Effects of Loading Modes on Fatigue Limit Estimation in Terms of Rotating Bending Fatigue and Rate Process Theory
Abstract
1. Introduction
2. Rotating Bending Fatigue Test
2.1. Materials
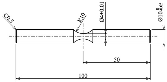
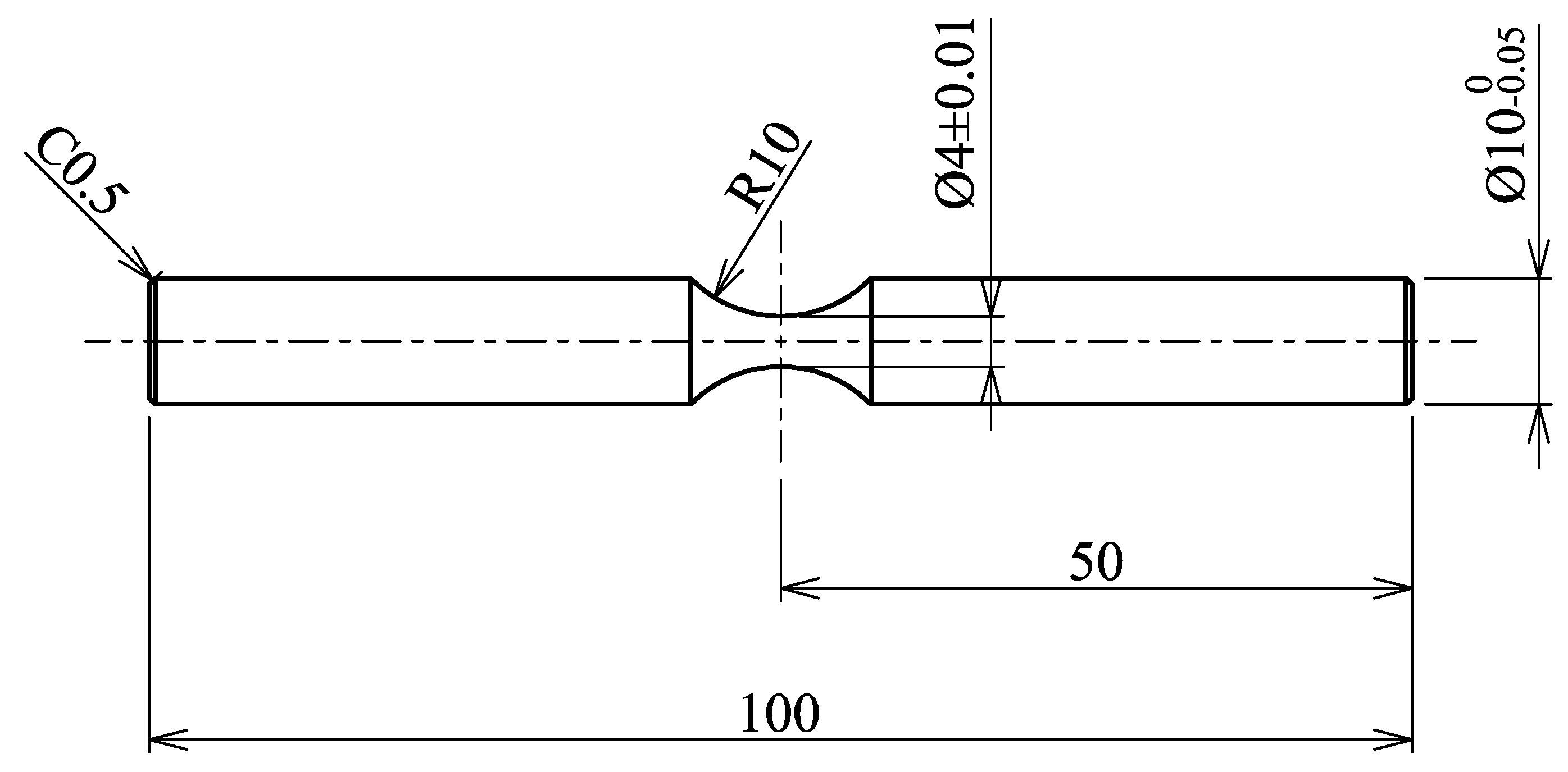
2.2. Specimens
2.3. Fatigue Testing Conditions
3. Fatigue Test Results
4. Comparison of Fatigue Limits with Proposed Model Estimation
5. Discussion
5.1. Flow of Model Consideration
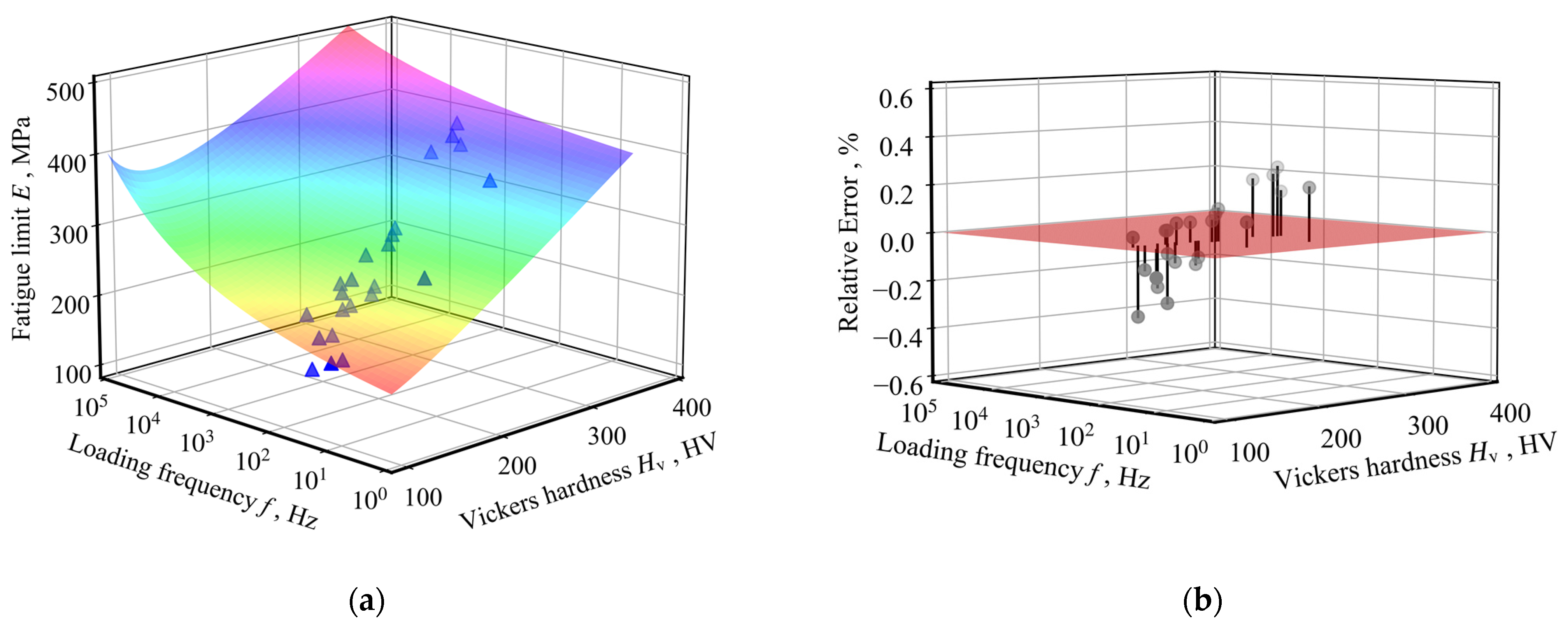
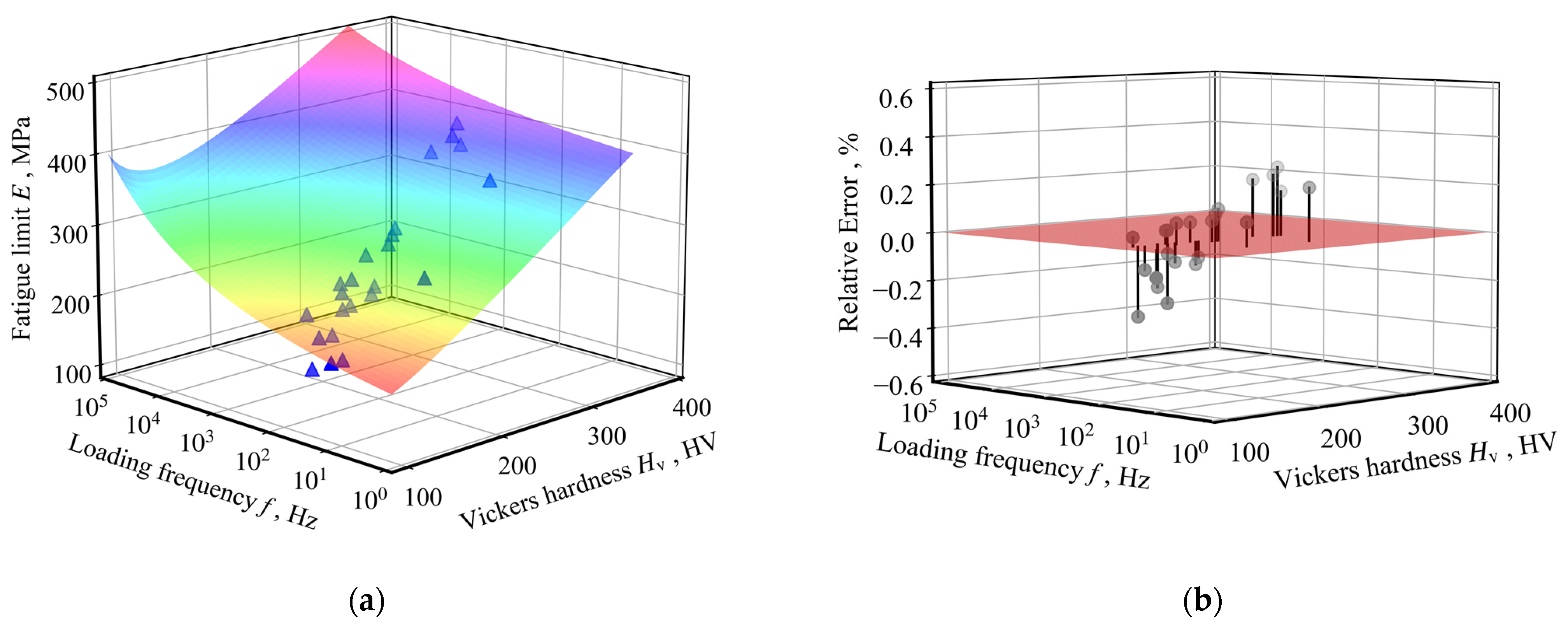
5.2. Studying Model Using Vickers Hardness
5.3. Examining the Effects of Different Loading Modes
- The microstructure of the carbon steel was predominantly duplex ferritic/pearlitic, except for strongly quenched steels. Moreover, cases involving ultrafine grain structures are outside the scope of the proposed model.
- Fatigue tests were operated in air and at room temperature under rotating bending. The test environment in which the specimens were subjected to high temperatures was excluded.
- The specimen shape inferred a stress concentration factor less than 1.15.
- The loading frequency of the fatigue test was within a wide range spanning from 1 to 120 Hz.
5.4. Proposing the Model in Terms of the Rate Process Theory
6. Conclusions
- The fatigue limits were compared with the axial-loading model in terms of the rate process theory based on carbon content proposed by Guennec et al. and the results of the rotating bending fatigue test. A significant difference was observed, especially in the medium-carbon steel group. It was concluded that this result was caused by differences in static strength such as hardness within the same group.
- Three-dimensional plots were used to confirm the relationship between loading frequency, Vickers hardness, and fatigue limit. The results revealed that loading frequency and Vickers hardness mutually influence the fatigue limit. That is, the effect of loading frequency on the fatigue limit was greater for materials with smaller Vickers hardness, and the effect of loading frequency on the fatigue limit was smaller for materials with larger Vickers hardness.
- We considered the adoption of the stress index with reference to the basic equation of creep, which expresses the dependence of stress on the strain rate. We also proposed a new fatigue-estimation formula that expresses the loading-frequency dependence of the fatigue limit using the Vickers hardness and stress index.
- The stress index in the newly proposed fatigue limit estimation formula was used as a parameter representing the influence of the type of load. It was suggested that the fatigue limit can be estimated by setting the stress index to for axial-loading fatigue and for rotating bending fatigue.
Author Contributions
Funding
Institutional Review Board Statement
Informed Consent Statement
Data Availability Statement
Conflicts of Interest
References
- Pang, J.C.; Li, S.X.; Wang, Z.G.; Zhang, Z.F. General relation between tensile strength and fatigue strength of metallic materials. Mater. Sci. Eng. A 2013, 564, 331–341. [Google Scholar] [CrossRef]
- Pang, J.C.; Li, S.X.; Wang, Z.G.; Zhang, Z.F. Relations between fatigue strength and other mechanical properties of metallic materials. Fatigue Fract. Eng. Mater. Struct. 2014, 37, 958–976. [Google Scholar] [CrossRef]
- Garwood, M.F. Correlation of Laboratory Tests and Service Performance, Interpretation of Tests and Correlation with Service. ASM 1951, 1–77. [Google Scholar]
- Nakamura, T. Fundamental Knowledge of Metal Fatigue. J. Jpn. Foundry Eng. Soc. 2007, 79, 58–69. [Google Scholar] [CrossRef]
- Murakami, Y.; Kodama, S.; Shizuyo, K. Quantitative Evaluation of Effects of Nonmetallic Inclusions on Fatigue Strength of High Strength Steel. Trans. Jpn. Soc. Mech. Eng. Ser. A 1988, 54, 688–696. [Google Scholar] [CrossRef]
- McGreevy, T.E.; Socie, D.F. Competing roles of microstructure and flaw size. Fatigue Fract. Eng. Mater. Struct. 1999, 22, 459–542. [Google Scholar] [CrossRef]
- Stanzl-Tschegg, S.E. Fracture mechanisms and fracture mechanics at ultrasonic frequencies. Fatigue Fract. Eng. Mater. Struct. 1999, 22, 567–579. [Google Scholar] [CrossRef]
- Kawamoto, M.; Tabuchi, S. Speed Effect in Fatigue Strength of Metals. J. Jpn. Soc. Test. Mater. 1960, 9, 452–458. [Google Scholar] [CrossRef][Green Version]
- Taira, S.; Emura, K. Investigation on the High Frequency Fatigue (The 1st Report). J. Soc. Mater. Sci. 1963, 12, 536–541. [Google Scholar] [CrossRef]
- Guennec, B.; Ueno, A.; Sakai, T.; Takanashi, M.; Itabashi, Y. Effect of the loading frequency on fatigue properties of JIS S15C low carbon steel and some discussions based on micro-plasticity behavior. Int. J. Fatigue 2014, 666, 29–38. [Google Scholar] [CrossRef]
- Papakyriacou, M.; Mayer, H.; Pypen, C.; Plenk, M., Jr.; Stanzl-Tschegg, S. Influence of loading frequency on high cycle fatigue properties of b.c.c. and h.c.p. metals. Mater. Sci. Eng. A 2001, 308, 143–152. [Google Scholar] [CrossRef]
- Marti, N.; Favier, V.; Saintier, N.; Gregori, F. Investigating Fatigue Frequency Effects on Single Phase Ductile Materials. Procedia Eng. 2015, 133, 294–298. [Google Scholar] [CrossRef][Green Version]
- Nonaka, I.; Setowaki, S.; Ichikawa, Y. Effect of load frequency on high cycle fatigue strength of bullet train axle steel. Int. J. Fatigue 2014, 60, 43–47. [Google Scholar] [CrossRef]
- Kikukawa, M.; Ohji, K.; Ogura, K. Push-Pull Fatigue Strength of Mild Steel at Very High Frequencies of Stress up to 100 kc/s. ASME J. Basic Eng. 1965, 87, 857–864. [Google Scholar] [CrossRef]
- Tsutsumi, N.; Murakami, Y.; Doquet, V. Effect of test frequency on fatigue strength of low carbon steel. Fatigue Fract. Eng. Mater. Struct. 2009, 32, 473–483. [Google Scholar] [CrossRef]
- Bach, J.; Möller, J.J.; Göken, M.; Bitzek, E.; Höppel, H.W. On the transition from plastic deformation to crack initiation in the high- and very high-cycle fatigue regimes in plain carbon steels. Int. J. Fatigue 2016, 93, 281–291. [Google Scholar] [CrossRef]
- Guennec, B.; Ueno, A.; Sakai, T.; Takanashi, M.; Itabashi, Y.; Ota, M. Dislocation-based interpretation on the effect of the loading frequency on the fatigue properties of JIS S15C low carbon steel. Int. J. Fatigue 2015, 70, 328–341. [Google Scholar] [CrossRef]
- Torabian, N.; Favier, V.; Dirrenberger, J.; Adamski, F.; Ziaei-Rad, S.; Ranc, N. Correlation of the high and very high cycle fatigue response of ferrite based steels with strain rate-temperature conditions. Acta Mater. 2017, 134, 40–52. [Google Scholar] [CrossRef]
- Bennett, P.E. Parameter Representation of Low-Temperature Yield Behavior of Body-Centered Cubic Transition Metals. J. Fluids Eng. 1966, 88, 518–524. [Google Scholar] [CrossRef]
- Toyosada, M.; Goto, K. Constitutive Equation for Mild Steel involved The Effect of Strain Rate and Temperature. Trans. West-Jpn. Soc. Nav. Archit. 1991, 81, 259–268. [Google Scholar]
- Tagawa, T. Basic Mechanical Testing and Evaluated Material Properties. J. Jpn. Weld. Soc. 2008, 77, 40–47. [Google Scholar] [CrossRef][Green Version]
- Guennec, B.; Takahashi, J.; Oguma, N.; Sakai, T. Rate Process Analysis of the Loading Frequency Effect on the Fatigue Endurance of Low Carbon Steel. J. Soc. Mater. Sci. Jpn. 2019, 68, 235–241. [Google Scholar] [CrossRef][Green Version]
- Guennec, B.; Kinoshita, T.; Horikawa, N.; Oguma, N.; Sakai, T. Loading frequency effect on the fatigue endurance of structural carbon steels: Estimation based on dislocation motion theory and experimental verification of the model. Int. J. Fatigue 2023, 172, 107634. [Google Scholar] [CrossRef]
- Sakai, T.; Takeda, M.; Shiozawa, K.; Ochi, Y.; Nakajima, M.; Nakajima, T.; Oguma, N. Experimental Reconfirmation of Characteristic S-N Property for High Carbon Chromium Bearing Steel in Wide Life Region in Rotating Bending. J. Soc. Mater. Sci. 2000, 49, 779–785. [Google Scholar] [CrossRef]
- Sakai, T.; Sugeta, A. Publication of the Second Edition of “Standard Evaluation Method of Fatigue Reliability for Metallic Materials” [Standard Regression Method of S-N curves]. J. Soc. Mater. Sci. 2005, 54, 37–43. [Google Scholar] [CrossRef]
- Mechanical System Design Handbook Based on JIS; Japanese Standards Association: Tokyo, Japan, 1986.
- Yokobori, T.; Maekawa, I.; Korekawa, S. The Influence of Non-metallic Inclusions on the Fatigue Strength and the Statistical Nature of Steel. J. Soc. Mater. Sci. 1963, 117, 12. [Google Scholar] [CrossRef]
- Shirawa, H.; Kobayashi, H.; Jizaimaru, J. The Effect of Various Strengthening Methods on Ductility of High Strength Steel Sheets. Tetsu-to-Hagane 1981, 67, 2208–2215. [Google Scholar] [CrossRef][Green Version]
- Nishihara, T.; Murase, O. The Effects of the repeating Speeds on the Fatigue of metallic Materials. Trans. Jpn. Soc. Mech. Eng. 1951, 17, 107–113. [Google Scholar] [CrossRef]
- Conrad, H.; Frederick, S. The effect of temperature and strain rate on the flow stress of iron. Acta Metall. 1962, 10, 1013–1020. [Google Scholar] [CrossRef]
- Hirukawa, H.; Matsuoka, S. Nanoscopic Strength Analysis of Ferrite-Pearlite Steels. Trans. Jpn. Soc. Mech. Eng. Ser. A 2002, 68, 1038–1045. [Google Scholar] [CrossRef][Green Version]
- Tokaiji, K.; Ando, Z.; Ushida, M.; Asahara, C. Effect of Overstressing on Fatigue Limit of Low Carbon Steel under Rotating Bending and Torsion. J. Soc. Mater. Sci. Jpn. 1976, 25, 863–869. [Google Scholar] [CrossRef]
- NIishihara, T.; Taira, S.; Tanaka, K.; Koterazawa, R.; Azuma, Y. Fatigue of Low Carbon Steel at Elevated Temperature. Trans. Jpn. Soc. Mech. Eng. 1958, 24, 445–452. [Google Scholar] [CrossRef]
- Ando, Z.; Kato, Y.; Watari, H. An Experiment on Fatigue of Low Carbon Steel at High Temperatures. Trans. Jpn. Soc. Mech. Eng. 1956, 22, 851–855. [Google Scholar] [CrossRef]
- Kang, M.; Aono, Y.; Noguchi, H. Effect of Prestrain Type on the Rotating Bending Fatigue Limit of Carbon Steel. J. Solid Mech. Mater. Eng. 2008, 2, 82–94. [Google Scholar] [CrossRef][Green Version]
- Nisitani, H.; Fukuda, T. Fatigue Limit and Small-Crack Growth Law in Rotating Bending and Torsional Fatigue of Isotropic Carbon Steel Plain Specimens. Trans. Jpn. Soc. Mech. Eng. Ser. A 1993, 59, 311–318. [Google Scholar] [CrossRef][Green Version]
- Nisitani, H.; Fukuda, T. Relation between S-N Curve and Small-Crack Growth Law in Torsional Fatigue of Annealed Carbon Steel Plain Specimens. Trans. Jpn. Soc. Mech. Eng. Ser. A 1989, 55, 710–717. [Google Scholar] [CrossRef][Green Version]
- Nishijima, S. Scatter of Fatigue Strength in Medium Carbon Steels. J. Soc. Mater. Sci. 1974, 23, 9–14. [Google Scholar] [CrossRef][Green Version]
- Kikuchi, S.; Adachi, M. Deformation Behaviors of Metals and Alloys at Elevated Temperatures. J. Soc. Mater. Sci. Jpn. 1981, 30, 94–101. [Google Scholar] [CrossRef]
- Nishino, K.; Honma, H. A Study on Temperature and Strain Rate Dependences of Yield Stress, and Ductile-Brittle Transition in Mild Steel. Tetsu-to-Hagane 1970, 56, 859–868. [Google Scholar] [CrossRef][Green Version]
- Ishii, A.; Nihei, M.; Kanazawa, K.; Nishijima, S. Prediction of Missing Properties in Fatigue Databases. J. Soc. Mater. Sci. Jpn. 1990, 39, 1285–1291. [Google Scholar] [CrossRef]












| C | Si | Mn | P | S | Ni | Cu | Cr | |
|---|---|---|---|---|---|---|---|---|
| JIS S10C | 0.10 | 0.23 | 0.40 | 0.018 | 0.008 | 0.02 | 0.01 | 0.02 |
| JIS S25C | 0.25 | 0.19 | 0.41 | 0.021 | 0.019 | 0.06 | 0.10 | 0.12 |
| JIS S35C | 0.35 | 0.26 | 0.67 | 0.016 | 0.007 | 0.04 | 0.05 | 0.10 |
| JIS S45C | 0.45 | 0.20 | 0.72 | 0.015 | 0.014 | 0.01 | 0.01 | 0.16 |
| Loading Frequency , Hz | ||
|---|---|---|
| 7 | 70 | |
| JIS S10C | - | Conduct |
| JIS S25C | - | Conduct |
| JIS S35C | Conduct | Conduct |
| JIS S45C | Conduct | Conduct |
| Loading Frequency , Hz | Fatigue Limit , MPa | |
|---|---|---|
| JIS S10C | 70 | 235 |
| JIS S25C | 70 | 265 |
| JIS S35C | 7 | 285 |
| 70 | 295 | |
| JIS S45C | 7 | 395 |
| 70 | 415 |
| Group | %C | Loading Frequency , Hz | Estimated Fatigue Limit, MPa | Material | Fatigue Limit , MPa | Error, % |
|---|---|---|---|---|---|---|
| G1 | 0.08–0.01 | 70 | 159 | JIS S10C | 235 | 47.7 |
| G2 | 0.12–0.22 | 70 | 190 | JIS S25C | 265 | 39.5 |
| G3 | 0.33–0.46 | 7 | 226 | JIS S35C | 285 | 26.3 |
| JIS S45C | 395 | 75.0 | ||||
| 70 | 235 | JIS S35C | 295 | 25.3 | ||
| JIS S45C | 415 | 76.3 |
| Data No. | %C | , Hz | Ref. | ||
|---|---|---|---|---|---|
| 1 | 0.09 | 115 | 57 | 162 | [32] |
| 2 | 0.1 | 115 | 70 | 235 | This study |
| 3 | 0.1 | 103 | 18.3 | 186 | [33] |
| 4 | 0.11 | 155 | 57 | 235 | [32] |
| 5 | 0.12 | 142 | 28.3 | 177 | [34] |
| 6 | 0.13 | 119 | 50 | 205 | [35] |
| 7 | 0.21 | 135 | 60 | 200 | [36] |
| 8 | 0.21 | 141 | 50 | 235 | [37] |
| 9 | 0.25 | 149 | 70 | 265 | This study |
| 10 | 0.27 | 153 | 50 | 273 | [38] |
| 11 | 0.28 | 143 | 50 | 258 | [38] |
| 12 | 0.35 | 177 | 7 | 285 | This study |
| 13 | 0.35 | 177 | 70 | 295 | This study |
| 14 | 0.44 | 174 | 50 | 245 | [37] |
| 15 | 0.45 | 225 | 7 | 395 | This study |
| 16 | 0.45 | 225 | 70 | 415 | This study |
| 17 | 0.46 | 192 | 50 | 308 | [38] |
| 16 | 0.46 | 261 | 50 | 436 | [38] |
| 19 | 0.47 | 196 | 50 | 320 | [38] |
| 20 | 0.47 | 270 | 50 | 421 | [38] |
| 21 | 0.49 | 199 | 50 | 328 | [38] |
| 22 | 0.49 | 266 | 50 | 452 | [38] |
| 23 | 0.54 | 177 | 50 | 255 | [38] |
Disclaimer/Publisher’s Note: The statements, opinions and data contained in all publications are solely those of the individual author(s) and contributor(s) and not of MDPI and/or the editor(s). MDPI and/or the editor(s) disclaim responsibility for any injury to people or property resulting from any ideas, methods, instructions or products referred to in the content. |
© 2024 by the authors. Licensee MDPI, Basel, Switzerland. This article is an open access article distributed under the terms and conditions of the Creative Commons Attribution (CC BY) license (https://creativecommons.org/licenses/by/4.0/).
Share and Cite
Fukami, M.; Oguma, N.; Guennec, B.; Horikawa, N.; Sakai, T. Effects of Loading Modes on Fatigue Limit Estimation in Terms of Rotating Bending Fatigue and Rate Process Theory. Appl. Sci. 2024, 14, 477. https://doi.org/10.3390/app14020477
Fukami M, Oguma N, Guennec B, Horikawa N, Sakai T. Effects of Loading Modes on Fatigue Limit Estimation in Terms of Rotating Bending Fatigue and Rate Process Theory. Applied Sciences. 2024; 14(2):477. https://doi.org/10.3390/app14020477
Chicago/Turabian StyleFukami, Mai, Noriyasu Oguma, Benjamin Guennec, Noriyo Horikawa, and Tatsuo Sakai. 2024. "Effects of Loading Modes on Fatigue Limit Estimation in Terms of Rotating Bending Fatigue and Rate Process Theory" Applied Sciences 14, no. 2: 477. https://doi.org/10.3390/app14020477
APA StyleFukami, M., Oguma, N., Guennec, B., Horikawa, N., & Sakai, T. (2024). Effects of Loading Modes on Fatigue Limit Estimation in Terms of Rotating Bending Fatigue and Rate Process Theory. Applied Sciences, 14(2), 477. https://doi.org/10.3390/app14020477
