Sintering Aids Strategies for Improving LSGM and LSF Materials for Symmetrical Solid Oxide Fuel Cell
Abstract
Featured Application
Abstract
1. Introduction
2. Materials and Methods
3. Results
3.1. XRD Certification
3.2. Electrolyte Performance
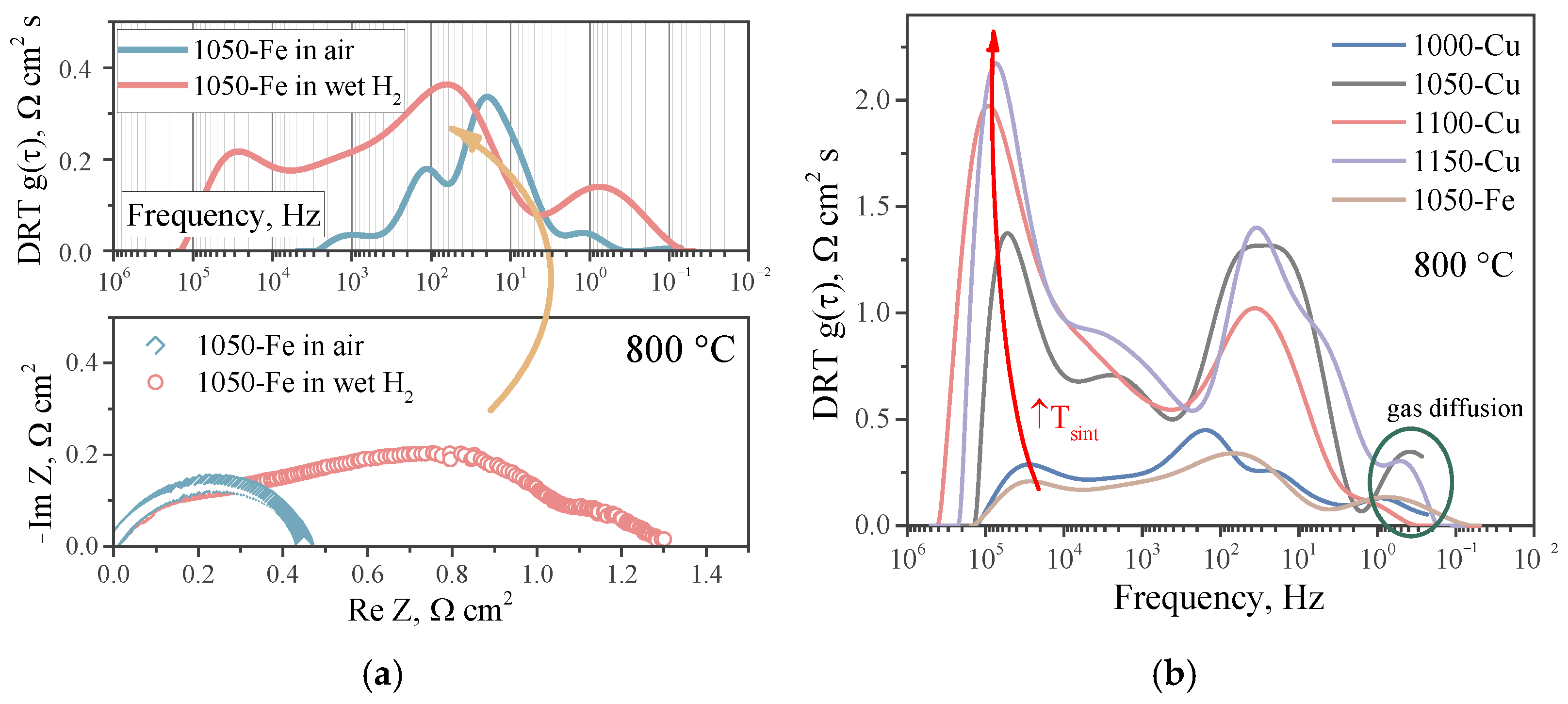
3.3. Electrochemical Performance of the Electrodes
4. Conclusions
Author Contributions
Funding
Institutional Review Board Statement
Data Availability Statement
Acknowledgments
Conflicts of Interest
References
- Talukdar, A.; Chakrovorty, A.; Sarmah, P.; Paramasivam, P.; Kumar, V.; Yadav, S.K.; Manickkam, S. A review on solid oxide fuel cell technology: An efficient energy conversion system. Int. J. Energy Res. 2024, 2024, 6443247. [Google Scholar] [CrossRef]
 - Chasta, G.; Himanshu; Dhaka, M.S. A review on materials, advantages, and challenges in thin film based solid oxide fuel cells. Int. J. Energy Res. 2022, 46, 14627–14658. [Google Scholar] [CrossRef]
 - Dunyushkina, L.A. Solid oxide fuel cells with a thin film electrolyte: A review on manufacturing technologies and electrochemical characteristicses. Electrochem. Mater. Technol. 2022, 1, 20221006. [Google Scholar] [CrossRef]
 - Demin, A.K.; Bronin, D.I. Solid state electrochemical devices for hydrogen energy. Electrochem. Mater. Technol. 2023, 2, 20232016. [Google Scholar] [CrossRef]
 - Zong, S.; Zhao, X.; Jewell, L.L.; Zhang, Y.; Liu, X. Advances and challenges with SOEC high temperature co-electrolysis of CO2/H2O: Materials development and technological design. Carbon Capture Sci. Technol. 2024, 12, 100234. [Google Scholar] [CrossRef]
 - Lahrichi, A.; El Issmaeli, Y.; Kalanur, S.S.; Pollet, B.G. Advancements, strategies, and prospects of solid oxide electrolysis cells (SOECs): Towards enhanced performance and large-scale sustainable hydrogen production. J. Energy Chem. 2024, 94, 688–715. [Google Scholar] [CrossRef]
 - Guo, S.; Jiang, L.; Li, Y.; Zhong, P.; Ismail, S.A.; Norby, T.; Han, D. From electrolyte and electrode materials to large-area protonic ceramic fuel cells: A review. Adv. Funct. Mater. 2024, 34, 2304729. [Google Scholar] [CrossRef]
 - Osinkin, D.; Tropin, E. Hydrogen production from methane and carbon dioxide mixture using all-solid-state electrochemical cell based on a proton-conducting membrane and redox-robust composite electrodes. J. Energy Chem. 2022, 69, 576–584. [Google Scholar] [CrossRef]
 - Rosensteel, W.A.; Ricote, S.; Sullivan, N.P. Hydrogen permeation through dense BaCe0.8Y0.2O3−δ–Ce0.8Y0.2O2−δ composite-ceramic hydrogen separation membranes. Int. J. Hydrog. Energy 2016, 41, 2598–2606. [Google Scholar] [CrossRef]
 - Kalyakin, A.S.; Volkov, A.N.; Gorshkov, M.Y. Stability and reproducibility of solid electrolyte amperometry sensors at the analysis of hydrogen in nitrogen-containing gas mixtures. Electrochem. Mater. Technol. 2024, 3, 20243026. [Google Scholar] [CrossRef]
 - Starostin, G.; Volkov, A.N.; Kalyakin, A.S.; Medvedev, D.A. High-temperature gas sensors based on proton-conducting ceramic oxides. A brief review. Ceram. Int. 2024, 50, 37449–37459. [Google Scholar] [CrossRef]
 - Kalyakin, A.S.; Volkov, A.N.; Mirzayants, D.P. Stability and reproducibility of the amperometric sensors for oxygen concentration analysis in the nitrogen gas mixtures. Electrochem. Mater. Technol. 2024, 3, 20243027. [Google Scholar] [CrossRef]
 - Abdalla, A.M.; Azad, A.T.; Madian, A.B.; Omeiza, L.A.; Subramanian, Y.; Wei, B.; Taweekun, J.; Khairat Dawood, M.M.; Azad, A.K. All-protonic fuel cell designs and developments fuelled by ammonia. Environ. Sci. Pollut. Res. 2024, 31, 46769–46789. [Google Scholar] [CrossRef] [PubMed]
 - Kumar, A.; Vibhu, V.; Bassat, J.M.; Nohl, L.; de Haart, L.G.J.B.; Bouvet, M.; Eichel, R.A. Ammonia as a potential energy vector in the burgeoning hydrogen economy. ChemElectroChem 2024, 11, e202300845. [Google Scholar] [CrossRef]
 - Thyssen, V.V.; Vilela, V.B.; de Florio, D.Z.; Ferlauto, A.S.; Fonseca, F.C. Direct conversion of methane to C2 hydrocarbons in solid-state membrane reactors at high temperatures. Chem. Rev. 2022, 122, 3966–3995. [Google Scholar] [CrossRef]
 - Omeiza, L.A.; Kabyshev, A.; Bekmyrza, K.; Kuterbekov, K.A.; Kubenova, M.; Zhumadilova, Z.A.; Subramanian, Y.; Ali, M.; Aidarbekov, N.; Azad, A.K. Constraints in sustainable electrode materials development for solid oxide fuel cell: A brief review. Mater. Sci. Energy Technol. 2025, 8, 32–43. [Google Scholar] [CrossRef]
 - Omeiza, L.A.; Kuterbekov, K.A.; Kabyshev, A.; Bekmyrza, K.; Kubenova, M.; Afroze, S.; Bakar, S.A.; Azad, A.K. Limitations and trends on cobalt-free cathode materials development for intermediate-temperature solid oxide fuel cell- an updated technical review. Emergent Mater. 2024, 1–6. [Google Scholar] [CrossRef]
 - Pikalova, E.Y.; Kalinina, E.G.; Pikalova, N.S. Recent advances in electrophoretic deposition of thin-film electrolytes for intermediate-temperature solid oxide fuel cells. Electrochem. Mater. Technol. 2023, 2, 20232011. [Google Scholar] [CrossRef]
 - Zamudio-García, J.; dos Santos-Gómez, L.; Losilla, E.R.; Marrero-López, D. Exploring alkali metal doping in solid oxide cells materials: A comprehensive review. Chem. Eng. J. 2024, 493, 152832. [Google Scholar] [CrossRef]
 - Hadi, N.H.; Somalu, M.R.; Samat, A.A.; Muchtar, A.; Baharuddin, N.A.; Anwar, M. A review on the preparation of anode materials and anode films for solid oxide fuel cell applications. Int. J. Energy Res. 2021, 45, 14357–14388. [Google Scholar] [CrossRef]
 - Pikalova, E.Y.; Guseva, E.M.; Filonova, E.A. Short review on recent studies and prospects of application of rare-earth-doped La2NiO4+δ as air electrodes for solid-oxide electrochemical cells. Electrochem. Mater. Technol. 2023, 2, 20232025. [Google Scholar] [CrossRef]
 - Ahmed, N.; Devi, S.; Dar, M.A.; Ibrahim, S.K.M.; Sharma, A.; Sharma, N.; Paul, S.; Ahamed, S.R. Anode material for solid oxide fuel cell: A review. Indian J. Phys. 2024, 98, 877–888. [Google Scholar] [CrossRef]
 - Rafique, M.; Nawaz, H.; Shahid Rafique, M.; Bilal Tahir, M.; Nabi, G.; Khalid, N.R. Material and method selection for efficient solid oxide fuel cell anode: Recent advancements and reviews. Int. J. Energy Res. 2019, 43, 2423–2446. [Google Scholar] [CrossRef]
 - Porotnikova, N.; Osinkin, D. Segregation and interdiffusion processes in perovskites: A review of recent advances. J. Mater. Chem. A 2024, 12, 2620–2646. [Google Scholar] [CrossRef]
 - Horita, T. Chromium poisoning for prolonged lifetime of electrodes in solid oxide fuel cells—Review. Ceram. Int. 2021, 47, 7293–7306. [Google Scholar] [CrossRef]
 - Erpalov, M.V.; Tarutin, A.P.; Danilov, N.A.; Osinkin, D.A.; Medvedev, D.A. Chemistry and electrochemistry of CeO2-based interlayers: Prolonging the lifetime of solid oxide fuel and electrolysis cells. Russ. Chem. Rev. 2023, 92, RCR5097. [Google Scholar] [CrossRef]
 - Balabanov, S.S.; Belyaev, A.V.; Novikova, A.V.; Permin, D.A.; Rostokina, E.Y.; Yavetskiy, R.P. Densification peculiarities of transparent MgAl2O4 Ceramics—Effect of LiF sintering Additive. Inorg. Mater. 2018, 54, 1045–1050. [Google Scholar] [CrossRef]
 - Frage, N.; Kalabukhov, S.; Sverdlov, N.; Kasiyan, V.; Rothman, A.; Dariel, M.P. Effect of the spark plasma sintering (SPS) parameters and LiF doping on the mechanical properties and the transparency of polycrystalline Nd-YAG. Ceram. Int. 2012, 38, 5513–5519. [Google Scholar] [CrossRef]
 - Meir, S.; Kalabukhov, S.; Froumin, N.; Dariel, M.P.; Frage, N. Synthesis and densification of transparent magnesium aluminate spinel by SPS processing. J. Am. Ceram. Soc. 2009, 92, 358–364. [Google Scholar] [CrossRef]
 - Li, J.; Wang, C.; Wang, X.; Bi, L. Sintering aids for proton-conducting oxides—A double-edged sword? A mini review. Electrochem. Commun. 2020, 112, 106672. [Google Scholar] [CrossRef]
 - Hostaša, J.; Picelli, F.; Hříbalová, S.; Nečina, V. Sintering aids, their role and behaviour in the production of transparent ceramics. Open Ceram. 2021, 7, 100137. [Google Scholar] [CrossRef]
 - Bi, L.; Traversa, E. Synthesis strategies for improving the performance of doped-BaZrO3 materials in solid oxide fuel cell applications. J. Mater. Res. 2014, 29, 1–15. [Google Scholar] [CrossRef]
 - Hagy, L.S.; Ramos, K.; Gelfuso, M.V.; Chinelatto, A.L.; Chinelatto, A.S.A. Effects of ZnO addition and microwave sintering on the properties of BaCe0.2Zr0.7Y0.1O3-δ proton conductor electrolyte. Ceram. Int. 2023, 49, 17261–17270. [Google Scholar] [CrossRef]
 - Zeng, T.; Jia, L.; Chen, Z.; Yang, M.; Luo, R. Effects of Bi2O3–CuO additives on microstructure and microwave properties of low-temperature-sintered NiCuZn ferrite ceramics. Ceram. Int. 2024, 50, 6388–6394. [Google Scholar] [CrossRef]
 - Zhang, G.; Zheng, G.; Huang, Z.; Bao, X.; Shi, C.; Yang, X.; Zhou, J.; Chen, T.; Wang, S. The effect of Fe2O3 sintering aid on Gd0.1Ce0.9O1.95 diffusion barrier layer and solid oxide fuel cell performance. Int. J. Hydrogen Energy 2023, 48, 21908–21919. [Google Scholar] [CrossRef]
 - Mehranjani, A.S.; Cumming, D.J.; Sinclair, D.C.; Rothman, R.H. Low-temperature co-sintering for fabrication of zirconia/ceria bi-layer electrolyte via tape casting using a Fe2O3 sintering aid. J. Eur. Ceram. Soc. 2017, 37, 3981–3993. [Google Scholar] [CrossRef]
 - Zhang, T.S.; Ma, J.; Kong, L.B.; Chan, S.H.; Hing, P.; Kilner, J.A. Iron oxide as an effective sintering aid and a grain boundary scavenger for ceria-based electrolytes. Solid State Ionics 2004, 167, 203–207. [Google Scholar] [CrossRef]
 - Liu, Z.G.; Ouyang, J.H.; Ren, Z.; Sun, K.N.; Zhou, Y. Influence of Fe2O3 addition on the densification and oxygen ion conductivity of the GdSmZr2O7 ceramic. J. Eur. Ceram. Soc. 2014, 34, 3735–3740. [Google Scholar] [CrossRef]
 - Porotnikova, N.M.; Ananyev, M.V.; Osinkin, D.A.; Khodimchuk, A.V.; Fetisov, A.V.; Farlenkov, A.S.; Popov, A.I. Increase in the density of Sr2Fe1.5Mo0.5O6-δ membranes through an excess of iron oxide: The effect of iron oxide on transport and kinetic parameters. Surf. Interfaces 2022, 29, 101784. [Google Scholar] [CrossRef]
 - Kuzmin, A.V.; Lesnichyova, A.S.; Tropin, E.S.; Stroeva, A.Y.; Vorotnikov, V.A.; Solodyankina, D.M.; Belyakov, S.A.; Plekhanov, M.S.; Farlenkov, A.S.; Osinkin, D.A.; et al. LaScO3-based electrolyte for protonic ceramic fuel cells: Influence of sintering additives on the transport properties and electrochemical performance. J. Power Sources 2020, 466, 228255. [Google Scholar] [CrossRef]
 - Starostina, I.A.; Starostin, G.N.; Akopian, M.T.; Vdovin, G.K.; Osinkin, D.A.; Py, B.; Maradesa, A.; Ciucci, F.; Medvedev, D.A. Insight into grain and Grain-boundary Transport of Proton-conducting Ceramics: A case Report of BaSn0.8Y0.2O3−δ. Adv. Funct. Mater. 2024, 34, 2307319. [Google Scholar] [CrossRef]
 - Osinkin, D.; Bogdanovich, N. Sintering aid Strategy for promoting Oxygen reduction Reaction on High-performance Double-layer LaNi0.6Fe0.4O3–δ composite Electrode for devices Based on Solid-state Membranes. Membranes 2023, 13, 603. [Google Scholar] [CrossRef] [PubMed]
 - Kolchugin, A.A.; Pikalova, E.Y.; Bogdanovich, N.M.; Bronin, D.I. The effect of copper on the properties of La1.7Ca0.3NiO4+δ-based cathodes for solid oxide fuel cells. Russ. J. Electrochem. 2015, 51, 483–490. [Google Scholar] [CrossRef]
 - Kuzin, B.L.; Bogdanovich, N.M.; Bronin, D.I.; Yaroslavtsev, I.Y.; Vdovin, G.K.; Kotov, Y.A.; Bagazeev, A.V.; Medvedev, A.I.; Murzakaev, A.M.; Timoshenkova, O.P.; et al. Electrochemical properties of cathodes made of (La,Sr)(Fe,Co)O3 containing admixtures of nanoparticles of cupric oxide and intended for fuel cells with a solid electrolyte based on ceric oxide. Russ. J. Electrochem. 2007, 43, 920–928. [Google Scholar] [CrossRef]
 - Md Harashid, M.A.; Chen, R.S.; Ahmad, S.H.; Ismail, A.F.; Baharuddin, N.A. Recent advances in electrode material for symmetrical solid oxide fuel cells and way forward sustainability based on local mineral resources. Int. J. Energy Res. 2022, 46, 22188–22221. [Google Scholar] [CrossRef]
 - Gu, J.; Zhang, X.; Zhao, Y.; Alodhayb, A.; Sun, Y.; Bu, Y. Advances and challenges in symmetrical solid oxide electrolysis cells: Materials development and resource utilization. Mater. Chem. Front. 2023, 7, 3904–3921. [Google Scholar] [CrossRef]
 - Zhu, K.; Luo, B.; Liu, Z.; Wen, X. Recent advances and prospects of symmetrical solid oxide fuel cells. Ceram. Int. 2022, 48, 8972–8986. [Google Scholar] [CrossRef]
 - Istomin, S.Y.; Lyskov, N.V.; Mazo, G.N.; Antipov, E.V. Electrode materials based on complex d-metal oxides for symmetrical solid oxide fuel cells. Russ. Chem. Rev. 2021, 90, 644–676. [Google Scholar] [CrossRef]
 - Yu, W.; Zhang, D.; Zhang, X.; Liu, T.; Wang, Y. Advanced Ru-Infiltrated Perovskite Oxide Electrodes for Boosting the Performance of Syngas Fueled Solid Oxide Fuel Cell. ChemElectroChem 2022, 9, e202200024. [Google Scholar] [CrossRef]
 - Zhang, D.; Zhou, J.; Luo, Y.; Wang, Y.; Zhang, X.; Chen, X.; Liu, T.; Ding, M. Robust cobalt-free perovskite type electrospun nanofiber cathode for efficient electrochemical carbon dioxide reduction reaction. J. Power Sources 2023, 587, 233705. [Google Scholar] [CrossRef]
 - Luo, Y.; Zhang, D.; Liu, T.; Chang, X.; Wang, J.; Wang, Y.; Gu, X.; Ding, M. In Situ Exsolution of Quaternary Alloy Nanoparticles for CO2-CO Mutual Conversion Using Reversible Solid Oxide Cells. Adv. Funct. Mater. 2024, 34, 2403922. [Google Scholar] [CrossRef]
 - Liu, X.; Han, D.; Zhou, Y.; Meng, X.; Wu, H.; Li, J.; Zeng, F.; Zhan, Z. Sc-substituted La0.6Sr0.4FeO3-δ mixed conducting oxides as promising electrodes for symmetrical solid oxide fuel cells. J. Power Sources 2014, 246, 457–463. [Google Scholar] [CrossRef]
 - Lu, C.; Niu, B.; Yu, S.; Yi, W.; Luo, S.; Xu, B.; Ji, Y. Efficient and stable symmetrical electrode La0.6Sr0.4Co0.2Fe0.7Mo0.1O3-δ for direct hydrocarbon solid oxide fuel cells. Electrochim. Acta 2019, 323, 134857. [Google Scholar] [CrossRef]
 - Yang, Z.; Chen, Y.; Jin, C.; Xiao, G.; Han, M.; Chen, F. La0.7Sr0.3Fe0.7Ga0.3O3-δ as electrode material for a symmetrical solid oxide fuel cell. RSC Adv. 2015, 5, 2702–2705. [Google Scholar] [CrossRef]
 - Larregle, S.C.; Baque, L.; Mogni, L. Effect of aid-sintering additives in processing of solid oxide fuel cells electrolytes by tape casting. Solid State Ionics 2023, 394, 116210. [Google Scholar] [CrossRef]
 - Ha, S.B.; Cho, Y.H.; Kang, Y.C.; Lee, J.H.; Lee, J.H. Effect of oxide additives on the sintering behavior and electrical properties of strontium- and magnesium-doped lanthanum gallate. J. Eur. Ceram. Soc. 2010, 30, 2593–2601. [Google Scholar] [CrossRef]
 - Gordeev, E.V.; Porotnikova, N.M. Approaches for the preparation of dense ceramics and sintering aids for Sr/mg doped lanthanum gallate: Focus review. Electrochem. Mater. Technol. 2023, 2, 20232022. [Google Scholar] [CrossRef]
 - Ding, H.; Sullivan, N.P.; Ricote, S. Double perovskite Ba2FeMoO6−δ as fuel electrode for protonic-ceramic membranes. Solid State Ionics 2017, 306, 97–103. [Google Scholar] [CrossRef]
 - Osinkin, D.A.; Lobachevskaya, N.I.; Bogdanovich, N.M. Effect of the copper Oxide sintering Additive on the electrical and electrochemical Properties of anode materials based on Sr2Fe1.5Mo0.5O6–δ. Russ. J. Appl. Chem. 2017, 90, 1686–1692. [Google Scholar] [CrossRef]
 - Gordeev, E.; Belyakov, S.; Antonova, E.; Osinkin, D. Highly conductive Fe-doped (La,Sr)(Ga,Mg)O3−δ solid-state membranes for electrochemical application. Membranes 2023, 13, 502. [Google Scholar] [CrossRef]
 - Kumar, S.; Chakraborty, A.; Kobi, S.; Gopalan, P.; Prasanna, T.R.S. Phase formation between La(Sr)Ga(Mg)O3 and Ce(La)O2 for solid oxide fuel cell applications. J. Am. Ceram. Soc. 2022, 105, 3625–3635. [Google Scholar] [CrossRef]
 - Sepúlveda, E.; Mangalaraja, R.V.; Troncoso, L.; Jiménez, J.; Salvo, C.; Sanhueza, F. Effect of barium on LSGM electrolyte prepared by fast combustion method for solid oxide fuel cells (SOFC). MRS Adv. 2022, 7, 1167–1174. [Google Scholar] [CrossRef]
 - Garcia-Garcia, F.J.; Tang, Y.; Gotor, Y.T.; Sayagués, M.J. Development by mechanochemistry of La0.8Sr0.2Ga0.8Mg0.2O2.8 electrolyte for SOFCs. Materials 2020, 13, 1366. [Google Scholar] [CrossRef] [PubMed]
 - Yoo, J.S.; Lee, S.; Yu, J.H.; Woo, S.K.; Park, H.; Kim, H.G. Fe doping effects on phase stability and conductivity of La0.75Sr0.25Ga0.8Mg0.2O3−δ. J. Power Sources 2009, 193, 593–597. [Google Scholar] [CrossRef]
 - Almar, L.; Szasz, J.; Weber, A.; Ivers-Tiffee, E. Oxygen transport kinetics of mixed ionic-electronic conductors by coupling focused ion beam tomography and electrochemical impedance spectroscopy. J. Electrochem. Soc. 2017, 164, F289. [Google Scholar] [CrossRef]
 - Zhang, D.; Zhang, K.; He, T.; Yu, N.; Zhao, Y.; Wang, Y.; Liu, T. Preparation and characterization of a redox-stable Pr0.4Sr0.6Fe0.875Mo0.125O3-δ material as a novel symmetrical electrode for solid oxide cell application. Int. J. Hydrog. Energy 2020, 45, 21825–21835. [Google Scholar] [CrossRef]
 - Kong, X.; Zhou, X.; Tian, Y.; Wu, X.; Zhang, J.; Zuo, W. Niobium doped lanthanum calcium ferrite perovskite as a novel electrode material for symmetrical solid oxide fuel cells. J. Power Sources 2016, 326, 35–42. [Google Scholar] [CrossRef]
 - Liu, F.; Zhang, L.; Huang, G.; Niu, B.; Li, X.; Wang, L.; Zhao, J.; Jin, Y. High performance ferrite–based anode La0.5Sr0.5Fe0.9Mo0.1O3–δ for intermediate-temperature solid oxide fuel cell. Electrochem. Acta 2017, 255, 118–126. [Google Scholar] [CrossRef]
 - Zhao, L.; Chen, K.; Liu, Y.; He, B. A novel layered perovskite as symmetric electrode for direct hydrocarbon solid oxide fuel cells. J. Power Sources 2017, 342, 313–319. [Google Scholar] [CrossRef]
 - Hou, Y.; Wang, L.; Bian, L.; Wang, Y.; Chou, K. Excellent electrochemical performance of La0.3Sr0.7Fe0.9Ti0.1O3 as a symmetric electrode for solid oxide cells. ACS Appl. Mater. Interfaces 2021, 13, 22381–22390. [Google Scholar] [CrossRef]
 - Zhou, J.; Shin, T.; Ni, C.; Chen, G.; Wu, K.; Cheng, Y.; Irvine, J.T.S. In situ growth of nanoparticles in layered perovskite La0.8Sr1.2Fe0.9Co0.1O4-δ as an active and stable electrode for symmetrical solid oxide fuel cells. Chem. Mater. 2016, 28, 2981–2993. [Google Scholar] [CrossRef]
 - Zhou, Q.; Yuan, C.; Han, D.; Luo, T.; Li, J.; Zhan, Z. Evaluation of LaSr2Fe2CrO9-δ as a Potential Electrode for Symmetrical Solid Oxide Fuel Cells. Electrochim. Acta 2014, 133, 453–458. [Google Scholar] [CrossRef]
 - He, W.; Wu, X.; Dong, F.; Ni, M. A novel layered perovskite electrode for symmetrical solid oxide fuel cells: PrBa(Fe0.8Sc0.2)2O5+δ. J. Power Sources 2017, 363, 16–19. [Google Scholar] [CrossRef]
 - Tian, D.; Lin, B.; Yang, Y.; Chen, Y.; Lu, X.; Wang, Z.; Liu, W.; Traversa, E. Enhanced performance of symmetrical solid oxide fuel cells using a doped ceria buffer layer. Electrochim. Acta 2016, 208, 318–324. [Google Scholar] [CrossRef]
 - Gou, M.; Ren, R.; Sun, W.; Xu, C.; Meng, X.; Wang, Z.; Qiao, J.; Sun, K. Nb-doped Sr2Fe1.5Mo0.5O6-δ electrode with enhanced stability and electrochemical performance for symmetrical solid oxide fuel cells. Ceram. Int. 2019, 45, 15696–15704. [Google Scholar] [CrossRef]
 - Lu, X.; Yang, Y.; Ding, Y.; Chen, Y.; Gu, Q.; Tian, D.; Yu, W.; Lin, B. Mo-doped Pr0.6Sr0.4Fe0.8Ni0.2O3-δ as potential electrodes for intermediate-temperature symmetrical solid oxide fuel cells. Electrochim. Acta 2017, 227, 33–40. [Google Scholar] [CrossRef]
 - Meng, X.; Wang, Y.; Zhao, Y.; Zhang, T.; Yu, N.; Chen, X.; Miao, M.; Liu, T. In-situ exsolution of nanoparticles from Ni substituted Sr2Fe1.5Mo0.5O6 perovskite oxides with different Ni doping contents. Electrochim. Acta 2020, 348, 136351. [Google Scholar] [CrossRef]
 - Osinkin, D.A. Identification of gas diffusion phenomena on highly active Ni–ceramic anodes using the DRT technique. J. Power Sources 2023, 571, 233085. [Google Scholar] [CrossRef]
 - Rossmeisl, J.; Bessler, W.G. Trends in catalytic activity for SOFC anode materials. Solid State Ionics 2008, 178, 1694–1700. [Google Scholar] [CrossRef]
 









| Without Sintering Aid | With Fe2O3 Sintering Aid | |||||
|---|---|---|---|---|---|---|
| Sintering Temperature, °C | 1350 | 1400 | 1450 | 1350 | 1400 | 1450 | 
| σtotal (0.21 atm) | 98 ± 1 | 100 ± 1 | 100 ± 1 | 94 ± 1 | 98 ± 1 | 99 ± 1 | 
| σbulk (0.21 atm) | 98 ± 1 | 101 ± 2 | 101 ± 1 | 96 ± 1 | 99 ± 1 | 100 ± 1 | 
| σgb (0.21 atm) | 100 ± 1 | 99 ± 7 | 97 ± 5 | 91 ± 1 | 84 ± 5 | 86 ± 10 | 
| σtotal (10−22 atm) | 98 ± 1 | 101 ± 1 | 102 ± 1 | 98 ± 1 | 101 ± 1 | 102 ± 1 | 
| σbulk (10−22 atm) | 101 ± 2 | 101 ± 1 | 101 ± 1 | 102 ± 2 | 100 ± 1 | 103 ± 2 | 
| σgb (10−22 atm) | 97 ± 1 | 95 ± 3 | 94 ± 4 | 95 ± 1 | 100 ± 3 | 86 ± 7 | 
| № of Sample | Sintering Temperature/°C | Sintering Aid | Designation | 
|---|---|---|---|
| 1 | 1000 | 3 wt.% CuO | 1000-Cu | 
| 2 | 1050 | 3 wt.% CuO | 1050-Cu | 
| 3 | 1100 | 3 wt.% CuO | 1100-Cu | 
| 4 | 1150 | 3 wt.% CuO | 1150-Cu | 
| 5 | 1050 | 3 wt.% Fe2O3 | 1050-Fe | 
| Electrode | Rη in Air | Rη in H2 | Ref. | 
|---|---|---|---|
| La0.6Sr0.4FeO3−δ + 3wt.% Fe2O3 | 0.45 | 1.3 | This study | 
| Pr0.4Sr0.6Fe0.875Mo0.125O3−δ | 1.02 | 1.6 | [66] | 
| La0.9Ca0.1Fe0.9Nb0.1O3−δ | 0.24 | 1.46 | [67] | 
| La0.5Sr0.5Fe0.9Mo0.1O3−δ | - | 3.2 | [68] | 
| PrBaMn1.5Fe0.5O5+δ | 0.22 | 0.68 | [69] | 
| La0.3Sr0.7Fe0.9Ti0.1O3−δ | 0.022 | 0.15 | [70] | 
| La0.8Sr1.2Fe0.9Co0.1O4±δ | 0.29 | 1.14 | [71] | 
| LaSr2Fe2CrO9−δ | 0.29 | 0.57 | [72] | 
| PrBa(Fe0.8Sc0.2)2O5+δ | 0.05 | 0.18 | [73] | 
| La0.8Sr0.2FeO3−δ | 0.48 | 0.92 | [74] | 
| Sr2Fe1.4Nb0.1Mo0.5O6−δ | 0.098 | 0.22 | [75] | 
| Pr0.6Sr0.4Fe0.7Ni0.2Mo0.1O3−δ | 0.5 | 0.2 | [76] | 
| Sr2Fe1.4Ni0.1Mo0.5O6−δ | - | 0.78 | [77] | 
Disclaimer/Publisher’s Note: The statements, opinions and data contained in all publications are solely those of the individual author(s) and contributor(s) and not of MDPI and/or the editor(s). MDPI and/or the editor(s) disclaim responsibility for any injury to people or property resulting from any ideas, methods, instructions or products referred to in the content.  | 
© 2024 by the authors. Licensee MDPI, Basel, Switzerland. This article is an open access article distributed under the terms and conditions of the Creative Commons Attribution (CC BY) license (https://creativecommons.org/licenses/by/4.0/).
Share and Cite
Gorgeev, E.; Antonova, E.; Osinkin, D. Sintering Aids Strategies for Improving LSGM and LSF Materials for Symmetrical Solid Oxide Fuel Cell. Appl. Sci. 2024, 14, 8923. https://doi.org/10.3390/app14198923
Gorgeev E, Antonova E, Osinkin D. Sintering Aids Strategies for Improving LSGM and LSF Materials for Symmetrical Solid Oxide Fuel Cell. Applied Sciences. 2024; 14(19):8923. https://doi.org/10.3390/app14198923
Chicago/Turabian StyleGorgeev, Egor, Ekaterina Antonova, and Denis Osinkin. 2024. "Sintering Aids Strategies for Improving LSGM and LSF Materials for Symmetrical Solid Oxide Fuel Cell" Applied Sciences 14, no. 19: 8923. https://doi.org/10.3390/app14198923
APA StyleGorgeev, E., Antonova, E., & Osinkin, D. (2024). Sintering Aids Strategies for Improving LSGM and LSF Materials for Symmetrical Solid Oxide Fuel Cell. Applied Sciences, 14(19), 8923. https://doi.org/10.3390/app14198923
        
