Next Article in Journal
Non-Surgical Treatment for Hepatocellular Carcinoma: What to Expect at Follow-Up Magnetic Resonance Imaging—A Pictorial Review
Next Article in Special Issue
A Study of the Influence of Sodium Alginate Molecular Weight and Its Crosslinking on the Properties of Potato Peel Waste-Based Films
Previous Article in Journal
Ballistic Performance of Thermoplastic Fiber-Reinforced Metal Laminates Subjected to Impact Loadings
Previous Article in Special Issue
The Structural Modification of Jackfruit Leaf Proteins (Artocarpus heterophyllus Lam.) by High-Intensity Ultrasound Alters Their Techno-Functional Properties and Antioxidant Capacity
 
 
Font Type:
Arial Georgia Verdana
Font Size:
Aa Aa Aa
Line Spacing:
Column Width:
Background:
Article

Protein Fractions of Jackfruit Leaf Flour and Protein Concentrate: Amino Acid Profile, Functional Properties and Thermal Analysis

by
Carolina Calderon-Chiu
,
Montserrat Calderón-Santoyo
and
Juan Arturo Ragazzo-Sánchez
*
Laboratorio Integral de Investigación en Alimentos, Tecnológico Nacional de México/Instituto Tecnológico de Tepic, Tepic 63175, Mexico
*
Author to whom correspondence should be addressed.
Appl. Sci. 2024, 14(20), 9155; https://doi.org/10.3390/app14209155
Submission received: 16 August 2024 / Revised: 25 September 2024 / Accepted: 28 September 2024 / Published: 10 October 2024
(This article belongs to the Special Issue Design, Characterization, and Applications of Biodegradable Polymers)

Abstract

This study aims to obtain protein fractions, such as albumin, globulin, prolamin, and glutelin, from jackfruit leaf flour and protein concentrate (LPC). The protein fractions were characterised based on their protein content, amino acid profile, hydrosolubility, emulsifying, foaming, and thermal properties. The flour and LPC are mainly composed of prolamin and glutelin, respectively. The glutelin fractions presented a higher protein content and amino acid profile, featuring elevated leucine, valine, and glutamic acid levels. The glutelin fraction of LPC exhibited the highest hydrosolubility (27.7–88.6%), while globulin fractions displayed the lowest values (0.0–25.9%). The prolamin fraction of LPC showed higher foaming capacity (113.3%) and foaming stability (95.55%). The better emulsifying activity index (53.2 m2/g) and emulsion stability index (82 min) were observed in the glutelin fraction (LPC). The globulin (flour and LPC) and prolamin (flour) fractions had the highest glass transition, denaturation temperatures, and low enthalpy values. Therefore, the functional and thermal properties depend on amino acid composition and protein content. The glutelin and prolamin fractions of LPC could be used as emulsifying and foaming (respectively) agents based on vegetable proteins. LPC protein fractionation proved instrumental in obtaining proteins with superior functional properties compared to flour ones.

1. Introduction

Ensuring an adequate supply of proteins in today’s world is a challenge. Projections show that the global demand for animal-derived protein will double by 2050, which raises concerns about sustainability and food security. Animal-derived foods generate elevated amounts of greenhouse gases, contributing to climate change [1,2]. Consequently, the debate on the long-term sustainability of food systems is becoming increasingly important [3].
Alternative proteins can potentially broaden the number of protein sources available for consumption. They align with nutritional, environmental, and cultural needs and preferences while offering promising solutions to environmental challenges. These proteins, sourced from plants, insects, fungi, algae, or animal cells, provide an opportunity to consume protein-rich foods with a significantly lower environmental impact than traditional livestock products. Furthermore, the food industry is actively exploring plant-based protein alternatives due to the increasing number of vegan and health-conscious individuals [4].
Plant proteins from rapeseed, legumes, and nuts have a strong potential for stabilising emulsions, foams, or gel formation [5]. For this reason, plant proteins are a choice for the food industry, as they offer several advantages, such as their chemical and structural versatility, biodegradability, biocompatibility, and ability to encapsulate lipophilic compounds [6]. Green biomass from crops or agricultural waste provides an alternative source of plant protein and constitutes the majority of leaf protein, allowing for the production of leaf protein concentrates (LPCs).
LPC is a sustainable alternative source of animal-based protein and vital phytochemicals with nutritional and pharmacological effects. The production of the LPC, whether directly or indirectly, strongly supports sustainability and circular economy concepts, providing reassurance about the environmental benefits of this approach [7]. LPCs derived from the green biomass of lucerne (Medicago sativa), spinach (Spinacia oleracea) [8], moringa (Moringa oleifera) [9], and Azolla pinnata [10] are potential sources of edible protein. Thus, they are promising nutraceuticals or ingredients of functional and health-promoting foods. Green leaves from jackfruit (Artocarpus heterophyllus Lam.) cultivation are a significant source of plant protein in Nayarit, Mexico. The leaves are generated during tree pruning as agro-industrial by-products. Jackfruit LPC was obtained from this biomass but had low solubility. However, the use of enzymatic hydrolysis has significantly improved the functionality of this LPC, opening new possibilities for its utilisation [11].
Enzymatic hydrolysis offers advantages such as high sensitivity, reproducibility, low production costs, and environmental friendliness compared to other protein modification methods. While these benefits apply to most plant-based proteins, optimising the process conditions, including the type of enzyme, concentration, hydrolysis time, and protein source, is crucial for obtaining improved protein ingredients. If not correctly optimised, enzymatic modification could lead to unintended negative changes, such as reduced techno-functionality, lowered nutritional quality, and loss of desirable taste and texture [12]. Moreover, enzymatic hydrolysis has significant drawbacks for sample preparation, such as long sample treatment times and low analyte recoveries.
Protein fractionation provides a versatile alternative approach for enhancing the functionality of LPC. Plant protein fractionation yields albumins, globulins, prolamins, and glutelins and is adaptable to various plant sources. The solubility of these protein classes is a critical factor in creating emulsions and is crucial in the formation of suitable covalent complexes with polysaccharides, which is necessary for food formulation [13]. Each protein fraction class varies depending on the plant source, offering diverse functional properties for food applications [14].
In that sense, Hojilla-Evangelista et al. [15] conducted a study on fractionating alfalfa leaves to extract protein with desirable emulsifying and heat stability properties. However, there have been no studies on obtaining protein fractions from the green biomass of jackfruit. Therefore, this study aimed to obtain protein fractions from jackfruit leaf flour and LPC and determine their amino acid composition and functional and thermal properties. Moreover, this research sought to demonstrate that protein fractionation could be an alternative method for obtaining plant-soluble proteins with desirable functional properties for the food industry. The findings could potentially revolutionise the production and use of plant-based proteins, eliminating the need for enzymatic hydrolysis to obtain functional vegetable proteins.

2. Materials and Methods

2.1. Plant Material

The jackfruit leaves were collected from Zacualpan, Compostela, Nayarit, Mexico (21°15′ N 105°10′ W). Then, the leaves were washed and dried at 60 °C for 24 h in a convective drying oven (Novatech, HS60-AID, Guadalajara, Jalisco, Mexico). After drying, the leaves were ground and sieved through a No. 100 mesh. The resulting flour was packed in vacuum-sealed bags and stored at room temperature until use. The protein content of the flour was determined to be 24% [11].

2.2. Chemical Substances

Amino acid standards (AA-S-18), L-Norleucine (Nor), N-tert-Butyldimethylsilyl-N-methyltrifluoroacetamide (MTBSTFA), acetonitrile (HPLC grade, >99.8%), and additional chemical substances utilised in the GC-MS experiments, all of which were of the highest available purity, were procured from Sigma-Aldrich, St. Louis, MO, USA. Meanwhile, sodium hydroxide (NaOH) and hydrochloric acid (HCl) were sourced from Jalmek® in San Nicolás de los Garza, Nuevo León, Mexico.

2.3. Jackfruit LPC Extraction

For LPC extraction, the leaf flour (30 g) was mixed with distilled water (563 mL) and 0.2 M NaOH (188 mL). The homogenised mixture was subjected to ultrasound-assisted extraction using an ultrasonic bath (Digital Ultrasonic Cleaner, CD-4820, Shenzhen, Guangdong, China) at 42 kHz for 20 min (22–25 °C). Afterwards, the mixture was centrifuged at 10,000× g for 20 min at 4 °C (Hermle Z 326 K, Hermle Labortechnik GmbH, Wehingen, Germany). The supernatant was recovered, adjusted to pH 4.0 with 1 N HCl to precipitate proteins, and the proteins were recovered by centrifugation. Finally, the precipitate was diafiltered through a 1 kDa membrane and lyophilised at −50 °C and 0.12 mbar in a freeze-dried. The protein content of LPC was determined to be 65% [11].

2.4. Obtaining Protein Fractions of Jackfruit Leaf Flour and LPC

The leaf flour and LPC protein fractions were obtained via the Osborne fractionation procedure [16]. The flour and LPC were sequentially extracted with water (pH 7.0), 0.5 M NaCl, 70% ethanol, and 0.1 N NaOH at a ratio of 1:30 (w:v). The extraction process involved mechanical stirring with the solution (700 rpm, 60 min) and centrifugation at 10,000× g for 20 min at 25 °C (Hermle Z, 326 K, Hermle Labortechnik GmbH, Wehingen, Germany). Each soluble fraction was collected separately, resulting in the albumin, globulin, prolamin, and glutelin fractions, which were then freeze-dried for further analysis. Aliquots of each protein fraction were used for protein determination using the Bradford method [17].

2.5. Amino Acid Content

The protein fractions were hydrolysed with 6 M HCl for 24 h at 110 °C. After that, 100 µL of hydrolysate (or L-amino acids standards mixture) and 10 µL of Nor (0.2 mg/mL) were evaporated under nitrogen gas until dry, redissolved in 100 µL of acetonitrile and 100 µL of MTBSTFA, and incubated at 100 °C (2.5 h) in a glycerol bath. Then, 1 µL of solution was injected into a gas chromatograph [18]. GC-MS was analysed using GC equipment 7890A and mass spectrometry 240 Ion Trap (Agilent Technologies; Palo Alto, CA, USA). The amino acid content was reported as g of amino acid/100 g of dry solids. The response factor for each amino acid was calculated (Supplementary Material S1).

2.6. Functional Properties of Protein Fractions

2.6.1. Hydrosolubility

To determine the hydrosolubility, 10 mg of protein fraction were dissolved in 1 mL of distilled water adjusted to 2.0, 4.0, 6.0, 8.0, and 10.0 with 1 N HCl or NaOH. The mixture was stirred on a vortex (30 min) and centrifuged at 7500× g for 15 min (Hettich MIKRO 220R, Hettich GmbH & Co., Tuttlingen, Germany), after which the supernatant was recovered. The Bradford method was used to analyse the protein content in the supernatant [17]. The total protein content of the sample was determined after the sample (10 mg) was solubilised in 1 mL of 0.5 N NaOH. The hydrosolubility (%) was calculated by using Equation (1) [19].
Hydrosolubility (%) = (Protein content in supernatant/Total protein content) × 100

2.6.2. Foaming Properties

An aliquot (6 mL) of 0.5% protein solution (w/v) was homogenised at 16,000 rpm for 2 min (IKA T10 basic Ultra-Turrax, Staufen, Germany) in a 15 mL conical tube. The total volume was recorded after 30 s. Subsequently, the homogenised sample was allowed to stand for 10 min, and the volume was recorded. The foaming capacity FC (%) and foaming stability (FS) were subsequently calculated with Equations (2) and (3).
FC (%) = (A0 − B)/B × 100
FS (%) = (At − B)/B × 100
where A0 is the volume after homogenisation (mL), B is the volume before homogenisation (mL), and At is the volume (mL) after 10 min [11].

2.6.3. Emulsifying Properties

For emulsifying properties, 2 mL of olive oil and 6 mL of 0.5% protein solution (w/v) were homogenised for 1 min at 10,000 rpm (IKA T10 basic Ultra-Turrax, Staufen, Germany). Then, 50 μL of the emulsion were taken at 0 and 10 min (bottom of the container), diluted 100 times with 0.1% SDS solution, and stirred for 10 s (vortex). Then, the absorbances of these diluted solutions were measured at 500 nm in a spectrophotometer (Cary 50 Bio UV-Visible, Varian, Mulgrave, Australia). The absorbances of the diluted samples measured at 0 (A0) and 10 min (A10) were used to calculate the emulsifying activity index (EAI, Equation (4)) and emulsion stability index (ESI, Equation (5)).
EAI (m2/g) = 2 × 2.303 × DF × A0/c × 0.25 × 1000
ESI (min) = (A0/A0 − A10) × t
DF is a dilution factor (100), c is the hydrolysate concentration (g), and 0.25 is the fraction of olive oil used to formulate the emulsion [20].

2.7. Thermal Stability of the Fractions

Lyophilised samples (2–3 mg) were placed into hermetically sealed aluminium pans and heated (0 to 300 °C) at 10 °C/min under a nitrogen flow for DSC (Differential Scanning Calorimetry) analyses (DSC 250 equipment, TA Instruments, New Castle, DE, USA). An empty pan was used as a reference. Thermograms were analysed using Trios v5.1.146572 software (TA Instruments, New Castle, DE, USA). Then, the glass transition temperature (Tg), denaturation temperature (Td), and denaturation enthalpy (Δh) were obtained.

2.8. Statistical Analysis

A one-way ANOVA test was used for data analyses, and the data were presented as the mean ± standard deviation. The significant differences were evaluated by the Tukey HSD post-hoc test with (p < 0.05) Statistica v.12.0 (StatSoft, Inc., Tulsa, OK, USA).

3. Results and Discussion

3.1. Protein Fractions of Jackfruit Leaf Flour and Protein Concentrate

The protein fractionation of jackfruit leaf flour revealed that prolamin had the highest protein concentration and yield, followed by glutelin, globulin, and albumin (Table 1). The protein composition of jackfruit leaf flour differs from that of other plant leaves. For instance, Moringa oleifera leaves are rich in glutelin [16], whereas leaves from alfalfa [15], cauliflower, broccoli, cabbage, and beetroot have a more abundant protein fraction of albumin [21]. However, the protein content and recovery of jackfruit flour fractions were greater than those of Moringa oleifera flour [16]. The distribution of proteins in leaves and their contents may vary due to the crop, growth, and environmental conditions [22].
In contrast, for the LPC fractions, the highest protein concentration and yield were obtained for glutelin > prolamin > globulin > albumin (Table 1). However, the protein fractions in LPC had significantly (p < 0.05) higher protein content than flour. These findings suggest that obtaining protein concentrate followed by fractionation can improve the protein content. Leaf flour contains abundant material fibre (approximately 39% of carbohydrates), and proteins (about 24%) are retained within the fibre structure [11]. Furthermore, protein is difficult to separate from the leaf fibres during fractionation, which explains the low protein content in the flour fractions. On the contrary, a significant amount of fibrous material was removed during ultrasound-assisted extraction, resulting in higher protein content in the fractions in LPC.

3.2. Amino Acid Profile

The analysis revealed a greater level of amino acids in the LPC fractions than in the flour fractions (Table 2). This observation reinforces the hypothesis that the extraction process contributes to a more concentrated protein and a more comprehensive removal of non-protein constituents, yielding superior purity protein fractions. These findings also indicate that the glutelin fractions of flour and LPC exhibited higher hydrophobic amino acid, aromatic amino acid, negatively charged amino acid, branch chain amino acid, and total amino acid (TAA) levels. The most abundant amino acids in these fractions were leucine, valine, and glutamic acid. The amino acid profile differs from that of the protein fractions of Amaranthus dubis leaves, with albumin being the most abundant fraction and containing high levels of aspartic acid, glutamine, and arginine [23]. This variation can be attributed to the composition of the foliar materials.
Moreover, the glutelin fractions in this study contained higher levels of hydrophobic amino acids compared to the protein concentrate of the green biomass Azolla pinnata fern (38.9 g/100 g). Higher levels of hydrophobic amino acids provide favourable surface active properties, such as emulsification and oil-binding properties [10]. Surface-active biopolymers must undergo migration, adsorption, and integration at the oil-water interface to decrease the interfacial tension. This process facilitates the positioning of hydrophobic amino acids toward the oil phase and hydrophilic moieties toward the aqueous phase [24].
Interestingly, the albumin fractions presented a greater TAA than the prolamin and globulin fractions. The prolamin fractions had low amino acid levels, and in the globulin fractions, no amino acids were detected despite their protein content being higher than that of the albumin fractions (Figure 1). The low detection or absence of amino acids, especially in the flour fractions, may result from impurities that hinder effective hydrolysis during sample processing. The incomplete recovery of amino acids could be ascribed to specific amino acids not being completely hydrolysed [25]. As a result, some amino acids produce multiple forms of tert-butyl dimethylsilyl (TBDMS) derivatives or incomplete derivatisation and interfere with the quantification [26]. This finding highlights the necessity for additional purification steps for globulin and prolamin fractions, indicating their limited suitability for food processing technologies in their current form. Likewise, the protein fractions did not contain lysine, arginine, histidine, and methionine. The absence of these amino acids may be attributed to the racemisation of amino acids or reactions of side chains with other components during prolonged exposure to hot acid [25].
Table 2. Amino acid composition (g/100 of dry solids) of the protein fractions of flour and LPC.
Table 2. Amino acid composition (g/100 of dry solids) of the protein fractions of flour and LPC.
Leaf Flour FractionsLeaf Protein Concentrate FractionsWHO/
FAO 7
Amino AcidAlbuminProlaminGlutelinAlbuminProlaminGlutelin
Alanine0.34 ± 0.02 a0.09 ± 0.02 a4.00 ± 1.37 a0.34 ± 0.14 and6.00 ± 0.40 b
Glycine0.20 ± 0.04 a0.14 ± 0.01 a1.94 ± 1.11 a0.26 ± 0.14 and3.32 ± 0.90 a
Valine 3*0.50 ± 0.02 a0.13 ± 0.02 a6.54 ± 0.64 a0.50 ± 0.18 a0.16 ± 0.12 a8.44 ± 0.41 b3.9
Leucine 3*0.13 ± 0.01 a0.19 ± 0.02 a8.58 ± 0.29 a0.31 ± 0.16 a0.28 ± 0.06 a10.01 ± 0.17 b5.9
Isoleucine 3*0.21 ± 0.02 a0.10 ± 0.02 a5.01 ± 0.47 a0.33 ± 0.14 a0.14 ± 0.06 a5.83 ± 0.24 b3.0
Proline3.07 ± 0.14 a0.39 ± 0.02 a2.52 ± 0.69 a1.82 ± 0.49 bnd2.63 ± 0.45 a
Serinendnd0.90 ± 0.03 and0.07 ± 0.01 a0.89 ± 0.03 a
Threonine 3*ndnd1.70 ± 0.71 and0.02 ± 0.02 a2.49 ± 0.24 a2.3
Phenylalanine 3*0.13 ± 0.02 and1.91 ± 0.53 and0.03 ± 0.01 a3.05 ± 0.07 b3.8 **
Aspartic acid0.23 ± 0.00 and5.08 ± 0.34 a0.07 ± 0.08 b0.11 ± 0.04 a5.17 ± 0.26 a
Glutamic acid0.44 ± 0.01 and5.59 ± 2.30 a0.21 ± 0.02 bnd7.30 ± 0.73 a
Tyrosine0.08 ± 0.03 and3.62 ± 2.26 a0.07 ± 0.00 and3.88 ± 0.08 a3.8 **
HAA 14.47 ± 0.19 a0.9 ± 0.09 a32.18 ± 3.45 a3.37 ± 1.04 b0.61 ± 0.20 b39.85 ± 0.19 b
AAA 20.21 ± 0.04 and5.52 ± 2.78 a0.07 ± 0.00 b0.03 ± 0.01 a6.94 ± 0.16 a
EAA 3*0.98 ± 0.05 a0.42 ± 0.06 a23.74 ± 0.16 a1.14 ± 0.49 a0.63 ± 0.18 a29.82 ± 0.50 b
NCAA 40.67 ± 0.02 and10.67 ± 1.95 a0.28 ± 0.03 b0.11 ± 0.04 a12.47 ± 0.48 b
BCAA 50.68 ± 0.01 a0.39 ± 0.06 a17.59 ± 0.61 a0.98 ± 0.45 a0.42 ± 0.12 a21.85 ± 0.01 b
TAA 65.34 ± 0.25 a1.04 ± 0.09 a47.39 ± 7.19 a3.91 ± 0.89 b0.8 ± 0.15 a59.03 ± 1.84 b
1 HAA: Hydrophobic amino acids, 2 AAA: Aromatic amino acids, 3* EAA: Essential amino acids, 4 NCAA: Negatively charged amino acids, 5 BCAA: Branch chain amino acids, 6 TAA: Total amino acids, 7 EAA by the WHO/FAO (2007) for adults [27]. ** Tyrosine + phenylalanine. Different letters in the same row indicate significant differences for a specific amino acid between the leaf and LPC fractions. nd: not detected. Cysteine and tryptophan were not quantified.
Nonetheless, the amino acid compositions of the glutelin fractions of flour and LPC were superior to those of the other fractions. In fact, the glutelin fractions contained five essential amino acids, including valine, leucine, isoleucine, phenylalanine, and tyrosine. These essential amino acids met the recommended levels outlined by the WHO/FAO (2007) for adults [27]. In contrast, the albumin and prolamin fractions presented insufficient levels of essential amino acids. Unexpectedly, the glutelin fractions (flour and LPC) displayed a higher total amino acid (TAA) content than did the protein hydrolysates obtained by enzymatic hydrolysis with pepsin (37.4 g) and pancreatin (43.8 g) in previous investigations [18]. Notably, the protein hydrolysates did not contain tyrosine. In contrast, the glutelin protein fractions showed a concentration similar to that of LPC (3.41 g), suggesting that some amino acids may not be released entirely during enzymatic hydrolysis. These findings emphasise the effectiveness of protein fractionation from the leaf or LPC, which could be a convenient and time-efficient method for obtaining high-quality protein fractions.

3.3. Functional Properties of Protein Fractions

3.3.1. Hydrosolubility

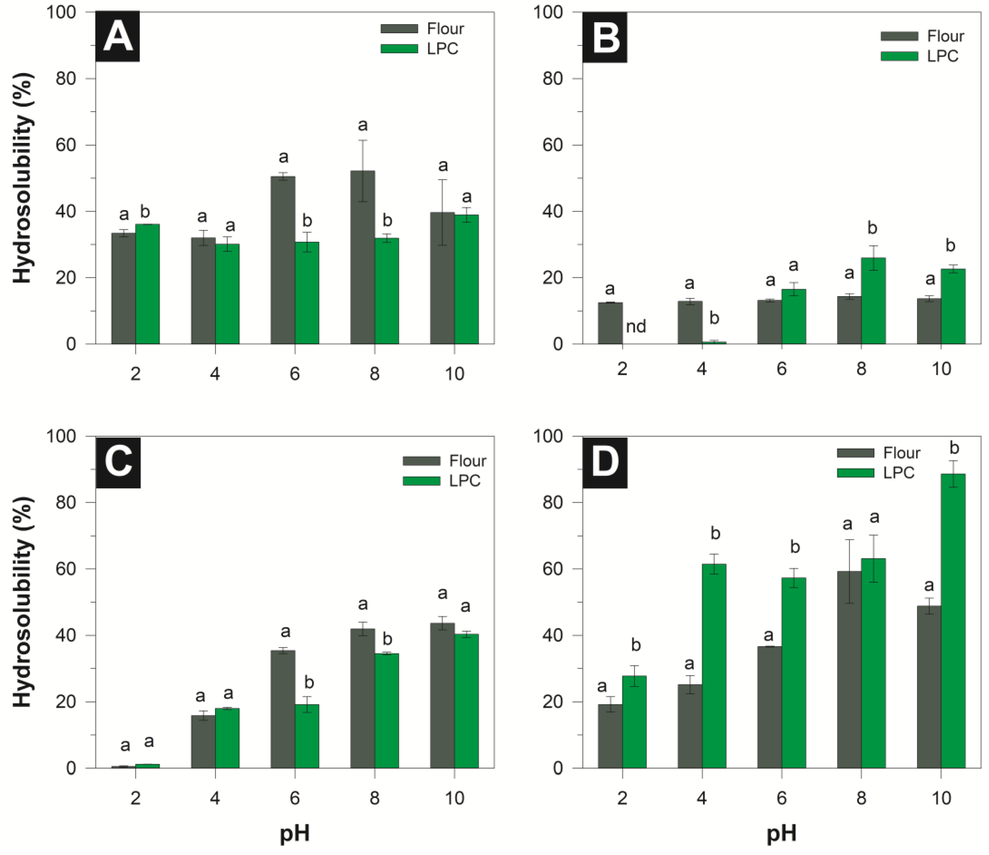
Protein hydrosolubility is crucial for their functional role in food systems, such as emulsification, foaming, and gelation. It refers to the amount of protein in the water phase compared with the total protein content [28]. The hydrosolubility of the protein fractions exhibited pH-dependent behaviour, except for flour globulin (12.4–14.3%) (Figure 2). Under acidic pH conditions (near the isoelectric point), the hydrosolubility of the protein was minimal or non-existent due to the reduction in protein-water interactions. Low hydrosolubility is a result of the low electrostatic repulsion of proteins by hydrophobic interactions. These interactions increase the hydrophobicity of the surface and lead to protein aggregation and precipitation [29]. However, a significant increase in hydrosolubility (p < 0.05) was observed as a function of pH when the pH increased from 4.0 to 10.0. This enhancement occurs because protein molecules have a greater net negative charge, decreasing protein-protein interactions [10].
The glutelin fraction of LPC exhibited the highest hydrosolubility, ranging from 27.7 to 88.6%, while the glutelin fraction of flour presented a hydrosolubility ranging from 19.1 to 59.2%. This was followed by the albumin fraction of flour (32.0 to 52.1%) and the prolamin fractions of flour and LPC (0.4 to 43.6%). The globulin fractions of flour and LPC displayed the lowest hydrosolubility values (0.0 to 25.9%). The high hydrosolubility of the flour and LPC glutelin fractions may be attributed to the abundance of amino acid residues such as aspartic and glutamic acids (Table 2). These amino acids are recognised for their ability to increase the hydrosolubility of proteins under alkaline conditions [10]. Consequently, the remaining fractions, those low in or lacking these amino acids, would exhibit diminished hydrosolubility values. The Azolla pinnata fern protein concentrate exhibited hydrosolubility values ranging from 24.3 to 55.3% at pH values between 4.0 and 12.0 [10]. Additionally, the alfalfa protein concentrate showed a hydrosolubility of 50% within the pH range of 5.5 to 10.0 [15]. The presence of aspartic and glutamic acids was also ascertained for these green biomass proteins.
On the other hand, in previous investigations [11], the hydrosolubility of jackfruit LCP ranged from 3.6 to 61.9% (pH 6.0 to 10.0), and in the protein hydrolysates of pepsin and pancreatin, the hydrosolubility was found to be in the range of 19–41% and 60–98%, respectively (pH values of 4.0 to 10.0). The hydrosolubility values of these protein concentrates and pepsin hydrolysates were similar to the hydrosolubility values of the albumin fractions in flour. Notably, the hydrosolubility of the protein hydrolysates of pancreatin was relatively comparable to that of the glutelin fraction of LPC, which shows that the fractionation of plant proteins could be an alternative to protein modification via enzymatic methods.

3.3.2. Foaming and Emulsifying Properties

The capacity of proteins to generate enduring foams is essential in producing a diverse range of food products. The foaming capacity (FC) and foaming stability (FS) are commonly used as critical metrics for evaluating the foaming properties of proteins. Although the glutelin fractions presented greater amino acid contents and enhanced hydrosolubility compared to the other protein fractions, the findings indicated that the prolamin fraction of the LPC presented the most notable (p < 0.05) FC (Figure 3A) and FS (Figure 3B), followed by the albumin and prolamin fractions. In contrast, globulin demonstrated the lowest FC without FS, which is consistent with the hydrosolubility results obtained for this particular protein fraction.
Although the foaming properties of proteins have been widely studied, their foaming behaviour cannot be attributed only to factors such as hydrosolubility and amino acid composition [30]. Indeed, the FC is influenced by the adsorption rate, flexibility, and hydrophobicity, and the FS is determined by the rheological properties of the films, including hydration, thickness, protein concentration, and favourable intermolecular interactions [31]. These variables present a potential explanation for the observed foaming characteristics of the prolamin fraction and permit further exploration in future research. The FC and FS of the prolamin fraction were greater than those reported for the foam (pH 7.0) formed with the alfalfa concentrate [15], A. pinnata fern protein concentrate [10], and broccoli leaf protein [21]. This was observed even with lower protein concentrations than those reported by the respective authors. Also, the results demonstrated superior FC (70–100%) and FS (42–70%) compared to the findings for jackfruit LPC and its hydrolysates, as documented in previous studies [11].
The emulsifying properties of proteins are also significant in emulsion-based food systems. These properties are evaluated through the emulsifying activity index (EAI) and emulsifying stability index (ESI). The fractions containing glutelin (flour and LPC) exhibited the highest EAI (Figure 3C) and ESI (Figure 3D), followed by albumin (flour), prolamin (LPC), and globulin (flour and LPC). This pattern was related to the hydrosolubility profiles of the protein fractions (Figure 2). Specifically, a higher concentration of soluble proteins facilitates rapid migration to the oil-water interface, consequently enhancing the formation and stability of emulsions [32]. Then, the high EAI and ESI exhibited by the glutelin and albumin fractions can be attributed to this observation.
In the same way, the glutelin and albumin fractions contained significantly more hydrophobic amino acids than the other fractions. As discussed earlier, this finding positively impacts their ability to create emulsions and their capacity to absorb oil. Furthermore, the high concentration of ionisable amino acids in the glutelin fraction, such as aspartic acid, glutamic acid, and tyrosine, enhances its emulsifying ability. The amino acids aspartic acid and glutamic acid can also react with calcium ions, leading to the formation of aggregates that strengthen gelation. Consequently, the substantial presence of these specific amino acids within the protein structure can promote the interactions with calcium ions and facilitate the encapsulation of substances. This observation highlights the potential of plant-based sources as viable coating materials for the encapsulation technique in question. It suggests potential practical uses in food science for the glutelin fraction [33].
The EAI and ESI results of the glutelin fraction of LPC were notably similar to those obtained for pancreatin protein hydrolysates derived from jackfruit LPC [11]. These findings highlight the fundamental role of protein fractionation in the production of plant proteins with favourable hydrosolubility and foaming and emulsifying properties, with promising potential for enhancing functionality without resorting to enzymatic hydrolysis.

3.4. Thermal Stability of the Fractions

Differential scanning calorimetry (DSC) analysis revealed that the flour protein fractions displayed endothermic events at denaturation temperatures (Td) and Tg (glass transition temperature) that were greater than those of the LPC fractions (Figure 4 and Table 3). The observed behaviour was attributed to differences in protein content between the flour and LPC fractions and possibly residual co-products that were not completely removed during the fractionation process of flour. Notably, proteins extracted from plant materials rich in cellulose, hemicellulose, and dietary fibre often significantly discard these components [22]. Nevertheless, these findings suggest that these materials were partially eliminated during flour fractionation. Consequently, the presence of cellulose (200 to 220 °C), hemicellulose (40 °C), lignin (50 to 100 °C), or pectin (16.8–24.6 °C) in the protein fractions of flour could increase the Tg [34].
In that sense, the globulin (flour and LPC) and prolamin (flour) fractions had the highest Tg and Td values compared to other fractions, indicating significant co-products in these fractions. Additionally, variations in protein structure and the interactions of proteins with residual salts contribute to the high Tg and Td [35]. Particularly in the case of globulins extracted in NaCl solution, remnants of salts could also explain this behaviour, as well as the lack of detection of amino acids and poor functional properties. Furthermore, the albumin, prolamin, and glutelin fractions of LPC displayed higher Tg values than those reported for LPC (130.8 °C) prior to fractionation, indicating enhanced thermal stability in protein fractions and Tg values comparable to those reported for their protein hydrolysates (134.0–142 °C) [18].
All flour fractions exhibited two endothermic events at denaturation temperatures higher than those of the LPC fractions (Table 3), which were attributable to the thermal transition of proteins. In contrast, albumin and globulin isolated from LPC exhibited a single endothermic event, whereas the prolamin and glutelin fractions presented two endothermic events. These observations highlight the importance of the protein composition of the material at the start of the fractionation process, as it significantly influences the thermal profile of the resulting fractions. A high Td indicates heightened thermal stability in proteins and characterises the disruption of hydrogen bonds crucial to maintaining tertiary protein structures. Then, a higher Td for flour fractions could suggest that the polypeptides of these proteins have a more compact tertiary structure [35]. This could explain the low functional properties of the flour fractions compared with those of the LPC.
Although the flour protein fractions had high denaturation temperatures, their denaturation enthalpies were lower than those of the LPC fractions. These suggest that LPC fractions require more energy for denaturation, indicating superior stability [36]. The thermal stability of a protein may be associated with the composition of amino acids. A greater proportion of hydrophobic amino acids may contribute to the formation of a more condensed internal core within the protein, thereby enhancing its thermal stability [10]. The fractions containing a higher proportion of hydrophobic amino acids, such as glutelin and albumin, presented elevated enthalpy values, in contrast to the prolamin and globulin fractions, which exhibited low hydrophobic amino acid content and enthalpy levels. In previous studies, the protein hydrolysates of jackfruit leaf proteins displayed two endothermic events with lower denaturation enthalpies compared to the glutelin fraction [11]. These results emphasise the potential of protein fractionation of LPC to enhance its thermal stability and functional properties.

4. Conclusions

Albumin, globulin, prolamins, and glutelin were obtained by fractionating jackfruit flour and protein concentrate. The flour exhibited a higher prolamin content, whereas the LPC presented a higher glutelin content. The fractions exhibited distinct functional and thermal properties, which were dependent on the protein content and amino acid composition. Fractions obtained from LPC exhibited higher protein content and recovery than flour fractions. The glutelin from LPC had a better amino acid profile, high hydrosolubility, good emulsifying properties, and superior thermal stability compared to the other fractions. On the other hand, the prolamin fraction of the LPC had better foaming properties. Thermal analysis revealed that non-protein components (impurities) in the flour fractions derived from the extraction process and fractionation conditions significantly impacted the thermal properties and functionality. Thus, additional purification steps are necessary for potential technological applications. This study revealed that the use of LPC followed by fractionation results in obtaining proteins with high protein content, improved amino acid composition, enhanced functional properties, and increased thermal stability. These results indicate the potential use of glutelin from LPC as an alternative protein of plant origin in applications involving high temperatures, such as spray-drying, and in industries including beverages and baking. Therefore, the LPC glutelin fractions could be used in future studies to create O/W emulsions, effectively delivering lipid-soluble compounds. These protein fractions could also be investigated as wall materials in microencapsulation processes.
It is still necessary to explore other techno-functional or biological properties of protein fractions that allow obtaining multifunctional ingredients/additives of great interest in various sectors, such as food, pharmaceuticals, and cosmetics. In this sense, the antioxidant and gelling capacity of glutelin fractions could be explored in future studies due to their high content of aspartic and glutamic acids. Likewise, the high levels of branched-chain amino acids such as valine and leucine could indicate using the glutelin fraction of LPC as a food supplement.

Supplementary Materials

The following supporting information can be downloaded at: https://www.mdpi.com/article/10.3390/app14209155/s1, Table S1. Protein fractions from jackfruit leaf flour and LPC.

Author Contributions

C.C.-C.: Conceptualization; Methodology; Formal analysis; Data curation; Investigation, Writing—original draft; Writing—review and editing; Visualization. M.C.-S.: Conceptualization; Methodology; Writing—review and editing; Visualization. J.A.R.-S.: Project administration; Conceptualization; Methodology; Resource; Supervision; Writing—original draft; Writing—review and editing; Visualization; Funding acquisition. All authors have read and agreed to the published version of the manuscript.

Funding

This study was funded by the CYTED thematic network (number 319RT0576).

Institutional Review Board Statement

Not applicable.

Informed Consent Statement

Not applicable.

Data Availability Statement

The data used in this study will be made available upon reasonable request from the corresponding author.

Acknowledgments

The authors extend their gratitude to CONACYT (Consejo Nacional de Ciencia y Tecnología-Mexico) for scholarship number 713740, which was conferred upon Carolina Calderón-Chiu, and to Julio César Barros-Castillo for providing technical support for GC-MS analysis.

Conflicts of Interest

The authors declare no conflicts of interest.

References

  1. Henchion, M.; Hayes, M.; Mullen, A.; Fenelon, M.; Tiwari, B. Future Protein Supply and Demand: Strategies and Factors Influencing a Sustainable Equilibrium. Foods 2017, 6, 53. [Google Scholar] [CrossRef]
  2. Ishwarya Shankaran, P.; Kumari, P. Nutritional Analysis of Plant-Based Meat: Current Advances and Future Potential. Appl. Sci. 2024, 14, 4154. [Google Scholar] [CrossRef]
  3. Duluins, O.; Baret, P.V. A Systematic Review of the Definitions, Narratives and Paths Forwards for a Protein Transition in High-Income Countries. Nat. Food 2024, 5, 28–36. [Google Scholar] [CrossRef] [PubMed]
  4. Talwar, R.; Freymond, M.; Beesabathuni, K.; Lingala, S. Current and Future Market Opportunities for Alternative Proteins in Low- and Middle-Income Countries. Curr. Dev. Nutr. 2024, 8, 102035. [Google Scholar] [CrossRef] [PubMed]
  5. Fasolin, L.H.; Pereira, R.N.; Pinheiro, A.C.; Martins, J.T.; Andrade, C.C.P.; Ramos, O.L.; Vicente, A.A. Emergent Food Proteins—Towards Sustainability, Health and Innovation. Food Res. Int. 2019, 125, 108586. [Google Scholar] [CrossRef] [PubMed]
  6. Samborska, K.; Boostani, S.; Geranpour, M.; Hosseini, H.; Dima, C.; Khoshnoudi-Nia, S.; Rostamabadi, H.; Falsafi, S.R.; Shaddel, R.; Akbari-Alavijeh, S.; et al. Green Biopolymers from By-Products as Wall Materials for Spray Drying Microencapsulation of Phytochemicals. Trends Food Sci. Technol. 2021, 108, 297–325. [Google Scholar] [CrossRef]
  7. Domokos-Szabolcsy, É.; Yavuz, S.R.; Picoli, E.; Fári, M.G.; Kovács, Z.; Tóth, C.; Kaszás, L.; Alshaal, T.; Elhawat, N. Green Biomass-Based Protein for Sustainable Feed and Food Supply: An Overview of Current and Future Prospective. Life 2023, 13, 307. [Google Scholar] [CrossRef]
  8. Nynäs, A.-L.; Newson, W.R.; Langton, M.; Wouters, A.G.B.; Johansson, E. Applicability of Leaf Protein Concentrates from Various Sources in Food: Solubility at Food-Relevant PH Values and Air-Water Interfacial Properties. LWT 2023, 184, 114962. [Google Scholar] [CrossRef]
  9. Avilés-Gaxiola, S.; León-Félix, J.; Jiménez-Nevárez, Y.B.; Angulo-Escalante, M.A.; Ramos-Payán, R.; Colado-Velázquez, J.; Heredia, J.B. Antioxidant and Anti-Inflammatory Properties of Novel Peptides from Moringa oleifera Lam. Leaves. S. Afr. J. Bot. 2021, 141, 466–473. [Google Scholar] [CrossRef]
  10. Qoms, M.S.; Arulrajah, B.; Shamsudin, R.; Ibadullah, W.Z.W.; Saari, N. Valorization of Green Biomass Azolla Pinnata Fern: Multi-parameter Evaluation of Processing Conditions on Protein Extractability and Their Influence on the Physicochemical, Structural, Techno-functional Properties and Protein Quality. J. Sci. Food Agric. 2022, 102, 6974–6983. [Google Scholar] [CrossRef]
  11. Calderón-Chiu, C.; Calderón-Santoyo, M.; Herman-Lara, E.; Ragazzo-Sánchez, J.A. Jackfruit (Artocarpus heterophyllus Lam) Leaf as a New Source to Obtain Protein Hydrolysates: Physicochemical Characterization, Techno-Functional Properties and Antioxidant Capacity. Food Hydrocoll. 2021, 112, 106319. [Google Scholar] [CrossRef]
  12. Olatunde, O.O.; Owolabi, I.O.; Fadairo, O.S.; Ghosal, A.; Coker, O.J.; Soladoye, O.P.; Aluko, R.E.; Bandara, N. Enzymatic Modification of Plant Proteins for Improved Functional and Bioactive Properties. Food Bioprocess. Technol. 2023, 16, 1216–1234. [Google Scholar] [CrossRef]
  13. Ding, Y.; Chen, L.; Shi, Y.; Akhtar, M.; Chen, J.; Ettelaie, R. Emulsifying and Emulsion Stabilizing Properties of Soy Protein Hydrolysates, Covalently Bonded to Polysaccharides: The Impact of Enzyme Choice and the Degree of Hydrolysis. Food Hydrocoll. 2021, 113, 106519. [Google Scholar] [CrossRef]
  14. Day, L. Proteins from Land Plants—Potential Resources for Human Nutrition and Food Security. Trends Food Sci. Technol. 2013, 32, 25–42. [Google Scholar] [CrossRef]
  15. Hojilla-Evangelista, M.P.; Selling, G.W.; Hatfield, R.; Digman, M. Extraction, Composition, and Functional Properties of Dried Alfalfa (Medicago sativa L.) Leaf Protein. J. Sci. Food Agric. 2017, 97, 882–888. [Google Scholar] [CrossRef]
  16. Teixeira, E.M.B.; Carvalho, M.R.B.; Neves, V.A.; Silva, M.A.; Arantes-Pereira, L. Chemical Characteristics and Fractionation of Proteins from Moringa oleifera Lam. Leaves. Food Chem. 2014, 147, 51–54. [Google Scholar] [CrossRef]
  17. Bradford, M. A Rapid and Sensitive Method for the Quantitation of Microgram Quantities of Protein Utilizing the Principle of Protein-Dye Binding. Anal. Biochem. 1976, 72, 248–254. [Google Scholar] [CrossRef]
  18. Calderón-Chiu, C.; Calderón-Santoyo, M.; Barros-Castillo, J.C.; Díaz, J.A.; Ragazzo-Sánchez, J.A. Structural Modification of Jackfruit Leaf Protein Concentrate by Enzymatic Hydrolysis and Their Effect on the Emulsifier Properties. Colloids Interfaces 2022, 6, 52. [Google Scholar] [CrossRef]
  19. Klompong, V.; Benjakul, S.; Kantachote, D.; Shahidi, F. Storage Stability of Protein Hydrolysate from Yellow Stripe Trevally (Selaroides leptolepis). Int. J. Food Prop. 2012, 15, 1042–1053. [Google Scholar] [CrossRef][Green Version]
  20. Pearce, K.N.; Kinsella, J.E. Emulsifying Properties of Proteins: Evaluation of a Turbidimetric Technique. J. Agric. Food Chem. 1978, 26, 716–723. [Google Scholar] [CrossRef]
  21. Sedlar, T.; Čakarević, J.; Tomić, J.; Popović, L. Vegetable By-Products as New Sources of Functional Proteins. Plant Foods Hum. Nutr. 2021, 76, 31–36. [Google Scholar] [CrossRef] [PubMed]
  22. Tenorio, A.T.; Kyriakopoulou, K.E.; Suarez-Garcia, E.; van den Berg, C.; van der Goot, A.J. Understanding Differences in Protein Fractionation from Conventional Crops, and Herbaceous and Aquatic Biomass—Consequences for Industrial Use. Trends Food Sci. Technol. 2018, 71, 235–245. [Google Scholar] [CrossRef]
  23. Rodríguez, P.; Pérez, E.; Romel, G.; Dufour, D. Characterization of the Proteins Fractions Extracted from Leaves of Amaranthus Dubius (Amaranthus spp.). Afr. J. Food Sci. 2011, 5, 417–424. [Google Scholar]
  24. Lima, R.R.; Stephani, R.; Perrone, Í.T.; de Carvalho, A.F. Plant-Based Proteins: A Review of Factors Modifying the Protein Structure and Affecting Emulsifying Properties. Food Chem. Adv. 2023, 3, 100397. [Google Scholar] [CrossRef]
  25. Lamp, A.; Kaltschmitt, M.; Lüdtke, O. Improved HPLC-Method for Estimation and Correction of Amino Acid Losses during Hydrolysis of Unknown Samples. Anal. Biochem. 2018, 543, 140–145. [Google Scholar] [CrossRef] [PubMed]
  26. Stenerson, K.K. The Derivatization and Analysis of Amino Acids by GC-MS. Rep. US 2011, 25, 1–3. [Google Scholar]
  27. WHO/FAO. World Health Organization/Food and Agricultural Organization. Report of a Joint WHO/FAO/UNU Expert Consultation 2007; WHO/FAO: Geneva, Switzerland, 2007. [Google Scholar]
  28. Gao, K.; Rao, J.; Chen, B. Plant Protein Solubility: A Challenge or Insurmountable Obstacle. Adv. Colloid. Interface Sci. 2024, 324, 103074. [Google Scholar] [CrossRef]
  29. Silva, R.M.d.; Vidigal, M.C.T.R.; Minim, V.P.R.; Minim, L.A. Evaluation of PH, NaCl and CaCl2 Salts on Solubility, Zeta Potential and Air—Water Interfacial Properties of the Protein Isolate from Lupin Seeds. Food Struct. 2023, 38, 100350. [Google Scholar] [CrossRef]
  30. Amagliani, L.; Silva, J.V.C.; Saffon, M.; Dombrowski, J. On the Foaming Properties of Plant Proteins: Current Status and Future Opportunities. Trends Food Sci. Technol. 2021, 118, 261–272. [Google Scholar] [CrossRef]
  31. Damodaran, S. Amino Acids, Peptides, and Protein. In Fennema’s Food Chemistry; CRC Press: Boca Raton, FL, USA, 2017; pp. 235–356. ISBN 9781315372914. [Google Scholar]
  32. Huamaní-Perales, C.; Vidaurre-Ruiz, J.; Salas-Valerio, W.; Cabezas, D.M.; Repo-Carrasco-Valencia, R. A Review of Techno-Functional Properties of Legume Proteins and Their Potential for Development of New Products. Eur. Food Res. Technol. 2024, 250, 2069–2092. [Google Scholar] [CrossRef]
  33. Quintero, J.; Rojas, J.; Ciro, G. Vegetable Proteins as Potential Encapsulation Agents: A Review. Food Res. 2018, 2, 208–220. [Google Scholar] [CrossRef] [PubMed]
  34. Joardder, M.U.H.; Bosunia, M.H.; Hasan, M.M.; Ananno, A.A.; Karim, A. Significance of Glass Transition Temperature of Food Material in Selecting Drying Condition: An in-Depth Analysis. Food Rev. Int. 2024, 40, 952–973. [Google Scholar] [CrossRef]
  35. Ladjal-Ettoumi, Y.; Boudries, H.; Chibane, M.; Romero, A. Pea, Chickpea and Lentil Protein Isolates: Physicochemical Characterization and Emulsifying Properties. Food Biophys. 2016, 11, 43–51. [Google Scholar] [CrossRef]
  36. Wang, Z.; Zhang, C.; Zhang, T.; Ju, X.; He, R. Effects of Acylation and Glycation Treatments on Physicochemical and Gelation Properties of Rapeseed Protein Isolate. RSC Adv. 2018, 8, 40395–40406. [Google Scholar] [CrossRef] [PubMed]
Figure 1. Chromatograms of protein fractions from jackfruit leaf and LPC.
Figure 1. Chromatograms of protein fractions from jackfruit leaf and LPC.
Applsci 14 09155 g001
Figure 2. Hydrosolubility of protein fractions of jackfruit flour and LPC (Leaf protein concentrate) at different pH values. (A) Albumin, (B) Globulin, (C) Prolamin, and (D) Glutelin. Different letters indicate significant (p < 0.05) differences between the flour and LPC fractions at the same pH.
Figure 2. Hydrosolubility of protein fractions of jackfruit flour and LPC (Leaf protein concentrate) at different pH values. (A) Albumin, (B) Globulin, (C) Prolamin, and (D) Glutelin. Different letters indicate significant (p < 0.05) differences between the flour and LPC fractions at the same pH.
Applsci 14 09155 g002
Figure 3. Emulsifying and foaming properties of protein fractions of jackfruit flour and LPC (leaf protein concentrate) at pH 7.0. (A) Foaming capacity, (B) foaming stability, (C) emulsifying activity index, and (D) emulsion stability index. Different letters indicate significant (p < 0.05) differences between the flour and LPC fractions.
Figure 3. Emulsifying and foaming properties of protein fractions of jackfruit flour and LPC (leaf protein concentrate) at pH 7.0. (A) Foaming capacity, (B) foaming stability, (C) emulsifying activity index, and (D) emulsion stability index. Different letters indicate significant (p < 0.05) differences between the flour and LPC fractions.
Applsci 14 09155 g003
Figure 4. Differential scanning calorimetry (DSC) analysis of protein fractions of jackfruit flour and LPC (leaf protein concentrate). (A) Albumin, (B) globulin, (C) prolamin, and (D) glutelin. Tg: transition glass temperature.
Figure 4. Differential scanning calorimetry (DSC) analysis of protein fractions of jackfruit flour and LPC (leaf protein concentrate). (A) Albumin, (B) globulin, (C) prolamin, and (D) glutelin. Tg: transition glass temperature.
Applsci 14 09155 g004
Table 1. Protein fractions from jackfruit leaf flour and LPC.
Table 1. Protein fractions from jackfruit leaf flour and LPC.
Protein Concentration
(mg/g of Dry Solids)
Yield (%)
FractionLeaf FlourLPC 1Leaf FlourLPC 1
Albumin3.80 ± 0.62 a9.77 ± 0.46 b1.58 ± 0.26 a1.48 ± 0.07 a
Globulin22.05 ± 0.48 a39.87 ± 1.67 b9.16 ± 0.20 a6.05 ± 0.25 b
Prolamin65.67 ± 0.23 a86.70 ± 0.67 b27.29 ± 0.10 a13.17 ± 0.1 b
Glutelin59.13 ± 0.63 a346.67 ± 0.96 b24.58 ± 0.26 a52.64 ± 0.15 b
Residue 2NA 3NA 337.3926.65
1 LPC: Leaf protein concentrate. 2 Obtained by difference. 3 NA: Not applicable. Different letters indicate significant differences between flour and LPC.
Table 3. Thermal properties of protein fractions of jackfruit flour and LPC.
Table 3. Thermal properties of protein fractions of jackfruit flour and LPC.
Event 1Event 2
SampleFractionTg 2
(°C)
Enthalpy
h, J/g)
Denaturation
Temperature (Td, °C)
Enthalpy
h, J/g)
Denaturation
Temperature (Td, °C)
Leaf flourAlbumin138.56 ± 0.01 a28.02 ± 0.12 a154.67 ± 0.08 a74.98 ± 0.02 a207.32 ± 0.01 a
Globulin155.97 ± 0.07 a1.63 ± 0.06 a196.04 ± 0.02 a4.94 ± 0.02 a263.23 ± 0.19 a
Prolamin157.91 ± 0.01 a1.22 ± 0.08 a206.5 ± 0.07 a19.78 ± 0.26 a282.08 ± 0.15 a
Glutelin136.50 ± 0.01 a14.47 ± 0.79 a158.35 ± 0.04 a34.89 ± 0.80 a271.02 ± 0.19 a
LPC 1Albumin131.29 ± 0.04 b212.21 ± 0.92 b153.18 ± 0.01 bndnd
Globulin152.99 ± 0.09 b0.22 ± 0.01 b208.86 ± 0.03 bndnd
Prolamin134.46 ± 0.01 b18.52 ± 0.60 b148.03 ± 0.09 b45.78 ± 0.25 b201.96 ± 0.12 b
Glutelin133.25 ± 0.02 b40.51 ± 0.01 b153.82 ± 0.01 b97.83 ± 0.99 b200.86 ± 0.10 b
1 LPC: Leaf protein concentrate, 2 Tg: transition glass temperature, nd: not detected. a,b Different letters indicate significant differences for the same fraction when comparing LPC and flour.
Disclaimer/Publisher’s Note: The statements, opinions and data contained in all publications are solely those of the individual author(s) and contributor(s) and not of MDPI and/or the editor(s). MDPI and/or the editor(s) disclaim responsibility for any injury to people or property resulting from any ideas, methods, instructions or products referred to in the content.

Share and Cite

MDPI and ACS Style

Calderon-Chiu, C.; Calderón-Santoyo, M.; Ragazzo-Sánchez, J.A. Protein Fractions of Jackfruit Leaf Flour and Protein Concentrate: Amino Acid Profile, Functional Properties and Thermal Analysis. Appl. Sci. 2024, 14, 9155. https://doi.org/10.3390/app14209155

AMA Style

Calderon-Chiu C, Calderón-Santoyo M, Ragazzo-Sánchez JA. Protein Fractions of Jackfruit Leaf Flour and Protein Concentrate: Amino Acid Profile, Functional Properties and Thermal Analysis. Applied Sciences. 2024; 14(20):9155. https://doi.org/10.3390/app14209155

Chicago/Turabian Style

Calderon-Chiu, Carolina, Montserrat Calderón-Santoyo, and Juan Arturo Ragazzo-Sánchez. 2024. "Protein Fractions of Jackfruit Leaf Flour and Protein Concentrate: Amino Acid Profile, Functional Properties and Thermal Analysis" Applied Sciences 14, no. 20: 9155. https://doi.org/10.3390/app14209155

APA Style

Calderon-Chiu, C., Calderón-Santoyo, M., & Ragazzo-Sánchez, J. A. (2024). Protein Fractions of Jackfruit Leaf Flour and Protein Concentrate: Amino Acid Profile, Functional Properties and Thermal Analysis. Applied Sciences, 14(20), 9155. https://doi.org/10.3390/app14209155

Note that from the first issue of 2016, this journal uses article numbers instead of page numbers. See further details here.

Article Metrics

Back to TopTop