Abstract
In this study, we investigate the underlying causes of drift in the time history curves of measured parameters obtained through strain electrical measurements and assess their impacts on load measurements. To address the challenge of efficiently processing large volumes of aircraft load data, we propose and analyze a multi-level parallel algorithm specifically designed for the data processing of aircraft load measurements. To achieve this objective, we discuss parallel processing at both medium- and fine-grained levels and develop two distinct parallel processing algorithms: one for coarse- and medium-grained aircraft-type data streams, and another for medium- and fine-grained takeoff and landing data streams. The efficacy of these algorithms is validated through the processing of load data measured on a specific aircraft wing. The results demonstrate that the proposed approach offers a novel technical pathway for large-scale scientific computations and enhances data processing efficiency in the domain of aircraft load spectrum analysis.
1. Introduction
Currently, the measurement of load spectra in mechanical structures is predominantly conducted using in situ strain gauges [1]. Although temperature compensation is addressed through the use of test bridges, various factors—including differences in strain gauge temperatures, creep compensation characteristics, the temperature of the tested object, creep effects, and environmental influences—often lead to drift trends in the time history of measured strain parameters, thereby affecting the accuracy of the test results [2]. Strain signals, which reflect structural changes within a member, are typically weak, with amplitudes on the order of millivolts. During the acquisition and amplification of strain signals, various external disturbances—including temperature, humidity, electromagnetism, and dust—can cause zero-line drift in the measured members under loading conditions. This drift leads to inaccuracies in the calculation of member loading and, consequently, the compiled load spectrum. In this study, a method to solve the drift trend of the strain parameter curve is developed. Additionally, we provide a concrete application example to illustrate the effectiveness of the proposed data processing technique. In recent years, the rapid expansion in the volume of measured data has led to the total number of takeoffs and landings for each flight profile reaching into the hundreds. With nearly one thousand parameters recorded per flight, the resulting dataset encompasses tens of billions of data points [3]. The compilation of aircraft load spectra through flight testing is of great significance for determining and extending the service life of aircraft structures. The large amount of data collected during the actual testing process requires a series of post statistical processing performed by a computer in order to compile a load time history that is in line with the actual usage situation. References [4,5] provide a detailed discussion on the processing mode of measured data and the principle of compiling median load spectra, and they explain the computer processing methods used. References [6,7,8,9,10,11,12] explain the technologies of computer parallel computing, modern computer optimization models, and massive data processing. Consequently, the time required for data calculation and processing has increased exponentially, significantly impacting the operational efficiency of load spectrum compilation approaches. To address the rapidly increasing demands for data processing and fully exploit the capabilities of existing computational resources, it is imperative to seek effective solutions. Recent advancements in parallel computing technology have significantly enhanced its application across various domains, including vehicle simulation, finite element analysis, oil exploration, and weather forecasting. These fields, which require high-performance scientific computation for large and complex datasets, offer valuable insights and methodologies for addressing the challenges associated with big data processing.
2. Aircraft Wing Load Tests
2.1. Fundamentals of Strain Method Load Testing
Currently, resistive strain gauges represent the most cost-effective, reliable, and prevalent methodology for aircraft load measurement. These gauges offer an extensive measurement range, high precision and sensitivity, and favorable frequency response characteristics. The strain gauges are first required to be fixed at critical locations on essential structural components of the aircraft under evaluation—such as the fuselage, wings, landing gear, and tail. These gauges are configured into a Wheatstone Bridge arrangement to facilitate accurate load measurement. Ground load calibration tests are employed to develop matrix equations that delineate the relationship between applied loads and the structural components being tested. These equations enable the analysis of the correlation between the strain gauge bridge responses and the component loads being measured. These include the bending moment, shear force, and torque acting on the wing; bending moment and torque of the fuselage; bending moment, shear force, and torque of the tailplane and vertical tail; and chained moment of the movable surface. Additionally, this study considers the loads in three directions exerted on the aircraft’s landing gear. These parameters are determined through strain gauge bridge responses measured in flight and are influenced by relevant flight parameters, among other factors.
Load spectrum data acquisition is conducted utilizing electrical strain measurement techniques to assess the loads on wing structural components. This process involves selecting critical areas of the aircraft wing structure and employing a strategically designed arrangement of strain gauges and bridge design, where strain signal acquisition can be carried out directly. Overall, many test locations were determined, and the specific test loading locations for aircraft wing loading acquisitions are shown in Figure 1, Figure 2, Figure 3 and Figure 4.
Figure 1.
Wing strain gauge mounting location plan.
Figure 2.
Diagram of the strain gauge arrangement.
Figure 3.
Wing leading edge actual patch location.
Figure 4.
Data collector: image and mounting diagram.
2.2. Equation for Strain Load Relationship
In numerous instances, the effects of external loads on structural components can be effectively represented by a load vector system comprising concentrated forces and moments. When distributed loads are applied to a structure, their representation should be confined to a minimal set of parameters to simplify the description. Moments, torques, and shear forces on certain sections may be selected as parameters or constants included in expressions describing distributed load functions. During calibration tests, when a system of forces acts on the structure, each signal from the strain measurement bridge corresponds to the cumulative effect of the forces applied individually within the system. Consequently, the following vectors can be directly utilized in the calibration process of the load measurement test:
where represents the strain signal vector (dimensions ); denotes the force vector applied for calibration (dimensions ); and is the load parameter vector (dimensions ; e.g., bending, shear, and torsion can be used as a vector of load parameters). The relationships between these vectors can be calculated as follows:
where is a transformation matrix (dimensions ); is the inverse calibration coefficient matrix (dimensions ); and is the coefficient matrix, which is directly calibrated (dimensions ).
The bending moment M and torque T can be calculated by controlling the magnitude of the shear force Q and the location of its point of application during the aircraft load calibration test, thus obtaining the corresponding relationship of the output response of the bending moment M, shear force Q, and torque T strain bridge on the tested section. According to the magnitude of the applied load Q, the position of the center of pressure, the coordinates of the rigid center of the measured section, and the sweep angle of the rigid shaft, the relationships between the bending moment M, the torque applied to the measured section, and the applied load can be derived, as shown in Figure 5.
Figure 5.
Force analysis model for right wing section load calibration test.
In the diagram, x and z are the pressure center coordinates of the calibration load Q, denoted by A; and are the coordinates of the rigid center of the measured section, denoted by E; is the rigid axis sweep acute angle of the measured section, with the left wing, left tailplane, and vertical specified as positive in the given coordinate system, such that the right wing and right tailplane are negative and, so, has a negative value; is the point of intersection between the rigid axis and the line perpendicular from to the rigid axis; is the point of intersection between the line from in the direction of the z-axis point and the perpendicular straight line passing through ; and is the point of intersection between and the rigid axis.
From the above, one can obtain the following:
The aforementioned relation utilizes the previously established matrix equation . Then, each matrix can be defined as follows:
A comparable derivation can be carried out to prove that the calculation formulas for the bending moment and torque of the left wing and left flat tail load measurement section are the same as for the right wing.
Similarly, the expressions for bending moment and torque of the vertical tail measured section can be obtained as follows:
At this time,
Due to the adoption of multi-point coordinated calibration loads, there are up to 12 loading points simultaneously participating in calibration for the aircraft’s outer wing, and the bending moment loads of the test section are the superimposition of multiple loading point loads; that is,
where is the number of loading sections along the spanwise direction, and is the number of loading points for a loading section. Similarly, the total torque for a test section is as follows:
Using Formulas (3)–(6), the actual applied load with respect to the required load parameter vector can be obtained.
2.3. Solution of Coefficient Matrix
For each of the different load parameter vectors and corresponding strain vectors (or, for each case of calibrated loads), after writing out the relation , they can be combined into the following matrix equation:
where
in which is the jth load parameter value for the ith calibration load, and is the jth bridge strain signal value for the ith calibration load.
When calibrating, the elements of the matrix and are determined approximately, therefore resulting in the best estimate of the matrix, in some sense. Estimating the matrix is a typical linear multiple regression analysis problem. The element values of vector are the regression variables, while the elements of vector are considered as response values. According to the least squares method, we have the following:
The dimension of vector in the above case should be equal to the maximum number of linearly independent load vectors, and the location and orientation of the strain gauge’s sticking should be chosen such that the linear independent bridge strain signal vector is adapted to the linear independent load parameter vector, at which point the inversion of is also guaranteed to exist.
The calibration performed according to Equation (11) is called a direct calibration, as it converts the measurement vector (i.e., the bridge strain signal vector) into a load parameter vector, thus directly establishing the required load equation.
The reverse calibration method may also be used in practical load calibration tests. When regression analysis is applied, the load vector values are regression variables, while the strain vector values as the response values:
The least squares estimate from which the matrix can be obtained is as follows:
To estimate the matrix , in the most general case, when the number of strain signals exceeds the number of main load parameters, to obtain a relationship between the two, substituting Equations (4)–(6) yields the following:
Thus,
Therefore,
I the matrix is a non-degenerate square, then
The external loads sustained by the structure are generally the six spatial components. For an aircraft wing (including the tail wing), as shown in Figure 5, the effects of a -directional load component of shear , a load component around the -axis of the bending moment , and a load component around the axis of torque are major, while the remaining three load components are relatively minor and can be neglected; that is, , , and are used as input variables, and the corresponding test strains , , and serve as output variables.
The tests demonstrate that the magnitude of the bridge output strain at each section is linearly related to the loads applied to that section, which can be expressed by the following equations:
where are the direct regression coefficients, which correspond to the applied load the bridge corresponds to when it outputs a unit strain; and are an indirect regression coefficients, corresponding to the magnitude of the strain bridge output strain caused by a unit load.
We define , .
At this point, the specific form of Equation (6) can be obtained as follows:
Given that the number of independent bridge strain signals is at least equal to the total number of load parameters, and the coefficient matrix is invertible, then the left multiplication of both sides of Equation (6) by , and taking only one corresponding column, yields the following:
After obtaining the coefficients and , the loads of bending moment, shear, and torque for each section of the aircraft can be calculated from the calibration of each bridge and the aerial strain values according to Equation (16).
3. Analysis of Measured Data Trend Jamming Signals
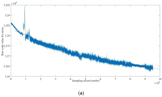
Shifting of the reference zero-line of the strain parameter curve is a phenomenon characterized by the change in the output strain signal being non-zero when the change in the input load signal is zero, caused by environmental factors and the test system itself during strain testing. A strain bridge, consisting of a strain gauge sensing element, reaches an equilibrium state in its output when the aircraft is subjected to static conditions on the ground and no external forces are applied. Under these conditions, the data output recorded by the data acquisition system is set as the reference zero-line, which should not present a varying trend. However, as shown in Figure 6, the zero-drift phenomenon of strain as the wing test bridge operates has a very serious effect on the final test results.
Figure 6.
Zero-drift curve in wing working bridge load strain test.
Since the frequency of trend drift changes is relatively low, conventional methods for mitigating trend drift typically employ low-frequency filtering. However, this approach can inadvertently filter out genuine, slowly varying load signals, leading to inaccuracies in the analysis results. Alternative methods such as moving average filtering and least squares trend curve fitting may also be used to address this issue. In this study, the drift trend line is fitted by taking points in sections and subtracting the value of the drift trend line from the measured data in order to reduce the effects of drift on the subsequent analysis. Compared to the sliding average filtering method, this method demonstrates greater efficiency in eliminating drift trends from strain signals, thereby enhancing the reliability of the data.
If the data measured in this test were calculated directly as actual loads without removing the trend terms, large errors would be introduced. The fatigue test spectrum compiled on this basis would not accurately reflect the true wing loads, considering that it would be impossible to improve the test method or equipment to make measurements again due to the constraints of objective conditions, and existing measured data would have to be used, which would need to be processed accordingly. The process of analyzing and processing the measured data is the process of eliminating the false signal while preserving the true signal; that is, the drift trend distortion caused by the measurement process should be eliminated, while the loading state curve of the aircraft wing in the real working environment should be retained.
4. Data Trend Term Removal Algorithm
4.1. Moving Average Method
The moving average method is a widely utilized and simple method for long-term trend change analysis [13]. The principle of the method is as follows: average the data of two or more periods within the original time series, replace the trend value of the intermediate period with the average value, and form a new derivative series after moving the calculated average in a period-wise manner. This mean series eliminates the influence of random factors in the original time series, thus presenting a fundamental trend in the development of the phenomenon. Moving average processing of signals is actually a filtering process. Let the time series be . The moving average trend term for the term is as follows:
A more general sliding average method is to continuously slide N data points along the entire length, taking m adjacent data points as a weighted average to represent smooth data. The general formula is expressed as follows:
where is the ith weight coefficient, ; and are positive integers such that . The different methods of taking these parameters result in different sliding average methods. If and are the algorithms of Equation (17), it is called the equal weight center smoothing method. When or , it is commonly used for endpoint smoothing. When (for all ) is equal weighted endpoint smoothing, its formula is written as follows:
The selection of these parameters results in different sliding average methods. The selection of parameters for the moving average method directly affects the smoothing effect on the data; for example, when a larger is used in Formulas (19) and (20), more adjacent data are utilized for local averaging. Although the larger smoothing effect is conducive to suppressing random errors with frequent random fluctuations, it is also possible that the high-frequency varying deterministic components are averaged and weakened. Conversely, if a smaller value is used, the low-frequency random fluctuations may be reduced without averaging (i.e., the method will not be conducive to suppressing random errors). Therefore, it is not suitable for the slowly varying zero-drift data in this test.
4.2. Weighted Least Squares Polynomial Trend Term Fitting
In the regression analysis of dynamic test data, the least squares method is frequently employed to determine the variations in regression parameters. This is because the linear regression model has good statistical properties, being bias-free and consistent due to the use of the least squares method for the estimation of regression parameters under the conditions of conforming to the Gauss–Markov hypothesis.
Let the unknown quantity to be solved be , which can be obtained from directly measured values through the following functional relation:
If is the true value, the true value can be calculated from the known function above. If the measured value is , the corresponding error is . The least squares method can be formulated as follows:
For measurements with unequal precision, a weight factor of each measurement value should be added; that is,
The weighted least squares method is expressed as follows:
where is the weight function on . The problem of using the least squares method to fit a curve is to find the function in that results in the minimum value of .
4.3. Implementation of Polynomial Fitting
Considering the substantial amount of measured wing loading data, if the size of the measured data reaches 2 GB, when the weighted least squares method is used to fit all the data points, the processing efficiency will be very low. To find the trend term function, it is sufficient to use a limited number of data points that accurately represent the trend curve, which is the basis for large-scale processing. Through comparative analysis of the measured data, it can be found that the zero-drift of the test data (mainly the smooth curve) can be derived according to experience that the trend of the curve change can be fitted with higher-order polynomials. The measured zero-drift data curve is shown in Figure 6.
In the implementation of zero-drift processing, the objective extends beyond merely visually observing the zero-drift trend. It also includes the construction of a comprehensive array of zero-drift trend curves. Therefore, fitting of the zero-drift trend line is a key component of zero-drift treatment. From the set of sample points to be fitted, the least squares polynomial fitting algorithm is applied to obtain the zero-drift trend curve function. Then, the corresponding point in the original data is substituted into the obtained fitting curve function to obtain the function value on the fitting curve. Subsequently, the value on the original data time history curve is subtracted from the value of the fitting curve function (i.e., ) to obtain the corrected drift curve. The main process is detailed in Figure 7. the final result will be displayed via the main display interface.
Figure 7.
Data processing flowchart.
The measured data value coordinate point is defined as , and the drift value coordinate point on the curve is obtained by fitting a polynomial as . Assuming zero-drift, as shown in Figure 8a, the segment data is taken as the processing object, with the polynomial function fitted as follows:

Figure 8.
Polynomial fitting method for trend term removal. The red line in (a) represents the trend term curve fitted from the original data using Formula (25), while (b) shows the curve obtained by subtracting the trend term value from Formula (27).
Then, the value of the drift quantity at any moment can be found using the above equation, namely, . The correction algorithm for the resulting zero-drift value is as follows:
The principle of this algorithm is to move the zero-drift trend line to the relative zero-line position, as shown in Figure 8b. If we do not need to move to the absolute zero line but only become parallel to the zero-line (as in Figure 8b), this process is considered complete; however, if we are also moving to the absolute zero of the coordinate system, the following correction is made:
This gives rise to two modes, which we call relative zero and absolute zero. The corresponding processing modules were specially designed in the program.
5. Parallel Computing Architecture and Implementation
It is of great significance to determine and extend the service life of aircraft structures through the use of flight test data. The large volume of data collected in the process of actual measurement require statistical processing, following which the load time history can be compiled. In recent years, the amount of measured data has expanded significantly, encompassing full aircraft load measurements, the total number of takeoffs and landings for each measured flight profile, and nearly one thousand recorded parameters, such that the volume of the collected data points is on the order of tens of billions. This dramatic increase in data volume has led to longer processing times, affecting the efficiency of load spectrum compilation [14,15,16,17]. Considering the difficulty of adapting to the real-time requirements of certain application and analysis scenarios, it has become imperative to fully harness the computational capabilities of existing devices to address the rapidly increasing demands for data processing. Parallel computing approaches have recently experienced great progress and have been widely used in weather forecasting, vehicle simulation, finite element analysis, petroleum exploration, and other fields that require high-performance scientific computation of large and complex signals. A small-scale symmetric multi-processing (SMP) cluster was used as the computing platform in this study. Based on analysis of the actual data processing model, two parallel computing techniques were used, and two parallel algorithms were developed for actual load data processing. The experiments indicate that the algorithm and system are reasonable, reducing the operation time of actual data processing and greatly improving the processing efficiency.
According to the Flynn classification method [18,19,20,21,22,23], the load spectra data processing system model belong to the Single Instruction Multiple Data Stream. In practical work, the system adopts a two-layer architecture based on SMP clusters, as shown in Figure 9.
Figure 9.
Parallel measurement data processing model based on SMP cluster.
A two-tier architecture was adopted, including an SMP cluster computing node set and a measured data server. These components are interconnected with gigabit high-speed LANs. The set of computing nodes used in the experiment was a multi-core SMP cluster of multi-core PC computers within a local area network, running the process as follows:
- The cluster’s main process is a computation strategy running in a parallel node configuration. For the initial computing parameters, a connection is established with the load spectrum measured data server.
- The master process node scans the actual data according to the specified path in the database server, statistically generates a data storage address catalog (in terms of each flight), and distributes the storage address information to other computing nodes according to the set parallel strategy.
- Each computing node reads the actual data of the sorties to be processed from the server based on the received address information and stores it locally. Then, the full flow of data statistical processing begins, and the resulting information of each landing is written into the local memory after completion of the calculation, which is sent to the main process computing node as a message.
- The main process computing nodes are statistically summarized in terms of sections, takeoff, and landing counts and displayed using a graphical interface.
- The main process computing node completes the task of cataloging.
The computing node in the cluster is the main facilitator of the data processing flow for load spectrum compilation, which is the most time-consuming and complex process of calculation in the data processing flow. For each measured parameter, all statistical processing steps need to be completed, and there is a strong order relationship between the steps. As this is the part of the model with the largest communication overhead, adopting the parallel mode of multi-core co-storage within the SMP processor node is the optimal strategy. OpenMP is an industry-standard framework for parallel programming in shared memory systems. It provides an application programming interface designed to write parallel programs on multiple processors or multi-core systems, with the advantages of simplicity, expandability, and ease of migration, eliminating the need for programmers to develop complex creation, synchronization, load balancing, and destruction operations. OpenMP includes a set of compilation instructions and a supporting library of functions, and it employs the Fork/join parallel execution model.
At the shared storage level, the best method for parallelization is to adopt OpenMP. First, there is a clear advantage in relatively fine-grained parallel development with good expandability. Second, the concurrent computation of the loop is directed in the form of a directive statement in OpenMP, which is relatively easy to program and develop by adding a directive statement to the proper loop of the serial program for data processing. Third, there is no need for explicit communication in the OpenMP, avoiding a large amount of message-passing overhead during data processing, which well-suits the parallel characteristics of the DOL/parameters and the hardware characteristics of the SMP cluster node processor, thus effectively improving the computational efficiency.
Each SMP cluster computing node process receives the allocated data information for each sortie. Based on the number of node CPU cores, the parameters are allocated to each core in turn for parallel operations, making full use of the CPU resources. Finally, the statistical processing results are stored locally within the node for preservation.
Considering the fine-grained parallel algorithm based on OpenMP, it can be seen based on further analysis of the load spectrum processing model that fine-grained concurrency exists in each processing step. For example, the algorithm for peak-to-valley value detection in step (2) of Section 1 is used to sequentially extract the adjacent three points , , in the for loop, from which the peak-to-valley value can be determined by calculating ( − )( − ) > 0. Similar cyclic processes exist in other processes, such as effective amplitude detection and rain flow counting. Parallelization of the for loop is a very critical feature in OpenMP, and it can substantially enhance the execution efficiency when compared to traditional loop processing. The pseudo-code, after modification, is as follows:

Through analysis of the above concurrency layers, two parallel solutions can be formed for the combination of different layers of concurrency, as shown in Figure 3 and Figure 4. As can be seen from Figure 10 (Algorithm 1 is shown in Figure 10) Algorithm 1 takes the measured total take-off and landing data stream as the data input object. The computing node running the main thread is responsible for each take-off and landing as a unit, broadcasting and distributing the take-off and landing data storage address information. Each computing node in the cluster reads and stores the data information to be processed to local memory via parallel I/O, then within each computing node. The read take-off and landing information is distributed to each core processor for processing separately via parameter recycling based on the techniques of OpenMP. Each core is independent of the others in parameter units and runs in parallel, effectively improving the operational processing efficiency. The results of statistical processing of each thread are eventually sent as messages to the main thread node for sub-section and full-section merging, the results of which are then used in the subsequent load spectrum compilation process.
Figure 10.
Coarse- and medium-grained data processing flows based on aircraft type data flow.
As can be seen in Figure 11 (Algorithm 2 is shown in Figure 12) uses a combination of medium- and fine-grained parallelization, unlike Algorithm 1, which uses a single takeoff and landing data stream as the initial processing object. The main thread computing node uses a serial mode, reading the data information for each takeoff and landing in turn. Each computing node is no longer assigned unit landing information as in Algorithm 1. Instead, more specific unit parameter data information is assigned. The statistical processing of parameters also differs from Algorithm 1 but is also parallelizable program code based on the OpenMP technology. Although Algorithm 2 introduces increased program complexity compared to Algorithm 1, it offers significant advantages in enhancing the speed of parallel operations and fully leveraging the computational potential of multi-core processors.
Figure 11.
Medium- and fine-grained parallel data processes based on each deformation data stream.
Figure 12.
Relationship between running time and number of computing nodes.
For the processing of the measured load spectrum data of a certain type of aircraft, a small SMP cluster was built, including four dual-core PC nodes with an Intel Core 2 dual-core E7500 processor, 2930 MHz CPU main frequency, 128 kB cache, and 3 GB of memory. The nodes were connected via a 1000 M local area network, Windows 7 was used as the software operating system, and the MPIH2.0 version of the parallel computing environment was used for the MPI. During statistical processing of the measured load spectrum data associated with the 106-type aircraft’s takeoffs and landings, comprising 302 parameters per takeoff and landing, the system’s operational performance was determined, as shown in Figure 12 and Figure 13.
Figure 13.
Relationship between acceleration ratio and number of CPUs.
As can be seen from Figure 12, as the number of computing nodes participating in the operation increased, the overall running time required for both parallel approaches constantly decreased, with the overall trend decreasing and gradually flattening out. Comparatively, mode 1 was more efficient than mode 2 in improving processing efficiency. According to our analysis, I/O operations between processes and LAN communication latency were the main reasons for this trend; in particular, mode 1 reads all the data per takeoff and landing at one time in a multi-threaded parallel I/O mode, while mode 2 reads the data per takeoff and landing in turn, improving the I/O efficiency considerably. Mode 2 has the advantage of fine-grained parallel optimization in the statistical processing step, which requires less time to complete the operation for a single parameter. Overall, however, I/O operations will have a greater impact on the overall system uptime. In addition, as illustrated by the acceleration ratio depicted in Figure 13 relative to the number of CPUs, it can be seen that the maximum acceleration ratio of Mode 1 reached 5.82 under laboratory conditions, with four computing nodes and eight CPUs participating in the operation, providing a satisfactory improvement in execution efficiency. Based on the obtained results, it is also possible to conduct extended research in clustered systems with a higher number of computing nodes.
6. Ending Remarks
This article takes the load measurement of a certain model of aircraft as an example and focuses on analyzing the reasons for the trend drift of the measured parameter time history curve in the strain electrical measurement method, as well as the impact on the load measurement. It also provides a solution to eliminate the drift of the strain parameter time history curve. This article proposes the weighted least squares algorithm segmented polynomial fitting algorithm, which can quickly fit the main trend lines, greatly improving the accuracy and efficiency of processing massive load measurement data. The processing results are more in line with the real situation, and they also provide more reliable data for subsequent load calculation and load spectrum compilation work. Based on the research and analysis of the load measurement processing model, a hierarchical and multi-granularity parallel algorithm is proposed. This algorithm is conducive to fully utilizing the computing potential of clusters and multi-core processors, and it is more conducive to improving the parallelism of the algorithm than single-layer parallel computing in the usual mode. Therefore, it provides an efficient parallel solution for statistical analysis of measured data. The required equipment for the system is a personal computer, which has a high cost-effectiveness. The proposed multi-level parallel algorithm has good robustness and an efficient solution. The software system program runs stably and has good results. Finally, it should be noted that due to the fact that the actual takeoff and landing times of this type of aircraft are almost the same, and the amount of data for each takeoff and landing is not significantly different. In order to simplify the system complexity, a static cyclic allocation method is adopted to simplify the load balancing problem of the calculation nodes. For the actual data of other types of aircrafts that may be encountered in the future, further analysis and improvement of the system’s load balancing problem can be carried out according to the actual situation, providing a reference.
Author Contributions
Y.T. wrote the entire article, conceptualized the algorithm, implemented the initial code library, and wrote the original manuscript. F.Z. made contributions to the development and fine-tuning of the algorithm, guided Y.T. in writing the full text, and assisted in writing and revising the manuscript. J.J. analyzed the calculation results of the article and contributed to the interpretation of these results in the manuscript. Z.F. assisted Y.T. in conducting the experiment and data collection, and provided good modification suggestions. All authors have read and agreed to the published version of the manuscript.
Funding
This work is funded by Qing Lan Project and National Natural Science Foundation of China (No. 51775270).
Institutional Review Board Statement
I declare that this research article does not involve human ethical issues.
Informed Consent Statement
All authors are aware of the publication of the paper and commit not to involve human research.
Data Availability Statement
The data set generated during current study was not publicly because it was funded by the Qinglan Program and the National Natural Science Foundation, but it can be obtained from the corresponding authors according to reasonable requirements.
Conflicts of Interest
The authors declare no conflicts of interest.
References
- Liu, K.; Yan, C. Load Measurement and Compilation of Landing Gear of Airplane. Acta Aeronaut. Astronaut. Sin. 2011, 32, 841–848. [Google Scholar]
- Zhao, J.; Zhang, L. Research and Development of Multi-channel Dynamical Test and Analysis System Based on Sigma-Delta Model. Acta Aeronaut. Astronaut. Sin. 2008, 29, 1640–1646. [Google Scholar]
- He, F. Aircraft Wing Flight Load Model Based on Multiple-point Coordinated Loading Calibration Test. Mech. Sci. Technol. Aerosp. Eng. 2015, 34, 1800–1804. [Google Scholar]
- Yan, C.L.; Zhang, S.M.; Ye, G.; Gao, Z.T. Data Treatment Expert System for Median Stochastic Load-Spectrum. J. Beijing Univ. Aeronaut. Astronaut. 2000, 26, 428–431. [Google Scholar]
- Yan, C.-L.; Gao, Z.-T. Compilation Theory of Median Stochastic Fatigue Load Spectrum with High Confidence Level For Airplane. Acta Aeronaut. Astronaut. Sin. 2000, 21, 118–123. [Google Scholar]
- Coelho, P.G.; Cardoso, J.B.; Fernandes, P.R.; Rodrigues, H.C. Parallel computing techniques applied to the simultaneous design of structure and material. Adv. Eng. Softw. 2011, 42, 219–227. [Google Scholar] [CrossRef]
- Allen, R.; Kennedy, K. Optimizing Compilers for Modern Architectures: A Dependence-Based Approach; Morgan Kaufmann Publishing Incorporated: Burlington, MA, USA, 2001. [Google Scholar]
- Casado, R.; Younas, M. Emerging trends and technologies in big data processing. Concurr. Comput. Pract. Exp. 2015, 27, 2078–2091. [Google Scholar] [CrossRef]
- Wang, H.; Bai, H.; Zhao, Y.; Wang, D.; Wang, X.; Wang, S. The removal method of the blasting vibration signal trend item and noise. Shock. Vib. 2021, 2021, 1645380. [Google Scholar] [CrossRef]
- Eriksson, L.; Byrne, T.; Johansson, E.; Trygg, J.; Vikström, C. Multi-and Megavariate Data Analysis Basic Principles and Applications; Umetrics Academy: Umeå, Sweden, 2013. [Google Scholar]
- Navarro, C.A.; Hitschfeld-Kahler, N.; Mateu, L. A survey on parallel computing and its applications in data-parallel problems using GPU architectures. Commun. Comput. Phys. 2014, 15, 285–329. [Google Scholar] [CrossRef]
- Christen, P.; Hegland, M.; Roberts, S.; Nielsen, O.M.; Churches, T.; Lim, K.; Branch, S. Parallel Computing Techniques for High-Performance Probabilistic Record Linkage; Data Mining Group, Australian National University, Epidemiology and Surveillance Branch: Canberra, Australia, 2002; pp. 1–11. [Google Scholar]
- Ren, W.; Ren, Q.; Han, L.; Liu, Y.; Peng, B. Piecewise polynomial fitting with trend item removal and its application in a cab vibration test. J. Sens. 2018, 2018, 3417692. [Google Scholar] [CrossRef]
- Gebali, F. Algorithms and Parallel Computing; John Wiley & Sons: Hoboken, NJ, USA, 2011. [Google Scholar]
- Grama, A. An Introduction to Parallel Computing: Design and Analysis of Algorithms; Pearson Education India: Chennai, India, 2008. [Google Scholar]
- Li, H.-J. Research on cluster-based parallel finite element analysis. Chin. J. Comput. Mech. 2007, 24, 117–123. [Google Scholar]
- Xiong, J.J.; Shenoi, R.A. A load history generation approach for full-scale accelerated fatigue tests. Eng. Fract. Mech. 2008, 75, 3226–3243. [Google Scholar] [CrossRef]
- Zhou, J.; Tong, X.-Y. Rapid realization method of rain-flow counting. Sci. Technol. Eng. 2008, 8, 3544–3547. [Google Scholar]
- Flynn, M.J. Some computer organizations and their effectiveness. IEEE Trans. Comput. 1972, 100, 948–960. [Google Scholar] [CrossRef]
- Nanthaamornphong, A. A pilot study: Design patterns in parallel program development. In Proceedings of the 1st International Workshop on Software Engineering for High Performance Computing in Computational Science and Engineering, Denver, CO, USA, 17–21 November 2013; pp. 17–20. [Google Scholar]
- Czarnul, P. Parallel Programming for Modern High Performance Computing Systems; CRC Press: Boca Raton, FL, USA, 2018. [Google Scholar]
- Belikov, E.; Deligiannis, P.; Totoo, P.; Aljabri, M.; Loid, H.-W. A Survey of High-Level Parallel Programming Models; Technical Report; Heriot-Watt University: Edinburgh, UK, 2013. [Google Scholar]
- Rashid, Z.N.; Zebari, S.R.M.; Sharif, K.H.; Jacksi, K. Distributed cloud computing and distributed parallel computing: A review. In Proceedings of the 2018 International Conference on Advanced Science and Engineering (ICOASE), Duhok, Irak, 9–11 October 2018; pp. 167–172. [Google Scholar]
Disclaimer/Publisher’s Note: The statements, opinions and data contained in all publications are solely those of the individual author(s) and contributor(s) and not of MDPI and/or the editor(s). MDPI and/or the editor(s) disclaim responsibility for any injury to people or property resulting from any ideas, methods, instructions or products referred to in the content. |
© 2024 by the authors. Licensee MDPI, Basel, Switzerland. This article is an open access article distributed under the terms and conditions of the Creative Commons Attribution (CC BY) license (https://creativecommons.org/licenses/by/4.0/).