Combining Magnetostriction with Variable Reluctance for Energy Harvesting at Low Frequency Vibrations
Abstract
1. Introduction
2. Experimental Methods
2.1. Magnetic Energy Harvester Design
2.2. Concept Theory
2.3. FEM Model
2.4. Prototype and Measurement Setup
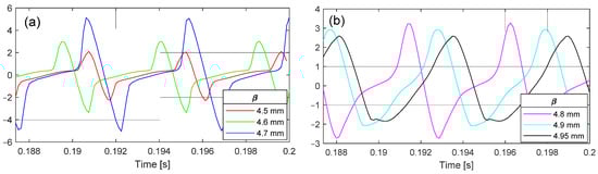
3. Results and Discussion
3.1. Comparing Measurements with Simulations
3.2. Comparison to State of the Art
4. Conclusions
Author Contributions
Funding
Institutional Review Board Statement
Informed Consent Statement
Data Availability Statement
Conflicts of Interest
References
- Ali, A.; Shaukat, H.; Bibi, S.; Altabey, W.A.; Noori, M.; Kouritem, S.A. Recent progress in energy harvesting systems for wearable technology. Energy Strategy Rev. 2023, 49, 101124. [Google Scholar] [CrossRef]
- Zhang, H.; Shen, Q.; Zheng, P.; Wang, H.; Zou, R.; Zhang, Z.; Pan, Y.; Zhi, J.; Xiang, Z. Harvesting Inertial Energy and Powering Wearable Devices: A Review. Small Methods 2024, 8, e2300771. [Google Scholar] [CrossRef] [PubMed]
- Liu, L.; Guo, X.; Liu, W.; Lee, C. Recent Progress in the Energy Harvesting Technology—From Self-Powered Sensors to Self-Sustained IoT, and New Applications. Nanomaterials 2021, 11, 2975. [Google Scholar] [CrossRef] [PubMed]
- Bentouba, S.; Zioui, N.; Breuhaus, P.; Bourouis, M. Overview of the Potential of Energy Harvesting Sources in Electric Vehicles. Energies 2023, 16, 5193. [Google Scholar] [CrossRef]
- Jiang, D.; Shi, B.; Ouyang, H.; Fan, Y.; Wang, Z.L.; Li, Z. Emerging Implantable Energy Harvesters and Self-Powered Implantable Medical Electronics. ACS Nano 2020, 14, 6436–6448. [Google Scholar] [CrossRef] [PubMed]
- Hosseinkhani, A.; Younesian, D.; Eghbali, P.; Moayedizadeh, A.; Fassih, A. Sound and vibration energy harvesting for railway applications: A review on linear and nonlinear techniques. Energy Rep. 2021, 7, 852–874. [Google Scholar] [CrossRef]
- He, X.; Das, R. Energy Harvesting for Electronic Devices 2020–2040; IDTechEx: Cambridge, UK, 2020. [Google Scholar]
- Energy Harvesting and Storage Technologies. Available online: https://cordis.europa.eu/programme/id/HORIZON_HORIZON-EIC-2021-TRANSITIONCHALLENGES-01-02 (accessed on 26 September 2024).
- Clean Energy Competitiveness. Available online: https://energy.ec.europa.eu/topics/research-and-technology/clean-energy-competitiveness_en (accessed on 26 September 2024).
- Prajwal, K.T.; Manickavasagam, K.; Suresh, R. A review on vibration energy harvesting technologies: Analysis and technologies. Eur. Phys. J. Spec. Top. 2022, 231, 1359–1371. [Google Scholar] [CrossRef]
- Karan, S.K.; Maiti, S.; Lee, J.H.; Mishra, Y.K.; Khatua, B.B.; Kim, J.K. Recent Advances in Self-Powered Tribo-/Piezoelectric Energy Harvesters: All-In-One Package for Future Smart Technologies. Adv. Funct. Mater. 2020, 30, 2004446. [Google Scholar] [CrossRef]
- Le, X.; Guo, X.; Lee, C. Evolution of Micro-Nano Energy Harvesting Technology—Scavenging Energy from Diverse Sources towards Self-Sustained Micro/Nano Systems. Nanoenergy Adv. 2023, 3, 101–125. [Google Scholar] [CrossRef]
- Muscat, A.; Bhattacharya, S.; Zhu, Y. Electromagnetic Vibrational Energy Harvesters: A Review. Sensors 2022, 22, 5555. [Google Scholar] [CrossRef]
- Yu, H.; Fan, L.; Shan, X.; Zhang, X.; Zhang, X.; Hou, C.; Xie, T. A novel multimodal piezoelectric energy harvester with rotating-DOF for low-frequency vibration. Energy Convers. Manag. 2023, 287, 117106. [Google Scholar] [CrossRef]
- Pertin, O.; Shrivas, P.; Guha, K.; Rao, K.S.; Iannacci, J. New and efficient design of multimode piezoelectric vibration energy harvester for MEMS application. Microsyst. Technol. 2021, 27, 3523–3531. [Google Scholar] [CrossRef]
- Qin, H.; Mo, S.; Jiang, X.; Shang, S.; Wang, P.; Liu, Y. Multimodal Multidirectional Piezoelectric Vibration Energy Harvester by U-Shaped Structure with Cross-Connected Beams. Micromachines 2022, 13, 396. [Google Scholar] [CrossRef] [PubMed]
- Xie, Z.; Liu, L.; Huang, W.; Shu, R.; Ge, S.; Xin, Y.; Chen, Z.; Lin, W. A multimodal E-shaped piezoelectric energy harvester with a built-in bistability and internal resonance. Energy Convers. Manag. 2023, 278, 116717. [Google Scholar] [CrossRef]
- Bouhedma, S.; Zheng, Y.; Lange, F.; Hohlfeld, D. Magnetic Frequency Tuning of a Multimodal Vibration Energy Harvester. Sensors 2019, 19, 1149. [Google Scholar] [CrossRef]
- Sun, R.; Li, Q.; Yao, J.; Scarpa, F.; Rossiter, J. Tunable, multi-modal, and multi-directional vibration energy harvester based on three-dimensional architected metastructures. Appl. Energy 2020, 264, 114615. [Google Scholar] [CrossRef]
- Zhao, H.; Ouyang, H.; Zhang, H. A nonresonant triboelectric-electromagnetic energy harvester via a vibro-impact mechanism for low-frequency multi-directional excitations. Nano Energy 2023, 107, 108123. [Google Scholar] [CrossRef]
- Liu, H.; Hou, C.; Lin, J.; Li, Y.; Shi, Q.; Chen, T.; Sun, L.; Lee, C. A non-resonant rotational electromagnetic energy harvester for low-frequency and irregular human motion. Appl. Phys. Lett. 2018, 113, 203901. [Google Scholar] [CrossRef]
- Yang, T.; Zhou, S.; Fang, S.; Qin, W.; Inman, D.J. Nonlinear vibration energy harvesting and vibration suppression technologies: Designs, analysis, and applications. Appl. Phys. Rev. 2021, 8, 031317. [Google Scholar] [CrossRef]
- Jia, Y. Review of nonlinear vibration energy harvesting: Duffing, bistability, parametric, stochastic and others. J. Intell. Mater. Syst. Struct. 2020, 31, 921–944. [Google Scholar] [CrossRef]
- Tran, N.; Ghayesh, M.H.; Arjomandi, M. Ambient vibration energy harvesters: A review on nonlinear techniques for performance enhancement. Int. J. Eng. Sci. 2018, 127, 162–185. [Google Scholar] [CrossRef]
- Bjurström, J.; Ohlsson, F.; Vikerfors, A.; Rusu, C.; Johansson, C. Tunable spring balanced magnetic energy harvester for low frequencies and small displacements. Energy Convers. Manag. 2022, 259, 115568. [Google Scholar] [CrossRef]
- Diala, U.; Zhu, Y.; Gunawardena, R. Investigative Study of the Effect of Damping and Stiffness Nonlinearities on an Electromagnetic Energy Harvester at Low-Frequency Excitations. Machines 2024, 12, 30. [Google Scholar] [CrossRef]
- Bjurström, J.; Ohlsson, F.; Rusu, C.; Johansson, C. Unified Modeling and Analysis of Vibration Energy Harvesters under Inertial Loads and Prescribed Displacements. Appl. Sci. 2022, 12, 9815. [Google Scholar] [CrossRef]
- Liu, X.; He, L.; Liu, R.; Hu, D.; Zhang, L.; Cheng, G. Piezoelectric energy harvesting systems using mechanical tuning techniques. Rev. Sci. Instrum. 2023, 94, 031501. [Google Scholar] [CrossRef]
- Feng, Y.; Zhou, Z.; Luo, H.; Wang, R.; Han, Y.; Xiong, Y. Frequency-tunable resonant hybrid vibration energy harvester using a piezoelectric cantilever with electret-based electrostatic coupling. IET Nanodielectrics 2023, 6, 46–56. [Google Scholar] [CrossRef]
- Ghanbari, M.; Rezazadeh, G.; Moloudpour-Tolkani, V. A wide-bandwidth MEMS energy harvester based on a novel voltage-sliding stiffness tunability. Appl. Math. Model. 2024, 125, 16–34. [Google Scholar] [CrossRef]
- Benhemou, A.; Gibus, D.; Huguet, T.; Morel, A.; Demouron, Q.; Saint-Martin, C.; Roux, E.; Charleux, L.; Badel, A. Predictive lumped model for a tunable bistable piezoelectric energy harvester architecture. Smart Mater. Struct. 2024, 33, 045033. [Google Scholar] [CrossRef]
- Lu, K.; Hu, R.; Wang, X.; Deng, Z. Multi-directional and ultra-low frequency energy harvester utilizing tunable buckled piezoelectric film. Mech. Syst. Signal Process. 2024, 210, 111137. [Google Scholar] [CrossRef]
- Hathaway, K.B.; Clark, A.E. Magnetostrictive Materials. MRS Bull. 1993, 18, 34–41. [Google Scholar] [CrossRef]
- Staley, M.E.; Flatau, A.B. Characterization of energy harvesting potential of Terfenol-D and Galfenol. In Smart Structures and Materials 2005: Smart Structures and Integrated Systems; Flatau, A.B., Ed.; SPIE: Bellingham, WA, USA, 2005; p. 630. [Google Scholar] [CrossRef]
- Deng, Z.; Dapino, M.J. Modeling and design of Galfenol unimorph energy harvesters. Smart Mater. Struct. 2015, 24, 125019. [Google Scholar] [CrossRef]
- Clemente, C.S.; Davino, D.; Loschiavo, V.P.; Visone, C. Non-Linear Modeling of a Bi-Layer Magnetostrictive Cantilever Considering ΔE Effect. J. Magn. Magn. Mater. 2024, 592, 171755. [Google Scholar] [CrossRef]
- Meng, A.; Yan, C.; Li, M.; Pan, W.; Yang, J.; Wu, S. Modeling and Experiments on Galfenol Energy Harvester. Acta Mech. Sin. 2020, 36, 635–643. [Google Scholar] [CrossRef]
- Ghodsi, M.; Ziaiefar, H.; Mohammadzaheri, M.; Al-Yahmedi, A. Modeling and Characterization of Permendur Cantilever Beam for Energy Harvesting. Energy 2019, 176, 561–569. [Google Scholar] [CrossRef]
- Berbyuk, V. Vibration energy harvesting using Galfenol-based transducer. In Active and Passive Smart Structures and Integrated Systems 2013; Sodano, H., Ed.; SPIE: Bellingham, WA, USA, 2013; p. 86881F. [Google Scholar] [CrossRef]
- Clemente, C.S.; Mahgoub, A.; Davino, D.; Visone, C. Multiphysics Circuit of a Magnetostrictive Energy Harvesting Device. J. Intell. Mater. Syst. Struct. 2017, 28, 2317–2330. [Google Scholar] [CrossRef]
- Deng, Z.; Dapino, M.J. Review of Magnetostrictive Vibration Energy Harvesters. Smart Mater. Struct. 2017, 26, 103001. [Google Scholar] [CrossRef]
- Narita, F.; Fox, M. A Review on Piezoelectric, Magnetostrictive, and Magnetoelectric Materials and Device Technologies for Energy Harvesting Applications. Adv. Eng. Mater. 2018, 20, 1700743. [Google Scholar] [CrossRef]
- Daniel, L.; Ducharne, B.; Liu, Y.; Sebald, G. Choosing the Best Magnetostrictive Material for Energy Harvesting Applications: A Simple Criterion Based on Ericsson Cycles. J. Magn. Magn. Mater. 2023, 587, 171281. [Google Scholar] [CrossRef]
- Liu, Y.; Lallart, M.; Ducharne, B.; Makihara, K.; Sebald, G. Analysis of Energy Conversion Capability among Various Magnetostrictive Materials for Energy Harvesting. Smart Mater. Struct. 2023, 32, 125004. [Google Scholar] [CrossRef]
- Mizukawa, Y.; Ahmed, U.; Zucca, M.; Blažević, D.; Rasilo, P. Small-Signal Modeling and Optimal Operating Condition of Magnetostrictive Energy Harvester. J. Magn. Magn. Mater. 2022, 547, 168819. [Google Scholar] [CrossRef]
- Ahmed, U.; Jeronen, J.; Zucca, M.; Palumbo, S.; Rasilo, P. Finite Element Analysis of Magnetostrictive Energy Harvesting Concept Device Utilizing Thermodynamic Magneto-Mechanical Model. J. Magn. Magn. Mater. 2019, 486, 165275. [Google Scholar] [CrossRef]
- Ahmed, U.; Aydin, U.; Zucca, M.; Palumbo, S.; Kouhia, R.; Rasilo, P. Modeling a Fe-Ga Energy Harvester Fitted with Magnetic Closure Using 3D Magneto-Mechanical Finite Element Model. J. Magn. Magn. Mater. 2020, 500, 166390. [Google Scholar] [CrossRef]
- Ahmed, U.; Aydin, U.; Daniel, L.; Rasilo, P. 3-D Magneto-Mechanical Finite Element Analysis of Galfenol-Based Energy Harvester Using an Equivalent Stress Model. IEEE Trans. Magn. 2021, 57, 7400405. [Google Scholar] [CrossRef]
- Palumbo, S.; Rasilo, P.; Zucca, M. Experimental Investigation on a Fe-Ga Close Yoke Vibrational Harvester by Matching Magnetic and Mechanical Biases. J. Magn. Magn. Mater. 2019, 469, 354–363. [Google Scholar] [CrossRef]
- Ahmed, U.; Blažević, D.; Mizukawa, Y.; Aydin, U.; Rasilo, P. Validation of thermodynamic magneto-mechanical finite-element model on cantilever-beam type magnetostrictive energy harvester. J. Magn. Magn. Mater. 2022, 564, 170098. [Google Scholar] [CrossRef]
- Clemente, C.S.; Davino, D.; Loschiavo, V.P. Analysis of a Magnetostrictive Harvester With a Fully Coupled Nonlinear FEM Modeling. IEEE Trans. Magn. 2021, 57, 4001204. [Google Scholar] [CrossRef]
- Clemente, C.S.; Davino, D.; Iannone, I.; Loschiavo, V.P. Experimental Characterization of an AC–DC Boost for Energy Harvesting Device Based on Magnetostrictive Materials. Electricity 2024, 5, 24–35. [Google Scholar] [CrossRef]
- Clemente, C.S.; Iannone, I.; Loschiavo, V.P.; Davino, D. Design and Optimization of a Boost Interface for Magnetostrictive Energy Harvesting. Appl. Sci. 2023, 13, 1606. [Google Scholar] [CrossRef]
- Iannone, I.; Clemente, C.S.; Davino, D.; Loschiavo, V.P. AC-DC Boost Modelling for Magnetostrictive Energy Harvesting. In Proceedings of the 2021 IEEE International Conference on Environment and Electrical Engineering and 2021 IEEE Industrial and Commercial Power Systems Europe (EEEIC/I&CPS Europe), Bari, Italy, 7–10 September 2021; IEEE: Piscataway, NJ, USA, 2021; pp. 1–6. [Google Scholar]
- Clemente, C.S.; Loschiavo, V.P.; Davino, D. Enhancing Electric Vehicle Comfort with Magnetostrictive Energy Harvesting. In Proceedings of the 2023 IEEE Vehicle Power and Propulsion Conference (VPPC), Milan, Italy, 24–27 October 2023; IEEE: Piscataway, NJ, USA, 2023; pp. 1–6. [Google Scholar]
- Riad, S.M.; Salama, I.M. Addendum 9C: Magnetic Forces in Air Gaps: Magnetic Pull, 1st ed.; McGraw-Hill Education: New York, NY, USA, 2020. [Google Scholar]
- Mahadevan, A.; Evans, P.G.; Dapino, M.J. Dependence of magnetic susceptibility on stress in textured polycrystalline Fe81.6Ga18.4 and Fe79.1Ga20.9 Galfenol alloys. Appl. Phys. Lett. 2010, 96, 012502. [Google Scholar] [CrossRef]
- Wun-Fogle, M.; Restorff, J.B.; Clark, A.E. Magnetostriction of Stress-annealed Fe-Ga and Fe-Ga-Al Alloys under Compressive and Tensile Stress. J. Intell. Mater. Syst. Struct. 2006, 17, 117–122. [Google Scholar] [CrossRef]
- Clark, A.; Wun-Fogle, M.; Restorff, J.B.; Lograsso, T.A. Magnetostrictive Properties of Galfenol Alloys Under Compressive Stress. Mater. Trans. 2002, 43, 881–886. [Google Scholar] [CrossRef]
- Dapino, M.J. Nonlinear and Hysteretic Magnetomechanical Model for Magnetostrictive Transducers. Ph.D. Thesis, Iowa State University, Digital Repository, Ames, IA, USA, 1999. [Google Scholar] [CrossRef]
- Scheidler, J.J.; Asnani, V.M.; Dapino, M.J. Design and testing of a dynamically-tuned magnetostrictive spring with electrically controlled stiffness. In Industrial and Commercial Applications of Smart Structures Technologies 2015; Farinholt, K.M., Griffin, S.F., Eds.; SPIE: Bellingham, WA, USA, 2015; p. 94330F. [Google Scholar] [CrossRef]
- Zhao, X.; Lord, D.G. Application of the Villari effect to electric power harvesting. J. Appl. Phys. 2006, 99, 08M703. [Google Scholar] [CrossRef]
- Davino, D.; Giustiniani, A.; Visone, C.; Adly, A.A. Energy Harvesting Tests With Galfenol at Variable Magneto-Mechanical Conditions. IEEE Trans. Magn. 2012, 48, 3096–3099. [Google Scholar] [CrossRef]
- Abdelazim, E.M.; Anis, Y.H.; Shaltout, M.L. Extremum seeking control of a self-tunable variable-inertia vibration energy harvester: Modeling and experimental validation. Energy Convers. Manag. 2024, 302, 118123. [Google Scholar] [CrossRef]
- Huang, S.-C.; Lin, K.-A. A novel design of a map-tuning piezoelectric vibration energy harvester. Smart Mater. Struct. 2012, 21, 085014. [Google Scholar] [CrossRef]
- Xia, H.; Chen, R.; Ren, L. Parameter tuning of piezoelectric–electromagnetic hybrid vibration energy harvester by magnetic force: Modeling and experiment. Sens. Actuators A Phys. 2017, 257, 73–83. [Google Scholar] [CrossRef]
- Sosna, P.; Rubeš, O.; Hadaš, Z. Verification and analysis of advanced tuneable nonlinear vibration energy harvester. Mech. Syst. Signal Process. 2023, 189, 110096. [Google Scholar] [CrossRef]









| Material Parameter | Fe | Neodymium | FeGa | Al |
|---|---|---|---|---|
| E [GPa] | 200 | 70 | 60 | 70 |
| MS [MA/m] | 1.91 | N/A | 1.5 | N/A |
| λS [ppm] | N/A | N/A | 200 | N/A |
| ρ [kg/m3] | 7850 | 7520 | 7870 | 2700 |
| σ [MS/m] | 10.15 | N/A | 5.96 | N/A |
| Material Parameter | |
|---|---|
| Proof mass | 10 g |
| Coil wire | SWG 42 |
| Coil windings | 3200 |
| Coil resistance (measured) | 427 Ω |
| Coil inductance (theoretical) | 185 mH |
| Size, incl. 1 coil bobbin | 18.5 cm3 |
| Perm. magnet remanence | 1.18 T |
Disclaimer/Publisher’s Note: The statements, opinions and data contained in all publications are solely those of the individual author(s) and contributor(s) and not of MDPI and/or the editor(s). MDPI and/or the editor(s) disclaim responsibility for any injury to people or property resulting from any ideas, methods, instructions or products referred to in the content. |
© 2024 by the authors. Licensee MDPI, Basel, Switzerland. This article is an open access article distributed under the terms and conditions of the Creative Commons Attribution (CC BY) license (https://creativecommons.org/licenses/by/4.0/).
Share and Cite
Bjurström, J.; Rusu, C.; Johansson, C. Combining Magnetostriction with Variable Reluctance for Energy Harvesting at Low Frequency Vibrations. Appl. Sci. 2024, 14, 9070. https://doi.org/10.3390/app14199070
Bjurström J, Rusu C, Johansson C. Combining Magnetostriction with Variable Reluctance for Energy Harvesting at Low Frequency Vibrations. Applied Sciences. 2024; 14(19):9070. https://doi.org/10.3390/app14199070
Chicago/Turabian StyleBjurström, Johan, Cristina Rusu, and Christer Johansson. 2024. "Combining Magnetostriction with Variable Reluctance for Energy Harvesting at Low Frequency Vibrations" Applied Sciences 14, no. 19: 9070. https://doi.org/10.3390/app14199070
APA StyleBjurström, J., Rusu, C., & Johansson, C. (2024). Combining Magnetostriction with Variable Reluctance for Energy Harvesting at Low Frequency Vibrations. Applied Sciences, 14(19), 9070. https://doi.org/10.3390/app14199070

