Next Article in Journal
Predicting and Analyzing Electric Bicycle Adoption to Enhance Urban Mobility in Belgrade Using ANN Models
Previous Article in Journal
Weak Edge Target Segmentation Network Based on Dual Attention Mechanism
 
 
Font Type:
Arial Georgia Verdana
Font Size:
Aa Aa Aa
Line Spacing:
Column Width:
Background:
Article

A Quantitative Study of Axial Performance of Rockbolts with an Elastic–Debonding Model

by
Jianhang Chen
1,2,
Xiaofan Zeng
1,
Banquan Zeng
1,*,
Junming Ma
1,
Shimo Sun
1 and
Saisai Wu
3,*
1
School of Energy and Mining Engineering, China University of Mining and Technology (Beijing), Beijing 100083, China
2
Engineering Research Center of Green and Intelligent Mining for Thick Coal Seam, Ministry of Education, Beijing 100083, China
3
Shanxi Key Laboratory of Geotechnical and Underground Space Engineering, School of Resources Engineering, Xi’an University of Architecture & Technology, Xi’an 710055, China
*
Authors to whom correspondence should be addressed.
Appl. Sci. 2024, 14(19), 8966; https://doi.org/10.3390/app14198966
Submission received: 12 August 2024 / Revised: 25 September 2024 / Accepted: 1 October 2024 / Published: 5 October 2024

Abstract

Full-length anchorage rockbolts are widely used in roadway reinforcement and rock controlling in underground mining. This article proposes using an elastic–debonding (ED) model to analyse the axial performance of rockbolts. The advantage of this ED model was that the full force–deformation curve of rockbolts comprised only three phases, which was relatively simpler to calculate. Its effectiveness was compared with experiment tests. Based on the ED model, a series of parameter studies was conducted. Results showed that for cross-section area of rock, there was a critical range. Once the cross-section area of rock was beyond that critical range, external rock had a mild impact on the axial performance of rockbolts. Rockbolt diameter significantly affected the axial performance of rockbolts. When rock diameter increased, the peak force of rockbolts increased linearly, while deformation at the peak force decreased non-linearly. The corresponding calculation equation between the peak force, deformation at the peak force, and rockbolt diameter was obtained. Borehole diameter had a mild impact on the axial performance of rockbolts. Increasing rockbolt length benefits improving the peak force of rockbolts. Rockbolt modulus of elasticity had a more apparent impact on the deformation at peak force. Mechanical properties of the bolt/grout (b/g) face affected the axial performance of rockbolts. Increasing the b/g face strength improved the peak force of rockbolts. Slippage at the ultimate load had a more apparent impact on the turning point between the elastic phase and the elastic–softening phase.

1. Introduction

Stability of underground openings is a core issue in coal mining engineering [1]. A reason is that in underground coal mining, rock belongs to sedimentary rocks [2,3]. For sedimentary rocks, massive rock joints, intervals, and discontinuities exist. Therefore, rock strength in underground coal mining can be quite weak [4]. Sometimes, the roof, coal seam, and floor belong to weak rock. In this case, after underground roadways and chambers are excavated, weak rock around openings may fail easily [5].
To maintain stability and safety of underground openings, engineers prefer to install rockbolts in roadway roofs and sides (Figure 1). It is noted that other methods can also be used to maintain the stability of underground openings, such as grouting or lining. Experiment tests showed that after rockbolts were installed, the mechanical properties of rock could be improved [6]. Consequently, rockbolts have become one of the most widely used reinforcement materials in underground permanent reinforcement [7].
When rockbolts are installed in rocks, rock movement induces rockbolt elongation [8]. Along rockbolt surfaces, ribs exist (Figure 2).
These ribs improve mechanical interlock and friction between rockbolts and rocks. Therefore, once rock deforms towards the underground opening direction, the tensile capacity of rockbolts is mobilised, which can restrain further rock deformation [9]. It is admitted that being perpendicular to the axial direction of rockbolts, lateral deformation of rocks induces shear resistance of rockbolts. However, more research focuses on the axial performance of rockbolts [10]. Therefore, this article also pays attention to the axial performance of rockbolts.
To understand the axial performance of rockbolts, researchers prefer to conduct lab and field tensile tests on rockbolts [11,12,13]. Until now, diverse tensile tests have been proposed, including single encapsulation tests [14], split-pipe tests [15], and lab short encapsulation tests [16]. These tests are effective in helping researchers understand the axial performance of rockbolts in diverse rock conditions. The other benefit of conducting experiment tests is that experiment tests can relatively truly reflect the reinforcement performance of rockbolts. However, a shortcoming of conducting experiment tests is that the experiment test process requires much economic cost and labour work. These factors lead to the consequence that conducting sufficient experiment tests may not be realised. Moreover, random results may occur when conducting experiment tests. This leads to the consequence that when operators conduct experiment tests, strict experiment test procedures should be followed to guarantee high experiment quality.
To remedy shortcomings existing in experiment tests and illustrate the reinforcement mechanism of rockbolts, researchers proposed diverse analytical equations. The linear elastic equation should be the simplest [17]. However, the shortcoming is obvious. When the linear elastic equation is used, the axial performance of rockbolts can only be correctly reflected when rockbolts are bonded with rock [18]. Once debonding between rockbolts and rocks occurs, the linear elastic equation is not valid.
To simulate the post-failure performance of rockbolts, the elastic perfectly-plastic equation was proposed [19]. An advantage of this equation is that the debonding process of the bolt/grout (b/g) face is involved. However, the shortcoming is that after the b/g face debonds, shear force at the b/g face remains constant. It cannot truly reflect the relative movement for the b/g face.
To overcome this shortcoming, Benmokrane et al. [20] proposed a classic tri-linear equation. This tri-linear equation also considers the debonding behaviour of the b/g face [21]. Specifically, after the b/g face debonds, shear force at the b/g face decreases linearly with shear deformation. When the shear force at the b/g face decreases to residual strength, the shear force at the b/g face remains constant. Previous research indicated that after this tri-linear equation was induced, the non-linear axial performance of rockbolts can be successfully simulated [22]. However, for this tri-linear equation, a shortcoming is that the calculation process is quite complicated. A reason is that when the tri-linear equation is merged into the bolting system, the b/g face will encounter the elastic–softening–debonding phase [23]. In this phase, the full b/g face comprises three segments: the elastic segment, the softening segment, and the debonding segment. Therefore, in this phase, for the b/g face length, at least two variables, including the softening segment length and the debonding segment length, vary simultaneously. This makes the calculation process pretty complicated.
To simulate the axial performance of rockbolts more conveniently, the authors recently proposed an elastic–debonding (ED) model [24]. The novelty of using this ED model is that the relative movement of the b/g face is depicted with two equations. One is the linear increasing equation. The other one is a constant-value equation. Based on the ED model, the loading process of rockbolts only comprises three phases: the elastic phase, the ED phase, and the debonding phase. Compared with the traditional tri-linear model, the difference of the ED model is that it removed the softening behaviour of the b/g face. Therefore, an advantage of the ED model is that the calculation process is much simpler. And it is more convenient to use this ED model to predict the axial performance of rockbolts.
Although this ED model can depict the axial performance of rockbolts, the sensitivity of this ED model was not clear. Moreover, little research has been conducted to quantitatively study the axial performance of rockbolts based on this ED model. Therefore, this article continued previous research work and conducted a quantitative study on the axial performance of rockbolts. First, the basic calculation process of this ED model was explained. Then, the validation process of this ED model was elaborated. After that, a quantitative study was conducted based on this ED model to reveal the axial performance of rockbolts. This research provided an analytical approach for researchers to further understand the axial performance of rockbolts.

2. Calculation Process of the ED Model

The ED model assumes that after rockbolts are loaded along the axial direction, an ED model can be used to depict the relative movement of the b/g face. After this ED model is merged into the bolting system, the axial performance of rockbolts comprises three phases: the elastic phase, the ED phase, and the debonding phase.
In the elastic phase, the tensile capacity and deformation of rockbolts can be calculated as follows:
F b = π D b τ 1 λ s tanh λ L u b
where Fb: tensile force of rockbolts; Db: rockbolt diameter; τ1: shear strength; λ: a coefficient; s: slippage at the ultimate load; L: installed length; and ub: tensile deformation of bolts.
In the ED phase, the tensile capacity and deformation of rockbolts can be calculated as follows:
u b = 1 E b + A b E r A r 2 τ 2 L D b + 4 τ 1 λ D b tanh λ L e 2 τ 2 L e D b L L e + s
F b = π D b τ 2 L L e + π D b τ 1 tanh λ L e / λ
where Eb: rockbolt modulus of elasticity; Er: rock modulus of elasticity; Ab and Ar: cross-section area of rockbolts and rock, respectively; τ2: residual strength; and Le: elastic section length.
Attention is paid to the fact that based on Equations (2) and (3), the tensile force and deformation of rockbolts mobilised with the elastic section length. Moreover, for the ED phase, there was a non-linear relationship between tensile force and deformation of rockbolts.
In the debonding phase, the tensile force and deformation of rockbolts can be calculated as follows:
F b = π D b τ 2 L + 1 E b + A b E r A r 2 τ 2 D b L 2 + s u b
Based on Equations (1)–(4), the entire force–deformation curve can be plotted.

3. Experimental Confirmation of the Modelling Method

Credibility of this modelling method was confirmed with experimental tests. Specifically, Zhu [25] tested the axial performance of rockbolts with a diameter of 28 mm. The rockbolt was installed in the borehole with an installed length of 6.5 m. The mortar with a type of M30 was used to bond rockbolts with surrounding rock mass. Load cells and displacement transducers were installed to monitor the tensile force and deformation. Then, the monitored tensile force and deformation were used to reflect the axial performance of rockbolts.
To simulate this loading process, the analytical modelling method was used. For the b/g face, the strength, the slippage at the ultimate load, and the residual strength were 1.65 MPa, 2.8 mm, and 0.3 MPa. There was an agreement between the experimental data and modelling results, which can be referred to Figure 11 in Chen et al. [24]. The analytical modelling method was robust in depicting the axial performance of rockbolts.

4. Parameter Study and Discussion

After the ED model was successfully validated, a quantitative parameter study was conducted to analyse the axial performance of rockbolts. The following tensile test scenario was created. A rockbolt with a diameter of 16 mm was installed in a borehole whose diameter was 22 mm. The rock diameter was 1 m. The installed length was 2 m. Bolts had a modulus of elasticity of 220 GPa, and rock had a modulus of elasticity of 30 GPa. For the b/g face, the bond coefficient was 0.1 m/GPa. The shear strength, slippage at the ultimate load, and residual strength were 3 MPa, 1 mm, and 2 MPa. These parameters are tabulated in Table 1 and Table 2. Attention is paid that in this section, the parameters were not set based on a specific experimental test scenario.

4.1. Rock Diameter

The impact of rock diameter on the axial performance of rockbolts was analysed. A highlight of this ED model was that it incorporated rocks. In fact, the cross-section area of rocks was an input parameter. For the lab test scenario, the cross-section area of rocks can be obtained by measuring. However, for the field test scenario, it was almost impossible to directly measure the cross-section area of rocks. Then, Equation (5) was used to calculate the cross-section area of rocks.
A r = π D r 2 π D h 2 4
where Dr: rock diameter and Dh: borehole diameter.
Substituting Equation (5) into the ED model, the axial performance of rockbolts can be calculated. Previous research indicated that for rockbolts, when the rock diameter was beyond the critical rock diameter, external rocks had a mild impact on the axial performance of rockbolts [26]. Therefore, it is necessary to first determine how the rock diameter affected the axial performance of rockbolts.
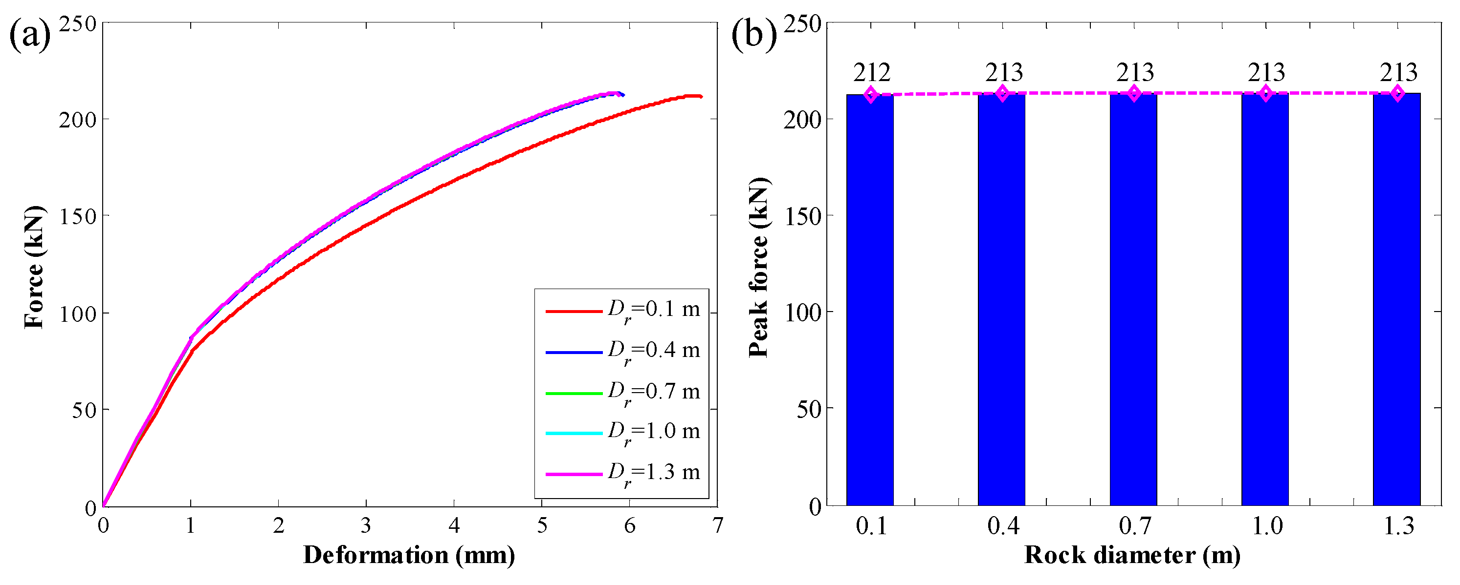
Five rock diameters were used, varying from 0.1 m to 1.3 m. When the rock diameter varied, the corresponding axial performance of rockbolts is shown in Figure 3. Apparently, the rock diameter had an impact on the axial performance of rockbolts. This was more apparent when the rock diameter increased from 0.1 m to 0.4 m. It is also noted that when the rock diameter was beyond 0.4 m, the axial performance of rockbolts became almost stable. This was the reason why in Figure 3a, the force–deformation curves were overlapped when the rock diameter was beyond 0.4 m.
When the rock diameter increased from 0.1 m to 0.4 m, the deformation at the peak force decreased from 6.77 mm to 5.88 mm, decreasing by 13.1% (Figure 4). It is also noted that when the rock diameter increased to over 0.4 m, the peak force of rockbolts was likely to level off. When the rock diameter increased from 0.4 m to 1.3 m, the peak force of rockbolts was around 213 kN. Moreover, when the rock diameter increased from 0.4 m to 1 m, the deformation at the peak force decreased from 5.88 mm to 5.83 mm, which showed a mild decreasing trend. Once the rock diameter was beyond 1 m, the deformation at the peak force remained at 5.83 mm.
The above analysis showed that rock diameter can affect the axial performance of rockbolts. However, once the rock diameter was beyond 1 m, it had a mild impact on the axial performance of rockbolts. This was reflected in the peak force and the deformation at the peak force. Moreover, when the rock diameter was beyond 1 m, the force–deformation curve was almost unchangeable. Based on this analysis, in the following contents, the critical rock diameter was set to 1 m.
Rajaie [26] also studied the impact of the rock diameter on the axial performance of cable bolts. They found that for cable bolts with a diameter of 15.2 mm, the critical rock diameter was 250 mm. There was a significant difference between the critical rock diameter obtained in this article and the critical rock diameter obtained by Rajaie [26]. The reasons were inferred as follows: Rajaie [26] conducted lab experiment tests, and the installed length of cable bolts was only 200 mm, which was quite short. However, in this article, tensile tests were more consistent with field tests. In this article, the installed length of rockbolts was 2 m. Therefore, the installed length of rock anchors was diverse. The longer the installed length, the higher the tensile capacity of the bolting system. Higher tensile capacity of the bolting system led to the consequence that more cross-section area of rocks would be influenced by rockbolts. The second reason was that Rajaie [26] tested bolts with relatively smaller diameters. In tests conducted by Rajaie [26], cable bolts only had a small diameter of 15.2 mm. However, in this article, the tested rockbolt had a large diameter of 16 mm, which was larger compared with cable bolts tested by Rajaie [26].

4.2. Rockbolt Diameter

Rockbolt diameter directly affected the axial performance of rockbolts. The technical specifications for Chinese coal mines recommend that for field application, the rockbolt diameter should be ranged between 16 mm and 25 mm [27]. Then, this article tested five rockbolt diameters ranging from 16 mm to 25 mm. The purpose is to analyse the impact of rockbolt diameter on the axial performance of rockbolts.
Figure 5 shows the axial performance of rockbolts when the rockbolt diameter varied. The force–deformation curves of rockbolts significantly changed when the rockbolt diameter varied. When the rockbolt diameter varied from 16 mm to 25 mm, the peak force of rockbolts increased from 213 kN to 337 kN.
Linear regression was conducted to analyse the relationship between the peak force of rockbolts and the rockbolt diameter. Apparently, there was a linear relationship between the peak force and the rockbolt diameter, as shown with Equation (6). The linearly dependent coefficient was 1. This confirmed that there was a strong linear relationship between the peak force of rockbolts and the rockbolt diameter.
F b p = 13.8 D b 7.7
where Fbp: predicted peak force of rockbolts.
This finding can also be validated with previous experimental results [28]. Kilik et al. [28] tested rockbolts with the diameter varying from 10 mm to 18 mm. They found that the peak force of rockbolts increased linearly with the rockbolt diameter. This further validated the credibility of this analytical study.
By contrast, rockbolt diameter had an adverse impact on the deformation at the peak force. Figure 6 shows that when the rockbolt diameter increased from 16 mm to 25 mm, deformation at the peak force decreased from 5.83 mm to 4.09 mm.
Moreover, there was an apparent non-linear relationship between deformation at the peak force and rockbolt diameter. It can be calculated with Equation (7).
u b p = 52.6 D b 0.79
where ubp: predicted deformation at the peak force.

4.3. Borehole Diameter

Boreholes are used to fill rockbolts and grouting material. For full-length anchorage rockbolts, borehole diameter is normally larger than rockbolt diameter [29]. According to technical specifications, the difference between borehole diameter and rockbolt diameter is normally 6–10 mm [27].
To analyse how borehole diameter affected the axial performance of rockbolts, this article selected five borehole diameters: 22 mm, 23 mm, 24 mm, 25 mm, and 26 mm. Figure 7 plotted the axial performance of rockbolts. Apparently, borehole diameter had no impact on the axial performance of rockbolts. Although the borehole diameter was different, the force–deformation curves were almost identical. For the peak force of rockbolts, they were almost unchangeable, remaining at 213 kN. As for the deformation at peak force, they were almost equivalent, which was around 5.83 mm.
Mosse-Robinson and Sharrock [30] tested four borehole diameters ranging from 42 mm to 106 mm. The tested cable bolt had a small diameter of 15.2 mm. The purpose was to study the impact of large borehole diameter on the axial performance of cable bolts. They found that the impact of borehole diameter on the peak force of cable bolts was insignificant. This was agreed by Li [15]. Specifically, Li [15] found that in his test scenario, when the thin grout annulus and thick grout annulus were used, cable bolts reached the same peak force of 151 kN. Therefore, for the borehole diameter impact, this study found consistent results compared with previous experiment results. This further confirmed the accuracy of these analytical modelling results.

4.4. Rockbolt Length

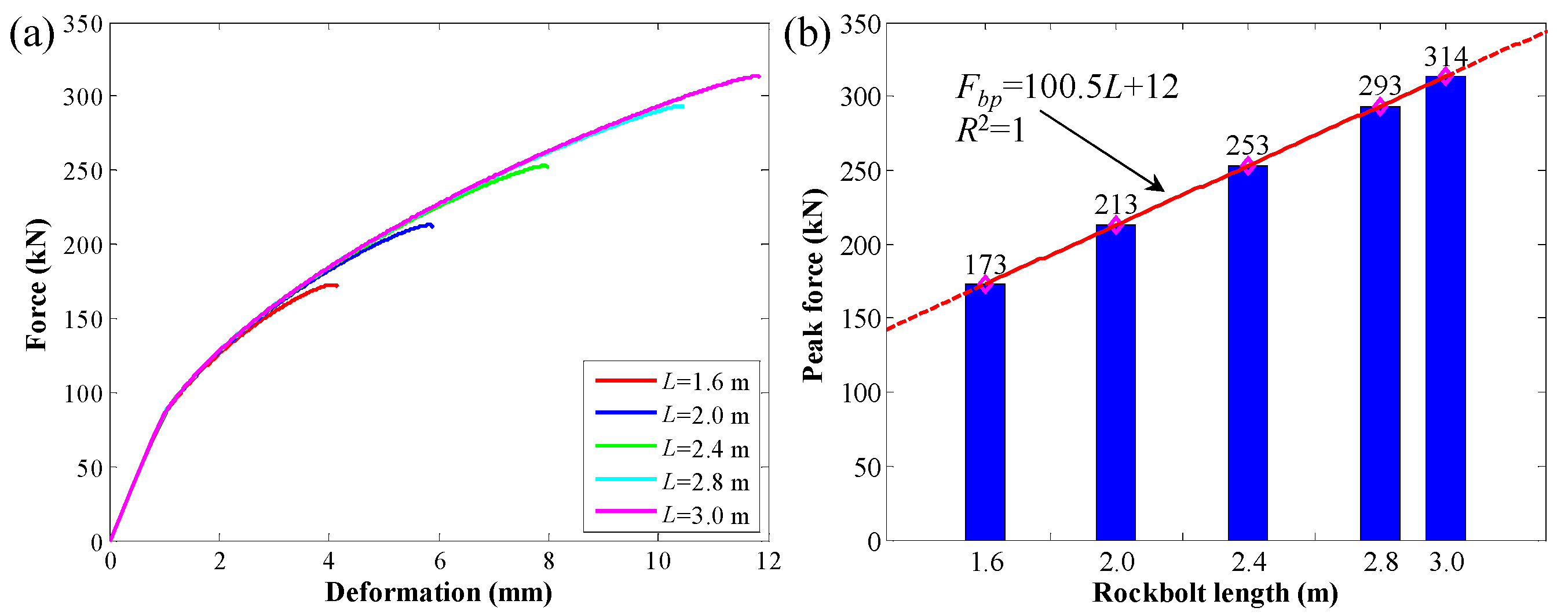
Rockbolt length directly affected the axial performance of rockbolts. Within a certain range, the bearing capacity of rockbolts can be improved by increasing rockbolt length. However, the rockbolt length should be restricted to a critical range to meet economic requirements.
To analyse the impact of rockbolt length on the axial performance of rockbolts, this article used five lengths, ranging from 1.6 m to 3 m. This article focused on full-length anchorage rockbolts. Therefore, the rockbolt length equalled the grout length.
When the rockbolt length increased from 1.6 m to 3 m, the axial performance of rockbolts increased dramatically (Figure 8). When the rockbolt length was 1.6 m, the peak force of rockbolts was only 173 kN. When the rockbolt length increased to 3 m, the peak force of rockbolts increased to 314 kN, increasing by 81.5%. Therefore, increasing the rockbolt length can significantly benefit the axial performance of rockbolts.
Moreover, there was a strong linear relationship between the rockbolt length and the peak force, which can be calculated with Equation (8). The linearly dependent coefficient was 1.
F b p = 100.5 L + 12
where L: rockbolt length.
Kilik et al. [28] conducted experimental tests on rockbolts and found that when the rockbolt length varied from 150 mm to 320 mm, the peak force of rockbolts increased linearly with the rockbolt length. The linearly dependent coefficient was 0.9936. Therefore, there was a satisfactory correlation between the results obtained by Kilik et al. [28] and this article. This confirmed the accuracy of this article. However, in the experiment study, the rockbolt length was limited to 320 mm, which was commonly used in the lab test scenario. In this article, the rockbolt length was extended to 3 m, which was more consistent with the rockbolt length used in the field application scenario. Therefore, this article extended previous experiment research.
When the rockbolt length increased, deformation at the peak force also increased significantly (Figure 9). When the rockbolt length was 1.6 m, the deformation at the peak force was just 4.1 mm. When the rockbolt length increased to 3 m, the deformation at the peak force increased to 11.8 mm, increasing by 187.8%.
Moreover, there was an apparent non-linear relationship between the rockbolt length and the deformation at the peak force. The corresponding equation is shown below.
u b p = 1.83 L 1.69

4.5. Rockbolt Modulus of Elasticity

In underground mining engineering, two types of rockbolts are widely used. One is steel rockbolts, which have a modulus of elasticity around 220 GPa [1]. The other one is fibre-reinforced polymer (FRP) rockbolts, which have a modulus of elasticity around 50 GPa [31]. FRB rockbolts have better flexibility. Therefore, FRB rockbolts can be used to reinforce coal ribs in the working face. Moreover, FRB rockbolts can be used to reinforce roadway sides along the working face side.
To analyse the impact of rockbolt modulus of elasticity on the axial performance of rockbolts, this article used five rockbolt moduli of elasticity: 50 GPa, 90 GPa, 130 GPa, 170 GPa, and 220 GPa. Figure 10 compares the tensile performance of rockbolts.
Apparently, the rockbolt modulus of elasticity significantly influenced the axial performance of rockbolts. With the rockbolt modulus of elasticity increasing, the peak force of rockbolts increased slightly. The increasing law of peak force followed Equation (10).
F b p = 0.036 E b + 205.5
The impact of rockbolt modulus of elasticity on the axial performance of rockbolts is more reflected by deformation at the peak force. Figure 11 shows that when the rockbolt modulus of elasticity was 50 GPa, the deformation at the peak force was 21.9 mm. When the rockbolt modulus of elasticity increased to 220 GPa, the deformation at the peak force non-linearly decreased to 5.8 mm.
For the deformation at the peak force, the decreasing trend can be calculated with Equation (11).
u b p = 731.5 E b 0.899
Bai et al. [32] compared the axial performance of rockbolts with two moduli of elasticity. One was glass FRP rockbolts, which had a modulus of elasticity of 51 GPa. The other one was steel rockbolts, which had a modulus of elasticity of 200 GPa. They found that when glass FRP rockbolts were used, the force–deformation curve was apparently composed of two phases: the elastic phase and the elastic–plastic phase. Moreover, the turning point between the elastic phase and the elastic–plastic phase was quite apparent. However, when steel rockbolts were used, the turning point between the elastic phase and the elastic–plastic phase was not apparent. For this article, this difference was not considered. For rockbolts with different moduli of elasticity, the full force–deformation curve was consistently composed of three phases. And the turning point between the elastic phase and the ED phase was apparent. This was different from the experiment results obtained by Bai et al. [32]. Further work should be continued to modify the current ED model to indicate the mechanical difference between FRB rockbolts and steel rockbolts.

4.6. Shear Strength

Mechanical properties of the b/g face directly affect the axial performance of rockbolts. Among them, the b/g face strength is an important input parameter. The b/g face strength is closely related to the geometry of rockbolts. When threaded rockbolts were used, the b/g face strength could be improved to 5 MPa.
To analyse the impact of the b/g face strength on the axial performance of rockbolts, this article selected five b/g face strengths. The minimum strength was 3 MPa, and the maximum strength was 5 MPa. The axial performance of rockbolts is shown in Figure 12. The b/g face strength had an apparent impact on the axial performance of rockbolts. When the b/g face strength was 3 MPa, the peak force of rockbolts was 213 kN. When the b/g face strength increased to 5 MPa, the peak force of rockbolts increased to 243 kN. Therefore, increasing the strength of the b/g face benefited improving the tensile performance of rockbolts.
Moreover, a linear relationship existed between the peak force of rockbolts and the b/g face strength. The corresponding calculation equation is shown below.
F b p = 15 τ 1 + 167.8
When the b/g face strength increased, the softening force also increased. This led to the result that when the b/g face strength increased, the full force–deformation curve became higher.

4.7. Slippage at the Ultimate Load

To analyse the impact of the slippage at the ultimate load on the axial performance of rockbolts, this article used the following values: 1 mm, 1.5 mm, 2 mm, 2.5 mm, and 3 mm. When the slippage at the ultimate load varied, the tensile performance of rockbolts is shown in Figure 13. Apparently, the slippage at the ultimate load had a more apparent impact on the axial performance of rockbolts in the elastic phase. When the slippage at the ultimate load was 0.5 mm, the peak force of rockbolts was 64 kN. When the slippage at the ultimate load increased to 2.5 mm, the peak force of rockbolts increased to 129 kN, increasing by 101.6%. As for the peak force, it also increased. However, the increasing trend of the peak force was not significant. In this scenario, when the slippage at the ultimate load increased from 0.5 mm to 2.5 mm, the peak force of rockbolts increased from 210 kN to 219 kN, increasing by only 4.3%.
There was also a strong linear relationship between the peak force of rockbolts and the slippage at the ultimate load. The corresponding equation is shown below. The linearly dependent coefficient was 0.9995. This confirmed that the obtained equation was sufficient in calculating the peak force of rockbolts.
F b p = 4.4 s + 208
Kilik et al. [28] experimentally studied the relationship between the grout shear strength and the b/g face strength. They found that with increasing the grout shear strength, the b/g face strength increased non-linearly. However, how the b/g face strength affected the axial performance of rockbolts was not studied. This article continued on this topic and analysed the impact of the b/g face strength on the axial performance of rockbolts. Therefore, this article remedied a previous experiment study.

5. Conclusions

This article proposes using an ED model to depict the relative movement of the b/g face. The full force–deformation curve of rockbolts was divided into three phases: the elastic phase, the elastic–softening phase, and the debonding phase. The credibility of this analytical modelling process was validated with experiment results. Based on the ED model, a series of parameter studies was conducted. The following conclusions were obtained:
(1) The cross-section area of rocks had an impact on the axial performance of rockbolts. With the cross-section area of rocks increasing, the peak capacity of rockbolts increased. However, for the cross-section area of rocks, there was a critical range. Once the cross-section area of rocks was beyond that critical range, external rocks had a mild impact on the axial performance of rockbolts. For the test scenario used in this article, the critical diameter was 1 m.
(2) Rockbolt diameter and borehole diameter are two diameter parameters commonly used in the bolting system. The rockbolt diameter had a significant impact on the axial performance of rockbolts. A linear relationship existed between the rockbolt diameter and the peak force of rockbolts. By contrast, a non-linear relationship existed between the rockbolt diameter and the deformation at the peak force. The equations between the peak force of rockbolts, the deformation at the peak force, and the rockbolt diameter were obtained. Borehole diameter had a mild impact on the axial performance of rockbolts.
(3) With the rockbolt length increasing, the peak force of rockbolts increased linearly. As for the deformation at the peak force, it increased non-linearly. The rockbolt modulus of elasticity had a more apparent impact on the deformation at the peak force. When the rockbolt modulus of elasticity increased, the deformation at the peak force decreased non-linearly. As for the peak force of rockbolts, it increased gently.
(4) Mechanical properties of the b/g face affected the axial performance of rockbolts. When the b/g face strength increased, the peak force of rockbolts increased linearly. Moreover, the overall force–deformation curve became higher. The slippage at the ultimate load had a more apparent impact on the turning point between the elastic phase and the ED phase. When the slippage at the ultimate load increased in the force–deformation curve, the turning point between the elastic phase and the ED phase became further.

Author Contributions

Conceptualisation: B.Z. and S.W.; writing: J.C., X.Z., J.M. and S.S. All authors have read and agreed to the published version of the manuscript.

Funding

This study is funded by the National Natural Science Foundation of China (52174093 and 52034009) and the Fundamental Research Funds for the Central Universities (2024ZKPYNY01, 2023ZKPYNY03, and 2023YQTD02).

Institutional Review Board Statement

Not applicable.

Informed Consent Statement

Not applicable.

Data Availability Statement

All data are contained within this article.

Conflicts of Interest

The authors declare no conflicts of interest.

References

  1. Xie, S.; Wang, E.; Chen, D.; Li, H.; Jiang, Z.; Yang, H. Stability analysis and control technology of gob-side entry retaining with double roadways by filling with high-water material in gently inclined coal seam. Int. J. Coal Sci. Technol. 2022, 9, 52. [Google Scholar] [CrossRef]
  2. Chen, J.; Zeng, B.; Hu, S.; Xu, W.; Wang, S.; Liu, Z. Mechanical behaviour and instability mechanism of sandstones with impact tendency under different loading paths. Int. J. Min. Reclam. Environ. 2024, 38, 1–20. [Google Scholar] [CrossRef]
  3. Song, Z.; Zhang, J.; Zhang, Y.; Dong, X.; Wang, S. Characterization and evaluation of brittleness of deep bedded sandstone from the perspective of the whole life-cycle evolution process. Int. J. Min. Sci. Technol. 2023, 33, 481–502. [Google Scholar] [CrossRef]
  4. Song, Z.; Zhang, J.; Wang, S.; Dong, X.; Zhang, Y. Energy evolution characteristics and weak structure-“energy flow” impact damaged mechanism of deep-bedded sandstone. Rock Mech. Rock Eng. 2023, 56, 2017–2047. [Google Scholar] [CrossRef]
  5. Xie, S.; Wu, Y.; Chen, D.; Liu, R.; Han, X.; Ye, Q. Failure analysis and control technology of intersections of large-scale variable cross-section roadways in deep soft rock. Int. J. Coal Sci. Technol. 2022, 9, 19. [Google Scholar] [CrossRef]
  6. Ren, S.; Tao, Z.; He, M.; Li, M.; Sui, Q. Numerical simulation study on shear resistance of anchorage joints considering tensile–shear fracture criterion of 2G-NPR bolt. Int. J. Coal Sci. Technol. 2023, 10, 58. [Google Scholar] [CrossRef]
  7. Chen, J.; Zhang, W.; Ma, J.; Zeng, B.; Huang, Y. An analytical approach to study the reinforcement performance of rock anchors. Eng. Fail. Anal. 2024, 160, 1–20. [Google Scholar] [CrossRef]
  8. Wang, J.; Apel, D.B.; Xu, H.; Wei, C. Evaluation of the performance of yielding rockbolts during rockbursts using numerical modeling method. Int. J. Coal Sci. Technol. 2022, 9, 87. [Google Scholar] [CrossRef]
  9. Staniek, A. Technical problems and non destructive testing of rock bolt support systems in mines. Int. J. Coal Sci. Technol. 2023, 10, 6. [Google Scholar] [CrossRef]
  10. Wu, S.; Ma, X.; Zhang, X.; Chen, J.; Yao, Y.; Li, D. Investigation into hydrogen induced fracture of cable bolts under deep stress corrosion coupling conditions. Tunn. Undergr. Space Technol. 2024, 147, 105729. [Google Scholar] [CrossRef]
  11. Skrzypkowski, K.; Korzeniowski, W.; Zagórski, K.; Zagórska, A. Modified rock bolt support for mining method with controlled roof bending. Energies 2020, 13, 1868. [Google Scholar] [CrossRef]
  12. Forbes, B.; Vlachopoulos, N.; Diederichs, M.S.; Aubertin, J. Augmenting the in-situ rock bolt pull test with distributed optical fiber strain sensing. Int. J. Rock Mech. Min. Sci. 2020, 126, 104202. [Google Scholar] [CrossRef]
  13. Wu, S.; Hao, W.; Yao, Y.; Li, D. Investigation into durability degradation and fracture of cable bolts through laboratorial tests and hydrogeochemical modelling in underground conditions. Tunn. Undergr. Space Technol. 2023, 138, 105198. [Google Scholar] [CrossRef]
  14. Wang, S.; Xiao, H.G.; Zou, Z.S.; Cao, C.; Wang, Y.H.; Wang, Z.L. Mechanical performances of transverse rib bar during pull-out test. Int. J. Appl. Mech. 2019, 11, 1–15. [Google Scholar] [CrossRef]
  15. Li, X. Load transfer characteristics of a cable bolt in DEPT. Shock. Vib. 2019, 2019, 2106741. [Google Scholar] [CrossRef]
  16. Blanco Martín, L.; Tijani, M.; Hadj-Hassen, F.; Noiret, A. Assessment of the bolt-grout interface behaviour of fully grouted rockbolts from laboratory experiments under axial loads. Int. J. Rock Mech. Min. Sci. 2013, 63, 50–61. [Google Scholar] [CrossRef]
  17. Hyett, A.J.; Moosavi, M.; Bawden, W.F. Load distribution along fully grouted bolts, with emphasis on cable bolt reinforcement. Int. J. Numer. Anal. Methods Geomech. 1996, 20, 517–544. [Google Scholar] [CrossRef]
  18. Jalalifar, H. An analytical solution to predict axial load along fully grouted bolts in an elasto-plastic rock mass. J. S. Afr. Inst. Min. Metall. 2011, 111, 809–814. [Google Scholar]
  19. Ruest, M.; Martin, A. FLAC Simulation of Split-Pipe Tests on an Instrumented Cable Bolt; Itasca Consulting Group: Minneapolis, Minnesota, 2002; pp. 1–9. [Google Scholar]
  20. Benmokrane, B.; Chennouf, A.; Mitri, H.S. Laboratory evaluation of cement-based grouts and grouted rock anchors. Int. J. Rock Mech. Min. Sci. 1995, 32, 633–642. [Google Scholar] [CrossRef]
  21. Blanco Martín, L.; Tijani, M.; Hadj-Hassen, F. A new analytical solution to the mechanical behaviour of fully grouted rockbolts subjected to pull-out tests. Constr. Build. Mater. 2010, 25, 749–755. [Google Scholar] [CrossRef]
  22. Ren, F.; Yang, Z.J.; Chen, J.F.; Chen, W.W. An analytical analysis of the full-range behaviour of grouted rockbolts based on a tri-linear bond-slip model. Constr. Build. Mater. 2010, 24, 361–370. [Google Scholar] [CrossRef]
  23. Ma, S.; Zhao, Z.; Nie, W.; Zhu, X. An analytical model for fully grouted rockbolts with consideration of the pre- and post-yielding behaviour. Rock. Mech. Rock Eng. 2017, 50, 3019–3028. [Google Scholar] [CrossRef]
  24. Chen, J.; Liu, L.; Zeng, B.; Tao, K.; Zhang, C.; Zhao, H.; Li, D.; Zhang, J. A constitutive model to reveal the anchorage mechanism of fully bonded bolts. Rock. Mech. Rock Eng. 2023, 56, 1739–1757. [Google Scholar] [CrossRef]
  25. Zhu, L. Experimental Study on Bearing Performance and Deformation Behaviour for GFRP Anti-floating Anchor. Master’s Thesis, Qingdao University of Technology, Qingdao, China, 2016. [Google Scholar]
  26. Rajaie, H. (McGill University, Montreal, QC, Canada). Experimental and numerical investigations of cable bolt support systems. Unpublished work. 1990. [Google Scholar]
  27. GB/T 35056-2018; Technical Specifications for Rock Bolting in Coal Mine Roadways. Standardization Administration: Beijing, China, 2018. (In Chinese)
  28. Kilik, A.; Yasar, E.; Celik, A.G. Effect of grout properties on the pull-out load capacity of fully grouted rock bolt. Tunn. Undergr. Space Technol. 2002, 17, 355–362. [Google Scholar] [CrossRef]
  29. Yu, S.; Zhu, W.; Niu, L. Experimental and numerical evaluation on debonding of fully grouted rockbolt under pull-out loading. Int. J. Coal Sci. Technol. 2022, 9, 1–8. [Google Scholar] [CrossRef]
  30. Mosse-Robinson, S.; Sharrock, G. Laboratory experiments to quantify the pull-out strength of single strand cable bolts for large boreholes. In Proceedings of the Second Australasian Ground Control in Mining Conference 2010, Sydney, Australia, 23–24 November 2010; pp. 201–209. [Google Scholar]
  31. Wang, W.; Song, Q.; Xu, C.; Gong, H. Mechanical behaviour of fully grouted GFRP rock bolts under the joint action of pre-tension load and blast dynamic load. Tunn. Undergr. Space Technol. 2018, 73, 82–91. [Google Scholar] [CrossRef]
  32. Bai, X.; Zhang, M.; Yan, N. Field contrast test and mechanism analysis on anchorage performance of anti-floating anchors with two different materials. China Civil. Eng. J. 2015, 48, 38–46. [Google Scholar] [CrossRef]
Figure 1. Roadway reinforcement: (a) bolting in roofs and (b) bolting in roadway sides.
Figure 1. Roadway reinforcement: (a) bolting in roofs and (b) bolting in roadway sides.
Applsci 14 08966 g001
Figure 2. Steel ribs along the rockbolt surface.
Figure 2. Steel ribs along the rockbolt surface.
Applsci 14 08966 g002
Figure 3. Axial performance of rockbolts when the rock diameter varied: (a) force-deformation curves; (b) peak force variation trend.
Figure 3. Axial performance of rockbolts when the rock diameter varied: (a) force-deformation curves; (b) peak force variation trend.
Applsci 14 08966 g003
Figure 4. Deformation at the peak force when the rock diameter varied.
Figure 4. Deformation at the peak force when the rock diameter varied.
Applsci 14 08966 g004
Figure 5. Axial performance of rockbolts when the rockbolt diameter varied: (a) force-deformation curves; (b) peak force variation trend.
Figure 5. Axial performance of rockbolts when the rockbolt diameter varied: (a) force-deformation curves; (b) peak force variation trend.
Applsci 14 08966 g005
Figure 6. Deformation at the peak force when the rockbolt diameter varied.
Figure 6. Deformation at the peak force when the rockbolt diameter varied.
Applsci 14 08966 g006
Figure 7. Axial performance of rockbolts when the borehole diameter varied: (a) force-deformation curves; (b) peak force variation trend.
Figure 7. Axial performance of rockbolts when the borehole diameter varied: (a) force-deformation curves; (b) peak force variation trend.
Applsci 14 08966 g007
Figure 8. Axial performance of rockbolts when the rockbolt length varied: (a) force-deformation curves; (b) peak force variation trend.
Figure 8. Axial performance of rockbolts when the rockbolt length varied: (a) force-deformation curves; (b) peak force variation trend.
Applsci 14 08966 g008
Figure 9. Deformation at the peak force when the rockbolt length varied.
Figure 9. Deformation at the peak force when the rockbolt length varied.
Applsci 14 08966 g009
Figure 10. Axial performance of rockbolts when the rockbolt modulus of elasticity varied: (a) force-deformation curves; (b) peak force variation trend.
Figure 10. Axial performance of rockbolts when the rockbolt modulus of elasticity varied: (a) force-deformation curves; (b) peak force variation trend.
Applsci 14 08966 g010
Figure 11. Deformation at the peak force when the rockbolt modulus of elasticity varied.
Figure 11. Deformation at the peak force when the rockbolt modulus of elasticity varied.
Applsci 14 08966 g011
Figure 12. Axial performance of rockbolts when the b/g face strength varied: (a) force-deformation curves; (b) peak force variation trend.
Figure 12. Axial performance of rockbolts when the b/g face strength varied: (a) force-deformation curves; (b) peak force variation trend.
Applsci 14 08966 g012
Figure 13. Axial performance of rockbolts when the slippage at the ultimate load varied: (a) force-deformation curves; (b) peak force variation trend.
Figure 13. Axial performance of rockbolts when the slippage at the ultimate load varied: (a) force-deformation curves; (b) peak force variation trend.
Applsci 14 08966 g013
Table 1. Input parameters for the tensile test scenario.
Table 1. Input parameters for the tensile test scenario.
Bolt diameter (mm)16
Borehole diameter (mm)22
Rock diameter (m)1
Installed length (m)2
Rockbolt modulus of elasticity (GPa)220
Rock modulus of elasticity (GPa)30
Table 2. Input parameters for the b/g face.
Table 2. Input parameters for the b/g face.
Bond coefficient (m/GPa)0.1
Shear strength (MPa)3
Slippage at the ultimate load (mm)1
Residual shear strength (MPa)2
Disclaimer/Publisher’s Note: The statements, opinions and data contained in all publications are solely those of the individual author(s) and contributor(s) and not of MDPI and/or the editor(s). MDPI and/or the editor(s) disclaim responsibility for any injury to people or property resulting from any ideas, methods, instructions or products referred to in the content.

Share and Cite

MDPI and ACS Style

Chen, J.; Zeng, X.; Zeng, B.; Ma, J.; Sun, S.; Wu, S. A Quantitative Study of Axial Performance of Rockbolts with an Elastic–Debonding Model. Appl. Sci. 2024, 14, 8966. https://doi.org/10.3390/app14198966

AMA Style

Chen J, Zeng X, Zeng B, Ma J, Sun S, Wu S. A Quantitative Study of Axial Performance of Rockbolts with an Elastic–Debonding Model. Applied Sciences. 2024; 14(19):8966. https://doi.org/10.3390/app14198966

Chicago/Turabian Style

Chen, Jianhang, Xiaofan Zeng, Banquan Zeng, Junming Ma, Shimo Sun, and Saisai Wu. 2024. "A Quantitative Study of Axial Performance of Rockbolts with an Elastic–Debonding Model" Applied Sciences 14, no. 19: 8966. https://doi.org/10.3390/app14198966

APA Style

Chen, J., Zeng, X., Zeng, B., Ma, J., Sun, S., & Wu, S. (2024). A Quantitative Study of Axial Performance of Rockbolts with an Elastic–Debonding Model. Applied Sciences, 14(19), 8966. https://doi.org/10.3390/app14198966

Note that from the first issue of 2016, this journal uses article numbers instead of page numbers. See further details here.

Article Metrics

Back to TopTop