Study of the Dynamic Adaptive Calculation Method for River Water Environmental Capacity
Abstract
1. Introduction
2. Study Area
3. Methodology
3.1. Problems with Traditional Methods
- (1)
- Limitations of traditional methods. Due to the differences in understanding of the definition of WEC, the differences in water quality models, the differences in simplification, and the different requirements for water quality standards, the WEC calculation method has different expressions, and its calculation demands, accuracy, and applicability are different. For different watersheds, based on the generalized conditions of each model expression, select and apply appropriate calculation formulas. The limitations of the WEC calculation method is significant.
- (2)
- Inability to adapt to changes in development. WEC is proposed based on the management of water function areas. It is not only related to the natural attributes of water bodies and pollutants, but also includes social attributes such as human needs for water body functions. Both natural and social attributes are dynamic. Factors, such as changes in spatial–temporal scale, changes in design frequencies, changes in functional requirements, and changes in calculation methods, all determine that WEC is a dynamically changing quantity. The traditional WEC calculation is static, making it difficult to accurately quantify the WEC.
- (3)
- The operability is not strong. The traditional method is mostly aimed at a specific research basin, a specific time scale, and a specific hydrological condition. Some deterministic models and parameters are used to calculate the WEC. When the basin, hydrological conditions, or pollutants change, the calculation results under fixed conditions cannot cope with the changing environment and needs, and the operability is not strong.
- (4)
- Parameter determination shows a lack of adaptability. The parameter determination of the traditional method lacks the basis, which cannot reflect the hydrological characteristics of the river and the dynamic characteristics of other natural factors, resulting in a lack of accuracy and applicability in the calculation results of WEC. Because the hydrological, hydraulic and water quality conditions of the river vary with time and space, and the pollution source also has the law of time change, and the hydrological factors and pollution sources have a direct impact on the change in parameters. Therefore, the parameters for different river sections and different hydrological conditions should be distinct.
3.2. Dynamic Adaptive Calculation Method for Water Environmental Capacity
3.2.1. Overall Framework
3.2.2. Calculation Model and Method
- (1)
- Section-beginning control model [42]
- (2)
- Standard model
- (3)
- Section-end control model [42]
- (4)
- Subsection summation model [44]
- (1)
- Design hydrological conditions
- 1)
- Yearly scale design hydrological conditions involve determining the design flow based on the frequency of the driest month and the frequency of all months. The frequency of the driest month involves selecting the monthly flow data from the long series of a hydrological station and frequency analyzing the driest month flow of each year as the empirical point data. Similarly, the frequency of all months involves selecting the monthly flow data from the long series of a hydrological station and frequency analyzing the monthly average flow of all months of each hydrological year as the empirical point data. The theoretical frequency curve is then obtained by two frequency arrangement methods, and flow values corresponding to 90%, 75%, and 50% design frequencies are adopted.
- 2)
- Wet, normal, and dry periods represent the design hydrological conditions. The design flow is calculated according to the frequency of the water period and a typical year. The idea of calculating the design flow of a water period according to its frequency involves selecting a long series of monthly flow data from a hydrological station. Based on current research habits in the field of hydrology, a hydrological year is divided into wet, normal, and dry periods. The normal period is from March to June, the wet period is from July to October, and the dry period is November and December, and January and February of the following year. In each hydrological year, the average flow for each water period is used as the empirical point data, and the P-III curve is selected to obtain the theoretical frequency curve. Then, the flow values at different design frequencies (such as 90%, 75%, and 50%) are obtained from the curve. The idea of calculating the design flow for a water period according to a typical year method is to select the monthly flow data from a long series of a hydrological station. The typical year should be selected according to the conventional method. The step is to select a series of monthly flow data from a hydrological station, taking the annual average flow of the hydrological year as the empirical point data, and using the P-III curve to obtain the theoretical frequency curve. From this curve, typical years at different design frequencies (such as 90%, 75%, and 50%) are obtained. The average flow of the wet, normal, and dry periods corresponding to the 90% typical year is the design flow value of each water period at 90% frequency, and the design flow of the other design frequencies in each water period is calculated in turn.
- 3)
- Monthly scale design flow determination is divided into monthly frequency calculation design flow and typical year frequency calculation design flow. The basic idea of calculating the monthly design flow based on monthly frequency is to select the monthly flow data from a long series of hydrological stations, classify the monthly average flows for each hydrological year (from January to December), and use these as empirical point data. The P-III curve is used for wiring, and the theoretical frequency curve is selected. The monthly design flow at different design frequencies (such as 90%, 75%, and 50%) can be obtained. The idea of calculating the design flow at the monthly scale according to the typical year method is to select the monthly flow data from a long series of hydrological stations, use the annual average flow as empirical point data, use the P-III curve for wiring, and obtain the theoretical frequency curve. The typical years at different design frequencies (such as 90%, 75%, and 50%) can be obtained. The average flow of each month corresponding to a 90% typical year is the design flow of each month at a 90% frequency, and the design flow for each month at other design frequencies is calculated in turn.
- (2)
- Design flow velocity
- (3)
- Water quality target concentration C0, Cs
- (4)
- Comprehensive attenuation coefficient
3.3. Dynamic Adaptive Simulation System for Water Environmental Capacity
4. Results and Discussions
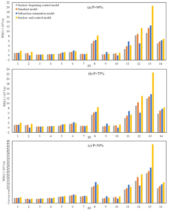
4.1. Water Environmental Capacity Calculation
4.1.1. Yearly Scale
4.1.2. Wet, Normal and Dry Periods
4.1.3. Monthly Scale
4.2. Water Environment Capacity Interval
5. Conclusions
- (1)
- The size of the river WEC is closely related to factors such as design flow, water period, spatial scale, parameters, water quality objectives, and others. The larger the design flow, the greater the degradation coefficient, and the greater the difference in water quality targets between adjacent water functional areas. Additionally, the river in the wet season tends to have a larger WEC. Managers can apply different restrictions on WEC depending on different water periods, functional areas, and water volumes. When WEC is large, it discharges more pollutants, whereas when the WEC is small, it is strictly controlled. Dynamic management can make better use of the resource value of WEC.
- (2)
- This method enables the dynamic adaptive calculation of WEC. The dynamic adaptive simulation system based on this method can perform WEC calculations across various spatial–temporal scales, using different calculation methods, with different design frequencies, and under various parameter combinations. Through personalized customization, users can choose the WEC calculation scheme that best suits their needs.
- (3)
- This method improves the adaptability of WEC calculation results. The WEC, under this method, varies in response to changes in variable factors such as spatial–temporal scale, design frequencies, and calculation models. The variable interval is used to describe the calculation results of WEC, which can cope with the complex and changeable environment and demand.
- (4)
- The dynamic adaptive computing simulation system under this method makes the calculation process of WEC visualized, componentized, and dynamic, which makes the calculation results more reasonable and practical. According to the actual needs of users, the existing WEC calculation model is encapsulated into standardized components and added to the component library. It can be replaced, integrated, and directly extracted for use. It does not need to rewrite the code, which shortens the system development cycle and improves the system development efficiency.
Author Contributions
Funding
Institutional Review Board Statement
Informed Consent Statement
Data Availability Statement
Acknowledgments
Conflicts of Interest
References
- Zhang, H.; Cao, X.; Huo, S.; Ma, C.; Li, W.; Liu, Y.; Tong, Y.; Wu, F. Changes in China’s river water quality since 1980: Management implications from sustainable development. Npj Clean Water 2023, 6, 45. [Google Scholar] [CrossRef]
- Wang, M.; Janssen, A.B.G.; Bazin, J.; Strokal, M.; Ma, L.; Kroeze, C. Accounting for interactions between Sustainable Development Goals is essential for water pollution control in China. Nat. Commun. 2022, 13, 730. [Google Scholar] [CrossRef] [PubMed]
- Ma, T.; Sun, S.; Fu, G.; Hall, J.W.; Ni, Y.; He, L.; Yi, J.; Zhao, N.; Du, Y.; Pei, T.; et al. Pollution exacerbates China’s water scarcity and its regional inequality. Nat. Commun. 2020, 11, 650. [Google Scholar] [CrossRef] [PubMed]
- Wang, X.; Li, R.; Tian, Y.; Liu, C. Watershed-scale water environmental capacity estimation assisted by machine learning. J. Hydrol. 2021, 597, 126310. [Google Scholar] [CrossRef]
- Chinyama, A.; Ncube, R.; Ela, W. Critical pollution levels in Umguza River, Zimbabwe. Phys. Chem. Earth 2016, 93, 76–83. [Google Scholar] [CrossRef]
- Bai, J.Z.; Yang, J.M.; Feng, M.Q. Study on the water environmental capacity and the sewage control of the Sushui River. In Materials Science and Information Technology; Zhang, C.S., Ed.; Trans Tech Publications Ltd.: Zurich, Switzerland, 2012; Pts 1–8; pp. 995–1001. [Google Scholar]
- Liu, L.; Zhou, J.; An, X. Using fuzzy theory and information entropy for water quality assessment in Three Gorges region, China. Expert Syst. Appl. 2010, 37, 2517–2521. [Google Scholar] [CrossRef]
- Pinto, D.; Shrestha, S.; Babel, M.S. Delineation of groundwater potential zones in the Comoro watershed, Timor Leste using GIS, remote sensing and analytic hierarchy process (AHP) technique. Appl. Water Sci. 2017, 7, 503–519. [Google Scholar] [CrossRef]
- Monfared, S.A.H.; Darmian, M.D.; Snyder, S.A.; Azizyan, G.; Pirzadeh, B.; Moghaddam, M.A. Water quality planning in rivers: Assimilative capacity and dilution flow. Bull. Environ. Contam. Toxicol. 2017, 99, 531–541. [Google Scholar] [CrossRef]
- Li, Y.X.; Qiu, R.Z.; Yang, Z.F.; Li, C.H.; Yu, J.S. Parameter determination to calculate water environmental capacity in Zhangweinan Canal Sub-basin in China. J. Environ. Sci. 2010, 22, 904–907. [Google Scholar] [CrossRef]
- Shu, S.H.; Ma, H.A. Comparison of two models for calculating water environment capacity of Songhua River. In Life System Modeling and Intelligent Computing; Li, K., Jia, L., Sun, X., Fei, M., Irwin, G.W., Eds.; Springer: Berlin/Heidelberg, Germany, 2010; Volume 6330, pp. 683–690. [Google Scholar]
- Wu, P.; Tang, Y.; Dang, M.; Wang, S.; Jin, H.; Liu, Y.; Jing, H.; Zheng, C.; Yi, S.; Cai, Z. Spatial-temporal distribution of microplastics in surface water and sediments of Maozhou River within Guangdong-Hong Kong-Macao Greater Bay Area. Sci. Total Environ. 2020, 717, 135187. [Google Scholar] [CrossRef]
- Guo, J.X.; Wang, L.C.; Yang, L.; Deng, J.C.; Zhao, G.M.; Guo, X.Y. Spatial-temporal characteristics of nitrogen degradation in typical Rivers of Tai Lake Basin, China. Sci. Total Environ. 2020, 713, 136456. [Google Scholar] [CrossRef] [PubMed]
- Shi, B.; Wang, P.; Jiang, J.P.; Liu, R.T. Applying high-frequency surrogate measurements and a wavelet-ANN model to provide early warnings of rapid surface water quality anomalies. Sci. Total Environ. 2018, 610–611, 1390–1399. [Google Scholar] [CrossRef]
- Shi, Y.N.; Eissenstat, D.M.; He, Y.T.; Davis, K.J. Using a spatially-distributed hydrologic biogeochemistry model with a nitrogen transport module to study the spatial variation of carbon processes in a Critical Zone Observatory. Ecol. Model. 2018, 380, 8–21. [Google Scholar] [CrossRef]
- Liu, Q.K.; Jiang, J.G.; Jing, C.W.; Qi, J.G. Spatial and seasonal dynamics of water environmental capacity in mountainous rivers of the southeastern coast, China. Int. J. Environ. Res. Public Health 2018, 15, 21. [Google Scholar] [CrossRef] [PubMed]
- Fu, L.; Wang, J.; Jin, Q.; You, A. Study of sustainable development in Yongkang city based on environmental capacity and pollutant control. IOP Conf. Ser. Earth Environ. Sci. 2020, 510, 032020. [Google Scholar] [CrossRef]
- Yan, R.H.; Gao, Y.N.; Li, L.L.; Gao, J.F. Estimation of water environmental capacity and pollution load reduction for urban lakeside of Lake Tai, eastern China. Ecol. Eng. 2019, 139, 105587. [Google Scholar] [CrossRef]
- Chen, Q.W.; Wang, Q.B.; Li, Z.J.; Li, R.N. Uncertainty analyses on the calculation of water environmental capacity by an innovative holistic method and its application to the Dongjiang River. J. Environ. Sci. 2014, 26, 1783–1790. [Google Scholar] [CrossRef] [PubMed]
- Xie, R.R.; Pang, Y.; Bao, K. Spatiotemporal distribution of water environmental capacity-a case study on the western areas of Tai Lake in Jiangsu Province, China. Environ. Sci. Pollut. Res. 2014, 21, 5465–5473. [Google Scholar] [CrossRef]
- Li, K.Q.; Zhang, L.; Li, Y.; Zhang, L.J.; Wang, X.L. A three-dimensional water quality model to evaluate the environmental capacity of nitrogen and phosphorus in Jiaozhou Bay, China. Marine Pollut. Bull. 2015, 91, 306–316. [Google Scholar] [CrossRef]
- Liu, R.M.; Sun, C.C.; Han, Z.X.; Chen, L.; Huang, Q.; Chen, Y.X.; Gao, S.H.; Shen, Z.Y. Water environmental capacity calculation based on uncertainty analysis: A case study in the Baixi watershed area, China. Procedia Environ. Sci. 2012, 13, 1728–1738. [Google Scholar] [CrossRef]
- Zhao, C.S.; Yang, S.T.; Sun, Y.; Zhang, H.T.; Sun, C.L.; Xu, T.R.; Lim, R.P.; Mitrovic, S.M. Estimating river accommodation capacity for organic pollutants in data-scarce areas. J. Hydrol. 2018, 564, 442–451. [Google Scholar] [CrossRef]
- Bui, L.T.; Pham, H.T.H. Linking hydrological, hydraulic and water quality models for river water environmental capacity assessment. Sci. Total Environ. 2023, 857, 159490. [Google Scholar] [CrossRef]
- Li, J.; Shen, Z. Uncertainty analysis and economic value prediction of water environmental capacity based on Copula and Bayesian model: A case study of Yitong River, China. J. Environ. Manag. 2024, 359, 121059. [Google Scholar] [CrossRef]
- Fang, X.B.; Zhang, J.Y.; Mei, C.X.; Wong, M.H. The assimilative capacity of Qiantang River watershed, China. Water Environ. J. 2012, 28, 192–202. [Google Scholar] [CrossRef]
- Wang, N.; Li, J.W.; Xie, J.C. Dynamic study on pollution carrying capacity of urban rivers. Environ. Eng. 2014, 32, 50–54. [Google Scholar] [CrossRef]
- Song, X.F.; Jin, Y. Study on the pollutant carrying capacity of the backwater river in the water receiving area of the Han-to-Wei River Water Diversion Project in Shaanxi Province. People’s Yellow River 2020, 42, 76–80. [Google Scholar]
- Weiwei, S.; Yong, P. Water environmental capacity and pollutant sharing rate calculation based on water diversion of qinhuai river. In Proceedings of the 7th International Conference on Informatics, Environment, Energy and Application, Beijing, China, 28–31 March 2018; pp. 10–14. [Google Scholar] [CrossRef]
- Huang, Y.F.; Wang, J.S.; Yang, M. Analysis of dynamic pollution absorption capacity of East Dongting Lake based on water-area-lake volume relationship. J. Yangtze River Sci. Res. Inst. 2018, 35, 12–16. [Google Scholar]
- Zavareh, M.M.J.; Mahjouri, N.; Rahimzadegan, M.; Rahimpour, M. A drought index based on groundwater quantity and quality: Application of multivariate copula analysis. J. Clean. Prod. 2023, 417, 137959. [Google Scholar] [CrossRef]
- Wang, X.; Su, P.; Lin, Q.; Song, J.; Sun, H.; Cheng, D.; Wang, S.; Peng, J.; Fu, J. Distribution, assessment and coupling relationship of heavy metals and macroinvertebrates in sediments of the Wei River Basin. Sustain. Cities Soc. 2019, 50, 101665. [Google Scholar] [CrossRef]
- Zhang, X.; Luo, J.G.; Du, J.L.; Jin, N.; Cui, Z. Study and application of thematic model for dynamic calculation of pollutant carrying capacity of water functional zones. Water Conserv. Inf. Technol. 2016, 2, 24–28. [Google Scholar] [CrossRef]
- Xia, X.Q.; Zhang, L.; Yao, L.J. Health assessment of Wei River based on AHP-fuzzy comprehensive evaluation method. J. Northwest Univ. (Nat. Sci. Ed.) 2024, 54, 413–423. [Google Scholar]
- Liu, G.Y. The Characteristics of Water Quality Change in Shaanxi Section of Wei River and the Evaluation of the Implementation Effect of Its Control Policy. Master’s Thesis, Xi’an University of Architecture and Technology, Xi’an, China, 2023. [Google Scholar]
- Hu, D.X.; Li, L.; Zhang, Y. Changes and trends of water quality before and after comprehensive treatment in Shaanxi section of Wei River. J. Bull. Soil Water Conserv. 2018, 38, 91–96. [Google Scholar]
- GB 3838-2002; State Environmental Protection Administration, General Administration of Quality Supervision, Inspection and Quarantine of the People’s Republic of China. Environmental quality standards for surface water; China Environmental Science Press: Beijing, China, 2002. (In Chinese)
- Gen, W.B.; Zhao, S.; Hou, J.S. Analysis of dynamic pollutant carrying capacity of Anyang River. J. Yellow River 2021, 43, 110–113. [Google Scholar]
- Luo, H.P.; Zhao, K.F.; Cao, H.Q. Summary and thinking on the calculation theory of water pollution carrying capacity. J. Yangtze River Sci. Res. Inst. 2022, 39, 47–55+69. [Google Scholar]
- Liu, X.D.; Yang, T.; Shi, J.J. Discussion on the river calculation model in the current waters’ pollutant carrying capacity calculation procedure. J. Environ. Prot. Sci. 2018, 44, 32–36. [Google Scholar]
- Zhang, X.J.; Yang, K.; Cai, A.F. Analysis of the influence of uncertain parameters on the pollutant carrying capacity of water bodies. J. China Rural. Water Hydropower 2012, 01, 13–17. [Google Scholar]
- Zhou, X.D.; Guo, J.L.; Cheng, W.; Song, C.; Cao, G. The comparison of the environmental capacity calculation methods. J. Xi’an Univ. Technol. 1999, 15, 1–6. [Google Scholar] [CrossRef]
- GB/T 25173-2010.2010-09-26; Rules for Calculation of Water Area Pollution Carrying Capacity. Ministry of Water Resources of the People’s Republic of China: Beijing, China, 2010.
- Zhang, X.; Luo, J.G.; Xie, J.C. Study and application of a calculation model of river pollution carrying capacity considering water intake and tributaries. J. Hydraul. Eng. 2017, 48, 317–324. [Google Scholar] [CrossRef]
- Zhang, X. Study on Dynamic Analysis and Calculation of Pollutant Carrying Capacity and Process Control of Water Function Area (River Section). Ph.D. Thesis, Xi’an University of Technology, Xi’an, China, 2020. [Google Scholar]
- Zhang, G.; Xie, J.C.; Luo, J.G. Calculation of pollutant carrying capacity in Longmen-Sanmenxia section of the Yellow River. Water Resour. Prot. 2013, 29, 18–21. [Google Scholar]
- Xie, J.C.; Luo, J.G. Integrated service platform for the information explosion process in water resources industry and its application pattern. Water Resour. Inf. 2010, 5, 18–22. [Google Scholar] [CrossRef]













| ID | Functional Area Name | Length/km | Water Quality Target |
|---|---|---|---|
| 1 | Gansu and Shaanxi buffer zone | 72.4 | II |
| 2 | Baoji agricultural water area | 43.9 | III |
| 3 | Baoji City landscape area | 20 | III |
| 4 | Baoji sewage control area | 12 | IV |
| 5 | Baoji City transition zone | 22 | IV |
| 6 | Baomei agricultural water area | 44 | III |
| 7 | Yangling agricultural water use area | 16 | III |
| 8 | Xianyang industrial water area | 63 | IV |
| 9 | Xianyang landscape water use area | 3.8 | IV |
| 10 | Xianyang sewage control area | 5.4 | IV |
| 11 | Xianyang Xi’an transition area | 19 | IV |
| 12 | Lintong agricultural water use area | 56.4 | IV |
| 13 | Weinan agricultural water use area | 96.8 | IV |
| 14 | Huayin enters yellow buffer zone | 29.7 | IV |
| Level Year | WEC | Jan. | Feb. | Mar. | Apr. | May. | Jun. | Jul. | Aug. | Sep. | Oct. | Nov. | Dec. |
|---|---|---|---|---|---|---|---|---|---|---|---|---|---|
| 90% | Upper limit | 396.4 | 39.6 | 59.9 | 1089.7 | 2489.9 | 2364.6 | 1282.6 | 539.1 | 3004.6 | 1176.8 | 423.9 | 604.5 |
| Lower limit | 237.8 | 6.4 | 8.3 | 363.9 | 1252.2 | 1072.3 | 790.5 | 315.9 | 1399.6 | 814.1 | 274.3 | 216.1 | |
| 75% | Upper limit | 559.7 | 288.9 | 414.8 | 1530.2 | 3467.8 | 3573.9 | 1947.5 | 1772.6 | 4302.3 | 2173.3 | 1664.5 | 863.9 |
| Lower limit | 336.9 | 23.3 | 119.6 | 611.6 | 1853.4 | 1692.3 | 1152.6 | 922.1 | 2389.5 | 1174.9 | 557.4 | 390.6 | |
| 50% | Upper limit | 1102.9 | 738.6 | 1319.9 | 2242.4 | 4278.6 | 5019.3 | 4557.5 | 4979.1 | 5681.2 | 5321.9 | 2686.1 | 1861.9 |
| Lower limit | 421.1 | 90.4 | 637.8 | 1196.9 | 2545.7 | 2183.1 | 2853.2 | 3139.5 | 3732.3 | 3375.5 | 1626.5 | 1140.7 |
| Level Year | WEC | Jan. | Feb. | Mar. | Apr. | May. | Jun. | Jul. | Aug. | Sep. | Oct. | Nov. | Dec. |
|---|---|---|---|---|---|---|---|---|---|---|---|---|---|
| 90% | Upper limit | 55.9 | 41.9 | 27.3 | 104.0 | 204.5 | 230.7 | 143.2 | 112.5 | 281.9 | 170.5 | 79.0 | 104.7 |
| Lower limit | 38.4 | 20.9 | 5.4 | 55.3 | 131.1 | 154.7 | 112.3 | 59.5 | 208.2 | 123.5 | 43.0 | 47.9 | |
| 75% | Upper limit | 114.4 | 80.2 | 89.0 | 140.8 | 227.9 | 244.8 | 265.3 | 252.5 | 359.5 | 292.9 | 131.5 | 103.8 |
| Lower limit | 59.3 | 32.0 | 34.5 | 76.9 | 143.5 | 177.4 | 203.4 | 136.9 | 254.9 | 229.9 | 86.0 | 65.4 | |
| 50% | Upper limit | 155.7 | 109.4 | 144.8 | 293.0 | 359.7 | 328.4 | 464.7 | 505.1 | 622.8 | 537.8 | 280.8 | 230.5 |
| Lower limit | 72.3 | 44.5 | 96.0 | 128.9 | 264.5 | 229.1 | 297.5 | 320.3 | 445.3 | 349.4 | 117.8 | 102.5 |
Disclaimer/Publisher’s Note: The statements, opinions and data contained in all publications are solely those of the individual author(s) and contributor(s) and not of MDPI and/or the editor(s). MDPI and/or the editor(s) disclaim responsibility for any injury to people or property resulting from any ideas, methods, instructions or products referred to in the content. |
© 2024 by the authors. Licensee MDPI, Basel, Switzerland. This article is an open access article distributed under the terms and conditions of the Creative Commons Attribution (CC BY) license (https://creativecommons.org/licenses/by/4.0/).
Share and Cite
Gao, Y.; Wei, N.; Xie, J.; Liang, J.; Gao, F.; Zhou, G. Study of the Dynamic Adaptive Calculation Method for River Water Environmental Capacity. Appl. Sci. 2024, 14, 9082. https://doi.org/10.3390/app14199082
Gao Y, Wei N, Xie J, Liang J, Gao F, Zhou G. Study of the Dynamic Adaptive Calculation Method for River Water Environmental Capacity. Applied Sciences. 2024; 14(19):9082. https://doi.org/10.3390/app14199082
Chicago/Turabian StyleGao, Yating, Na Wei, Jiancang Xie, Jichao Liang, Fei Gao, and Guixing Zhou. 2024. "Study of the Dynamic Adaptive Calculation Method for River Water Environmental Capacity" Applied Sciences 14, no. 19: 9082. https://doi.org/10.3390/app14199082
APA StyleGao, Y., Wei, N., Xie, J., Liang, J., Gao, F., & Zhou, G. (2024). Study of the Dynamic Adaptive Calculation Method for River Water Environmental Capacity. Applied Sciences, 14(19), 9082. https://doi.org/10.3390/app14199082

