Next Article in Journal
Research on “Playing Football” Type Roof Control in Fully-Mechanized Mining Face with a Super-Large Mining Height under the Background of 5G+ Big Data
Previous Article in Journal
Assessment Rainfall-Induced Landslides Using Arbitrary Dipole–Dipole Direct Resistivity Configuration
 
 
Font Type:
Arial Georgia Verdana
Font Size:
Aa Aa Aa
Line Spacing:
Column Width:
Background:
Article

Multi-Objective Optimization of the Forming Process Parameters of Disc Forgings Based on Grey Correlation Analysis and the Response Surface Method

1
Henan Provincial Key Laboratory of Intelligent Manufacturing of Mechanical Equipment, Zhengzhou University of Light Industry, Zhengzhou 450002, China
2
Longmen Laboratory, Henan University of Science and Technology, Luoyang 471009, China
*
Author to whom correspondence should be addressed.
Appl. Sci. 2024, 14(19), 9099; https://doi.org/10.3390/app14199099
Submission received: 28 August 2024 / Revised: 28 September 2024 / Accepted: 4 October 2024 / Published: 8 October 2024

Abstract

This paper introduces a multi-objective optimization problem (MPO) for the forming process parameters of disc forgings using grey relational analysis (GRA) and the response surface methodology (RSM). Firstly, an experimental design based on the Box–Behnken design (BBD) principle was established, and simulations were performed in Deform to obtain response data. Secondly, GRA was used to transform the MPO into a grey relational degree (GRD) problem, and the entropic weight method was integrated to ascertain the influence weights of each variable on GRD. Then, a quadratic polynomial prediction model based on the RSM was constructed, and its accuracy was ensured through model validation. Finally, the optimal process parameter combination was determined through the particle swarm optimization algorithm, which included a friction coefficient of 0.3, an initial temperature of 1250 °C, and a downward pressing speed of 7.5 mm/s. The results of the experimental investigation indicate that optimized process parameters significantly reduce the forming load, equivalent stress, and damage value, effectively enhancing the overall quality of forged parts.

1. Introduction

In the large-scale disc forging process, the coupling of multiple physical fields, such as temperature, stress–strain, and strain rate during material forming have an important effect on the shape and quality of the forged parts. To ensure product quality and reduce production costs, it is vital to identify the optimal combination of process parameters. However, traditional methods rely on artificial experience to adjust the process parameters, which is cumbersome and time-consuming. In contrast, numerical simulation technology compensates for these shortcomings, through providing more accurate process data for the forging process and enabling the validation of experimental plans, saving time in process development and enhancing production efficiency. Wu et al. [1] used Deform to simulate both extremely high-temperature forging and conventional forging processes, showing that extremely hot forging is less prone to hot cracks and exhibits better mechanical properties. Zhbankov et al. [2] simulated the forging process of large forgings using the finite element method (FEM), determining reasonable geometric parameters during the upsetting process, proposing a new forging scheme, and conducting simulations of microstructure evolution to demonstrate the advantages of the new scheme. Wang et al. [3] employed numerical simulation to study microstructure evolution during the integral forging process of large tube sheets, confirming the consistency between the numerical simulation and actual results. Zhbankov et al. [4] studied the FEM to model the upsetting process of shaped workpieces, finding that using a conical die for upsetting shaped workpieces can reduce the non-uniformity in equivalent strain distribution and improve the precision of forgings during the upsetting process.
However, numerical simulation technology also has some limitations. The default process parameters in the simulation process are often not optimal, and reliance on mathematical models and optimization techniques is needed to quickly and accurately acquire the best processing parameters. Uribe et al. [5] introduced an alternative model based on orthogonal decomposition, which was applied to the cold upsetting process in steel billets and developed a neural network-based control prediction model which integrated different process variables, parameterized fields, and shapes, laying the basis for creating digital twins in forging operations. Francy et al. [6] simulated the extrusion process using Deform 10.1, collecting simulation data through the Taguchi method for the experimental design, and determined the best values for input process parameters through variance analysis to achieve the optimization of the minimum compression force. Luo et al. [7] simulated the microstructure development of the alloy 30Cr2Ni4MoV under multi-directional forging conditions and constructed a backpropagation neural network model of predicting the microstructure evolution of the alloy 30Cr2Ni4MoV during multi-directional forging deformation, enhancing its microstructure prediction accuracy. Wang et al. [8] conducted numerical simulations of the cycloidal ball rocker arm during its radial forging process, utilizing an optimization algorithm that combines neural networks and genetic algorithms to seek the best structural parameters.
In conclusion, these research efforts focus on enhancing the performance of a single objective while the impact of other factors during the forming process is neglected. However, the combined effects of multiple factors in actual production should be considered. In recent years, MPO has provided a more comprehensive and effective solution for optimizing process parameters during the forming process. For example, Cao et al. [9] used thin-walled plastic auto audio housing as a case study, implementing MPO of plastic injection molding process parameters utilizing entropy weight, random forest, and genetic algorithms. Xie et al. [10] proposed a double-layer optimization method for hinge beam structure forging, conducting a secondary optimization on the hinge beam’s intermediate billet structure, which enhanced the grain fineness in the final forged product and decreased the deformation force required for forging. Considering the complexity of MPO, many scholars have introduced the GRD to solve MPO. Obara et al. [11] conducted a simulation study on the multi-axial forging process of 7075-type aluminum alloy, optimizing multiple process parameters using Taguchi design of experiment and determining the best process parameters through signal-to-noise ratio, variance, and GRD analysis. Ananth et al. [12] addressed the wear issue in reciprocating engines by conducting sliding wear tests based on Taguchi orthogonal arrays, determining the optimal parameters for the minimum sliding abrasion rate and coefficient of friction through GRA and finally observing the microstructure of grey cast iron (GCI) under an optical microscope to verify the minimum wear at the optimal temperature and best lubrication conditions. Berihun et al. [13] implemented the grey Taguchi method to optimize the design of the plastic injection molding process parameters in the creation of bottle preforms and verified the high consistency between predicted and experimental values through experiments.
This paper focuses on disc forgings, taking the upsetting and spinning processes as examples, exploring the influence of various process parameters on forging quality. The BBD experimental method was employed, with the friction coefficient, initial temperature, and downward pressing speed as design variables and the forming load, equivalent stress, and damage value as response targets. A GRD analysis method based on entropy weight was proposed, transforming the MPO into a GRD problem, determining the weights of each optimization target through the entropy weight method, and using the GRD calculated by the GRA algorithm as the objective function. A quadratic polynomial regression equation was constructed using the RSM, and its accuracy was tested. PSO was employed to hunt for the most favorable process parameters, and the reliability and effectiveness of the results were verified through simulation.
The purpose of this paper is to develop a multi-objective optimization method for the forming process parameters of disc forgings, such as temperature, stress–strain, strain rate, etc., which have important effects on the shape and quality of forged parts. Employing the proposed method, the optimal combination of forming process parameters can be obtained, by which the product quality is improved and production costs can be reduced. Cumbersome and time-consuming traditional methods relying on artificial experience can be avoided. The process parameter prediction model of our method show that the forming load, equivalent stress, and damage value were all reduced, which provides an effective reference for enhancing forging quality and diminishing energy utilization in actual production.

2. Analysis of Forming Process

2.1. Forging Process Analysis

The process flow of large-scale disc forging primarily consists of the following steps: ingot upsetting, drawing and cropping, the pre-upsetting of the blank, the rolling of the outer circumference, and spinning for forming. Upsetting and drawing are the main deformation processes in forging, aiming to eliminating casting defects, such as voids and porosity within the blank. Pre-upsetting, rolling of the outer circumference, and spinning for forming are shaping processes, mainly controlling the deformation amount per heating cycle, to transform the blank after slabbing into forgings which meet the target dimensions, as shown in Figure 1.
Pre-upsetting primarily adjusts the shape and dimensions of the blank by modifying the upsetting deformation amount, thereby enhancing dimensional accuracy and the mechanical properties of forgings. Rolling of the outer circumference primarily facilitates material flow in the axial direction through radial deformation, which aids in eliminating the bulging shape generated post upsetting, corrects shape defects caused by uneven upsetting deformation, reduces machining allowance on the outer edge, and increases the height of the forging. Spinning for forming utilizes the rotating anvil method, employing a wide flat anvil to spin the outer edge of the workpiece, leaving a central boss, progressing towards the inner edge in appropriate anvil increments, and rotating to press the central boss. This method ensures the compaction of the central core of the disc forging, preventing the formation of lamellar defects within the forging, achieving precise control of blank deformation, and thereby obtaining higher-quality forgings.

2.2. Determination of Optimization Parameters for Forging Process

The deformation process primarily involves pre-processing the blank to improve metal flow and provide the initial shape of the blank for the forming process. The forming process focuses more on controlling the deformation amount to ensure the geometric dimensions and shape accuracy of the forgings, enhance compactness, and reduce internal defects, playing a decisive role in the forging process. Pre-upsetting is a critical stage in the shape forming of the entire forging process, directly affecting the quality and efficiency of subsequent rolling and spinning. The forming load has an immediate influence on the forging’s quality of form and the stability of the process. An excessively large load can lead to over-deformation and damage of the forgings, increasing the economic cost of the forging process, while an excessively small load cannot achieve the required deformation amount, affecting dimensional accuracy. The level of equivalent stress can significantly reflect the stress level of the material, helping to predict and avoid possible cracks and other defects during forging. In the first spinning process, the maximum damage value serves as a crucial metric in evaluating forging quality, with the damage value reflecting the stress state and potential defects of the material during the forming process. Pre-upsetting involves the preliminary deformation of the forgings, with inconspicuous material damage, and the damage value during the first spinning process significantly affects the quality during subsequent rolling of the outer circumference and the second spinning process.
Considering the above, the maximum forming load, equivalent stress, and maximum damage value during the spinning process in the pre-upsetting process are considered as the response variables for optimization. The form load is the force applied to the forgings by the equipment, whose size and distribution directly affect the quality and forming efficiency of the forgings. An appropriate load can reduce the economic cost of the forging process and improve production efficiency. Excessive equivalent stress during forging can also damage the quality of the forgings. A lower equivalent stress helps to avoid stress concentration, reduce material fatigue, and enhance safety. According to the damage theory and damage criteria analysis, the smaller the damage value, the lower the likelihood of forgings cracking.

2.3. Finite Element Process Simulation and Analysis

2.3.1. Model Establishment and Importation

The initial blank and molds were modeled in three-dimensional solid form using Solidworks, and then the model was imported into Deform to obtain the finite element model, as seen in Figure 2.
The purpose of pre-upsetting is to increase the diameter of the metal material, which is the basic process in the deformation process. The pre-upsetting blank generally has sufficient self-supporting properties, and the equipment itself also has sufficient pressure and accuracy, so it can be completed without additional tool assistance. Because the upsetting process is simple and does not require tool assistance, the production cost and operation time are reduced, and the production efficiency is improved. In the process setting, the upper mold moves downward, and the lower mold and the blank remain relatively static.

2.3.2. Material Setting

The metal plastic deformation process is accompanied by the generation of energy and the conduction of heat, which in turn causes a change in the temperature field inside the blank and the mold. Therefore, it is necessary to use thermal–mechanical coupling technology to analyze the interaction relationship of the internal physical field. Since plastic deformation mainly occurs in the metal forming process, and the elastic deformation is relatively small, the elastic deformation can be ignored, and the physical model of the material is simplified to a rigid–plastic finite element model. The rigid–plastic model should satisfy the following equations in the deformation process [14].
  • The equilibrium differential equation is as follows:
    σ ij , j = 0
    where σ ij , j is the stress tensor on any particle j .
  • The constitutive equation is as follows:
    ε ˙ i j = 3 ε ¯ ˙ 2 σ ¯ σ i j
    where ε ¯ ˙ = 2 3 ε ˙ i j ε ˙ i j is the equivalent strain rate, σ ¯ = 3 2 σ i j σ i j is the equivalent stress, and σ i j is the deviatoric stress.
  • The geometric equation is as follows:
    ε ˙ i j = 1 2 V i , j + V j , i
    where ε ˙ i j is the strain rate tensor, and V i , j and V j , i are the velocity components of each node.
  • The Mises yield criterium is as follows:
    σ ¯ = 3 J 2 = Y
    where Y is the yield stress of the material. J 2 is the second invariant of the stress deviator tensor.
  • The principle of volume incompressibility is expressed as follows:
    ε ˙ V = ε ˙ i j δ i j = 0
    where ε ˙ V represents the volume strain rate and D is the Kronecker symbol.
  • The boundary conditions are as follows:
    σ i j n j = p ¯ i ( S S p )
    v i = v ¯ i ( S S V )
    where n j denotes the cosine in the tensor direction at any point on S p , p ¯ i denotes the force vector given by the stress boundary S p , and v ¯ i denotes the velocity vector given by the velocity boundary S v .
The blank was designated as a plastic material, and we selected 16 Mn, the composition of which is shown in Table 1 [15]. According to the Johnson–Cook model [16] in JMatpro 14.0, the flow stress curve at 1100–1250 °C was generated, as shown in Figure 3. Its constitutive equation is as follows:
σ ¯ = σ ¯ ε ¯ , ε ¯ ˙ , T
where σ ¯ represents the stress of flow, ε ¯ is material strain, ε ¯ ˙ denotes the rate of material strain, and T denotes temperature.
The initial forging temperature of 16 Mn should be lower than 1280 °C, and the final forging temperature should be controlled between 600 and 750 °C. Combined with the initial temperature of the actual forging of CITIC Heavy Industries Co., Ltd., this study selected 1100–1250 °C as the forging temperature range [17]. This temperature range not only avoids the performance degradation caused by the over-burning or over-heating of the material but also ensures the recrystallization temperature of the material and ensures that the material has a good plastic deformation ability. The upper and lower dies were designated as rigid materials, and AISI-H13 tool steel was chosen for the material. The initial temperature of the blank was set to 1250 °C, with dimensions of 1765 mm × 2020 mm × 3215 mm; the preheating temperature of the upper and lower dies was set to 300 °C; the width of the upper anvil was 2200 mm; the dimensions of the cover plate were 3300 mm × 300 mm; and the dimensions of the platform were 5500 mm × 400 mm.

2.3.3. Mesh Generation

Adaptive tetrahedral meshing was used to divide the blank into finite element meshes, with 30,000 cells and a step size set to 15 mm.

2.3.4. Simulation Parameter Setting

According to the engineering experience of CITIC Heavy Industries Co., Ltd, the forging manual [18], and simulation studies, a friction coefficient of 0.3 was chosen, for which the simulation results agree well with the actual forming process of the forgings of CITIC Heavy Industries Co., Ltd. The number of steps and stop conditions were set according to the different amounts of downward pressure under various processes. The speed of the upper die was set to 10 mm/s, while the velocity of the lower mold and blank was assumed to be 0 mm/s. The heat exchange coefficient was set to 0.5 N/(s·mm °C), and the air thermal exchange coefficient was 0.02 N/(s·mm °C). The friction coefficient in the hot forging process was set to 0.3, and the friction mode was shearing friction.

2.3.5. Post-Processing Result Analysis

The forming load, equivalent stress during the upsetting process, and damage value during the spinning process were analyzed separately, as seen in Figure 4. Figure 4a illustrates that the forming load initially increases rapidly to a peak value with increasing downward displacement, followed by a brief decrease and a subsequent continuous rise. The final forming load reaches 4.99 × 107 MN. The main reason is that in the initial stage, the material begins to undergo plastic deformation. Due to the low yield strength of the material at this time, the load rises rapidly. With the increase in the amount of pressure, the internal stress of the material changes, the fluidity of the local area increases, and the load decreases briefly. Subsequently, with the increase in the contact area between the material and the mold, the temperature decreases, the deformation resistance increases, and the load continues to grow. The maximum load is within the output load range of the hydraulic press. Figure 4b shows the equivalent stress distribution cloud map of the pre-upsetting process. It can be seen from Figure 4b that the equivalent stress is mainly concentrated at the edge of the forging circle, and the equivalent stress in the central area is relatively small and evenly distributed. This is because the material in the central area is easier to flow and the stress is smaller in the process of pier thickening. The maximum equivalent stress of the forging is 39.3 MPa. Figure 4c illustrates the damage value distribution during the first spinning pass. As shown in Figure 4c, the damage values are primarily concentrated at the junction of the two anvils and the edge of the biscuit blank, while the central region exhibits near-zero damage. The damage values exhibit a gradual increase from the center towards the surface of the forging, with a maximum value of 0.592. This is due to the existence of stress concentration, friction, wear, and uneven temperature distribution on the surface area of the forging, resulting in a higher damage value.

3. The Establishment and Analysis of BBD Experimental Design and Prediction Model

3.1. BBD Experimental Design and Grey Relation Analysis

The RSM is a technique which elucidates the correlation between design variables and response variables via polynomial fitting, aiming to find the optimal solution through experiments or simulations. The RSM is commonly used in experimental design, significantly reducing the number of experiments [19,20]. The experimental design methods of the response surface methodology mainly encompass central composite design and BBD two distinct types.

3.1.1. Experimental Design

Considering the high simulation time cost and the strict requirements for the safety zone of design variables, this paper adopts the BBD method for its experimental design. BBD is a commonly used design method for response surface optimization. In this paper, the friction factor (F), blank initial temperature (T), and velocity of downward pressure (V) are taken as the design parameters, and the forming load (Y), equivalent stress (S), and damage value (Z) are taken as response variables.
The friction coefficient plays a critical role in uniform deformation inside forgings. Considering the guidelines from Deform and practical expertise within the company, a friction coefficient range between 0.3 and 0.7 is chosen. The initial temperature of the blank is also important for the quality of the forgings. Increasing the appropriate temperature helps with grain refinement and boosting forging quality. However, excessively high temperatures may cause the forgings to overheat or burn, while excessively low temperatures increase the deformation resistance of the metal, affecting deformation efficiency and reducing the quality of the forgings. After consulting the forging manual, a temperature range from 1150 °C to 1250 °C is selected. The forging speed is another key factor in the plastic deformation of metal. Increasing the forging speed can enhance production efficiency, but too fast a downward pressing speed will increase the friction between the mold and the blank, easily leading to surface cracks. Too slow a downward pressing speed will increase heat loss between the forgings and the mold, impeding metal flow. According to the actual values of the equipment, a speed range from 7.5 mm/s to 12.5 mm/s is selected.
A three-factor and three-level experiment was designed based on the BBD principle. The experimental factor level table is shown in Table 2. Numerical simulations were conducted for each group of experiments using Deform 10.1. This experimental design includes 15 experimental points, with three sets of repeated experiments for error assessment. Table 3 presents the experimental design and the resultant findings.

3.1.2. Grey Relational Analysis

GRA serves as a quantitative method employed to evaluate the interrelation among components within grey systems. The method is applicable to determining the correlation between various factors and various objectives and has found successful applications in hot forging [21], structural design [22,23], laser welding [24,25,26], and other fields. By introducing GRA, multi-response problems can be transformed into corresponding GRDs. The magnitude of the relational degree can serve as a model output to evaluate the superiority or inferiority of the responses. However, the traditional grey relational theory fails to comprehensively consider the true contribution rate of each objective, leading to an inability to optimize the objectives. Therefore, it is necessary to calculate the response weighting based on weighting theory to determine the weights of each optimization objective and to calculate a set of GRDs, transforming the MPO to a GRD optimization task [27]. The flowchart for calculating the GRD is shown in Figure 5.
  • Data Preprocessing
Before conducting GRD analysis, data pre-processing is needed to reduce variation and ensure that the data are equivalent and in order. The forming load, equivalent stress, and damage value are normalized using Equation (9) as follows:
x i * k = max x i 0 k x i 0 k max x i 0 k min x i 0 k
where x i 0 k and x i * k represent the original sequence and the comparison sequence; k = 1, 2, …, n ; i = 1, 2, …, m . n represents the response count; and m represents the experiment frequency. In the experimental design, n = 3 and m = 15. The data are depicted in Table 4.
2.
Calculation of Grey Correlation Coefficients
The Grey Correlation Coefficients (GCC) serves as a measure of the link between ideal and actual normalized experimental outcomes, with its calculation proceeding as follows:
ξ x 0 * k , x i * k = Δ min + ρ Δ max Δ 0 i k + ρ Δ max
where ξ x 0 * k , x i * k represents the coefficient of correlation, and ρ [ 0 , 1 ] represents the discrimination coefficient, which is generally set to 0.5. Δ 0 i k = x 0 * k x i * k is the deviation sequence, Δ min = min i min k Δ 0 i k , and Δ max = max i max k Δ 0 i k .
3.
Weight Calculation
In GRD analysis, it is necessary to calculate the weights for each response optimization objective. Since each response optimization objective has a different impact on the quality of the forgings, the weight coefficients for each optimization goal are calculated using the entropy weight method. The entropy method is an objective weighting method. In practical calculations, if the entropy value for a certain indicator is smaller, differences in the values of an indicator’s samples are larger, the indicator plays a greater role in comprehensive evaluation, and the corresponding index weight is also larger [28]. The objective weights of each index can be calculated using information entropy [29], and the calculation process is as follows:
P i k = ξ i i = 1 m ξ i
e k = 1 ln m × i = 1 m P i k ln P i k
D k = 1 e k
ω k = D k k = 1 n D k
where P i k is the coefficient reflecting the k-th evaluation factor’s significance for the i-th experimental trial. e k denotes the information entropy of index k, D k denotes the information redundancy of index k, and ω k represents the weight of index k. Table 5 displays the resulting data.
4.
Calculation of Grey Relation Degree
The GRD is the weighted sum of the GCC, and the calculation formula is as follows:
γ ( x 0 * , x i * ) = k = 1 n ω k ξ x 0 * k , x i * k
where γ ( x 0 * , x i * ) is the grey relational degree, n is the total count of metrics, and n = 3.
The results of the grey correlation coefficient and grey relation degree are shown in Table 6.

3.2. Establishment and Analysis of Grey Relational Degree Prediction Model

The optimization scope of GRD analysis based on entropy weight is limited, only capable of point-to-point analysis and evaluation of experimental samples, and unable to conduct continuous analysis within a specific range [30]. Therefore, we introduce the RSM to establish the GRD mathematical framework, identifying connections between different parameters and their corresponding responses, and refine the response variables to increase the prediction accuracy.
The RSM may be fitted using a single-degree or multi-degree polynomial. Given the few design variables in this paper, a second-order polynomial is selected as the RSM [31,32]. The friction factor, initial speed, and downward pressing speed are taken as model input variables, and the GRD is taken as the objective function to fit their functional relationship as follows:
Y = a 0 + i = 1 n a i X i + i = 1 n a i i X i 2 + i j ( i < j ) n a i j X i X j + ε
where a 0 denotes the invariant component; a i , a i i , and a i j represent the coefficients of the first-order, second-order, and interaction terms, respectively; X i and X j stand for the fitted equation’s variable; and ε is the error in the GRD model, respectively.
Based on the data in Table 5, a second-order polynomial RSM for GRD was fitted in Design-Expert 11 as follows:
R 1 = 3.15078 0.08137 × F 0.00016 × T 0.70519 × V 0.001 × F × T + 0.03084 × F × V + 0.00026 × T × V + 0.56265 × F 2 + 0.0178 × V 2
where F is the friction coefficient, T is the initial temperature, and V is the downward pressure velocity.
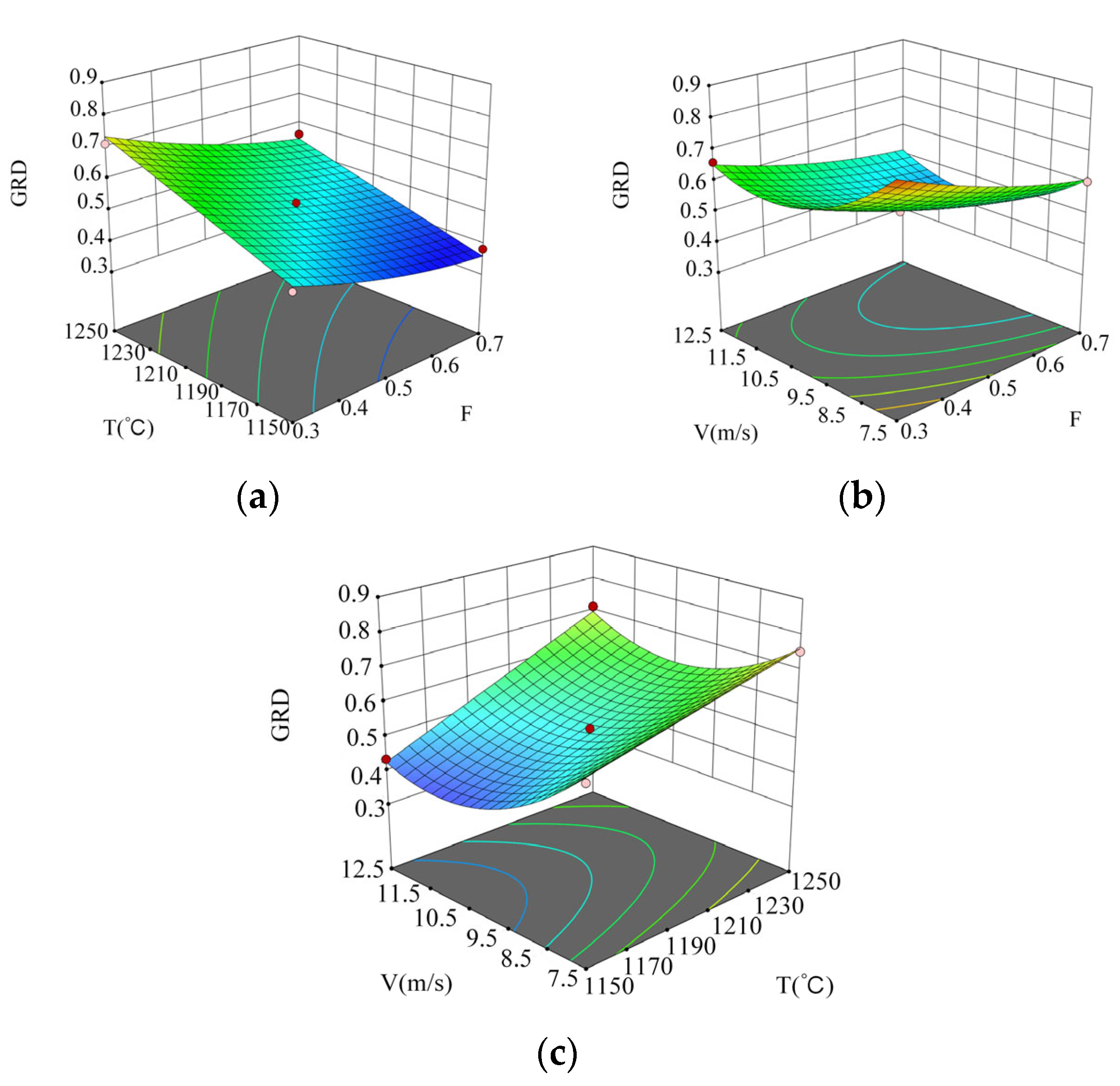
The response surface plot of the second-order polynomial regression equation was drawn, illustrated in Figure 6. The interaction among variables and their impact on GRD can be reflected in the shape of the response surface and contour plots [33]. The steep and large slopes in the response surface plot indicate a strong interaction impact on two values. The elliptical shape of the contour plot indicates a notable interaction between the variables. From Figure 6a, it is apparent that with a smaller friction factor and higher temperature, the GRD value is larger. At the same friction coefficient, the GRD response value gradually increases with temperature. From Figure 6b, it can be seen that the GRD values are higher under conditions of lower pressing speeds and lower friction coefficients. At the same friction coefficient, the grey relational degree response exhibits a decrease followed by an increase as the pressing speed rises, and the friction factor has an inconspicuous impact on the GRD response value. From Figure 6c, it is clear that with a smaller pressing speed and higher temperature, the GRD value is larger. At the same speed, the GRD response value continuously increases with temperature.
Model evaluation and verification are important components of modeling. Through regression analysis, this study uses R-squared (R2) and the root mean squared error (RMSE) as evaluation indicators to test the reliability of the GRD model. The mathematical expressions are as follows:
R 2 = i = 1 m (   y   ^ i y ¯ ) 2 i = 1 m ( y i y ¯ ) 2
R M S E = 1 m i = 1 m ( y i   y   ^ i ) 2
where m is the number of the test samples, y i denotes the response value corresponding to the i-th group, y ^ i represents the estimated value for the i-th group, and y ¯ represents the averaged experimental response value.
R2 serves as a measure of the model’s fit to the data, where a value nearing 1 implies a high degree of fit. The RMSE represents the average root of the square error between predicted and actual values; a lower RMSE value indicates a model with reduced error [34]. The results in Table 7 show that R2 is 97.98% and the RMSE is 94.35%, both of which are close to 1. These figures fully demonstrate that the GRA model’s fitting accuracy is within acceptable limits and can be used as an approximate model for GRD prediction.
To facilitate the observation of the model’s prediction results, the correlation between GRD model predictions and experimental data is illustrated through a scatter plot. As shown in Figure 7, the data points are uniformly dispersed on both sides of the line. Prediction and simulation values are in good agreement with each other, further indicating that the grey relational grade model has a good fit.

4. Particle Swarm Optimization and Experimental Verification

Due to the limitations of the response surface, it is prone to local optimal solutions. Therefore, the GRD polynomial model obtained from the response surface analysis serves as the fitness function for PSO. PSO is used to optimize the fitness function to obtain a universal best solution. PSO is widely used in engineering, characterized by its fast convergence speed and high efficiency, and is widely used in parameter optimization [35,36,37,38].
PSO begins by initializing a swarm of particles within the realizable region, with each particle’s characteristics represented by its position, velocity, and adaptation value, where the adaptation value reflects the particle’s quality. During movement in the solution space, particles update their individual positions by tracking individual and group extremes [39]. The revision equations for speed and location are as follows:
V i d t + 1 = ω V i d t + c 1 r 1 ( P i d t X i d t ) + c 2 r 2 ( P g d t X i d t )
X i d t + 1 = X i d t + V i d t + 1
where i = 1, 2,…., n ; d =1,2,…., D ; n represents particle count; D represents the dimension; D =3; t represents the current iteration count; ω is the inertia weight; V i d t is the velocity of the i-th particle; V i d t V max , V max ; V max is an invariant; X i d t is the location of the i-th particle; c 1 and c 2 are acceleration invariants; r 1 and r 2 are selected randomly from a uniform distribution between zero and one; P i d t is the best location of the i-th particle; and P g d t is the best location for the population.
The inertia weights and learning factors of the algorithm are adjusted to overcome the problem of slow convergence speed and the low optimization accuracy of traditional particle swarm algorithms. The inertia weight ω shows the degree of influence of the previous flight speed on the current flight speed. When ω is large, the algorithm exhibits strong global convergence capabilities. When the ω value is small, it demonstrates strong local convergence capabilities. The c 1 and c 2 learning factors indicate the strength of self-learning summaries and the ability to learn from the community, respectively, with the earlier period focusing more on self-knowledge and the later period focusing more on the individual’s ability to acquire social information. The expression for improving the PSO algorithm by improving the inertia weights and learning factors is as follows:
ω = ω max ( ω max ω min ) t T max
c 1 = ( a 1 a 2 ) t / T max + a 2
c 2 = ( b 1 b 2 ) t / T max + b 2
where ω denotes the highest inertia weight, ω min is the lowest inertia weight, and a 1 and a 2 are the initial and iterative end values of the learning factor c 1 , respectively. b 1 and b 2 are the initial and iterative end values of the learning factor c 2 , respectively. T max is the maximum number of iterations.

4.1. Parameter Setting

In order to enhance the speed and convergence accuracy of the algorithm and prevent falling into local optimal solutions, the parameters of the particle swarm algorithm are determined by integrating existing research with continuous experimental adjustments.
  • The particle swarm is initialized with n = 50, the particle dimensionality D = 3, and the maximum number of iterations T = 50. Set the learning factors c 1 = c 2 = 0.5, highest weight ω max = 0.9, least weight ω min = 0.4, maximum velocity V max = 1.5, and minimum velocity V min = −1.5.
  • Initialize the velocity v and position x for all particles in the population and evaluate the adaptation value. Identify the personal best position P and its corresponding value P b e s t , as well as the overall best position g and optimal value g b e s t .
  • Calculate the inertia weight ω and learning factors c 1 and c 2 , refresh the velocity v and position x , and perform boundary condition processing. Evaluate whether to update the particle’s best location P and best value P b e s t , as well as the particle swarm’s best location g and best value g b e s t .
  • Check if the stopping criteria are satisfied. If so, end the search process and output the best value. If not, continue the iterative optimization.

4.2. Experimental Verification

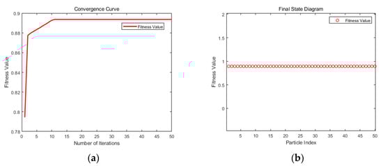
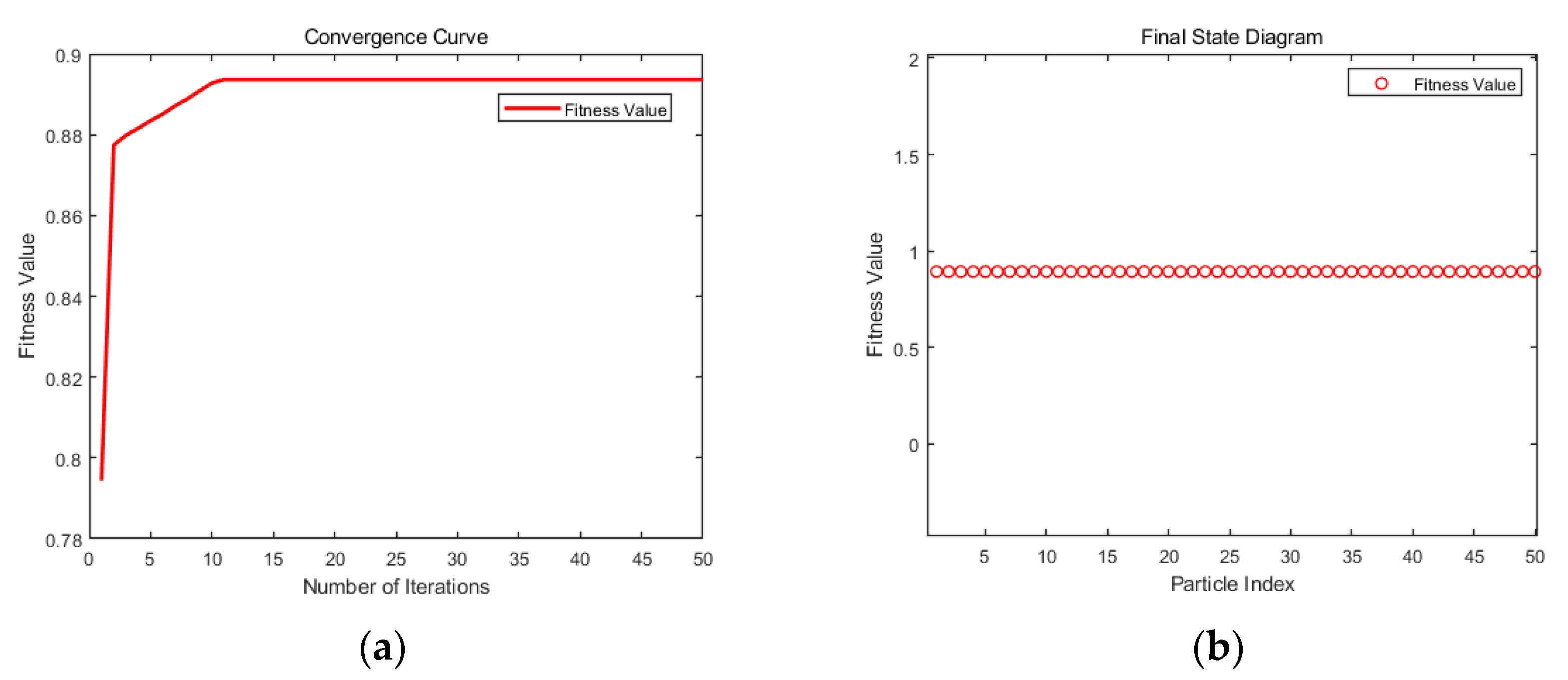
The particle swarm algorithm was utilized to optimize the response surface polynomial derived from GRA. The fitness function iteration curve and the final particle state are depicted in Figure 8a,b. The analysis outcomes reveal that the algorithm converges rapidly, initiating convergence at the 11th iteration, with the predicted optimal correlation degree being 0.89363, corresponding to the optimized parameters: a friction coefficient of 0.3, an initial temperature of 1250 °C, and a downward pressing speed of 7.5 mm/s. Following this, simulations were executed using the predicted optimal process parameters, and a comparison of the initial process parameters versus the best process parameters is presented in Table 8. The findings indicate that the forming load is 361 MN, the equivalent stress is 29.9 MPa, the damage value is 0.560, and the GRD is 0.9014. In comparison to the pre-optimization state, the forming load has been reduced by 86 MN, the equivalent stress has been diminished by 2.5 MPa, the deformation is more uniform, and the damage value has been decreased by 0.188, thereby validating the efficacy of the optimized process parameters, which provides a theoretical basis for reducing forging costs, improving the uniformity of forging deformation, and reducing scrap rates in actual production.

5. Conclusions

To enhance the quality of forgings and decrease energy consumption in the disc forging process, this study conducted MPO for forming load, equivalent stress, and damage value. Firstly, experiments were designed according to the BBD principle, and the MPO problem was transformed into a GRD optimization problem using entropy weight-based GRA. Then, RSM was utilized for the polynomial fitting of the GRD, and we searched for the best solution within the feasible area using PSO. Finally, simulations using the optimized process parameters validated their effectiveness. The results demonstrate that, compared to the initial parameters, the optimal parameters predicted by the proposed RSM combined with BBD and GRA effectively reduced forming load, equivalent stress, and damage values.
  • PSO was employed to find the optimal process parameters within the feasible region, namely a friction coefficient of 0.3, an initial temperature of 1250 °C, and a downward pressing speed of 7.5 mm/s. The experimental verification results showed that the GRD was improved, and the forming load, equivalent stress, and damage value were all reduced.
  • The process parameter prediction model proposed in this paper demonstrated good accuracy, providing an effective reference for enhancing forging quality and diminishing energy utilization in actual production.

Author Contributions

Conceptualization, S.W. and Y.L.; methodology, H.L.; software, J.Z.; validation, H.L., G.X. and S.W.; formal analysis, Y.L.; investigation, Y.L.; data curation, Y.L.; writing—original draft preparation, Y.L.; writing—review and editing, G.X.; visualization, F.M.; supervision, G.X.; project administration, H.L.; funding acquisition, S.W. and H.L. All authors have read and agreed to the published version of the manuscript.

Funding

This research was funded by a Henan Province Science and Technology Research and Development Plan Joint Fund Project (No. 225200810029) and a Major Science and Technology Project of Longmen Laboratory (No. 231100220400).

Institutional Review Board Statement

Not applicable.

Informed Consent Statement

Not applicable.

Data Availability Statement

The data presented in this study are available on request from the corresponding author.

Conflicts of Interest

The authors declared no potential conflicts of interest with respect to the research, authorship, and/or publication of this article.

References

  1. Wu, Y.; Wang, K. The Ultra-High Temperature Forging Process Based on DEFORM-3D Simulation. Int. J. Interact. Des. Manuf. IJIDeM 2022, 16, 99–108. [Google Scholar] [CrossRef]
  2. Zhbankov, I.G.; Perig, A.V.; Aliieva, L.I. New Schemes of Forging Plates, Shafts, and Discs. Int. J. Adv. Manuf. Technol. 2016, 82, 287–301. [Google Scholar] [CrossRef]
  3. Wang, S.; Yang, B.; Zhang, M.; Wu, H.; Peng, J.; Gao, Y. Numerical Simulation and Experimental Verification of Microstructure Evolution in Large Forged Pipe Used for AP1000 Nuclear Power Plants. Ann. Nucl. Energy 2016, 87, 176–185. [Google Scholar] [CrossRef]
  4. Zhbankov, I.G.; Markov, O.E.; Perig, A.V. Rational Parameters of Profiled Workpieces for an Upsetting Process. Int. J. Adv. Manuf. Technol. 2014, 72, 865–872. [Google Scholar] [CrossRef]
  5. Uribe, D.; Baudouin, C.; Durand, C.; Bigot, R. Predictive Control for a Single-Blow Cold Upsetting Using Surrogate Modeling for a Digital Twin. Int. J. Mater. Form. 2023, 17, 7. [Google Scholar] [CrossRef]
  6. Francy, K.A.; Rao, C.S.; Gopalakrishnaiah, P. Optimization of Direct Extrusion Process Parameter on 16MnCr5 and AISI1010 Using DEFORM-3D. Procedia Manuf. 2019, 30, 498–505. [Google Scholar] [CrossRef]
  7. Luo, J.; Zhao, J.; Yang, Z.; Jin, Y.; Zhang, C. Microstructure Prediction of Multi-Directional Forging for 30Cr2Ni4MoV Steel by the Secondary Development of Deform Software and BP Neural Network. Int. J. Adv. Manuf. Technol. 2022, 119, 2971–2984. [Google Scholar] [CrossRef]
  8. Wang, J.; Wang, Z.; Xu, W.; Du, Z.; Wang, H. Multi-Objective Optimization of Forging Surface Structure Parameters of Radial Forging Die with Cycloidal. Int. J. Adv. Manuf. Technol. 2023, 129, 5709–5727. [Google Scholar] [CrossRef]
  9. Cao, Y.; Fan, X.; Guo, Y.; Li, S.; Huang, H. Multi-Objective Optimization of Injection-Molded Plastic Parts Using Entropy Weight, Random Forest, and Genetic Algorithm Methods. J. Polym. Eng. 2020, 40, 360–371. [Google Scholar] [CrossRef]
  10. Xie, G.; Zhang, S.; Li, H.; Wang, L.; Du, W.; Zhao, C.; Jia, H. A Double-Layer Optimization Method for Forging Process Parameters of Hinge Beam Structure and Size of Intermediate Billet. J. Mech. Sci. Technol. 2023, 37, 5307–5319. [Google Scholar] [CrossRef]
  11. Obara, C.; Mwema, F.M.; Keraita, J.N.; Shagwira, H.; Obiko, J.O. A Multi-Response Optimization of the Multi-Directional Forging Process for Aluminium 7075 Alloy Using Grey-Based Taguchi Method. SN Appl. Sci. 2021, 3, 596. [Google Scholar] [CrossRef]
  12. Ananth, S.; Udaya Prakash, J.; Moorthy, T.V.; Hariharan, P. Optimization of Wear Parameters for Grey Cast Iron under Different Conditions Using Grey Relational Analysis. Mater. Today Proc. 2018, 5, 7346–7354. [Google Scholar] [CrossRef]
  13. Berihun, E.A.; Bogale, T.M. Parameter Optimization of PET Plastic Preform Bottles in Injection Molding Process Using Grey-Based Taguchi Method. Adv. Mater. Sci. Eng. 2022, 2022, e4416602. [Google Scholar] [CrossRef]
  14. Wang, P.; Dong, X.; Fu, L. Rapid Finite Element Analysis of Bulk Metal Forming Process Based on Deformation Theory. J. Iron Steel Res. Int. 2009, 16, 23–28. [Google Scholar] [CrossRef]
  15. Zhang, Y.; Chen, X.; Tan, H. Effect of Ultrasonic Treatment on the Morphology and Corrosion Resistance of Zinc-Manganese Phosphate Coatings on 16Mn Steel in 3.5% Sodium Chloride. Int. J. Electrochem. Sci. 2023, 18, 100274. [Google Scholar] [CrossRef]
  16. Chakrabarty, R.; Song, J. A Modified Johnson-Cook Material Model with Strain Gradient Plasticity Consideration for Numerical Simulation of Cold Spray Process. Surf. Coat. Technol. 2020, 397, 125981. [Google Scholar] [CrossRef]
  17. Xin, E.; Li, G.; Shi, W.; Li, Z.; Li, J.; Li, Y. Influence of heat treatment process on microstructure and mechanical properties of 16Mn steel forging. Phys. Test. Chem. Anal. Part A Phys. Test. 2022, 58, 6–9. [Google Scholar] [CrossRef]
  18. China Society for Technology of Plasticity, CMES. Forging Manual, 3rd ed.; Machinery Industry Press: Beijing, China, 2011; ISBN 9787111431893. (In Chinese) [Google Scholar]
  19. Chelladurai, S.J.S.; Murugan, K.; Ray, A.P.; Upadhyaya, M.; Narasimharaj, V.; Gnanasekaran, S. Optimization of Process Parameters Using Response Surface Methodology: A Review. Mater. Today Proc. 2021, 37, 1301–1304. [Google Scholar] [CrossRef]
  20. Kou, C.; Alghassab, M.A.; Abed, A.M.; Alkhalaf, S.; Alharbi, F.S.; Elmasry, Y.; Abdullaev, S.; Garalleh, H.A.; Tarawneh, M.A. Modeling of Hydrogen Flow Decompression from a Storage by a Two-Stage Tesla Valve: A Hybrid Approach of Artificial Neural Network, Response Surface Methodology, and Genetic Algorithm Optimization. J. Energy Storage 2024, 85, 111104. [Google Scholar] [CrossRef]
  21. Jiang, B.; Huang, J.; Ma, H.; Zhao, H.; Ji, H. Multi-Objective Optimization of Process Parameters in 6016 Aluminum Alloy Hot Stamping Using Taguchi-Grey Relational Analysis. Materials 2022, 15, 8350. [Google Scholar] [CrossRef]
  22. Huynh, N.-T.; Huang, S.-C.; Dao, T.-P. Optimal Displacement Amplification Ratio of Bridge-Type Compliant Mechanism Flexure Hinge Using the Taguchi Method with Grey Relational Analysis. Microsyst. Technol. 2021, 27, 1251–1265. [Google Scholar] [CrossRef]
  23. Song, H.; Chen, X.; Zhang, S.; Xu, L. Multi-Objective Optimization Design of 6-UPS Parallel Mechanism Based on Taguchi Method and Entropy-Weighted Gray Relational Analysis. Appl. Sci. 2022, 12, 5836. [Google Scholar] [CrossRef]
  24. Gencalp Irizalp, S.; Koroglu, B.K. Optimization of Weld Bead Geometry of Laser Welded ANSI 304 Austenitic Stainless Steel Using Grey-based Taguchi Method. Mater. Werkst. 2020, 51, 1120–1136. [Google Scholar] [CrossRef]
  25. Xu, M.; Zhou, C.; Huang, X.; Zhang, Z.; Wang, T. Multiobjective Optimization of 316L Laser Cladding Powder Using Gray Relational Analysis. J. Mater. Eng. Perform. 2020, 29, 7793–7806. [Google Scholar] [CrossRef]
  26. Yao, P.; Zhou, K.; Lin, H.; Xu, Z.; Yue, S. Exploration of Weld Bead Forming Rule during Double-Pulsed GMAW Process Based on Grey Relational Analysis. Materials 2019, 12, 3662. [Google Scholar] [CrossRef]
  27. Prasad, K.S.; Chalamalasetti, S.R.; Damera, N.R. Application of Grey Relational Analysis for Optimizing Weld Bead Geometry Parameters of Pulsed Current Micro Plasma Arc Welded Inconel 625 Sheets. Int. J. Adv. Manuf. Technol. 2015, 78, 625–632. [Google Scholar] [CrossRef]
  28. Cui, F.K.; Liu, F.; Su, Y.X.; Ruan, X.L.; Xu, S.K.; Liu, L.B. Surface Performance Multiobjective Decision of a Cold Roll-Beating Spline with the Entropy Weight Ideal Point Method. Math. Probl. Eng. 2018, 2018, e5048387. [Google Scholar] [CrossRef]
  29. Jiang, R.; Sun, T.; Liu, D.; Pan, Z.; Wang, D. Multi-Objective Reliability-Based Optimization of Control Arm Using MCS and NSGA-II Coupled with Entropy Weighted GRA. Appl. Sci. 2021, 11, 5825. [Google Scholar] [CrossRef]
  30. Li, C.; Zhao, G.; Meng, J.; Zheng, Z.; Yu, S. Multi-Objective Optimization Strategy Based on Entropy Weight, Grey Correlation Theory, and Response Surface Method in Turning. Int. J. Ind. Eng.-Theory Appl. Pract. 2021, 28, 490–507. [Google Scholar]
  31. Xin, W.; Zhang, Y.; Fu, Y.; Yang, W.; Zheng, H. A Multi-Objective Optimization Design Approach of Large Mining Planetary Gear Reducer. Sci. Rep. 2023, 13, 18640. [Google Scholar] [CrossRef]
  32. Varun, A.; Venkaiah, N. Simultaneous Optimization of WEDM Responses Using Grey Relational Analysis Coupled with Genetic Algorithm While Machining EN 353. Int. J. Adv. Manuf. Technol. 2015, 76, 675–690. [Google Scholar] [CrossRef]
  33. Li, J.; Jasim, D.J.; Kadir, D.H.; Maleki, H.; Esfahani, N.N.; Shamsborhan, M.; Toghraie, D. Multi-Objective Optimization of a Laterally Perforated-Finned Heat Sink with Computational Fluid Dynamics Method and Statistical Modeling Using Response Surface Methodology. Eng. Appl. Artif. Intell. 2024, 130, 107674. [Google Scholar] [CrossRef]
  34. Gao, M.; Guo, H.; Liu, R.; Deng, Z. Analysis of Hinge’s Hysteresis Based on Response Surface Method. IEEE Access 2020, 8, 47312–47321. [Google Scholar] [CrossRef]
  35. Miza, A.T.N.A.; Shayfull, Z.; Noriman, N.Z.; Sazli, S.M.; Hidayah, M.H.N.; Norshahira, R. Optimization of Warpage on Plastic Injection Molding Part Using Response Surface Methodology (RSM) and Particle Swarm Optimization (PSO). AIP Conf. Proc. 2018, 2030, 20145. [Google Scholar] [CrossRef]
  36. Chen, D.-D.; Lin, Y.-C.; Chen, X.-M. A Strategy to Control Microstructures of a Ni-Based Superalloy during Hot Forging Based on Particle Swarm Optimization Algorithm. Adv. Manuf. 2019, 7, 238–247. [Google Scholar] [CrossRef]
  37. Kahhal, P.; Ghasemi, M.; Kashfi, M.; Ghorbani-Menghari, H.; Kim, J.H. A Multi-Objective Optimization Using Response Surface Model Coupled with Particle Swarm Algorithm on FSW Process Parameters. Sci. Rep. 2022, 12, 2837. [Google Scholar] [CrossRef]
  38. Zhang, X.; Zheng, X.; Cheng, R.; Qiu, J.; Jin, Y. A Competitive Mechanism Based Multi-Objective Particle Swarm Optimizer with Fast Convergence. Inf. Sci. 2018, 427, 63–76. [Google Scholar] [CrossRef]
  39. Zhou, H.; Yang, W.; Sun, L.; Jing, X.; Li, G.; Cao, L. Reliability Optimization of Process Parameters for Marine Diesel Engine Block Hole System Machining Using Improved PSO. Sci. Rep. 2021, 11, 21983. [Google Scholar] [CrossRef]
Figure 1. Process flow for forging disc. (a) Billet, (b) Upsetting, (c) Primary spinning, (d) Roll forging outer diameter, (e) Secondary spinning, (f) Finished product.
Figure 1. Process flow for forging disc. (a) Billet, (b) Upsetting, (c) Primary spinning, (d) Roll forging outer diameter, (e) Secondary spinning, (f) Finished product.
Applsci 14 09099 g001
Figure 2. Three-dimensional finite element model.
Figure 2. Three-dimensional finite element model.
Applsci 14 09099 g002
Figure 3. The stress–strain relationship for a range of strain rates at varying temperatures: (a) 1100 °C, (b) 1150 °C, (c) 1200 °C, and (d) 1250 °C.
Figure 3. The stress–strain relationship for a range of strain rates at varying temperatures: (a) 1100 °C, (b) 1150 °C, (c) 1200 °C, and (d) 1250 °C.
Applsci 14 09099 g003
Figure 4. Analysis of simulation results: (a) forming load–time curve for preform block upsetting, (b) equivalent stress dispersion contour diagram, and (c) contour chart for distribution of damage values.
Figure 4. Analysis of simulation results: (a) forming load–time curve for preform block upsetting, (b) equivalent stress dispersion contour diagram, and (c) contour chart for distribution of damage values.
Applsci 14 09099 g004
Figure 5. Flow chart for computing the GRD.
Figure 5. Flow chart for computing the GRD.
Applsci 14 09099 g005
Figure 6. Response surface plots: (a) response surface diagram illustrating friction coefficient and billet temperature on GRD; (b) response surface diagram illustrating friction coefficient and downward pressing speed on GRD; (c) response surface plot of downward pressing speed and billet temperature on GRD.
Figure 6. Response surface plots: (a) response surface diagram illustrating friction coefficient and billet temperature on GRD; (b) response surface diagram illustrating friction coefficient and downward pressing speed on GRD; (c) response surface plot of downward pressing speed and billet temperature on GRD.
Applsci 14 09099 g006
Figure 7. Comparison of predicted and experimental values of GRD.
Figure 7. Comparison of predicted and experimental values of GRD.
Applsci 14 09099 g007
Figure 8. Particle swarm optimization results: (a) fitness value iteration curve; (b) final distribution state of the particle swarm.
Figure 8. Particle swarm optimization results: (a) fitness value iteration curve; (b) final distribution state of the particle swarm.
Applsci 14 09099 g008
Table 1. Chemical composition of 16 Mn (mass fraction, %).
Table 1. Chemical composition of 16 Mn (mass fraction, %).
CSiMnCrNiPSCu
0.13~0.200.20~0.61.20~1.60≤0.30≤0.30≤0.03≤0.02≤0.25
Table 2. Factor level table.
Table 2. Factor level table.
LevelFT (°C)V (mm/s)
−10.311507.5
00.5120010
10.7125012.5
Table 3. Experimental design and results.
Table 3. Experimental design and results.
Trial No.FT (°C)V (mm/s)Y (MN)S (MPa)Z
10.311501074654.50.594
20.71150101100630.624
30.312501050939.30.592
40.712501078443.30.56
50.312007.544732.40.748
60.712007.553051.20.587
70.3120012.572037.70.526
80.7120012.597640.50.818
90.511507.556856.10.503
100.512507.545141.10.561
110.5115012.5117057.40.525
120.5125012.5820380.426
130.512001075947.90.575
140.512001075350.20.594
150.512001076551.20.587
Table 4. Normalized data.
Table 4. Normalized data.
The Comparison SequenceFTV
10.5864453670.2777777780.571428571
20.09681881100.494897959
30.9142461960.7745098040.576530612
40.5338865840.643790850.658163265
5110.178571429
60.8852005530.3856209150.589285714
70.6224066390.8267973860.744897959
80.2683264180.7352941180
90.832641770.2254901960.803571429
100.9944674970.7156862750.655612245
1100.1830065360.74744898
120.4840940530.8169934641
130.568464730.4934640520.619897959
140.5767634850.4183006540.571428571
150.5601659750.3856209150.589285714
The Reference Sequence1.00001.00001.0000
Table 5. Results of entropy weight method for calculating weights.
Table 5. Results of entropy weight method for calculating weights.
Index e k D k ω
Y0.9400580.0599420.3614
S0.9358030.0641970.3871
Z0.958290.041710.2515
Table 6. Grey Correlation Coefficients and GRD.
Table 6. Grey Correlation Coefficients and GRD.
Trial No.GCC of YGCC of S GCC of Z GRD
10.5473126420.4090909090.5384615380.491580957
20.3563331690.3333333330.4974619290.382923816
30.8536009450.6891891890.5414364640.711447787
40.5175375810.5839694660.5939393940.562468419
5110.3783783780.843662162
60.8132733410.4486803520.5490196080.605679581
70.5697399530.7427184470.6621621620.659944113
80.4059517130.6538461540.3333333330.483648128
90.7492227980.3923076920.7179487180.603195529
100.9890560880.63750.5921450150.753145591
110.3333333330.3796526050.664406780.434528495
120.4921715450.73205741610.712750222
130.536748330.4967532470.5681159420.529155188
140.5415730340.462235650.5384615380.510078991
150.532008830.4486803520.5490196080.504030587
Table 7. The GRD model variance analysis results.
Table 7. The GRD model variance analysis results.
SourceDOFSum of SquaresMean Squaresf-Valuep-Value
Model90.22740.025326.980.0010
Residual50.00470.0009
Total140.2321R2 = 97.98% R2adj = 94.35%
Table 8. Comparisons of initial process parameters with optimal process parameter results.
Table 8. Comparisons of initial process parameters with optimal process parameter results.
Initial ParametersOptimal Process Conditions PredictionVerificationComparison
F0.30.30.3
T120012501250
V7.57.57.5
Y44736186
S32.429.92.5
Z0.7480.5600.188
GRD0.84370.89360.90140.0577
Disclaimer/Publisher’s Note: The statements, opinions and data contained in all publications are solely those of the individual author(s) and contributor(s) and not of MDPI and/or the editor(s). MDPI and/or the editor(s) disclaim responsibility for any injury to people or property resulting from any ideas, methods, instructions or products referred to in the content.

Share and Cite

MDPI and ACS Style

Wei, S.; Liang, Y.; Li, H.; Xie, G.; Mao, F.; Zhang, J. Multi-Objective Optimization of the Forming Process Parameters of Disc Forgings Based on Grey Correlation Analysis and the Response Surface Method. Appl. Sci. 2024, 14, 9099. https://doi.org/10.3390/app14199099

AMA Style

Wei S, Liang Y, Li H, Xie G, Mao F, Zhang J. Multi-Objective Optimization of the Forming Process Parameters of Disc Forgings Based on Grey Correlation Analysis and the Response Surface Method. Applied Sciences. 2024; 14(19):9099. https://doi.org/10.3390/app14199099

Chicago/Turabian Style

Wei, Shizhong, Yuna Liang, Hao Li, Guizhong Xie, Feng Mao, and Ji Zhang. 2024. "Multi-Objective Optimization of the Forming Process Parameters of Disc Forgings Based on Grey Correlation Analysis and the Response Surface Method" Applied Sciences 14, no. 19: 9099. https://doi.org/10.3390/app14199099

APA Style

Wei, S., Liang, Y., Li, H., Xie, G., Mao, F., & Zhang, J. (2024). Multi-Objective Optimization of the Forming Process Parameters of Disc Forgings Based on Grey Correlation Analysis and the Response Surface Method. Applied Sciences, 14(19), 9099. https://doi.org/10.3390/app14199099

Note that from the first issue of 2016, this journal uses article numbers instead of page numbers. See further details here.

Article Metrics

Back to TopTop