A Numerical Simulation Method for Investigating the Fluid–Structure–Ice Coupling Mechanism of a Wedge Breaking through Ice into Water
Abstract
1. Introduction
2. Analysis Method for Wedge–Ice–Water–Air Coupled Collision
2.1. The Introduction of Arbitrary Lagrangian–Eulerian (ALE) Algorithm
2.2. Governing Equations
2.3. Penalized Function Coupling Approach
3. The Numerical Model of Wedge–Ice–Water–Air Coupled Collision
3.1. Description of Problem
3.2. Material Model and Equation of State
4. Validation of Numerical Methods
4.1. Validation of the Simulation of the Ice Constitutive Model
4.2. Verification of the Wedge Breaking into Water
5. Wedges Vertically Breaking through Ice into Water
5.1. Verification of Mesh Convergence
5.2. Simulation Setting
5.3. Forms of Ice Damage
6. Factors Affecting the Result of the Wedge Breaking through Ice into Water
6.1. Wedges with Different Icebreaking Speeds
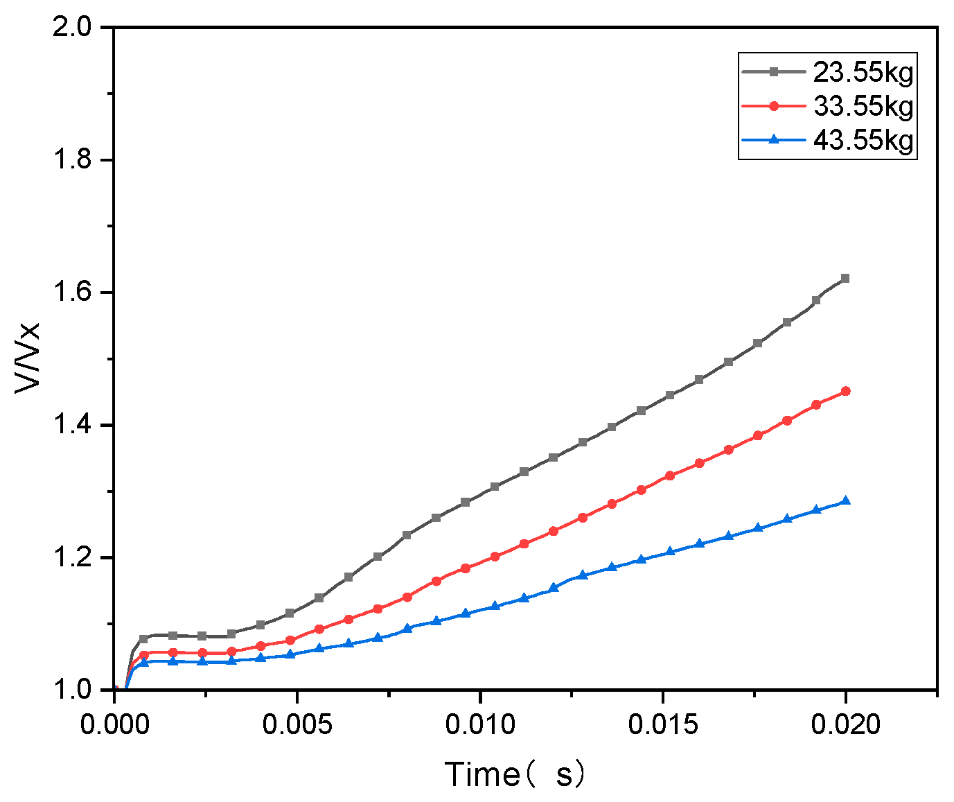
6.2. Different Wedge Masses
6.3. Different Ice Thicknesses
6.4. Different Objects Breaking through Ice into Water
7. Conclusions
- Numerical simulations of wedge ingress are carried out to simulate pool ingress tests. The feasibility of the ALE method for simulating structural ingress is verified by comparing acceleration data.
 - Numerical simulations of a rigid plate impacting spherical ice are carried out. The feasibility of the numerical simulation method in structure–ice collisions is verified by comparison with P–A theoretical curves.
 - The simulation shows that the destruction rate of ice is slower in the presence of water than in the absence of water, thus demonstrating that water can delay the destruction of ice.
 - When the wedge mass is 23.55 kg and the impact velocity is increased from 10 to 30 m/s, greater impact velocities (e.g., 30 m/s) cause more pronounced ice destruction and greater damage acceleration.
 - When the water entry speed is 10 m/s and the mass is 43.55 kg, the peak of acceleration is 1520 m/s2. It can be seen that the larger the mass of the wedge, the smaller the collision acceleration, though the effect on ice destruction is minimal.
 - When the impact velocity is 10 m/s, the mass is 33.55 kg, and the ice thickness is 3 cm, the peak acceleration reaches 3202.06 m/s2. The acceleration of the wedge increases as the ice thickness increases.
 
Author Contributions
Funding
Institutional Review Board Statement
Informed Consent Statement
Data Availability Statement
Conflicts of Interest
References
- Patil, A.; Sand, B.; Fransson, L.; Bonath, V.; Cwirzen, A. Simulation of Brash Ice Behavior in the Gulf of Bothnia Using Smoothed Particle Hydrodynamics Formulation. J. Cold Reg. Eng. 2021, 35, 04021003. [Google Scholar] [CrossRef]
 - Zhang, N.; Zheng, X.; Ma, Q.; Hu, Z. A Numerical Study on Ice Failure Process and Ice-Ship Interactions by Smoothed Particle Hydrodynamics. Int. J. Nav. Archit. Ocean Eng. 2019, 11, 796–808. [Google Scholar] [CrossRef]
 - Liu, Y.; Qiao, Y.; Li, T. A Correct Smoothed Particle Method to Model Structure-Ice Interaction. CMES—Comput. Model. Eng. Sci. 2019, 120, 177–201. [Google Scholar] [CrossRef]
 - Liu, M.; Wang, Q.; Lu, W. Peridynamic Simulation of Brittle-Ice Crushed by a Vertical Structure. Int. J. Nav. Archit. Ocean Eng. 2017, 9, 209–218. [Google Scholar] [CrossRef]
 - Erceg, S.; Erceg, B.; von Bock und Polach, F.; Ehlers, S. A Simulation Approach for Local Ice Loads on Ship Structures in Level Ice. Mar. Struct. 2022, 81, 103117. [Google Scholar] [CrossRef]
 - Ren, H.; Zhao, X. Numerical Simulation for Ice Breaking and Water Entry of Sphere. Ocean Eng. 2022, 243, 110198. [Google Scholar] [CrossRef]
 - Wu, X.; Li, Y.; Cai, W.; Guo, K.; Zhu, L. Dynamic Responses and Energy Absorption of Sandwich Panel with Aluminium Honeycomb Core under Ice Wedge Impact. Int. J. Impact Eng. 2022, 162, 104137. [Google Scholar] [CrossRef]
 - Bateman, S.P.; Orzech, M.D.; Calantoni, J. Simulating the Mechanics of Sea Ice Using the Discrete Element Method. Mech. Res. Commun. 2019, 99, 73–78. [Google Scholar] [CrossRef]
 - Jang, H.K.; Kim, M.H. Kulluk-Shaped Arctic Floating Platform Interacting with Drifting Level Ice by Discrete Element Method. Ocean Eng. 2021, 236, 109479. [Google Scholar] [CrossRef]
 - Jang, H.K.; Kim, M.H. Dynamics of Moored Arctic Spar Interacting with Drifting Level Ice Using Discrete Element Method. Ocean Syst. Eng. 2021, 11, 313–330. [Google Scholar] [CrossRef]
 - Ji, S.; Wang, S. A Coupled Discrete-Finite Element Method for the Ice-Induced Vibrations of a Conical Jacket Platform with a GPU-Based Parallel Algorithm. Int. J. Comput. Methods 2020, 17, 1850147. [Google Scholar] [CrossRef]
 - van den Berg, M.; Lubbad, R.; Løset, S. Repeatability of Ice-Tank Tests with Broken Ice. Mar. Struct. 2020, 74, 102827. [Google Scholar] [CrossRef]
 - Zhu, H.; Ji, S. Discrete Element Simulations of Ice Load and Mooring Force on Moored Structure in Level Ice. CMES—Comput. Model. Eng. Sci. 2022, 132, 5–21. [Google Scholar] [CrossRef]
 - Long, X.; Liu, S.; Ji, S. Discrete Element Modelling of Relationship between Ice Breaking Length and Ice Load on Conical Structure. Ocean Eng. 2020, 201, 107152. [Google Scholar] [CrossRef]
 - Long, X.; Liu, S.; Ji, S. Breaking Characteristics of Ice Cover and Dynamic Ice Load on Upward–Downward Conical Structure Based on DEM Simulations. Comput. Part. Mech. 2021, 8, 297–313. [Google Scholar] [CrossRef]
 - Jeong, S.Y.; Choi, K.; Kim, H.S. Investigation of Ship Resistance Characteristics under Pack Ice Conditions. Ocean Eng. 2021, 219, 108264. [Google Scholar] [CrossRef]
 - Liu, L.; Ji, S. Comparison of Sphere-Based and Dilated-Polyhedron-Based Discrete Element Methods for the Analysis of Ship–Ice Interactions in Level Ice. Ocean Eng. 2022, 244, 110364. [Google Scholar] [CrossRef]
 - Jou, O.; Celigueta, M.A.; Latorre, S.; Arrufat, F.; Oñate, E. A Bonded Discrete Element Method for Modeling Ship–Ice Interactions in Broken and Unbroken Sea Ice Fields. Comput. Part. Mech. 2019, 6, 739–765. [Google Scholar] [CrossRef]
 - van den Berg, M.; Lubbad, R.; Løset, S. The Effect of Ice Floe Shape on the Load Experienced by Vertical-Sided Structures Interacting with a Broken Ice Field. Mar. Struct. 2019, 65, 229–248. [Google Scholar] [CrossRef]
 - Huang, L.; Tuhkuri, J.; Igrec, B.; Li, M.; Stagonas, D.; Toffoli, A.; Cardiff, P.; Thomas, G. Ship resistance when operating in floating ice floes: A combined CFD&DEM approach. Mar. Struct. 2020, 74, 102817. [Google Scholar] [CrossRef]
 - He, K.; Ni, B.; Xu, X.; Wei, H.; Xue, Y. Numerical Simulation on the Breakup of an Ice Sheet Induced by Regular Incident Waves. Appl. Ocean Res. 2022, 120, 103024. [Google Scholar] [CrossRef]
 - Tang, X.; Zou, M.; Zou, Z.; Li, Z.; Zou, L. A Parametric Study on the Ice Resistance of a Ship Sailing in Pack Ice Based on CFD-DEM Method. Ocean Eng. 2022, 265, 112563. [Google Scholar] [CrossRef]
 - Jeon, S.; Kim, Y. Numerical Simulation of Level Ice–Structure Interaction Using Damage-Based Erosion Model. Ocean Eng. 2021, 220, 108485. [Google Scholar] [CrossRef]
 - Pernas-Sánchez, J.; Pedroche, D.A.; Varas, D.; López-Puente, J.; Zaera, R. Numerical Modeling of Ice Behavior under High Velocity Impacts. Int. J. Solids Struct. 2012, 49, 1919–1927. [Google Scholar] [CrossRef]
 - Xu, Y.; Wu, J.; Li, P.; Kujala, P.; Hu, Z.; Chen, G. Investigation of the Fracture Mechanism of Level Ice with Extended Finite Element Method. Ocean Eng. 2022, 260, 112048. [Google Scholar] [CrossRef]
 - He, Z.; Gao, Z.; Gu, X.; Gao, Z. Numerical simulation on the structural response of a torpedo at the moment of vertical water entry. Explos. Shock. Waves 2023, 43, 073303. [Google Scholar] [CrossRef]
 - Wang, C.; Wang, J.; Wang, C.; Guo, C.; Zhu, G. Research on vertical movement of cylindrical structure out of water and breaking through ice layer based on S-ALE method. Chin. J. Theor. Appl. Mech. 2021, 53, 3110–3123. [Google Scholar] [CrossRef]
 - Hallquist, O.J. Theory Manual; Livermore Software Technology Corporation LS_DYNA 2006: Livermore, CA, USA, 2006. [Google Scholar]
 - Anghileri, M.; Castelletti, L.M.L.; Invernizzi, F.; Mascheroni, M. A survey of numerical models for hail impact analysis using explicit finite element codes. Int. J. Impact Eng. 2005, 31, 929–944. [Google Scholar] [CrossRef]
 - Masterson, D.M.; Frederking, R.M.W.; Wright, B.; Karna, T.; Maddock, W.P. A revised ice pressure-areacurve. In Proceedings of the 19th International Conference on Port and Ocean Engineering under Arctic Conditions, Dalian, China, 27–30 June 2007; Volume 1, pp. 305–314. [Google Scholar]
 
























| ρ0 | C | S1 | S2 | S3 | α | γ0 | E | 
|---|---|---|---|---|---|---|---|
| kg/m3 | m/s | ||||||
| 998 | 1480 | 1.92 | −0.096 | 0 | 0 | 0.35 | 0 | 
| Density | Shear Modulus | Yield Stress | Plastic Hardening Modulus | Bulk Modulus | Plastic Failure Strain | Cut Off Pressure  | 
|---|---|---|---|---|---|---|
| (kg/m3) | (GPa) | (MPa) | (GPa) | (GPa) | (MPa) | |
| 910 | 2.2 | 2.12 | 4.26 | 5.26 | 0.35 | −4 | 
| Density | Elasticity Modulus | Poisson’s Ratio | 
|---|---|---|
| (kg/m3) | (GPa) | |
| 7850 | 200 | 0.3 | 
Disclaimer/Publisher’s Note: The statements, opinions and data contained in all publications are solely those of the individual author(s) and contributor(s) and not of MDPI and/or the editor(s). MDPI and/or the editor(s) disclaim responsibility for any injury to people or property resulting from any ideas, methods, instructions or products referred to in the content.  | 
© 2024 by the authors. Licensee MDPI, Basel, Switzerland. This article is an open access article distributed under the terms and conditions of the Creative Commons Attribution (CC BY) license (https://creativecommons.org/licenses/by/4.0/).
Share and Cite
Wang, F.; Lu, Y.; Zhao, Z.; Qiu, B.; Mu, L.; Wang, X.; Jin, Y. A Numerical Simulation Method for Investigating the Fluid–Structure–Ice Coupling Mechanism of a Wedge Breaking through Ice into Water. Appl. Sci. 2024, 14, 9204. https://doi.org/10.3390/app14209204
Wang F, Lu Y, Zhao Z, Qiu B, Mu L, Wang X, Jin Y. A Numerical Simulation Method for Investigating the Fluid–Structure–Ice Coupling Mechanism of a Wedge Breaking through Ice into Water. Applied Sciences. 2024; 14(20):9204. https://doi.org/10.3390/app14209204
Chicago/Turabian StyleWang, Fucun, Yongyi Lu, Zhiqing Zhao, Bingsen Qiu, Lixiao Mu, Xiaoyu Wang, and Yeqing Jin. 2024. "A Numerical Simulation Method for Investigating the Fluid–Structure–Ice Coupling Mechanism of a Wedge Breaking through Ice into Water" Applied Sciences 14, no. 20: 9204. https://doi.org/10.3390/app14209204
APA StyleWang, F., Lu, Y., Zhao, Z., Qiu, B., Mu, L., Wang, X., & Jin, Y. (2024). A Numerical Simulation Method for Investigating the Fluid–Structure–Ice Coupling Mechanism of a Wedge Breaking through Ice into Water. Applied Sciences, 14(20), 9204. https://doi.org/10.3390/app14209204
        
