Featured Application
The biofilm-based slow sand filtration system developed in this research offers a sustainable and effective solution for improving water quality in rural and resource-limited environments. The biofilm layer enhances filtration efficiency and removes organic matter and other contaminants from the water. This low-tech approach can be easily implemented and maintained using locally available materials, providing a reliable and long-term solution for reducing water turbidity and contaminant levels, thereby improving public health and living conditions.
Abstract
Some Maasai communities in northern Tanzania face severe water quality and scarcity issues, significantly impacting the health and living conditions of the local population. To address the water quality challenges faced by one of the Maasai communities, where thousands of residents consume water with high turbidity and contaminants, a team of volunteers, primarily engineering students from Ben-Gurion University of the Negev, conducted a project in 2023. This project aimed to improve water quality through the implementation of combined sedimentation and biofilm-based slow sand filtration systems. These systems utilized mechanical filtration via sand bed percolation and biological filtration through biofilm formation, which effectively reduced turbidity and removed contaminants. The biofilm maturation significantly enhanced filtration efficiency, achieving turbidity reduction from levels exceeding 10,000 to below 5 NTU, meeting WHO standards. Comprehensive water quality assessments revealed contamination in the water sources, with elevated levels of lead (up to 11 mg/L), which pose health risks. In addition, we evaluated locally accessible materials such as chalk and limestone for coagulation and precipitation, enhancing water clarity and removing contaminants. Despite constraints that shortened the mission duration, the results provide a solid foundation for future efforts to improve water quality in the region. This study highlights the potential of low-tech biofilm-based filtration systems for sustainable water purification in resource-limited environments. It demonstrates the effectiveness of small-scale household systems and presents a development protocol optimized for local materials and water contamination characteristics.
1. Introduction
Water quality and accessibility are critical issues affecting millions worldwide, particularly in rural and resource-limited environments in developing countries. Some Maasai communities in northern Tanzania face severe water quality and scarcity problems that significantly impact the health and living conditions of the local population. Contaminated water sources lead to various health issues, including waterborne diseases, a major cause of morbidity in these regions [1].
Advanced water treatment technologies are often not feasible in these settings due to the lack of infrastructure and financial resources [1]. Consequently, there is an urgent need for sustainable, low-cost water purification solutions that can be implemented using locally available materials, adhering to the principles of appropriate technology. Moreover, these solutions must be maintainable by the community, and therefore should not rely on advanced technologies. One promising approach is the use of slow sand filtration (SSF) systems.
Here, we present a case study for improving drinking water quality and evaluating the application of an SSF system within a Maasai community in northern Tanzania, conducted in 2023. A key innovation of this research is the development of a tailored model that optimizes water treatment systems for off-grid communities, integrating SSFs and sedimentation with coagulant materials, resulting in a compact system designed for household use that effectively addresses high turbidity levels.
The Maasai villages are estimated to be spread over an area of approximately 11,000 to 15,000 km2 in the south of Arusha, located in northeast Tanzania. The Maasai population in this region is roughly estimated to be between 80,000 and 120,000 residents, with children comprising about 30–40% of the population [2,3].
In the specific area where the delegation worked, most of the villagers’ drinking water comes from local sources such as wells (Figure 1) and two local reservoirs dammed by the Red Dam and the Sokoru Dam (Figure 1 and Figure 2a,b, respectively). These dams present significant environmental and health challenges, such as the bacteria, organic matter, and feces that contaminate them due to exposure to local livestock. Aside from boiling, no additional treatment is employed to purify the contaminated drinking water prior to consumption. Figure 2c presents a typical case where livestock herds enter the water and defecate on its banks, leading to contamination.
Figure 1.
Map of the local water sources [4].
Figure 2.
Images of local water sources for animal and human consumption: (a) Red Dam, mainly used to serve animals but also as a drinking water source for residents from some local villages; (b) Sokoru Dam (showing human consumption); (c) Sokoru Dam (showing animal consumption).
Based on interviews and conversations with residents of the surrounding villages, most of the population tries to consume water from local wells as they are generally of better quality than the dams, with low turbidity and bacterial contamination. Furthermore, most residents understand the importance of clean water and avoid drinking stagnant reservoir water whenever possible.
Several factors, including economic, geographical, and social reasons, impact on the limited access to high-quality drinking water. For example, in some areas, residents must pay around 100 shillings ($0.04) for about 20 L of well water, but severe poverty (GDP < 1000 USD) forces some to opt for free reservoir water. Additionally, wells can be far from some homes, making nearby reservoirs a more accessible option. Social dynamics also play a role, as communities may restrict access to well water to meet their needs. As a result, thousands of people are still forced to rely on water from upper reservoirs, such as the Sokoru Dam or the Red Dam (Figure 1).
At the beginning of 2023, approximately 300 VF-100 filters were donated by American donors to communities and villages, with priority given to residents of villages lacking reliable, clean water sources. The residents who received these filters underwent thorough training in operation and maintenance. VF-100 filters are used for particle filtration with sizes of up to 0.1 microns and are approved for use by the World Health Organization (WHO). Additionally, these filters can remove bacteria, protozoa, and cysts at up to 1 L of clean water per minute. With efficient and continuous maintenance, the filter can last 3–6 years, depending on the quality of the water entering the system. According to the manufacturer, this filter can handle up to 500,000 L. However, VF-100 filters are suitable for filtering water with less than 50 NTU (turbidity). For higher turbidity levels, preliminary treatment (sedimentation, sand filtration, etc.) is necessary [5]. Filtration of water from the Red Dam reservoir using these filters failed as the feedwater was highly turbid (exceeding 50 NTU). Furthermore, the residents did not report their unsuccessful attempts and abandoned the filters. These filters have the potential to assist in water filtration and purification, but there is a necessity for preliminary filtration and establishing continuous and active communication with the community.
The team considered two sustainable technologies for improving water turbidity and contaminant removal before using the VF-100 filters. The first is based on slow sand filters (SSFs). Sand filtration is a common process used to remove particles from water, ranging in size from nanometers to micrometers, and is suitable for community needs [6].
The mechanisms for particle removal in this filtration process are multifaceted, depending on the intricate interplay between the physical and chemical properties of the water, the characteristics of the suspended particles, and the composition of the filter medium. Particle removal primarily occurs through two main processes: size exclusion and adhesion. Size exclusion is a physical process where particles larger than the pore spaces of the filter medium are trapped and retained. This mechanism is influenced by the filter’s pore size distribution and the shape and size of the particles in the water [6].
Conversely, adhesion involves electrostatic and van der Waals forces that act between the particles and the filter medium. As water flows through the filter, particles come into close contact with the surfaces of the filter medium, where they can adhere due to these attractive forces. The effectiveness of adhesion is influenced by the surface chemistry of both the particles and the filter medium, including factors such as charge density, hydrophobicity, and the presence of chemical functional groups that can interact with the particles [7].
Additionally, other mechanisms, such as interception, where particles follow a streamline that brings them into direct contact with the filter medium, and diffusion, where small particles undergo Brownian motion and eventually collide with the filter surface, also play crucial roles in enhancing the overall filtration efficiency. These processes are further augmented by developing a biofilm layer on the filter medium over time, which can enhance particle capture through biological activity and the formation of a more complex surface structure [8,9].
A biofilm-based SFF operates through a combination of mechanical and biological filtration mechanisms. The sand bed percolation mechanically filters particulate matter, while the biofilm layer provides biological filtration. This dual mechanism is particularly advantageous in rural settings where water sources may be contaminated with various pollutants, including pathogens, organic matter, and heavy metals [6,7,8]. Biofilms are complex assemblies of microorganisms, including bacteria, algae, and fungi, which adhere to the sand grains and produce extracellular polymeric substances (EPSs). EPSs include proteins, polysaccharides, and nucleic acids, creating a sticky matrix that physically binds and removes pathogens, bacteria, organic matter, viruses, and heavy metals [7,8,9].
The EPS matrix plays a crucial role in heavy metal adsorption due to its high content of negatively charged functional groups. Carboxyl, hydroxyl, and phosphate groups are key to binding positively charged metal ions such as copper (Cu2+), nickel (Ni2+), and lead (Pb2+). These interactions occur primarily through ion exchange, where the metal ions replace cations like calcium (Ca2+) or magnesium (Mg2+) naturally present in the EPS [8]. In addition, complexation mechanisms also occur, where metal ions form stable complexes with the functional groups in the EPS, further enhancing the ability of the biofilm to immobilize and retain heavy metals [8].
Microorganisms within the biofilm metabolize organic pollutants, converting them into harmless byproducts, effectively removing dissolved organic carbon, nitrates, and phosphates from the water [7,8,9,10]. As the biofilm matures, its filtration efficiency increases due to a more complex and diverse microbial community, enhancing its ability to capture and degrade a broader range of contaminants [9,10,11]. However, the formation of biofilms also leads to a significant decrease in filtration rate and, over time, the system may become clogged. To restore the medium and maintain system activity, the top layer of the biofilm can be scraped off, allowing a new biofilm layer to form [10]. Research shows that filtration quality is expected to be 30–70% removal of pathogens before the biofilm layer forms, and with biofilm formation, filtration quality rises to 99% [7,8,9,11]. In addition, a longitudinal field study in Kenya highlighted the efficiency of SSFs in reducing pathogen levels and improving water clarity. The study underscored the method’s suitability for rural environments, where water sources are often contaminated with various pollutants [12].
Another evaluated technology is sedimentation following chemical coagulation using local coagulants. During coagulation, chemicals such as alum, ferric chloride, or poly-aluminum chloride are added to water to destabilize suspended particles, causing them to aggregate into larger flocs. These flocs, formed through the bridging and charge neutralization mechanisms, are subjected to gravity-driven sedimentation. During sedimentation, the denser flocs settle to the bottom, separating from the clear water above. This process effectively reduces turbidity and removes many contaminants, including suspended solids, microorganisms, and organic matter [13,14]. Local materials found in the remote villages, such as chalk for boards (calcium carbonate) and limestone (calcium hydroxide), have been used as coagulant aids. Adding these local materials impacts precipitation by several mechanisms, including charge neutralization by calcium ions (Ca2+), which can neutralize the negative charges on the surfaces of suspended particles, reducing the repulsive forces between them and promoting aggregation of particles into larger flocs. In addition, calcium ions also bridge negatively charged particles, aiding in the formation of larger, more stable flocs. Finally, Calcium can form insoluble precipitates with various anions present in water, such as carbonate or phosphate. These precipitates can incorporate suspended particles, enhancing their removal during sedimentation [15].
While using local coagulants can be highly effective, efficiency may vary depending on the specific water chemistry and the concentration of suspended particles. Moreover, a reliance on local materials can significantly reduce costs and environmental impact, as it eliminates the need for transporting and handling conventional chemical coagulants. However, further research is needed to optimize the use of these local coagulants, ensuring consistent performance across different water sources and varying conditions. Additionally, the potential for local coagulants to introduce unwanted byproducts or influence the pH balance of treated water must be carefully considered to maintain water quality and safety standards.
This study aimed to address the water quality challenges encountered by a Maasai community with which the delegation worked through the implementation of sedimentation and biofilm-based slow sand filtration (SSF) systems. The resulting water quality was suitable for direct consumption or further treatment using VF-100 filters. Hence, our objective was to evaluate the effectiveness of these systems in reducing turbidity and removing contaminants from local water sources. A key innovation of this research is the development of a tailored model that optimizes household-scale water treatment systems for off-grid communities, integrating SSF and sedimentation with coagulant materials. Experiments were conducted using various locally available materials to enhance filtration, focusing on achieving sustainable and reproducible results. Comprehensive water quality assessments revealed contamination in surface water sources, with elevated lead levels. Despite constraints that shortened the mission duration, the results provide a solid foundation for future efforts to improve water quality in the region.
2. Materials and Methods
2.1. Samples Collection and Testing
Water samples were collected from different water sources in the Maasai villages of northern Tanzania, commonly used for drinking. These sources include both wells and surface water bodies. The wells were constructed with donations from foreign donors such as the USA and the United Arab Emirates. By contrast, the surface water sources are natural reservoirs used by humans and animals (including wildlife and livestock), which may deposit excrement into the water bank, and their decomposing bodies add to the water’s pollution.
Water samples were evaluated according to basic parameters, including turbidity (Lovibond THERMO EUTECH TN-100 turbidity meter, produced in Singapore), total hardness, using two commercial kits (Varify (Complete Drinking Water Test Kit—17 parameters, produced in San Diego, CA, USA) and Tespert (Water Test Strips—16 parameters, produced in China), including free chlorine, bromine, MPS (Monopersulfate), nickel, sulfite, cyanuric acid, carbonate, hardness, hydrogen sulfide, manganese, mercury, sulfate, zinc, fluoride, sodium chloride, copper, iron, lead, nitrate, nitrite, pH, total alkalinity, and total chlorine.
2.2. Slow Sand Filtration (SSF)
SSF systems were assembled using local material, including a bucket with a faucet at the bottom, into which gravel/small stones and sand were placed (Figure 3a,b). Common sand and stones found in the area were used (stones suitable for sedimentation and coarse sand). The sand was composed of fine to medium-sized particles, typically ranging between 0.1 mm and 1 mm. The gravel consisted of irregularly shaped, coarse stones ranging in size from approximately 0.5 cm to 3 cm, providing a rough texture and varied particle sizes (Figure S6).
Figure 3.
Slow sand filter: (a) The sand filtration systems that were built in Tanzania; (b) schematic figure of the SSF: a thick layer of gravel at the bottom and a large layer of sand above it. The mechanisms the SSF uses are mechanical filtration through sand, biological filtration via biofilm development (schmutzdecke), and pathogen removal along with turbidity reduction.
Next, 30 L of clean water were used to flush the system of small particles and dust. The SSF system was then evaluated in a recirculating mode using 5 L of water from the Red Dam. Water circulation varied between experiments and was described per case. Unless otherwise specified, all experiments followed this procedure. According to visual evidence described in Section 3.2.4, it is estimated that a biofilm formed in each tested system after approximately 48 h.
The optimal ratios between gravel and sand in the SFF were examined in the next stage. For this purpose, three systems were constructed: System 1 contained 13 kg of gravel and 35 kg of sand (gravel/sand ratio 0.37); System 2 contained 13 kg of gravel and 25 kg of sand (gravel/sand ratio 0.52). System 3 contained 23 kg of gravel and 35 kg of sand (gravel/sand ratio 0.65). Bacteria, which form the biofilm, tend to grow in the sand layer due to the relatively high available surface area [12,13]. In addition, the higher sand to gravel ratio led to a higher mass of sand used for filtration. Therefore, we estimated the probability of systems with a high sand-gravel ratio to be more efficient.
Following establishment of the efficiency of the SFF at the optimized sand/gravel ratio, System 4 was built in an attempt to examine whether it is possible to build an efficient filter without initially flushing it with clean water, as it is possible that the villagers may not be willing or able to use the required water amount for system preparation. Accordingly, the possibility of using only water from the Red Dam was also examined in the experiment presented above. In addition, System 5 was built with a gravel layer above the outlet tap, approximately a quarter of the container, and a sand layer of approximately half the thickness of the container (approximate gravel/sand ratio 0.5). This system was designed to test how the system would behave under non-optimal conditions, as it is reasonable to assume that the residents for whom the system is intended may not construct it correctly. SFF experiments were conducted for 6 days.
2.3. Sedimentation Experiments
Chalk and limestone were evaluated as coagulation and sedimentation agents. Tests were conducted to assess turbidity, total hardness, and water quality parameters following sedimentation with these materials.
Each container was filled with distilled water from the Red Dam in the chalk sedimentation experiments. Initial turbidity, measured using a turbidity meter, was approximately 12,000 NTU for all containers without chalk. Chalk was added to each container in the following amounts: the small container (0.05 L) received 2.5 g of chalk (concentration of 50 g per liter); the medium container (0.5 L) received 10 g of broken chalk or 10 g of crumbled chalk in separate trials (concentration of 20 g per liter); the larger container (1.5 L) received 10 g (concentration of 6.67 g per liter) or 20 g of chalk (concentration of 13.33 g per liter); and the largest container (6 L) received 20 g (concentration of 3.33 g per liter) or 40 g of chalk (concentration of 6.67 g per liter). The containers were left undisturbed for 24 h to allow sedimentation. Final turbidity was measured using the turbidity meter after the 24-h sedimentation period.
Additionally, sedimentation experiments were conducted using limestone in small (0.05 L) and large (6 L) volume containers. Each container was filled with distilled water, and initial turbidity was measured using a turbidity meter, recording approximately 12,000 NTU for containers without limestone. In the small-volume container, two conditions were tested: one with a substantial amount of limestone dust, and another with no limestone. Three conditions were tested in the large volume container: 300 g of crumbled limestone, 300 g of uncrushed limestone stones, and a control with no limestone. The containers were left undisturbed for 24 h to allow sedimentation. Final turbidity was measured using the turbidity meter to evaluate the reduction in turbidity under each condition.
3. Results
3.1. Water Quality
Water samples from Well B, Red Dam and Sokoru Dam were evaluated, and their analysis revealed several critical findings regarding water quality (Figure 4a,b accordingly). The Well B samples (Figure 1), indicated the presence of cyanuric acid at 10 mg/L, though not regulated, suggested some chemical contamination. Turbidity, nitrate, and pH values were within acceptable ranges (Table S1).
Figure 4.
Measured water properties in wells and reservoirs (a) Well B; (b) local reservoirs.
The Sokoru Dam (Figure 1) showed extremely high turbidity levels (335 NTU) and lead concentration (11 mg/L), both significantly exceeding WHO/EPA limits, indicating severe water quality issues. Nitrate and pH levels were within acceptable limits, but the overall water quality necessitated substantial intervention (Table S2). The presence of lead at these concentrations poses a significant threat and substantial health risks. Regulatory bodies, such as the U.S. Environmental Protection Agency (EPA) and WHO, have set stringent standards for lead in drinking water. The EPA’s action level for lead in drinking water is 0.015 mg/L (15 ppb) [16], and WHO allows 0.01 mg/L (10 ppb) [17], significantly lower than the 11 mg/L levels found in the reservoir.
The Red Dam also presented severe water quality problems, with an extremely high turbidity of 12,000 NTU, indicating extreme contamination. Hydrogen sulfide at 2.5 mg/L and Cyanuric acid at high concentrations (200 mg/L) also harm aquatic lifeforms (Table S3). Overall, the compounds found necessitated comprehensive treatment. Lead was not detected, which is positive, but overall water quality issues required significant remediation (Figure 4).
In summary, the water quality parameters indicated significant issues, particularly with turbidity, heavy metals (lead), and chemical contaminants in certain water sources. Immediate interventions were necessary to address these concerns and ensure the water met safety standards for consumption and use.
3.2. Slow Sand Filtration
3.2.1. Proof of Concept
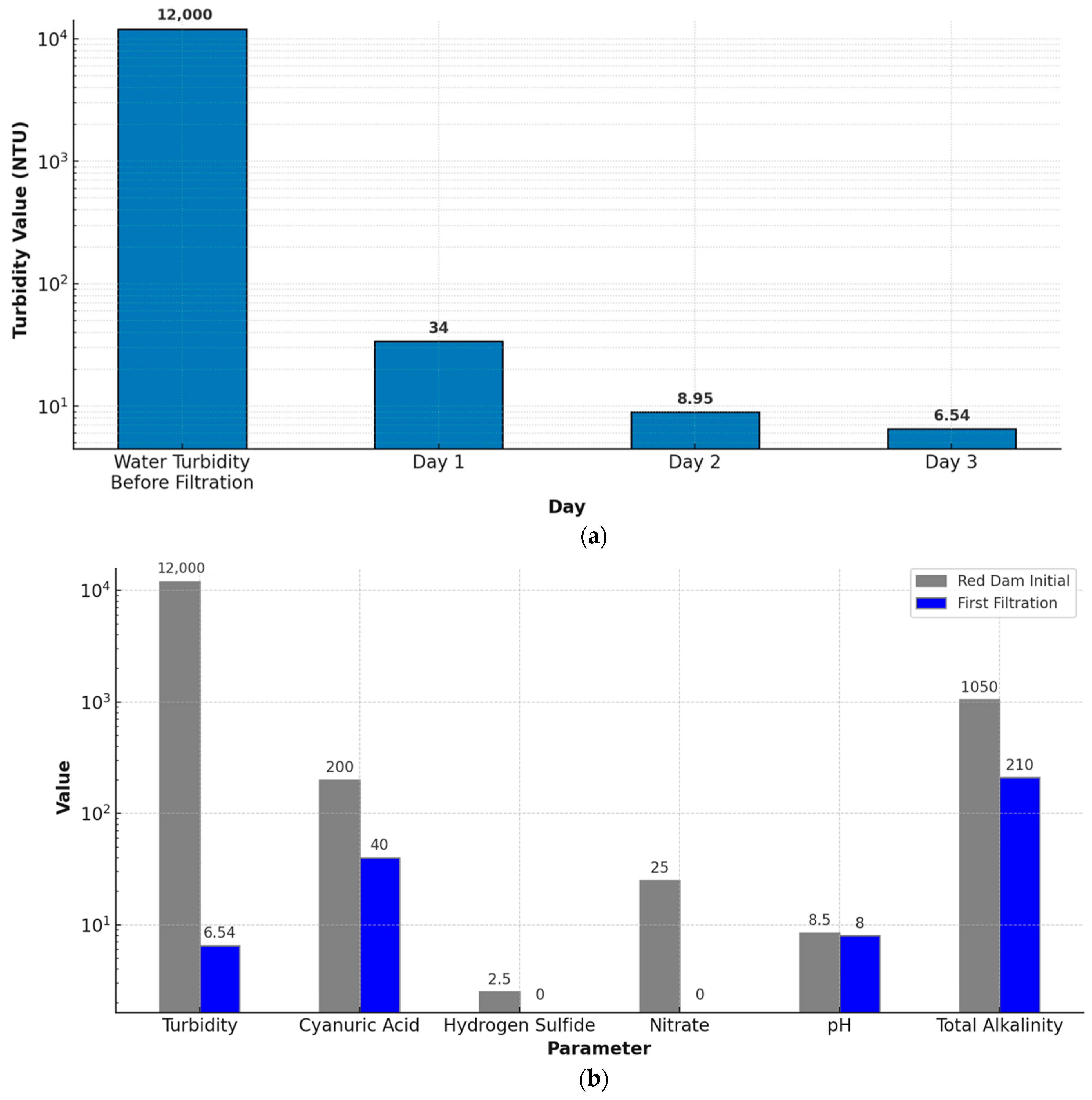
An initial proof of concept system was built to evaluate filtration using specific local sand and gravel (Figure 5a). The sand filtration system demonstrated a significant reduction in turbidity over multiple repetitions. Initially, the turbidity values were around 12000 NTU each day before filtration. After the first day of filtration (Day 1), the turbidity values decreased progressively to 34 NTU over four repetitions. On the second day (Day 2), the turbidity continued to decrease, reaching as low as 8.95 NTU after six repetitions. On the third day (Day 3), the turbidity values varied, with the lowest recorded at 6.54 NTU. On the fourth day (Day 4), the system became blocked with a turbidity value of 75 NTU recorded before the blockage (Figure S1). To ensure that the results are not random, another system was built similarly. This system showed a slightly lower performance but still reflected a similar trend (Figure S2). In addition, several primary contaminants were tested (Figure 5b). Results show water quality parameters between the Red Dam and system A after filtration. The parameters include turbidity, cyanuric acid, nitrate, hydrogen sulfide, pH, and total alkalinity. The results presented a prominent decrease in the tested parameters.
Figure 5.
(a) Turbidity values over three days—proof of concept system (the value shown each day is the lowest recorded for that day); (b) water quality parameters comparison after filtration.
3.2.2. Optimal Ratio between Sand and Gravel
The experiment measures and compares the turbidity values of three water filtration systems (the composition of the materials inside the filter is described in the methods chapter, part 2.2). Each system starts with a turbidity of 12,000 NTU at the beginning of each day (Figure 6a,b).
Figure 6.
(a) Comparison of turbidity values after one day (the value shown for each system is the system’s lowest recorded); (b) comparison of turbidity removal efficiency after one day.
The results show significant reductions in turbidity across all three systems, with varying degrees of effectiveness. System 1 shows a rapid and substantial decrease in turbidity values, quickly dropping from 12,000 NTU to much lower levels within a few repetitions, indicating high filtration efficiency. System 2 also demonstrates a sharp reduction in turbidity, effectively lowering the values from 12,000 NTU to minimal levels, though with slight variations. System 3 is the most efficient, achieving the greatest reduction in turbidity (Figure S3). It consistently reduces the turbidity from 12,000 NTU to much lower levels, demonstrating superior filtration performance. Due to its superior performance, the gravel–sand ratio from System 3 was adopted for subsequent systems. Further tests were conducted to evaluate its water purification capabilities in the following days (Figure 7).
Figure 7.
Turbidity values for System 3 over three days (the value shown each day is the lowest recorded for that day).
The data reveal a significant reduction in water turbidity after the filtration process, with initial turbidity levels at 12,000 NTU. On Day 1, turbidity decreased markedly to 25 NTU, followed by a slight increase to 35.50 NTU on Day 2. By Day 3, the turbidity value further decreased to 5.15 NTU. These results underscore the system’s effectiveness in significantly reducing water turbidity over time, with a clear improvement in water quality observed across the testing period.
The increase in turbidity values observed on Day 2 using System 3, compared to Day 1, is primarily due to biofilm development. As the biofilm matures, it may cause temporary detachment of particles, resulting in higher turbidity readings. Research shows that initial biofilm growth can disrupt the stability of trapped particles in filtration systems, leading to this phenomenon [7,8].
The superior performance of System 3, which had a higher sand-to-gravel ratio, can be attributed to several key factors. First, the increased ratio likely reduced hydraulic conductivity, slowing down the water flow through the filter. This, in turn, increased contact time, which is crucial for both mechanical filtration and biological processes, such as biofilm development [6,7]. A longer contact time enables the biofilm to more effectively metabolize contaminants and capture fine particles [7,8]. Additionally, a higher sand content provides a greater surface area for biofilm formation, which is essential for biological filtration efficiency [7]. However, there may be a trade-off between achieving optimal filtration and maintaining system longevity. For example, while a higher sand-to-gravel ratio improves contaminant removal, it can also increase the likelihood of clogging due to biofilm accumulation, which could reduce the filter’s lifespan [7,9]. Thus, while System 3 demonstrated higher efficiency, regular maintenance, such as scraping off the top layer of the biofilm, would be necessary to prevent clogging and ensure long-term functionality [7,10].
3.2.3. Sand Filtration Systems Using Red Dam Water Only
In the next stage, we attempted to examine whether it is possible to build an efficient filter without the initial flowing clean water. System 4 was constructed based on the ratios found to be most efficient in the previous experiments. System 5 was built with a gravel layer above the outlet tap and a sand layer with approximately half the thickness of the container.
Over four days, System 4 showed a consistent decrease in turbidity values (Figure 8a). Starting from 12,000 NTU on Day 1, the turbidity dropped significantly to 1450 and 123 NTU on Day 2. By Day 3, the value was further reduced to 30 NTU. On Day 4, the turbidity values decreased, recording 465 NTU, 35.6 NTU, and 25.6 NTU in successive repetitions (Figure S4). This indicates effective filtration, with the system efficiently reducing the number of suspended particles in the water over time.

Figure 8.
(a) System 4—Turbidity over repetition (the value shown each day is the lowest recorded for that day); (b) System 5—Turbidity over repetition (the value shown each day is the lowest recorded for that day).
System 5 (Figure 8b) also started with high turbidity values of 12,000 NTU on Day 1. A significant drop was observed on Day 2, with the turbidity decreasing to 52 NTU. However, on Day 3, the turbidity values increased again, measuring 1138 NTU (Figure S5). This fluctuation suggests potential issues with the filtration process or possible recontamination, leading to a less consistent performance than System 4.
A paired T-test comparing initial turbidity values (12,000 NTU) with filtered values showed that System 4 significantly reduces turbidity, with values dropping to as low as 25.6 NTU (p < 0.05). By contrast, System 5 displayed mixed results: a significant reduction on Day 3 (52 NTU), but increased turbidity on Day 4, leading to less consistent performance and a potentially higher p-value, suggesting it is less effective overall.
In addition, several primary contaminants were tested (Figure 9). Results show water quality parameters between the Red Dam, System 4, and System 5 after filtration. The parameters include turbidity, cyanuric acid, nitrate, hydrogen sulfide, pH, and total alkalinity. The results present a prominent decrease in the tested parameters.
Figure 9.
Water parameters after filtration with Systems 4 and 5 (relative to Red Dam).
3.2.4. Evidence for Biofilm Formation
One of the strongest indicators that a biofilm was formed is the gradual reduction in turbidity levels and other water quality parameters over time. This gradual improvement in water quality parallels the progressive development of a biofilm, which becomes increasingly effective at trapping and degrading contaminants as it matures.
Additional compelling evidence is the observation of a layer at the top of the sand filters, accompanied by bubbles on its surface. This layer matches descriptions in the literature of a biological layer, commonly associated with biofilm formation. The bubbles further indicate living organisms within the layer, reinforcing the hypothesis that a biofilm was indeed established in the filtration system.
Furthermore, the decrease in water flow rate observed at the filter’s outlet aligns with the documented effects of biofilm development. As biofilms grow, they can clog the filtration system, reducing the flow rate. This reduction in flow is consistent with the findings in the literature, where biofilm formation is known to impede water movement through the filter medium.
Figure 10 depicts the top layer of the sand filters used in this study. The layer observed on the surface, along with the presence of bubbles, indicates the formation of a biofilm, which plays a crucial role in enhancing the efficiency of filtration by trapping and degrading contaminants. Microbiological tests to identify the levels and types of biofilms and bacteria composing this layer were not conducted due to the unavailability of suitable equipment in Tanzania and an unplanned shortening of the expedition. This limitation highlights the need for further studies with appropriate resources to comprehensively analyze the microbial composition and dynamics of the biofilm.
Figure 10.
Top view of the filter showing biofilm formation.
3.2.5. The Sand Filtration System—Summary
The sand filtration systems demonstrated a remarkable capacity to reduce turbidity from initial levels as high as 12,000 NTU to below WHO standards [17]. This significant reduction in turbidity was consistently observed across multiple repetitions, with the final turbidity levels reaching as low as 5.15 NTU. This outcome underscores the robustness and efficiency of the filtration process.
In addition to reducing turbidity, the sand filtration system showed significant potential in removing other contaminants. The measurements indicated that the sand bed’s physical straining and adsorption capabilities contributed to removing pollutants such as heavy metals and organic matter. This suggests that the filtration system is effective in turbidity reduction and enhancing overall water quality.
The adaptability of the sand filtration systems to local conditions further highlights their practicality. Constructed using locally available materials, these systems are sustainable and cost-effective. Their ability to operate efficiently under varying conditions demonstrates their suitability for widespread use in similar resource-limited environments.
Overall, the sand filtration systems proved to be a highly effective method for improving water quality. The significant reductions in turbidity, consistent performance, and adaptability to local conditions make them an ideal solution for addressing water quality issues in Maasai villages and other rural communities.
3.3. Sedimentation
3.3.1. Sedimentation Experiments with Chalks
The sedimentation experiments were conducted with small (50 mL) falcon tubes to evaluate the turbidity change as a function of the used coagulants (Table S4). Next, larger (0.5–6 L) containers were used to scale up the coagulation-precipitation process and evaluate turbidity reduction (Tables S5–S7).
Figure 11 illustrates the relationship between chalk (CaCO3) concentration and turbidity levels in water, revealing that turbidity is at its lowest when the chalk concentration is in the 6.67 g per liter range. This suggests that this concentration is optimal for sedimentation processes designed to reduce turbidity among the tested concentration. However, when the chalk concentration increases, turbidity levels begin to rise again, possibly due to particle re-stabilization that reduces the efficiency of the sedimentation process.
Figure 11.
Summary of sedimentation experiments with chalks.
The literature on calcium carbonate precipitation and sedimentation indicates no singular optimal concentration for achieving the best results. Instead, optimal concentration varies significantly depending on several factors, including the acidity (pH) of the system, the temperature at which the process occurs, the level of agitation, and the concentrations of CO2 present during the reaction [18].
Furthermore, the experiments emphasize the importance of the physical form of the chalk, the volume of water, and the weight of the chalk in the effectiveness of sedimentation. Crumbled chalk was generally more effective at reducing turbidity than larger, broken pieces. Additionally, it was observed that larger quantities of chalk were necessary to achieve lower turbidity in larger volumes of water. A t-test further confirmed a significant difference in turbidity levels between conditions with and without chalk, reinforcing the impact of chalk on the sedimentation process.
3.3.2. Sedimentation Experiments with Limestone
The sedimentation experiments conducted with limestone also yielded significant findings on turbidity reduction. The experiments demonstrated varying effectiveness of limestone sedimentation depending on the amount and form of limestone used (Figure 12). In the smallest volume container (0.05 L), using lots of limestone dust significantly reduced turbidity to 29.5 NTU (Table S8). In the larger volume container (6 L), using a cup of limestone dust (300 g) reduced turbidity to 207 NTU, whereas a cup of uncrushed stones (300 g) resulted in high turbidity levels of 10,000 NTU (Table S9). This highlights the importance of the physical form of the limestone in turbidity reduction. This statistically significant result (p < 0.05) demonstrates that adding crushed limestone significantly reduces turbidity.
Figure 12.
Water parameters after filtration with limestone (relative to Red Dam).
The bar graph shows various water parameters after filtration with limestone. According to the graph, sedimentation notably contributes to reducing most contaminants in the water.
4. Discussion
Both methods presented in this article significantly reduce turbidity and various contaminants. The sedimentation and biofilm-based slow sand filtration systems developed in this study show substantial potential for enhancing water quality in resource-limited environments. Our findings provide proof of concept that these low-cost and sustainable methods effectively reduce turbidity and remove contaminants from water sources, making them suitable for implementation in the community with which the delegation worked, as well as in similar contexts globally. Furthermore, the results of this study suggest that using locally available materials such as chalk and limestone for sedimentation, followed by a biofilm-based slow sand filtration, could significantly enhance water quality. The substantial reductions in turbidity—from levels as high as 12,000 NTU to within WHO standards (5 NTU)—demonstrate the potential effectiveness of these methods when used separately. Based on these promising results, we propose a combined approach. This dual-method system, which has yet to be tested together, may offer even greater success by addressing the immediate need for water clarification through sedimentation and providing long-term filtration benefits through the biofilm layer in slow sand filters.
The performance of the SSF systems aligns with findings from other studies. The biofilm-based filtration system functioned as expected, with biofilm development playing a key role in filtration efficiency, consistent with the previous research [6,7,10,11,12]. The superior performance of System 3, attributed to the optimized sand-to-gravel ratio, also matches the findings of Lubarsky et al., which emphasized the importance of filter media composition in enhancing filtration [7]. Overall, the results of this study are in line with the literature on the effectiveness of SSFs in rural and resource-limited settings.
One of the critical advantages of the methods developed in this study is their practicality and sustainability. The use of locally sourced materials for sedimentation ensures that the approach is cost-effective and accessible for the Maasai communities. Additionally, the simple construction and maintenance of slow sand filters make them feasible for local implementation without the need for advanced technical knowledge or significant financial investment. This is particularly important in rural and resource-limited settings where access to clean water is a persistent challenge.
Improving water quality in the community with which the delegation worked, as well as in other communities with similar characteristics globally, has the potential to significantly enhance public health. These filtration systems can mitigate the health risks associated with waterborne diseases by significantly reducing turbidity and removing contaminants such as lead. Access to clean water is crucial for preventing illnesses, improving overall health outcomes, and enhancing the quality of life for community members. The successful implementation of these systems can lead to a considerable decrease in water-related health issues, promoting better living conditions and community well-being.
The reusability of the filtration system is a critical consideration for its long-term application in water treatment. During the experiments, it was observed that when the system became clogged, it could no longer be effectively reused. This issue arose primarily from the accumulation of particles within the filter medium, which hindered water flow and filtration efficiency. To enhance the reusability of the slow sand filtration (SSF) system, implementing a preliminary filtration step is recommended. For example, sedimentation using locally available materials, such as chalk or limestone, can significantly reduce the particulate load entering the SSF system. This approach not only prolongs the lifespan of the filter but maintains its operational efficiency, as supported by previous studies that emphasize the importance of pre-treatment methods in filtration systems.
Health Potential for Lead Filtration by Our Systems. According to the literature, our systems have the potential to filter out lead from water. Lead was found at extremely high concentrations in one of the tested reservoirs, sometimes up to 1000 times above the permissible level.
Most of the experiments presented in this article were conducted on water from the Red Dam, which had the highest turbidity levels. However, there is no lead in this water source, so our systems have not yet been tested for lead removal.
The consumption of such high levels of lead is particularly concerning for children. Lead exposure in children can result in severe health consequences, including cognitive impairment, developmental delays, and various physical health issues. Chronic exposure can lead to long-term detriments that affect their academic performance and overall well-being.
As indicated by existing research, our sedimentation and biofilm-based slow sand filtration systems can remove lead from water [8,9]. This capability will be assessed during future expeditions to Tanzania. By implementing these systems, we aim to significantly reduce the lead content in water, thereby providing safer drinking water for the affected communities. Additionally, the use of agricultural residual waste, such as maize stalk material, for removing heavy metals, as suggested by Marin et al., presents an interesting alternative approach [19]. Although not evaluated in this research, such materials could be explored in future studies as a complementary or standalone method for removing elements like lead from contaminated water sources in resource-limited settings.
Finally, the success of this project in a Maasai community provides a replicable model for other regions facing similar water quality challenges. The methods and results from this study can serve as a blueprint for other communities, demonstrating that effective water purification can be achieved with minimal resources and local materials. Future projects can build on this foundation, scaling up the approach to benefit larger populations and diverse geographic areas.
The recent expedition to Tanzania was cut short due to unforeseen circumstances in October, limiting the scope of our research. In future expeditions, we plan to extend our stay to deepen our investigation. Specifically, we aim to assess the effectiveness of our systems in filtering bacteria from the water and to analyze the characteristics of the biofilm through molecular testing. These additional studies will provide a more comprehensive understanding of the capabilities and limitations of our water filtration systems, ultimately contributing to the improvement of water quality in the affected regions.
5. Conclusions
In summary, this study demonstrates that sedimentation and biofilm-based slow sand filtration systems can significantly reduce turbidity and contaminants, making them highly effective for improving water quality in resource-limited environments. The use of locally sourced materials ensures these methods are both sustainable and accessible, while their simplicity supports practical implementation.
A key innovation and added value of this approach is the development of a tailored model for optimizing water treatment systems in off-grid communities. This model incorporates both slow sand filtration (SSF) and sedimentation with coagulant materials, providing flexibility to adapt to local conditions. An additional aspect of the innovation is the design of a small and compact system suitable for household use, in contrast to the larger models commonly referenced in the literature [6,7,10,11,12]. Furthermore, part of this innovation is the demonstration of the feasibility of the proposed model for the Maasai community, specifically for treating water with very high turbidity levels.
Looking ahead, further research will focus on combining these methods to maximize their effectiveness and explore their capability to remove bacterial contaminants and heavy metals (such as lead), ultimately aiming to enhance the overall health and well-being of the communities relying on these systems.
Supplementary Materials
The following supporting information can be downloaded at: https://www.mdpi.com/article/10.3390/app14209467/s1, Figure S1: Sand Filtration System Turbidity Over Days And Repetitions—A system; Figure S2: Sand Filtration System Turbidity Over Days and Repetitions—B system; Figure S3: Sand Filtration System Turbidity Over Days and Repetitions—optimal ratio and amount of sand and gravel; Figure S4: System 4—Turbidity over Reputation; Figure S5: System 5—Turbidity over reputation; Figure S6: Gravel Used in the SSF System; Table S1: Well B; Table S2: Sukuro Dam; Table S3: Red Dam; Table S4: Initial assessment of sedimentation (0.05 L); Table S5: Medium Volume Container (0.5 L); Table S6: Larger Volume Container (1.5 L); Table S7: Largest Volume Container (6 L); Table S8: Small Volume Container (0.05 L); Table S9: Large Volume Container (6 L).
Author Contributions
Conceptualization, N.B.; methodology, N.B. and N.L.; formal analysis, N.B.; investigation, N.B., N.L., S.D., M.M., N.P., O.G. and S.P.; resources, Ben-Gurion University of the Negev; data curation, N.B.; writing—original draft preparation, N.B.; writing—review and editing, A.R.; visualization, N.B.; supervision, A.R.; project administration, N.B.; funding acquisition, Ben-Gurion University of the Negev. All authors have read and agreed to the published version of the manuscript.
Funding
This research was funded by Ben-Gurion University of the Negev.
Institutional Review Board Statement
Not applicable.
Informed Consent Statement
Not applicable.
Data Availability Statement
The original contributions presented in the study are included in the article, further inquiries can be directed to the corresponding author.
Acknowledgments
Abraham Abbey Paul from the Department of Biotechnology Engineering, Ben-Gurion University of the Negev, Beer Sheva, Israel.
Conflicts of Interest
The authors declare no conflicts of interest.
References
- Crittenden, J.C.; Trussell, R.R.; Hand, D.W.; Howe, K.J.; Tchobanoglous, G. MWH’s Water Treatment: Principles and Design; John Wiley & Sons: Hoboken, NJ, USA, 2012. [Google Scholar]
- Ministry of Health (MoH) [Tanzania Mainland]; Ministry of Health (MoH) [Zanzibar]; National Bureau of Statistics (NBS); Office of the Chief Government Statistician (OCGS); ICF. Tanzania Demographic and Health Survey and Malaria Indicator Survey 2022: Key Indicators Report; MoH; NBS; OCGS; ICF: Dodoma, Tanzania; Rockville, MD, USA, 2023.
- Jacob, B.; Kazaura, M. Access to safe water, sanitation, and hygiene: A cross-sectional study among the Maasai in Tanzania. Am. J. Trop. Med. Hyg. 2021, 104, 1535. [Google Scholar] [CrossRef]
- Google Earth. Location of Maasai Villages, Tanzania. Imagery Date: 15 January 2023. Available online: https://earth.google.com (accessed on 4 October 2024).
- World Health Organization (WHO). Product Evaluation Report: VF100 Home Filter. International Scheme to Evaluate Household Water Treatment Technologies, 3rd ed.; WHO: Geneva, Switzerland, 2020; pp. 1–10. ISBN 978-92-4-000774-1. [Google Scholar]
- Maiyo, J.K.; Dasika, S.; Jafvert, C.T. Slow sand filters for the 21st century: A review. Int. J. Environ. Res. Public Health 2023, 20, 1019. [Google Scholar] [CrossRef] [PubMed]
- Lubarsky, H.; Fava, N.d.M.N.; Souza Freitas, B.L.; Terin, U.C.; Oliveira, M.; Lamon, A.W.; Pichel, N.; Byrne, J.A.; Sabogal-Paz, L.P.; Fernandez-Ibañez, P. Biological layer in household slow sand filters: Characterization and evaluation of the impact on systems efficiency. Water 2022, 14, 1078. [Google Scholar] [CrossRef]
- Haque, M.M.; Mosharaf, M.K.; Haque, M.A.; Tanvir, M.Z.H.; Alam, M.K. Biofilm formation, production of matrix compounds and biosorption of copper, nickel and lead by different bacterial strains. Front. Microbiol. 2021, 12, 615113. [Google Scholar] [CrossRef] [PubMed]
- Radojević, I.D.; Jakovljević, V.D.; Ostojić, A.M. A mini-review on indigenous microbial biofilm from various wastewater for heavy-metal removal-new trends. World J. Microbiol. Biotechnol. 2023, 39, 309. [Google Scholar] [CrossRef] [PubMed]
- Emslie, D.; Siddiqua, S.; Crawford, B.; Teece, W. Biofilm formation and effectiveness of biosand filtration systems with typical and innovative filter media. Geotech. Geol. Eng. 2021, 40, 1251–1266. [Google Scholar] [CrossRef]
- Hwang, H.G.; Kim, M.S.; Shin, S.M.; Hwang, C.W. Risk assessment of the schmutzdecke of biosand filters: Identification of an opportunistic pathogen in schmutzdecke developed by an unsafe water source. Int. J. Environ. Res. Public Health 2014, 11, 2033–2048. [Google Scholar] [CrossRef] [PubMed]
- Lackey, L.; Semmendinger, K.; MacCarthy, M. Biological sand filter performance test using multiple methods for pathogen detection: A longitudinal field study in Kenya. Water Air Soil Pollut. 2019, 230, 165. [Google Scholar] [CrossRef]
- Shammas, N.K.; Hahn, H.H.; Wang, M.S.; Wang, L.K. Fundamentals of chemical coagulation and precipitation. Environ. Flotat. Eng. 2021, 95–142. [Google Scholar] [CrossRef]
- Wang, L.K.; Wang, M.S.; Shammas, N.K.; Hahn, H.H. Physicochemical treatment consisting of chemical coagulation, precipitation, sedimentation, and flotation. Integr. Nat. Resour. Res. 2021, 265–397. [Google Scholar] [CrossRef]
- Kemperl, J.; Maček, J. Precipitation of calcium carbonate from hydrated lime of variable reactivity, granulation and optical properties. Int. J. Miner. Process. 2009, 93, 84–88. [Google Scholar] [CrossRef]
- The Massachusetts Department of Public Health. Bureau of Environmental Health Lead in Drinking Water; The Massachusetts Department of Public Health: Boston, MA, USA, 2016.
- WHO. Guidelines for Drinking-Water Quality; World Health Organization: Geneva, Switzerland, 2022. [Google Scholar]
- Kuusisto, J.; Tiittanen, T.; Maloney, T.C. Property optimization of calcium carbonate precipitated in a high shear, circulation reactor. Powder Technol. 2016, 303, 241–250. [Google Scholar] [CrossRef]
- Marin, N.M.; Dinu, L.; Stanculescu, I.; Cristea, N.I.; Ionescu, A.I. Maize stalk material for on-site treatment of highly polluted leachate and mine wastewater. Materials 2021, 14, 956. [Google Scholar] [CrossRef] [PubMed]
Disclaimer/Publisher’s Note: The statements, opinions and data contained in all publications are solely those of the individual author(s) and contributor(s) and not of MDPI and/or the editor(s). MDPI and/or the editor(s) disclaim responsibility for any injury to people or property resulting from any ideas, methods, instructions or products referred to in the content. |
© 2024 by the authors. Licensee MDPI, Basel, Switzerland. This article is an open access article distributed under the terms and conditions of the Creative Commons Attribution (CC BY) license (https://creativecommons.org/licenses/by/4.0/).