Sign in to use this feature.

Years

Between: -

Subjects

remove_circle_outline
remove_circle_outline
remove_circle_outline
remove_circle_outline
remove_circle_outline
remove_circle_outline
remove_circle_outline
remove_circle_outline
remove_circle_outline

Journals

remove_circle_outline
remove_circle_outline
remove_circle_outline
remove_circle_outline
remove_circle_outline
remove_circle_outline
remove_circle_outline
remove_circle_outline
remove_circle_outline
remove_circle_outline
remove_circle_outline
remove_circle_outline
remove_circle_outline
remove_circle_outline
remove_circle_outline
remove_circle_outline
remove_circle_outline
remove_circle_outline
remove_circle_outline
remove_circle_outline
remove_circle_outline
remove_circle_outline
remove_circle_outline
remove_circle_outline
remove_circle_outline
remove_circle_outline
remove_circle_outline
remove_circle_outline
remove_circle_outline

Article Types

Countries / Regions

remove_circle_outline
remove_circle_outline
remove_circle_outline
remove_circle_outline
remove_circle_outline
remove_circle_outline
remove_circle_outline
remove_circle_outline
remove_circle_outline
remove_circle_outline

Search Results (10,539)

Search Parameters:
Keywords = crosslinker

Order results
Result details
Results per page
Select all
Export citation of selected articles as:
11 pages, 1310 KB  
Article
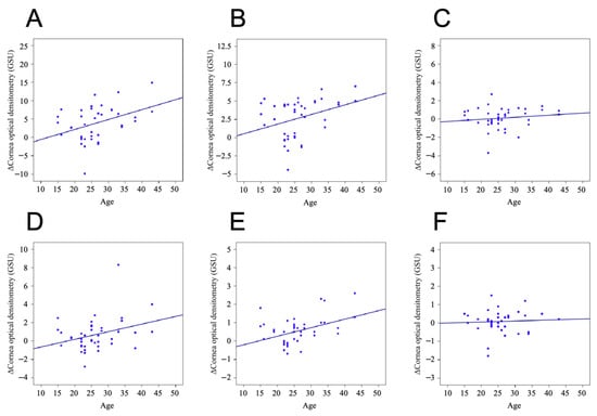
Changes in Corneal Densitometry and Relationship to Corneal Topographical Parameters in Accelerated Corneal Crosslinking for the Treatment of Keratoconus
by Yifan Du, Hanyu Jiang, Fei Mo, Ying Li and Yang Jiang
J. Clin. Med. 2026, 15(8), 3137; https://doi.org/10.3390/jcm15083137 - 20 Apr 2026
Abstract
Background/Objectives: To evaluate changes in corneal topography and densitometry (CD) 3 months after accelerated corneal collagen crosslinking (CXL) for keratoconus and to investigate influencing factors. Methods: Twenty-one (41 eyes) patients with KC who underwent accelerated epithelium-off CXL were included in this [...] Read more.
Background/Objectives: To evaluate changes in corneal topography and densitometry (CD) 3 months after accelerated corneal collagen crosslinking (CXL) for keratoconus and to investigate influencing factors. Methods: Twenty-one (41 eyes) patients with KC who underwent accelerated epithelium-off CXL were included in this retrospective observational study; preoperative and 3-month postoperative CD and corneal topographic parameters measured by Pentacam HR were collected. The changes in corneal topographic parameters and CD before and after CXL were subsequently compared, and the correlation between age, corneal topographic parameters and CD changes was analysed. Results: Except for TCT (p = 0.026), no significant changes were observed in topographic parameters (p > 0.05). There was a significant increase in total CD (tCD), CD 0–2 mm and CD 2–6 mm from the whole, anterior and central corneal layers after CXL compared to pre-operation (p < 0.05). The results of the correlating factors showed that age was positively associated with changes in tCD, CD 0–2 mm, and CD 2–6 mm from the whole, anterior and central corneal layer (p < 0.05), which was fully consistent with the regions treated by CXL. Other factors showed only marginal associations and were not consistent with the regions treated by CXL. Conclusions: An increase in CD can be observed in patients with KC at 3 months after undergoing accelerated CXL, and this is particularly focused on the 0–2 mm and 2–6 mm regions of the anterior and central corneal layers. The degree of change in CD was influenced by age, which may suggest differences in corneal response to CXL in KC of different ages. Full article
(This article belongs to the Special Issue Clinical Research in Management of Corneal Diseases)
Show Figures

Figure 1

18 pages, 4936 KB  
Review
pH as a Design Tool for Low-Molecular-Weight Hydrogelators: Triggers, Structural Control, and Orthogonal Assembly
by Rie Kakehashi
Gels 2026, 12(4), 344; https://doi.org/10.3390/gels12040344 - 20 Apr 2026
Abstract
Low-molecular-weight gelators (LMWGs) have attracted growing attention as versatile alternatives to conventional polymeric thickeners and gelators, owing to their ability to form three-dimensional fibrillar networks through non-covalent self-assembly and to undergo reversible sol–gel transitions in response to external stimuli. Among the various stimuli [...] Read more.
Low-molecular-weight gelators (LMWGs) have attracted growing attention as versatile alternatives to conventional polymeric thickeners and gelators, owing to their ability to form three-dimensional fibrillar networks through non-covalent self-assembly and to undergo reversible sol–gel transitions in response to external stimuli. Among the various stimuli that can be exploited, pH represents a particularly attractive trigger given its direct relevance to biological and physiological environments. This review focuses on three categories of pH-responsive LMWGs that have shown notable progress over the past decade yet remain relatively underexplored in the literature. First, N-oxide-type hydrogelators are discussed, with emphasis on amide amine oxide-based surfactants and pyridine-N-oxide frameworks. The pH-dependent protonation of the N-oxide moiety modulates intermolecular hydrogen bonding, thereby governing self-assembly and gel formation. The structural versatility of these gelators enables rational tuning of aggregate morphology and confers clear pH and temperature responsiveness. Second, recent advances in phenylboronic acid-based LMWGs are highlighted. Although boronic acid derivatives have long been studied as dynamic crosslinking units in polymeric hydrogels, 3-isobutoxyphenylboronic acid was recently identified as the first example of phenylboronic acid functioning as an LMWG, in which gelation is driven primarily by hydrogen bonding and pH responsiveness is exploited for stimuli-triggered gel disruption rather than gel formation. Third, pH-responsive orthogonal self-assembly systems are reviewed. Representative examples include multicomponent hybrid hydrogels combining pH-activated LMWGs with polymer gelators for controlled drug release, pH-triggered self-sorting of two LMWGs without any polymeric component, and bio-based orthogonal hydrogels composed of a glucolipid LMWG and cellulose nanocrystals. For each system, both advantages and remaining limitations are critically assessed. Collectively, this review aims to provide a timely overview of emerging trends in pH-responsive LMWG research and to offer perspectives on the rational design of next-generation stimuli-responsive soft materials. Full article
(This article belongs to the Section Gel Processing and Engineering)
Show Figures

Graphical abstract

18 pages, 3338 KB  
Article
Honey-Stabilized Alginate Nanoparticles Derived from Sargassum: Synthesis, Physicochemical Characterization and Colloidal Stability
by Hannia A. Ramírez-Lara, Ashley J. Gutierrez-Onofre, René Salgado-Delgado, Areli Marlén Salgado-Delgado, Iliana C. Martínez-Ortíz, Nahomi Y. Degollado-Hernández, Igor Garcia-Atutxa and Francisca Villanueva-Flores
Polymers 2026, 18(8), 996; https://doi.org/10.3390/polym18080996 - 20 Apr 2026
Abstract
Massive pelagic Sargassum influxes along Caribbean coasts have created an urgent need for valorization routes for this biomass. Here, sodium alginate was extracted from Sargassum fluitans collected at Chuburná Beach, Yucatán, Mexico, using a multistep extraction involving 0.2% formaldehyde pretreatment at 4 °C [...] Read more.
Massive pelagic Sargassum influxes along Caribbean coasts have created an urgent need for valorization routes for this biomass. Here, sodium alginate was extracted from Sargassum fluitans collected at Chuburná Beach, Yucatán, Mexico, using a multistep extraction involving 0.2% formaldehyde pretreatment at 4 °C and brief heating at 65–70 °C, and subsequently used to prepare calcium-crosslinked alginate nanoparticles by ionotropic gelation. To our knowledge, this is the first direct synthesis of alginate nanoparticles from non-commercial alginate extracted from pelagic S. fluitans. An extraction yield of 18.7 ± 0.05% (mean ± SD, n = 3) was obtained, and UV–Vis, FTIR, and NMR analyses confirmed the characteristic structural features of alginate. 1H NMR revealed an M-rich composition (F_M = 0.61, F_G = 0.39; M/G = 1.54) with short guluronate blocks (N_G>1 = 2.42), whereas 13C NMR corroborated the presence of both β-D-mannuronic and α-L-guluronic acid residues. SEM images showed predominantly spherical-to-subspherical nanoparticles with representative dry diameters of 233–269 nm, whereas DLS measurements at 0, 24, and 72 h revealed a dominant volume-based nanoscale population with main peaks at 12.75–15.31 nm and PDI values of 0.229–0.291, indicating reasonable short-term colloidal stability at room temperature. These results demonstrate that pelagic S. fluitans can serve as a viable feedstock for the production of structurally preserved alginate and calcium-crosslinked alginate nanoparticles. The study supports converting recurrent Sargassum biomass into higher-value polysaccharide-based materials and provides a basis for future application-specific evaluation of these nanomaterials. Full article
(This article belongs to the Section Biobased and Biodegradable Polymers)
Show Figures

Graphical abstract

19 pages, 2328 KB  
Article
Precisely Engineered Nitrogen-Doped Hierarchical Porous Carbon from Lignin for High-Rate and Ultra-Stable Supercapacitors
by Zhebiao Xu, Siyu Song, Zhuangjia Chen, Wenzhuo Wang, Yushen Huang, Fudong Bai, Riyang Shu, Zhipeng Tian and Chao Wang
Catalysts 2026, 16(4), 368; https://doi.org/10.3390/catal16040368 - 20 Apr 2026
Abstract
The development of high-performance and sustainable carbon electrodes is increasingly important for next-generation supercapacitors, yet controlling heteroatom doping and hierarchical pore evolution in biomass-derived carbons remains a key challenge. Lignin, as an abundant aromatic biopolymer, offers a structurally rich platform for designing functional [...] Read more.
The development of high-performance and sustainable carbon electrodes is increasingly important for next-generation supercapacitors, yet controlling heteroatom doping and hierarchical pore evolution in biomass-derived carbons remains a key challenge. Lignin, as an abundant aromatic biopolymer, offers a structurally rich platform for designing functional carbons, but its rigid cross-linked architecture limits precise pore regulation and efficient nitrogen incorporation. In this work, nitrogen-doped hierarchical porous carbons were engineered from enzymatically treated lignin through a synergistic urea-assisted nitrogen doping and KOH activation strategy. The urea–KOH co-activation drives the coordinated evolution of micropores and mesopores. This approach yields an optimized carbon material possessing a high BET surface area of 2569 m2 g−1, an interconnected micro–mesoporous architecture, and a favorable distribution of pyridinic, pyrrolic, and graphitic nitrogen species. The engineered pore hierarchy is correlated with enhanced ion transport kinetics, as evidenced by a high b value of 0.99 and a capacitive contribution of 98.5% at 100 mV s−1; nitrogen functionalities introduce redox-active sites and improve interfacial wettability. As a result, the selected material delivers a high specific capacitance of 221 F g−1 at 0.5 A g−1, strong rate capability with 84.4% retention at 20 A g−1, and excellent cycling durability with 90.7% capacitance retention after 50,000 cycles. This study demonstrates a potentially mechanistically informed, scalable pathway for coupling enzymatic structural regulation with chemical activation, offering a sustainable route for transforming lignin into high-value carbon electrodes suitable for advanced supercapacitor applications. Full article
(This article belongs to the Special Issue Catalysis for Solid Waste Upcycling: Challenges and Opportunities)
Show Figures

Figure 1

20 pages, 4898 KB  
Article
Highly Robust and Multimodal PVA/Aramid Nanofiber/MXene Organogel Sensors for Advanced Human–Machine Interfaces
by Guofan Zeng, Leiting Liao, Zehong Wu, Jinye Chen, Peidi Zhou, Yihan Qiu and Mingcen Weng
Biosensors 2026, 16(4), 229; https://doi.org/10.3390/bios16040229 - 20 Apr 2026
Abstract
Flexible and wearable electronics require soft sensing materials that balance mechanical compliance, stable signal transduction, and durability for human–machine interfaces (HMIs). To address the limitations of single-filler systems, we propose a poly(vinyl alcohol) (PVA)/aramid nanofiber (ANF)/MXene organogel (PAM) as a multifunctional soft platform. [...] Read more.
Flexible and wearable electronics require soft sensing materials that balance mechanical compliance, stable signal transduction, and durability for human–machine interfaces (HMIs). To address the limitations of single-filler systems, we propose a poly(vinyl alcohol) (PVA)/aramid nanofiber (ANF)/MXene organogel (PAM) as a multifunctional soft platform. This design integrates a PVA physically crosslinked network with ANF for mechanical reinforcement and MXene for electrical functionality. The optimized PAM composite exhibits outstanding mechanical properties, including a fracture stress of 2931 kPa, a fracture strain of 676%, and a fracture toughness of 9.04 MJ m−3. Importantly, PAM serves as a single material platform configurable into three sensing modalities. The resistive strain sensor achieves a gauge factor of 3.1 over 10–100% strain and enables the reliable recognition of human joint movements and gestures. The capacitive pressure sensor delivers a sensitivity of 0.298 kPa−1, rapid response/recovery times of 30/10 ms, and is integrated with a wireless module to control a smart car. Furthermore, the PAM-based triboelectric nanogenerator (TENG) delivers excellent electrical outputs (Voc = 123 V, Isc = 0.52 μA, Qsc = 58 nC) and functions as a self-powered smart handwriting pad, achieving a machine-learning-based recognition accuracy of 97.6%. This work demonstrates the immense potential of the PAM organogel for advanced, self-powered HMIs. Full article
(This article belongs to the Special Issue Flexible and Stretchable Biosensors)
Show Figures

Figure 1

31 pages, 1081 KB  
Perspective
Modeling of Biomechanical and Functional Parameters of Hydrogel–Cell Composites Fabricated by 3D Bioprinting Using AI-Supported Approach
by Izabela Rojek, Maciej Gniadek, Jakub Kopowski, Tomasz Kloskowski and Dariusz Mikołajewski
Materials 2026, 19(8), 1637; https://doi.org/10.3390/ma19081637 - 19 Apr 2026
Abstract
3D bioprinting of hydrogel–cell composites requires simultaneous consideration of the biomechanical properties of the printed structures, the construct’s geometric stability, and conditions conducive to cell survival and function. Hydrogel cross-linking techniques and their kinetics play a key role in this process, determining the [...] Read more.
3D bioprinting of hydrogel–cell composites requires simultaneous consideration of the biomechanical properties of the printed structures, the construct’s geometric stability, and conditions conducive to cell survival and function. Hydrogel cross-linking techniques and their kinetics play a key role in this process, determining the time of shape fixation, the mechanical strength of the structures, and the mechanical environment in which the cells are located immediately after printing. The relationships between bioprinting parameters, material properties, cross-linking strategies, and the presence of cells are highly nonlinear and often investigated through trial and error, leading to significant time and material costs. This paper proposes an approach based on artificial intelligence-assisted simulation, focusing on computer modeling of the biomechanical and functional parameters of hydrogel–cell composites produced by 3D bioprinting. The methodology is based on data generated from computer simulations and allows for analysis of the impact of printing parameters and different cross-linking strategies on mechanical strength, time-dependent geometric stability, and limitations related to cellular function, including exposure time to non-cross-linked matrices. The use of artificial intelligence methods allows for the integration of simulation results and predictive assessment of material behavior, providing a basis for future optimization of bioprinting parameters and process costs prior to experimental validation. Full article
36 pages, 1678 KB  
Review
Nano–Bio Hybrid Catalysts: Enzyme–Nanomaterial Interfaces for Sustainable Energy Conversion
by Ghazala Muteeb, Youssef Basem, Abdel Rahman Alaa, Mahmoud Hassan Ismail, Mohammad Aatif, Mohd Farhan, Sheeba Kumari and Doaa S. R. Khafaga
Catalysts 2026, 16(4), 367; https://doi.org/10.3390/catal16040367 - 19 Apr 2026
Abstract
Nano–bio hybrid catalysts have emerged as a promising platform for sustainable energy conversion by integrating the high selectivity of enzymes with the structural robustness and conductivity of nanomaterials. In recent years, the growing demand for clean energy technologies has driven the development of [...] Read more.
Nano–bio hybrid catalysts have emerged as a promising platform for sustainable energy conversion by integrating the high selectivity of enzymes with the structural robustness and conductivity of nanomaterials. In recent years, the growing demand for clean energy technologies has driven the development of biohybrid systems capable of efficient electron transfer, enhanced catalytic activity, and improved operational stability. This review comprehensively discusses the design principles, mechanistic foundations, and performance metrics of enzyme–nanomaterial interfaces for energy-related applications. We first outline the fundamentals of enzymatic redox catalysis and the limitations of free enzymes in practical systems. Subsequently, we examine the functional roles of nanomaterials including carbon-based materials, metal and metal oxide nanoparticles, and two-dimensional platforms such as MXenes in facilitating enzyme immobilization and promoting direct or mediated electron transfer. Special emphasis is placed on engineering strategies at the bio–nano interface, including immobilization techniques, surface functionalization, and structural tuning to optimize catalytic efficiency. The review further highlights representative hybrid systems based on laccase, glucose oxidase, peroxidase, and hydrogenase enzymes, and evaluates their applications in biofuel cells, solar–bio hybrid systems, green oxidation reactions, and self-powered biosystems. Stability challenges, deactivation mechanisms, and enhancement strategies such as polymer coatings, cross-linking, and nanoconfinement are critically analyzed. Finally, emerging directions including artificial enzymes, AI-guided catalyst design, and self-healing bioelectrodes are discussed to provide a forward-looking perspective on next-generation sustainable bioelectrocatalytic systems. Full article
(This article belongs to the Special Issue Advanced Catalysis for Energy and a Sustainable Environment)
20 pages, 4119 KB  
Article
Multiple-Dynamic-Bond Cross-Linked Injectable Antibacterial Hydrogel Sealants with Self-Healing for Wound Healing
by Tingting Wei, Yunrui Cao, Shuo Yang, Yu Song, Yanjun Liu, Hu Hou, Jie Xu and Changhu Xue
Gels 2026, 12(4), 340; https://doi.org/10.3390/gels12040340 - 19 Apr 2026
Abstract
Chronic wounds resulting from bacterial infection remain one of the main challenges in clinical practice. There is a pressing need to develop an injectable hydrogel sealant with multifunctional properties, including remodeling capabilities, self-healing, painless removal, and antibacterial activity, to promote tissue remodeling. In [...] Read more.
Chronic wounds resulting from bacterial infection remain one of the main challenges in clinical practice. There is a pressing need to develop an injectable hydrogel sealant with multifunctional properties, including remodeling capabilities, self-healing, painless removal, and antibacterial activity, to promote tissue remodeling. In this work, aldehyde carboxymethylated agarose (ACMA) is employed for the first time as a bio-template. Dopamine (DA) is introduced onto the ACMA template via a reversible Schiff-base reaction, endowing it with biomineralization properties to synthesize DA-modified ACMA-Ag nanoparticles (ACMA-DA-Ag). Further, the prepared ACMA-DA-Ag, which possesses both antibacterial activity and injectable behavior, is incorporated into a guar gum hydrogel through the formation of borate/diol bonds, thereby forming a multiple-dynamic-bond crosslinked network. This hydrogel demonstrates adequate mechanical strength, injectability, remodeling capabilities, and self-healing performance. It can reassemble into a new hydrogel within 4 ± 0.6 min upon simple physical contact, and supports tissue adhesion. Furthermore, the hydrogel effectively covers irregular-shaped wound and can be removed without causing secondary injury. More importantly, this multifunctional hydrogel is cost-effective, easy to synthesize, and simple to use, significantly accelerating skin regeneration and promoting the formation of skin appendages, such as hair follicles. The outcome of this research not only serves a tissue sealant for wound healing, but also presents a new strategy for creating novel polysaccharide-based biomaterials. Full article
(This article belongs to the Section Gel Chemistry and Physics)
Show Figures

Figure 1

24 pages, 11871 KB  
Article
Machine Learning-Based Prediction of Micromechanical Properties of GAP-BPS Binders Using Molecular Simulation Data
by Haitao Zheng, Wei Zhou, Peng Cao, Xianqiong Tang, Xing Zhou and Boyuan Yin
Coatings 2026, 16(4), 495; https://doi.org/10.3390/coatings16040495 - 18 Apr 2026
Abstract
The crosslinked binders formed by using glycidyl azide polymer (GAP) as the binder matrix and bis-propargyl succinate (BPS) as the curing agent have good application prospects in the field of solid propellants. Aiming at the shortcomings of traditional experimental research, such as high [...] Read more.
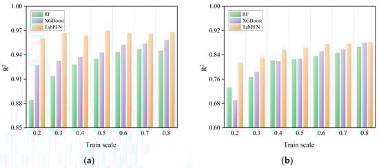
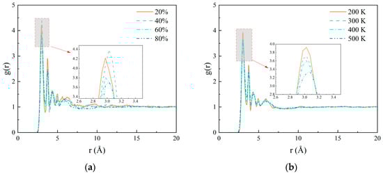
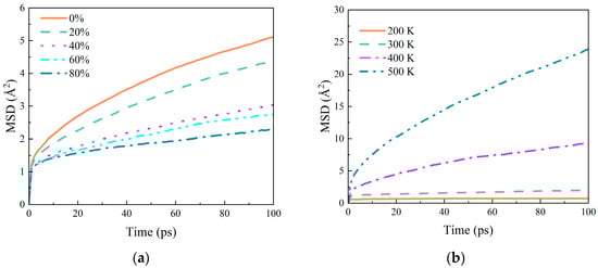
The crosslinked binders formed by using glycidyl azide polymer (GAP) as the binder matrix and bis-propargyl succinate (BPS) as the curing agent have good application prospects in the field of solid propellants. Aiming at the shortcomings of traditional experimental research, such as high cost, and molecular dynamics (MD) simulation, which are time-consuming for complex combination problems, this study will realize accurate prediction of the mechanical properties of binders through machine learning (ML) based on the molecular simulation dataset. Firstly, 273 sets of GAP-BPS binder models under different conditions were formed based on 21 crosslinking degrees and 13 temperatures, and MD simulation and mechanical property simulation were carried out. Then, the initial conditions of molecular simulation (crosslinking degree, temperature) and structural parameters (free volume) were taken as features, and the bulk modulus and shear modulus were taken as labels to form the dataset. Three machine learning models were trained and evaluated based on this dataset to test their prediction performance. Based on the cross-validation results, the Tabular Prior Data Fitting Network (TabPFN) exhibits the highest average prediction values (the average R2 for bulk modulus and shear modulus were 0.9684 and 0.8827, respectively). But the significance analysis reveals that TabPFN significantly outperforms the RF model only in predicting bulk modulus. In subsequent prediction tasks with smaller datasets, TabPFN achieves superior average prediction values compared with RF and XGBoost. Full article
(This article belongs to the Section Functional Polymer Coatings and Films)
Show Figures

Figure 1

22 pages, 2081 KB  
Review
Penicillin-Binding Protein-4 (PBP4) of Staphylococcus aureus and Its Role in β-Lactam Resistance: An Update
by Nidhi Satishkumar and Som S. Chatterjee
Microorganisms 2026, 14(4), 917; https://doi.org/10.3390/microorganisms14040917 - 18 Apr 2026
Viewed by 45
Abstract
Staphylococcus aureus remains to be one of the leading causes of global mortality. The most common class of antibiotics used to treat S. aureus infections are next-generation β-lactams (NGBs), as they are highly efficacious and have low adverse effects. NGB resistance in S. [...] Read more.
Staphylococcus aureus remains to be one of the leading causes of global mortality. The most common class of antibiotics used to treat S. aureus infections are next-generation β-lactams (NGBs), as they are highly efficacious and have low adverse effects. NGB resistance in S. aureus is classically attributed to penicillin-binding protein-2a (PBP2a), but previous studies from our group have also implicated an altered expression of penicillin-binding protein-4 (PBP4) with NGB resistance. PBP4 is the sole low-molecular-mass (LMM) PBP present in S. aureus; it is also the only known LMM PBP with transpeptidase activity, giving it the unique ability to bring about peptidoglycan cross-linking. In this article, we review some of the recent findings from our group, which reveal that mutations associated with PBP4 lead to altered protein expression and NGB resistance in both methicillin-susceptible S. aureus (MSSA) and methicillin-resistant S. aureus (MRSA) backgrounds. We discuss the clinical relevance of PBP4-associated mutations, particularly in methicillin-resistant lacking mec (MRLM) isolates, as well as the synergistic effect of altered PBP4 and GdpP functions. Finally, this review summarizes the potential role played by PBP4 in S. aureus virulence. Together, we highlight the increasing relevance of PBP4 as a mediator of NGB resistance and discuss its potential as an important factor during infection diagnosis and therapy. Full article
(This article belongs to the Section Antimicrobial Agents and Resistance)
Show Figures

Figure 1

16 pages, 3498 KB  
Article
Comparative Study on the Performance and Hydration Mechanism of Coal Gangue Cementitious Materials with Different Alkali Activators
by Chao Geng, Yajie Gao, Quanming Li, Zongyuan Mao, Xianfeng Shi, Wei Li, Yajie Wang, Cheng Chen, Hong Zhang and Yukai Wang
Materials 2026, 19(8), 1631; https://doi.org/10.3390/ma19081631 - 18 Apr 2026
Viewed by 38
Abstract
Coal gangue (CG) ranks among China’s most significant industrial solid by-products. In response to China’s carbon neutrality commitments and the growing emphasis on resource recycling, finding effective ways to valorize CG has emerged as a pressing concern. Based on the mineral composition and [...] Read more.
Coal gangue (CG) ranks among China’s most significant industrial solid by-products. In response to China’s carbon neutrality commitments and the growing emphasis on resource recycling, finding effective ways to valorize CG has emerged as a pressing concern. Based on the mineral composition and chemical composition characteristics of CG, this study systematically investigated the enhancement effects of three alkali activators (Na2SiO3, NaOH, and Ca(OH)2) on the cementitious properties of CG. Through different dosage and compressive strength tests, the efficiency ranking of the three activators was determined as follows: Na2SiO3 > Ca(OH)2 > NaOH. A 10% Na2SiO3 dosage combined with 28-day curing was identified as the optimal condition for achieving sufficient reaction and structural densification. Under these conditions, the compressive strength of CG cementitious material reached 6.4 MPa, representing an increase of 190.9% compared to the blank group (2.2 MPa), significantly superior to Ca(OH)2 (69.55%) and NaOH (62.27%). X-ray diffraction (XRD) and scanning electron microscopy-energy dispersive spectroscopy (SEM-EDS) analyses revealed that alkali activators function primarily by disrupting the crystalline framework of CG, promoting the cross-linking polymerization of silicon–aluminum monomers to generate dense cementitious products, thereby improving material performance. The Na2SiO3 is attributed to its “dual activation effect”, providing OH to create an alkaline environment while supplying reactive silicate ions (SiO32−) to accelerate N-A-S-H gel and C-A-S-H gel formation. These findings offer guidance for optimizing CG-based cementitious formulations for formula optimization and large-scale utilization of CG cementitious materials. Full article
(This article belongs to the Section Construction and Building Materials)
20 pages, 3829 KB  
Article
Hemp Seed Protein-Based Emulsion Films Containing Propolis Flavonoids: Enhanced Physicochemical Properties and Preservation of Chilled Pork
by Yuhan Cui, Youxin Yan, Yuhang Tian, Xuan Li and Feng Xue
Coatings 2026, 16(4), 489; https://doi.org/10.3390/coatings16040489 - 17 Apr 2026
Viewed by 160
Abstract
Hydrophilic colloids are ideal materials for preparing edible films; however, their intrinsic hydrophilicity leads to poor hydrophobicity in the resulting films. Emulsion-based films can significantly improve the hydrophobicity of films made from hydrophilic colloids, but this approach tends to disrupt intermolecular interactions within [...] Read more.
Hydrophilic colloids are ideal materials for preparing edible films; however, their intrinsic hydrophilicity leads to poor hydrophobicity in the resulting films. Emulsion-based films can significantly improve the hydrophobicity of films made from hydrophilic colloids, but this approach tends to disrupt intermolecular interactions within the film matrix. Phenolic compounds can compensate for this drawback by promoting crosslinking among film-forming polymers. In this study, hemp seed protein was used as the film-forming matrix, and rose essential oil was incorporated to prepare emulsion-based films. Different amounts of propolis flavonoids were added to investigate their effects on the physicochemical properties of the films. The results show that the addition of propolis flavonoids significantly reduced film whiteness (9%–45%), thickness (6%–37%), light transmittance (9%–60%), water vapor transmission rate (34%–65%), and peroxide value (25%–76%) of oil, while increasing tensile strength (15%–149%), elongation at break (24%–95%), Young’s modulus (26%–140%), surface hydrophobicity, thermal stability, and antioxidant and antimicrobial activities. Furthermore, pork wrapped with flavonoid-containing films exhibited inhibition of microbial growth, lipid oxidation, protein degradation, and maintained firmness. Therefore, propolis flavonoids represent a potential active ingredient for improving the physicochemical properties and preservative performance of emulsion-based films. Full article
(This article belongs to the Special Issue Biopolymer-Derived Edible and Biodegradable Films and Coatings)
Show Figures

Figure 1

20 pages, 2791 KB  
Article
Transdermal Delivery of Sonidegib via Iontophoresis from PEDOT:PSS/Gelatin Hydrogels for Basal Cell Carcinoma Skin Cancer
by Phimchanok Sakunpongpitiporn, Johannes Schwank, Napa Parinyanitikul, Sutima Luangdilok, Nattaya Teeyapun, Aumpika Kesornsit and Anuvat Sirivat
Pharmaceutics 2026, 18(4), 494; https://doi.org/10.3390/pharmaceutics18040494 - 17 Apr 2026
Viewed by 148
Abstract
Background/Objectives: Skin cancers belong to the most frequent cancer type with over a million cases per year. Presently, transdermal drug delivery systems (TDDS) are an attractive drug delivery route, but they still face some limitations due to the resistance of human skin. [...] Read more.
Background/Objectives: Skin cancers belong to the most frequent cancer type with over a million cases per year. Presently, transdermal drug delivery systems (TDDS) are an attractive drug delivery route, but they still face some limitations due to the resistance of human skin. Methods: Here, Sonidegib, PEDOT:PSS, and gelatins were employed as the model drug, drug carrier, and drug matrix, respectively. Results: Gelatin hydrogels were fabricated via the physical crosslinking to avoid toxicity towards the human skin. PEDOT:PSS was synthesized by chemical oxidative polymerization as the drug carrier. Sonidegib first interacted with PEDOT:PSS before they were embedded into the gelatin hydrogels. In the release and release-permeation experiments, the amounts of Sonidegib released and permeated were investigated under the effects of gelatin types, concentrations, pH values, PEDOT:PSS, and electrical voltages. For the effect of gelatin types, the BG gelatin provided higher amounts of Sonidegib release than PG from the higher electrorepulsive force. Under applied electrical voltages and with PEDOT:PSS present, the amounts of Sonidegib release and release-permeation amounts increased as PEDOT:PSS assisted in providing higher electroosmosis and electrorepulsive forces. Conclusions: In summary, PEDOT:PSS in the BG hydrogel is demonstrated here as a potential drug carrier to improve the Sonidegib release and release-permeation iontophoretically for TDDS. Full article
Show Figures

Figure 1

17 pages, 5477 KB  
Article
Synergistic Effect of Magnesium Borate Whiskers on Antidripping and Fire Resistance of Intumescent Flame Retardant Polypropylene Composites
by Zihan Lu, Jiachen Zhu, Zi Wang, Lu Liu, Benjamin Tawiah, Long Yan and Bin Yu
Fire 2026, 9(4), 171; https://doi.org/10.3390/fire9040171 - 17 Apr 2026
Viewed by 159
Abstract
The development of high-performance flame-retardant (FR) polypropylene (PP) with high mechanical integrity remains a challenge. Herein, we demonstrate a synergistic flame retardancy system for PP achieved via partial substitution of piperazine pyrophosphate (PAPP) with 1 wt.% magnesium borate whiskers (MBW) for improved flame [...] Read more.
The development of high-performance flame-retardant (FR) polypropylene (PP) with high mechanical integrity remains a challenge. Herein, we demonstrate a synergistic flame retardancy system for PP achieved via partial substitution of piperazine pyrophosphate (PAPP) with 1 wt.% magnesium borate whiskers (MBW) for improved flame retardancy, and thermal and mechanical properties. The optimized PP/24PAPP/1MBW exhibits exceptional FR performance, driven by the formation of a highly ordered, continuous phosphorus–boron hybrid char in the condensed phase. Cone calorimetry test results reveal an 80% reduction in peak heat release rate, a 54% reduction in total heat release, and a 33% reduction in total smoke production compared to neat PP, while the UL-94 test confirms a V-0 rating with complete suppression of flaming drips. Morphological study of the char residue using Raman spectroscopy and SEM attributes this performance to enhanced char graphitization and structural coherence enabled by boron-mediated cross-linking. More importantly, this transformative flame retardancy performance is achieved without severe compromise to mechanical properties, retaining over 89% of the original tensile strength. This work confirms the PAPP/MBW system as a highly efficient, low-additive approach to creating advanced fire-safe polymer composites for engineering applications. Full article
(This article belongs to the Special Issue Recent Developments in Flame Retardant Materials, 2nd Edition)
Show Figures

Figure 1

24 pages, 3812 KB  
Article
Differential Induction and Resuscitation of the Viable but Non-Culturable (VBNC) State in Klebsiella pneumoniae by Sodium Hypochlorite and Glutaraldehyde: Insights from Energy Metabolism and Antioxidant Systems
by Chengwei Li, Honglin Ren, Yuanyuan Zhang, Ruoran Shi, Bo Zhang, Shaohui Hu, Jiaqi Hou, Ziqi Xing, Yuyang Ding, Fang Yang, Yansong Li, Shiying Lu, Qiang Lu, Zengshan Liu, Xiaoxu Wang and Pan Hu
Microorganisms 2026, 14(4), 905; https://doi.org/10.3390/microorganisms14040905 - 17 Apr 2026
Viewed by 190
Abstract
This study systematically compared the induction and resuscitation characteristics of the viable but non-culturable (VBNC) state in Klebsiella pneumoniae FY170-1 following sublethal exposure to sodium hypochlorite (NaClO) or glutaraldehyde (GA). Treatment with 30 mg/L NaClO or 60 mg/L GA for 60 min reduced [...] Read more.
This study systematically compared the induction and resuscitation characteristics of the viable but non-culturable (VBNC) state in Klebsiella pneumoniae FY170-1 following sublethal exposure to sodium hypochlorite (NaClO) or glutaraldehyde (GA). Treatment with 30 mg/L NaClO or 60 mg/L GA for 60 min reduced culturability to below the detection limit (<1 CFU/mL). However, CTC staining showed that 50.80% and 63.44% of cells, respectively, retained respiratory activity, while SYTO 9/PI staining indicated that membrane integrity was largely preserved, consistent with induction of the VBNC state. Scanning electron microscopy revealed distinct morphological alterations in the two groups. NaClO-induced VBNC cells showed surface depressions and wrinkling, consistent with oxidative damage, whereas GA-induced cells exhibited filamentous and net-like surface structures, consistent with aldehyde-mediated cross-linking. Among the tested additives, sodium succinate showed the strongest resuscitation-promoting effect under the experimental conditions, with OD600 increasing after approximately 2 h of incubation. Post-resuscitation analysis further revealed marked differences between the two VBNC states. In resuscitated NaClO-induced VBNC cells, ATP partially recovered, but reactive oxygen species remained elevated and catalase activity showed little recovery. In contrast, resuscitated GA-induced VBNC cells exhibited lower ATP recovery but more rapid normalization of ROS and better recovery of oxidative stress-related parameters. Total protein analysis and SDS-PAGE further supported distinct patterns of protein-level alteration between the two treatments. Overall, these findings suggest that NaClO and GA induce phenotypically distinct VBNC states in K. pneumoniae, with different recovery behaviors and stress response profiles. Sodium succinate was identified as the most effective recovery-promoting additive under the tested conditions. These results highlight the risk of underestimating bacterial survival when culturability is used as the sole indicator of disinfection efficacy and support the need for more comprehensive viability assessment. Full article
(This article belongs to the Section Antimicrobial Agents and Resistance)
Show Figures

Figure 1

Back to TopTop