ForecastNet Wind Power Prediction Based on Spatio-Temporal Distribution
Abstract
1. Introduction
- We detect outliers based on the isolated forest algorithm and repair them using the Lagrange interpolation method.
- We extract the information about the neighboring nodes of individual turbines in a wind farm based on the graph attention mechanism and construct the input feature matrix.
- We use a time-variant deep feed-forward neural network (ForecastNet) model to obtain the wind power probability density prediction results based on three different hidden layer variants.
2. Materials and Methods
2.1. Analysis and Processing of Wind Power Data
2.1.1. Wind Power Anomaly Data Processing
2.1.2. Feature Clustering of Wind Power Data
2.2. Wind Power Prediction Model
2.2.1. Euclidean Distance and Differential Distance
2.2.2. Graph Attention
- 1.
- The central target node and neighbor node attention scores are calculated.
- 2.
- The weight scores are activated using the activation function.
- 3.
- Weight normalization
- 4.
- Information aggregation
- 5.
- Multi-head attention mechanisms
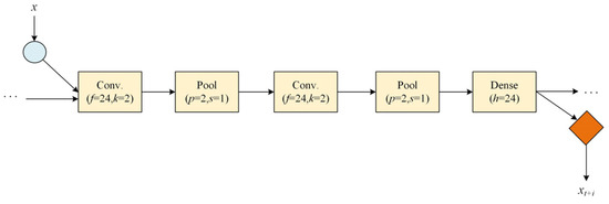
2.2.3. ForecastNet Model
- 6.
- ForecastNet model with a multilayer perceptron (MLP) as the hidden layer (MLPFN)
- 7.
- ForecastNet model with CNN as the hidden layer (CNNFN)
- 8.
- ForecastNet model with the hidden layer as a dense network based on the attention mechanism (ADFN)
2.2.4. ForecastNet Methodology
2.2.5. Evaluation Metrics
3. Results and Discussion
3.1. Analysis of Deterministic Prediction Results
3.2. Analysis of Probability Density Prediction Results
4. Conclusions
- The model uses Euclidean distance and difference distance combined with a graph attention network to aggregate spatio-temporal information on input features.
- In order to avoid the gradient problem when the neural network model predicts wind power in the short term, the time-varying characteristics and interleaved output characteristics of ForecastNet are used to improve the prediction effect.
- The model can predict the probability density curve of wind power at future moments, which can provide more effective information for grid decision makers.
Author Contributions
Funding
Institutional Review Board Statement
Informed Consent Statement
Data Availability Statement
Conflicts of Interest
Abbreviations
| ForecastNet | Deep feed-forward neural network |
| Wspd | Wind speed |
| Wdir | The angle between the wind direction and the position of turbine nacelle |
| Etmp | Environmental temperature |
| Itmp | Turbine nacelle internal temperature |
| Ndir | Nacelle direction |
| Pab 1 | Pitch angle of blade 1 |
| Pab 2 | Pitch angle of blade 2 |
| Pab 3 | Pitch angle of blade 3 |
| Prtv | Reactive power |
| Patv | Active power |
| CNN | Convolutional neural network |
| MLP | Multilayer perceptron |
| MLPFN | ForecastNet model with multilayer perceptron as hidden layer |
| CNNFN | ForecastNet model with CNN as hidden layer |
| ADFN | ForecastNet model with hidden layer as a dense network based on the attention mechanism |
| RMSE | Root mean squared error |
| MAE | Mean absolute error |
| SVR | Support vector regression |
| KNN | K nearest neighbor |
| LightGBM | Light gradient boosting machine |
| THPO | Wind turbines with the highest power output |
References
- Li, J.; Liu, K.; Yang, Z.X.; Qu, Y. Evolution and impacting factors of global renewable energy products trade network: An empirical investigation based on ERGM model. Sustainability 2023, 15, 8701. [Google Scholar] [CrossRef]
- Lu, Y.; Liu, X.; Li, H.J.; Wang, H.R.; Kong, J.J.; Zhong, C.; Cui, M.L.; Li, Y.; Sun, X.Q.; Xuan, J.D.; et al. What is the impact of the renewable energy power absorption guarantee mechanism on China’s green electricity market? Energies 2023, 16, 7434. [Google Scholar] [CrossRef]
- Hu, S.; Xiang, Y.; Zhang, H.C.; Xie, S.Y.; Li, J.H.; Gu, C.H.; Sun, W.; Liu, J.H. Hybrid forecasting method for wind power integrating spatial correlation and corrected numerical weather prediction. Appl. Energy 2021, 293, 116951. [Google Scholar] [CrossRef]
- Chen, W.H.; Zhou, H.T.; Cheng, L.S.; Xia, M. Prediction of regional wind power generation using a multi-objective optimized deep learning model with temporal pattern attention. Energy 2023, 278, 127942. [Google Scholar] [CrossRef]
- Yang, M.; Guo, Y.F.; Huang, Y.T. Wind power ultra-short-term prediction method based on NWP wind speed correction and double clustering division of transitional weather process. Energy 2023, 282, 128947. [Google Scholar] [CrossRef]
- Peng, C.; Zhang, Y.Q.; Zhang, B.W.; Song, D.; Lyu, Y.; Tsoi, A. A novel ultra-short-term wind power prediction method based on XA mechanism. Appl. Energy 2023, 351, 121905. [Google Scholar] [CrossRef]
- Ying, H.M.; Deng, C.H.; Xu, Z.H.; Huang, H.X.; Deng, W.S.; Yang, Q.L. Short-term prediction of wind power based on phase space reconstruction and BiLSTM. Energy Rep. 2023, 9, 474–482. [Google Scholar] [CrossRef]
- Xu, P.H.; Zhang, M.Y.; Chen, Z.H.; Wang, B.Q.; Cheng, C.; Liu, R.F. A deep learning framework for day ahead wind power short-term prediction. Appl. Sci. 2023, 13, 4042. [Google Scholar] [CrossRef]
- Cai, Z.; Dai, S.; Ding, Q.; Zhang, J.L.; Xu, D.; Li, Y.X. Gray wolf optimization-based wind power load mid-long term forecasting algorithm. Comput. Electr. Eng. 2023, 109, 108769. [Google Scholar] [CrossRef]
- Han, S.; Qiao, Y.H.; Yan, J.; Liu, Y.Q.; Li, L.; Wang, Z. Mid-to-long term wind and photovoltaic power generation prediction based on copula function and long short term memory network. Appl. Energy 2019, 239, 181–191. [Google Scholar] [CrossRef]
- Guo, N.Z.; Shi, K.Z.; Li, B.; Qi, L.W.; Wu, H.H.; Zhang, Z.L.; Xu, J.Z. A physics-inspired neural network model for short-term wind power prediction considering wake effects. Energy 2022, 261, 125208. [Google Scholar] [CrossRef]
- Yakoub, G.; Mathew, S.; Leal, J. Intelligent estimation of wind farm performance with direct and indirect ‘point’ forecasting approaches integrating several NWP models. Energy 2023, 263, 125893. [Google Scholar] [CrossRef]
- Zhang, Y.; Li, Y.T.; Zhang, G.Y. Short-term wind power forecasting approach based on Seq2Seq model using NWP data. Energy 2020, 213, 118371. [Google Scholar] [CrossRef]
- Liu, C.Y.; Zhang, X.M.; Mei, S.W.; Zhou, Q.Y.; Fan, H. Series-wise attention network for wind power forecasting considering temporal lag of numerical weather prediction. Appl. Energy 2023, 336, 120815. [Google Scholar] [CrossRef]
- Wang, J.N.; Zhu, H.Q.; Cheng, F.; Zhou, C.; Zhang, Y.J.; Xu, H.L.; Liu, M.H. A novel wind power prediction model improved with feature enhancement and autoregressive error compensation. J. Clean. Prod. 2023, 420, 138386. [Google Scholar] [CrossRef]
- Li, D.Q.; Yu, X.D.; Liu, S.L.; Dong, X.; Zang, H.Z.; Xu, R. Wind power prediction based on PSO-Kalman. Energy Rep. 2022, 8, 958–968. [Google Scholar] [CrossRef]
- Zhang, W.Q.; Lin, Z.; Liu, X.L. Short-term offshore wind power forecasting—A hybrid model based on Discrete Wavelet Transform (DWT), Seasonal Autoregressive Integrated Moving Average (SARIMA), and deep-learning-based Long Short-Term Memory (LSTM). Renew. Energy 2022, 185, 611–628. [Google Scholar] [CrossRef]
- Le Goff Latimier, R.; Le Bouedec, E.; Monbet, V. Markov switching autoregressive modeling of wind power forecast errors. Electr. Power Syst. Res. 2020, 189, 106641. [Google Scholar] [CrossRef]
- Zhen, Z.; Liu, J.M.; Zhang, Z.Y.; Wang, F.; Chai, H.; Yu, Y.L.; Lu, X.X.; Wang, T.Q.; Lin, Y.Z. Deep learning based surface irradiance mapping model for solar PV power forecasting using sky image. IEEE Trans. Ind. Appl. 2020, 56, 3385–3396. [Google Scholar] [CrossRef]
- Yang, M.; Chen, X.X.; Du, J.; Cui, Y. Ultra-short-term multistep wind power prediction based on improved EMD and reconstruction method using run-length analysis. IEEE Access 2018, 6, 31908–31917. [Google Scholar] [CrossRef]
- Lu, H.F.; Ma, X.; Huang, K.; Azimi, M. Prediction of offshore wind farm power using a novel two-stage model combining kernel-based nonlinear extension of the Arps decline model with a multi-objective grey wolf optimizer. Renew. Sustain. Energy Rev. 2020, 127, 109856. [Google Scholar] [CrossRef]
- Lahouar, A.; Ben Hadj Slama, J. Hour-ahead wind power forest based on random forest. Renew. Energy 2017, 109, 529–541. [Google Scholar] [CrossRef]
- Zhao, Y.Y.; Song, H.Y.; Guo, Y.J.; Zhao, L.J.; Sun, H.X. Super short term combined power prediction for wind power hydrogen production. Energy Rep. 2022, 8, 1387–1395. [Google Scholar] [CrossRef]
- Wang, X.Y.; Li, J.; Shao, L.; Liu, H.L.; Ren, L.; Zhu, L.H. Short-term wind power prediction by an extreme learning machine based on an improved hunter–prey optimization algorithm. Sustainability 2023, 15, 991. [Google Scholar] [CrossRef]
- Ogliari, E.; Guilizzoni, M.; Giglio, A.; Pretto, S. Wind power 24-h ahead forecast by an artificial neural network and an hybrid model: Comparison of the predictive performance. Renew. Energy 2021, 178, 1466–1474. [Google Scholar] [CrossRef]
- Wei, J.Q.; Wu, X.J.; Yang, T.M.; Jiao, R.H. Ultra-short-term forecasting of wind power based on multi-task learning and LSTM. Int. J. Electr. Power Energy Syst. 2023, 149, 109073. [Google Scholar] [CrossRef]
- Xiao, Z.X.; Tang, F.; Wang, M.Y. Wind power short-term forecasting method based on LSTM and multiple error correction. Sustainability 2023, 15, 3798. [Google Scholar] [CrossRef]
- Liu, X.; Yang, L.X.; Zhang, Z.J. Short-term multi-step ahead wind power predictions based on a novel deep convolutional recurrent network method. IEEE Trans. Sustain. Energy 2021, 12, 1820–1833. [Google Scholar] [CrossRef]
- Zhou, G.Y.; Hu, G.F.; Zhang, D.X.; Zhang, Y. A novel algorithm system for wind power prediction based on RANSAC data screening and Seq2Seq-Attention-BiGRU model. Energy 2023, 283, 128986. [Google Scholar] [CrossRef]
- Zhang, S.Y.; Liu, M.B.; Liu, M.D.; Lei, Z.X.; Zeng, G.H.; Chen, Z.R. Day-ahead wind power prediction using an ensemble model considering multiple indicators combined with error correction. Appl. Soft. Comput. 2023, 148, 110873. [Google Scholar] [CrossRef]
- Chen, H.P.; Wu, H.; Kan, T.Y.; Zhang, J.H.; Li, H.L. Low-carbon economic dispatch of integrated energy system containing electric hydrogen production based on VMD-GRU short-term wind power prediction. Int. J. Electr. Power Energy Syst. 2023, 154, 109420. [Google Scholar] [CrossRef]
- Yu, C.Q.; Yan, G.X.; Yu, C.M.; Zhang, Y.; Mi, X.W. A multi-factor driven spatiotemporal wind power prediction model based on ensemble deep graph attention reinforcement learning networks. Energy 2023, 263, 126034. [Google Scholar] [CrossRef]
- Zhang, J.A.; Liu, D.; Li, Z.J.; Han, X.; Liu, H.; Dong, C.; Wang, J.Y.; Liu, C.Y.; Xia, Y.P. Power prediction of a wind farm cluster based on spatiotemporal correlations. Appl. Energy 2021, 302, 117568. [Google Scholar] [CrossRef]
- Wang, Y.J.; Wang, J.D.; Cao, M.; Li, W.X.; Yuan, L.; Wang, N. Prediction method of wind farm power generation capacity based on feature clustering and correlation analysis. Electr. Power Syst. Res. 2022, 212, 108634. [Google Scholar] [CrossRef]
- Li, Y.; Xiao, Z.Q.; Nie, S.S.; Cao, J.W.; Hua, H.C. Review of research on generative adversarial network and its application in new energy data quality. South. Power Syst. Technol. 2020, 14, 25–33. [Google Scholar] [CrossRef]
- Xu, W.J.; Wu, S.L.; Wang, F.Y.; Lin, L.; Li, G.J.; Zhang, Z. Large-scale post-disaster user distributed coverage optimization based on multi-agent reinforcement learning. J. Commun. 2022, 43, 1–16. [Google Scholar]
- Xu, B.K. Fan yaw control optimization strategy based on clustering algorithm and wind direction prediction. J. Shandong Electr. Power Coll. 2017, 20, 50–54. [Google Scholar]
- Ni, Q.J.; Wang, Y.H.; Yuan, J.Y. Adaptive scalable spatio-temporal graph convolutional network for PM2.5 prediction. Eng. Appl. Artif. Intell. 2023, 126, 107080. [Google Scholar] [CrossRef]
- Yin, L.S.; Wu, Y.Y. Traffic flow combination prediction model based on improved VMD-GAT-GRU. J. Electron. Meas. Instrum. 2022, 36, 62–72. [Google Scholar] [CrossRef]
- Feng, B.; Zhang, Y.W.; Tang, X.; Guo, C.X.; Wang, J.J.; Yang, Q.; Wang, H.F. Power equipment defect record text mining based on BiLSTM-attention neural network. Proc. CSEE 2020, 40, 1–10. [Google Scholar] [CrossRef]
- Wei, J.; Zhao, H.T.; Liu, D.N.; Jia, H.P.; Wang, X.Y.; Zhang, H.; Liu, Z. Short-term power load forecasting method by attention-based CNN-LSTM. J. North China Electr. Power Univ. (Nat. Sci. Ed.) 2021, 48, 42–47. [Google Scholar]
- Li, J.Q.; Hu, X.D.; Qin, J.R.; Zhang, C.Z. Ultra-short term wind power prediction based on multi-head attention and CNN model. Electr. Power Sci. Eng. 2022, 38, 34–40. [Google Scholar]
- Dabrowski, J.J.; Zhang, Y.; Rahman, A. ForecastNet: A Time-Variant Deep Feed-Forward Neural Network Architecture for Multi-step-Ahead Time-Series Forecasting. Int. Conf. Neural Inf. Process. 2020, 12534, 579–591. [Google Scholar] [CrossRef]
- Zheng, W.Q.; Peng, X.G.; Lu, D.; Zhang, D.; Liu, Y.; Lin, Z.H.; Lin, L.X. Composite quantile regression extreme learning machine with feature selection for short-term wind speed forecasting: A new approach. Energy Convers. Manag. 2017, 151, 737–752. [Google Scholar] [CrossRef]
















| Models | Top = 1 | Top = 2 | Top = 3 | Top = 4 | Top = 5 |
|---|---|---|---|---|---|
| ForecastNet | 55.930 | 59.595 | 62.336 | 53.447 | 65.332 |
| SVR | 114.660 | 109.169 | 120.044 | 100.730 | 106.931 |
| KNN | 121.807 | 120.008 | 137.426 | 106.321 | 121.102 |
| LightGBM | 82.583 | 95.353 | 106.340 | 92.396 | 96.301 |
| Models | Wind Turbine 1 | Wind Turbine 2 | Wind Turbine 3 | Wind Turbine 4 | Wind Turbine 5 |
|---|---|---|---|---|---|
| ForecastNet | 48.828 | 43.145 | 53.664 | 44.771 | 62.602 |
| SVR | 96.914 | 93.318 | 103.126 | 92.814 | 110.663 |
| KNN | 105.121 | 100.702 | 112.003 | 113.630 | 129.361 |
| LightGBM | 69.743 | 73.088 | 80.355 | 75.230 | 90.505 |
| Confidence Levels % | Models | Interval Coverage/% | Average Width of the Interval/kW |
|---|---|---|---|
| 80 | CNNFN | 95.32 | 63.31 |
| MLPFN | 87.26 | 50.46 | |
| ADFN | 83.67 | 32.71 | |
| 85 | CNNFN | 98.95 | 67.75 |
| MLPFN | 90.89 | 54.36 | |
| ADFN | 86.61 | 35.11 | |
| 90 | CNNFN | 100.0 | 72.11 |
| MLPFN | 94.54 | 59.95 | |
| ADFN | 90.43 | 39.45 |
| Wind Turbine Serial Number | Models | Interval Coverage/% | Average Width of the Interval/kW |
|---|---|---|---|
| #1 (Type 0) | LSTM | 94.52 | 373.43 |
| ADFN | 95.36 | 368.37 | |
| QRGBM | 99.50 | 452.58 | |
| #96 (Type 2) | LSTM | 83.92 | 300.16 |
| ADFN | 84.13 | 315.87 | |
| QRGBM | 88.13 | 358.46 | |
| #128 (Type 1) | LSTM | 94.43 | 286.68 |
| ADFN | 95.06 | 299.13 | |
| QRGBM | 97.01 | 329.57 |
Disclaimer/Publisher’s Note: The statements, opinions and data contained in all publications are solely those of the individual author(s) and contributor(s) and not of MDPI and/or the editor(s). MDPI and/or the editor(s) disclaim responsibility for any injury to people or property resulting from any ideas, methods, instructions or products referred to in the content. |
© 2024 by the authors. Licensee MDPI, Basel, Switzerland. This article is an open access article distributed under the terms and conditions of the Creative Commons Attribution (CC BY) license (https://creativecommons.org/licenses/by/4.0/).
Share and Cite
Peng, S.; Guo, L.; Huang, H.; Liu, X.; Peng, J. ForecastNet Wind Power Prediction Based on Spatio-Temporal Distribution. Appl. Sci. 2024, 14, 937. https://doi.org/10.3390/app14020937
Peng S, Guo L, Huang H, Liu X, Peng J. ForecastNet Wind Power Prediction Based on Spatio-Temporal Distribution. Applied Sciences. 2024; 14(2):937. https://doi.org/10.3390/app14020937
Chicago/Turabian StylePeng, Shurong, Lijuan Guo, Haoyu Huang, Xiaoxu Liu, and Jiayi Peng. 2024. "ForecastNet Wind Power Prediction Based on Spatio-Temporal Distribution" Applied Sciences 14, no. 2: 937. https://doi.org/10.3390/app14020937
APA StylePeng, S., Guo, L., Huang, H., Liu, X., & Peng, J. (2024). ForecastNet Wind Power Prediction Based on Spatio-Temporal Distribution. Applied Sciences, 14(2), 937. https://doi.org/10.3390/app14020937
