Next Article in Journal
A Study on Enhancing the Visual Fidelity of Aviation Simulators Using WGAN-GP for Remote Sensing Image Color Correction
Previous Article in Journal
Turning Waste into Wealth: Optimization of Microwave/Ultrasound-Assisted Extraction for Maximum Recovery of Quercetin and Total Flavonoids from Red Onion (Allium cepa L.) Skin Waste
 
 
Font Type:
Arial Georgia Verdana
Font Size:
Aa Aa Aa
Line Spacing:
Column Width:
Background:
Article

Multi-Layer Perceptron and Radial Basis Function Networks in Predictive Modeling of Churn for Mobile Telecommunications Based on Usage Patterns

by
Małgorzata Przybyła-Kasperek
1,*,
Kwabena Frimpong Marfo
1 and
Piotr Sulikowski
2
1
Faculty of Science and Technology, University of Silesia in Katowice, 41-200 Katowice, Poland
2
Faculty of Computer Science and Information Technology, West Pomeranian University of Technology, 70-310 Szczecin, Poland
*
Author to whom correspondence should be addressed.
Appl. Sci. 2024, 14(20), 9226; https://doi.org/10.3390/app14209226
Submission received: 30 August 2024 / Revised: 5 October 2024 / Accepted: 9 October 2024 / Published: 11 October 2024

Abstract

Customer retention is a key priority for mobile telecommunications companies, as acquiring new customers is significantly more costly than retaining existing ones. A major challenge in this field is predicting customer churn—users discontinuing services. Traditional predictive models such as rule-based systems often struggle with the complex, non-linear nature of customer behavior. To address this, we propose the use of deep learning techniques, specifically multi-layer perceptron (MLP) and radial basis function (RBF) networks, to improve the accuracy of churn predictions. However, while neural networks excel in predictive performance, they are often criticized for being “black-box” models, lacking interpretability. A real-world data set is considered, which originally contained information about 15,000 randomly selected clients. Various network structures and configurations are analyzed. The obtained results are compared with results generated using fuzzy rule-based and rough-set rule-based systems. The MLP model achieved an almost perfect accuracy of 0.999 with an F-measure of 0.989 , outperforming traditional methods such as fuzzy rule-based and rough-set systems. Although the RBF model slightly lagged in accuracy, it demonstrated a superior recall of 0.993 , indicating better identification of potential churners. These results demonstrate that neural network models significantly enhance predictive performance in churn modeling. The interpretability of the model is also discussed since it bears significance in real applications. Our contribution lies in showing that deep learning methods significantly enhance churn prediction accuracy, though the challenge of model interpretability remains a critical area for future work.

1. Introduction

In today’s highly competitive mobile telecommunications industry, customer retention has become a critical business objective. As markets reach saturation, acquiring new customers becomes increasingly costly, making it imperative for companies to focus on retaining their existing customer bases. Churn prediction models play a pivotal role in this effort by identifying customers who are at risk of leaving, allowing businesses to intervene with targeted retention strategies. However, developing accurate churn prediction models is challenging due to the complexity and variability of customer behavior. The advent of machine learning, particularly neural networks, has opened new avenues for improving the accuracy of these predictions by capturing complex, non-linear patterns in customer data. This study explores the application of advanced neural network models, such as multi-layer perceptron (MLP) and radial basis function (RBF) networks, in predicting customer churn, comparing their performance against traditional methods like fuzzy logic and rough sets.
Customer churn prediction is a critical task for businesses across various industries, as retaining customers is often more cost-effective than acquiring new ones. The use of mobile telecommunications and smartphones is one of the key factors in digital transformation. In this paper, we delve into the realm of customer churn prediction and the automation of customer analysis, employing a deep learning approach to tackle this complex problem. Specifically, we explore the efficacy of MLP and RBF models in predicting churn using real-world data from a telecommunications company in Poland. Such an analysis is an important part of business/customer intelligence systems.
Our study focused on a data set comprising information on 15,000 randomly selected clients, encompassing diverse demographics and usage patterns. Through meticulous data preprocessing, the data set was prepped for analysis, ensuring its readiness for training and evaluation.
In the context of predictive modeling, particularly in the analysis of customer churn, the concepts of entropy and information theory offer powerful tools to measure the uncertainty and informativeness of features used in prediction models. Entropy, a fundamental measure in information theory introduced by Claude Shannon [1], quantifies the uncertainty in a data set. High entropy indicates a high degree of unpredictability or disorder, whereas low entropy suggests more predictability [2]. In this study, we analyze the entropy of various features within our telecommunications data set to understand which variables contribute most to the uncertainty in predicting customer churn. By calculating the entropy and correlation for different attributes, we identify which features provide the most informative signals that can reduce uncertainty in churn predictions [3,4]. For instance, attributes like customer tenure or service usage patterns may have lower entropy, indicating they are more reliable predictors of churn. Furthermore, information gain, which is derived from entropy, is utilized to evaluate the importance of each feature in churn prediction models. Information gain measures the reduction in entropy when a particular feature is used to split a data set, making it a crucial metric in selecting the most informative features for model training [5,6]. Features that result in a significant reduction in entropy are likely to improve the accuracy of our MLP and RBF models.
A comparative analysis approach was employed, comparing the performance of the proposed deep learning models against rule-based systems rooted in fuzzy sets and rough sets theory. This comprehensive evaluation enables us to discern the strengths and limitations of each approach, particularly in terms of predictive accuracy, precision, recall, and model interpretability.
Our findings underscore the superiority of neural networks, particularly MLP and RBF models, in accurately predicting customer churn. The F-measure values obtained from these models significantly outperform those generated via rule-based systems, affirming the efficacy of deep learning in this domain.
However, the interpretability of models holds paramount importance in practical applications. While neural networks excel in predictive accuracy, their black-box nature can pose challenges in understanding the rationale behind individual predictions. Acknowledging this, a discussion of balancing prediction quality with interpretability is carried out, aligning the model’s goals with a company’s overarching objectives.
This paper presents a substantial contribution through its comprehensive examination of customer churn prediction, leveraging deep learning techniques to enhance predictive accuracy while deliberating on the significance of model interpretability in real-world applications. Through our empirical findings and future directions, the aim is to contribute to the ongoing discourse on effective churn management strategies in the business landscape.
The paper is organized as follows. A literature review is presented in Section 2. In Section 3, the classification model we used is described. Section 4 addresses the data sets that were used, and it presents the conducted experiments and a discussion on the obtained results. Section 5 focuses on conclusions and future research plans.

2. Literature Review

The increasing competitiveness in the telecommunications sector has made customer retention a critical business objective. As markets approach saturation, acquiring new customers becomes significantly more expensive than retaining existing ones. Consequently, effective customer churn prediction has emerged as a vital strategy for businesses aiming to enhance customer loyalty and optimize operational costs. Recent advancements in machine learning, particularly deep learning techniques, offer promising avenues for improving the accuracy of churn prediction models by capturing complex, non-linear relationships within customer behavior data.
Churn prediction in the telecommunication industry is crucial for customer retention and cost-saving [7]. Recent advancements in churn prediction have increasingly focused on leveraging machine learning techniques to improve predictive accuracy and model efficiency [8,9]. Data mining techniques such as logistic regression have been widely used for churn prediction [10]. Researchers have applied tree-based algorithms, machine learning models, and boosting algorithms for accurate churn prediction [7]. Machine learning approaches such as logistic regression, naive Bayes, support vector machines, random forests, and decision trees are also commonly used [11]. Recommendations for future churn prediction improvement include but are not limited to leveraging social sciences data for modeling techniques [12]. Also, clustering algorithms have been used in the literature to analyze customer churn data [13,14,15]. However, these approaches often struggle to capture the complex, non-linear relationships inherent to customer behavior data [16,17]. To address these limitations, researchers have turned to more sophisticated models, including neural networks and ensemble learning methods. Neural networks, particularly MLP and RBF networks, have shown significant promise due to their ability to model intricate patterns and interactions within the data. Studies by Idris et al. [18] and Witten and Frank [19] have demonstrated that these models can outperform traditional techniques in various domains, including telecommunications, by providing more accurate and nuanced predictions of customer churn. Additionally, ensemble methods, which combine the strengths of multiple models, have also gained traction, offering a robust alternative that balances predictive performance with generalizability [20,21]. The ongoing research in this field continues to push the boundaries of what is possible in churn prediction, focusing not only on improving accuracy but also on enhancing model interpretability and operational efficiency [22,23].
Conversely, the current study conducted research on an authentic data set from a prominent Polish mobile telecommunications provider. Previously, the same data set was considered in the papers [24,25] where clustering techniques and models other than those considered in this paper, have been utilized for the examination of customer churn data. In this paper, we develop the analysis and compare the results with those of these studies.
The motivation behind this research stems from the urgent need for telecommunications companies to implement robust churn prediction systems that can accurately identify at-risk customers—we focus particularly on the Polish market. Traditional methods often struggle to account for the intricacies of customer behavior, leading to suboptimal retention strategies. By leveraging advanced machine learning techniques, businesses can develop more nuanced models that not only predict churn but also provide insights into the underlying factors influencing customer decisions.
Below, we present a cross-sectional comparison of selected papers with the proposal described in this paper. The papers selected for this comprehensive review were chosen based on the following criteria.
Firstly, with regard to relevance, it was imperative that the studies focused explicitly on the prediction of customer churn within the telecommunications industry or in sectors closely related to it, as this would provide the most applicable insights for the current study. Secondly, those papers that employed sophisticated and advanced machine learning techniques were considered. Additionally, recency played a critical role; only publications that were released within the last two years were included to ensure that the research reflects the most current trends and developments in the field. Moreover, the impact of each paper was also a significant criterion. Studies that had been published in reputable and high-impact journals with significant citation counts were chosen. A comparison of the papers [26,27,28,29,30] and their methods is shown in Table 1.
The studies reviewed demonstrate that advanced machine learning techniques significantly improve predictive accuracy compared to traditional methods. A crucial advancement in modeling complex, non-linear relationships inherent to customer behavior data is highlighted. A recurring theme across the studies is the critical role of meticulous data preprocessing in enhancing model performance. Liu et al. [29] emphasized handling missing data and encoding categorical variables effectively, which significantly influenced their model’s accuracy. This study emphasizes meticulous data preprocessing techniques, including attribute selection, handling missing data, and encoding categorical variables. These steps are crucial for enhancing model performance, but they are often inadequately addressed in previous works. This paper incorporates concepts from information theory, such as entropy and information gain, to assess the importance of features in predicting customer churn. This theoretical underpinning adds depth to analyses and offers a quantitative approach to feature selection that has not been widely applied in prior research.
Investigating real-world data sets, as in the present research and [27], adds practical relevance to findings. By analyzing data from actual telecommunications providers, these studies provide insights that are directly applicable to industry scenarios in Poland, thereby bridging the gap between theoretical research and practical implementation.
Han et al. [27] introduced an innovative approach by integrating social media sentiment analysis with traditional churn prediction models. This contribution addresses a significant gap in the existing literature by exploring how external factors can enhance predictive capabilities. However, in real-world scenarios, such data are not always available. He & Ding [28] highlighted the potential of hybrid models that combine multiple machine learning techniques to leverage their respective strengths. However, this introduces a lack of interpretability to the models. A common criticism of deep learning models is their ”black-box” nature, which complicates the understanding of how predictions are made. In this paper, we acknowledge this limitation by discussing the importance of model interpretability alongside predictive accuracy. By addressing how businesses can balance these aspects, this paper contributes to ongoing discussions about making advanced models more transparent and usable in practical applications.
While many studies have explored machine learning techniques for churn prediction, this paper stands out by providing a detailed comparative analysis between advanced neural network models (MLP and RBF) and traditional methods such as fuzzy logic and rough sets. This comprehensive evaluation not only highlights the strengths of neural networks in capturing complex, non-linear relationships but also provides insights into their limitations, particularly regarding interpretability. This dual focus on performance and interpretability is often underexplored in the existing literature.
The main contributions of the paper are as follows:
  • The paper provides a detailed comparative analysis of various churn prediction models, including traditional methods like fuzzy logic and rough sets, and advanced machine learning models such as MLP and RBF networks. This comparison highlights the strengths and weaknesses of each approach in the context of the telecommunications industry.
  • The research emphasizes the importance of meticulous data preprocessing, including attribute selection, the handling of missing data, and the encoding of categorical variables. These steps are shown to significantly improve the performance of the predictive models.
  • The paper utilizes real-world data from a Polish mobile telecommunications provider, ensuring that the findings are directly applicable to industry scenarios. This adds practical value to the research, making the results relevant for telecom companies looking to implement churn prediction systems.

3. Methodology

The principal aim of this research was to propose a neural network for the purpose of modeling churn in the realm of mobile telecommunications, with the ultimate goal of enhancing retention efforts targeted towards customers exhibiting a heightened likelihood of attrition. Our objective was to authenticate and demonstrate the application of multilayer-perceptron and radial-basis-function networks in establishing a churn modeling framework that generates high precision and accuracy.
The MLP network is considered the vanilla architecture of neural network architectures, and it is frequently used in works in the literature due to its versatility and effectiveness in pattern recognition, classification, and regression, among others.
At its core, the MLP network constitutes multiple layers of interconnected neurons, which are organized in a feed-forward manner. Each neuron processes information through a weighted sum of its inputs, after which the resulting value is passed through an activation function, which introduces non-linearity into the network’s computations. This non-linearity is critical, as it enables the network to learn complex relationships within the data, making it well-suited for modeling intricate patterns present in real-world data sets.
The architecture of an MLP typically consists of an input layer, one or more hidden layers, and an output layer. The input layer serves as the entry point for data, with each neuron serving as a placeholder for a value of a feature from the training data. The hidden layers encapsulate the network’s capacity to extract and represent abstract features from the input data. The number of hidden layers and neurons within each layer is adjustable, allowing for flexibility in modeling complex relationships. Finally, the output layer produces the network’s predictions or classifications based on the learned representations.
Figure 1 represents an MLP neural network with three layers: an input layer, a hidden layer, and an output layer. In the input layer, we have two input features, denoted as
x 1 ( i n ) , x 2 ( i n )
Of course, the number of neurons in the input layer depends on the types and number of features in the data set. The hidden layer (1st layer) contains four neurons, labeled as
a 1 ( h ) , a 2 ( h ) , a 3 ( h ) , a 4 ( h )
Each neuron in the hidden layer receives inputs from all the input nodes and computes a weighted sum, followed by a non-linear activation function. The number of hidden layer neurons is a parameter in the network structure that is changeable. Adapting the right number of neurons to the data is not a simple task, and it depends very much on the task and data set. In the output layer (2nd layer), we have three output neurons, which are labeled as
a 1 ( o u t ) , a 2 ( o u t ) , a 3 ( o u t )
Each neuron in the output layer receives inputs from all neurons in the hidden layer and produces the final predictions. The number of neurons in the final layer is determined by the data set, and it depends on the number of decision classes in the data set.
The dashed lines from the input nodes and hidden nodes represent connections weighted by parameters learned during training. Weight terms are the connections between layers. For instance, the connection from input node x 1 ( i n ) to hidden node a 1 ( h ) is associated with a weight, ω 11 . The terms b ( h ) represent the bias values added to each hidden neuron. The terms b ( o u t ) represent the bias values added to the output layer neurons. The outputs from the neurons in the output layer are denoted as
y 1 ^ ( o u t ) for the prediction from a 1 ( o u t ) ,
y 2 ^ ( o u t ) for the prediction from a 2 ( o u t ) ,
y 3 ^ ( o u t ) for the prediction from a 3 ( o u t ) ,
The arrows represent the flow of information through the network, from the inputs to the hidden layer and finally to the output layer, where predictions are made based on the learned weights and biases.
Training an MLP involves an iterative optimization of its weights and biases to minimize a predefined loss function, typically achieved through the back-propagation and gradient descent methods. During training, the network learns to adjust its parameters by comparing its predictions with the ground truth labels, thereby iteratively refining its ability to generalize to unseen data.
Despite their effectiveness, MLPs are not without limitations. They may suffer from over-fitting, especially when dealing with high-dimensional data sets or insufficient training samples. Additionally, interpreting the learned representations within the hidden layers can be challenging due to the network’s black-box nature.
Nonetheless, MLPs remain a cornerstone in the domain of deep learning, owing to their capacity to learn complex relationships within data and their applicability across diverse domains. In the context of predicting customer churn, MLPs offer a powerful tool for uncovering patterns and trends within customer data, enabling businesses to proactively identify and retain at-risk customers. Through the meticulous tuning of architecture and training parameters, MLPs stand poised to deliver accurate and actionable insights, driving informed decision-making in customer relationship management.
The RBF network is also a type of neural network characterized by its distinctive architecture and the use of radial basis functions for processing information. Unlike traditional feed-forward networks like the MLP, RBF networks exhibit a unique structure that enables them to excel in certain types of tasks, particularly in function approximation and pattern recognition.
At the heart of the RBF network lies a series of interconnected layers, including an input layer, a hidden layer, and an output layer. However, unlike MLPs, RBF networks possess a single hidden layer containing a set of neurons, each associated with a radial basis function. These radial basis functions, often Gaussian functions, serve as activation functions for the hidden layer neurons, transforming the input data into a higher-dimensional feature space.
The input layer of the RBF network comprises neurons equal to the number of features in the training data set. These inputs are then fed into the hidden layer, where the radial basis functions compute the similarity between the input data and a set of prototype vectors, also known as centroids. The activation of each hidden neuron corresponds to the proximity of the input data to these centroids, effectively mapping the input space into a nonlinear feature space.
Once the input data have been transformed by the radial basis functions, the resulting representations are passed to the output layer for further processing. In classification tasks, the output layer typically employs a linear combination of its inputs to produce class predictions, while in regression tasks, it outputs continuous values based on the learned representations.
Training an RBF network involves two main steps: the determination of the centroids and the adjustment of the weights connecting the hidden and output layers. The centroids are often initialized using clustering algorithms such as k-means, while the weights are optimized using techniques like least squares or gradient descent.
A key advantage of RBF networks lies in their ability to capture complex nonlinear relationships within data while maintaining a relatively simple and interpretable architecture. Additionally, RBF networks are less prone to over-fitting compared to MLPs, due to their radial-basis-function activation functions and the reduced number of parameters.
Figure 2 illustrates the structure of an RBF neural network with the key elements. The input layer, X, consists of 5 nodes, denoted as
x 1 , x 2 , x 3 , x 4 , x 5 .
These represent the input features to the network; as before, their number is strictly dependent on the data set. The hidden layer contains RBF neurons represented by
h 1 ( x ) , h 2 ( x ) , h 3 ( x ) .
Each hidden neuron computes the radial basis function, which involves a distance metric
| | X c i | | ,
where c 1 , c 2 , c 3 represent the centers of the radial functions. The output layer has two neurons denoted as
o 1 ( o u t ) , o 2 ( o u t ) .
These neurons take weighted inputs from all hidden neurons
h 1 ( x ) , h 2 ( x ) , h 3 ( x ) .
and also receive a bias b ( o u t ) shown with the dashed lines. The number of output layer neurons depends on the number of classes in the data set. In contrast, the number of neurons in the hidden layer is a variable parameter of the RBF network structure. The output neurons produce the final predicted outputs
y 1 ^ ( o u t ) y 2 ^ ( o u t ) ,
which are the network’s final predictions for two outputs. Input features, x 1 , x 2 , x 3 , x 4 , x 5 , are passed into the hidden layer, where radial basis functions compute distances from centers c 1 , c 2 , c 3 . These results are sent to the output layer, where weighted sums (with a bias) produce the network’s predictions.
In the context of predicting customer churn, RBF networks offer a powerful tool for uncovering intricate patterns within customer data and making accurate predictions. By leveraging the unique properties of radial basis functions, RBF networks can effectively model the underlying dynamics of customer behavior, enabling businesses to preemptively identify and mitigate churn risks. Through careful tuning and optimization, RBF networks are well suited to delivering actionable insights, driving enhanced customer relationship management and retention strategies.

4. Data Sets and Experimental Results

A real data set obtained from a prominent Polish mobile telecommunication provider was utilized for our examination. The data were collected with strict adherence to privacy laws and industry best practices. In order to respect contractual limitations, we cannot disclose the company’s identity. However, we can confirm that the initial raw data set comprised three tables detailing the usage patterns of 15,000 randomly selected clients over a year on a monthly basis from a specific date. Within this time frame, certain clients terminated their services. To identify patterns over a corresponding duration, the data set was constrained to clients who utilized the services for a minimum of three quarters within the period under analysis. The consolidated file, presented as a single table, includes the subsequent information: customers with a minimum service usage of 9 months (three quarters) and information on service utilization and expenses (subscription and invoice amounts). Within this context, the final month assessed is denoted with the number 0, the subsequent one with 1, and the initial one with 8. For clients who terminated their services, the last complete month prior to their resignation month was scrutinized. The data set contains entries with missing values in certain fields (e.g., date of birth, date CLIR, and date query), primarily due to data unavailability or the non-occurrence of these events for the individuals.
Attributes stored in the data refer to the following: gender, post code, district, suspension period, date of first SIM card activation, date of birth, date of last promotion, date of calling line identification restriction (date CLIR), date of the customer’s last request to cancel a contract (date query), number of days between a deactivation inquiry and the last promotion date, and information such as monthly and quarterly calculated invoice amounts, number of outgoing sms, mms and calls, plus call time. The target variable, called churn, is binary, and it contains information about whether or not the user has churned mobile services. Data pre-processing included the following steps:
  • Two attributes were removed: ”date query” and ”date CLIR”. The ”date query” attribute was removed due to its high correlation with the target variable, as it is the date of the customer’s query to stay with a mobile service. The ”date CLIR” attribute was removed due to lots of missing values.
  • Missing values in the other attributes were replaced with 0. Instead of dropping useful entries in these columns, we used this indicator. This gave the neural network extra information about which entries had no value in the columns.
  • For all categorical attributes, such as post code, gender, and district, a binary encoder was used. Binary encoding encodes data in fewer dimensions than one-hot encoding. Binary encoding first arbitrarily replaces the categories with ordinal numbers, after which the resulting numbers are converted into binary code.
  • Finally, all variables are standardized.
The meticulous data preparation steps undertaken in this study have laid a strong foundation for the development of robust churn prediction models. The decision to focus on customers with at least nine months of service usage ensures that the model targets a segment of the customer base that is sufficiently mature to exhibit churn behavior, making the predictions more relevant and actionable.
The removal of highly correlated and incomplete attributes, while seemingly trivial, plays a critical role in enhancing the model’s predictive power by eliminating noise and reducing over-fitting. Additionally, the strategy of replacing missing values with zeros, rather than excluding them, preserves the completeness of the data set, which is particularly important in machine learning applications where the quantity of data directly impacts the model’s learning capacity.
The use of binary encoding for categorical variables is another notable choice. By reducing the dimensionality of the input data, this approach not only streamlines the model training process but also minimizes the risk of introducing sparsity, which can lead to degraded model performance.
The evaluation of neural network models was performed using a 10-fold, stratified cross-validation. The following measures of classification quality evaluation were used: the classification accuracy measure ( a c c )—that is, a fraction of the total number of objects in the test set that are classified correctly; recall, which expresses the classifier’s ability to correctly recognize the given class; precision (Prec.), which expresses how often the classifier does not make a mistake when classifying an object to a given class; and the F-measure (F-m.), which is an aggregate measure that assesses whether the classifier is capable of keeping accuracies balanced.
F - measure = 2 · Precision · Recall Precision + Recall
MLP and RBF networks were used during the experiments. For the MLP network, the following parameters were checked:
  • One and two hidden layers with different numbers of neurons per layer. The following combinations were tested:
    One hidden layer with 30, 50, 70, and 100 neurons;
    Two hidden layers with (30, 10), (50, 30), (70, 50), and (100, 80) neurons in the first and second layers, respectively.
  • The following activation functions for the hidden layer were used:
    The rectified linear unit function,
    f ( x ) = max ( 0 , x ) ,
    The hyperbolic tan function,
    f ( x ) = t a n h ( x ) ,
    The logistic sigmoid function,
    f ( x ) = 1 1 + exp ( x ) .
  • The following optimizer was used:
    Stochastic gradient descent [31];
    The Adam optimizer proposed in [32].
  • Both optimizers were used with an initial learning rate that controlled the step-size in updating the weights equal to 0.001, 0.005, 0.009, and 0.01;
  • The following numbers of epochs were used: 500, 700, and 1000;
  • The neural network was trained using the back-propagation and stochastic gradient descent methods.
For the RBF network, the following parameters were checked:
  • This network always includes one hidden layer, but the number of neurons are parameterized by the number of neurons in the input layer. The following values were analyzed: { 0.5 , 1 , 1.5 , 2 , 2.5 , 3 , 3.5 , 4 , 4.5 } × the number of neurons in the input layer, which was equally the number of attributes after pre-processing. Exactly the following values were checked: 64, 127, 190, 254, 318, 381, 444, 508, and 572 neurons.
  • The number of training samples used in one iteration(batch size) was equal to 200.
  • The number of epochs—one full cycle through the training data set—was equal to 450.
Additional experiments were carried out using the recurrent neural network model (RNN). Due to time constraints, only the gated recurrent unit (GRU) model was used with the following parameters. The model has one hidden layer with a parameterized number of neurons. The values analyzed are as follows: { 3 , 3.5 } × the number of neurons in the input layer.
The code that was used defines a neural network using the Keras library in Python.
A comparison of experimental results was performed in terms of the following:
  • The quality of classification for the MLP network and the RBF network;
  • The quality of classification for neural networks and approaches from papers [24,25] that use fuzzy-based decision rules and rough-set decision rules.
The selection of hyper-parameters for the models experimented with in this paper (i.e., the activation function, learning rate, and optimizer) was based purely on empirical evidence. In an iterative way, different parameter values for the learning rate, activation function, and optimizer, as well as the neuron number in subsequent layers, were experimented with, and the parameter–value combination that provided the optimal results was used.
Also, the motivation for choosing the Gaussian kernel for the RBF neural networks was justified by its localized activation [33], smoothness [34], computational simplicity [35], and well-established property as a universal approximator [36].The Gaussian kernel’s ability to balance complexity and generalization makes it an optimal choice as the kernel for the RBF network.
It is important to note that neural networks are prone to over-fitting due to their complex structure, which usually captures very intricate patterns during training. For instance, since RBF networks rely heavily on localized responses, mainly due to the model’s sensitivity to input distances, it becomes susceptible to over-fitting. To overcome the issue of over-fitting, for all the models used in this paper (MLP, RBF, and RNN), batch normalization and dropout-layer techniques were employed. By normalizing the input to each subsequent layer (from the input layer), the possibility of the data distribution varying greatly was avoided, making the model learning more effective and the convergence rate faster. After batch normalization, a .25 dropout rate was applied to ensure the prevention of over-fitting by forcing the network to generalize well across multiple neurons. In all, while batch normalization facilitates smoother training, dropout introduces robustness and prevents the model from learning patterns that do not generalize well.
Table 2 and Table 3 present the average classification accuracy measure ( a c c ), recall, precision (Prec.), and F-measure (F-m.) obtained using the 10-fold cross validation method. In Table 2, for the MLP network, only the best result from all tested parameters values is shown in the table. This is the result obtained for the following values: one hidden layer with 50 neurons, the logistic activation function, the Adam optimizer, and an initial learning rate equal to 0.005. For RBF networks, the results are given for different numbers of neurons. The best result is in bold. Table 3 shows the results for the GRU model.
As can be seen in Table 2 the MLP model makes fewer false positive predictions, and the overall correctness of the model across all classes is higher than that of the RBF model. The accuracy for the MLP model is almost perfect and is at a very high level of 0.999. So, it can be implemented successfully in practice to predict which customers will stay with the company. On the other hand, the ability of the RBF model to correctly identify all positive instances is better. That also leads to the consequence in which the F-measure, which provides a single score that balances both precision and recall, is higher for the RBF model. So, in practice, this model can be used to predict which customers to pay more attention to and offer promotions to keep them using a mobile service. The GRU model (Table 3) performs much worse than the MLP and RBF models in terms of each measure.
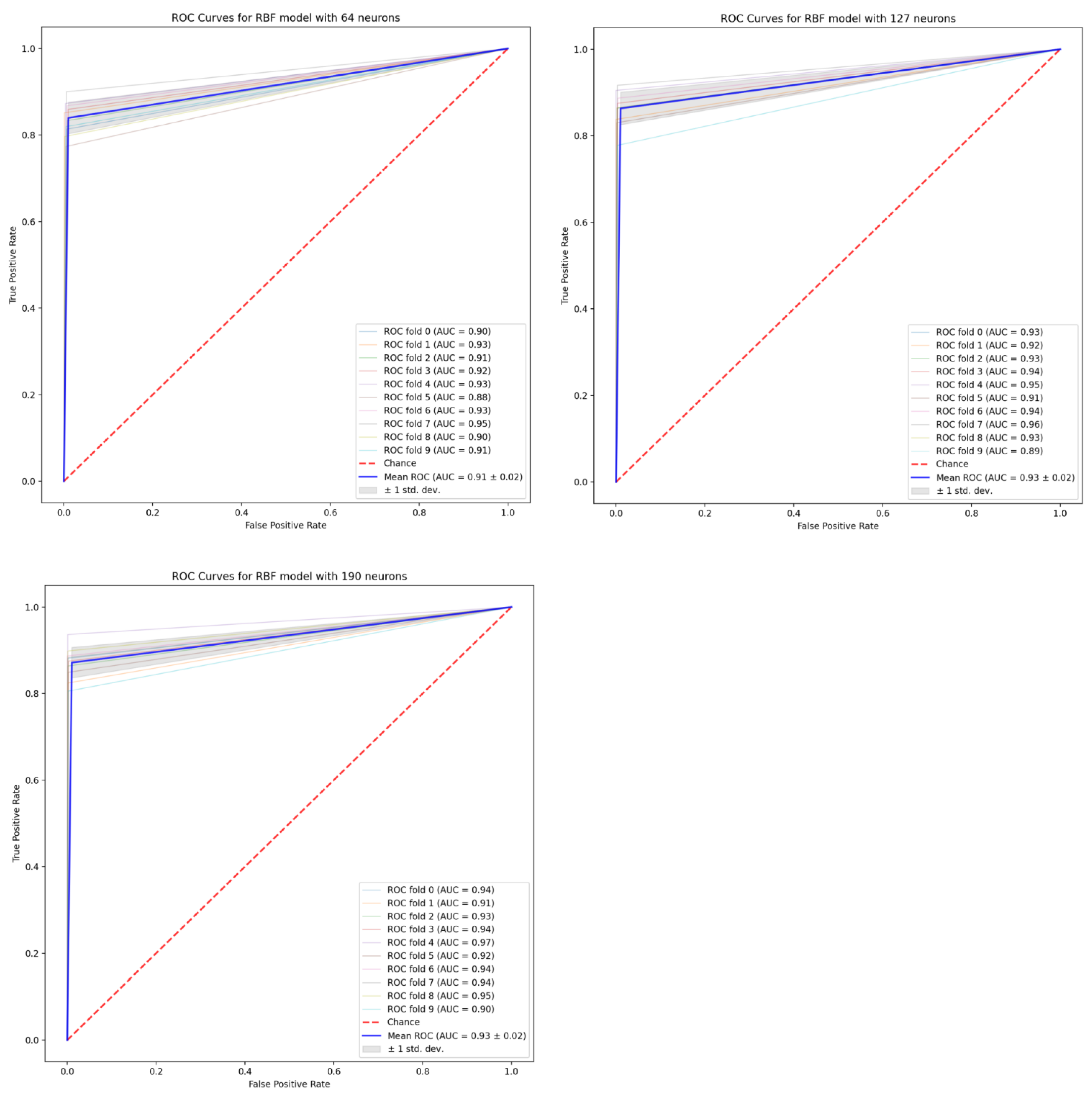
To measure how the models perform against imbalanced data sets (as is the case for the churn data used in this paper), ROC curves were generated for each model.
As can be seen in Figure 3, Figure 4, Figure 5 and Figure 6, the MLP model and the RBF models exhibit a very high value, indicating that these models can effectively distinguish between the positive and negative classes of the churn data set. In the case of the GRU model (Figure 7), however, the model is not as effective in predicting both positive and negative classes of the data set. As is known, neural networks are black boxes, and unfortunately, they do not provide clear and readable rules based on which a human could easily understand a model’s prediction. As can be seen, the predictive ability of the neural network model is high, but the interpretability of the model is entirely lacking. Comparing with the results obtained in papers [24,25], where fully interpretable models were used, which generated clear and readable decision rules, reveals that both aspects should be taken into account. Table 4 reports the results obtained for the same data set but with differently performed pre-processing (for details, see papers [24,25]). The table also shows the number of decision rules generated via the analyzed approaches. The table only omits the results for the rough set rule-based systems with a covering algorithm approach and discretization, as it has very low test-case coverage. The best result is in boldface.
As can be seen, models based on decision rules generated with fuzzy sets or rough sets (results shown in Table 4) have a classification accuracy a bit lower than the results generated via neural networks. However, the value of the F-measure is most interesting, as here, we can clearly see a much lower value, which shows that neural networks, especially the RBF network, have a much higher ability to recognize customers who intend to abandon the company’s mobile services. Of course, this type of prediction has a key impact in creating the company’s strategy. But, on the other hand, models based on decision rules are very interpretable by experts, while in neural networks, there is no information about which conditions are particularly important in the decision by customers to abandon a company. Thus, in fact, the final decision on which model should be chosen and applied in practice depends on the objectives of the company: whether the quality of the prediction itself is more important or clear rules based on which the prediction is made.
From a practical standpoint, companies aiming to implement similar churn prediction systems should prioritize comprehensive data pre-processing as a critical step. Ensuring that data are clean, well structured, and relevant will significantly improve the effectiveness of the predictive models deployed. Moreover, businesses should consider the trade-offs between model complexity and interpretability, particularly when working with neural networks, which may offer high accuracy at the expense of transparency.
In conclusion, the pre-processing techniques applied in this study not only contribute to the technical soundness of the predictive models but also provide a blueprint for practitioners looking to implement data-driven churn management strategies. By focusing on both data quality and appropriate modeling techniques, organizations can develop more reliable systems to proactively address customer churn, thereby improving customer retention and overall business performance.

5. Discussion and Future Plans

The results of our analysis highlight the effectiveness of neural network models, specifically MLP and RBF networks, in predicting customer churn in the mobile telecommunications sector. The superiority of these models, as evidenced by higher F-measure values, underscores their ability to accurately classify both churners and non-churners compared to traditional rule-based systems like fuzzy logic and rough sets.
The MLP models, with their multiple hidden layers, excel in capturing complex, non-linear relationships within the data. This ability is particularly crucial in telecommunications, where customer behavior is influenced by a myriad of factors, ranging from usage patterns to demographic details. The RBF networks, on the other hand, demonstrate their strength in function approximation and pattern recognition, providing a robust alternative to MLPs, especially in scenarios where the decision boundaries are not linear.
Despite the high predictive accuracy, it is important to address the interpretability of these models. In real-world applications, particularly in customer churn management, understanding the rationale behind each prediction is critical for actionable insights. The “black-box” nature of neural networks can be a limitation in this regard. However, this trade-off between accuracy and interpretability is often justified in high-stakes environments where the cost of churn is significant. Businesses must, therefore, balance these aspects by possibly integrating explainability tools or post hoc analysis methods to extract insights from neural network models.
Moreover, the data preprocessing steps, such as the removal of highly correlated features and the use of binary encoding for categorical variables, were instrumental in enhancing model performance. These steps ensured not only that the neural networks were trained on relevant features but also that the models could generalize well to unseen data, reducing the risk of over-fitting. The application of entropy in the context of neural networks can be extended to regularization techniques. For example, adding an entropy-based regularization term in the loss function could penalize models that rely too heavily on a small set of features, thus encouraging the network to learn from a more diverse set of attributes and potentially improving generalization.
In future work, further exploration of model interpretability could involve leveraging techniques like LIMEs (local interpretable model-agnostic explanations) or SHAP (Shapley additive explanations) to make the decision-making process of these neural networks more transparent. Additionally, exploring hybrid models that combine the strengths of MLPs and RBFs with more interpretable models could provide a balanced approach, offering both high accuracy and insightfulness. In terms of theoretical contributions, the integration of information theory into the analysis of deep learning models for churn prediction could provide new insights into model interpretability. By examining the entropy changes throughout the layers of the neural networks, one can gain a better understanding of how information is processed and transformed within the model. This aligns with the ongoing discussion about the trade-off between model complexity and interpretability in predictive analytics.
We recognize the opportunity to enhance our work by incorporating cutting-edge deep learning techniques. One potential direction is exploring more complex architectures, such as multi-layer GRUs or long short-term memory (LSTM) networks, which could capture temporal dependencies more effectively. Adding additional hidden layers might enable the model to learn deeper, more abstract patterns within the data.
Moreover, the integration of attention mechanisms within the RNN framework could allow the model to selectively focus on the most relevant sequence features, thereby improving its ability to predict churn. A hybrid approach that combines traditional models like MLP and RBF with advanced deep learning techniques such as GRUs or LSTMs may provide a comprehensive solution for addressing both linear and non-linear relationships within the data set.
We also see potential in adopting advanced data processing strategies, such as leveraging autoencoders for feature engineering or applying transfer learning from pre-trained models. These methods could enrich the input data and significantly boost model performance.
In conclusion, while the GRU model adds valuable insights, our results indicate that the MLP and RBF models outperform it on this specific data set. However, we fully recognize the potential of incorporating more innovative and state-of-the-art approaches, and we intend to explore these avenues in future work.

6. Conclusions

In this paper, we have presented experimental results on the problem of predicting customer churn as an important application for data science and machine learning. For this purpose, a real data set obtained from one of the prominent telecommunications companies in Poland was used. Data pre-processing was performed, and then, numerous neural networks were built and evaluated; in particular, the multi-layer perceptron network and radial-basis-function network were used. Various parameter values were analyzed, such as the number of hidden layers, the number of neurons in layers, and the number of epochs and activation functions. The obtained results were compared with rule-based systems created using fuzzy sets theory and rough sets theory. Neural networks have been shown to have a better ability to predict customers who will abandon a company. However, it is important to remember the need for models to be interpretable in real-world situations and always consider what goal is the most important to a company: the quality of prediction or the interpretability of prediction. In future studies, in order to improve the interpretability of the neural model, it is planned to use Shapley values to explain individual predictions and simplify neural networks.

Author Contributions

Conceptualization, M.P.-K., K.F.M. and P.S.; methodology, M.P.-K., K.F.M. and P.S.; software, K.F.M.; validation, M.P.-K., K.F.M. and P.S.; formal analysis, M.P.-K., K.F.M. and P.S.; investigation, M.P.-K. and K.F.M.; writing—original draft preparation, M.P.-K.; writing—review and editing, M.P.-K., K.F.M. and P.S.; visualization, M.P.-K. and K.F.M. All authors have read and agreed to the published version of the manuscript.

Funding

This research received no external funding.

Institutional Review Board Statement

Not applicable.

Informed Consent Statement

Not applicable.

Data Availability Statement

Restrictions apply to the availability of these data. Data was obtained from a Polish telecommunications company and are available from the author with the permission of the company.

Conflicts of Interest

The authors declare no conflicts of interest.

References

  1. Ali, A.; Anam, S.; Ahmed, M.M. Shannon entropy in artificial intelligence and its applications based on information theory. J. Appl. Emerg. Sci. 2023, 13, 9–17. [Google Scholar]
  2. Huo, Z.; Martínez-García, M.; Zhang, Y.; Yan, R.; Shu, L. Entropy measures in machine fault diagnosis: Insights and applications. IEEE Trans. Instrum. Meas. 2020, 69, 2607–2620. [Google Scholar] [CrossRef]
  3. Alizadeh, M.; Zadeh, D.S.; Moshiri, B.; Montazeri, A. Development of a customer churn model for banking industry based on hard and soft data fusion. IEEE Access 2023, 11, 29759–29768. [Google Scholar] [CrossRef]
  4. Subramanian, R.S.; Yamini, B.; Sudha, K.; Sivakumar, S. Ensemble-based deep learning techniques for customer churn prediction model. Kybernetes 2024, in press. [Google Scholar] [CrossRef]
  5. Ahsan, M.; Gomes, R.; Chowdhury, M.M.; Nygard, K.E. Enhancing machine learning prediction in cybersecurity using dynamic feature selector. J. Cybersecur. Priv. 2021, 1, 199–218. [Google Scholar] [CrossRef]
  6. Manikandan, G.; Abirami, S. An efficient feature selection framework based on information theory for high dimensional data. Appl. Soft Comput. 2021, 111, 107729. [Google Scholar] [CrossRef]
  7. Tianyuan, Z.; Moro, S. Research trends in customer churn prediction: A data mining approach. In Proceedings of the World Conference on Information Systems and Technologies, Terceira Island, Portugal, 30 March–2 April 2021; Springer International Publishing: Cham, Switzerland, 2021; pp. 227–237. [Google Scholar]
  8. Geiler, L.; Affeldt, S.; Nadif, M. A survey on machine learning methods for churn prediction. Int. J. Data Sci. Anal. 2022, 14, 217–242. [Google Scholar] [CrossRef]
  9. Sikri, A.; Jameel, R.; Idrees, S.M.; Kaur, H. Enhancing customer retention in telecom industry with machine learning driven churn prediction. Sci. Rep. 2024, 14, 13097. [Google Scholar] [CrossRef]
  10. Lalwani, P.; Mishra, M.K.; Chadha, J.S.; Sethi, P. Customer churn prediction system: A machine learning approach. Computing 2022, 104, 271–294. [Google Scholar] [CrossRef]
  11. Ullah, I.; Raza, B.; Malik, A.K.; Imran, M.; Islam, S.U.; Kim, S.W. A churn prediction model using random forest: Analysis of machine learning techniques for churn prediction and factor identification in telecom sector. IEEE Access 2019, 7, 60134–60149. [Google Scholar] [CrossRef]
  12. Xie, Y.; Li, X.; Ngai, E.W.T.; Ying, W. Customer churn prediction using improved balanced random forests. Expert Syst. Appl. 2009, 36, 5445–5449. [Google Scholar] [CrossRef]
  13. Khan, M.A.; Khan, M.A.I.; Aref, M.; Khan, S.F. Cluster & rough set theory based approach to find the reason for customer churn. Int. J. Appl. Bus. Econ. Res. 2016, 14, 439–455. [Google Scholar]
  14. Sulikowski, P.; Zdziebko, T. Churn factors identification from real-world data in the telecommunications industry: Case study. Procedia Comput. Sci. 2021, 192, 4800–4809. [Google Scholar] [CrossRef]
  15. Yuhang, Q.; Chen, P.; Lin, Z.; Yang, Y.; Zeng, L.; Fan, Y. Clustering Analysis for Silent Telecommunication Customers Based on k-means plus. In Proceedings of the 4th IEEE Information Technology, Networking, Electronic and Automation Control Conference (ITNEC), Chongqing, China, 12–14 June 2020; pp. 1023–1027. [Google Scholar]
  16. Matuszelański, K.; Kopczewska, K. Customer churn in retail e-commerce business: Spatial and machine learning approach. J. Theor. Appl. Electron. Commer. Res. 2022, 17, 165–198. [Google Scholar] [CrossRef]
  17. Smith, A. Consumer Behaviour and Analytics; Routledge: London, UK, 2019. [Google Scholar]
  18. Idris, A.; Khan, A.; Lee, Y.S. Intelligent churn prediction model using cluster based voting majority technique for telecom industry. Eng. Appl. Artif. Intell. 2018, 79, 50–59. [Google Scholar] [CrossRef]
  19. Witten, I.H.; Frank, E. Data Mining: Practical Machine Learning Tools and Techniques, 4th ed.; Morgan Kaufmann: Burlington, MA, USA, 2017. [Google Scholar]
  20. Dreyer, S.; Bliek, I.L.; Ozkan, B.; Hermsen, B.; Nusselder, A. Predicting customer churn for an insurance company by utilizing behavioural features. Master’s Thesis, Eindhoven University of Technology, Eindhoven, The Netherlands, 2023. [Google Scholar]
  21. Zhang, X.; Guo, F.; Chen, T.; Pan, L.; Beliakov, G.; Wu, J. A brief survey of machine learning and deep learning techniques for e-commerce research. J. Theor. Appl. Electron. Commer. Res. 2023, 18, 2188–2216. [Google Scholar] [CrossRef]
  22. Manzoor, A.; Qureshi, M.A.; Kidney, E.; Longo, L. A Review on Machine Learning Methods for Customer Churn Prediction and Recommendations for Business Practitioners. IEEE Access 2024, 12, 70434–70463. [Google Scholar] [CrossRef]
  23. Zdravevski, E.; Lameski, P.; Apanowicz, C.; Ślęzak, D. From Big Data to business analytics: The case study of churn prediction. Appl. Soft Comput. 2020, 90, 106164. [Google Scholar] [CrossRef]
  24. Przybyła-Kasperek, M.; Sulikowski, P. Rough Set Decision Rules for Usage-Based Churn Modeling in Mobile Telecommunication. In Proceedings of the 16th International Conference on Computational Collective Intelligence, Leipzig, Germany, 9–11 September 2024. [Google Scholar]
  25. Zdziebko, T.; Sulikowski, P.; Sałabun, W.; Przybyła-Kasperek, M.; Ba̧, K.I. Optimizing Customer Retention in the Telecom Industry: A Fuzzy-Based Churn Modeling with Usage Data. Electronics 2024, 13, 469. [Google Scholar] [CrossRef]
  26. Durkaya Kurtcan, B.; Ozcan, T. Predicting customer churn using grey wolf optimization-based support vector machine with principal component analysis. J. Forecast. 2023, 42, 1329–1340. [Google Scholar] [CrossRef]
  27. Han, Y.J.; Moon, J.; Woo, J. Prediction of Churning Game Users Based on Social Activity and Churn Graph Neural Networks. IEEE Access 2024, 12, 101971–101984. [Google Scholar] [CrossRef]
  28. He, C.; Ding, C.H. A novel classification algorithm for customer churn prediction based on hybrid Ensemble-Fusion model. Sci. Rep. 2024, 14, 20179. [Google Scholar] [CrossRef] [PubMed]
  29. Liu, Y.; Fan, J.; Zhang, J.; Yin, X.; Song, Z. Research on telecom customer churn prediction based on ensemble learning. J. Intell. Inf. Syst. 2023, 60, 759–775. [Google Scholar] [CrossRef]
  30. Saha, L.; Tripathy, H.K.; Gaber, T.; El-Gohary, H.; El-kenawy, E.S.M. Deep churn prediction method for telecommunication industry. Sustainability 2023, 15, 4543. [Google Scholar] [CrossRef]
  31. Zhang, S.; Zhang, C.; You, Z.; Zheng, R.; Xu, B. Asynchronous stochastic gradient descent for DNN training. In Proceedings of the 2013 IEEE International Conference on Acoustics, Speech and Signal Processing, Vancouver, BC, Canada, 26–31 May 2013; pp. 6660–6663. [Google Scholar]
  32. Kingma, D.P.; Ba, J.L. Adam: A Method for stochastic Optimization. In Proceedings of the International Conference on Learning Representations (ICLR), San Diego, CA, USA, 7–9 May 2015. [Google Scholar]
  33. Wu, Y.; Wang, H.; Zhang, B.; Du, K.L. Using radial basis function networks for function approximation and classification. Int. Sch. Res. Not. 2012, 2012, 324194. [Google Scholar] [CrossRef]
  34. Park, J.; Sandberg, I.W. Universal Approximation Using Radial-Basis-Function Networks. Neural Comput. 1991, 3, 246–257. [Google Scholar] [CrossRef]
  35. Girosi, F.; Poggio, T. Networks and the best approximation property. Biol. Cybern. 1990, 63, 169–176. [Google Scholar] [CrossRef]
  36. Bishop, C.M. Neural Networks for Pattern Recognition; Clarendon Press: Oxford, UK, 1995. [Google Scholar]
Figure 1. The MLP network architecture with 1 hidden layer.
Figure 1. The MLP network architecture with 1 hidden layer.
Applsci 14 09226 g001
Figure 2. The RBF network architecture.
Figure 2. The RBF network architecture.
Applsci 14 09226 g002
Figure 3. ROC curves for the MLP model.
Figure 3. ROC curves for the MLP model.
Applsci 14 09226 g003
Figure 4. ROC curves for the RBF models with 64, 127, and 190 neurons in a hidden layer.
Figure 4. ROC curves for the RBF models with 64, 127, and 190 neurons in a hidden layer.
Applsci 14 09226 g004
Figure 5. ROC curves for the RBF models with 254, 318, and 381 neurons in a hidden layer.
Figure 5. ROC curves for the RBF models with 254, 318, and 381 neurons in a hidden layer.
Applsci 14 09226 g005
Figure 6. ROC curves for the RBF models with 444, 508, and 572 neurons in the hidden layer.
Figure 6. ROC curves for the RBF models with 444, 508, and 572 neurons in the hidden layer.
Applsci 14 09226 g006
Figure 7. ROC curves for the GRU model with 381 and 444 neurons in the hidden layer.
Figure 7. ROC curves for the GRU model with 381 and 444 neurons in the hidden layer.
Applsci 14 09226 g007
Table 1. Comparative analysis of methods from literature.
Table 1. Comparative analysis of methods from literature.
PaperMethodsDataAdvantagesLimitations
This paperMLP, RBF15,000 clientsHigh accuracy, captures complex patternsBlack-box interpretability issues
Liu et al. (2023) [29]Ensemble methods900,000 recordsImproved accuracy, robust against over-fittingIncreased computational complexity
Saha et al. (2023) [30]CNNsBenchmarkHigh accuracyHigh resource requirements, not tested in real-case
Durkaya Kurtcan & Ozcan (2023) [26]SVM, PCABenchmarkHigh accuracy with fewer parametersSVM struggles with large data sets
He & Ding (2024) [28]Random forest, gradient boostingCompany dataHigh accuracy and robustnessComplexity in training
Han et al. (2024) [27]Graph convolution network (GCN) and graph theory100,000 game usersUsing social activity data and advanced graph convolution networksLimits the precision of predicting specific churn timelines
Table 2. Results of Prec., recall, F-m., and a c c obtained for the multi-layer perceptrons and radial-basis-function network. The best result is in bold.
Table 2. Results of Prec., recall, F-m., and a c c obtained for the multi-layer perceptrons and radial-basis-function network. The best result is in bold.
MethodPrec.RecallF-m. acc
MLP network0.9970.9820.9890.999
RBF network with 64 neurons0.9810.9810.9810.981
RBF network with 127 neurons0.9860.9860.9860.986
RBF network with 190 neurons0.9900.9910.9900.991
RBF network with 254 neurons0.9920.9920.9920.992
RBF network with 318 neurons0.9920.9930.9920.993
RBF network with 381 neurons0.9930.9930.9930.993
RBF network with 444 neurons0.9930.9930.9930.993
RBF network with 508 neurons0.9920.9920.9920.992
RBF network with 572 neurons0.9910.9910.9900.991
Table 3. Results of Prec., recall, F-m., and a c c obtained for the GRU neural network. The best result is in bold.
Table 3. Results of Prec., recall, F-m., and a c c obtained for the GRU neural network. The best result is in bold.
MethodPrec.RecallF-m. acc
GRU network with 381 neurons0.9400.9460.9420.946
GRU network with 444 neurons0.9420.9460.9440.946
Table 4. Results of F-m. and a c c obtained for the fuzzy-based systems (FBSs) [25] and the rough set rule-based systems (RSSs) [24]. Designations: No. rule—the number of rules generated, Len Avg—the average length of rule premises. The best result is in bold.
Table 4. Results of F-m. and a c c obtained for the fuzzy-based systems (FBSs) [25] and the rough set rule-based systems (RSSs) [24]. Designations: No. rule—the number of rules generated, Len Avg—the average length of rule premises. The best result is in bold.
MethodF-m. acc No. RuleLen Avg
FBS Mamdani model0.7060.983158-
FBS Sugeno model0.9800.98058
RSS Exhaustive algorithm0.7470.982190211.2
RSS Genetic algorithm0.7610.983189171.2
RSS Covering algorithm0.7110.982144851
RSS LEM2 algorithm0.9440.99715994.5
RSS Exhaustive algorithm with discretization0.8870.99320342.9
RSS Genetic algorithm with discretization0.8910.99320632.9
RSS LEM2 algorithm with discretization0.9330.9972565.5
Disclaimer/Publisher’s Note: The statements, opinions and data contained in all publications are solely those of the individual author(s) and contributor(s) and not of MDPI and/or the editor(s). MDPI and/or the editor(s) disclaim responsibility for any injury to people or property resulting from any ideas, methods, instructions or products referred to in the content.

Share and Cite

MDPI and ACS Style

Przybyła-Kasperek, M.; Marfo, K.F.; Sulikowski, P. Multi-Layer Perceptron and Radial Basis Function Networks in Predictive Modeling of Churn for Mobile Telecommunications Based on Usage Patterns. Appl. Sci. 2024, 14, 9226. https://doi.org/10.3390/app14209226

AMA Style

Przybyła-Kasperek M, Marfo KF, Sulikowski P. Multi-Layer Perceptron and Radial Basis Function Networks in Predictive Modeling of Churn for Mobile Telecommunications Based on Usage Patterns. Applied Sciences. 2024; 14(20):9226. https://doi.org/10.3390/app14209226

Chicago/Turabian Style

Przybyła-Kasperek, Małgorzata, Kwabena Frimpong Marfo, and Piotr Sulikowski. 2024. "Multi-Layer Perceptron and Radial Basis Function Networks in Predictive Modeling of Churn for Mobile Telecommunications Based on Usage Patterns" Applied Sciences 14, no. 20: 9226. https://doi.org/10.3390/app14209226

APA Style

Przybyła-Kasperek, M., Marfo, K. F., & Sulikowski, P. (2024). Multi-Layer Perceptron and Radial Basis Function Networks in Predictive Modeling of Churn for Mobile Telecommunications Based on Usage Patterns. Applied Sciences, 14(20), 9226. https://doi.org/10.3390/app14209226

Note that from the first issue of 2016, this journal uses article numbers instead of page numbers. See further details here.

Article Metrics

Back to TopTop