Next Article in Journal
Impact of High-Pressure Processing on Quality and Safety of High-Oil-Content Pesto Sauce: A Comparative Study with Thermal Processing
Previous Article in Journal
Parametric Selection of Optimized Epicyclic Gearbox Layouts for Wind Power Plant Applications
 
 
Font Type:
Arial Georgia Verdana
Font Size:
Aa Aa Aa
Line Spacing:
Column Width:
Background:
Article

Exploring the Adsorption Behavior of Organic UV Filter on Carbon-Based Materials as Potential Carriers of Organic Contaminants in the Aquatic Environment

Faculty of Sciences, University of Novi Sad, 21000 Novi Sad, Serbia
*
Author to whom correspondence should be addressed.
Appl. Sci. 2024, 14(20), 9424; https://doi.org/10.3390/app14209424
Submission received: 11 September 2024 / Revised: 7 October 2024 / Accepted: 9 October 2024 / Published: 16 October 2024
(This article belongs to the Section Environmental Sciences)

Abstract

Environmental pollution poses significant risks to human health and ecosystems, necessitating costly and time-consuming remediation efforts. Consequently, there’s a growing interest among researchers in developing and utilizing next-generation materials. Carbon-based materials have emerged as promising candidates due to their environmentally friendly nature, although their application presents both positive and negative aspects, as evidenced by existing literature. A diverse range of low-cost carbonaceous sorbents, like biochars, have been investigated for their suitability in water treatment. Given the substantial volume of agricultural waste biomass generated globally, the cost-effective production of these materials from residual biomass holds promise for addressing additional environmental challenges, such as biomass waste management. Various biochars derived from corn, hemp, and straw were studied to evaluate the adsorption potential for removing a commonly used organic UV filter 3-(4′-methylbenzylidene)-camphor (4-MBC). The adsorption isotherms obtained were well-described by the Freundlich model, with nonlinearity values below 0.9. Generally, all investigated adsorbents exhibited a higher affinity for 4-MBC, underscoring the importance of such research in identifying safe adsorbents for water remediation purposes. Moreover, this paper also tackles the interactions between 4-MBC and microplastics as polymer carbon-based materials, indicating the highest adsorption capacity of polyethylene terephthalate.

1. Introduction

In recent years, various factors such as population growth, urbanization, industrialization, and shifts in societal behaviors have led to the introduction of numerous potentially hazardous substances into the environment [1]. This influx of pollutants, particularly into aquatic ecosystems, poses serious threats to both ecological health and human safety. Among these pollutants are the emerging contaminants (ECs), which represent a diverse range of chemicals not yet fully integrated into standard monitoring practices at the national or European Union level, including in the Republic of Serbia. Despite their increasing prevalence, the behavior, fate, and toxicity of these contaminants remain poorly understood [2,3].
One of the critical categories of ECs includes organic UV filters, such as those found in personal care products, pharmaceuticals, and industrial additives. These compounds are widely used in sunscreens and cosmetics due to their ability to protect the skin from harmful UV radiation. Among them, 3-(4-methylbenzylidene) camphor (4-MBC), a camphor derivative, stands out as a common and potent UV-B absorber. However, 4-MBC has been detected in numerous environmental matrices, including rivers, lakes, sediments, and even drinking water sources. Studies have shown that it exhibits estrogenic, antiestrogenic, androgenic, and antiandrogenic activities, affecting aquatic organisms and acting as an endocrine disruptor. Due to its chemical stability and poor biodegradability, 4-MBC accumulates in aquatic environments and sediments, contributing to long-term environmental contamination [4,5,6,7].
Alongside organic micropollutants, microplastics are labeled as emerging contaminants in wastewater, with a significant capacity for the adsorption of other micropollutants, acting as a novel carrier in aquatic environments. Plastics have become essential in modern society due to their versatility, durability, and lightweight nature, but their widespread use and improper disposal have led to significant pollution of terrestrial and aquatic ecosystems [8,9]. A major environmental challenge is posed by microplastics (MPs), classified as particles smaller than 5 mm [10]. These MPs are prevalent in marine sediments, continental waters, and agricultural environments [11,12,13], and they frequently interact with organic and inorganic pollutants such as polycyclic aromatic hydrocarbons (PAHs), pesticides, and pharmaceuticals [14,15,16,17,18,19]. While research has extensively studied the impact of MPs on marine environments [20], there is still limited data on their effects in inland water bodies and drinking water sources, particularly their interactions with other pollutants like 4-MBC.
In response to the challenges posed by these pollutants, various water and wastewater treatment technologies have been developed, including biological digestion, chemical oxidation, and adsorption [21,22]. Among these, adsorption stands out as an environmentally friendly solution due to its minimal energy requirements and avoidance of secondary pollution. Carbon-based adsorbents, particularly biochar derived from biomass, have garnered attention for their potential in water remediation [23,24]. Biochar is produced through pyrolysis, a process that thermally decomposes organic material in an oxygen-free environment, transforming agricultural biomass waste into a stable carbon material [25,26,27,28]. This process not only mitigates environmental problems associated with biomass waste but also contributes to reducing carbon emissions by sequestering carbon in a slower biological cycle [29,30]. Biochar has demonstrated significant potential as an adsorbent due to its high surface area, functional groups, cation-exchange capacity, and aromatic carbon structure [31,32,33,34]. Previous investigations indicate that, when present together, biochar and microplastics may exhibit greater synergistic adsorption of certain organic pollutants than each material separately [15].
The rationale behind this comparison lies in their contrasting physicochemical properties, environmental relevance, and growing interest in their roles as pollutant carriers. Biochar, a carbon-rich material produced from biomass, is widely recognized for its porous structure and surface functional groups, making it an effective adsorbent for organic contaminants in the environment. In contrast, microplastics, which have become ubiquitous in aquatic environments due to their persistence and widespread pollution, can act as vectors for hydrophobic organic compounds. By comparing biochar and microplastics, we aim to provide insights into their adsorption capacities and mechanisms for removing 4-MBC, a common UV filter, under identical conditions. This comparison enables exploration of the potential of biochar as a sustainable alternative to the plastic materials commonly used in reactor designs for wastewater treatment, indicating possible water contamination with microplastics and related compounds. The comprehensive comparison will provide new insights into the importance of studying both materials in the context of environmental pollution and remediation.
Moreover, the use of biochar aligns with global efforts to manage the vast quantities of biomass waste produced annually, transforming waste into a valuable resource that can be utilized in wastewater treatment. The interactions between biochar and 4-MBC, along with the effects of microplastics as a novel carrier, require further investigation to establish their behavior and adsorption capacity for further applications in real water treatment [35,36,37,38,39,40,41]. Thus, this study aims to bridge these knowledge gaps by exploring the combined challenges posed by organic UV filters and microplastics in aquatic environments. Specifically, the research seeks to:
  • Produce and characterize biochar derived from different biomass sources (corn, hemp, and straw) and evaluate its adsorption potential for removing 4-MBC from water.
  • Investigate the adsorption behaviors of 4-MBC on commonly found microplastics (granulated polyethylene (PEg), polyethylene tetraphthalate (PET), polypropylene (PP), and polylactic acid (PLA)) in water to better understand the interactions between organic contaminants and MPs.
  • Provide insights into the combined effects of biochar and microplastics on the removal of emerging contaminants like UV filters, offering potential solutions for improving water treatment methods.
By addressing these intertwined environmental challenges, the research hopes to contribute to more effective strategies for managing pollutants in water resources.

2. Experimental

2.1. Production of Biochar and Characterization of the Adsorbents

All biochar was produced using Nabertherm Furnace (Lilienthal, Germany), employing chosen biomass and changing temperatures ranging from approximately 680 °C to 740 °C. The samples were pyrolyzed in an inert atmosphere (argon) with an inert gas flow of 80 L/h. Heating speed—10 °C/min. At the selected temperature (680 to 740 °C), the samples are pyrolyzed for 1 h after reaching the desired temperature.
As the adsorbate, 4-MBC was utilized, characterized by its low water solubility (1.3 mg/L) and high lipophilicity (logKow 4.95), contributing to its stability in the environment. 4-MBC was purchased as certified reference material (TraceCERT®, CAS No. 36861-47-9, Sigma Aldrich, St. Louis, MO, USA). Granulated microplastic particles were used to investigate the interaction between 4-MBC and the microplastics. Granulated polyethylene (PEg), polyethylene tetraphthalate (PET), and polypropylene (PP), all commercially available microplastics, were provided by Sigma Aldrich. In this study, polylactic acid (PLA, Sigma Aldrich) was also investigated as a representative of bioplastic materials. The supplier specified that the granulated microplastics (PEg, PET, PP, and PLA) had a size of 3 mm [24,37,38]. The basic physicochemical properties of PEg of the investigated MPs and bioplastic PLA are given in our previous research paper by Tubić et al. [42].
The physicochemical characterization of various carbon adsorbents derived from corn (BC1), hemp (BC2), and straw (BC3) biomass included determining their specific surface area (SSA), elemental composition, and surface morphology. The multi-point BET analysis, pore diameter, and pore volume of biochars were conducted through nitrogen adsorption at 77 K using an AutosorbiQ Surface Area Analyzer (Quantochrome Instruments, Boynton Beach, FL, USA).
Elemental composition analysis (C, H, N, and S) of the biochars was performed using the Vario EL III CHNS Analyzer with triplicate measurements. The morphology of the investigated adsorbents was determined by scanning electron microscopy (SEM, Hitachi TM3030, Tokyo, Japan) with energy dispersive X-ray spectrometry (EDS, Brucker Quantax 70 X-ray detector system, Billerica, MA, USA).

2.2. Adsorption Experiments

2.2.1. 4-MBC Adsorption on Biochar

The adsorption experiments were conducted in duplicate at room temperature (20 ± 2 °C) and a controlled pH of 6.5. In each experiment, a measured amount of biochar was placed in glass vials, and a background solution of 0.01 M CaCl2 in deionized water, supplemented with 100 mg/L NaN3 as a biocide, was added. Using only CaCl2 creates a controlled solution where calcium ions (Ca2+) provide specific ionic strength without introducing the complexity of multiple salts, ensuring a more straightforward evaluation of the adsorption process. Prior to spiking the background solution, a stock solution of the organic compound (1000 µg/mL) was prepared in methanol. The amount of adsorbent in each experiment was carefully selected to achieve a sample/solution ratio resulting in 20–80% uptake of 4-MBC. The volume of the stock solution used for spiking was less than 0.1% (v/v) to minimize any potential interference with the sorption behavior of the organic compound.
For the adsorption kinetics, 10 mg of biochar was measured into a glass vial, and 40 mL of the background solution, spiked with the methanol stock solution of the organic compound, was added. The initial concentration of 4-MBC in the background solution was approximately 600 μg/L. The kinetics experiment involved shaking the samples at 180 rpm for varying time periods, ranging from 30 min to 96 h.
To determine the initial concentration of 4-MBC for each kinetic point, control samples without any sorbent were prepared and treated identically to account for any losses of the investigated compounds other than adsorption. This control procedure is crucial for accurately assessing the true adsorption capacity of biochar. The adsorption isotherms were conducted in triplicate at room temperature (20 ± 2 °C). In these experiments, pre-measured amounts of adsorbent were placed in glass vials, and the background solution was added. After agitation, the methanol stock solution of organic compounds was spiked, and the mixture was equilibrated at room temperature. The suspension was then continuously shaken at 180 rpm for 48 h, the equilibrium time determined from the previous kinetics experiment. The concentration range of 4-MBC tested was 20–2000 μg/L. Control samples without any sorbent were also prepared and treated in the same manner to determine the initial concentration of the investigated organic compounds for each isotherm point. The recoveries were within the acceptable range of the applied analytical procedures, indicating no significant losses other than adsorption.

2.2.2. 4-MBC Adsorption on Microplastics

The investigation focused on the kinetics and isotherms of adsorption in a synthetic water matrix containing three salts: CaCl2, NaHCO3, and MgSO4·7H2O. This synthetic water matrix was designed to closely simulate the inorganic content found in natural aquatic environments. The characteristics of the synthetic water matrix are provided in Table 1.
The investigated adsorbents, weighing 20 mg, were added to the synthetic matrix. Methanol (J.T. Baker, for organic residue analysis) was utilized to prepare a stock solution of 4-MBC at a concentration of 1000 μg/mL, ensuring the purity and consistency of the organic compound. In the experiments, the initial concentration of 4-MBC was set at 100 µg/L. The vials were sealed and placed on a digital shaker (IKA® Orbital shaker KS 501 Digital) at a speed of 150 rpm. Each experiment was replicated three times, ensuring reliability in the data.
Specified time intervals (2, 4, 6, 12, 24, 48, 72, and 96 h) were used to collect samples, which were then filtered through a 0.45 μm membrane filter. Subsequently, the samples were prepared for gas chromatographic analysis. To evaluate the adsorption kinetics, three models were employed: pseudo-first-order, pseudo-second-order, and Weber–Morris models, allowing for a comprehensive understanding of the adsorption mechanism.
The range of 4-MBC concentrations for the adsorption isotherm experiments was 0–100 µg/L (1, 25, 50, 75, 100 µg/L). The equilibrium concentrations of 4-MBC in the aqueous phase were quantified by collecting samples after 48 h of continuous agitation. The adsorption isotherm data were fitted using the Freundlich and Langmuir adsorption models, as described by Li et al. [43], providing insights into the adsorption capacity and nature of the interactions involved.

2.3. Chemical Analysis and Chromatographic Conditions

3-(4-Methylbenzylidene) camphor was purchased as certified reference material (TraceCERT®, CAS No. 36861-47-9, Sigma Aldrich). 4-MBC was extracted from water using liquid–liquid extraction with hexane prior to the chromatographic analysis by gas chromatography with mass spectrometry (Agilent Technologies 7890A Gas chromatograph/5975C Mass spectrometer (GS-MS), Santa Clara, CA, USA), with a DB-5MS capillary column ((30 m × 25 μm × 0.25 µm) J&W Scientific, Santa Clara, CA, USA)). The analysis was performed in SIM/SCAN mode. The quantitation ion (m/z) for 4-MBC was 254, with confirmation ions (m/z): 171 and 128.

2.4. Analytical Procedure, Quality Assurance, and Quality Control

To determine the selected 4-MBC in water, gas chromatography with mass spectrometry (Agilent Technologies, 7890A GC System/5975C VL MSD) was employed after liquid–liquid extraction using hexane. Blank and control experiments were carried out in conjunction with the sorption experiments. Blank tests were performed under the same conditions as the previous description, without the presence of 4-MBC, and no target compounds were identified. The aim of control tests was to determine the loss of 4-MBC caused by volatilization and sorption to glass bottle walls. These tests were conducted in a 50 mL water matrix without solid particles, with 4-MBC concentrations matching those in the samples. The range of MDLs for the analytical methods applied was 50 ng/L [44]. The correlation coefficient of the calibration curve for 4-MBC exceeded 0.99. Corrections were made to all reported 4-MBC concentrations using recovery efficiency and internal standards.

2.5. Data Analysis

The attained results were modeled using five adsorption models: Freundlich, Langmuir, Redlich–Petersen (R-P), Dubinin–Radushkevich (D-R), and Temkin (Table 2). The reason for selecting multiple models to compare is to ensure that the adsorption process is accurately described based on the properties of the adsorbent and the adsorbate.

3. Results and Discussion

3.1. Characterization of Sorbents

The results of the biochars characterization, including BET specific surface area (SSA), elemental composition, and surface morphology, are presented in Table 3 and Figure 1. The BET SSA of the investigated biochars varied between 61 and 111 m2/g, indicating differences in their surface areas and porosity. A higher SSA means a greater capacity for interaction between the biochar and contaminants. In Table 3, biochar derived from corn biomass has the highest SSA at 111 m2/g, indicating a highly porous structure with more surface available for adsorption. This high surface area is advantageous in adsorbing a greater volume of molecules, enhancing its performance in applications like capturing organic pollutants. In contrast, the lower SSA of biochar from hemp (63 m2/g) and straw (61 m2/g) suggests that these biochars have fewer adsorption sites, making them less effective in processes where large-scale molecular interaction is required. The differences in SSA can be attributed to the distinct microstructures formed during the pyrolysis of each biomass, which can alter pore development.
Porosity, which measures the internal void space within a material, is broken down into micropores (less than 2 nanometers in diameter) and mesopores (2 to 50 nanometers in diameter). These pore sizes play a critical role in determining the biochar’s ability to adsorb molecules of varying sizes. Corn biochar has a micropore volume of 0.003 cm3/g and a mesopore volume of 0.014 cm3/g, indicating it has more small and medium-sized pores that contribute to its overall adsorption capacity. Micropores are highly efficient at adsorbing gases and small molecules due to their large surface area relative to volume, while mesopores are critical for adsorbing larger molecules, such as organic contaminants or dyes. The slightly larger pore radius of the straw biochar (28.5 Å) suggests that it might be more suited for adsorbing larger molecules, albeit with less total surface area. The total pore volume of biochar, which reflects the combined volume of micropores and mesopores, further influences its adsorption capacity. Corn biochar, with a pore volume of 0.028 cm3/g, can trap a higher quantity of adsorbates compared to hemp and straw biochar, which have lower pore volumes (0.024 and 0.022 cm3/g, respectively). Thus, the high specific surface area and porosity of corn biochar make it a more effective adsorbent, especially in applications involving both small and large contaminants, whereas hemp and straw biochars may be better suited for specific, less demanding environments.
Regarding the elemental composition, both biochars predominantly comprised carbon, ranging from 67% to 71%. This suggests that carbon is the major constituent of these biochars. However, the content of hydrogen, nitrogen, and sulphur was comparatively lower, indicating their minor presence in the biochars.
Zhang et al. [47] noted that increasing the pyrolysis temperature led to an increase in both the specific surface area (SSA) and the volume of micropores in the biochar they studied. Similarly, Ogura et al. [48] and other researchers have shown that the pyrolysis temperature has a significant impact on biochar characteristics and its ability to adsorb organic pollutants.
Biochars produced at higher temperatures (up to 700 °C) exhibit high microporous volumes, aromaticity, surface oxygen-containing functional groups, and SSA, which enhance their effectiveness as adsorbents for removing various organic pollutants.
Additionally, the surface morphology observed in Figure 1 provides visual insights into the structure of the biochars, complementing the quantitative data obtained from the BET analysis and elemental composition measurements. This comprehensive characterization offers valuable information about the physicochemical properties of the biochars, which can influence their potential applications in various environmental remediation and agricultural practices.
SEM images of biochars from corn, hemp, and straw showed the loss of fibrous structure (Figure 1) with an increase in the reaction temperature, resulting in the formation of a surface that is full of defects. As expected, the highest SSA was observed for biochar originating from corn (Figure 1A) because of the formation of bigger particles compared to the surface of biochars of hemp and straw (Figure 1B,C) with more fibrous surfaces.
SEM provides detailed images of the physical structure, including surface morphology, pore structure, and any signs of agglomeration. For example, biochars derived from corn, hemp, and straw likely show varying levels of surface roughness under SEM. Rough surfaces with clear pore structures suggest higher available surface areas for adsorption, while smoother surfaces indicate less adsorption capacity. Additionally, if SEM reveals heterogeneous pore sizes (varying large and small pores), it correlates to mixed microporous and mesoporous structures that BET will later quantify. If particles appear highly agglomerated in the SEM images, it implies a reduction in available surface area, as aggregation limits exposure of internal pores.
In the biochars, the reported BET surface areas (111 m2/g for corn, 63 m2/g for hemp, and 61 m2/g for straw) are relatively low. The pore size distribution (micropores between 0.003 and 0.001 cm3/g and mesopores around 0.014–0.011 cm3/g) further supports the hypothesis that limited pore volumes contribute to this reduction in surface area. Agglomeration observed in SEM can also lead to blocked pores, resulting in lower surface areas. Moreover, adsorption hysteresis may reflect pore blocking or ink-bottle effects, where pore geometry restricts nitrogen molecules from entering or exiting, thus reducing the calculated surface area.
For microplastic characterization, Fourier transform infrared spectroscopy (FTIR, Thermo-Nicolet Nexus 670 FTIR spectrometer, Thermo Fisher Scientific, Waltham, MA, USA) was used to characterize selected commercially available MPs and BP. The chemical structure of PEg, PET, PP, and PLA was confirmed by comparing the FTIR analysis results with the Hummel Polymer Sample Library. Furthermore, the Brunner–Emmett–Teller (BET) method was used to obtain the physicochemical properties of the studied MPs. More in-depth information on the physicochemical characterization of selected MPs is given in Lončarski et al. [19].

3.2. Adsorption Kinetics

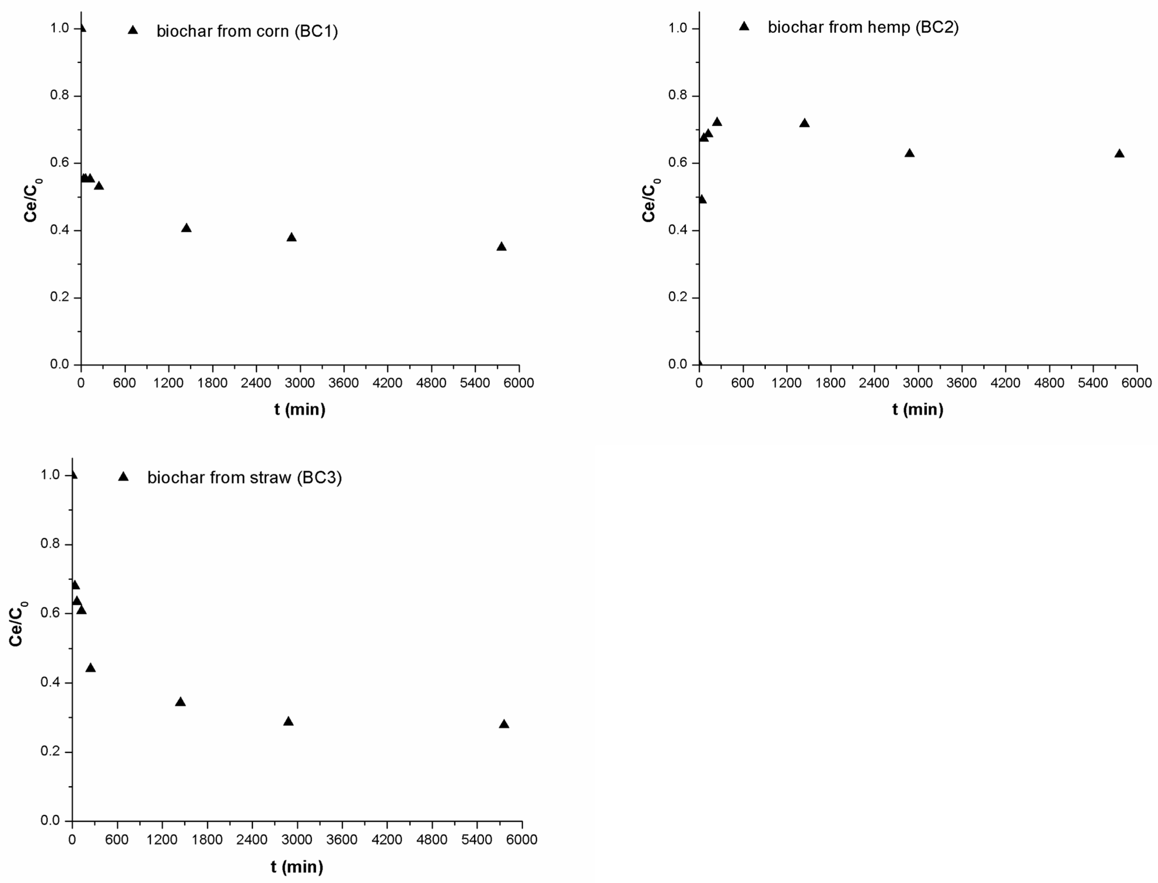
To understand how 4-MBC interacts with biochar from corn, hemp, and straw, it was necessary to study the adsorption kinetics and determine the time required to reach adsorption equilibrium. The kinetics of 4-MBC adsorption on biochar were monitored over 96 h to assess the adsorption capacity of the selected adsorbents. The results, depicted in Figure 2, show that the adsorption equilibrium of 4-MBC on all biochars (BC1, BC2, and BC3) was achieved after 48 h. Additionally, the efficiency of 4-MBC removal by the carbon adsorbents was calculated, showing no significant difference in removal efficiency among the adsorbents. The removal efficiency of 4-MBC ranged from 22% to 75% over time. These findings suggest that all three biochars have the potential as effective adsorbents for 4-MBC.
The adsorption kinetics of 4-MBC on various types of microplastics (MPs) were also investigated (Figure 3). Comparing biochar with microplastics in the context of adsorption reveals interesting contrasts. While biochar is predominantly an adsorbent with high surface area and functional group diversity, microplastics tend to act more as passive carriers of pollutants due to their hydrophobic surfaces and lower surface reactivity. A rapid adsorption was observed within the first 6 h for PEg, PP, and PLA, after which the adsorption rate plateaued until equilibrium was reached. In contrast, PET showed slower kinetics, with equilibrium achieved after 24 h. The adsorption affinities differed across MPs, with PET showing the highest affinity (qt = 11.5 μg/g), followed by PEg and PP (qt = 8.5 μg/g) [8,43,49]. PLA, a biodegradable microplastic, exhibited the lowest adsorption affinity (qt = 3.52 μg/g), likely due to the presence of oxygen-containing functional groups [50,51]. These groups, particularly carbonyl, facilitate hydrogen bonding with water molecules, leading to water cluster formation on the surface, which in turn reduces the availability of 4-MBC for adsorption. The results are consistent with the study conducted by Wang and Wang [52,53], which highlights the influence of MPs type on the adsorption rate of organic pollutants.
Kinetic modeling was applied to better understand the adsorption mechanisms. The data were analyzed using four kinetic models: pseudo-first-order (PFO), pseudo-second-order (PSO), Elovich, and Weber–Morris (W-M) (Figure 4, Table 2). Among the models, the PSO model showed the highest correlation coefficients (R2 = 0.831–0.968) for PEg, PET, and PP, indicating that chemisorption may dominate the adsorption process for these MPs. The Elovich model also provided a good fit, suggesting the occurrence of multilayer adsorption on PLA.
These findings indicate the occurrence of multilayer adsorption between a chosen UV filter and the PLA surface [54]. To investigate the contribution of intraparticle diffusion to the overall adsorption process of 4-MBC on PEg, PET, PP, and PLA, the W-M model was applied (Figure 4d). The plots of the W-M model indicate whether intraparticle diffusion is the rate-limiting factor in adsorption. The obtained results showed that the initial and rapid adsorption took place within a few hours, followed by a slower second step during the equilibrium stage [55].
In conclusion, while both biochar and MPs exhibit sorption potential for 4-MBC, biochar shows more consistent and efficient performance. PET, among the MPs, demonstrated the highest adsorption capacity, although the use of biodegradable MPs like PLA may offer environmental advantages due to lower pollutant retention. The study underscores the importance of understanding material-specific adsorption kinetics and mechanisms when selecting adsorbents for environmental remediation.
The nature of the adsorbate–adsorbent interaction is also relevant in kinetic modeling. As seen from the application of different kinetic models (PFO, PSO, Elovich, and W-M), the PSO model provided the best fit for most microplastics and biochar, indicating that chemisorption likely governs the adsorption process. Chemisorption implies that there are chemical bonds forming between 4-MBC and the surface of the adsorbent, rather than just physical adsorption (physisorption).
The two-stage adsorption observed (rapid initial phase followed by a slower diffusion-limited phase) suggests that while surface adsorption is fast, the diffusion of 4-MBC molecules into the internal pores of biochar or microplastics becomes the rate-limiting step. This emphasizes the importance of pore structure and accessibility in designing or selecting adsorbents for environmental applications.

3.3. Adsorption Isotherms

Isothermal adsorption models are fundamental tools in evaluating and optimizing adsorption processes between adsorbates and adsorbents. These models allow researchers to predict the behavior of the adsorption system under different conditions and provide insights into the adsorption capacity, affinity, and mechanisms. In this study, the Freundlich isotherm model was applied to describe the adsorption of 4-MBC on biochar derived from corn, hemp, and straw. As shown in Figure 5 and detailed in Table 4, the adsorption parameters obtained from the Freundlich model are essential for understanding how different biochars interact with 4-MBC, with a particular focus on their adsorption capacity and surface characteristics.
The high correlation coefficients (R2 > 0.9) across all biochars confirm the suitability of the Freundlich model in describing the adsorption of 4-MBC on these materials. The Freundlich exponent, N, provides insight into the nature of the adsorption process, with values deviating from unity (N ≠ 1) suggesting nonlinear behavior. In this case, the nonlinear adsorption indicated by N values reflects the complexity of the adsorption process, involving multiple mechanisms such as surface adsorption, pore filling, and interaction with the functional groups present on biochar surfaces. This nonlinearity points to the heterogeneity of the adsorption sites, which could be linked to variations in the biochar’s surface chemistry and morphology.
The observed higher adsorption coefficient (KF) for biochar derived from corn, compared to other feedstocks, is likely due to its higher specific surface area (SSA). A larger SSA provides more adsorption sites for 4-MBC, enhancing the adsorptive interaction between the adsorbent (biochar) and adsorbate (4-MBC). Numerous studies have established a positive correlation between SSA and adsorption capacity, particularly for biochars and activated carbons, as the increased surface area provides more available sites for physical and chemical interactions between organic pollutants and the adsorbent. This underscores the importance of optimizing biochar production parameters, such as pyrolysis temperature, to maximize SSA and improve adsorption efficiency in environmental applications, including wastewater treatment and pollution remediation [56,57,58,59].
In addition to the biochar experiments, the study also employed multiple isothermal adsorption models to better understand the adsorption of 4-MBC on MPs. The isotherms and adsorption parameters for the MPs (PEg, PP, PET, PLA) are summarized in Table 5. Figure 6 presents the fitted curves for the Freundlich and Langmuir models, which were used to characterize the adsorption behavior. The correlation coefficients for the Langmuir model ranged from 0.778 to 0.980, with the best fit for PEg, PP, and PET. This suggests that for these MPs, the adsorption of 4-MBC occurs at specific sites, following the Langmuir assumption of monolayer adsorption. The higher qmax values for PET (16.6 μg/g) compared to PEg (9.36 μg/g) reflect the influence of polymer properties, such as hydrophobicity and functional group availability, on adsorption capacity.
Interestingly, the Freundlich model provided a better fit for the adsorption of 4-MBC on the biodegradable plastic PLA, which exhibits a more heterogeneous surface due to the presence of functional groups capable of interacting with water molecules. This leads to the formation of water clusters, affecting the overall adsorption process and suggesting multilayer adsorption behavior. The n values for PLA (ranging between 0.15 and 0.50) confirm the nonlinearity of adsorption, indicative of heterogeneous binding sites on the surface of the sorbent.
The Dubinin–Radushkevich (D-R) model was also applied to gain further insight into the adsorption mechanisms of MPs. The calculated free adsorption energy values (Ea) for the interaction of 4-MBC with the selected MPs ranged from 0.3 to 63.2 kJ/mol. For PEg and PET, the low Ea values (0.3–0.4 kJ/mol) suggest that the adsorption is primarily driven by physisorption, involving hydrophobic interactions, π-π stacking, and van der Waals forces. Physisorption typically results in weaker, reversible adsorption, which may be advantageous or limiting depending on the intended application (e.g., in pollutant removal, weaker adsorption could lead to easier desorption and release back into the environment).
Conversely, the higher Ea values for PP and PLA (>8 kJ/mol) suggest a chemisorption mechanism characterized by stronger, often irreversible bonds, such as covalent bonding or ion exchange. This stronger interaction indicates that these MPs have a higher potential for the stable adsorption of 4-MBC, although the environmental persistence of microplastics raises concerns regarding their use as adsorbents.
In conclusion, the isothermal adsorption models applied in this study offer a comprehensive understanding of the mechanisms governing 4-MBC adsorption on both biochar and microplastics. Biochar shows promise as an efficient, sustainable adsorbent with adjustable properties, while microplastics, despite their adsorption potential, present environmental risks. The study highlights the need for tailored adsorbents based on the specific pollutant and environmental conditions, with biochar emerging as a more environmentally friendly and efficient option for organic pollutant removal [52,53,60,61,62,63].

3.4. Comparative Sorption Behavior of 4-MBC on Biochar and Microplastics

The sorption of 4-MBC, an organic UV filter, onto biochar and microplastics shows distinct differences due to the varying physical and chemical properties of these materials. Biochar, derived from agricultural biomass, and microplastics, both commercial and biodegradable types, have been extensively studied for their ability to remove contaminants from water.
In the case of biochar, the sorption of 4-MBC is well described by the Freundlich isotherm model. This model suggests that the sorption process on biochar is nonlinear and involves multiple mechanisms, such as surface adsorption, pore filling, and interactions with functional groups. The study revealed high correlation coefficients for all types of biochar, indicating that these materials have strong adsorption potential for 4-MBC. Biochar produced from different biomass sources, such as corn, hemp, and straw, exhibited variations in adsorption capacity, with those having a larger specific surface area (SSA) showing a higher efficiency in 4-MBC removal. The larger surface area of biochar allows for greater interaction between the adsorbent and the contaminant, enhancing the material’s ability to remove pollutants from water.
In contrast, the sorption of 4-MBC onto microplastics like polyethylene granules (PEg), polyethylene terephthalate (PET), polypropylene (PP), and polylactic acid (PLA) follows a slightly different pattern. For PEg, PET, and PP, the Langmuir isotherm model provided the best fit, indicating that adsorption occurs at specific sites on the microplastic surface, with no further adsorption once these sites are saturated. PET demonstrated the highest adsorption capacity among the microplastics studied, which could be due to its functional terephthalate groups that increase its affinity for 4-MBC. On the other hand, the biodegradable microplastic PLA had the lowest adsorption capacity, which is attributed to its oxygen-containing functional groups. These groups interact with water molecules, forming water clusters on the PLA surface, which in turn reduce the availability of sites for 4-MBC adsorption.
Overall, biochar and microplastics both show potential for 4-MBC removal from water, but their adsorption mechanisms differ significantly. Biochar’s high surface area and porous structure make it an efficient sorbent, while microplastics, particularly PET, also demonstrate notable adsorption capabilities, though the process is influenced more by the material’s functional groups and surface chemistry. Understanding these differences is crucial for optimizing their use in water treatment applications, where material selection can be tailored to the specific contaminant and environmental conditions.
In terms of practical application, biochar has several advantages over microplastics. Biochar is a renewable, biodegradable, and environmentally friendly material that can be produced from a wide variety of agricultural and organic waste. Its ability to adsorb a wide range of contaminants, including UV filters like 4-MBC, heavy metals, and organic pollutants, makes it a versatile material for environmental remediation. Additionally, biochar can be modified to enhance its adsorption capacity, for example, by introducing functional groups or increasing porosity through chemical treatments. In contrast, microplastics, while effective at adsorbing certain contaminants, pose significant environmental risks due to their persistence in the environment, the potential for fragmentation, and their role as vectors for pollutant transfer in aquatic and terrestrial ecosystems. Overall, these findings highlight the need for further comparative studies between biochar and microplastics, especially in terms of long-term adsorption performance, environmental sustainability, and potential risks. Given the growing concern over microplastic pollution, biochar offers a promising alternative for contaminant removal, with the added benefit of contributing to carbon sequestration and improving soil health when used in agricultural applications.

4. Conclusions

Microplastic pollution and biochar sorption activities have gained significant attention in recent years due to their environmental relevance. Microplastics, tiny plastic particles less than 5 mm in size, pose a threat to ecosystems by acting as carriers for POPs and heavy metals. The sorption capacity of microplastics for contaminants varies depending on polymer type, surface area, and environmental conditions such as pH and temperature. In contrast, biochar, a carbon-rich material derived from the pyrolysis of organic waste, has been extensively studied for its high sorption capacity for contaminants, including heavy metals, organic pollutants, and nutrients. Numerous studies have shown that biochar’s porous structure and functional groups enable it to adsorb pollutants more effectively than microplastics. Both biochar and microplastics demonstrated good adsorption behavior according to their respective models, indicating that both materials can remove 4-MBC from water. Since biochar fits the Freundlich model, it suggests that biochar can handle a wide range of pollutant concentrations and continue to adsorb 4-MBC even at higher levels. This makes it a versatile and effective option for long-term water treatment. On the other hand, microplastics fit the Langmuir model, they might be useful in removing 4-MBC from water up to a certain saturation point (until all adsorption sites are filled). This is beneficial when working with lower concentrations of pollutants or when you need a predictable and controlled adsorption process.
However, more lab research is necessary to fully examine the absorption of various organic molecules on both materials. For biochar, adsorption studies carried out in the presence of sacrificial electron donor agents may provide important new information about the surface charge and the function of electrostatic interactions in the adsorption process.
The presence of plastic waste in the environment impacts how organic pollutants are transported and their toxicity to both aquatic organisms and humans. As bioplastics gain more popularity in everyday use, their environmental release is also growing. Hence, understanding the interactions between different plastics and organic pollutants is highly significant. The results from this research indicate that the occurrence of microplastics and bioplastics in water ecosystems can have a notable influence on the transportation and fate of 4-MBC. The differences between the adsorption behavior of 4-MBC on MPs could occur in the natural water matrices, indicating the need for further investigation, particularly in terms of how the role of different fractions of natural organic matter impacts these interactions. The use of microplastics as sorption materials comes with significant concerns. They are not biodegradable, which means their long-term use may exacerbate plastic pollution. Additionally, they may release the sorbed contaminants under changing environmental conditions, potentially causing secondary pollution. Thus, while microplastics can act as sorbents, their environmental risks make this approach less sustainable compared to alternatives like biochar.

Author Contributions

Writing—original draft, Methodology, Investigation, J.B.; Conceptualization, Supervision, Writing—review & editing, M.K.I.; Data curation, Formal analysis, T.S.; Investigation, Visulazation, N.Đ.; Visualization, Writing—review & editing, J.M.J.; Validation, Writing—review & editing, S.M.; Original draft writing, Research, Project administration, Funding acquisition, M.V. All authors have read and agreed to the published version of the manuscript.

Funding

This research was funded by the Provincial Secretariat for Higher Education and Scientific Research (Project No. 142-451-3519/2023-01/2).

Institutional Review Board Statement

Not applicable.

Informed Consent Statement

Not applicable.

Data Availability Statement

The raw data supporting the conclusions of this article will be made available by the authors on request.

Acknowledgments

The authors acknowledge the financial support of the Provincial Secretariat for Higher Education and Scientific Research (Project No. 142-451-3519/2023-01/2). This article is based upon work from COST Action CA20101 Plastics monitoRIng detectiOn RemedIaTion recovery—PRIORITY, supported by COST (European Cooperation in Science and Technology, www.cost.eu, accessed on 2 October 2024).

Conflicts of Interest

The authors declare no conflict of interest.

References

  1. Ayawei, N.; Ebelegi, A.N.; Wankasi, D. Modelling and Interpretation of Adsorption Isotherms. J. Chem. 2017, 2017, 3039817. [Google Scholar] [CrossRef]
  2. Vasilachi, I.C.; Asiminicesei, D.M.; Fertu, D.I.; Gavrilescu, M. Occurrence and Fate of Emerging Pollutants in Water Environment and Options for Their Removal. Water 2021, 13, 181. [Google Scholar] [CrossRef]
  3. Parida, V.K.; Saidulu, D.; Majumder, A.; Srivastava, A.; Gupta, B.; Gupta, A.K. Emerging contaminants in wastewater: A critical review on occurrence, existing legislations, risk assessment, and sustainable treatment alternatives. J. Environ. Chem. Eng. 2021, 9, 105966. [Google Scholar] [CrossRef]
  4. Huang, Y.; Law, J.C.F.; Lam, T.K.; Leung, K.S.Y. Risks of organic UV filters: A review of environmental and human health concern studies. Sci. Total Environ. 2021, 755, 142486. [Google Scholar] [CrossRef]
  5. Campos, D.; Machado, A.L.; Cardoso, D.N.; Silva, A.R.R.; Silva, P.V.; Rodrigues, A.C.M.; Simão, F.C.P.; Loureiro, S.; Grabicová, K.; Nováková, P.; et al. Effects of the organic UV-filter, 3-(4-methylbenzylidene) camphor, on benthic invertebrates and ecosystem function in artificial streams. Environ. Pollut. 2020, 260, 13981. [Google Scholar] [CrossRef]
  6. Rohée, C.; Roe, R.; Fagervold, S.K.; Rodrigues, A.M.S.; Bourrain, M.; Stien, D.; Lebaron, P. Occurrence and environmental distribution of 5 UV filters during the summer season in different water bodies. Water Air Soil Pollut. 2019, 230, 172. [Google Scholar] [CrossRef]
  7. Stec, M.; Astel, A.M. Distribution of Nine Organic UV Filters along the Shore Next to the Harbor Canals in the Middle Pomeranian Region (Northern Poland). Water 2023, 15, 2403. [Google Scholar] [CrossRef]
  8. Torres, F.G.; Dioses-Salinas, D.C.; Pizarro-Ortega, C.I.; De-la-Torre, G.E. Sorption of chemical contaminants on degradable and non-degradable microplastics: Recent progress and research trends. Sci. Total Environ. 2021, 757, 143875. [Google Scholar] [CrossRef]
  9. De-la-Torre, G.E.; Dioses-Salinas, D.C.; Pizarro-Ortega, C.I.; Santillán, L. New plastic formations in the Anthropocene. Sci. Total Environ. 2021, 754, 142216. [Google Scholar] [CrossRef]
  10. Thompson, R.C.; Olson, Y.; Mitchell, R.P.; Davis, A.; Rowland, S.J.; John, A.W.G.; McGonigle, D.; Russell, A.E. Lost at Sea: Where Is All the Plastic? Science 2004, 304, 838. [Google Scholar] [CrossRef]
  11. De-la-Torre, G.E.; Dioses-Salinas, D.C.; Castro, J.M.; Antay, R.; Fernández, N.Y.; Espinoza-Morriberón, D.; Saldaña-Serrano, M. Abundance and distribution of microplastics on sandy beaches of Lima, Peru. Mar. Pollut. Bull. 2020, 151, 110877. [Google Scholar] [CrossRef]
  12. Dioses-Salinas, D.C.; Pizarro-Ortega, C.I.; De-la-Torre, G.E. A methodological approach of the current literature on microplastic contamination in terrestrial environments: Current knowledge and baseline considerations. Sci. Total Environ. 2020, 730, 139164. [Google Scholar] [CrossRef]
  13. Mao, R.; Hu, Y.; Zhang, S.; Wu, R.; Guo, X. Microplastics in the surface water of Wuliangsuhai Lake, northern China. Sci. Total Environ. 2020, 723, 137820. [Google Scholar] [CrossRef]
  14. Brennecke, D.; Duarte, B.; Paiva, F.; Caçador, I.; Canning-Clode, J. Microplastics as vector for heavy metal contamination from the marine environment. Estuar. Coast. Shelf Sci. 2016, 178, 189–195. [Google Scholar] [CrossRef]
  15. Jiang, H.; Hu, H. Sustainable synergistic adsorption of tetracycline in water by biochar and microplastics: Exploration of the mechanism of DFT. J. Water Process. Eng. 2024, 66, 105998. [Google Scholar] [CrossRef]
  16. Liu, F.; Liu, G.; Zhu, Z.; Wang, S.; Zhao, F. Interactions between microplastics and phthalate esters as affected by microplastics characteristics and solution chemistry. Chemosphere 2019, 214, 688–694. [Google Scholar] [CrossRef]
  17. Mei, W.; Chen, G.; Bao, J.; Song, M.; Li, Y.; Luo, C. Interactions between microplastics and organic compounds in aquatic environments: A mini review. Sci. Total Environ. 2020, 736, 139472. [Google Scholar] [CrossRef]
  18. Tubić, A.; Lončarski, M.; Apostolović, T.; Kragulj Isakovski, M.; Tričković, J.; Molnar Jazić, J.; Agbaba, J. Adsorption mechanisms of chlorobenzenes and trifluralin on primary polyethylene microplastics in the aquatic environment. Environ. Sci. Pollut. Res. 2021, 28, 59416–59429. [Google Scholar] [CrossRef]
  19. Lončarski, M.; Gvoić, V.; Prica, M.; Cvetićanin, L.; Agbaba, J.; Tubić, A. Sorption behavior of polycyclic aromatic hydrocarbons on biodegradable polylactic acid and various nondegradable microplastics: Model fitting and mechanism analysis. Sci. Total Environ. 2021, 785, 147289. [Google Scholar] [CrossRef]
  20. Andrady, A.L. Microplastics in the marine environment. Mar. Pollut. Bull. 2011, 62, 1596–1605. [Google Scholar] [CrossRef]
  21. Quintaneiro, C.; Teixeira, B.; Benedé, J.L.; Chisvert, A.; Soares, A.M.V.M.; Monteiro, M.S. Toxicity effects of the organic UV-filter 4-Methylbenzylidene camphor in zebrafish embryos. Chemosphere 2019, 218, 273–281. [Google Scholar] [CrossRef]
  22. Santonocito, M.; Salerno, B.; Trombini, C.; Tonini, F.; Pintado-Herrera, M.G.; Martínez-Rodríguez, G.; Blasco, J.; Lara-Martín, P.A.; Hampel, M. Stress under the sun: Effects of exposure to low concentrations of UV-filter 4- methylbenzylidene camphor (4-MBC) in a marine bivalve filter feeder, the Manila clam Ruditapes philippinarum. Aquat. Toxicol. 2020, 221, 105418. [Google Scholar] [CrossRef]
  23. Díaz-Cruz, M.S.; Llorca, M.; Barceló, D.; Barceló, D. Organic UV filters and their photodegradates, metabolites and desinfection by-products in the aquatic environment. TrAC Trends Anal. Chem. 2018, 27, 873–887. [Google Scholar] [CrossRef]
  24. Fung, K.C.L.; Dornelles, H.S.; Varesche, M.B.A.; Gutierrez, T. From Wastewater Treatment Plants to the Oceans: A Review on Synthetic Chemical Surfactants (SCSs) and Perspectives on Marine-Safe Biosurfactants. Sustainability 2023, 15, 11436. [Google Scholar] [CrossRef]
  25. Barquilha, C.E.R.; Braga, M.C.B. Adsorption of organic and inorganic pollutants onto biochars: Challenges, operating conditions, and mechanisms. Bioresour. Technol. Rep. 2021, 15, 100728. [Google Scholar] [CrossRef]
  26. Dai, Y.; Zhang, N.; Xing, C.; Cui, Q.; Sun, Q. The adsorption, regeneration and engineering applications of biochar for removal organic pollutants: A review. Chemosphere 2019, 223, 12–27. [Google Scholar] [CrossRef]
  27. Santos, A.J.M.; Miranda, M.S.; da Silva, J.C.E. The degradation products of UV filters in aqueous and chlorinated aqueous solutions. Water Res. 2012, 46, 3167–3176. [Google Scholar] [CrossRef]
  28. Lai, W.W.P.; Chen, K.L.; Lin, A.Y.C. Solar photodegradation of the UV filter 4-methylbenzylidene camphor in the presence of free chlorine. Sci. Total Environ. 2020, 722, 137860. [Google Scholar] [CrossRef]
  29. Cadena-Aizaga, M.I.; Montesdeoca-Esponda, S.; Torres-Padrón, M.E.; Sosa-Ferrera, Z.; Santana-Rodríguez, J.J. Organic UV filters in marine environments: An update of analytical methodologies, occurrence and distribution. Trends Environ. Anal. Chem. 2020, 25, e00079. [Google Scholar] [CrossRef]
  30. Daugherty, M.; Conte, M.; Weber, J.C. Adsorption of Organic Pollutants to Microplastics: The Effects of Dissolved Organic Matter. Master’s Thesis, Northwest University, Kirkland, WA, USA, 2016. [Google Scholar]
  31. Koul, B.; Bhat, N.; Abubakar, M.; Mishra, M.; Arukha, A.P.; Yadav, D. Application of Natural Coagulants in Water Treatment: A Sustainable Alternative to Chemicals. Water 2022, 14, 3751. [Google Scholar] [CrossRef]
  32. Gao, Z.; Zhang, Y.; Song, N.; Li, X. Biomass-derived renewable carbon materials for electrochemical energy storage. Mater. Res. Lett. 2017, 5, 69–88. [Google Scholar] [CrossRef]
  33. United Nations Environment Programme. Converting Waste Agricultural Biomass into a Resource-Compendium of Technologies. 2009. Available online: https://wedocs.unep.org/20.500.11822/7614 (accessed on 7 March 2023).
  34. Woolf, D.; Amonette, J.; Street-Perrott, F.; Lehmann, J.; Joseph, S. Sustainable biochar to mitigate global climate change. Nat. Commun. 2010, 1, 56. [Google Scholar] [CrossRef]
  35. Amalina, F.; Razak, A.S.A.; Krishnan, S.; Sulaiman, H.; Zularisam, A.W.; Nasrullah, M. Biochar production techniques utilizing biomass waste-derived materials and environmental applications—A review. J. Hazard. Mater. Adv. 2022, 7, 100134. [Google Scholar] [CrossRef]
  36. Pahnila, M.; Koskela, A.; Sulasalmi, P.; Fabritius, T. A Review of Pyrolysis Technologies and the Effect of Process Parameters on Biocarbon Properties. Energies 2023, 16, 6936. [Google Scholar] [CrossRef]
  37. Gebre, S.L.; Ludwig, F. Hydrological Response to Climate Change of the Upper Blue Nile River Basin: Based on IPCC Fifth Assessment Report (AR5). J. Clim. Weather Forecast. 2015, 3, 121. [Google Scholar] [CrossRef]
  38. Salma, A.; Fryda, L.; Djelal, H. Biochar: A Key Player in Carbon Credits and Climate Mitigation. Resources 2024, 13, 31. [Google Scholar] [CrossRef]
  39. Králik, M. Adsorption, chemisorption, and catalysis. Chem. Pap. 2014, 68, 1625–1638. [Google Scholar] [CrossRef]
  40. Jha, S.; Gaur, R.; Shahabuddin, S.; Tyagi, I. Biochar as Sustainable Alternative and Green Adsorbent for the Remediation of Noxious Pollutants: A Comprehensive Review. Toxics 2023, 11, 117. [Google Scholar] [CrossRef]
  41. Srivatsav, P.; Bhargav, B.S.; Shanmugasundaram, V.; Arun, J.; Gopinath, K.P.; Bhatnagar, A. Biochar as an Eco-Friendly and Economical Adsorbent for the Removal of Colorants (Dyes) from Aqueous Environment: A Review. Water 2020, 12, 3561. [Google Scholar] [CrossRef]
  42. Tubić, A.; Lončarski, M.; Maletić, S.; Jazić, J.M.; Watson, M.; Tričković, J.; Agbaba, J. Significance of chlorinated phenols adsorption on plastics and bioplastics during water treatment. Water 2019, 11, 2358. [Google Scholar] [CrossRef]
  43. Li, J.; Zhang, K.; Zhang, H. Adsorption of antibiotics on microplastics. Environ. Pollut. 2018, 237, 460–467. [Google Scholar] [CrossRef]
  44. Simetić, T.; Nikić, J.; Kuč, M.; Tamindžija, D.; Tubić, A.; Agbaba, J.; Jazić, J.M. New Insight into the Degradation of Sunscreen Agents in Water Treatment Using UV-Driven Advanced Oxidation Processes. Processes 2024, 12, 1156. [Google Scholar] [CrossRef]
  45. Worch, E. Adsorption Technology in Water Treatment—Fundamentals, Processes and Modeling; Walter de Gruyer GmbH: Berlin, Germany, 2012. [Google Scholar] [CrossRef]
  46. Foo, K.Y.; Hameed, B.H. Insights into Modeling of Adsorption Isotherm Systems. Chem. Eng. J. 2010, 156, 2–10. [Google Scholar] [CrossRef]
  47. Zhang, P.; Duan, W.; Peng, H.; Pan, B.; Xing, B. Functional Biochar and Its Balanced Design. ACS Environ. Au 2021, 2, 115–127. [Google Scholar] [CrossRef]
  48. Ogura, A.P.; Lima, J.Z.; Marques, J.P.; Sousa, L.M.; Rodrigues, V.G.S.; Espíndola, E.L.G. A review of pesticides sorption in biochar from maize, rice, and wheat residues: Current status and challenges for soil application. J. Environ. Manag. 2021, 300, 113753. [Google Scholar] [CrossRef] [PubMed]
  49. Fotopoulou, K.N.; Karapanagioti, H.K. Surface properties of beached plastic pellets. Mar. Environ. Res. 2021, 81, 70–77. [Google Scholar] [CrossRef]
  50. Endo, S.; Droge, S.T.J.; Goss, K.U. Polyparameter Linear Free Energy Models for Polyacrylate. Anal. Chem. 2021, 83, 1394–1400. [Google Scholar] [CrossRef]
  51. Wang, F.; Zhang, M.; Sha, W.; Wang, Y.; Hao, H.; Dou, Y.; Li, Y. Sorption behavior and mechanisms of organic contaminants to nano and microplastics. Molecules 2020, 25, 1827. [Google Scholar] [CrossRef]
  52. Wang, W.; Wang, J. Comparative evaluation of sorption kinetics and isotherms of pyrene onto microplastics. Chemosphere 2018, 193, 567–573. [Google Scholar] [CrossRef]
  53. Wang, W.; Wang, J. Different partition of polycyclic aromatic hydrocarbon on environmental particulates in freshwater: Microplastics in comparison to natural sediment. Ecotoxicol. Environ. Saf. 2018, 147, 648–655. [Google Scholar] [CrossRef]
  54. Soto, M.L.; Moure, A.; Domínguez, H.; Parajó, J.C. Recovery concentration purification of phenolic compounds by adsorption: A review. J. Food Eng. 2011, 105, 1–27. [Google Scholar] [CrossRef]
  55. Cheung, W.H.; Szeto, Y.S.; Mckay, G. Intraparticle diffusion processes during acid dye adsorption onto chitosan. Bioresour. Technol. 2007, 98, 2897–2904. [Google Scholar] [CrossRef] [PubMed]
  56. Sen, U.; Esteves, B.; Aguiar, T.; Pereira, H. Removal of Antibiotics by Biochars: A Critical Review. Appl. Sci. 2023, 13, 11963. [Google Scholar] [CrossRef]
  57. Yu, L.; Liu, Y.; Jiang, Z.; Wang, Y.; Zhao, L.; Yan, X. Influence of biochar particle size on the adsorption of phenanthrene and Pb(II) in aqueous solution. Sci. Total Environ. 2020, 744, 140653. [Google Scholar] [CrossRef]
  58. Liu, Q.; Shen, G.; Liu, W.; Yang, Z.; Zheng, W.; Wang, Z.; Zhang, Y.; Zhang, Y.; Chen, Y.; He, C.; et al. Influence of feedstock and pyrolysis temperature on the physicochemical properties and sorption capacities of biochar for ciprofloxacin. Environ. Pollut. 2021, 269, 116157. [Google Scholar] [CrossRef]
  59. Zhao, Q.; Pan, F.; Han, X.; Hu, X.; Chen, T.; Zhang, X. Effects of pyrolysis temperature on characteristics and adsorption behavior of biochar derived from sewage sludge. J. Hazard. Mater. 2021, 402, 123464. [Google Scholar] [CrossRef]
  60. Chen, A.H.; Chen, S.M. Biosorption of azo dyes from aqueous solution by glutaraldehyde-crosslinked chitosans. J. Hazard. Mater. 2009, 172, 1111–1121. [Google Scholar] [CrossRef]
  61. Dada, A.; Olalekan, A.; Olatunya, A.; Dada, O. Langmuir, Freundlich, Temkin and Dubinin–Radushkevich Isotherms Studies of Equilibrium Sorption of Zn2+ Unto Phosphoric Acid Modified Rice Husk. IOSR J. Appl. Chem. 2012, 3, 38–45. [Google Scholar]
  62. Das, B.; Mondal, N.K.; Bhaumik, R.; Roy, P. Insight into adsorption equilibrium, kinetics and thermodynamics of lead onto alluvial soil. Int. J. Environ. Sci. Technol. 2014, 11, 1101–1114. [Google Scholar] [CrossRef]
  63. Gupta, S.; Kumar, A. Removal of nickel (II) from aqueous solution by biosorption on A. barbadensis Miller waste leaves powder. Appl. Water Sci. 2019, 9, 96. [Google Scholar] [CrossRef]
Figure 1. SEM micrographs of biochar from (A) corn, (B) hemp, and (C) straw.
Figure 1. SEM micrographs of biochar from (A) corn, (B) hemp, and (C) straw.
Applsci 14 09424 g001
Figure 2. Kinetics of 4-MBC adsorption on biochar from corn (BC1), hemp (BC2), and straw (BC3) (Ce denotes the equilibrium concentration, Co denotes the initial concentration).
Figure 2. Kinetics of 4-MBC adsorption on biochar from corn (BC1), hemp (BC2), and straw (BC3) (Ce denotes the equilibrium concentration, Co denotes the initial concentration).
Applsci 14 09424 g002
Figure 3. Adsorption kinetics of 4-MBC on PEg, PET, PP, and PLA.
Figure 3. Adsorption kinetics of 4-MBC on PEg, PET, PP, and PLA.
Applsci 14 09424 g003
Figure 4. Plots illustrating the adsorption kinetics of 4-MBC on PEg, PET, PP, and PLA particles in synthetic water matrix using different models: (a) pseudo-first-order model, (b) pseudo-second-order model, (c) Elovich, and (d) Weber–Morris model.
Figure 4. Plots illustrating the adsorption kinetics of 4-MBC on PEg, PET, PP, and PLA particles in synthetic water matrix using different models: (a) pseudo-first-order model, (b) pseudo-second-order model, (c) Elovich, and (d) Weber–Morris model.
Applsci 14 09424 g004
Figure 5. Adsorption isotherms of 4-MBC on biochar from (a) corn, (b) hemp, and (c) straw.
Figure 5. Adsorption isotherms of 4-MBC on biochar from (a) corn, (b) hemp, and (c) straw.
Applsci 14 09424 g005
Figure 6. Adsorption isotherms of 4-MBC on (a) PEg, (b) PET, (c) PP, and (d) PLA particles obtained for the synthetic matrix.
Figure 6. Adsorption isotherms of 4-MBC on (a) PEg, (b) PET, (c) PP, and (d) PLA particles obtained for the synthetic matrix.
Applsci 14 09424 g006
Table 1. Characteristics of synthetic water matrix.
Table 1. Characteristics of synthetic water matrix.
ParameterValue
pH7.23 ± 0.06
Electro conductivity 25 °C (µS/cm)226 ± 23
Dissolved organic carbon (mg/L)<0.5
Chloride concentration (mg/L)52.1 ± 3.59
Sulphate concentration (mg/L)21.2 ± 4.89
Hydrogen carbonate concentration (mg/L)134 ± 6
Table 2. Mathematical models used for modeling data obtained in adsorption experiments.
Table 2. Mathematical models used for modeling data obtained in adsorption experiments.
ModelEquationLinear FormReference
Freundlich q e = K F C e n F log q e = log K F + n F log C e Worch [45]
Langmuir q e = K L C L 1 + α L C e C e q e = α L K L C e + 1 K L Foo and Hameed [46]
Temkin q e = R T b T ln A T C e q e = R T b T ln A T + R T b T ln C e
Dubinin–Redushkevich q e = q s   e x p B ε 2 ln q e = ln q s B ε 2
Redlich–Petersen q e = K R C R 1 + α R C e β ln K R C e q e 1 = ln α R + β ln C e
Table 3. Characterization of investigated adsorbents originating from biomass of corn (BC1), biomass of hemp (BC2), and biomass of straw (BC3).
Table 3. Characterization of investigated adsorbents originating from biomass of corn (BC1), biomass of hemp (BC2), and biomass of straw (BC3).
AdsorbentsParameter
BET (m2g−1)Elemental Analysis
C (%)H (%)N (%)S (%)
BC111170.70.2101.121.39
BC26370.50.2541.121.21
BC36167.80.2811.052.21
Table 4. Parameters of Freundlich’s adsorption model for both investigated biochars.
Table 4. Parameters of Freundlich’s adsorption model for both investigated biochars.
AdsorbentsFreundlich Model
logKd
R2NKF
(µg/g)/(µg/L)n
0.01Sw0.1Sw0.5Sw
BC10.9060.4221226.1785.6005.196
BC20.9971.220.2920.1110.1850.265
BC30.9880.51331.35.4144.9274.587
Table 5. Values of the Freundlich, Langmuir, Redlich–Peterson, Dubinine–Radushkevich, and Temkin model parameters for the sorption of 4-MBC on PEg, PET, PP, and PLA.
Table 5. Values of the Freundlich, Langmuir, Redlich–Peterson, Dubinine–Radushkevich, and Temkin model parameters for the sorption of 4-MBC on PEg, PET, PP, and PLA.
MaterialFreundclih
Model
Langmuir
Model
Redlich–Petersen
Model
Dubinine–
Radushkevich
Model
Temkin
Model
KF
(µg/g)/(µg/L)n
nFR2KL
(L/µg)
qmax
(µg/g)
R2KR
(L/g)
βR2BEaR2bT
(J/mol)
AT
(L/g)
R2
PEg2.940.450.9560.429.360.9735.120.8530.9676.2830.40.9531306.85.260.958
PET9.320.500.8951.5416.60.96121.51.000.9103.440.30.953685.415.40.956
PP7.410.340.8802.4612.10.98028.81.000.9720.000343.20.9701014.027.60.969
PLA3.290.150.97712.54.300.778213.30.870.9821.2463.40.8964944.0928.90.982
Disclaimer/Publisher’s Note: The statements, opinions and data contained in all publications are solely those of the individual author(s) and contributor(s) and not of MDPI and/or the editor(s). MDPI and/or the editor(s) disclaim responsibility for any injury to people or property resulting from any ideas, methods, instructions or products referred to in the content.

Share and Cite

MDPI and ACS Style

Beljin, J.; Kragulj Isakovski, M.; Simetić, T.; Đukanović, N.; Molnar Jazić, J.; Maletić, S.; Vujić, M. Exploring the Adsorption Behavior of Organic UV Filter on Carbon-Based Materials as Potential Carriers of Organic Contaminants in the Aquatic Environment. Appl. Sci. 2024, 14, 9424. https://doi.org/10.3390/app14209424

AMA Style

Beljin J, Kragulj Isakovski M, Simetić T, Đukanović N, Molnar Jazić J, Maletić S, Vujić M. Exploring the Adsorption Behavior of Organic UV Filter on Carbon-Based Materials as Potential Carriers of Organic Contaminants in the Aquatic Environment. Applied Sciences. 2024; 14(20):9424. https://doi.org/10.3390/app14209424

Chicago/Turabian Style

Beljin, Jelena, Marijana Kragulj Isakovski, Tajana Simetić, Nina Đukanović, Jelena Molnar Jazić, Snežana Maletić, and Maja Vujić. 2024. "Exploring the Adsorption Behavior of Organic UV Filter on Carbon-Based Materials as Potential Carriers of Organic Contaminants in the Aquatic Environment" Applied Sciences 14, no. 20: 9424. https://doi.org/10.3390/app14209424

APA Style

Beljin, J., Kragulj Isakovski, M., Simetić, T., Đukanović, N., Molnar Jazić, J., Maletić, S., & Vujić, M. (2024). Exploring the Adsorption Behavior of Organic UV Filter on Carbon-Based Materials as Potential Carriers of Organic Contaminants in the Aquatic Environment. Applied Sciences, 14(20), 9424. https://doi.org/10.3390/app14209424

Note that from the first issue of 2016, this journal uses article numbers instead of page numbers. See further details here.

Article Metrics

Back to TopTop