Historical Elite Differential Evolution Based on Particle Swarm Optimization Algorithm for Texture Optimization with Application in Particle Physics
Abstract
1. Introduction
- Change the mutation strategy. The mutation phase of the DE algorithm is important since it allows the integration of new individuals into the existing population, thus influencing its performance. Algorithms such as CoDE [30] have introduced new mutation strategies and implemented different mutation strategies, respectively, in order to improve the efficiency of the DE algorithm.
- Change the parameter control. The DE algorithm is sensitive to the configuration of its main parameters: the scale factor F and the crossover probability [26,31]. Self-adaptive control of these parameters has been shown to improve the performance of the DE algorithm significantly. In this sense, the SHADE [32] and SaDE [33] algorithms represent two fairly well-known variants.
- Hybridization with other optimization algorithms. One way to improve the performance of the DE algorithm is to take advantage of the operators’ strengths from other algorithms and incorporate them into the structure of the DE algorithm through a hybridization process [27,37]. Hybridization with other computational intelligence algorithms, such as artificial neural networks (ANNs), ant colony optimization (ACO), and particle swarm optimization (PSO), has marked a trend within the last decade [27,38].
2. Problem Definition
3. Review of PSO, DE, and DEPSO
3.1. Particle Swarm Optimization
3.2. Differential Evolution
3.2.1. Improvements on DE Parameters Control
3.2.2. DEPSO Algorithm
4. Proposed HE-DEPSO Algorithm
4.1. Adaptive Hybrid Mutation Operator
4.1.1. DE/Current-to-EHE/1 Mutation Strategy
- The use of a randomly selected individual within the group Et ∪ HE, i.e., , helps to guide mutated individuals to more promising regions. However, due to the presence of the historical information of the elite individuals (HE), the mutated individuals are prevented from being directed towards the best regions found, thus allowing the maintenance of good diversity in the population and increasing the chances of targeting optimal regions.
- The participation of two individuals, and , randomly selected from and HL, respectively, promotes the diversity of mutated individuals. Consequently, the search diversity of the HE-DEPSO algorithm is considerably improved, which is beneficial for escaping from possible local minima.
4.1.2. Selection of Mutation Strategy for Adaptive Hybrid Mutation Operator
4.2. The Complete HE-DEPSO Algorithm
| Algorithm 1: The pseudocode of HE-DEPSO |
![]() |
4.3. Complexity Analysis of the HE-DEPSO Algorithm
5. Experimental Results and Analysis
5.1. Benchmark Functions
5.2. Algorithms and Parameter Settings
5.3. Comparison with DE, PSO, and Three State-of-the-Art DE Variants
5.3.1. Optimization Results
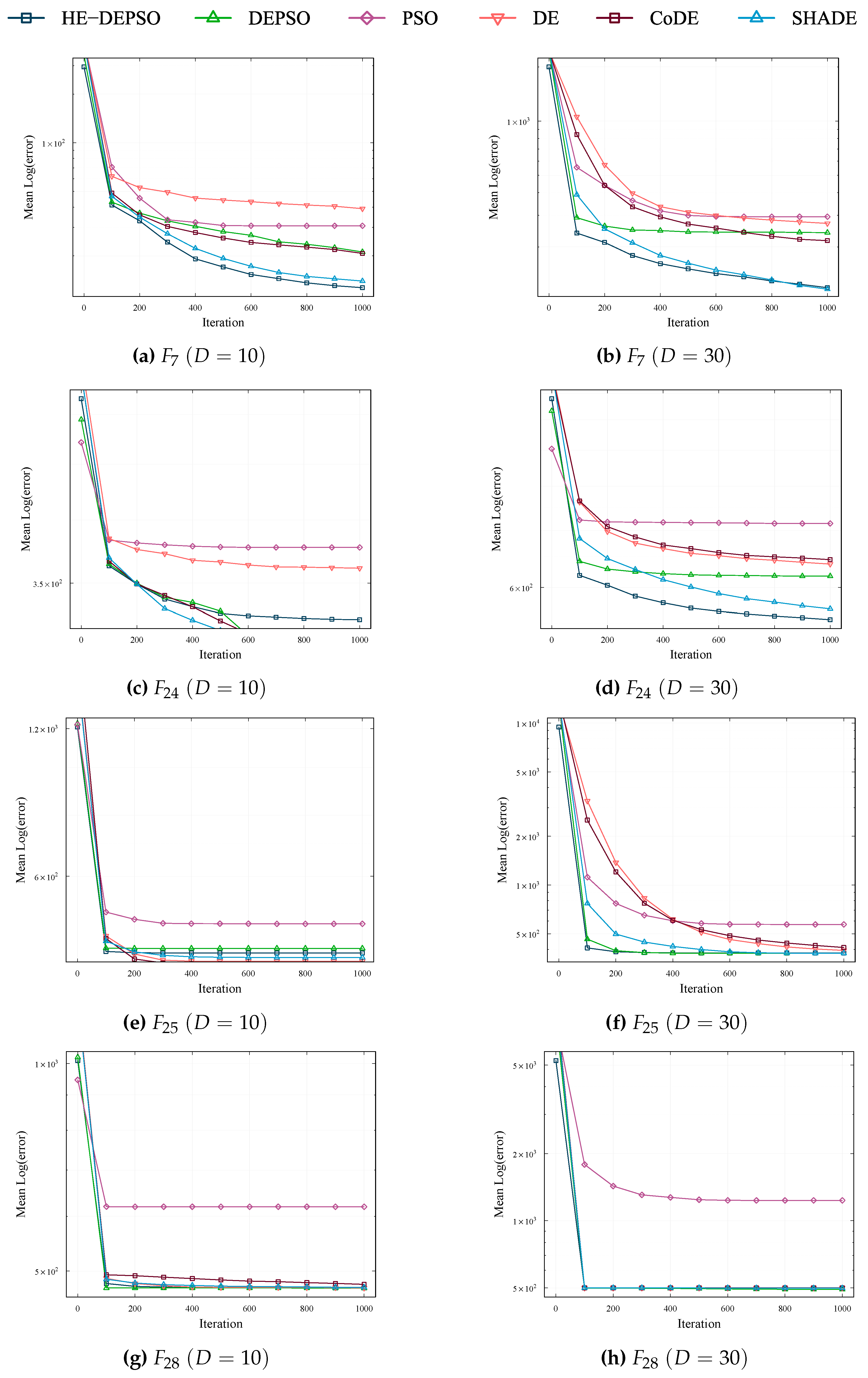
5.3.2. Convergence Properties
- The convergence properties of the functions , , and can be identified within the same class; this can be observed with the help of Figure 3a–d. In this type, the HE-DEPSO algorithm shows faster convergence than the other algorithms at , while at it obtains a better mean error value.
- In Figure 3e–h, the convergence curves of functions and are presented, which are similar to the corresponding ones for functions , , , and . All algorithms have different degrees of evolutionary stagnation or exhibit slow evolution for these functions.
- The convergence curves of the functions , , , and are similar to the curves of the functions and (see Figure 4a–d) obtained for the HE-DEPSO algorithm. In this type, HE-DEPSO presents a fast convergence at the beginning and, subsequently, it keeps evolving downward.
- The evolutionary process presented in the convergence curves of the functions and follows the same trend as the convergence curves of the functions and , as can be seen in Figure 4e–h. Here, most of the algorithms present stagnation in an accelerated way, although some of them manage to keep evolving downward.
- The adaptive hybrid mutation operator implemented in HE-DEPSO is based on the self-adaptive mutation strategy of the DEPSO algorithm, which has proven to be helpful in tackling several complex optimization problems. On the other hand, the collaborative work between the “DE/current-to-EHE/1” mutation strategy with historical information of the elite individuals and the PSO algorithm strategy generates a good balance between exploration and exploitation at different stages of the evolutionary process.
- The self-adaptive control of the F and parameters adopted from the SHADE algorithm allows the mitigation of parameter sensitivity. In this way, the crossover probability and the scale factor are dynamically adjusted during the evolutionary process at the level of each individual, which can make the proposed algorithm suitable for a wider variety of optimization problems.
6. Four-Zero Texture Model Validation
6.1. HE-DEPSO Performance in Optimization
6.1.1. Experiment Configuration
6.1.2. Experiment Results
6.2. Valid Regions for Parameters , and
6.3. Predictions for the Elements
7. Conclusions
Author Contributions
Funding
Data Availability Statement
Acknowledgments
Conflicts of Interest
Appendix A
References
- Battaglia, M.; Buras, A.J.; Gambino, P.; Stocchi, A.; Abbaneo, D.; Ali, A.; Amaral, P.; Andreev, V.; Artuso, M.; Barberio, E.; et al. The CKM Matrix and the Unitarity Triangle. In Proceedings of the First Workshop on the CKM Unitarity Triangle, CERN, Geneva, Switzerland, 13–16 February 2002. [Google Scholar] [CrossRef]
- Fleischer, R. Flavor physics and CP violation. In Proceedings of the European School on High-Energy Physics, Tsakhkadzor, Armenia, 24 August–6 September 2003; pp. 81–150. [Google Scholar]
- Branco, G.C.; Lavoura, L.; Silva, J.P. CP Violation; Clarendon Press: Oxford, UK, 1999; Volume 103. [Google Scholar]
- Altarelli, G.; Feruglio, F. Neutrino masses and mixings: A theoretical perspective. Phys. Rept. 1999, 320, 295–318. [Google Scholar] [CrossRef][Green Version]
- Altarelli, G.; Feruglio, F. Models of neutrino masses and mixings. New J. Phys. 2004, 6, 106. [Google Scholar] [CrossRef]
- Fritzsch, H.; Xing, Z.Z. Mass and flavor mixing schemes of quarks and leptons. Prog. Part. Nucl. Phys. 2000, 45, 1–81. [Google Scholar] [CrossRef]
- Xing, Z.Z. Flavor structures of charged fermions and massive neutrinos. Phys. Rept. 2020, 854, 1–147. [Google Scholar] [CrossRef]
- Gupta, M.; Ahuja, G. Flavor mixings and textures of the fermion mass matrices. Int. J. Mod. Phys. A 2012, 27, 1230033. [Google Scholar] [CrossRef]
- Froggatt, C.D.; Nielsen, H.B. Hierarchy of Quark Masses, Cabibbo Angles and CP Violation. Nucl. Phys. B 1979, 147, 277–298. [Google Scholar] [CrossRef]
- King, S.F.; Luhn, C. Neutrino Mass and Mixing with Discrete Symmetry. Rept. Prog. Phys. 2013, 76, 056201. [Google Scholar] [CrossRef]
- Borzumati, F.; Nomura, Y. Low scale seesaw mechanisms for light neutrinos. Phys. Rev. D 2001, 64, 053005. [Google Scholar] [CrossRef]
- Lindner, M.; Ohlsson, T.; Seidl, G. Seesaw mechanisms for Dirac and Majorana neutrino masses. Phys. Rev. D 2002, 65, 053014. [Google Scholar] [CrossRef]
- Flieger, W.; Gluza, J. General neutrino mass spectrum and mixing properties in seesaw mechanisms. Chin. Phys. C 2021, 45, 023106. [Google Scholar] [CrossRef]
- Aranda, A.; Bonilla, C.; Rojas, A.D. Neutrino masses generation in a Z4 model. Phys. Rev. D 2012, 85, 036004. [Google Scholar] [CrossRef]
- Ahn, Y.H.; Kang, S.K. Non-zero θ13 and CP violation in a model with A4 flavor symmetry. Phys. Rev. D 2012, 86, 093003. [Google Scholar] [CrossRef]
- Sinha, R.; Samanta, R.; Ghosal, A. Maximal Zero Textures in Linear and Inverse Seesaw. Phys. Lett. B 2016, 759, 206–213. [Google Scholar] [CrossRef][Green Version]
- Fritzsch, H. Calculating the Cabibbo angle. Phys. Lett. B 1977, 70, 436–440. [Google Scholar] [CrossRef]
- Fritzsch, H.; Xing, Z.Z. Four zero texture of Hermitian quark mass matrices and current experimental tests. Phys. Lett. B 2003, 555, 63–70. [Google Scholar] [CrossRef]
- Kang, K.; Kang, S.K. New class of quark mass matrix and calculability of the flavor mixing matrix. Phys. Rev. D 1997, 56, 1511–1514. [Google Scholar] [CrossRef]
- Xing, Z.-Z.; Zhao, Z.-H. On the four-zero texture of quark mass matrices and its stability. Nucl. Phys. B 2015, 897, 302–325. [Google Scholar] [CrossRef]
- Gómez-Ávila, S.; López-Lozano, L.; Miranda-Romagnoli, P.; Noriega-Papaqui, R.; Lagos-Eulogio, P. 2-zeroes texture and the Universal Texture Constraint. arXiv 2021, arXiv:2105.01554. [Google Scholar]
- Tani, L.; Rand, D.; Veelken, C.; Kadastik, M. Evolutionary algorithms for hyperparameter optimization in machine learning for application in high energy physics. Eur. Phys. J. C 2021, 81, 170. [Google Scholar] [CrossRef]
- Zhang, Y.; Zhou, D. Application of differential evolution algorithm in future collider optimization. In Proceedings of the 7th International Particle Accelerator Conference (IPAC’16), Busan, Republic of Korea, 8–13 May 2016; pp. 1025–1027. [Google Scholar]
- Wu, J.; Zhang, Y.; Qin, Q.; Wang, Y.; Yu, C.; Zhou, D. Dynamic aperture optimization with diffusion map analysis at CEPC using differential evolution algorithm. Nucl. Instruments Methods Phys. Res. Sect. A Accel. Spectrometers Detect. Assoc. Equip. 2020, 959, 163517. [Google Scholar] [CrossRef]
- Allanach, B.C.; Grellscheid, D.; Quevedo, F. Genetic algorithms and experimental discrimination of SUSY models. J. High Energy Phys. 2004, 2004, 069. [Google Scholar] [CrossRef]
- Bilal; Pant, M.; Zaheer, H.; Garcia-Hernandez, L.; Abraham, A. Differential Evolution: A review of more than two decades of research. Eng. Appl. Artif. Intell. 2020, 90, 103479. [Google Scholar] [CrossRef]
- Ahmad, M.F.; Isa, N.A.M.; Lim, W.H.; Ang, K.M. Differential evolution: A recent review based on state-of-the-art works. Alex. Eng. J. 2022, 61, 3831–3872. [Google Scholar] [CrossRef]
- Pan, J.S.; Liu, N.; Chu, S.C. A Hybrid Differential Evolution Algorithm and Its Application in Unmanned Combat Aerial Vehicle Path Planning. IEEE Access 2020, 8, 17691–17712. [Google Scholar] [CrossRef]
- Opara, K.R.; Arabas, J. Differential Evolution: A survey of theoretical analyses. Swarm Evol. Comput. 2019, 44, 546–558. [Google Scholar] [CrossRef]
- Wang, Y.; Cai, Z.; Zhang, Q. Differential Evolution With Composite Trial Vector Generation Strategies and Control Parameters. IEEE Trans. Evol. Comput. 2011, 15, 55–66. [Google Scholar] [CrossRef]
- Peñuñuri, F.; Cab, C.; Carvente, O.; Zambrano-Arjona, M.; Tapia, J. A study of the Classical Differential Evolution control parameters. Swarm Evol. Comput. 2016, 26, 86–96. [Google Scholar] [CrossRef]
- Tanabe, R.; Fukunaga, A. Success-history based parameter adaptation for Differential Evolution. In Proceedings of the 2013 IEEE Congress on Evolutionary Computation, Cancun, Mexico, 20–23 June 2013; pp. 71–78. [Google Scholar] [CrossRef]
- Qin, A.K.; Huang, V.L.; Suganthan, P.N. Differential Evolution Algorithm with Strategy Adaptation for Global Numerical Optimization. IEEE Trans. Evol. Comput. 2009, 13, 398–417. [Google Scholar] [CrossRef]
- Das, S.; Abraham, A.; Chakraborty, U.K.; Konar, A. Differential Evolution Using a Neighborhood-Based Mutation Operator. IEEE Trans. Evol. Comput. 2009, 13, 526–553. [Google Scholar] [CrossRef]
- Rahnamayan, S.; Tizhoosh, H.R.; Salama, M.M. Opposition-based differential evolution. IEEE Trans. Evol. Comput. 2008, 12, 64–79. [Google Scholar] [CrossRef]
- Zhang, J.; Sanderson, A. JADE: Adaptive Differential Evolution with Optional External Archive. Evol. Comput. IEEE Trans. 2009, 13, 945–958. [Google Scholar] [CrossRef]
- Chakraborty, S.; Saha, A.K.; Sharma, S.; Sahoo, S.K.; Pal, G. Comparative Performance Analysis of Differential Evolution Variants on Engineering Design Problems. J. Bionic Eng. 2022, 19, 1140–1160. [Google Scholar] [CrossRef] [PubMed]
- Lagos-Eulogio, P.; Miranda-Romagnoli, P.; Seck-Tuoh-Mora, J.C.; Hernández-Romero, N. Improvement in Sizing Constrained Analog IC via Ts-CPD Algorithm. Computation 2023, 11, 230. [Google Scholar] [CrossRef]
- Wang, S.; Li, Y.; Yang, H. Self-adaptive mutation differential evolution algorithm based on particle swarm optimization. Appl. Soft Comput. 2019, 81, 105496. [Google Scholar] [CrossRef]
- Novaes, S.F. Standard model: An Introduction. In Proceedings of the 10th Jorge Andre Swieca Summer School: Particle and Fields, São Paulo, Brazil, 6–12 February 1999; pp. 5–102. [Google Scholar]
- Langacker, P. Introduction to the Standard Model and Electroweak Physics. In Proceedings of the Theoretical Advanced Study Institute in Elementary Particle Physics: The Dawn of the LHC Era, Boulder, CO, USA, 1 January 2010; pp. 3–48. [Google Scholar] [CrossRef]
- Isidori, G.; Nir, Y.; Perez, G. Flavor Physics Constraints for Physics Beyond the Standard Model. Ann. Rev. Nucl. Part. Sci. 2010, 60, 355. [Google Scholar] [CrossRef]
- Antonelli, M.; Asner, D.M.; Bauer, D.; Becher, T.; Beneke, M.; Bevan, A.J.; Blanke, M.; Bloise, C.; Bona, M.; Bondar, A.; et al. Flavor Physics in the Quark Sector. Phys. Rept. 2010, 494, 197–414. [Google Scholar] [CrossRef]
- Eidelman, S. Review of particle physics. Particle Data Group. Phys. Lett. B 2004, 592, 1. [Google Scholar] [CrossRef]
- Félix-Beltrán, O.; González-Canales, F.; Hernández-Sánchez, J.; Moretti, S.; Noriega-Papaqui, R.; Rosado, A. Analysis of the quark sector in the 2HDM with a four-zero Yukawa texture using the most recent data on the CKM matrix. Phys. Lett. B 2015, 742, 347–352. [Google Scholar] [CrossRef]
- Barranco, J.; Delepine, D.; Lopez-Lozano, L. Neutrino mass determination from a four-zero texture mass matrix. Phys. Rev. D 2012, 86, 053012. [Google Scholar] [CrossRef]
- Eberhart, R.C.; Kennedy, J. A new optimizer using particle swarm theory. In Proceedings of the MHS’95, Proceedings of the Sixth International Symposium on Micro Machine and Human Science, Nagoya, Japan, 4–6 October 1995; pp. 39–43. [Google Scholar]
- Shi, Y.; Eberhart, R. A modified particle swarm optimizer. In Proceedings of the 1998 IEEE International Conference on Evolutionary Computation Proceedings, IEEE World Congress on Computational Intelligence (Cat. No. 98TH8360), Anchorage, Alaska, 4–9 May 1998; pp. 69–73. [Google Scholar] [CrossRef]
- Storn, R.; Price, K. Differential Evolution: A Simple and Efficient Adaptive Scheme for Global Optimization Over Continuous Spaces. J. Glob. Optim. 1995, 23. Available online: https://cse.engineering.nyu.edu/~mleung/CS909/s04/Storn95-012.pdf (accessed on 1 July 2024).
- Storn, R.; Price, K. Differential Evolution—A Simple and Efficient Heuristic for Global Optimization over Continuous Spaces. J. Glob. Optim. 1997, 11, 341–359. [Google Scholar] [CrossRef]
- Sánchez Vargas, O.; De León Aldaco, S.E.; Aguayo Alquicira, J.; Vela Valdés, L.G.; Mina Antonio, J.D. Differential Evolution Applied to a Multilevel Inverter—A Case Study. Appl. Sci. 2022, 12, 9910. [Google Scholar] [CrossRef]
- Batool, R.; Bibi, N.; Muhammad, N.; Alhazmi, S. Detection of Primary User Emulation Attack Using the Differential Evolution Algorithm in Cognitive Radio Networks. Appl. Sci. 2023, 13, 571. [Google Scholar] [CrossRef]
- Elsayed, S.M.; Sarker, R.A.; Ray, T. Differential evolution with automatic parameter configuration for solving the CEC2013 competition on Real-Parameter Optimization. In Proceedings of the 2013 IEEE Congress on Evolutionary Computation, Cancun, Mexico, 20–23 June 2013; pp. 1932–1937. [Google Scholar] [CrossRef]
- Zhong, X.; Cheng, P. An elite-guided hierarchical differential evolution algorithm. Appl. Intell. 2021, 51, 4962–4983. [Google Scholar] [CrossRef]
- Yang, Q.; Guo, X.; Gao, X.D.; Xu, D.D.; Lu, Z.Y. Differential Elite Learning Particle Swarm Optimization for Global Numerical Optimization. Mathematics 2022, 10, 1261. [Google Scholar] [CrossRef]
- Huang, Y.; Yu, Y.; Guo, J.; Wu, Y. Self-adaptive Artificial Bee Colony with a Candidate Strategy Pool. Appl. Sci. 2023, 13, 10445. [Google Scholar] [CrossRef]
- Wang, S.; Li, Y.; Yang, H.; Liu, H. Self-adaptive differential evolution algorithm with improved mutation strategy. Soft Comput. 2017, 22, 3433–3447. [Google Scholar] [CrossRef]
- Kumar, A.; Price, K.V.; Mohamed, A.W.; Hadi, A.A.; Suganthan, P.N. Problem Definitions and Evaluation Criteria for the CEC 2017 Special Session and Competition on Single Objective Bound Constrained Numerical Optimization; Technical Report; Nanyang Technological University: Singapore, 2016; pp. 1–34. [Google Scholar]
- Branco, G.C.; Emmanuel-Costa, D.; Simoes, C. Nearest-Neighbour Interaction from an Abelian Symmetry and Deviations from Hermiticity. Phys. Lett. B 2010, 690, 62–67. [Google Scholar] [CrossRef]
- Centelles Chuliá, S.; Herrero-Brocal, A.; Vicente, A. The Type-I Seesaw family. J. High Energy Phys. 2024, 2024, 60. [Google Scholar] [CrossRef]
- Fritzsch, H.; Xing, Z.Z.; Zhang, D. Correlations between quark mass and flavor mixing hierarchies. Nucl. Phys. B 2022, 974, 115634. [Google Scholar] [CrossRef]












| Case | ||
|---|---|---|
| 1 | ||
| 2 | ||
| 3 | ||
| 4 |
| Function Type | Index | Function Name | Optimum |
|---|---|---|---|
| Unimodal | 1 | Shifted and Rotated Bent Cigar | 100 |
| Functions | 3 | Shifted and Rotated Zakharov | 300 |
| 4 | Shifted and Rotated Rosenbrock | 400 | |
| 5 | Shifted and Rotated Rastrigin | 500 | |
| Simple | 6 | Shifted and Rotated Expanded Schaffer F6 | 600 |
| Multimodal | 7 | Shifted and Rotated Lunacek Bi-Rastrigin | 700 |
| Functions | 8 | Shifted and Rotated Non-Continuous Rastrigin | 800 |
| 9 | Shifted and Rotated Levy | 900 | |
| 10 | Shifted and Rotated Schwefel | 1000 | |
| 11 | Hybrid Problem 1 (N = 3) | 1100 | |
| 12 | Hybrid Problem 2 (N = 3) | 1200 | |
| 13 | Hybrid Problem 3 (N = 3) | 1300 | |
| Hybrid | 14 | Hybrid Problem 4 (N = 4) | 1400 |
| Functions | 15 | Hybrid Problem 5 (N = 4) | 1500 |
| 16 | Hybrid Problem 6 (N = 4) | 1600 | |
| 17 | Hybrid Problem 7 (N = 5) | 1700 | |
| 18 | Hybrid Problem 8 (N = 5) | 1800 | |
| 19 | Hybrid Problem 9 (N = 5) | 1900 | |
| 20 | Hybrid Problem 10 (N = 6) | 2000 | |
| 21 | Composition Problem 1 (N = 3) | 2100 | |
| 22 | Composition Problem 2 (N = 3) | 2200 | |
| 23 | Composition Problem 3 (N = 4) | 2300 | |
| Composition | 24 | Composition Problem 4 (N = 4) | 2400 |
| Functions | 25 | Composition Problem 5 (N = 5) | 2500 |
| 26 | Composition Problem 6 (N = 5) | 2600 | |
| 27 | Composition Problem 7 (N = 6) | 2700 | |
| 28 | Composition Problem 8 (N = 6) | 2800 | |
| 29 | Composition Problem 9 (N = 9) | 2900 | |
| 30 | Composition Problem 10 (N = 3) | 3000 |
| Algorithm | Parameters |
|---|---|
| HE-DEPSO | , , , , , |
| , , | |
| DEPSO | , , , , |
| , , , | |
| SHADE | , |
| CoDE | (1) , (2) , (3) |
| DE | , |
| PSO | , |
| Function | Metrics | HE-DEPSO | DEPSO | SHADE | CoDE | DE | PSO |
|---|---|---|---|---|---|---|---|
| Mean | 0.0000 | 1.8337 | 0.0000 | 1.1580 | 3.5103 | 1.1366 | |
| Std | 0.0000 | 4.8427 | 0.0000 | 6.0507 | 2.0793 | 9.7631 | |
| Rank | 1 | 4 | 1 | 3 | 2 | 5 | |
| Significance | ≈ | ≈ | + | + | + | ||
| Mean | 9.1683 | 1.3752 | 1.6503 | 2.0001 | 1.7359 | 1.5886 | |
| Std | 0.0000 | 0.0000 | 0.0000 | 2.7390 | 4.8441 | 6.2297 | |
| Rank | 1 | 1 | 1 | 2 | 3 | 4 | |
| Significance | ≈ | ≈ | + | + | + | ||
| Mean | 0.0000 | 2.3838 | 2.0805 | 2.3103 | 1.0409 | 5.8071 | |
| Std | 0.0000 | 2.8513 | 6.7544 | 1.2601 | 6.4578 | 6.9704 | |
| Rank | 1 | 2 | 5 | 3 | 4 | 6 | |
| Significance | + | + | + | + | + | ||
| Mean | 2.8439 | 4.0119 | 3.8489 | 8.5594 | 2.9710 | 3.0728 | |
| Std | 7.2094 | 1.6940 | 1.0401 | 1.4246 | 3.9355 | 1.2073 | |
| Rank | 1 | 3 | 2 | 4 | 5 | 6 | |
| Significance | + | + | + | + | + | ||
| Mean | 0.0000 | 4.6321 | 2.7530 | 4.6895 | 4.5748 | 1.1970 | |
| Std | 0.0000 | 2.5790 | 5.5026 | 2.4954 | 2.2095 | 9.6167 | |
| Rank | 1 | 4 | 3 | 5 | 2 | 6 | |
| Significance | + | + | + | + | + | ||
| Mean | 1.2678 | 2.1067 | 1.3953 | 2.0678 | 3.9143 | 3.0657 | |
| Std | 7.0313 | 6.7134 | 7.6551 | 2.2560 | 3.7389 | 8.6791 | |
| Rank | 1 | 4 | 2 | 3 | 6 | 5 | |
| Significance | + | + | + | + | + | ||
| Mean | 2.2853 | 4.2045 | 3.8070 | 8.6884 | 2.6037 | 2.4833 | |
| Std | 8.1114 | 1.9346 | 7.3957 | 1.8765 | 5.5290 | 1.1493 | |
| Rank | 1 | 3 | 2 | 4 | 6 | 5 | |
| Significance | + | + | + | + | + | ||
| Mean | 0.0000 | 7.3346 | 0.0000 | 0.0000 | 0.0000 | 6.8233 | |
| Std | 0.0000 | 2.8391 | 0.0000 | 0.0000 | 0.0000 | 1.9812 | |
| Rank | 1 | 2 | 1 | 1 | 1 | 3 | |
| Significance | ≈ | ≈ | ≈ | + | + | ||
| Mean | 2.4499 | 8.9742 | 1.5812 | 7.4438 | 1.4730 | 9.1356 | |
| Std | 1.1864 | 1.6890 | 7.6565 | 1.1745 | 1.7509 | 3.3829 | |
| Rank | 2 | 4 | 1 | 3 | 6 | 5 | |
| Significance | + | − | + | ≈ | + | ||
| Mean | 2.5687 | 8.6658 | 2.3208 | 1.2502 | 6.7909 | 8.1368 | |
| Std | 1.4103 | 6.1559 | 4.7869 | 4.6467 | 9.9142 | 8.3317 | |
| Rank | 1 | 2 | 4 | 3 | 5 | 6 | |
| Significance | + | + | + | + | + | ||
| Mean | 8.1966 | 1.1535 | 3.5298 | 2.7652 | 5.3458 | 8.7444 | |
| Std | 7.0615 | 2.8045 | 1.4666 | 6.4786 | 1.2345 | 3.8318 | |
| Rank | 3 | 1 | 2 | 4 | 5 | 6 | |
| Significance | − | − | + | + | + | ||
| Mean | 3.8882 | 4.6716 | 5.9948 | 1.1231 | 1.2796 | 6.3448 | |
| Std | 2.4042 | 9.7586 | 6.0682 | 2.0901 | 1.7030 | 1.2009 | |
| Rank | 1 | 2 | 3 | 4 | 5 | 6 | |
| Significance | ≈ | + | + | + | + | ||
| Mean | 2.4091 | 6.8868 | 1.9065 | 2.0295 | 2.6185 | 1.7551 | |
| Std | 5.1573 | 8.0249 | 3.0340 | 1.2717 | 1.2365 | 9.5615 | |
| Rank | 1 | 2 | 3 | 4 | 5 | 6 | |
| Significance | + | + | + | + | + | ||
| Mean | 3.6646 | 5.7132 | 1.0838 | 1.3990 | 2.1239 | 4.6041 | |
| Std | 2.3145 | 4.9456 | 3.3723 | 5.4455 | 1.2934 | 1.0508 | |
| Rank | 1 | 2 | 3 | 4 | 5 | 6 | |
| Significance | + | + | + | + | + | ||
| Mean | 1.4450 | 1.6357 | 4.5365 | 4.3009 | 1.9028 | 1.2496 | |
| Std | 3.2202 | 3.2942 | 2.2215 | 2.5242 | 1.6484 | 1.0780 | |
| Rank | 1 | 2 | 4 | 3 | 5 | 6 | |
| Significance | − | + | + | + | + | ||
| Mean | 7.2016 | 1.2075 | 2.1001 | 2.0112 | 2.8168 | 5.7710 | |
| Std | 3.0221 | 8.5311 | 3.2211 | 2.8326 | 1.8397 | 2.4017 | |
| Rank | 1 | 2 | 4 | 3 | 5 | 6 | |
| Significance | + | + | + | + | + | ||
| Mean | 3.8770 | 8.2949 | 1.9823 | 2.0117 | 2.0542 | 2.7241 | |
| Std | 1.4583 | 6.7399 | 1.9348 | 3.4569 | 1.0532 | 1.8731 | |
| Rank | 1 | 2 | 3 | 4 | 5 | 6 | |
| Significance | + | + | + | + | + | ||
| Mean | 9.7895 | 5.4625 | 1.0349 | 5.9210 | 1.2208 | 5.0978 | |
| Std | 1.2871 | 3.7564 | 1.5715 | 4.4716 | 2.0310 | 1.1584 | |
| Rank | 1 | 2 | 4 | 3 | 5 | 6 | |
| Significance | + | + | + | + | + | ||
| Mean | 5.2046 | 6.9310 | 1.7787 | 2.0000 | 2.5137 | 5.9825 | |
| Std | 3.1153 | 6.8469 | 3.9314 | 1.4932 | 1.9501 | 4.0129 | |
| Rank | 1 | 2 | 3 | 4 | 5 | 6 | |
| Significance | ≈ | + | + | + | + | ||
| Mean | 1.7676 | 1.0695 | 1.5575 | 1.2554 | 1.9598 | 1.9045 | |
| Std | 4.6029 | 2.0972 | 4.2795 | 4.8087 | 5.7606 | 6.2148 | |
| Rank | 4 | 1 | 3 | 2 | 6 | 5 | |
| Significance | − | − | − | + | + | ||
| Mean | 1.0000 | 9.7428 | 9.9647 | 7.4280 | 1.0070 | 1.2711 | |
| Std | 0.0000 | 1.5939 | 2.1997 | 4.4524 | 5.7442 | 5.6792 | |
| Rank | 4 | 2 | 3 | 1 | 5 | 6 | |
| Significance | + | + | ≈ | ≈ | + | ||
| Mean | 3.0613 | 3.0845 | 3.0859 | 3.2072 | 3.3600 | 3.4479 | |
| Std | 1.4783 | 2.1842 | 1.4096 | 3.4098 | 5.2784 | 1.6592 | |
| Rank | 1 | 2 | 3 | 4 | 5 | 6 | |
| Significance | + | + | + | + | + | ||
| Mean | 3.2397 | 2.6066 | 3.0017 | 3.0685 | 3.6119 | 3.7743 | |
| Std | 4.1615 | 1.1813 | 6.5109 | 9.2286 | 4.7582 | 1.5025 | |
| Rank | 4 | 1 | 2 | 3 | 5 | 6 | |
| Significance | ≈ | − | ≈ | + | + | ||
| Mean | 4.1869 | 4.2783 | 4.0980 | 3.9783 | 4.0247 | 4.7998 | |
| Std | 2.3095 | 2.2521 | 2.0463 | 1.5694 | 1.3981 | 6.1710 | |
| Rank | 4 | 5 | 3 | 1 | 2 | 6 | |
| Significance | ≈ | − | − | + | + | ||
| Mean | 3.0304 | 3.0849 | 3.0085 | 2.9625 | 3.8419 | 5.6150 | |
| Std | 1.1775 | 3.2854 | 1.7405 | 6.3643 | 1.6020 | 2.5242 | |
| Rank | 3 | 4 | 2 | 1 | 5 | 6 | |
| Significance | + | ≈ | + | ≈ | + | ||
| Mean | 3.7584 | 3.7153 | 3.7683 | 4.1575 | 3.9004 | 4.1060 | |
| Std | 2.3098 | 5.3891 | 7.7935 | 1.8031 | 3.4010 | 2.0006 | |
| Rank | 2 | 1 | 3 | 5 | 4 | 6 | |
| Significance | ≈ | + | + | + | + | ||
| Mean | 4.7251 | 4.7218 | 4.7338 | 4.7816 | 4.7253 | 6.1933 | |
| Std | 3.0463 | 1.8112 | 2.7252 | 6.1120 | 1.6134 | 1.5566 | |
| Rank | 2 | 1 | 4 | 5 | 3 | 6 | |
| Significance | + | + | + | ≈ | + | ||
| Mean | 2.3616 | 2.3508 | 2.4658 | 2.5569 | 2.8284 | 3.4235 | |
| Std | 6.1991 | 8.2538 | 6.1477 | 9.0010 | 1.4685 | 9.4838 | |
| Rank | 2 | 1 | 3 | 4 | 5 | 6 | |
| Significance | ≈ | + | + | + | + | ||
| Mean | 2.0061 | 2.0113 | 2.0227 | 2.0313 | 2.0320 | 1.6044 | |
| Std | 1.5718 | 5.2187 | 3.8772 | 4.7938 | 8.5716 | 2.1981 | |
| Rank | 1 | 2 | 3 | 4 | 5 | 6 | |
| Significance | + | + | + | + | + | ||
| Average rank | 1.68 | 2.27 | 2.75 | 3.24 | 4.48 | 5.48 | |
| Final rank | 1 | 2 | 3 | 4 | 5 | 6 | |
| W/T/L | −/−/− | 17/9/3 | 20/4/5 | 24/3/2 | 25/4/0 | 29/0/0 |
| Function | Metrics | HE-DEPSO | DEPSO | SHADE | CoDE | DE | PSO |
|---|---|---|---|---|---|---|---|
| Mean | 1.6045 | 2.0034 | 2.3598 | 1.2860 | 2.0817 | 6.3600 | |
| Std | 6.0758 | 4.9086 | 1.2985 | 3.5599 | 7.3074 | 5.8100 | |
| Rank | 1 | 2 | 3 | 4 | 5 | 6 | |
| Significance | + | + | + | + | + | ||
| Mean | 1.4486 | 1.3343 | 6.1189 | 7.0539 | 4.1473 | 2.1200 | |
| Std | 4.1092 | 8.8712 | 2.2749 | 2.6622 | 1.3053 | 2.9800 | |
| Rank | 1 | 2 | 4 | 5 | 6 | 3 | |
| Significance | + | + | + | + | + | ||
| Mean | 2.8405 | 1.2605 | 7.7040 | 9.6061 | 3.5736 | 1.7300 | |
| Std | 2.1842 | 8.6176 | 3.8595 | 2.0503 | 3.2288 | 1.3000 | |
| Rank | 1 | 2 | 4 | 5 | 3 | 6 | |
| Significance | + | + | + | + | + | ||
| Mean | 2.3850 | 1.8175 | 9.3463 | 1.8418 | 2.4169 | 1.8500 | |
| Std | 5.0701 | 1.2845 | 1.0871 | 1.2630 | 1.2302 | 4.4900 | |
| Rank | 1 | 3 | 2 | 4 | 6 | 5 | |
| Significance | + | + | + | + | + | ||
| Mean | 4.6793 | 5.7971 | 3.7760 | 5.8751 | 2.4651 | 5.3800 | |
| Std | 3.5101 | 2.9636 | 5.8394 | 5.2672 | 3.3305 | 1.2000 | |
| Rank | 2 | 1 | 4 | 6 | 3 | 5 | |
| Significance | − | + | + | + | + | ||
| Mean | 5.2487 | 2.3377 | 1.1601 | 2.1572 | 2.6887 | 2.9100 | |
| Std | 3.3716 | 1.4172 | 8.0551 | 1.2272 | 1.3070 | 1.1300 | |
| Rank | 1 | 4 | 2 | 3 | 5 | 6 | |
| Significance | + | + | + | + | + | ||
| Mean | 2.0726 | 1.7779 | 9.3771 | 1.8161 | 2.3844 | 1.7100 | |
| Std | 4.6475 | 1.1810 | 9.9764 | 1.3211 | 1.6657 | 3.8700 | |
| Rank | 1 | 4 | 2 | 5 | 6 | 3 | |
| Significance | + | + | + | + | + | ||
| Mean | 1.1236 | 2.8880 | 7.6008 | 4.1017 | 4.8783 | 2.8400 | |
| Std | 9.0322 | 1.6080 | 2.7907 | 8.3155 | 1.5998 | 1.2400 | |
| Rank | 2 | 1 | 4 | 6 | 3 | 5 | |
| Significance | − | + | + | + | + | ||
| Mean | 2.6526 | 6.7636 | 3.4600 | 6.3166 | 7.9631 | 5.2400 | |
| Std | 3.0794 | 2.5866 | 2.3363 | 2.0917 | 3.0010 | 8.1500 | |
| Rank | 1 | 5 | 2 | 4 | 6 | 3 | |
| Significance | + | + | + | + | + | ||
| Mean | 3.2932 | 7.9240 | 7.3961 | 2.7578 | 2.1665 | 9.3600 | |
| Std | 1.7540 | 9.4859 | 1.6453 | 6.0425 | 4.1872 | 1.7000 | |
| Rank | 1 | 3 | 2 | 5 | 4 | 6 | |
| Significance | + | + | + | + | + | ||
| Mean | 6.0704 | 7.4374 | 1.7001 | 5.9649 | 2.5500 | 1.1600 | |
| Std | 5.2411 | 7.3297 | 5.7892 | 1.8156 | 8.9672 | 1.5200 | |
| Rank | 1 | 2 | 3 | 4 | 5 | 6 | |
| Significance | + | + | + | + | + | ||
| Mean | 5.3737 | 2.3200 | 7.2862 | 3.3010 | 1.0201 | 1.0300 | |
| Std | 4.9535 | 5.3868 | 2.4057 | 8.7976 | 3.9539 | 1.5000 | |
| Rank | 1 | 2 | 3 | 5 | 4 | 6 | |
| Significance | + | + | + | + | + | ||
| Mean | 5.1892 | 9.7833 | 7.5446 | 1.5942 | 4.0951 | 2.2100 | |
| Std | 1.3639 | 2.2150 | 1.0230 | 4.5198 | 8.1599 | 4.9000 | |
| Rank | 1 | 3 | 2 | 5 | 4 | 6 | |
| Significance | + | + | + | + | + | ||
| Mean | 6.7166 | 7.9018 | 1.0487 | 3.0409 | 3.1028 | 2.9100 | |
| Std | 4.6957 | 3.4973 | 2.4704 | 9.9730 | 1.2198 | 1.6200 | |
| Rank | 1 | 2 | 3 | 5 | 4 | 6 | |
| Significance | ≈ | ≈ | + | + | + | ||
| Mean | 2.7544 | 1.4323 | 8.5936 | 1.6794 | 2.3141 | 1.7100 | |
| Std | 1.4178 | 1.6353 | 1.1941 | 1.7833 | 1.8579 | 6.0700 | |
| Rank | 1 | 3 | 2 | 4 | 6 | 5 | |
| Significance | + | + | + | + | + | ||
| Mean | 6.6918 | 3.8170 | 1.9226 | 6.8169 | 1.1646 | 8.4800 | |
| Std | 1.3274 | 1.0402 | 6.2540 | 9.4653 | 1.4710 | 3.2100 | |
| Rank | 1 | 3 | 2 | 4 | 6 | 5 | |
| Significance | + | + | + | + | + | ||
| Mean | 6.1722 | 2.4655 | 2.3829 | 3.4473 | 7.9235 | 1.9200 | |
| Std | 2.7440 | 2.4587 | 1.4060 | 1.1610 | 1.9796 | 4.8700 | |
| Rank | 1 | 2 | 3 | 4 | 5 | 6 | |
| Significance | + | + | + | + | + | ||
| Mean | 4.0473 | 3.7316 | 3.2834 | 5.0014 | 3.7873 | 4.2500 | |
| Std | 2.2587 | 7.4498 | 6.1811 | 2.4562 | 2.1473 | 7.1600 | |
| Rank | 3 | 2 | 1 | 4 | 5 | 6 | |
| Significance | ≈ | ≈ | + | + | + | ||
| Mean | 8.7890 | 2.6052 | 3.3149 | 4.8347 | 1.0591 | 6.0400 | |
| Std | 3.2291 | 9.0720 | 7.0732 | 7.4079 | 1.1750 | 2.3100 | |
| Rank | 1 | 2 | 3 | 4 | 6 | 5 | |
| Significance | + | + | + | + | + | ||
| Mean | 2.2047 | 3.7820 | 2.7893 | 3.9662 | 4.4351 | 3.8400 | |
| Std | 4.7309 | 1.3317 | 3.7140 | 7.1300 | 1.3511 | 5.0800 | |
| Rank | 1 | 3 | 2 | 5 | 6 | 4 | |
| Significance | ≈ | ≈ | ≈ | + | ≈ | ||
| Mean | 1.0186 | 2.9760 | 2.2144 | 6.5363 | 8.0766 | 4.5500 | |
| Std | 2.0196 | 3.4464 | 2.9380 | 5.3749 | 2.9236 | 2.0400 | |
| Rank | 1 | 3 | 2 | 5 | 6 | 4 | |
| Significance | + | ≈ | + | + | + | ||
| Mean | 3.7543 | 5.4924 | 4.4917 | 5.5419 | 5.8732 | 7.2800 | |
| Std | 8.3139 | 1.3235 | 9.7459 | 1.2816 | 1.9032 | 7.9500 | |
| Rank | 1 | 3 | 2 | 4 | 5 | 6 | |
| Significance | + | + | + | + | + | ||
| Mean | 4.4893 | 6.2854 | 5.3810 | 6.9034 | 6.7462 | 8.2800 | |
| Std | 6.6585 | 1.3484 | 1.6953 | 1.5747 | 1.2401 | 1.0000 | |
| Rank | 1 | 3 | 2 | 5 | 4 | 6 | |
| Significance | ≈ | ≈ | + | ≈ | + | ||
| Mean | 3.8051 | 3.7837 | 3.7882 | 4.1044 | 3.9396 | 5.6400 | |
| Std | 1.1308 | 6.0195 | 1.1887 | 6.6423 | 4.4183 | 2.0000 | |
| Rank | 3 | 1 | 2 | 5 | 4 | 6 | |
| Significance | − | ≈ | + | ≈ | + | ||
| Mean | 1.3469 | 2.6899 | 1.4149 | 2.6587 | 3.0652 | 4.9700 | |
| Std | 9.6715 | 2.2460 | 5.7298 | 9.0222 | 1.2139 | 9.0600 | |
| Rank | 1 | 4 | 2 | 3 | 5 | 6 | |
| Significance | + | ≈ | + | + | + | ||
| Mean | 5.0001 | 5.0001 | 5.0001 | 5.0001 | 5.0001 | 7.1600 | |
| Std | 1.5786 | 1.2917 | 9.3150 | 5.9917 | 8.1534 | 1.0700 | |
| Rank | 1 | 1 | 1 | 1 | 1 | 2 | |
| Significance | ≈ | ≈ | ≈ | ≈ | ≈ | ||
| Mean | 4.9902 | 4.9059 | 4.9845 | 5.0001 | 5.0001 | 1.2300 | |
| Std | 3.0735 | 4.2116 | 1.3995 | 6.6494 | 6.6473 | 8.4400 | |
| Rank | 3 | 1 | 2 | 4 | 4 | 5 | |
| Significance | − | ≈ | ≈ | ≈ | + | ||
| Mean | 3.8546 | 9.3919 | 4.6431 | 1.6187 | 2.0724 | 1.9200 | |
| Std | 4.5529 | 2.1194 | 4.2813 | 1.8521 | 1.8256 | 6.1300 | |
| Rank | 1 | 3 | 2 | 4 | 6 | 5 | |
| Significance | + | + | + | + | + | ||
| Mean | 2.8659 | 2.3933 | 1.7439 | 1.4650 | 2.4426 | 4.7800 | |
| Std | 5.8034 | 6.7166 | 2.1431 | 6.8820 | 1.5971 | 8.9800 | |
| Rank | 2 | 1 | 3 | 5 | 4 | 6 | |
| Significance | − | + | + | + | + | ||
| Average rank | 1.31 | 2.44 | 2.44 | 4.37 | 4.75 | 5.13 | |
| Final rank | 1 | 2 | 2 | 3 | 4 | 5 | |
| W/T/L | −/−/− | 19/5/5 | 20/9/0 | 26/3/0 | 25/4/0 | 27/2/0 |
| Function | Metrics | HE-DEPSO | DEPSO | SHADE | CoDE | DE | PSO |
|---|---|---|---|---|---|---|---|
| Mean | 1.7267 | 3.4971 | 7.2296 | 2.3720 | 6.1610 | 7.4247 | |
| Std | 1.4496 | 5.6400 | 8.7102 | 7.7748 | 3.4294 | 1.6815 | |
| Classification | 1 | 2 | 5 | 4 | 3 | 6 | |
| Significance | + | + | + | + | + | ||
| Final classification | 1 | 2 | 5 | 4 | 3 | 6 | |
| W/T/L | −/−/− | 1/0/0 | 1/0/0 | 1/0/0 | 1/0/0 | 1/0/0 |
Disclaimer/Publisher’s Note: The statements, opinions and data contained in all publications are solely those of the individual author(s) and contributor(s) and not of MDPI and/or the editor(s). MDPI and/or the editor(s) disclaim responsibility for any injury to people or property resulting from any ideas, methods, instructions or products referred to in the content. |
© 2024 by the authors. Licensee MDPI, Basel, Switzerland. This article is an open access article distributed under the terms and conditions of the Creative Commons Attribution (CC BY) license (https://creativecommons.org/licenses/by/4.0/).
Share and Cite
Martínez-Guerrero, E.; Lagos-Eulogio, P.; Miranda-Romagnoli, P.; Noriega-Papaqui, R.; Seck-Tuoh-Mora, J.C. Historical Elite Differential Evolution Based on Particle Swarm Optimization Algorithm for Texture Optimization with Application in Particle Physics. Appl. Sci. 2024, 14, 9110. https://doi.org/10.3390/app14199110
Martínez-Guerrero E, Lagos-Eulogio P, Miranda-Romagnoli P, Noriega-Papaqui R, Seck-Tuoh-Mora JC. Historical Elite Differential Evolution Based on Particle Swarm Optimization Algorithm for Texture Optimization with Application in Particle Physics. Applied Sciences. 2024; 14(19):9110. https://doi.org/10.3390/app14199110
Chicago/Turabian StyleMartínez-Guerrero, Emmanuel, Pedro Lagos-Eulogio, Pedro Miranda-Romagnoli, Roberto Noriega-Papaqui, and Juan Carlos Seck-Tuoh-Mora. 2024. "Historical Elite Differential Evolution Based on Particle Swarm Optimization Algorithm for Texture Optimization with Application in Particle Physics" Applied Sciences 14, no. 19: 9110. https://doi.org/10.3390/app14199110
APA StyleMartínez-Guerrero, E., Lagos-Eulogio, P., Miranda-Romagnoli, P., Noriega-Papaqui, R., & Seck-Tuoh-Mora, J. C. (2024). Historical Elite Differential Evolution Based on Particle Swarm Optimization Algorithm for Texture Optimization with Application in Particle Physics. Applied Sciences, 14(19), 9110. https://doi.org/10.3390/app14199110


