Evaluation of Barriers to Deployment of Information and Communication Technologies to Sustain Information and Communication Flow in Floods
Abstract
1. Introduction
2. Methodology
2.1. Case Studies and ICT Technologies
2.2. Survey Form, Sample, and Sample Size
2.3. Data Collection and Analysis Technique (Q–Likert Methodology)
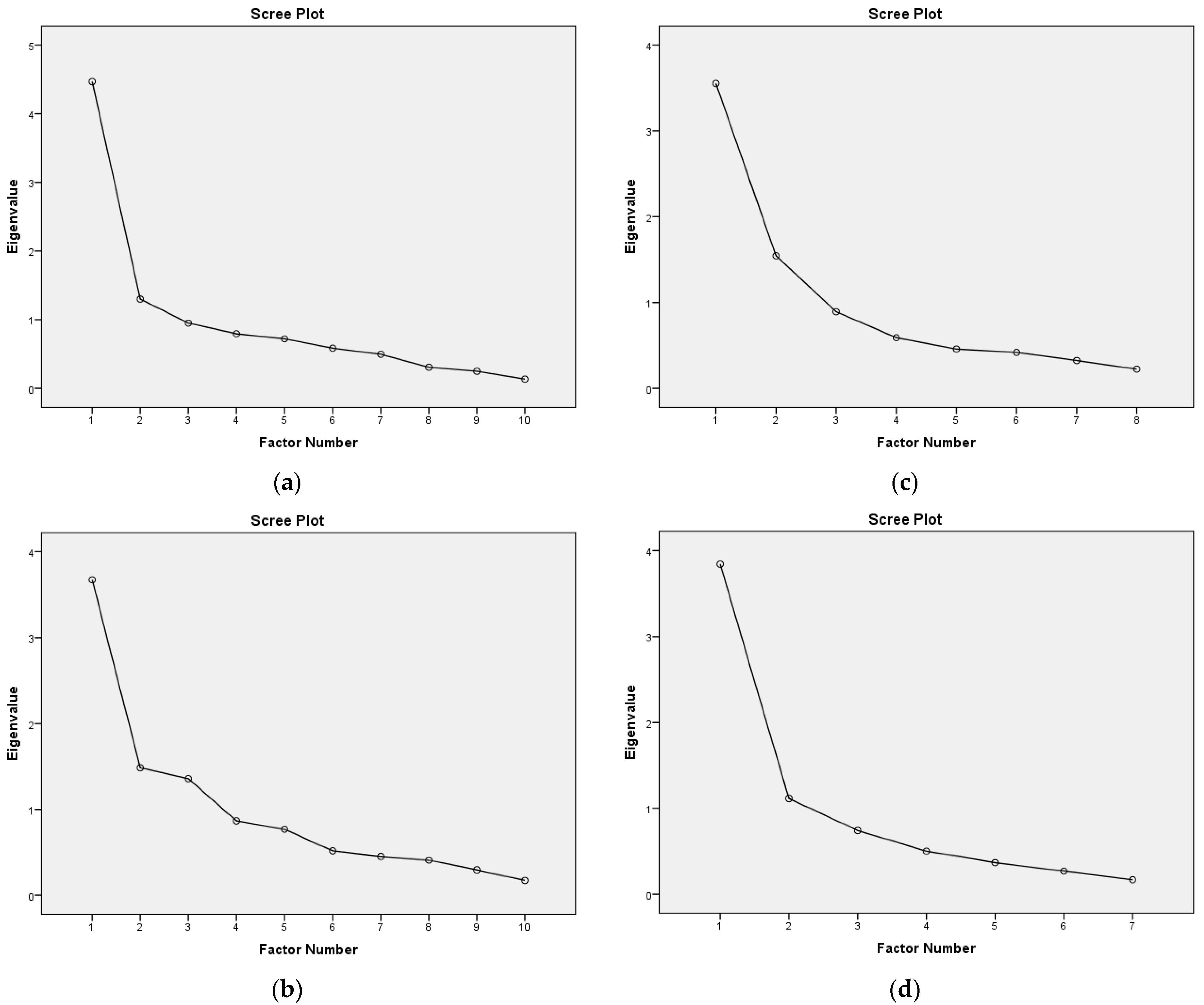
3. Data Analysis and Result Interpretation
3.1. Sample Adequacy Test of Kaiser–Meyer–Olkin (KMO) Measure and Bartlett’s Test
3.2. Extracted Factors through Factor Rotation Using Q–Likert Methodology
3.3. Q–Likert Factor Scores
- Standard error of factor loading for (ICT-1) 71 statements = 2.58(1/√71) ≥ 0.31
- Standard error of factor loading for (ICT-2) 45 statements = 2.58(1/√45) ≥ 0.38
3.4. Q–Likert Factor Interpretation
4. Identified Factors and Discoursed Discussion
4.1. Factors: York ICT-1
4.1.1. Technology-Led Management of Transport System Network Operations in Floods
4.1.2. Absence of Event-Specific Information
4.2. Factors: York ICT-2
4.2.1. Time and Resource Efficiency: Addressing the Obvious on Priority Basis Whilst Putting Minimum Effort to Enquire about the out of Sight
4.2.2. Unrealistic Expectations of Public from Authorities
4.3. Factors: Head-Marala ICT-1
4.3.1. Absence of Formal and Standard Information Delivery System
4.3.2. Lack of Operational Coordination among Different Institutes during Execution of Emergency and Rescue Operations
4.4. Factors: Head-Marala ICT-2
4.4.1. Lack of Formal ICT Deployment Plan: A Reason for Miscommunication with the People
4.4.2. Lack of Traffic and Transport System Discipline
4.4.3. Under-Deployed ICTs
5. Conclusions
Author Contributions
Funding
Institutional Review Board Statement
Informed Consent Statement
Data Availability Statement
Acknowledgments
Conflicts of Interest
Appendix A
| York (ICT-1) Communalities | HM (ICT-1) Communalities | ||||
| Expert Sets | Initial | Extraction | Expert Sets | Initial | Extraction |
| 1 | 0.431 | 0.632 | 1 | 0.387 | 0.396 |
| 2 | 0.443 | 0.468 | 2 | 0.314 | 0.298 |
| 3 | 0.409 | 0.441 | 3 | 0.760 | 0.754 |
| 4 | 0.526 | 0.523 | 4 | 0.428 | 0.410 |
| 5 | 0.395 | 0.367 | 5 | 0.767 | 0.912 |
| 6 | 0.458 | 0.533 | 6 | 0.663 | 0.779 |
| 7 | 0.588 | 0.547 | 7 | 0.611 | 0.593 |
| 8 | 0.618 | 0.691 | 8 | 0.280 | 0.170 |
| 9 | 0.176 | 0.176 | |||
| 10 | 0.427 | 0.370 | |||
| York (ICT-2) Communalities | HM (ICT-2) Communalities | ||||
| Expert sets | Initial | Extraction | Expert sets | Initial | Extraction |
| 1 | 0.189 | 0.145 | 1 | 0.332 | 0.319 |
| 2 | 0.394 | 0.391 | 2 | 0.449 | 0.576 |
| 4 | 0.504 | 0.596 | 3 | 0.447 | 0.558 |
| 5 | 0.750 | 0.893 | 4 | 0.605 | 0.561 |
| 6 | 0.525 | 00.536 | 5 | 0.294 | 0.259 |
| 7 | 0.701 | 0.680 | 6 | 0.555 | 0.711 |
| 8 | 0.610 | 0.983 | 7 | 0.511 | 0.540 |
| 8 | 0.605 | 0.818 | |||
| 9 | 0.279 | 0.242 | |||
| 10 | 0.622 | 0.746 | |||
| York (ICT-1) | HM (ICT-1) | |||||
| Expert Sets | 1 | 2 | Expert sets | 1 | 2 | |
| 8 | 0.864 | −0.113 | 6 | 0.748 | −0.236 | |
| 7 | 0.765 | −0.084 | 2 | 0.610 | 0.206 | |
| 4 | 0.672 | 0.122 | 10 | 0.596 | −0.027 | |
| 2 | 0.440 | 0.392 | 7 | 0.508 | −0.389 | |
| 1 | −0.200 | 0.843 | 4 | 0.475 | −0.263 | |
| 3 | 0.008 | 0.661 | 1 | 0.423 | −0.310 | |
| 6 | 0.343 | 0.536 | 9 | 0.384 | −0.069 | |
| 5 | 0.333 | 0.403 | 5 | −0.001 | −0.956 | |
| Rotation converged in 9 iterations. | 3 | 0.146 | −0.791 | |||
| 8 | −0.012 | −0.417 | ||||
| Rotation converged in 11 iterations. | ||||||
| York (ICT-2) | HM (ICT-2) | |||||
| Expert sets | 1 | 2 | Expert sets | 1 | 2 | 3 |
| 5 | 0.928 | 0.039 | 8 | 0.965 | −0.226 | 0.160 |
| 4 | 0.830 | −0.177 | 4 | 0.674 | 0.087 | −0.149 |
| 7 | 0.623 | 0.338 | 7 | 0.551 | 0.203 | −0.241 |
| 2 | 0.622 | 0.008 | 5 | 0.486 | −0.035 | −0.125 |
| 6 | 0.552 | 0.301 | 1 | 0.412 | 0.188 | 0.356 |
| 8 | 0.213 | 0.882 | 9 | 0.376 | 0.168 | −0.102 |
| 1 | −0.039 | 0.395 | 10 | −0.157 | 0.850 | −0.210 |
| Rotation converged in 5 iterations. | 6 | 0.111 | 0.809 | 0.209 | ||
| 2 | 0.144 | 0.053 | −0.709 | |||
| 3 | 0.342 | 0.133 | −0.554 | |||
| Rotation converged in 18 iterations. | ||||||
| York (ICT-1) | HM (ICT-1) | |||||
| Expert Sets | 1 | 2 | Expert Sets | 1 | 2 | |
| 8 | 0.824 | 0.189 | 6 | 0.857 | −0.582 | |
| 7 | 0.735 | 0.183 | 7 | 0.688 | −0.624 | |
| 4 | 0.714 | 0.357 | 10 | 0.608 | −0.302 | |
| 2 | 0.577 | 0.546 | 4 | 0.596 | −0.482 | |
| 1 | 0.094 | 0.773 | 1 | 0.566 | −0.505 | |
| 3 | 0.239 | 0.664 | 2 | 0.515 | −0.076 | |
| 6 | 0.53 | 0.655 | 9 | 0.415 | −0.246 | |
| 5 | 0.473 | 0.519 | 5 | 0.44 | −0.955 | |
| 3 | 0.512 | −0.859 | ||||
| 8 | 0.181 | −0.412 | ||||
| York (ICT-2) | HM (ICT-2) | |||||
| Expert sets | 1 | 2 | Expert sets | 1 | 2 | 3 |
| 5 | 0.944 | 0.433 | 8 | 0.86 | 0.09 | 0.046 |
| 7 | 0.766 | 0.602 | 4 | 0.728 | 0.35 | −0.269 |
| 4 | 0.755 | 0.175 | 7 | 0.661 | 0.438 | −0.361 |
| 6 | 0.679 | 0.535 | 5 | 0.493 | 0.158 | −0.195 |
| 2 | 0.626 | 0.272 | 9 | 0.452 | 0.318 | −0.189 |
| 8 | 0.587 | 0.972 | 1 | 0.423 | 0.275 | 0.26 |
| 1 | 0.129 | 0.379 | 10 | 0.177 | 0.829 | −0.327 |
| 6 | 0.365 | 0.814 | 0.057 | |||
| 2 | 0.274 | 0.222 | −0.741 | |||
| 3 | 0.476 | 0.346 | −0.63 | |||
| Extraction method: principal axis factoring. Rotation method: Oblimin with Kaiser normalization. | ||||||
References
- Nazeer, M.M. Review of World Bank Two Most Terrible Moves Resulting in All Ever Increasing, Terrible Climate Calamities over the Entire Earth Globe along with Continuous Huge Disasters in Pakistan. Open Access Libr. J. 2020, 7, 1. [Google Scholar] [CrossRef]
- The World Bank. Pakistan: Flood Damages and Economic Losses Over USD 30 Billion and Reconstruction Needs Over USD 16 Billion—New Assessment; The World Bank: Washington, DC, USA, 2022. [Google Scholar]
- Haer, T.; Botzen, W.W.; Aerts, J.C. Advancing disaster policies by integrating dynamic adaptive behaviour in risk assessments using an agent-based modelling approach. Environ. Res. Lett. 2019, 14, 044022. [Google Scholar] [CrossRef]
- Heydari, M.; Lai, K.K.; Fan, Y.; Li, X. A Review of Emergency and Disaster Management in the Process of Healthcare Operation Management for Improving Hospital Surgical Intake Capacity. Mathematics 2022, 10, 2784. [Google Scholar] [CrossRef]
- Busayo, E.T.; Kalumba, A.M.; Afuye, G.A.; Ekundayo, O.Y.; Orimoloye, I.R. Assessment of the Sendai framework for disaster risk reduction studies since 2015. Int. J. Disaster Risk Reduct. 2020, 50, 101906. [Google Scholar] [CrossRef]
- Chmutina, K.; von Meding, J.; Sandoval, V.; Boyland, M.; Forino, G.; Cheek, W.; Williams, D.A.; Gonzalez-Muzzio, C.; Tomassi, I.; Páez, H. What We Measure Matters: The Case of the Missing Development Data in Sendai Framework for Disaster Risk Reduction Monitoring. Int. J. Disaster Risk Sci. 2021, 12, 779–789. [Google Scholar] [CrossRef]
- Munawar, H.S. Flood disaster management: Risks, technologies, and future directions. Mach. Vis. Insp. Syst. Image Process. Concepts Methodol. Appl. 2020, 1, 115–146. [Google Scholar]
- Ben Youssef, A.; Dahmani, M.; Ragni, L. ICT use, digital skills and students’ academic performance: Exploring the digital divide. Information 2022, 13, 129. [Google Scholar] [CrossRef]
- D’Andrea, A.; Grifoni, P.; Ferri, F. Discussing the role of ICT in sustainable disaster management. Sustainability 2022, 14, 7182. [Google Scholar] [CrossRef]
- Zhang, C.; Khan, I.; Dagar, V.; Saeed, A.; Zafar, M.W. Environmental impact of information and communication technology: Unveiling the role of education in developing countries. Technol. Forecast. Soc. Chang. 2022, 178, 121570. [Google Scholar] [CrossRef]
- Afawubo, K.; Noglo, Y.A. ICT and entrepreneurship: A comparative analysis of developing, emerging and developed countries. Technol. Forecast. Soc. Chang. 2022, 175, 121312. [Google Scholar] [CrossRef]
- Guerrero-Ibáñez, J.; Zeadally, S.; Contreras-Castillo, J. Sensor technologies for intelligent transportation systems. Sensors 2018, 18, 1212. [Google Scholar] [CrossRef] [PubMed]
- Botzen, W.W.; Deschenes, O.; Sanders, M. The economic impacts of natural disasters: A review of models and empirical studies. Rev. Environ. Econ. Policy 2019, 13, 2. [Google Scholar] [CrossRef]
- Anwer, I.; Yousuf, M.I. Mapping Undermined Role of Information and Communication Technologies in Floods. Transp. Telecommun. 2022, 23, 168–179. [Google Scholar] [CrossRef]
- Shrestha, B.B.; Kawasaki, A. Quantitative assessment of flood risk with evaluation of the effectiveness of dam operation for flood control: A case of the Bago River Basin of Myanmar. Int. J. Disaster Risk Reduct. 2020, 50, 101707. [Google Scholar] [CrossRef]
- Aroca-Jiménez, E.; Bodoque, J.M.; García, J.A.; Díez-Herrero, A. A quantitative methodology for the assessment of the regional economic vulnerability to flash floods. J. Hydrol. 2018, 565, 386–399. [Google Scholar] [CrossRef]
- Weerasinghe, K.M.; Gehrels, H.; Arambepola, N.; Vajja, H.P.; Herath, J.; Atapattu, K. Qualitative flood risk assessment for the Western Province of Sri Lanka. Procedia Eng. 2018, 212, 503–510. [Google Scholar] [CrossRef]
- Török, I. Qualitative assessment of social vulnerability to flood hazards in Romania. Sustainability 2018, 10, 3780. [Google Scholar] [CrossRef]
- Marchezini, V. “What is a sociologist doing here?” An unconventional people-centered approach to improve warning implementation in the Sendai framework for disaster risk reduction. Int. J. Disaster Risk Sci. 2020, 11, 218–229. [Google Scholar] [CrossRef]
- Syahrin, M.; Rukmana, G.; Rachman, D.; Harakan, A.; Tadjine, F. Sister city bottom up collaborative model plan as a major flooding mitigation in Samarinda. In Proceedings of the 1st Workshop on Environmental Science, Society, and Technology, WESTECH 2018, Medan, Indonesia, 8 December 2018. [Google Scholar]
- Lyu, H.-M.; Shen, S.-L.; Zhou, A.; Yang, J. Perspectives for flood risk assessment and management for mega-city metro system. Tunn. Undergr. Space Technol. 2019, 84, 31–44. [Google Scholar] [CrossRef]
- McClymont, K.; Morrison, D.; Beevers, L.; Carmen, E. Flood resilience: A systematic review. J. Environ. Plan. Manag. 2020, 63, 1151–1176. [Google Scholar] [CrossRef]
- Freeman, J.D.; Blacker, B.; Hatt, G.; Tan, S.; Ratcliff, J.; Woolf, T.B.; Tower, C.; Barnett, D.J. Use of big data and information and communications technology in disasters: An integrative review. Disaster Med. Public Health Prep. 2019, 13, 353–367. [Google Scholar] [CrossRef] [PubMed]
- ur Rahman, M.; Rahman, S.; Mansoor, S.; Deep, V.; Aashkaar, M. Implementation of ICT and wireless sensor networks for earthquake alert and disaster management in earthquake prone areas. Procedia Comput. Sci. 2016, 85, 92–99. [Google Scholar] [CrossRef]
- Uchida, O.; Tajima, S.; Kajita, Y.; Utsu, K.; Murakami, Y.; Yamada, S. Development and implementation of an ICT-based disaster prevention and mitigation education program for the young generation. Inf. Syst. Front. 2021, 23, 1115–1125. [Google Scholar] [CrossRef]
- Vogt, M.; Hertweck, D.; Hales, K. Strategic ICT alignment in uncertain environments: An empirical study in emergency management organizations. In Proceedings of the 2011 44th Hawaii International Conference on System Sciences, Kauai, HI, USA, 4–7 January 2011; pp. 1–11. [Google Scholar]
- Stute, M.; Maass, M.; Schons, T.; Kaufhold, M.-A.; Reuter, C.; Hollick, M. Empirical insights for designing information and communication technology for international disaster response. Int. J. Disaster Risk Reduct. 2020, 47, 101598. [Google Scholar] [CrossRef]
- Linardos, V.; Drakaki, M.; Tzionas, P.; Karnavas, Y.L. Machine learning in disaster management: Recent developments in methods and applications. Mach. Learn. Knowl. Extr. 2022, 4, 446–473. [Google Scholar] [CrossRef]
- Kaur, A.; Sood, S.K. Analytical mapping of research on disaster management, types and role of ICT during 2011–2018. Environ. Hazards 2019, 18, 266–285. [Google Scholar] [CrossRef]
- Kumar, A.; Joshi, S.; Sharma, M.; Vishvakarma, N. Digital Humanitarianism and Crisis Management: An empirical study of antecedents and consequences. J. Humanit. Logist. Supply Chain Manag. 2022, 12, 570–593. [Google Scholar] [CrossRef]
- Anwer, I.; Grant-Muller, S.; Lai, F. Factors Limiting the Scope of Intelligent Transport System Technologies in Disaster Relief Operations. In Proceedings of the European Transport Conference 2016 Association for European Transport (AET), Barcelona, Spain, 5–7 October 2016. [Google Scholar]
- Anwer, I. Application of Q-Likert Methodology to Find Factors Affecting Information and Communication Flow Related to Transport-Earthquake Problems. 2016. Available online: https://vixra.org/pdf/1910.0189v1.pdf (accessed on 12 September 2023).
- Timothy, L. 6 of the World’s Deadliest Natural Disasters; Encyclopedia Britannica: Chicago, IL, USA, 2022. [Google Scholar]
- Cornwall, W. Europe’s Deadly Floods Leave Scientists Stunned; American Association for the Advancement of Science: Washington, DC, USA, 2021. [Google Scholar]
- Khan, A.; Gupta, S.; Gupta, S.K. Multi-hazard disaster studies: Monitoring, detection, recovery, and management, based on emerging technologies and optimal techniques. Int. J. Disaster Risk Reduct. 2020, 47, 101642. [Google Scholar] [CrossRef]
- Anwer, I.; Grant-Muller, S. The use of ITS technologies to manage transport in disasters. In Proceedings of the 12th ITS European Congress, Strasbourg, France, 19–22 June 2017. [Google Scholar]
- BBC (NEWS). York Homes Flooded as River Ouse Rises. 2012. Available online: http://www.bbc.co.uk/news/uk-england-york-north-yorkshire-19732741 (accessed on 12 September 2023).
- Ferreira, A.; Marsden, G.; Shires, J. Report on York Floods 2012, Transport Resilience to Surface Water Flooding, Report of the Disruption Project; Institute for Transport Studies: Leeds, UK, 2014; Available online: http://www.disruptionproject.net (accessed on 10 September 2023).
- Kulemeka, O.; Sheehan, D.; Thwaites, J.; York, B.; Lee, J. How People Affected by Disaster Use the Internet: A study of Facebook Usage during the 2014 Hazelwood Mine Fire in Victoria. Australas. J. Disaster Trauma Stud. 2014, 18, 2. [Google Scholar]
- City of York Council. Floods in York Key-Facts, City of York Council. 2016. Available online: https://www.york.gov.uk/downloads/file/8807/floods_in_york_-_key_facts (accessed on 10 July 2017).
- Today, P. Govt Decides to Install Computerised Flood Warning System at Head Marala. REPORT. 2015. Available online: http://www.pakistantoday.com.pk/2015/07/15/city/lahore/govt-decides-to-install-computerised-flood-warning-system-at-head-marala/ (accessed on 15 August 2022).
- City of York Council. 2015. Available online: https://www.york.gov.uk/ (accessed on 15 March 2022).
- ITV (NEWS). Environment Agency Defends Decision to Open York Flood Barriers. 2016. Available online: http://www.itv.com/news/tyne-tees/2016-01-04/ea-defends-decision-to-open-york-flood-barriers/ (accessed on 13 December 2021).
- Gaito, J. Force and Free Q Methodology. 1961. Available online: https://www.scribd.com/document/92246042/History-and-Principles-of-Q-Steven-Brown (accessed on 10 October 2023).
- Brown, S.R. The history and principles of Q methodology in psychology and the social sciences. In Proceedings of the Red at the British Psychological Society Symposium on, A Quest for a Science of Subjectivity: The Lifework of William Stephenson, University of London; 1997. Available online: https://journals.copmadrid.org/historia/archivos/fichero_salida20220923110918125000.pdf (accessed on 12 August 2023).
- Barry, J.; Proops, J. Seeking sustainability discourses with Q methodology. Ecol. Econ. 1999, 28, 337–345. [Google Scholar] [CrossRef]
- Van Exel, J.; de Graaf, G. Q Methodology: A Sneak Preview. 2005. Available online: http://www.qmethodology.net/PDF/Q-methodology (accessed on 12 August 2023).
- Watts, S.; Stenner, P. Doing Q methodology: Theory, method and interpretation. Qual. Res. Psychol. 2005, 2, 67–91. [Google Scholar] [CrossRef]
- Brown, S.R. Bibliography on Q technique and its methodology. Percept. Mot. Ski. 1968, 26, 587–613. [Google Scholar] [CrossRef] [PubMed]
- Danesh, N.A. qfactor: A command for Q-methodology analysis. Stata J. 2018, 18, 432–446. [Google Scholar] [CrossRef]
- Akhtar-Danesh, N. Impact of factor rotation on Q-methodology analysis. PLoS ONE 2023, 18, e0290728. [Google Scholar] [CrossRef]
- Emily, G.; Finnigan, L. York Floods: Why Did the Foss Barrier Fail? 2015. Available online: http://www.telegraph.co.uk/news/uknews/12072220/York-floods-Why-did-the-Foss-Barrier-fail.html (accessed on 19 June 2022).
- Taylor, M. Hundreds Evacuated after Further Flooding in Northern England. Published by The Guardian. 2016. Available online: https://www.theguardian.com/environment/live/2015/dec/27/hundreds-evacuated-flooding-northern-england-latest-updates (accessed on 29 March 2022).
- BBC (NEWS). UK Weather: Homes and Transport Hit by Flooding. 2012. Available online: http://www.bbc.co.uk/news/uk-19709952 (accessed on 12 April 2021).
- BBC (NEWS). UK Floods: Homes at Risk as Misery Continues. 2012. Available online: http://www.bbc.co.uk/news/uk-19725625 (accessed on 27 May 2023).
- City of York Council’s High Level Overview of the Events between 23 and 31 December 2015, Weekly Report. 2015. Available online: https://www.york.gov.uk/StatementOfAccounts (accessed on 27 May 2023).
- Awan, S.A. The Associated Programme on Flood Management; Technical Support Unit: Lahore, Pakistan, 2003; Available online: https://www.floodmanagement.info/about/reports/APFM_2003-2004_AnnualReport.pdf (accessed on 27 May 2023).
- Awan, S.A. Pakistan: Flood Management—River Chenab from Marala to Khanki; Flood Forecasting Division, Pakistan Meteorological Department: Lahore, Pakistan, 2003; Available online: https://www.floodmanagement.info/publications/casestudies/cs_pakistan_chenab_full.pdf (accessed on 27 May 2023).





| ICTs | ICF Technologies Used by Communities and Institutions |
|---|---|
| ICTs-1: used by people and experts | Newspaper, newsletters/brochures Landline/mobile phones/smartphones Newsletter (mobile phone- and email subscription-based) Smartphone earthquake and flood site-specific information application Smartphone communication applications (Skype) and messengers (Viber, WhatsApp, Line) Social media websites: Facebook and Twitter with geo-tags (earthquake and flood information pages) Information websites/blogs (specific disaster websites and information pages to offer help and flood and earthquake-related information) News channels, both national and international Pictures or videos on YouTube, Web technologies/contributory websites (Google Maps, Google Media) Radio Variable message signs |
| ICTs-2: used by experts | Remote sensing technologies (satellite images/Radar, Lidar) Airborne technologies (airplane and helicopter) Small drones Bluetooth technology (wireless and non-wireless) Navigation system (GPS). |
| ID.No. | Institutions | Participants |
|---|---|---|
| York | ||
| 1 | Department of flood control and resilience, Yorkshire | Senior officer, front-line officers, and team members |
| 2 | Metrological office and civil contingencies, West Yorkshire | Metrological officers, advisors, and team members from civil contingencies |
| 3 | Department of flood risk and planning, York | Flood risk planning managers, advisors, and team members |
| 4 | Office of Intelligent Transport System (ITS), York, UK (macro-scale) | Head of professional services and team members |
| 5 | University of York | Flood experts and visiting researchers |
| 6 | Environment Department | Senior environmental engineer and staff members |
| 7 | ITS unit, Transport for London (macro-scale) | ITS managers and team members |
| 8 | ITS unit, Transport for London (micro-scale) | ITS managers and team members |
| Head-Marala | ||
| 1 | Development authorities, Pakistan | Town planners and geological information system experts |
| 2 | Transport Planning Unit, Government Departments. | Project directors, ICT and ITS experts |
| 3 | Meteorological Department, Research and Development Division, Islamabad. | Chief and other meteorologists |
| 4 | Rescue and Logistics operations division, National disaster management authority (NDMA) | Director and member operations wing |
| 5 | Environmental Protection Agency, Sialkot. | Director General and agency experts |
| 6 | District and emergency offices, Sialkot. | District and Emergency Officers |
| 7 | Disaster Monitoring Division, Pakistan Space & Upper Atmosphere Research Commission (SUPARCO), Islamabad. | Disaster-monitoring managers and experts |
| 8 | Rescue and rehabilitation divisions, NDMA | Director, officials, first-line rescue officers, and staff |
| 9 | Geotechnical and environment divisions, National Engineering Services Pakistan (NESPAK) | Head and team members |
| 10 | City Traffic Police, Department Punjab Police officers, Islamabad | SSP and other staff members |
| Case-Study ICTs | No. of Statements | (KMO) | Bartlett’s Sig. | Sampling Adequacy |
|---|---|---|---|---|
| HM (ICT-1) | 71 | 0.816 | 0.000 | Great |
| HM (ICT-2) | 45 | 0.679 | 0.000 | Mediocre |
| York (ICT-1) | 71 | 0.760 | 0.000 | Good |
| York (ICT-2) | 45 | 0.823 | 0.000 | Great |
| Factors | r = 0.80(p)/(1 + (p-1)0.80), r = Reliability of Factors (Ranges from 0 (Not Reliable at All) to 1 (Extremely Reliable)), p = Number of Persons (Experts) Defining a Factor | |
|---|---|---|
| York: ICT-1 | HM: ICT-1 | |
| 1 | r1 = 0.94, p1 = 120 | r1 = 0.96, p1 = 210 |
| 2 | r2 = 0.94, p2 = 120 | r2 = 0.92, p2 = 90 |
| York: ICT-2 | HM: ICT-2 | |
| 1 | r1 = 0.95, p1 = 150 | r1 = 0.96, p1 = 180 |
| 2 | r1 = 0.89, p2 = 90 | r2 = 0.90, p2 = 60 |
| 3 | -None- | r3 = 0.90, p3 = 60 |
| ICT-1 | York | Head-Marala | ICT-2 | York | Head-Marala |
|---|---|---|---|---|---|
| Newspaper | Navigation system (GPS) | ||||
| Pre | NS | U | Pre | MU | NU |
| During | NU | NS | During | NU | NU |
| Post | NU | NS | Post | NU | NU |
| Newsletters and brochures | Variable message signs (VMS), diversions, loudspeakers for evacuations | ||||
| Pre | NS | U | Pre | U | U |
| During | MU | NS | During | U | U |
| Post | MU | NS | Post | U | U |
| Landlines/smartphones (call and text) | Remote sensing technologies (satellite images/RADAR, LIDAR) | ||||
| Pre | NS | NU | Pre | NU | NU |
| During | MU | NS | During | NU | NU |
| Post | NU | MU | Post | NU | NU |
| Newsletter/email subscriptions | Airborne technologies (airplanes and helicopters) | ||||
| Pre | NU | NU | Pre | MU | MU |
| During | NU | NU | During | U | U |
| Post | NU | NU | Post | U | U |
| Information websites | Small drones | ||||
| Pre | NS | NU | Pre | NU | NU |
| During | NU | NU | During | U | NU |
| Post | NU | NU | Post | U | NU |
| Flood/earthquake site-specific application | Technology-equipped boat | ||||
| Pre | NU | NU | Pre | NU | U |
| During | NU | NU | During | U | U |
| Post | NU | NU | Post | U | U |
| Smartphone communication applications | Bluetooth technology (wireless and non-wireless), LOOP detectors, and CCTV cameras | ||||
| Pre | U | U | Pre | U | NU |
| During | U | U | During | MU | NU |
| Post | U | U | Post | U | NU |
| Social media dedicated information pages | |||||
| Pre | NU | NU | |||
| During | NS | NU | |||
| Post | NU | NU | |||
| Images and videos on YouTube (or similar) | |||||
| Pre | NU | NU | |||
| During | NS | NU | |||
| Post | NU | NU | |||
| Web technologies | |||||
| Pre | NU | NU | |||
| During | MU | NU | |||
| Post | NU | NU | |||
| Radio | |||||
| Pre | U | MU | |||
| During | U | MU | |||
| Post | U | U | |||
| News channels | |||||
| Pre | U | U | |||
| During | NU | NU | |||
| Post | NU | NU | |||
Disclaimer/Publisher’s Note: The statements, opinions and data contained in all publications are solely those of the individual author(s) and contributor(s) and not of MDPI and/or the editor(s). MDPI and/or the editor(s) disclaim responsibility for any injury to people or property resulting from any ideas, methods, instructions or products referred to in the content. |
© 2024 by the authors. Licensee MDPI, Basel, Switzerland. This article is an open access article distributed under the terms and conditions of the Creative Commons Attribution (CC BY) license (https://creativecommons.org/licenses/by/4.0/).
Share and Cite
Anwer, I.; Yousuf, M.I.; Grant-Muller, S. Evaluation of Barriers to Deployment of Information and Communication Technologies to Sustain Information and Communication Flow in Floods. Appl. Sci. 2024, 14, 592. https://doi.org/10.3390/app14020592
Anwer I, Yousuf MI, Grant-Muller S. Evaluation of Barriers to Deployment of Information and Communication Technologies to Sustain Information and Communication Flow in Floods. Applied Sciences. 2024; 14(2):592. https://doi.org/10.3390/app14020592
Chicago/Turabian StyleAnwer, Izza, Muhammad Irfan Yousuf, and Susan Grant-Muller. 2024. "Evaluation of Barriers to Deployment of Information and Communication Technologies to Sustain Information and Communication Flow in Floods" Applied Sciences 14, no. 2: 592. https://doi.org/10.3390/app14020592
APA StyleAnwer, I., Yousuf, M. I., & Grant-Muller, S. (2024). Evaluation of Barriers to Deployment of Information and Communication Technologies to Sustain Information and Communication Flow in Floods. Applied Sciences, 14(2), 592. https://doi.org/10.3390/app14020592

