Next Article in Journal
Study of a New Type of Large-Diameter Multi-Disc Soil Anchor and Its Bearing Characteristics and Creep Property
Previous Article in Journal
Life Cycle Assessment of Extraction of Cellulose from Date Palm Biomass Using Natural Deep Eutectic Solvent (NaDES) via Microwave-Assisted Process
 
 
Font Type:
Arial Georgia Verdana
Font Size:
Aa Aa Aa
Line Spacing:
Column Width:
Background:
Article

Simulation Research on the Dual-Electrode Current Excitation Method for Distance Measurements While Drilling

by
Xinyu Dou
1,2,*,
Xiaoping Yan
2,
Longyu Hu
1 and
Huaqing Liang
2
1
Intelligence and Information Engineering College, Tangshan University, Tangshan 063009, China
2
College of Artificial Intelligence, China University of Petroleum, Beijing 102200, China
*
Author to whom correspondence should be addressed.
Appl. Sci. 2024, 14(20), 9584; https://doi.org/10.3390/app14209584
Submission received: 20 July 2024 / Revised: 11 October 2024 / Accepted: 18 October 2024 / Published: 21 October 2024
(This article belongs to the Topic Petroleum and Gas Engineering)

Abstract

Featured Application

A novel active range while drilling method, based on the drilling well, with dual-electrode current excitation, is proposed. The range while drilling model utilizing dual-electrode current excitation is established, and the calculation methods for the current amplitude of the casing and the formation-induced magnetic field distribution are derived. The accuracy and effectiveness of this approach are validated through numerical calculations and simulation analyses of the impact of each key factor. It is particularly appropriate for targeted well ranging operations that entail safety risks, especially in the relief well connectivity operations at space-constrained drilling platforms.

Abstract

Based on a comprehensive analysis of the existing methods for measuring adjacent well distances, along with their advantages and disadvantages, this study employs theoretical analysis, simulation experiments, and other comprehensive research methods to investigate a distance measurement method based on current excitation. In response to the need for measuring and controlling the connection of relief wells, a method utilizing dual-electrode current excitation during drilling is proposed. This approach facilitates synchronous excitation measurements while drilling, significantly reducing both time and costs while ensuring safety and efficiency, making it particularly suitable for the connection operation of relief wells that involve safety risks. Firstly, this paper establishes a drilling with measurement model corresponding to the excitation mode, which derives the calculation formulas for the target casing current amplitude attenuation, as well as the induced magnetic field distribution within the formation. Additionally, it provides the calculation methods for determining the target well distance and azimuth direction. Lastly, the impact levels of various key factors are verified through numerical calculations and simulation analyses, which confirm the correctness and effectiveness of this distance measurement method. The findings from this research establish both a core theoretical foundation and a technological basis for the real-time measurement of adjacent well distances during relief well operations.

1. Introduction

Complex structure well drilling technology has been widely applied in oil and gas well exploration, such as with horizontal wells, cluster wells, and relief wells. During the operation process, encountering issues related to multi-well collision prevention, obstacle avoidance, and interconnections is inevitable. Therefore, the precise measurement and control of the distance between adjacent wells must be carried out during critical drilling periods to avoid accidents or deviations from the predetermined trajectory caused by cumulative errors in the well bore trajectory. This ensures that the downhole drilling operation is both safe and efficient.
With the continuous improvement and progress of measurement methods and technologies, foreign countries have applied for a variety of new ranging method patents [1,2]. A series of commercial electromagnetic ranging tools, such as the Magnetic Guidance Tool (MGT), Rotating Magnetic Ranging System (RMRS), Single Wire Guidance (SWG), and WellSpot, have been developed to accurately detect the relative position between the drilling well and the drilled well. These advancements address the problems of the connection of relief wells, cluster wells anti-collision, SAGD double wells spacing control, and the connection of double horizontal wells.
(1)
The drilling well cable unipolar current excitation ranging method
The drilling well cable unipolar current excitation ranging method was proposed by Kuckes AF et al. [2,3]. This access-independent active ranging method does not require any excitation or measuring tools to be placed in the target well; all the current injection devices and measuring tools are located in the drilling well. As a result, it offers advantages such as a low safety risk and a short operating time [3].
The ranging principle of the WellSpot tool using this method applied to relief well connectivity is as follows. The excitation electrode and the electromagnetic measuring tool are placed in the drilling well through the logging cable. A ground power supply is used to provide the excitation electrode with a high-amplitude and low-frequency AC current, which diffuses through the formation with spherical characteristics. Because the conductivity of the casing is much higher than that of the formation, part of the current flows back to the far return electrode through the formation, and the other part gathers on the casing and flows along the axis direction, thus forming a low-frequency current flowing upward and downward on the casing. The magnetic field induced by the alternating current is detected by the electromagnetic measuring tool in the drilling well, and the relative distance and orientation between the drilling well and the target well are calculated by using a correlation positioning algorithm. To improve the detection accuracy of the system, Li Cui et al. proposed a magnetic positioning detection system based on the cable-type three electrode excitation system [4]. This uses three electrodes in the drilling well as the excitation electrodes, so that the excitation current can be injected into the formation around the relief well as much as possible, improving the amplitude of the gathered current on the accident well’s casing for improved detection accuracy [4,5]. However, it should be noted that multiple measurements are required to determine the adjacent well distance when using this method.
(2)
The drilling well current excitation ranging method
In order to achieve the real-time measurement and control of the inter-well distance, as well as to provide real-time adjacent well distance information during drilling, and save operation time, scholars such as Brian Clark have proposed an access-independent current excitation measurement while drilling (MWD) method [5,6]. In this method, the current source device and the insulating nipple are installed on the drill collar of the drilling well. During the drilling process, the current output by the current source uses the metal shells above and below the insulating nipple as the positive and negative electrodes, with the ground layer around the head of the hole where the drilling tool is located serving as a conductor [7,8]. This forms a similar elliptical spherical current loop in the formation. If there is a casing or drilling tool in nearby formations, then the injected currents will flow through these highly conductive objects, generating an induced magnetic field in the surrounding formation [9,10]. A high-precision magnetic field detector installed at the bottom of the Bottom Hole Assembly (BHA) in the drilling well can detect this magnetic field and obtain distance and orientation information for the target wells [11,12]. This method utilizes an insulated sub to isolate the positive and negative electrodes [12,13]. However, due to the limited length of the insulated sub (less than or equal to 1 m), it prevents currents from flowing deeper into the formation, which reduces the effective measurement distance. Furthermore, this method is still in its research and development stage and has not yet been implemented in formal commercial applications in field cases [14].
During the operation of connecting the relief well and the accident well, it is not feasible to place the excitation source of the ranging system into the accident well. Therefore, an access-independent excitation method must be adopted in the drilling well, where both the excitation source and the receiving device are located. The key challenge lies in improving the effective ranging range and measurement accuracy, while also reducing the safety risks, operating costs, and operating time. The WellSpot tool currently utilizes a single-electrode excitation mode in the drilling well, requiring the insertion of the excitation electrodes through the cable and relying on ground systems for the high-power excitation current. However, this setup does not allow for real-time ranging or synchronous operation during drilling [8]. To address these limitations, this paper explores a new method based on dual-electrode current excitation for MWD. This synchronous excitation approach enables real-time measurements during drilling operations and is particularly suitable for connecting relief wells with their inherent safety risks.
In hazardous drilling incidents, such as blowouts, the safety risks near the wellhead of the accident well are significant. Therefore, it is necessary to run a ranging excitation device and measuring tool into the relief well. Currently, the primary ranging system used for communication between the relief well and the accident well is the WellSpot tool developed by the VM company. This tool adopts a drilling well unipolar current incentive that requires cable ranging and drilling intersection operation. In order to achieve the synchronous operation of ranging and drilling, as well as to improve the ranging range and measuring accuracy, this paper proposes a new method for MWD based on dual-electrode current excitation. The research results provide a theoretical basis for developing and optimizing the parameters of distance MWD systems for relief wells.

2. Principle of Distance MWD Based on Dual-Electrode Current Excitation in Drilling Wells

The principle of the active MWD method based on dual-electrode current excitation is illustrated in Figure 1. The detection MWD device comprises a central current control and acquisition unit, an upper/lower low-frequency magnetic field detection unit, and a upper/lower electrode unit, with upper/lower representing the upper and lower parts and the central current control and acquisition unit being symmetrically arranged. The upper and lower electrode units should be equipped with insulating sub-sections, and the shell surface of each sub-section in the middle should be sprayed with insulating wear-resistant materials or glass fiber-reinforced plastic rings to minimize the impact of drilling mud and metal shells on the excitation current circuit.
The central current control and acquisition unit are equipped with a middle electrode. The internal current source injects current into the formation by two or three poles (three electrodes can constitute four current excitation modes) through three electrodes arranged at the top, middle, and bottom. The current generates radiant flow in the formation near the drilling well. If there is metal material near the formation (such as a drill pipe and casing in the target well), the current will flow on it, with most of the current direction being consistent to avoid the cancellation and decay of the upper and lower currents. The gathered current in the target well produces a specific induced magnetic field in the formation, which is measured by the upper/lower low-frequency magnetic field detection unit. Combined with geomagnetic data, well inclination, excitation current, the potential between loop electrodes, and other relevant measurements, using the appropriate positioning algorithms can obtain the orientation, distance, and angle between the drilling well and the drilled well to achieve the access-independent active measurement of adjacent distances while drilling.
The four reflux modes, composed of three electrodes, are illustrated in Figure 1. All four modes are based on two electrodes forming a current loop, as described below.
(1)
Upper electrode reflux: the positive and negative electrode current loops are formed by the middle electrode and the upper electrode [14].
(2)
Lower electrode reflux: the positive and negative electrode current loops are formed by the middle electrode and the lower electrode.
(3)
Full loop reflux: the positive and negative electrode current loops are composed of the upper electrode and the lower electrode.
(4)
Double loop reflux: the upper and lower electrodes are in parallel for the negative electrode, with the middle electrode serving as the positive electrode to form the current circuit loop.
Among these four current loop modes, the full loop reflux mode has the longest current loop. As a result, excitation currents can be injected deeper into the formations, leading to its longest effective detection distance. The other three modes are primarily used for non-ideal ranging environments (e.g., well position crossing). The relative distances between the center point of the upper/lower loops (the low-frequency magnetic field detector positions) and the target wells can be obtained through both the upper/lower electrolyte reflux mode and the double loop reflex mode.

3. MWD Positioning Method Based on Dual-Electrode Current Excitation

3.1. Dual-Electrode Current Excitation Ranging Model

The model for active magnetic positioning with dual-electrode current excitation is constructed, taking into account the key calculation parameters in the ranging system, including the formation characteristics, drilling well borehole, target well casing, BHA, and MWD.
The schematic diagram of the electromagnetic MWD model based on dual-electrode current excitation is shown in Figure 1. The Q point represents the center position of the upper/lower electrodes in the drilling well. The M point represents the position of the ranging point corresponding to the casing of the target well. Appendix B summarizes the meaning of the manuscript parameters. The connection d of the Q-M two points is perpendicular to the casing axis, and d is the distance between the drilling well and the target well. θ is the angle between the central axis of the casing and BHA; Hu and Hd, respectively, represent the upper/lower frequency magnetic field detectors. The du and dd indicate the vertical distance between the upper/lower low-frequency magnetic field detectors and the casing. L is the distance between the upper current electrodes and the lower current electrodes. Lch and Lcl, respectively, represent the distance between the measuring point of the casing M and the casing wellhead and well bottom.
The (X,Y,Z) coordinate system to represent the relative distance between the drilling well and the target well is established. The point Q in the center of the upper/lower electrodes serves as the coordinate origin, with the Z-axis parallel to the target well axis Φ2, the X-axis perpendicular to the target well axis Φ2, and the Y-axis perpendicular to the X-Z plane. The coordinate system and cross section of Hu and Hd are illustrated in Figure 1.
It is assumed that the drilling well axis aligns with the Y-axis of the (X,Y,Z) coordinate system and that both the upper and lower electrodes are equidistant from their origin. Additionally, the interface potential of the (X,0,Z) in the formation with a uniform medium is equal, and the target well casing at this interface will not gather current. Consequently, no consideration is given to any Y-axis direction component for the drilling well excitation electrode in this model. Therefore, both the drilling well axis Φ1 and the target well casing axis Φ2 are arranged on a common plane represented by (X,0,Z) in this model.
The coordinates of the dual-electrode in the (X,Y,Z) coordinate system are as follows.
{ P u x = L · sin ( θ ) / 2 P u y = 0 P u z = L · cos ( θ ) / 2 P d x = L · sin ( θ ) / 2 P d y = 0 P d z = L · cos ( θ ) / 2
where L represents the distance between the upper and lower electrodes closest to the end, m; θ is the included angle between the central axis of the target well and the central axis of the drilling well, rad; and (Pux,Puy,Puz) and (Pdx,Pdy,Pdz) denote the coordinate positions of the upper and lower electrodes in the (X,Y,Z) coordinate system, m.

3.2. Analysis of the Current Proportion in the Target Well Casing

It is assumed that the length of the upper/lower electrodes is similar to the radius of the borehole in the model, and it is equivalent to the Pu point and Pd point in the formation. The excitation current forms a loop between points Pu and Pd. Since the ranging tool between points Pu and Pd is wrapped or coated with insulation material externally and equipped with the insulation sub internally, the total load impedance of the current source output current between electrodes Pu and Pd is composed of three equivalent resistors in parallel, namely, the formation equivalent resistance (Ref), the mud equivalent resistance in the outer annulus of the drilling tool (Rem), and the target well casing loop equivalent resistance (Rec). The Rec is composed serially of an equivalent formation resistance from the upper electrode to the casing, the casing internal resistance, and an equivalent formation resistance from the lower electrode to the casing. The casing current strength equals the current amplitude flowing over Rec.
In the case of uniform formation (where the electrical conductivity of a single geological structure is unchanged) and regular borehole comparison (where the casing resistance is relatively easy to calculate), the equivalent resistance is calculated as follows.
{ R e f R f 2 π · L 2 r d L r d R e m R m L π ( r d 2 r t 2 ) R e c R f 2 π · ( d + L · sin ( θ ) / 2 2 r d ( d + L · sin ( θ ) / 2 ) · r d + d L · sin ( θ ) / 2 2 r d ( d L · sin ( θ ) / 2 ) · r d ) + L · cos ( θ ) 2 π r c h c σ c
In the formula, Rf represents the formation resistivity, Ω·m; σc is the conductivity of the casing, S/m; Rm stands for mud resistivity, Ω·m; rd denotes the borehole radius of the drilling well, m; rt is the radius of the drilling well ranging tool, m; rc indicates the casing radius of the target well, m; and hc represents the casing wall thickness, m.
As part of the excitation current is returned through the mud channel and the near-borehole formation reflux, according to Ohm’s law and the current shunt calculation method involving three equivalent resistors in parallel, combined with Equation (2), the current attenuation factor kc of the output current strength Is of the current source can be obtained to eliminate the influence of the mud channel and formation shunt. The calculation in Formula (3) is as follows:
k c = ( R e f R e m ) / ( R e f R e m + R e c )
As shown in Equation (3), the range of kc values is [0, 1]. The lower kc value results in more current shunting from the mud channel and the formation near the borehole, leading to a decrease in the casing current.

3.3. Calculation Method for Casing Current Distribution in the Target Well

Assuming that the formation medium is uniform and the casing of the target well is of infinite length, the conductive properties of the casing in the formation can be determined by a formation cylinder with a radius of re, and the equivalent resistance per unit length of the cylinder is the same as that of the casing, as shown in Figure 1.
A current source is placed on the upper/lower electrodes, with the lower electrode set as positive and the upper electrode set as negative. In this configuration, the current source generates an electric field in the form of an electric dipole within a homogeneous formation [15,16].
In accordance with the (X,Y,Z) coordinate system, the intensity of current density in the X-direction perpendicular to the casing is as follows [16,17]:
J X = I s 4 π ( x P d x [ ( x P d x ) 2 + ( y P d y ) 2 + ( z P d z ) 2 ] 3 2 x P u x [ ( x P u x ) 2 + ( y P u y ) 2 + ( z P u z ) 2 ] 3 2 )
where Is is the excitation current intensity, A.
Due to the high conductivity of the casing, the current of the vertical casing in the X-direction enters the casing and flows along the casing axis. Therefore, the current density distribution along the casing axis is equivalent to the integration of the current density intensity in the X-direction along the Z-axis of the casing. The integration results from the bottom of the casing along the Z-axis [−Lcl: Lch] can be expressed as follows:
J c ( x , y , z ) = L c l z J x ( x , y , z ) d z
By substituting Formula (4) into Formula (5), the axial equivalent current density of the casing can be calculated using the following, Equation (6). The derivation of Equation (6) is shown in Appendix A.
J c ( x , y , z ) = I s 4 π ( ( x P d x ) · ( z P d z ) ( ( x P d x ) 2 + ( y P d y ) 2 ) ( x P d x ) 2 + ( y P d y ) 2 + ( z P d z ) 2 + ( x P d x ) · ( L c l P d z ) ( ( x P d x ) 2 + ( y P d y ) 2 ) ( x P d x ) 2 + ( y P d y ) 2 + ( L c l + P d z ) 2 ( x P u x ) · ( z P u z ) ( ( x P u x ) 2 + ( y P u y ) 2 ) ( x P u x ) 2 + ( y P u y ) 2 + ( z P u z ) 2 ( x P u x ) · ( L c l + P u z ) ( ( x P u x ) 2 + ( y P u y ) 2 ) ( x P u x ) 2 + ( y P u y ) 2 + ( L c l + P u z ) 2 )
where Lch represents the distance between the casing measurement point M and the wellhead of the target well, m; and Lcl is the distance between the casing measurement point M on the casing and the bottom hole of the target well, m.
According to the law of the conservation of charge, the current flowing into the surface of a cylinder with radius re in the X-axis direction can be equivalent to the current flowing through the cylinder on the projected cross section of the Y–Z plane. The casing current can be equivalent to the current density Jc in the Y–Z plane integrated in the [−re: re] range. Combined with the current attenuation factor kc, influenced by the mud channel and formation distribution, the casing axial current Ic along the Z-axis can be equivalent to that expressed as Formula (7).
I c ( d , z ) = r e r e 2 k c · J c ( d , y , z ) d y
If Lcl and Lch are much longer than the distance d, the simplified formula can be obtained by combining Formulas (6) and (7).
I c ( d , z ) k c · I s 2 π · r e r e ( ( d L · sin ( θ ) / 2 ) · ( z + L · cos ( θ ) / 2 ) ( ( d L · sin ( θ ) / 2 ) 2 + y 2 ) ( d L · sin ( θ ) / 2 ) 2 + y 2 + ( z + L · cos ( θ ) / 2 ) 2 ( d + L · sin ( θ ) / 2 ) · ( z L · cos ( θ ) / 2 ) ( ( d + L · sin ( θ ) / 2 ) 2 + y 2 ) ( d + L · sin ( θ ) / 2 ) 2 + y 2 + ( z L · cos ( θ ) / 2 ) 2 ) d y
When the distance d decreases to rd, the drilling well and the target well casing are in parallel contact and the amplitude Ic of the casing current is close to the output amplitude Is of the excitation source.
Since the return distance L of the dual-electrode current is relatively short, generally not exceeding 25 m, the calculation method of the casing current can not consider the current amplitude attenuation effect caused by the skin effect that is caused by the excitation current frequency.

3.4. Analysis of the Influence of Excitation Electrode Length on Casing Current Distribution

The calculation method mentioned above is based on the assumption that the upper/lower electrodes function as point electrodes. In practical engineering applications, if the electrode has a certain length, the drill assembly connected to the ranging tool can be used as the upper electrode, or the drill bit combination can act as the lower electrode. In such cases, it is necessary to adjust the calculation method for determining the casing current distribution.
Firstly, the electrode lengths lu and ld are divided into N equal parts. In order to simplify the calculation method, the current density on the electrode surface in contact with the formation is assumed to be uniform, and the current amplitude of N equal-length electrodes injected into the formation is consistent. In the model, N upper/lower differential electrode combinations are established, so that the total casing current intensity is calculated as the sum of the individual current excitation of multiple differential electrodes.
The coordinate values of N differential electrode combinations in the coordinate system (X,Y,Z) are calculated as follows:
{ P n u x = [ L / 2 + n · ( l u / N ) ] · sin ( θ ) P n u z = [ L / 2 + n · ( l u / N ) ] · cos ( θ ) P n d x = [ L / 2 + ( N n 1 ) · ( l d / N ) ] · sin ( θ ) P n d z = [ L / 2 + ( N n 1 ) · ( l d / N ) ] · cos ( θ ) n = 0 : 1 : N 1
where N represents the number of upper/lower electrode subdivision combinations. The distance L of the upper/lower electrodes is defined as the closest distance between the two electrodes, excluding the length of the electrodes.
Furthermore, with an increase in electrode length, there is a decrease in the formation equivalent resistance (Ref) and a reduction in the formation resistance between the connecting electrode and casing, leading to a decrease in the equivalent resistance (Rec) of the target well casing loop circuit. Therefore, it is essential to establish correction coefficients for Ref and Rec within the calculation methods and to obtain the corrected resistance values (Refc and Recc), as demonstrated below:
{ R e f c R f 4 π · ( | L 2 l u L · l u | + | L 2 l d L · l d | ) R e c c ( R f 2 π · ( P u c · d + L · sin ( θ ) / 2 2 r d ( d + L · sin ( θ ) / 2 ) · r d + P d c · d L · sin ( θ ) / 2 2 r d ( d L · sin ( θ ) / 2 ) · r d ) + L · cos ( θ ) / ( 2 π r c h c σ c ) ) P u c = ( d + L · sin ( θ ) / 2 ) / ( l u · cos ( θ ) + d + L · sin ( θ ) / 2 ) P d c = ( d L · sin ( θ ) / 2 ) / ( l u · cos ( θ ) + d L · sin ( θ ) / 2 )
where lu represents the effective length of the upper electrode, m; ld represents the effective length of the lower electrode, m; Puc is the correction coefficient for the formation equivalent resistance from the upper electrode to the casing, and Pdc is the correction coefficient for the formation equivalent resistance from the lower electrode to the casing.
The values Recc and Refc from Equation (10) are substituted into Equation (3) to obtain the corrected current attenuation coefficient, kcc.
Finally, the differential electrode combination coordinates represented by Equation (9) are then substituted back into Equation (6). When combined with the corrected current attenuation coefficient kcc from Equation (7), the corrected axial current Icc of the target well casing can be expressed as follows:
I c c ( d , z ) = n = 0 N 1 2 · k c c N r e r e J c ( d , y , z , n ) d y

4. Calculation Method of Target Well Distance

As shown in Figure 1, once the current Is from the current source is injected into the formation, the current Ic accumulates in the casing of the target well and flows along the casing axially. This current excites the magnetically induced magnetic field in the formation, so the distance between the measuring point and the casing can be calculated using the magnetic field measurement tool.
The Z coordinate with Q as the origin is established on the axis Φ1 of the drilling well, and its conversion relationship with the (X,Y,Z) coordinate system is as follows:
{ x = z · sin ( θ ) z = z · cos ( θ )
The distance r is marked between the position of the low-frequency magnetic field detector and the casing micro-ring dz. The angle α is marked between the line from dz to the measurement point of the low-frequency magnetic field detector and the axis of the casing. According to the Biot–Savart law with Formula (8) and Formula (12), Formula (13) can be derived.
d B c ( z , z ) = μ 0 μ e 4 π · I c ( d , z ) · ( d + z · sin ( θ ) ) [ ( d + z · sin ( θ ) ) 2 + ( z z · cos ( θ ) ) 2 ] 3 2
Integrating along the casing axis Z, the magnetic induction intensity along the axis Φ1 in the Z coordinate can be expressed as follows:
B c ( z ) = μ 0 μ e 4 π · L c l L c h ( d + z · sin ( θ ) ) · I c ( d , z ) · d z [ ( d + z · sin ( θ ) ) 2 + ( z z · cos ( θ ) ) 2 ] 3 2
According to the MWD principle, two low-frequency magnetic field detectors, Hu and Hd, are arranged on the measuring tool at the upper/lower end. They are symmetrically configured with the Z coordinate origin Q as the center. In this paper, Hu and Hd are successively configured at the center of the Q point and the upper/lower electrodes, so the corresponding Z coordinate values are L/4 and −L/4, respectively.
According to Equation (14), the magnetic field intensity measured by Hu and Hd is as follows:
{ B u = μ 0 μ e 4 π · L c l L c h ( d + L · sin ( θ ) / 4 ) · I c ( d , z ) · d z [ ( d + L · sin ( θ ) / 4 ) 2 + ( z L · cos ( θ ) / 4 ) 2 ] 3 2 B d = μ 0 μ e 4 π · L c l L c h ( d L · sin ( θ ) / 4 ) · I c ( d , z ) · d z [ ( d L · sin ( θ ) / 4 ) 2 + ( z + L · cos ( θ ) / 4 ) 2 ] 3 2
The distances between Hu and Hd and the casing are found with Formula (16), respectively.
{ d u = d + L · sin ( θ ) / 4 d d = d L · sin ( θ ) / 4
Since L, Is, Rf, Rm, σc, rd, rt, rc, hc, and the other relevant parameters are known, in the ideal case that the measuring point is far from the bottom of the casing, the distribution diagram corresponding to B-(d,θ) can be drawn by Equation (15), and the distance and angle between the ranging tool of the drilling well and the target casing can be obtained by a single point measurement.
In special circumstances where the depth of the drilling well approaches the bottom of the target well, the symmetric infinite length characteristic of the casing no longer holds in the model. As a result, the calculation method for determining the casing current far from the measuring point is not applicable; conversely, the calculation result of the casing current in close proximity to the measurement point closely approximates the actual value.
When crossing with the well position of the target well and the drilling well, the projected intersection point of the target well axis on the drilling well axis is in the middle of the upper/lower electrodes of the drilling well. In this environment, the full loop reflux mode is no longer suitable, and the other three models should be selected according to the specific situation to improve the effectiveness and accuracy of the ranging.

5. Calculation Method of Target Well Orientation

During the drilling process, it is essential to plan the drilling trajectory in accordance with the orientation of the target well. The relative rotation angle between the axis of the target well and the height edge of the measurement tool should be used as a reference. The ranging tool consists of the low-frequency magnetic field detection units, each containing a three-axis low-frequency magnetic field high-precision measurement module and altitude acquisition module. These modules are utilized for measuring the low-frequency magnetic field vector, gravity vector, and geomagnetic vector, as well as calculating the high side direction and low-frequency magnetic field vector direction of each measurement segment.
As depicted in Figure 1, the triaxial orthogonal coordinate components of the upper/lower low-frequency magnetic field’s high-precision measurement subs are successively marked as (Xu, Yu, Zu) and (Xd, Yd, Zd). The Z-axis is parallel to the drill tool axis and facing upward, while the X-axis serves as a reference axis for measuring on the tool surface. Therefore, the data measured by the ranging tool can be labeled accordingly.
The upper magnetic field measures the triaxial orthogonal vector of the sub: the magnetic field (Bux, Buy, Buz) and gravity (Gux, Guy, Guz).
The lower magnetic field measures the triaxial orthogonal vector of the sub: the magnetic field (Bdx, Bdy, Bdz) and gravity (Gdx, Gdy, Gdz);
The calculation method determines the angle between the measurement point of the target well and the height side of the measuring tool. Since the ranging tool contains two low-frequency measuring devices, the upper/lower low-frequency magnetic field measuring subs can be measured according to Equations (17) and (18).
{ β u = arctan ( φ u · B u z · ( G u y · B u x B u y · G u x ) G u z · B u 2 · ( G u x · B u x + G u y · B u y ) φ u · B u z · ( G u x · B u x + B u y · G u y ) + G u z · B u 2 · ( G u y · B u x G u x · B u y ) ) φ u = ( G u x 2 + G u y 2 ) · ( B u x 2 + B u y 2 ) G u z 2 · B u z 2 B u = B u x 2 + B u y 2 + B u z 2
{ β d = arctan ( φ d · B d z · ( G d y · B d x B d y · G d x ) G d z · B d 2 · ( G d x · B d x + G d y · B d y ) φ d · B d z · ( G d x · B d x + B d y · G d y ) + G d z · B d 2 · ( G d y · B d x G d x · B d y ) ) φ d = ( G d x 2 + G d y 2 ) · ( B d x 2 + B d y 2 ) G d z 2 · B d z 2 B d = B d x 2 + B d y 2 + B d z 2
where βu represents the angle between the gravity high side of the upper low-frequency magnetic field measurement sub and the direction of the target well, rad; βd is the angle between the gravity high side of the lower low-frequency magnetic field measurement sub and the direction of the target well, rad.
It should be noted that in the effective range of ranging, if the difference between βu and βd is relatively large and the difference between them exceeds the measurement error, it should be determined that the axis Φ1 of the current drilling well ranging tool is not in the same plane as the axis Φ2 of the target well casing. The casing current distribution characteristics are equivalent to the effect generated by the component of the projection of the upper/lower electrodes in the XOY plane of the drilling well. If the difference between βu and βd is relatively large, the drilling control trajectory should be adjusted in a timely manner to ensure its consistency. This will align the axes of the drilling well and the target well in the same plane, thereby preventing borehole dislocation during crossing and facilitating relief well connectivity.

6. Numerical Simulation Analysis of the Dual-Electrode Excitation Method

Taking into account the engineering application environment, the following parameters are set: excitation current Is = 10 A; electrode spacing L = 10 m; drilling well radius rd = 150 mm; distance measurement tool radius rt = 100 mm; formation resistivity Rf = 10 Ω·m; mud resistivity Rm = 1 Ω·m; casing conductivity σc = 1.9 × 106 S/m; casing radius rc = 150 mm; casing wall thickness hc = 12 mm; distance measurement d = 10 m; and axis angle θ = 0°. It is assumed that the electrode is a point electrode, and the casing is infinitely long.
Based on the established (X,Y,Z) coordinate system in Figure 1, with Q as the origin, the numerical simulation analysis is performed using the above parameters within the range of (−30 m~30 m), according to the distance positioning calculation method.

6.1. Calculation of the Aggregate Current Distribution of the Target Well

To analyze the electric field formed by the current source in the form of an electric dipole in the homogeneous formation, the triaxial orthogonal intensity distribution of the current density at the interface (10,Y,Z) in the formation with distance d = 10 m is calculated according to Equation (4).
According to Equation (8), the current amplitude gathered on the target casing is calculated in the coordinate system (X,Y,Z) when the distance d = 10 m and the axis angle θ = 0°. Figure 2 results indicate that when the two well axes are placed parallel to each other, a symmetrical distribution of the casing current amplitude is observed. On the metal casing 10 m away from the drilling well, the maximum value of the casing current amplitude is reached at point M, with an amplitude close to 0.95 A. With the increase in the distance from the ranging point M, the current amplitude roughly decreases with the rate of the cosine characteristics.

6.2. Calculation of the Magnetic Induction Intensity Distribution in the Formation Around the Target Well

Since the two wells are parallel and on the interface (X,0,Z), the direction of the induced magnetic field vector generated by the casing current is perpendicular to this interface, and the induced magnetic field intensity distribution of the interface (X,0,Z) can be obtained according to Equation (14).
According to Equation (14), the calculation results are extracted along the axis coordinate Z′ of the drilling well. The induced magnetic field intensity curve on the axis of the drilling well is depicted in Figure 3. The result from Figure 3 indicates that the attenuation characteristics of the induced magnetic field intensity Bc are approximately consistent with the concentrated current flow in the casing of the target well and exhibit a symmetrical distribution trend with the metal casing ranging point M as its center. The maximum value for the induced magnetic field intensity at the Q point along the drilling well axis reaches an amplitude of 7.64 nT. At the installation positions for the upper/lower low-frequency magnetic measurement subs (z′ = ±2.5 m), the induced magnetic field intensity reaches 7.2 nT, meeting the requirements for the amplitude range necessary for low-frequency magnetic measurements.

6.3. Calculation of the Corresponding Curve of Magnetic Induction Intensity and the Distance Measurement at the Magnetic Field Measuring Point of the Drilling Well

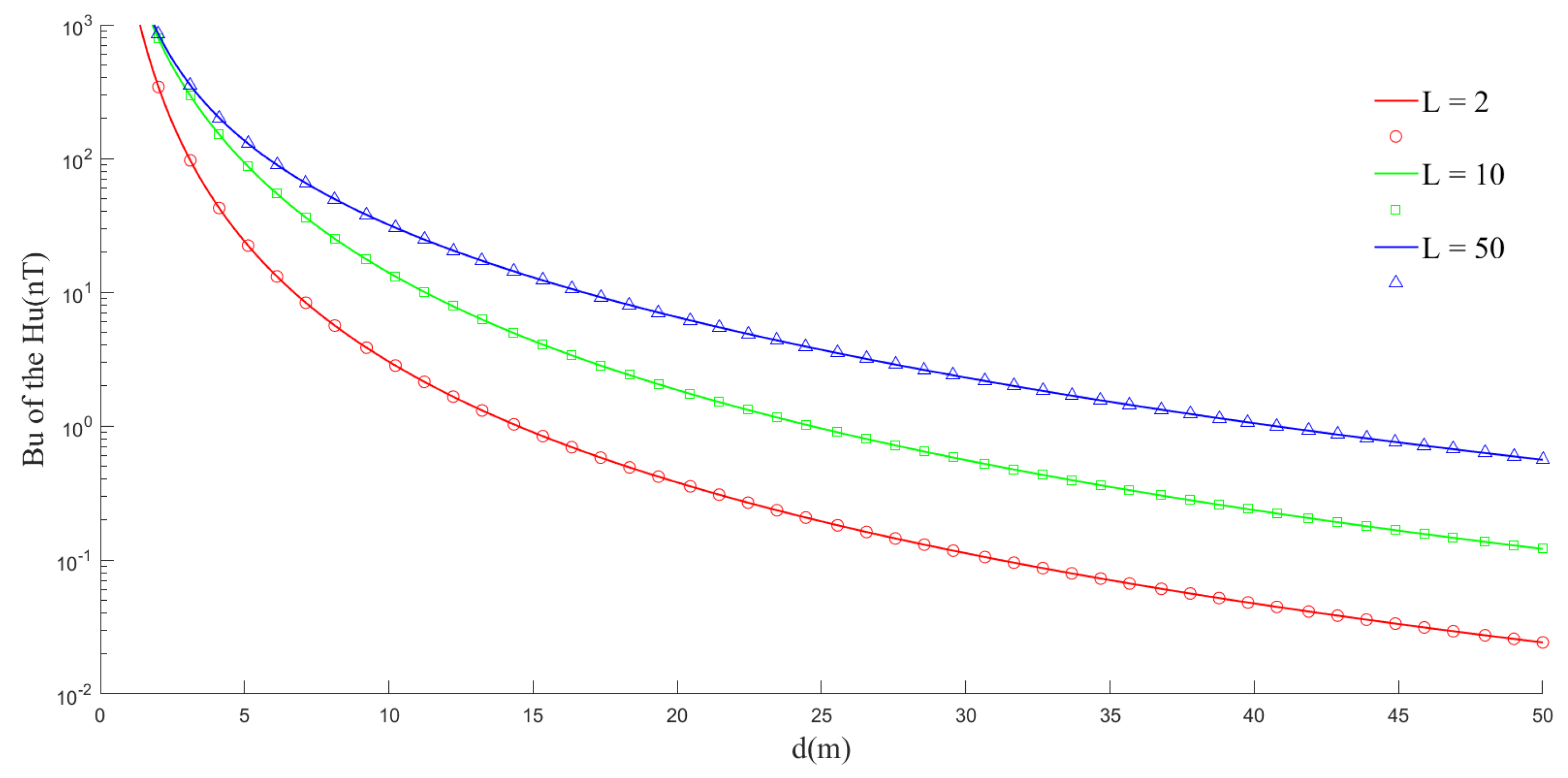
According to Equation (15), θ = 0° is set, and the corresponding curve between the magnetic induction intensity Bu and ranging d of the magnetic field measurement point Hu on the drilling well axis under different upper/lower electrode distances is drawn, as shown in Figure 4.
The calculated results show that the induced magnetic field intensity Bu at the magnetic field measuring point Hu decreases exponentially with the increase in distance d. When L = 10 m and d increases from 1 m to 50 m, the amplitude of Bu decreases from 3391.45 nT to 0.121 nT. Meanwhile, the decrease in the electrode distance L will also increase the attenuation rate of the Bu amplitude. When L = 2 m and d = 50 m, the theoretical value of the Bu amplitude is only 0.024 nT. It should be noted that in the calculation process, the Z coordinate values of the magnetic field measuring points Hu and Hd on the drilling well axis are set to L/4 and −L/4, respectively, and the Z coordinate values of Hu and Hd should be adjusted according to different values of L. In practical engineering applications, the installation positions of Hu and Hd can be flexibly adjusted according to different electrode distances to facilitate the downhole ranging operations.

6.4. Analysis of Influencing Factors on the Distribution of the Magnetic Induction Intensity Formation

Based on the default configuration parameters, a single parameter value is adjusted to analyze its influence on the amplitude of the casing gathering current and the distribution of the induced magnetic field in the formation. The calculation results are analyzed in the (X,Y,Z) coordinate system with Q as the origin within the range of (−30 m~30 m).
The default settings of the key parameters are as follows: Is = 10 A; L = 10 m; rd = 150 mm; Rf = 10 Ω·m; Rm = 1 Ω·m; rc = 150 mm; hc = 12 mm; d = 10 m; θ = 0°; Lch = 1000 m; and Lcl = 1000 m.

6.4.1. Investigation of Factors Influencing Inter-Well Distance Measurements

The range distance d is modified, and the numerical simulations are conducted at intervals of 1 m, 2 m, 5 m, 10 m, and 25 m, respectively.
Figure 5a illustrates the varying impact of different ranging d on the casing current. Regardless of the changes in ranging distance, when the axes of the two wells are placed parallel to each other, the casing current amplitude demonstrates a symmetrical distribution and decreases according to a cosine characteristic. As the distance from the ranging point M increases, the current attenuation rate decreases. The maximum amplitude of the casing current is reached at ranging point M; specifically, the maximum casing currents corresponding to ranging distances of 1 m, 2 m, 5 m, 10 m, and 25 m are sequentially measured as follows: 3.5 A, 2.7 A, 1.7 A, 0.95 A, and 0.4 A. The results indicate that decreasing range d is beneficial to increasing the casing current amplitude near the measurement point, but hinders the current flow to the farther casing.
Figure 5b illustrates the impact of different ranging distances d on the induced magnetic field intensity along the axis of the drilling well. The attenuation characteristics of Bc are similar to those of Ic. The maximum values of Bc corresponding to different distances d are as follows: 680 nT, 245 nT, 50.7 nT, and 13.4 nT, successively. Additionally, the magnetic field intensity values at the measurement position (z′ = ± 2.5 m) are as follows: 20,610 nT, 2160 nT, 98.2 nT, 7.62 nT, and 0.212 nT, successively.

6.4.2. Analysis of Influencing Factors on Electrode Distance

The electrode distance L is adjusted, and the numerical simulations are conducted with the values of 2 m, 5 m, 10 m, 25 m, and 50 m, respectively.
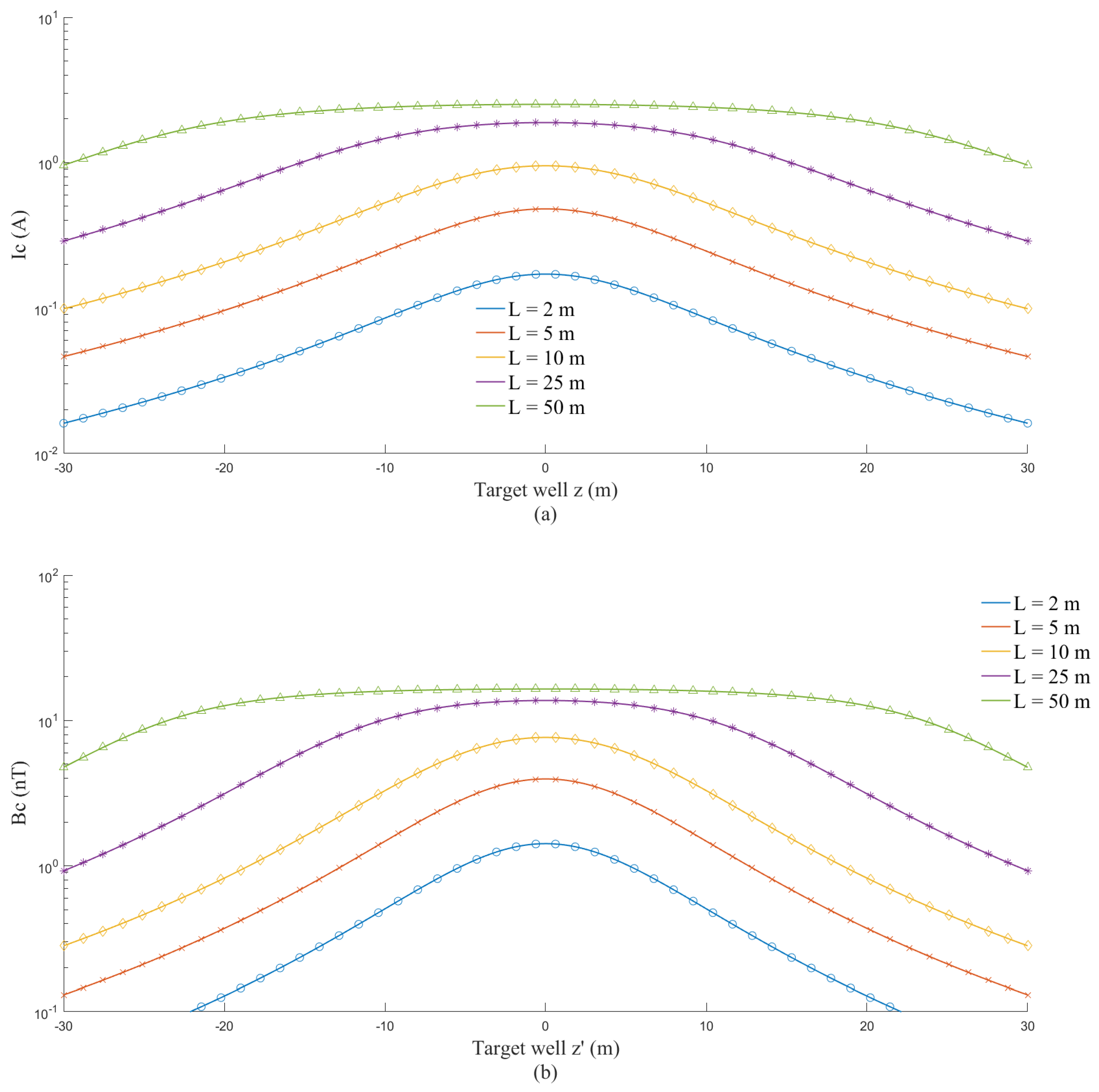
Figure 6a illustrates the impact of different electrode distances L on the casing current. With increases in L, the casing current demonstrates a near linear growth. However, once L reaches a certain threshold (e.g., 25 m), the top of the casing current curve flattens out and the maximum value of the casing current increases slowly. The corresponding maximum casing currents for electrode distances of 2 m, 5 m, 10 m, 25 m, and 50 m are recorded as follows: 0.17 A, 0.48 A, 0.96 A, 1.9 A, and 2.5 A. These results indicate that, as the electrode distance L increases, the amplitude of the casing current also increases while the attenuation rate along the axis decreases, which is conducive to the further flow of the current into the casing.
Figure 6b illustrates the impact of varying electrode distances L on the induced magnetic field intensity along the axis of the drilling well. The attenuation characteristics of Bc are similar to those of Ic. The maximum magnetic field intensity corresponding to different electrode distances L is measured at 2.3 nT, 6.5 nT, 13.4 nT, 30.4 nT, and 46.4 nT, respectively. Additionally, the magnetic field intensity at the magnetic field measurement position (z′ = ±2.5 m) is 1.3 nT, 3.65 nT, 7.2 nT, 13.52 nT, and 16.45 nT for different electrode distances L.

6.4.3. Analysis of Influencing Factors on the Length of Excitation Electrodes

The combination of electrode length (ld, lu) is modified for the numerical simulations: (0.2 m, 0.2 m), (0.2 m, 5 m), (0.2 m, 20 m), (20 m, 20 m), and (20 m, 100 m).
Figure 7a illustrates the impact of different electrode length combinations on the casing current. When the length of the upper/lower electrodes is equal in length, the casing current amplitude presents a symmetrical distribution centered on the ranging point M. As the electrode length increases, there is a significant increase in the casing current amplitude; if the unilateral length of the upper electrode is extended, there is a significant increase in the casing current amplitude on that side. The z value of the maximum current increases with each combination having the maximum current of 0.14 A, 0.17 A, 0.53 A, 0.65 A, and 0.78 A, respectively. The results show that increasing the electrode length is beneficial to increase the casing current amplitude, and the casing current flows further away. In engineering applications within a water-based mud environment, the optimal combination scheme is found to be (20 m, 100 m). The lower electrode can utilize finite drill tool lengths, while the upper electrode can use drill pipes connected to the ground.
Figure 7b illustrates the impact of different combinations of electrode length on the induced magnetic field intensity along the axis of the drilling well. The attenuation characteristics of Bc are similar to those of Ic. At the measurement position with the upper magnetic field (z′ = +2.5 m), the measured magnetic field intensities are recorded as 0.75 nT, 1.29 nT, 4.05 nT, 4.96 nT, and 6 nT, respectively, for each respective distance of L mentioned above.

6.4.4. Analysis of Influencing Factors on the Relative Angle Between Two Wells on the Same Plane

The angle θ of the two wells axes is adjusted, and the upper and lower electrodes are rotated at 0°, 30°, 45°, 60°, and 90° within the same plane of the two wells with Q as the center of the origin of the (X,Y,Z) coordinate system.
Figure 8a illustrates the impact of different axis angles on the casing current. As the axis angles increase, the vertical distance du between the upper electrode and casing gradually increases, while the vertical distance dd between the lower electrode and casing gradually decreases. The casing current gradually changes its flow direction at point M in a downward direction towards point M. When the included angle is 90°and thus making both well axes vertical, there is a reverse symmetrical distribution in the casing current amplitude with respect to the X-axis as its center, consequently resulting in zero casing current at ranging point M. The results indicate that an increase in the axis angle leads to the attenuation of the casing current amplitude along with the formation of reverse current flow on the casing. Furthermore, when both well axes are perpendicular to each other, a reverse symmetrical distribution is achieved.
Figure 8b illustrates the influence of different axis angles on the induced magnetic field intensity of the drilling well axis. With the change of axis angle, the changes of du and dd lead to the vertical distance change between the position of the magnetic field measurement unit and the casing. The attenuation characteristics of Bc are similar to those of Ic.

6.4.5. Analysis of Influencing Factors on Formation Resistivity

The formation resistivity Rf is adjusted, and numerical simulations are conducted using values of 0.1 Ω·m, 1 Ω·m, 10 Ω·m, 100 Ω·m, and 1000 Ω·m, respectively.
Figure 9a illustrates that, as the formation resistivity increases, the casing current also increases before rapidly decaying. The maximum current amplitude is achieved at approximately 1 Ω·m, with corresponding maximum casing currents of 0.91 A, 0.998 A, 0.96 A, 0.78 A, and 0.27 A. The results indicate that both the higher and lower formation resistivities result in a reduction in the casing current amplitude for the following reasons: Smaller formation resistivities lead to more current being injected into the formation through the internal loop, thereby reducing flow into the casing. Larger formation resistivities strengthen the leakage effect of the mud channels with most of the current returning through these channels in the drilling well. These effects ultimately lead to a corresponding reduction in casing currents.
Figure 9b illustrates the impact of varying formation resistivities on the induced magnetic field intensity along the axis of the drilling well. The attenuation characteristics of Bc are similar to those of Ic. The maximum magnetic field intensity corresponding to different formation resistivity values is as follows: 7.6 nT, 8.4 nT, 7.4 nT, 5.8 nT, and 2.9 nT. Additionally, at the position of the magnetic field measurement (z′ = ±2.5 m), the magnetic field intensities are recorded as 7.4 nT, 8.2 nT, 7.2 nT, 5.6 nT, and 2.8 nT for the varying formation resistivity values of interest.

6.4.6. Analysis of Influencing Factors on Mud Resistivity

The mud resistivity Rm is modified, and the numerical simulation is carried out with 0.01 Ω·m, 0.1 Ω·m, 1 Ω·m, 10 Ω·m, and 100 Ω·m, respectively.
Figure 10a illustrates the impact of varying mud resistivities on the casing current. As the mud resistivity increases, the amplitude of the casing current also increases, although the rate of increase gradually diminishes. When Rm exceeds 1Ω·m, there is only a marginal increase in the casing current, with maximum values as follows: 0.3 A, 1.59 A, 2.65 A, 2.86 A, and 2.87 A, respectively. These results indicate that a higher Rm can amplify the casing current amplitude due to weakened leakage effects in the mud channel and increased injection into the formation when Rm surpasses a certain resistance threshold.
Figure 10b demonstrates how different mud resistivities influence the induced magnetic field intensity along the axis of the drilling well, with Bc exhibiting similar attenuation characteristics to Ic. The maximum magnetic field intensity corresponding to various mud resistivities is recorded as follows: 2.57 nT, 12.82 nT, 21.32 nT, 22.9 nT, and 23.1 nT. At a measurement position z′ = ±2.5 m from the magnetic field source point (z = 0), the respective magnetic field intensities are as follows: 2.5 nT, 12.57 nT, 21.1 nT, 22.4 nT, and 22.9 nT, respectively. These findings provide valuable insights into how different levels of mud resistivity affect the induced magnetic fields within drilling wells and their surrounding environments.

7. Discussion

Building upon the introduction of the single-electrode current excitation method, this paper provides a detailed explanation of the principles and calculation methods for a new dual-electrode current excitation MWD technique. The correctness and effectiveness of this method is verified through an analysis of key factors using theoretical numerical simulations. The main conclusions are as follows:
(1)
When the drilling well axis is parallel to the target well axis, the current on the target well casing presents a symmetrical distribution with the ranging point as the center. The current direction is consistent, and the current amplitude reaches its maximum at the ranging point. Along the direction of the casing axis head of the hole or hole bottom, as the distance from the ranging point increases, the casing current amplitude decreases at a rate characteristic of cosine.
(2)
The attenuation characteristics of the induced magnetic field intensity stimulated by the casing current in the formation are similar to those of the casing current. Under the configuration parameters such as the excitation current amplitude of 10 A and the distance of 25 m, the induced magnetic field intensity at the installation position of the magnetic measurement sub is higher than 1 nT. This indicates that, in this environment, the theoretical value for the maximum effective ranging distance can reach up to 25 m.
(3)
The configuration parameters of the ranging tools, such as the upper/lower electrode pole distance and the combination of the upper/lower electrode lengths, will have an impact on the current intensity of the target well casing. As the electrode distance increases, the current amplitude of the casing also increases in a near linear proportion. However, when the electrode distance exceeds a certain range, there is an increase in the maximum current amplitude of the casing, and, near the ranging point, the current amplitude tends to become consistent. Additionally, extending the electrode length will increase the contact area between the electrode and the formation, significantly reducing the formation equivalent resistance and increasing the casing current amplitude. Therefore, it is important to select an optimal combination scheme based on the actual ranging environment to facilitate an efficient MWD operation.
(4)
When the axes of two wells are at an angle to each other, an increase in this angle within the same plane will result in a decrease in the casing current amplitude and the formation of a reverse current flow on the casing. However, when the axes of two wells are at an angle in parallel planes, it only affects the strength of the casing current and not its direction. It is important to note that when the axes of two wells are vertical, the casing current flows symmetrically in reverse with the ranging point as the center, causing the ranging tool to fail to measure the effective induction magnetic field.
(5)
The high or low formation resistivity will decrease the current amplitude collected on the casing. Additionally, an excessively low mud resistivity will result in more of the excitation current returning through the mud channel, which is not conducive to injecting excitation current into the formation. Therefore, enhancing the mud resistivity can strengthen the casing current and improve the adaptability of the ranging system to changes in formation resistivity.
(6)
As the research is still in the simulation stage, many practical influencing factors have not been fully considered, and further field experimental research is needed in the future. For instance, there is no consideration of varying geological formations, such as different rock types, varying formation porosity levels, or the presence of faults and fractures. To establish broader applicability, the research should have included validation across multiple scenarios or conditions, ideally supported by real-world field tests.

8. Conclusions

In comparison to measurement methods based on casing current excitation and single-pole excitation methods for drilling wells, the dual-electrode current excitation method offers several advantages:
(1)
The dual-electrode current excitation MWD method eliminates the need for a ground-based current excitation system and reflux electrode, thereby reducing operating costs and time. This makes it particularly well-suited for target well location operations with safety risks, especially in the context of relief well operations at space-constrained drilling platforms.
(2)
The dual-electrode current excitation mode through the upper/lower electrodes to form a current loop in the formation can adjust the electrode distance and the electrode length combination according to the actual ranging environment to meet the requirements of the MWD power supply.
(3)
Since the central control unit of the MWD system can detect the amplitude and phase of the excitation current and the ranging system can realize the synchronous measurement of the phase between the excitation current and the induced magnetic field, there is no uncertainty problem of 80º in the calculation results of the relative azimuth of the two wells, and the orientation of the target well can be determined by a single point measurement.
(4)
The central control unit of the MWD system is capable of detecting the amplitude and phase of the excitation current. Additionally, the ranging system can achieve the synchronous measurement of the phase between the excitation current and the induced magnetic field. As a result, there is no uncertainty problem with a 80º calculation error in determining the relative azimuth of two wells. Furthermore, the orientation of the target well can be accurately determined through a single point measurement.
(5)
During drilling operations for relief well connections or cluster well obstacle avoidance, particularly in special scenarios near the bottom position of the drilling tools or the casing in the target well, the dual-electrode current excitation ranging method proves to be effective. In contrast, other active electromagnetic ranging methods may encounter challenges in attaining comparable results, primarily due to the necessity for drilling equipment to make frequent trips and their inability to conduct real-time ranging operations.

Author Contributions

X.D.: formal analysis (equal); software (equal); and writing—original draft (equal); X.Y.: conceptualization (equal); L.H.: methodology (equal); and H.L.: visualization (equal) and review and editing (equal). All authors have read and agreed to the published version of the manuscript.

Funding

This research was funded by [Tangshan University PhD Innovation Fund] grant number [1402003].

Data Availability Statement

Data available on request due to restrictions e.g., privacy or ethical. The data presented in this study are available on request from the corresponding author. The data are not publicly available due to [The follow-up study is still classified and can’t be made public].

Conflicts of Interest

The authors declare no conflict of interest.

Appendix A

The derivation of Formula (6) is as follows:
J c ( x , y , z ) = L c l z J x ( x , y , z ) d z = I s 4 π [ L c l z ( x P d x ) [ ( x P d x ) 2 + ( y P d y ) 2 + ( z P d z ) 2 ] 3 2 d z L c l z ( x P u x ) [ ( x P u x ) 2 + ( y P u y ) 2 + ( z P u z ) 2 ] 3 2 d z ] = I s 4 π [ ( x P d x ) ( z P d z ) [ ( x P d x ) 2 + ( y P d y ) 2 ] · [ ( x P d x ) 2 + ( y P d y ) 2 + ( z P d z ) 2 ] 1 2 | L c l z ( x P u x ) ( z P u z ) [ ( x P u x ) 2 + ( y P u y ) 2 ] · [ ( x P u x ) 2 + ( y P u y ) 2 + ( z P u z ) 2 ] 1 2 | L c l z ] = I s 4 π ( ( x P d x ) · ( z P d z ) ( ( x P d x ) 2 + ( y P d y ) 2 ) ( x P d x ) 2 + ( y P d y ) 2 + ( z P d z ) 2 + ( x P d x ) · ( L c l P d z ) ( ( x P d x ) 2 + ( y P d y ) 2 ) ( x P d x ) 2 + ( y P d y ) 2 + ( L c l + P d z ) 2 ( x P u x ) · ( z P u z ) ( ( x P u x ) 2 + ( y P u y ) 2 ) ( x P u x ) 2 + ( y P u y ) 2 + ( z P u z ) 2 ( x P u x ) · ( L c l + P u z ) ( ( x P u x ) 2 + ( y P u y ) 2 ) ( x P u x ) 2 + ( y P u y ) 2 + ( L c l + P u z ) 2 )

Appendix B

VariableImplication
dThe distance between the drilling well and the target well.
θThe angle between the central axis of the casing and the BHA.
Hu and HdThe upper/lower frequency magnetic field detectors.
du and ddThe vertical distance between the upper/lower low-frequency magnetic field detector and the casing.
LThe distance between the upper current electrodes and the lower current electrodes.
Lch and LclThe distance between the measuring point of the casing M and the casing wellhead and well bottom.
Φ1 and Φ2The drilling well axis and the target well casing axis.
RefThe formation equivalent resistance.
RemThe resistance in the outer annulus of the drilling tool.
RecThe target well casing loop equivalent resistance.
RfThe formation resistivity.
RmThe mud resistivity.
σcThe conductivity of the casing.
rdThe borehole radius of the drilling well.
rtThe radius of the drilling well ranging tool.
rcThe casing radius of the target well.
hcThe casing wall thickness.
kcThe current attenuation factor.
IsThe excitation current intensity.
IcThe casing axial current.
JcThe current density.
luThe effective length of the upper electrode.
ldThe effective length of the lower electrode.
PucThe correction coefficient for the formation equivalent resistance from the upper electrode to the casing.
PdcThe correction coefficient for the formation equivalent resistance from the lower electrode to the casing.
kccThe corrected current attenuation coefficient.
IccThe corrected axial current.
BThe magnetic field intensity.
GGravity.
βuThe angle between the gravity high side of the upper low-frequency magnetic field measurement sub and the direction of the target well.
βdThe angle between the gravity high side of the lower low-frequency magnetic field measurement sub and the direction of the target well.

References

  1. Su, Y.N.; Dou, X.Y.; Gao, W.K.; Liu, K. Discussion and prospects of the development on measurement while drilling technology in oil and gas wells. Pet. Sci. Bull. Abbreviated 2023, 5, 535–554. [Google Scholar]
  2. Gao, D.L.; Huang, W.J. Research and development suggestions on theory and techniques in ultra-deep well engineering. Pet. Drill. Tech. 2024, 52, 1–11. [Google Scholar]
  3. Gao, D.L.; Huang, W.J. Basic research progress and prospect in deep and ultra-deep directional drilling. Nat. Gas Ind. 2024, 44, 1–12. [Google Scholar]
  4. Gao, D.L.; Diao, B.B.; Yu, R.F.; Zhang, S. Research advances in magnetic guidance drilling technique foe relief well engineering. J. China Univ. Pet. (Ed. Nat. Sci.) 2023, 47, 55–64. [Google Scholar]
  5. Su, Y.N.; Dou, X.Y.; Gao, W.K.; Peng, L.X. Research status and development trends of rotary steerable system. Drill. Prod. Technol. 2024, 47, 1–8. [Google Scholar]
  6. Duncan, L. MWD ranging-a hit a miss. Oil Gas Eur. Magzine 2013, 39, 24–26. [Google Scholar]
  7. Li, C.; Gao, D.; Wu, Z.; Diao, B. A method for the detection of the distance & orientation of the relief well to a blowout well in offshore drilling. Comput. Model. Eng. Sci. 2012, 89, 39–55. [Google Scholar]
  8. Zhang, S.; Diao, B.B.; Gao, D.L. Numerical simulation and sensitivity analysis of accurate of adjacent wells while drilling. J. Pet. Sci. Eng. 2020, 195, 107536. [Google Scholar] [CrossRef]
  9. Farahani, M.V.; Salehian, M.; Jamshidi, S. A dynamic model for non-newtonian drilling fluid’s filtration in casing drilling technology. In Proceedings of the 82nd EAGE Annual Conference & Exhibition, Amsterdam, The Netherlands, 18–21 October 2021; European Association of Geoscientists & Engineers: Rotterdam, The Netherlands, 2021; Volume 2021, pp. 1–5. [Google Scholar]
  10. Farahani, M.V.; Shams, R.; Jamshidi, S. A robust modeling approach for predicting the rheological behavior of thixotropic fluids. In Proceedings of the 80th EAGE Conference and Exhibition 2018, Copenhagen, Denmark, 11–14 June 2018; European Association of Geoscientists & Engineers: Rotterdam, The Netherlands, 2018; Volume 2018, pp. 1–5. [Google Scholar]
  11. Duan, J.; Song, K.; Xie, W.; Jia, G.; Shen, C. Application of alternating current stress measurement method in the stress detection of long-distance oil pipelines. Energies 2022, 15, 4965. [Google Scholar] [CrossRef]
  12. Zang, C.; Lu, Z.; Ye, S.; Xu, X.; Xi, C.; Song, X.; Guo, Y.; Pan, T. Drilling parameters optimization for horizontal wells based on a multiobjective genetic algorithm to improve the rate of penetration and reduce drill string drag. Appl. Sci. 2022, 12, 11704. [Google Scholar] [CrossRef]
  13. Zhang, J.; Zhuo, Q.; Yang, S.; Yang, T.; Wang, B.; Bai, W.; Wu, J.; Xie, S. Study on the Coal Pillar Weakening Technology in Close Distance Multi-Coal Seam Goaf. Energies 2022, 15, 6532. [Google Scholar] [CrossRef]
  14. Yan, X.P.; Liang, H.Q.; Dou, X.Y.; Qing, M.Y.; Cao, X.D. An active magnetic ranging method of drilling cluster wells based on casing current excitation. J. Pet. Sci. Eng. 2022, 208, 109784. [Google Scholar] [CrossRef]
  15. Dou, X.Y.; Liang, H.Q.; Liu, Y. Anticollision method of active magnetic guidance ranging for cluster wells. Math. Probl. Eng. 2018, 2018, 7583425. [Google Scholar] [CrossRef]
  16. Jia, D.Y.; Weng, A.H.; Liu, Y.H.; Yin, C.C. Propagation of electromagnetic fields from a horizontal electrical dipole buried in ocean. Prog. Geophys. 2013, 28, 507–514. [Google Scholar]
  17. Xu, Z.F.; Wu, X.P. Electromagnetic fields excited by the horizontal electrical dipole on the surface of the ionosphere-homogeneous earth model. Chin. J. Geophys. 2010, 53, 2497–2506. [Google Scholar]
Figure 1. Diagram of electromagnetic MWD model based on dual-electrode current excitation.
Figure 1. Diagram of electromagnetic MWD model based on dual-electrode current excitation.
Applsci 14 09584 g001
Figure 2. The amplitude distribution of the casing current in the target well.
Figure 2. The amplitude distribution of the casing current in the target well.
Applsci 14 09584 g002
Figure 3. Magnetic induction intensity on the drilling well axis.
Figure 3. Magnetic induction intensity on the drilling well axis.
Applsci 14 09584 g003
Figure 4. Corresponding curves of the magnetic induction intensity Bu at point Hu and d of ranging with different electrode distances.
Figure 4. Corresponding curves of the magnetic induction intensity Bu at point Hu and d of ranging with different electrode distances.
Applsci 14 09584 g004
Figure 5. The amplitudes of Ic and Bc with different ranging distances.
Figure 5. The amplitudes of Ic and Bc with different ranging distances.
Applsci 14 09584 g005
Figure 6. The amplitudes of Ic and the Bc with different electrode distances.
Figure 6. The amplitudes of Ic and the Bc with different electrode distances.
Applsci 14 09584 g006
Figure 7. The amplitude of the casing current and the intensities of the induced magnetic field on the axis of the drilling well with different electrode lengths.
Figure 7. The amplitude of the casing current and the intensities of the induced magnetic field on the axis of the drilling well with different electrode lengths.
Applsci 14 09584 g007
Figure 8. The amplitude of the casing current and the intensities of the induced magnetic field on the axis of the drilling well at different angles between two axis in the same plane.
Figure 8. The amplitude of the casing current and the intensities of the induced magnetic field on the axis of the drilling well at different angles between two axis in the same plane.
Applsci 14 09584 g008
Figure 9. The amplitude of the casing current and the intensities of the induced magnetic field on the axis of the drilling well with different formation resistivities.
Figure 9. The amplitude of the casing current and the intensities of the induced magnetic field on the axis of the drilling well with different formation resistivities.
Applsci 14 09584 g009
Figure 10. The amplitude of the casing current and the intensities of the induced magnetic field on the axis of the drilling well with different mud resistivities.
Figure 10. The amplitude of the casing current and the intensities of the induced magnetic field on the axis of the drilling well with different mud resistivities.
Applsci 14 09584 g010
Disclaimer/Publisher’s Note: The statements, opinions and data contained in all publications are solely those of the individual author(s) and contributor(s) and not of MDPI and/or the editor(s). MDPI and/or the editor(s) disclaim responsibility for any injury to people or property resulting from any ideas, methods, instructions or products referred to in the content.

Share and Cite

MDPI and ACS Style

Dou, X.; Yan, X.; Hu, L.; Liang, H. Simulation Research on the Dual-Electrode Current Excitation Method for Distance Measurements While Drilling. Appl. Sci. 2024, 14, 9584. https://doi.org/10.3390/app14209584

AMA Style

Dou X, Yan X, Hu L, Liang H. Simulation Research on the Dual-Electrode Current Excitation Method for Distance Measurements While Drilling. Applied Sciences. 2024; 14(20):9584. https://doi.org/10.3390/app14209584

Chicago/Turabian Style

Dou, Xinyu, Xiaoping Yan, Longyu Hu, and Huaqing Liang. 2024. "Simulation Research on the Dual-Electrode Current Excitation Method for Distance Measurements While Drilling" Applied Sciences 14, no. 20: 9584. https://doi.org/10.3390/app14209584

APA Style

Dou, X., Yan, X., Hu, L., & Liang, H. (2024). Simulation Research on the Dual-Electrode Current Excitation Method for Distance Measurements While Drilling. Applied Sciences, 14(20), 9584. https://doi.org/10.3390/app14209584

Note that from the first issue of 2016, this journal uses article numbers instead of page numbers. See further details here.

Article Metrics

Back to TopTop