Human Factors as Predictor of Fatalities in Aviation Accidents: A Neural Network Analysis
Abstract
1. Introduction
2. State of the Art
3. Database
- Type of Occurrence—This variable captures the nature of what happened. Its possible values are accident, criminal event, incident, and other occurrence.
- Flight Phase—Different phases of flight have different risk profiles. For example, take-off and landing are often considered the most critical phases of flight. By including this variable, the study can identify which phases are most susceptible to human factors-related accidents, thereby allowing for targeted interventions. The nine phases considered are, in alphabetical order, approach, en route, initial climb, landing, maneuvering, pushback, standing, take-off, taxi, and unknown.
- Aircraft Fate—The aircraft may be repaired or be in such a condition that it is scrapped. This is consequently a binary variable.
4. Data Processing
4.1. Machine Learning
4.2. Models Developed
| Algorithm 1. Pseudocode of the Python program used to train the neural networks |
| Load database information Select desired data (human factors, type of occurrence, flight phase, aircraft fate) Split data randomly: 20% test, 80% training Use Python library Keras to build a Neural Network (NN) with: two 13-neuron hidden layers, using the rectified linear unit (ReLU) activation function a 1-neuron output layer, using the sigmoid activation function Train the NN with the Adaptive Moment Estimation (AdaM) optimiser, learning rate 0.001, decay rates Test the model and plot the results |
4.3. Performance Indexes
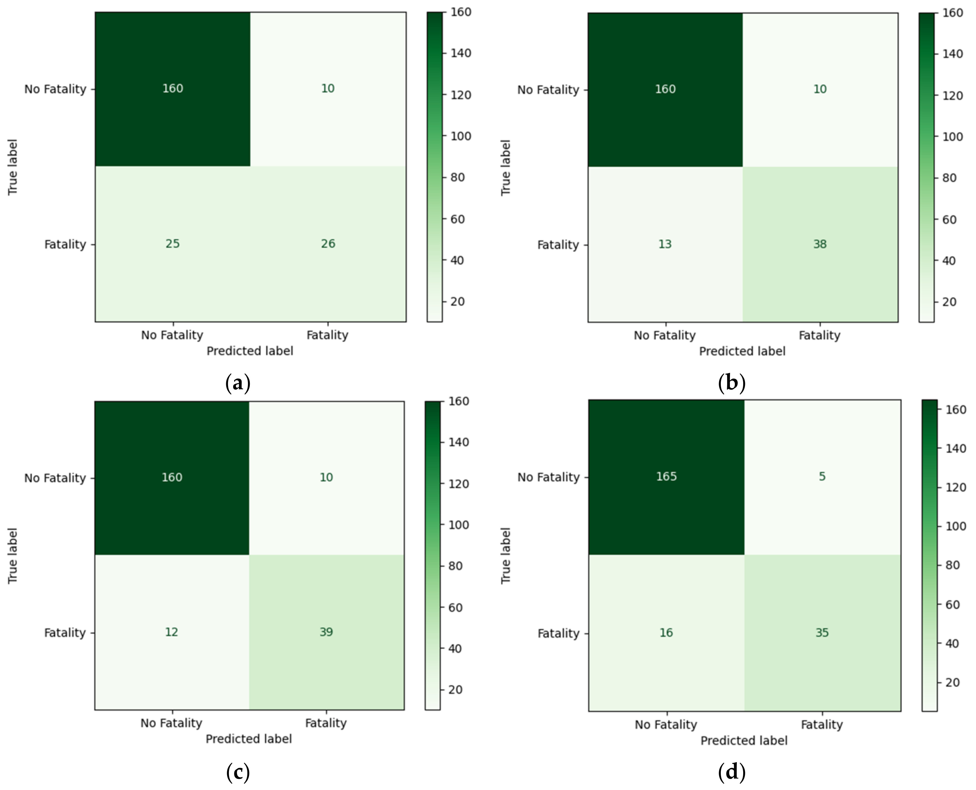
5. Results
6. Conclusions
Author Contributions
Funding
Data Availability Statement
Acknowledgments
Conflicts of Interest
References
- Santos, L.F.; Melicio, R. Stress, pressure and fatigue on aircraft maintenance personal. Int. Rev. Aerosp. Eng. 2019, 12, 35–45. [Google Scholar] [CrossRef]
- Madeira, T.; Melicio, R.; Valério, D.; Santos, L. Machine learning and natural language processing for prediction of human factors in aviation incident reports. Aerospace 2021, 8, 47. [Google Scholar] [CrossRef]
- Shappell, S.A.; Wiegmann, D.A. The Human Factors Analysis and Classification System (HFACS); Report Number DOT/FAA/AM-00/7; Federal Aviation Administration: Washington, DC, USA, 2000.
- Kharoufah, H.; Murray, J.; Baxter, G.; Wild, G. A review of human factors causations in commercial air transport accidents and incidents: From to 2000–2016. Prog. Aerosp. Sci. 2018, 99, 1–13. [Google Scholar] [CrossRef]
- ICAO. The World of Air Transport in 2018. Available online: https://www.icao.int/annual-report-2018/Pages/the-world-of-air-transport-in-2018.aspx (accessed on 16 May 2023).
- ICAO. Safety Management Manual, 3rd ed.; DOC 9859 AN/474; International Civil Aviation Organization: Montreal, QC, Canada, 2013. [Google Scholar]
- Nogueira, R.P.R.; Melicio, R.; Valério, D.; Santos, L.F.F.M. Learning methods and predictive modeling to identify failure by human factors in the aviation industry. Appl. Sci. 2023, 13, 4069. [Google Scholar] [CrossRef]
- Reason, J. Human Error; Cambridge University Press: Cambridge, UK, 1990. [Google Scholar] [CrossRef]
- Helmreich, R.L.; Foushee, H.C. Chapter 1—Why CRM? Empirical and theoretical bases of human factors training. In Crew Resource Management, 3rd ed.; Kanki, B.G., Anca, J., Chidester, T.R., Eds.; Academic Press: Cambridge, MA, USA, 2019; pp. 3–52. ISBN 9780128129951. [Google Scholar] [CrossRef]
- Mengtao, L.; Fan, L.; Gangyan, X.; Su, H. Leveraging eye-tracking technologies to promote aviation safety- a review of key aspects, challenges, and future perspectives. Saf. Sci. 2023, 168, 106295. [Google Scholar] [CrossRef]
- ICAO. Annex 19 to the Convention on International Civil Aviation—Safety Management; ICAO: Montréal, QC, Canada, 2013. [Google Scholar]
- Dekker, S.; Hollnagel, E. Human factors and folk models. Cogn. Technol. Work 2004, 6, 79–86. [Google Scholar] [CrossRef]
- EASA. ICAO Annex 19. In Safety Management, International Standards and Recommended Practices; European Aviation Safety Agency: Cologne, Germany, 2016. [Google Scholar]
- ICAO. Human Factors Guidelines for Aircraft Maintenance Manual, 1st ed.; Doc. 9824-AN/450; International Civil Aviation Organization: Montreal, QC, Canada, 2003. [Google Scholar]
- Pereira, D.P.; Gomes, I.L.; Melicio, R.; Mendes, V.M. Planning of aircraft fleet maintenance teams. Aerospace 2021, 8, 140. [Google Scholar] [CrossRef]
- Dias, N.G.; Santos, L.F.; Melicio, R. Aircraft maintenance professionals: Stress, pressure and fatigue. In Proceedings of the 9th EASN International Conference on Innovation in Aviation and Space, Athens, Greece, 3–6 September 2019; Volume 304, pp. 1–7, 06001. [Google Scholar]
- IATA. Safety Report 2017; IATA: Montreal, QC, Canada, 2018. [Google Scholar]
- Kanki, G.B.; Helmreich, L.R.; Anca, J. Crew Resource Management, 2nd ed.; Elsevier Inc.: Amsterdam, The Netherlands, 2010. [Google Scholar]
- Boeing. Available online: https://www.boeing.com/commercial/aeromagazine/aero_08/human_textonly.html (accessed on 17 May 2023).
- Morley, F.J.J.; Harris, D. Ripples in a pond: An open system model of the evolution of safety culture. Int. J. Occup. Saf. Ergon. 2006, 12, 3–15. [Google Scholar] [CrossRef][Green Version]
- Rashid, H.; Place, C.; Braithwaite, G. Helicopter maintenance error analysis: Beyond the third order of the HFACS-ME. Int. J. Ind. Ergon. 2010, 40, 636–647. [Google Scholar] [CrossRef]
- Wan, M.; Liang, Y.; Yan, L.; Zhou, T. Bibliometric analysis of human factors in aviation accident using MKD. IET Image Process. 2021, 1–9. [Google Scholar] [CrossRef]
- Amaral, Y.; Santos, L.F.F.M.; Valério, D.; Melicio, R.; Barqueira, A. Probabilistic and statistical analysis of aviation accidents. J. Phys. Conf. Ser. 2023, 2526, 012107. [Google Scholar] [CrossRef]
- Silva, M.; Santos, L.F.F.M.; Melicio, R.; Valério, D.; Rocha, R.; Barqueira, A.; Brito, E. Aviation’s approach towards pilots’ mental health: A review. Int. Rev. Aerosp. Eng. 2022, 15, 294–307. [Google Scholar] [CrossRef]
- Samarra, J.; Santos, L.F.F.M.; Barqueira, A.; Melicio, R.; Valério, D. Uncovering the hidden correlations between socioeconomic indicators and aviation accidents in the United States. Appl. Sci. 2023, 13, 7997. [Google Scholar] [CrossRef]
- Jiao, Y.; Dong, J.; Han, J.; Sun, H. Classification and Causes Identification of Chinese Civil Aviation Incident Reports. Appl. Sci. 2022, 12, 10765. [Google Scholar] [CrossRef]
- Lyu, T.; Song, W.; Du, K. Human factors analysis of air traffic safety based on HFACS-BN model. Appl. Sci. 2019, 9, 5049. [Google Scholar] [CrossRef]
- Jasra, S.K.; Valentino, G.; Muscat, A.; Camilleri, R. Hybrid machine learning–statistical method for anomaly detection in flight data. Appl. Sci. 2022, 12, 10261. [Google Scholar] [CrossRef]
- Shappell, S.; Wiegmann, D.A. A Human Error Approach to Aviation Accident Analysis: The Human Factors Analysis and Classification System; Ashgate: Aldershot, UK, 2003. [Google Scholar]
- Wiegmann, D.A.; Shappell, S.A. A Human Error Analysis of Commercial AVIATION Accidents Using the Human Factors Analysis and Classification System (HFACS); Technical Report; Office of Aviation Medicine, FAA: Daytona Beach, FL, USA, 2001. [Google Scholar]
- Chauvin, C.; Lardjane, S.; Morel, G.; Clostermann, J.-P.; Langard, B. Human and organisational factors in maritime accidents: Analysis of collisions at sea using the HFACS. Accid. Anal. Prev. 2013, 59, 26–37. [Google Scholar] [CrossRef]
- Ranter, H.; Lujan, F.I. Aviation Safety Network. 2016. Available online: https://aviation-safety.net/about/ (accessed on 25 May 2023).
- Schmidt, J.; Schmorrow, D.; Figlock, R. Human factors analysis of naval aviation maintenance related mishaps. Proc. Hum. Factors Ergon. Soc. Annu. Meet. 2000, 44, 775–778. [Google Scholar] [CrossRef]
- Seliya, N.; Khoshgoftaar, T.M. Active learning with neural networks for intrusion detection. In Proceedings of the 2010 IEEE International Conference on Information Reuse & Integration, Las Vegas, NV, USA, 4–6 August 2010; pp. 49–54. [Google Scholar] [CrossRef]
- Settles, B. Active Learning Literature Survey; Technical Report 1648; Department of Computer Sciences, University of Wisconsin—Madison: Madison, WI, USA, 2009. [Google Scholar]
- Grinsztajn, L.; Oyallon, E.; Varoquaux, G. Why do tree-based models still outperform deep learning on typical tabular data? Adv. Neural Inf. Process. Syst. 2022, 35, 507–520. [Google Scholar]
- Chen, B.; Deng, W.; Du, J. Noisy softmax: Improving the generalization ability of DCNN via postponing the early softmax saturation. In Proceedings of the 2017 IEEE Conference on Computer Vision and Pattern Recognition, Honolulu, HI, USA, 21–26 July 2017; IEEE: Piscataway, NJ, USA, 2017; pp. 4021–4030. [Google Scholar]
- Shao-Yu, L.; Hui-Chin, T.; Wang, Y. The Study on the Prediction Models of Human Factor Flight Accidents by Combining Fuzzy Clustering Methods and Neural Networks. J. Aeronaut. Astronaut. Aviat. 2018, 50, 175–186. [Google Scholar] [CrossRef]
- Harris, D.; Li, W. Using Neural Networks To Predict Hfacs Unsafe Acts From The Pre-Conditions Of Unsafe Acts. Ergonomics 2017, 62, 1–30. [Google Scholar] [CrossRef]






| Risk Probability | Risk Severity | ||||
|---|---|---|---|---|---|
| Catastrophic A | Danger B | Major C | Minor D | Insignificant E | |
| Frequent—5 | 5A | 5B | 5C | 5D | 5E |
| Occasional—4 | 4A | 4B | 4C | 4D | 4E |
| Remote—3 | 3A | 3B | 3C | 3D | 3E |
| Improbable—2 | 2A | 2B | 2C | 2D | 2E |
| Extremely improbable—1 | 1A | 1B | 1C | 1D | 1E |
| # | Factor According to HFACS-ME | Number of Cases |
|---|---|---|
| 1 | Adverse mental state | 73 |
| 2 | Adverse physiological state | 19 |
| 3 | Group resource management | 11 |
| 4 | Dated/Uncertified Equipment | 67 |
| 5 | Decision Error | 62 |
| 6 | Exceptional Violation | 20 |
| 7 | Failed to Fix Known Issue | 12 |
| 8 | Inaccessible | 2 |
| 9 | Inadequate Design | 42 |
| 10 | Inadequate Documentation | 36 |
| 11 | Inadequate supervision | 63 |
| 12 | Inappropriate Operations | 76 |
| 13 | Infraction | 1 |
| 14 | Lighting | 1 |
| 15 | Operational process | 12 |
| 16 | Misperception | 131 |
| 17 | Personal Readiness | 134 |
| 18 | Physical environment | 216 |
| 19 | Physical/mental limitations | 18 |
| 20 | Plan for improper operation | 1 |
| 21 | Resource management | 9 |
| 22 | Routine | 114 |
| 23 | Routine Violation | 39 |
| 24 | Rule | 72 |
| 25 | Skill | 29 |
| 26 | Skill-Based Error | 104 |
| 27 | Supervisory violation | 15 |
| 28 | Technological Environment | 19 |
| 29 | Training | 4 |
| 30 | Problem not fixed | 8 |
| Predicted Value | True Value | |
|---|---|---|
| 0 | 1 | |
| 0 | True Negative | False Negative |
| 1 | False Positive | True Positive |
| Type of Learning | Performance | Class | Averages | ||
|---|---|---|---|---|---|
| No Fatality | Fatality | Macro | Weighted | ||
| Multiplayer Perceptron Experiment 1 | Precision | 0.91 | 0.76 | 0.83 | 0.87 |
| Recall | 0.94 | 0.69 | 0.81 | 0.88 | |
| F1-Score | 0.92 | 0.72 | 0.82 | 0.88 | |
| Accuracy | 0.88 | ||||
| Multiplayer Perceptron Experiment 2 | Precision | 0.92 | 0.79 | 0.86 | 0.89 |
| Recall | 0.94 | 0.75 | 0.84 | 0.89 | |
| F1-Score | 0.93 | 0.77 | 0.85 | 0.89 | |
| Accuracy | 0.89 | ||||
| Multiplayer Perceptron Experiment 3 | Precision | 0.93 | 0.80 | 0.86 | 0.90 |
| Recall | 0.94 | 0.76 | 0.85 | 0.90 | |
| F1-Score | 0.94 | 0.78 | 0.86 | 0.90 | |
| Accuracy | 0.90 | ||||
| Multiplayer Perceptron Experiment 4 | Precision | 0.91 | 0.88 | 0.89 | 0.90 |
| Recall | 0.97 | 0.69 | 0.83 | 0.90 | |
| F1-Score | 0.94 | 0.77 | 0.85 | 0.90 | |
| Accuracy | 0.90 | ||||
| Type of Learning | Performance | Class | Averages | ||
|---|---|---|---|---|---|
| No Fatality | Fatality | Macro | Weighted | ||
| Random Forest Experiment 1 | Precision | 0.91 | 0.76 | 0.83 | 0.87 |
| Recall | 0.94 | 0.69 | 0.81 | 0.88 | |
| F1-Score | 0.92 | 0.72 | 0.82 | 0.88 | |
| Accuracy | 0.88 | ||||
| Random Forest Experiment 2 | Precision | 0.92 | 0.79 | 0.86 | 0.89 |
| Recall | 0.94 | 0.75 | 0.84 | 0.90 | |
| F1-Score | 0.93 | 0.77 | 0.85 | 0.89 | |
| Accuracy | 0.90 | ||||
| Random Forest Experiment 3 | Precision | 0.92 | 0.79 | 0.86 | 0.89 |
| Recall | 0.94 | 0.75 | 0.84 | 0.90 | |
| F1-Score | 0.93 | 0.77 | 0.85 | 0.89 | |
| Accuracy | 0.90 | ||||
| Random Forest Experiment 4 | Precision | 0.90 | 0.87 | 0.89 | 0.89 |
| Recall | 0.97 | 0.65 | 0.81 | 0.90 | |
| F1-Score | 0.93 | 0.74 | 0.84 | 0.89 | |
| Accuracy | 0.90 | ||||
| Type of Learning | Performance | Class | Averages | ||
|---|---|---|---|---|---|
| No Fatality | Fatality | Macro | Weighted | ||
| Multiplayer Perceptron | Precision | 0.89 | 0.75 | 0.80 | 0.83 |
| Recall | 0.92 | 0.59 | 0.76 | 0.83 | |
| F1-Score | 0.90 | 0.66 | 0.77 | 0.83 | |
| Accuracy | 0.83 | ||||
| Random Forest | Precision | 0.92 | 0.84 | 0.88 | 0.89 |
| Recall | 0.94 | 0.77 | 0.86 | 0.90 | |
| F1-Score | 0.93 | 0.80 | 0.87 | 0.89 | |
| Accuracy | 0.90 | ||||
Disclaimer/Publisher’s Note: The statements, opinions and data contained in all publications are solely those of the individual author(s) and contributor(s) and not of MDPI and/or the editor(s). MDPI and/or the editor(s) disclaim responsibility for any injury to people or property resulting from any ideas, methods, instructions or products referred to in the content. |
© 2024 by the authors. Licensee MDPI, Basel, Switzerland. This article is an open access article distributed under the terms and conditions of the Creative Commons Attribution (CC BY) license (https://creativecommons.org/licenses/by/4.0/).
Share and Cite
Lázaro, F.L.; Nogueira, R.P.R.; Melicio, R.; Valério, D.; Santos, L.F.F.M. Human Factors as Predictor of Fatalities in Aviation Accidents: A Neural Network Analysis. Appl. Sci. 2024, 14, 640. https://doi.org/10.3390/app14020640
Lázaro FL, Nogueira RPR, Melicio R, Valério D, Santos LFFM. Human Factors as Predictor of Fatalities in Aviation Accidents: A Neural Network Analysis. Applied Sciences. 2024; 14(2):640. https://doi.org/10.3390/app14020640
Chicago/Turabian StyleLázaro, Flávio L., Rui P. R. Nogueira, Rui Melicio, Duarte Valério, and Luís F. F. M. Santos. 2024. "Human Factors as Predictor of Fatalities in Aviation Accidents: A Neural Network Analysis" Applied Sciences 14, no. 2: 640. https://doi.org/10.3390/app14020640
APA StyleLázaro, F. L., Nogueira, R. P. R., Melicio, R., Valério, D., & Santos, L. F. F. M. (2024). Human Factors as Predictor of Fatalities in Aviation Accidents: A Neural Network Analysis. Applied Sciences, 14(2), 640. https://doi.org/10.3390/app14020640

