF for a crack with corrosion pit. (c) Corrosion fatigue life curve.
Figure 16. Comparison between coplanar dual cracks and equivalent cracks. (a) Initial SIF for a crack without corrosion pit. (b) Initial SIF for a crack with corrosion pit. (c) Corrosion fatigue life curve.
Applsci 14 09596 g016
Figure 17. Comparison of fatigue life predicted by multiple-crack FEM simulation and the effective crack. (a) Double cracks without corrosion pits. (b) Double cracks with corrosion pits.
Figure 17. Comparison of fatigue life predicted by multiple-crack FEM simulation and the effective crack. (a) Double cracks without corrosion pits. (b) Double cracks with corrosion pits.
Applsci 14 09596 g017
Table 1. Typical pit morphology characteristics.
Table 1. Typical pit morphology characteristics.
Groove-Shaped Semi-EllipsoidalHemisphericalComposite
Pitting morphologyApplsci 14 09596 i001Applsci 14 09596 i002Applsci 14 09596 i003Applsci 14 09596 i004
Pit depthh ≥ 0.25 mmh ≥ 0.15 mmh ≥ 0.10 mmh ≥ 0.20 mm
Note: The white circular areas indicate the locations of typical corrosion pits.
Disclaimer/Publisher’s Note: The statements, opinions and data contained in all publications are solely those of the individual author(s) and contributor(s) and not of MDPI and/or the editor(s). MDPI and/or the editor(s) disclaim responsibility for any injury to people or property resulting from any ideas, methods, instructions or products referred to in the content.

Share and Cite

MDPI and ACS Style

Deng, L.; Deng, Y. Study on Multi-Crack Damage Evolution and Fatigue Life of Corroded Steel Wires Inside In-Service Bridge Suspenders. Appl. Sci. 2024, 14, 9596. https://doi.org/10.3390/app14209596

AMA Style

Deng L, Deng Y. Study on Multi-Crack Damage Evolution and Fatigue Life of Corroded Steel Wires Inside In-Service Bridge Suspenders. Applied Sciences. 2024; 14(20):9596. https://doi.org/10.3390/app14209596

Chicago/Turabian Style

Deng, Luming, and Yulin Deng. 2024. "Study on Multi-Crack Damage Evolution and Fatigue Life of Corroded Steel Wires Inside In-Service Bridge Suspenders" Applied Sciences 14, no. 20: 9596. https://doi.org/10.3390/app14209596

APA Style

Deng, L., & Deng, Y. (2024). Study on Multi-Crack Damage Evolution and Fatigue Life of Corroded Steel Wires Inside In-Service Bridge Suspenders. Applied Sciences, 14(20), 9596. https://doi.org/10.3390/app14209596

Note that from the first issue of 2016, this journal uses article numbers instead of page numbers. See further details here.

Article Metrics

Back to TopTop