Effects of Zirconium-Based Crosslinkers with Different Zirconium Contents on Pigment Coating in Paper
Abstract
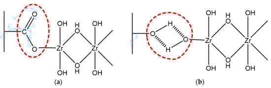
1. Introduction
2. Materials and Methods
2.1. Preparing Coating Color
2.2. Properties of Coating Color
2.3. Preparing Coated Paper
2.4. Properties of Coated Paper
3. Results and Discussion
3.1. Properties of Coating Color
3.2. Printing Properties of Coated Paper
3.3. Optical Properties of Coated Paper
3.4. SEM Images of Coated Paper
4. Conclusions
Author Contributions
Funding
Institutional Review Board Statement
Informed Consent Statement
Data Availability Statement
Conflicts of Interest
References
- Moles, P.J.; Chemicals, M.E.L. The use of zirconium in Surface Coatings. Data Sheet 2002, 117776, 1780. [Google Scholar]
- Aksoy, B. Effect of Coating Additives on the Rheological and Optical Properties of Coated Papers. Master’s Thesis, Western Michigan University, Kalamazoo, MI, USA, 2004. [Google Scholar]
- Fockaert, L.I.; Ankora, M.V.E.; Van Dam, J.P.B.; Pletincx, S.; Yilmaz, A.; Boelen, B.; Mol, J.M.C. Effect of organic additives in fluoacid-based Ti and Zr-treatments for galvanized steel on the stability of a polymer coated interface. Prog. Org. Coat. 2020, 146, 105738. [Google Scholar] [CrossRef]
- Chaterji, S.; Kwon, I.K.; Park, K. Smart polymeric gels: Redefining the limits of biomedical devices. Prog. Polym. Sci. 2007, 32, 1083–1122. [Google Scholar] [CrossRef] [PubMed]
- Gao, Y.; Peng, K.; Mitragotri, S. Covalently Crosslinked hydrogels via step-growth reactions: Crosslinking chemistries, polymers, and clinical impact. Adv. Mater. 2021, 33, 2006362. [Google Scholar] [CrossRef]
- Wang, Z.; Lin, M.; Xiang, Y.; Zeng, T.; Dong, Z.; Zhang, J.; Yang, Z. Zr-induced thermostable polymeric nanospheres with double-cross-linked architectures for oil recovery. Energy Fuels 2019, 33, 10356–10364. [Google Scholar] [CrossRef]
- Yin, H.; Yin, X.; Cao, R.; Zeng, P.; Wang, J.; Wu, D.; Feng, Y. In situ crosslinked weak gels with ultralong and tunable gelation times for improving oil recovery. Chem. Eng. J. 2022, 432, 134350. [Google Scholar] [CrossRef]
- Li, Q.; Wang, S.; Jin, X.; Huang, C.; Xiang, Z. The application of polysaccharides and their derivatives in pigment, barrier, and functional paper coatings. Polymers 2020, 12, 1837. [Google Scholar] [CrossRef]
- Shen, J.; Fatehi, P.; Ni, Y. Biopolymers for surface engineering of paper-based products. Cellulose 2014, 21, 3145–3160. [Google Scholar] [CrossRef]
- Kunam, P.K.; Ramakanth, D.; Akhila, K.; Gaikwad, K.K. Bio-based materials for barrier coatings on paper packaging. Biomass Convers. Bioref. 2024, 14, 12637–12652. [Google Scholar] [CrossRef]
- Basak, S.; Dangate, M.S.; Samy, S. Oil-and water-resistant paper coatings: A review. Prog. Org. Coat. 2024, 186, 107938. [Google Scholar] [CrossRef]
- Li, T.; Cao, M.; Zhang, B.; Yang, L.; Du, G. Effects of molar ratio and pH on the condensed structures of melamine-formaldehyde polymers. Materials 2018, 11, 2571. [Google Scholar] [CrossRef] [PubMed]
- Pizzi, A. Melamine-formaldehyde adhesives. In Handbook of Adhesive Technology, 2nd ed.; Pizzi, A., Ed.; CRC Press: Boca Raton, FL, USA, 2003; pp. 154–196. [Google Scholar]
- İstek, A.; Özlüsoylu, İ.; Onat, S.M.; Özlüsoylu, Ş. Formaldehyde emission problems and solution recommendations on wood-based boards. Bartın Orman Fakültesi Derg. 2018, 20, 382–387. [Google Scholar]
- Conner, A.H. Urea-formaldehyde adhesive resins. Polym. Mater. Encycl. 1996, 11, 8497–8501. [Google Scholar]
- Salthammer, T. Formaldehyde sources, formaldehyde concentrations and air exchange rates in European housings. Build. Environ. 2019, 150, 219–232. [Google Scholar] [CrossRef]
- Yan, Y.; Dong, Y.; Chen, H.; Zhang, S.; Li, J. Effect of catalysts and sodium hydroxide on glyoxal-treated wood. BioResources 2014, 9, 4540–4551. [Google Scholar] [CrossRef]
- Vineeth, S.K.; Gadhave, R.V.; Gadekar, P.T. Glyoxal cross-linked polyvinyl alcohol-microcrystalline cellulose blend as a wood adhesive with enhanced mechanical, thermal and performance properties. Mater. Int. 2020, 2, 277–285. [Google Scholar]
- Ballerini, A.; Despres, A.; Pizzi, A. Non-toxic, zero emission tannin-glyoxal adhesives for wood panels. Holz Als Roh- Und Werkst. 2005, 63, 477–478. [Google Scholar] [CrossRef]
- Navarrete, P.; Pizzi, A.; Rode, K.; Vignali, M.; Pasch, H. MALDI-TOF study of oligomers distribution in spray-dried glyoxalated lignin for wood adhesives. J. Adhes. Sci. Technol. 2013, 27, 586–597. [Google Scholar] [CrossRef]
- Zhang, M.; Huang, C.; Ou, J.; Liu, F.; Ou, S.; Zheng, J. Glyoxal in foods: Formation, metabolism, health hazards, and its control strategies. J. Agric. Food Chem. 2024, 72, 2434–2450. [Google Scholar] [CrossRef]
- Song, D.; Bekki, K.; Uchiyama, S.; Ohta, K.; Inaba, Y.; Nakagome, H.; Kunugita, N. Carbonyl compounds generated from electronic cigarettes. Int. J. Environ. Res. Public Health 2014, 11, 11192–11200. [Google Scholar] [CrossRef]
- Arribas-Lorenzo, G.; Morales, F.J. Analysis, distribution, and dietary exposure of glyoxal and methylglyoxal in cookies and their relationship with other heat-induced contaminants. J. Agric. Food Chem. 2010, 58, 2966–2972. [Google Scholar] [CrossRef] [PubMed]
- Francolini, I.; Galantini, L.; Rea, F.; Di Cosimo, C.; Di Cosimo, P. Polymeric wet-strength agents in the paper industry: An overview of mechanisms and current challenges. Int. J. Mol. Sci. 2023, 24, 9268. [Google Scholar] [CrossRef]
- Liu, X.C. Synthesis, Structure and Properties of Zirconium Ionomers. Ph.D. Thesis, University of Manchester, Manchester, UK, 1996. [Google Scholar]
- Shyu, J.G.; Wang, K.T.; Chang, C.P. Effects of Resins and Adhesives on the Preservation of Converted Handmade Papers. Taiwan J. For. Sci. 2011, 26, 221–243. [Google Scholar]
- Lubbe, S.; Munsami, R.; Fourie, D. Beneficiation of zircon sand in South Africa. J. S. Afr. Inst. Min. Metall. 2012, 112, 583–588. [Google Scholar]
- Wang, S.; Zhang, F.; Chen, F.; Pang, Z. Preparation of a Crosslinking Cassava Starch Adhesive and its Application in Coating Paper. BioResources 2013, 8, 3500–3514. [Google Scholar] [CrossRef]
- Almubarak, T.; Ng, J.H.C.; Nasr-El-Din, H.A.; Almubarak, M.; AlKhaldi, M. Influence of zirconium crosslinker chemical structure and polymer choice on the performance of crosslinked fracturing fluids. Can. J. Chem. Eng. 2022, 100, 1141–1157. [Google Scholar] [CrossRef]
- Corder, R.D.; Tilly, J.C.; Ingram, W.F.; Roh, S.; Spontak, R.J.; Khan, S.A. UV-curable polymer nanocomposites based on poly(dimethylsiloxane) and zirconia nanoparticles: Reactive versus passive nanofillers. ACS Appl. Polym. Mater. 2019, 2, 394–403. [Google Scholar] [CrossRef]
- Stenberg, C. Cross-linkers, rheology modifiers and lubricants: Impact on water retention and rheology of coating colours at various shear rates. J. Appl. Polym. Sci. 2016, 48, 1245–1252. [Google Scholar]
- ISO 8254-1; Paper and Board—Measurement of Specular Gloss—Part 1: 75° Gloss with a Converging Beam. ISO: Geneva, Switzerland, 2009.
- ISO 2470-1; Paper, Board and Pulps—Measurement of Diffuse Blue Reflectance Factor—Part 1: Indoor Daylight Conditions (ISO brightness). ISO: Geneva, Switzerland, 2016.
- ISO 2471; Paper and Board—Determination of Opacity (Paper Backing)—Diffuse Reflectance Method. ISO: Geneva, Switzerland, 2008.
- ISO 8789; Paper and Board—Printability—Determination of Ink Smear Resistance by the Print-Surf Method. ISO: Geneva, Switzerland, 2018.
- ISO 13660; Office Equipment—Measurement of Image Quality Attributes for Hardcopy Output—Binary Monochrome Text and Graphic Images. ISO: Geneva, Switzerland, 2001.
- ISO 3783; Paper and Board—Determination of Resistance of Paper Surface to Picking—Accelerated Speed Method Using the IGT-Type Tester. ISO: Geneva, Switzerland, 2006.
- Bajpai, P. Pulp and Paper Industry: Chemicals; Elsevier: Amsterdam, The Netherlands, 2015. [Google Scholar]
- Arzate, A.; Ascanio, G.; Carreau, P.J.; Tanguy, P.A. Extensional viscosity of coating colors and its relation with jet coating performance. Appl. Rheol. 2004, 14, 240–250. [Google Scholar] [CrossRef]
- Gigac, J.; Kasajová, M.; Maholányiová, M.; Stankovská, M.; Letko, M. Prediction of surface structure of coated paper and of ink setting time by infrared spectroscopy. Nord. Pulp Pap. Res. J. 2013, 28, 274–281. [Google Scholar] [CrossRef]
- Biswas, M.; Debnath, S.; Dey, M.; Kundu, S.; Bandyopadhyay, A. A study on the factors affecting ink-substrate interactions in maplitho papers. NIP Digit. Fabr. Conf. 2017, 33, 47–53. [Google Scholar] [CrossRef]
- Thorman, S.; Yang, L.; Hagberg, A.; Ström, G. The impact of non-uniform ink absorption on flexographic print mottle. J. Print Media Technol. Res. 2018, 7, 7–18. [Google Scholar]
- Jurič, I.; Randjelović, D.; Karlović, I.; Tomić, I. Influence of the surface roughness of coated and uncoated papers on the digital print mottle. J. Graph. Eng. Des. 2014, 5, 17–23. [Google Scholar] [CrossRef]
- Machotová, J.; Kalendová, A.; Steinerova, D.; Macova, P.; Šlang, S.; Šňupárek, J.; Vajdak, J. Water-resistant latex coatings: Tuning of properties by polymerizable surfactant, covalent crosslinking and nanostructured ZnO additive. Coatings 2021, 11, 347. [Google Scholar] [CrossRef]
- Xiong, W.; Chen, B.; Peng, J.; Luo, X.; Pan, X.; Xiao, Z.; Liu, Y. A dual-crosslinking strategy for waterborne polyurethane coatings to achieve outstanding anti-smudge and anti-corrosion properties. Chem. Eng. J. 2024, 490, 151509. [Google Scholar] [CrossRef]
- Järnström, J.; Ihalainen, P.; Backfolk, K.; Peltonen, J. Roughness of pigment coatings and its influence on gloss. Appl. Surf. Sci. 2008, 254, 5741–5749. [Google Scholar] [CrossRef]
- Santos, N.F.; Velho, J.A.L. Coating structure with calcium carbonate pigments and its influence on paper and print gloss. Ann. Meet.-Pulp Pap. Tech. Assoc. Can. 2002, 88, C93–C96. [Google Scholar]
- Oittinen, P. The surface structure of coated paper and the formation of gloss. In The Role of Fundamental Research in Paper Making. Transactions of the 7th Fundamental Research Symposium; FRC: Manchester, UK, 1982; pp. 635–654. [Google Scholar]













| Types | pph | Solid Content (%) | Products |
|---|---|---|---|
| GCC | 100 | 77.74 | GM-95HS, GMC Co., Ltd., Incheon, the Republic of Korea |
| SB latex | 12 | 62.085 | DTO6115, Trinseo Korea Ltd., Seoul, the Republic of Korea |
| Rheology modifier | 0.15 | 58.52 | PM-7700A, Jeong Won Chemical Co., Ltd., Busan, the Republic of Korea |
| Lubricant | 0.4 | 59.02 | Nopcote C155, GEO Specialty Chemicals Inc., Ambler, PA, USA |
| Crosslinkers | 0.5, 0.9 | 53.02 | PBC, WooJin Industry Co., Ltd., Ansan, the Republic of Korea |
| NaOH | 0.12 | 26, 32, 53 # 90 | KZC7, KZC10, KZC20 *, HanKyung TEC, Jinju, the Republic of Korea SamChun Chemicals Co., Ltd., Seoul, the Republic of Korea |
| Dispersant | 0.2 | 64.94 | WT-117, Jeong Won Chemical Co., Ltd., Busan, the Republic of Korea |
Disclaimer/Publisher’s Note: The statements, opinions and data contained in all publications are solely those of the individual author(s) and contributor(s) and not of MDPI and/or the editor(s). MDPI and/or the editor(s) disclaim responsibility for any injury to people or property resulting from any ideas, methods, instructions or products referred to in the content. |
© 2024 by the authors. Licensee MDPI, Basel, Switzerland. This article is an open access article distributed under the terms and conditions of the Creative Commons Attribution (CC BY) license (https://creativecommons.org/licenses/by/4.0/).
Share and Cite
Park, H.-H.; Kim, C.-H.; Lee, T.-G.; Park, J.-H.; Park, M.-S.; Lee, J.-S. Effects of Zirconium-Based Crosslinkers with Different Zirconium Contents on Pigment Coating in Paper. Appl. Sci. 2024, 14, 9187. https://doi.org/10.3390/app14209187
Park H-H, Kim C-H, Lee T-G, Park J-H, Park M-S, Lee J-S. Effects of Zirconium-Based Crosslinkers with Different Zirconium Contents on Pigment Coating in Paper. Applied Sciences. 2024; 14(20):9187. https://doi.org/10.3390/app14209187
Chicago/Turabian StylePark, Hyeong-Hun, Chul-Hwan Kim, Tae-Gyeong Lee, Ju-Hyun Park, Min-Sik Park, and Jae-Sang Lee. 2024. "Effects of Zirconium-Based Crosslinkers with Different Zirconium Contents on Pigment Coating in Paper" Applied Sciences 14, no. 20: 9187. https://doi.org/10.3390/app14209187
APA StylePark, H.-H., Kim, C.-H., Lee, T.-G., Park, J.-H., Park, M.-S., & Lee, J.-S. (2024). Effects of Zirconium-Based Crosslinkers with Different Zirconium Contents on Pigment Coating in Paper. Applied Sciences, 14(20), 9187. https://doi.org/10.3390/app14209187

