Next Article in Journal
Transferable Deep Learning Models for Accurate Ankle Joint Moment Estimation during Gait Using Electromyography
Next Article in Special Issue
Influence of Vinyl Acetate-Based and Epoxy-Based Compatibilizers on the Design of TPS/PBAT and TPS/PBAT/PBSA Films
Previous Article in Journal
Optimizing Road–Rail Multimodal Transport Schedule for Emergency Response with Congestion and Transshipment Sequence Selection
 
 
Font Type:
Arial Georgia Verdana
Font Size:
Aa Aa Aa
Line Spacing:
Column Width:
Background:
Article

Thermal Buckling and Postbuckling Analysis of Cracked FG-GPL RC Plates Using a Phase-Field Crack Model

Department of Naval Architecture and Ocean Engineering, Hongik University, Jochiwon, Sejong 30016, Republic of Korea
Appl. Sci. 2024, 14(19), 8794; https://doi.org/10.3390/app14198794
Submission received: 10 August 2024 / Revised: 20 September 2024 / Accepted: 25 September 2024 / Published: 29 September 2024

Abstract

Featured Application

Novel design of functionally graded graphene nanocomposite structures.

Abstract

A phase-field crack model is developed for numerical analysis of thermal buckling and postbuckling behavior of a functionally graded (FG) graphene platelet-reinforced composite (FG-GPLRC) plate with a central crack. The inclined central crack is represented according to a stable, effective phase-field formulation (PFF) by introducing a virtual crack rotation. The problem is formulated using first-order shear deformation theory (SDT) incorporated with von Kármán geometric nonlinearity. And it is approximated by combining regular Laplace interpolation functions and crack-tip singular functions in the framework of the 2D extended natural element method (XNEM). Troublesome shear locking is suppressed by applying the concept of the MITC (mixed-interpolated tensorial components)3+ shell element to the present numerical method. The results demonstrate the effectiveness of this method in accurately predicting the critical buckling temperature rise (CBTR) and the thermal postbuckling path. In addition, the parametric results reveal that the CBTR and postbuckling path of the FG-GPLRC plate are distinct from those of the FG carbon nanotube-reinforced composite (FG-CNTRC) plate and remarkably affected by the parameters associated with the crack and graphene platelet (GPL).

1. Introduction

Recently, graphene platelets (GPLs) have been spotlighted as a next-generation nanofiller for various composite materials because they provide excellent physical, chemical, and electrical properties [1,2]. Composite structures reinforced with graphene platelets are called graphene platelet-reinforced composites (GPLRCs), and their properties are dramatically increased when only a tiny amount of GPLs are included [3]. GPLRC structures are typically fabricated in the form of beams, plates, and shells, and basic thermo-mechanical behaviors, such as static bending, free vibration, and thermal and mechanical buckling, have been intensively examined for the successful application of GPLRC structures in engineering applications [4,5,6]. Besides the GPL amount, the thermo-mechanical responses of GPLRC structures are also remarkably affected by the thickness-wise GPL dispersion distribution. Several purposeful functional distributions of GPLs have been suggested, and functionally graded GPLRC (hereafter FG-GPLRC) structures are being widely investigated with respect to these primitive functional distribution patterns [7,8,9,10,11,12,13].
The term functionally graded was inspired by the concept of FG material (FGM), in which the material composition varies functionally and continuously in a specific direction [14]. The base material particles in FGMs vary continuously and functionally in a specific direction to maximize the target performance by overcoming the inherent demerits of lamination-type composites [15]. Maximizing the target performance of FG-GPLRC structures can be achieved by selecting the best primitive distribution pattern or by creating an optimal distribution pattern, using the optimization technique [16]. This maximization can be achieved once the thermo-mechanical behaviors of these nanocomposite structures have been sufficiently investigated. Meanwhile, functionally graded GPLRC beams, plates, and shells are geometrically characterized by their small thickness compared to their characteristic length. Therefore, these structures can easily buckle when in-plane compressive loads are applied [17], and the structures abruptly lose their load-bearing strength when buckling occurs. In-plane compressive loads are frequently produced when the structures subject to the displacement constraint are exposed to thermal environments. Therefore, understanding thermal buckling and postbuckling in FG-GPLRC structures is important for their successful application in the target engineering field.
Regarding thermal buckling, Shen et al. [18] conducted modeling and analysis of the thermal buckling of FG-GPLRC plates resting on an elastic foundation by applying a two-step perturbation technique to a higher-order SDT. Wu et al. [19] numerically investigated the effects of the GPL distribution pattern, concentration, and geometry on the thermal buckling and postbuckling behaviors of FG multilayer nanocomposite plates reinforced with GPLs. Mirzaei and Kiani [20] studied the thermal buckling of composite laminated plates reinforced by graphene sheets using a non-uniform rational B-spline (NURBS) based isogeometric finite element method. Rafiee et al. [21] introduced a mathematical model to study the thermal postbuckling of multiscale fiber-reinforced graphene composites based on the Euler–Bernoulli beam theory and the von Kármán geometric nonlinearity. Arefi et al. [22] carried out a size-dependent thermal buckling analysis of a micro-plate composed of epoxy, which is reinforced with FG-GPLs based on modified couple stress theory and sinusoidal SDT. Song et al. [23] numerically investigated the thermal buckling and postbuckling of edge-cracked FG-GPLRC beams resting on an elastic foundation with respect to the parameters of the GPL, crack, and elastic foundation. Safarpour et al. [24] investigated the thermal buckling of a size-dependent composite cylindrical nanoshell reinforced with GPLs, which is placed on an elastic foundation using Hamilton’s principle with the help of analytical methods. Javani et al. [25] analyzed the thermal buckling of composite laminated annular sector plates, which are reinforced with GPLs by applying the generalized differential quadrature method (DQM) to first-order SDT incorporated with von Kármán geometric nonlinearity. Van Do and Lee [26] numerically investigated the influences of GPL pattern, plate geometry parameter, and surface temperature profile on the buckling and postbuckling of GPLRC plates under diverse thermal loadings using the isogeometric analysis method. Wang and Zhang [27] numerically studied the thermal buckling and postbuckling behaviors of porous GPLRC beams by reflecting the temperature-dependent material properties, for which higher-order SDT and von Kármán geometric nonlinearity were combined. Mohammadi [28] numerically investigated the thermal buckling behavior of trapezoidally corrugated FG-GPLRC laminated panels by applying the isogeometric method to higher-order SDT. Li et al. [29] analytically solved the thermal buckling and postbuckling of FG-RPLRC multilayer microtubes by applying the minimum potential energy principle to a refined higher-order beam theory with von Kármán geometric nonlinearity.
Most existing studies have focused on the buckling behavior of intact plates, while research on the thermal buckling of cracked plates is relatively limited. Micro-cracking may occur within the nanocomposite-reinforced GPLs when severe thermal loading, such as thermal shock, is applied [30,31]. The stiffness of the structure is significantly reduced when cracking occurs within the structure because the region in the vicinity of the cracks loses its load-bearing capacity due to crack-induced damage. Therefore, crack-induced damage cannot be ignored in the examination of the mechanical behaviors of GPLRC structures. Meanwhile, in a numerical study using the grid-based numerical approximation method, crack modeling was achieved by dividing the nodes lying on the crack [32]. However, this meshing-based approach to crack modeling is not only laborious but also causes numerical instability [33]. The creation of additional nodes during node separation requires the complex adaptation of node numbering and element connectivity, and furthermore, it deteriorates the grid uniformity and causes distorted elements. To overcome this numerical problem, a phase-field formulation (PFF) has been introduced and widely adopted in the fracture mechanics community [34,35,36,37]. In this approach, the existence of a crack line is represented by introducing the phase-field variable, which indicates the damage level of the structure, to avoid the numerical instability caused by node separation in the grid-based traditional method.
In this context, this study intends to fill the important gap in the study of thermal buckling and postbuckling of FG-GPLRC plate by introducing an effective phase-field formulation to handle an inclined central crack. The numerical method was developed in the framework of the 2D extended natural element method (XNEM), in which the crack-induced singularity is captured by adding the crack-tip singular functions without locally refining the NEM grid [38,39]. The inclined crack line is basically represented according to the phase field formulation by introducing a virtual rotation of an inclined crack line. The thermally induced large deformation is expressed by first-order SDT incorporated with von Kármán nonlinearity, and the troublesome shear locking [40,41], the deterioration of numerical accuracy for the bending-dominated thin structures, is suppressed by adopting the MITC3+ shell approach and stabilization parameters [42,43]. The developed numerical method is validated through benchmark tests, and the thermal buckling and postbuckling responses of the cracked FG-GPLRC plates are investigated by changing the major parameters. In addition, a comparison of thermal buckling and postbuckling between GPLRCs and CNTRCs is also presented.

2. Functionally Graded GPLRC Plate with a Central Crack

Figure 1a shows a uniform-thickness rectangular plate of GPLs mixed according to a specific distribution through thickness, where black dots indicate GPL particles. In addition, an inclined central crack exists within the plate. The plate mid-surface is denoted by ω with two side lengths a and b and uniform thickness h ; then the material domain Ω 3 of the plate can be expressed by Ω = ω × h / 2 , h / 2 . Figure 1b shows different FG distribution patterns of GPLs indicated by black dots: FG-U, FG-O, FG-Λ, and FG-X. GPLs are uniform for FG-U, biased at the mid-surface for FG-O, biased at the bottom side for FG-Λ, and biased at the top and bottom sides for FG-X, respectively. The neutral surface ϖ is away from the mid-surface when the material composition is not symmetric with respect to the mid-surface, and the distance e between the two surfaces is calculated using the formulae given later.
The underlying matrix material and GPLs are mixed in the GPLRC plate, and the volume fractions of matrix and GPL are denoted by V m z and V G P L z in the function of thickness co-ordinate z . Both volume fractions satisfy the following physical relation [14]:
V G P L z + V m z = 1
So the choice of either one is sufficient to represent both volume fractions. The present study chooses the thickness-wise GPL volume fraction V G P L z , which is expressed as
V G P L z = V G P L * , FG     U   2 1 2 z / h V G P L * , FG O   1 2 z / h V G P L * , FG Λ 2 2 z / h V G P L * , FG X
for the above-mentioned four GPL distribution patterns shown in Figure 1b. V G P L * indicates the total GPL volume fraction calculated as [19]
V G P L * = g G P L g G P L + ρ G P L 1 g G P L / ρ m
in terms of the total mass fraction g G P L * and density ρ G P L of the GPLs and the density ρ m of the matrix material (hereafter, the subscript m stands for the matrix material).
Graphene platelets are typically modeled as rectangular solids of length l G P L , width w G P L , and thickness t G P L , and are assumed to be uniformly mixed into a polymer matrix in a local sense. Thus, the GPLRC structures are treated as isotropic with the effective elastic modulus E given by [19,44]
E = 3 8 1 + ξ L η L V G P L 1 η L V G P L E m + 5 8 1 + ξ T η T V G P L 1 η T V G P L E m
according to the Halphin–Tsai micromechanics approach. Two parameters η L and η T are defined by [19]
η L = E G P L E m E G P L + ξ L E m , η T = E G P L E m E G P L + ξ T E m
in terms of the elastic moduli E G P L and E m of GPL and matrix material and the geometric parameters ξ L = 2 l G P L / t G P L and ξ T = 2 w G P L / t G P L . The effective Poisson’s ratio ν and thermal expansion coefficient α t are calculated by
ν = V G P L ν G P L + V m ν m
α T = V G P L α t , G P L + V m α t , m
using the simplest linear rule of mixtures. Since the volume fractions are in the function of co-ordinate z , the effective material properties in Equations (4), (6), and (7) are also in the function of z . The neutral surface may not coincide with the mid-surface, as mentioned above, but the present work will be formulated based on the neutral surface. The vertical distance e of the neutral surface from the mid-surface is determined by [45]
e = h / 2 h / 2 z E z d z / h / 2 h / 2 E z d z
Figure 2 depicts a central crack within the GPLRC plate, where the crack line is represented by phase-field formulation. The crack length c and the inclination angle α are taken variable for the parametric investigation. The polar co-ordinates r , θ are positioned at each crack tip to introduce the singular functions which are employed to represent the crack-tip singularity [46]. A crack can be modeled by creating a crack line or adopting the phase-field formulation (PFF) [34,47] without creating a crack line. The crack line is usually created by dividing nodes on the crack line in grid-based numerical methods [32]. However, this direct method is not only laborious, but it can also lead to uneven, distorted grids, which can reduce numerical accuracy and lead to numerical instability. Meanwhile, the PFF approach uses an additional state variable called phase field ψ x ( 0 ψ 1 ) to represent the state of crack-induced damage. The fully damaged state is indicated by the value of ψ = 1 , while the completely undamaged state is denoted by the value of ψ = 0 . Then, the crack line is represented by the nodes with ψ = 1 , and the intermediate state with the value of 0 < ψ < 1 represents the transition region [34] between the crack line and the perfectly undamaged region. Then, the crack-induced stress distribution can be represented by the difference in the plate stiffness between the crack line and the purely undamaged region. In the PFF, the total strain and potential energies U and W g due to the in-plane loading of the cracked structure are expressed as [48]
U = Ω 1 ψ 2 U ^ d V
W g = Ω 1 ψ 2 W ^ d V
where U ^ and W ^ g denote the total strain and potential energies, respectively, when the structure is perfectly undamaged.

3. Natural Element Approximation of Strain and Stress Fields

By adopting the first-order SDT, the displacement field u = u , v , w T of an FG-GPLRC plate subjected to thermal loading is expressed as
u v w x , y , z = u 0 v 0 w 0 x , y + z β x β y 0 x , y
Here, the nodal translation vector a = u 0 , v 0 , w 0 T and the nodal rotation vector r = β x , β y T are combined into a displacement nodal vector b = u 0 , v 0 , w 0 , β x , β y T for description convenience.
The thermally induced large deflection of the FG-GPLRC plate is represented by von Kármán nonlinearity. Then, the compatibility relations between displacement and strain are expressed as
ε = u 0 x + 0.5 w ˜ , x w x v 0 y + 0.5 w ˜ , y w y v 0 x + u 0 y + 0.5 w ˜ , x w x + w ˜ , y w y + z β x x β y y β x y + β y x = H L + H N L b
γ = β y + w 0 y β x + w 0 x = H s b
with ε = ε x x , ε y y , 2 ε x y T and γ = γ y z , γ z x T . H L , H N L and H s indicate the 3 × 5 and 2 × 5 partial derivative matrices defined by
H L = H x 0 0 z H x 0 0 H y 0 0 z H y H y H x 0 z H y z H x
H N L = 0 0 w ˜ , x H x / 2 0 0 0 0 w ˜ , y H y / 2 0 0 0 0 w ˜ , x H y + w ˜ , y H x / 2 0 0
H s = 0 0 H y 0 1 0 0 H x 1 0
with H x = / x and H y = / y . Here, w ˜ , x and w ˜ , y are the partial derivatives of w which are given a priori, as will be explained later. Then, the strain-stress constitutive relations, considering the thermal effect, are expressed as
σ = E 1 ν 2 1 ν 0 ν 1 0 0 0 1 ν / 2 ε x x α t Δ T ε y y α t Δ T 2 ε x y = D H L + H N L b α t Δ T 1
τ = G 0 0 G γ y z γ z x = D s H s b
with σ = σ x x , σ y y , σ x y T , τ = τ y z , τ z x T and 1 = 1 , 1 , 0 T .
For the natural element approximation of the thermally induced displacement field, the neutral surface ϖ is uniformly divided into three-node Delaunay triangles, as shown in Figure 3. Delaunay triangles and nodes generate an NEM grid, and Laplace interpolation (L/I) functions and their domains are represented, together with a central crack in red. The abrupt increase in the stress distribution, called the singular behavior, in the vicinity of the crack tips, is represented by adding the crack-tip singular functions instead of the local grid refinement near the crack tip. Then, the enhanced displacement approximation u h x , y , z in the 2D XNEM is expressed as
u h x = J = 1 N a J + z r J φ J x , y + I = 1 2 k = 1 4 a ^ I k + z r ^ I k Q I k r , θ Q I k r , θ R I k r , θ
where, φ J x , y are the regular L/I functions [48,49] and Q k r , θ and R k r , θ are the crack-tip singular functions defined by [45]
Q I k r , θ = r sin θ , r cos θ , r sin θ sin θ , r cos θ sin θ
R I k r , θ = r sin θ , 0 , 0 , 0
with θ = θ / 2 . Where, b J = a J , r J indicates the regular nodal displacement vector of the J -th node in the NEM grid shown in Figure 3, which consists of M Delaunay triangles and N nodes. Meanwhile, s I k = a ^ I k , r ^ I k denotes the singular vector of the k-th singular function at the I-th crack tip. The polar co-ordinates r , θ I   I = 1 , 2 are defined at two crack tips, as depicted in Figure 2.
Substituting Equation (19) into Equations (12) and (13) leads to the enriched approximation of nonlinear in-plane strain ε h and transverse shear (T/S) strain γ h :
ε h = J = 1 N H L + H N L φ J b J + I = 1 2 k = 1 4 H L + H N L Φ I k s I k = J = 1 N B L J + B N L J b J + I = 1 2 k = 1 4 Q I , L k + Q I , N L k s I k
γ h = J = 1 N H s φ J b J + I = 1 2 k = 1 4 H s Φ I k s I k = J = 1 N B s J b J + I = 1 2 k = 1 4 Q s I k s I k
with Φ I k = Q I k , Q I k , R I k . Here, B L J , B N L J and B s J denote H L φ J , H N L φ J and H s φ J , respectively similarly, Q L J , Q N L J and Q s J are defined by replacing φ J with Φ I k .
Referring to Figure 3, each L/I function is non-vanishing only over its support so that the displacement field approximated using L/I functions is continuous support-wise. In other words, the approximate displacement field belongs to C 0 —continuous over the entire domain. Therefore, the first term on the right-hand side of Equation (23) may suffer from shear locking when the structure is thin and bending-dominated [40,41]. This accuracy deterioration can be effectively resolved by indirectly interpolating the first term in the T/S strain (i.e., the non-singular term according to the MITC3+ shell concept [42]. The interpolation of non-singular T/S strain using this concept is summarized in Appendix A. The analytic manipulation of Equations (A1) and (A2) using Equations (13) and (16) provides the triangle-wise non-singular T/S strain given by [50]
γ e h = B ^ e b e
where B ^ e is the 2 × 15 triangle-wise matrix expressed in terms of ξ , η and z , and b e = b 1 e , b 2 e , b 3 e indicates the 15 × 1 regular triangle-wise nodal vector.
Next, by substituting Equations (22)–(24) into Equations (17) and (18), one can obtain the in-plane stress σ h and the T/S stress τ h
σ h = J = 1 N D B L J + B N L J b J + I = 1 2 k = 1 4 D Q L J + Q N L J s I k D α t Δ T 1
τ h = e = 1 M D s B ^ e b e + I = 1 2 k = 1 4 D s Q s I k s I k
enhanced with the crack-tip singular functions.

4. Natural Element Approximation of Thermal Buckling and Postbuckling

The thermoelastic large deformation of an FG-GPLRC plate with a central crack is governed by the virtual work principle given by
δ U = 0
In the PFF, the virtual strain energy δ U of the cracked FG-GPLRC plate is calculated by [47]
δ U = h / 2 + e h / 2 e ϖ 1 ψ 2 δ ε T σ d A d z
with e being the vertical distance to the neutral surface. Then, substituting Equations (22)–(26) into Equation (27) leads to the nonlinear simultaneous equations given by
K L , σ + e = 1 M K L , s e + K N L d ¯ = F
to compute the extended nodal vector d ¯ = b ¯ 1 , b ¯ 2 , , b ¯ N , s ¯ 1 1 , , s ¯ 2 4 T which is composed of the non-singular and singular nodal values. The linear and nonlinear stiffness matrices K L , σ , K L , s e , K N L and the load vector F will be defined later.
Meanwhile, the thermal buckling and postbuckling of the FG-GPLRC plate under thermal loading is governed by the variation in total potential energy:
δ U δ W g = 0
where the variation in total potential energy δ W g due to the in-plane thermal loading is defined by
δ W = h / 2 + e h / 2 e ϖ 1 ψ 2 δ u α , β T S b δ u α , β d A d z
with the 9 × 9 matrix containing the thermal stresses
S b = S 0 0 0 0 S 0 0 0 0 S 0 , S 0 = σ x x σ x y τ x z σ y x σ y y τ y x τ z x τ z y 0
and the displacement gradient vector u α , β given by
u α , β = u , x u , y u , z v , x v , y v , z w , x w , y w , z T = G J b J + G ^ I k s I k
In which G J and G I k are the 9 × 5 matrix containing the partial derivatives of L/I functions φ J and Φ I k respectively, and which are defined by
G J = G J 1 0 0 G J 2 0 0 G J 1 0 0 G J 2 0 0 G J 1 0 0 , G ^ I k = G ^ I 1 k 0 0 G ^ I 2 k 0 0 G ^ I 1 k 0 0 G ^ I 2 k 0 0 G ^ I 1 k 0 0
with
G J 1 = φ J x φ J y 0 T , G J 2 = z φ J x z φ J y φ J T
Here, G ^ I 1 k and G ^ I 2 k are defined by replacing φ J in Equation (35) with Φ I k . The thermal stresses in Equation (32) are calculated using Equations (25) and (26) after the thermoelastic analysis in Equation (29).
Meanwhile, in this study, the phase field ψ x is also approximated using the same L/I functions taken for the displacement approximation. However, the crack line may not coincide with any one in vertical, horizontal or inclined lines within the NEM grid, as illustrated in Figure 4, where a red line indicates an inclined central crack. In this case, the phase field approximated using the NEM grid cannot represent such a crack line without any extra numerical technique. In this study, this problem is successfully and effectively resolved by introducing a virtual rotation T R of the crack line, which is defined by
T R : x C 2 x ¯ P 2
Referring to Figure 4, the crack co-ordinates x C 2 in red, including the crack line, are to be transformed to the phase-field co-ordinates x ¯ P 2 such that the crack line coincides with the inclined line within the NEM grid. According to the virtual rotation of the inclined crack, the detailed geometry transformation from the crack co-ordinates to the phase-field co-ordinates is expressed as
x ¯ y ¯ = x O y O + R ¯ cos θ ¯ sin θ ¯ , θ ¯ = tan 1 y x α + θ G
with R ¯ 2 = x x 0 2 + y y 0 2 , where x 0 , y 0 indicates the center of the crack and α and θ G denote the angles of the crack and inclined NEM line, respectively.
Substituting Equations (31)–(35) into Equation (30) leads to the nonlinear eigenvalue equations for the cracked FG-GPLRC plate subjected to uniform temperature rise
K L , σ + e = 1 M K L , s e + K N L d ¯ λ K g d ¯ = 0
Here, two linear stiffness matrices K L , σ and K L , s e , the nonlinear stiffness matrix K N L , the geometric stiffness matrix K g , and the load vector F are defined by
K L , σ = h / 2 + e h / 2 e ϖ 1 ψ 2 B L + Q L T D B L + Q L d A d z
K L , s e = h / 2 + e h / 2 e ϖ e 1 ψ 2 B e + Q s T D ^ s B e + Q s d A d z
K N L = h / 2 + e h / 2 e ϖ 1 ψ 2 A L T D A N L + A N L T D A L + A N L T D A N L d A d z
K g = h / 2 + e h / 2 e ϖ 1 ψ 2 G + G ^ T S b G + G ^ d A d z
F = h / 2 + e h / 2 e ϖ 1 ψ 2 A L + A N L T D α t Δ T 1 d A d z
with A L = B L + Q L and A N L = B N L + Q N L . In addition, D ^ s indicates the shear modulus matrix modified as
D ^ s = σ 1 + ϑ L e / h 2 G 0 0 G
for further stabilization of shear locking suppression, where L e is the longest side length of the Delaunay triangle. Here, ϑ ϑ > 0 and σ σ > 0 are a shear stabilization parameter [43] and an iteration compensation factor, which are determined through the preliminary experiment. The critical buckling temperature rise (CBTR) Δ T c r is determined by multiplying the lowest eigenvalue λ 1 by the uniform temperature increment Δ T such that Δ T c r = λ 1 Δ T .
Figure 5 shows a flowchart for the thermal buckling and postbuckling analysis of the cracked FG-GPLRC plate using the proposed 2D XNEM with a phase-field crack model. The linear buckling analysis is made by excluding the nonlinear stiffness matrix K N L in Equations (29) and (38) and the nonlinear strain term A N L in the load vector F in Equation (43). The linear thermoelastic Equation (33) is first solved to compute the thermal stress matrix S b , and then the linear thermal buckling analysis (42) is to be carried out. The postbuckling path is traced by including K N L and A N L into Equations (29) and (38) according to the three-step direct iterative scheme [51]. At step 1, both the linear eigenvalues and linear buckling modes are computed through the linear thermoelastic and eigenvalue analyses. At step 2, the computed buckling modes d ¯ is forced to be scaled up with the desired calibrated central deflection w max / h , from which w ˜ , x and w ˜ , y in Equation (15) are determined and the nonlinear stiffness matrix K N L and A N L are prepared. At step 3, the nonlinear eigenvalues and buckling modes are computed. Here, steps 2 and 3 are iteratively performed until the following convergence criterion given by
Δ T c r k + 1 Δ T c r k Δ T c r k δ , k = 0 , 1 , 2 ,
is satisfied.

5. Numerical Results

The stiffness matrices and load vector introduced in the previous section were numerically integrated by applying seven Gauss points to each triangle and dividing the thickness into 50 uniform segments for the trapezoidal rule. The uniform temperature increment Δ T and the convergence tolerance δ in Equation (46) are set by 10 and 1.0 × 10 3 , respectively, while the shear stabilization parameter ϑ and the iteration compensation factor are set by 0.1 and 1.0 unless otherwise stated. A square plate with an inclined central crack is considered, where the sides a and b and the thickness h are set by 1.0 m and 0.04 m. Three kinds of boundary conditions (BCs), i.e., clamped (C), simply-supported (S), and immovable simply-supported (IMM S) boundary conditions, are used. The clamped boundary condition is implemented as
C :   u 0 = v 0 = ω 0 = ϑ x = ϑ y = 0
while two simply-supported BCs are enforced as
S :   v 0 = ω 0 = ϑ y = 0
IMM   S :   u 0 = v 0 = ω 0 = ϑ y = 0
at θ = 0 or θ 0 . The components v 0 and ϑ y in Equation (47) and ϑ y in Equation (48) are replaced with u 0   ϑ x and ϑ x for the sides at y = 0 or L . The immovable simply-supported BC is classified into the fully immovable (FIMM S) or the partially immovable (PIMM S) BC, depending on whether all sides are immovable or only the opposite two sides are immovable.
First, the convergence of the critical buckling temperature parameter (CBTP) λ T = 10 3 α Δ T c r to the NEM grid density is tested using an intact isotropic plate with the following material properties: E = 70   GPa , ν = 0.3 and α = 23 × 10 6 / K . The fully immovable simply-supported condition (FIMM S) is enforced at all sides of the plate. As recorded in Table 1, the CBTPs λ T were computed by increasing the NEM grid density from 11 × 11 to 23 × 23 , and the relative differences λ T r e l were calculated as λ T λ ^ T / λ ^ T × 100 % with the λ ^ T at a grid density 23 × 23 . The value of λ T shows a convergence with the uniform decrease in the relative difference λ T r e l such that the grid density of 21 × 21 produces a relative difference of less than 3.0%. Hence, this grid density was selected for all of the numerical experiments in this study.
The critical temperature parameters λ T were also computed for three different thickness ratios a / h = 10 , 20, and 100, and compared with the reference solutions, as shown in Table 2. Wu et al. [19] applied the DQM to the first-order SDT, while Zhang et al. [52] and Zhao et al. [53] applied the local Kriging meshless and element-free kp-Ritz methods to the first-order SDT, respectively. It turns out that this method agrees well with the three reference methods, with the peak relative difference equal to −1.775% from Zhao et al. [53] at a / h = 10 .
Next, the thermal postbuckling path was computed with an intact isotropic plate under a uniform temperature rise that is partially immovable and simply-supported. The nonlinear Equation (38) was solved by increasing the calibrated central deflection w max / h from zero to unity with a uniform increment of 0.2. The geometric dimensions of the plate are a = b = 0.2   m and a / h = 100 , and the elastic properties are E = 1.0 MPa , ν = 0.15 and α = 1.0 × 10 6 / K , respectively. The iteration compensation factor σ was set to σ = 1 + w ¯ c 2 with the calibrated central deflection w ¯ c = w c / h , and which was chosen by referring to the solutions of Wu et al. [19] and Liew et al. [54]. This factor was adopted because the nonlinear stiffness matrix K N L in Equation (41) is modified during the nonlinear iteration, which differs from the linear shear stiffness matrix K L , s e in Equation (40), which is unchanged during the iteration. The computed thermal postbuckling path is represented in Figure 6 with two reference solutions, where Δ T c r , L and Δ T c r , N L indicate the linear and nonlinear CBTR. Liew et al. [54] obtained the path by combining a Galerkin differential quadrature iteration algorithm and Reddy’s higher-order SDT.
Table 3 compares the CBTRs of a simply-supported Al/ZrO2 functionally graded square plate with an inclined central crack. The volume fraction V c z of ZrO2 is expressed as V c z = 0.5 + z / h n , and the elastic properties are E m = 70   GPa , ν m = 0.3 ,   α m = 23 × 10 6 / ° C for Al and E c = 151   GPa , ν c = 0.3 , α c = 10 × 10 6 / ° C for ZrO2, respectively. The sides and thickness of the plate are a = b = 1.0   m and a / h = 10 , and the crack angle and relative length are α = 90 ° and c / a = 0.6 . The CBTR values were computed for five different ceramic indices, n = 0 , 0.5 , 1 , 2 , and 5, and compared with the reference solutions. The CBTR has been shown to decrease uniformly proportional to the ceramic volume fraction index n because the increase in the volume fraction of metals with a higher coefficient of thermal expansion decreases the thermal buckling stiffness of the plate as the index n increases [55]. Meanwhile, good agreement between the present method and two reference methods is clearly seen such that the maximum relative difference is 5.585% at n = 0.5 . Do et al. [56] obtained solutions by applying the phase-field theory to first-order SDT, while Yu et al. [57] combined the extended isogeometric analysis (XIGA) and level sets into first-order SDT. The verification results show that the present phase-field crack model can stably predict the thermal buckling behavior of composite plates containing cracks.
Next, the CBTRs of intact and immovable simply-supported FG-GPLRC plates with a side length a = b = 1.0   m and the GPL mass fraction g G P L * = 0.3 % are computed and compared in Table 4. The CBTRs were computed by changing the thickness ratio a / h and the GPL distribution pattern for PIMM and FIMM simply-supported BCs. The base matrix material is epoxy with the elastic properties [58] given by E m = 3.0   GPa , ν m = 0.34 , and α m = 60 × 10 6 / K , while the sizes and the elastic properties of GPLs are as follows [59]: E G P L = 1.01   TPa , ν G P L = 0.186 , l G P L = 2.5   μ m , w G P L = t G P L = 1.5   μ m , and α G P L = 5.0 × 10 6 / K . This method appears to provide CBTR that is reasonably consistent with the method of Wu et al. [19] with the maximum relative difference of 10.619% at a / h = 45 for PIMM simply-supported condition. Meanwhile, the CNTRs of PIMM S are higher than those of FIMM S because thermally induced deformation in PIMM S can occur in the in-plane direction of the plate more easily than in FIMM S [19].
Meanwhile, CBTR decreases uniformly as the relative thickness ratio a / h increases, regardless of the GPL distribution pattern, as represented in Figure 7a. This is because the buckling stiffness of the plate becomes lower as the plane thickness becomes smaller. Among the GPL distribution patterns, FG-X has the highest CBTR because the GPL with a high modulus of elasticity is biased toward the top and bottom of the plate, increasing the buckling rigidity of the plate. This fact can be clearly justified by the fact that FG-O shows the lowest level in CNTRs. The results show that the CBTR value of the GPLRC plate is remarkably affected by the thickness-wise GPL distribution. The effect of GPL mass fraction g G P L * on CBTR is shown relatively well in Figure 7b, where the variation of CBTR with respect to g G P L * is strongly affected by the GPL distribution pattern. This conflicting trend depends on whether the bias of the GPLs with a higher elastic modulus toward the top/bottom sides is superior to the bias of epoxy with a higher thermal expansion coefficient toward the top/bottom as the GPL mass fraction g G P L * increases. The former corresponds to FG-X, but FG-O and FG-Λ belong to the latter, while both biases are equal at FG-U. It is worth noting that this variation with respect to g G P L * becomes less pronounced as the value of g G P L * becomes sufficiently large.
Next, the thermal buckling and postbuckling behaviors of the FG-GPLRC plate were parametrically investigated by including an inclined central crack. The key parameters were chosen.
By the angle and length of the crack, the total mass and distribution pattern of the GPL, and the plate aspect ratio and the boundary condition. Figure 8a comparatively represents the variation in the CBTR of an FG-U GPLRC to the relative crack length for α = 0 ° when the GPL mass fraction g G P L * is 0.3%. The CBTR value has been shown to gradually decrease as the value of c / a becomes sufficiently large. This is because the structural stiffness decreases as the crack-induced damage becomes larger. Meanwhile, the value of the CBTR is highest at CCCC, lowest at SSSS, and intermediate at SCSC and CSCS. This is due to the fact that as the restraint of the plate becomes stronger, the buckling stiffness of the plate increases. The four-letter combination, C and S, represents the boundary conditions specified on the four sides (1), (2), (3), and (4) of the plate (see Figure 3). Figure 8b comparatively represents the variation in the CBTR with respect to the crack angle α when the relative crack length c / a is 0.3. It can be observed that the variation in the CBTR is not remarkable because the thermally induced deformation develops evenly in almost any direction in the square plate. The detailed numerical results of CCCC and SSSS (FIMM) reveal that the CBTR slightly decreases until α = 45 ° and then increases up to α = 90 ° . However, CSCS and SCSC show continuously decreasing and increasing variations owing to the non-symmetric boundary condition with respect to the 45 ° diagonal line.
The thermal postbuckling paths were computed by successively increasing the relative central deflection w ¯ c = w c / h from 0 to 1.0 with a uniform increment Δ w ¯ c = 0.2 . In order to compensate for the magnitude change in the nonlinear stiffness matrix K N L during the nonlinear computation, the compensation factor σ in Equation (38) was introduced as a form of σ = 1 + a 1 w ¯ c 2 . Two constants, a 1 and a 2 , which are dependent on the GPL pattern, were determined through the preliminary experiment by referring to the following reference solutions: 6.0 and 2 for FG-U, 4.0 and 2 for FG-O, 5.75 and 2 for FG-Λ, and 25.0 and 4 for FG-X, respectively. The simulation parameters were set by a = b = 1.0 , a / h = 25 , c / a = 0.3 , and g G P L * = 0.3 % , unless otherwise stated.
Figure 9a comparatively represents the paths of the clamped FG-U plates for different crack lengths c / a , where intact indicates the case of c / a = 0 . It can be clearly seen that the thermal postbuckling paths show a uniform increase with almost the same differences seen in the linear CBTRs between the crack lengths, except for the case of intact. Figure 9b shows the postbuckling paths for different crack angles when the relative crack length c / a is 0.3. The CBTR values uniformly increase without remarkable differences between the four crack angles, as for the linear CBTRs. The detailed numerical results indicate that the linear CBTR increases by 2.4 times when w ¯ c reaches unity in this case.
Figure 10a comparatively represents the postbuckling paths for different GPL mass fractions when the crack relative length c / a and angle α are 0.3 and 30 ° . Not only the CBTR but also the postbuckling path shows a uniform increase proportional to the GPL mass fraction. This is, of course, due to the fact that as the amount of GPL increases, plate buckling stiffness increases. Figure 10b shows the influence of the GPL distribution pattern on the postbuckling path when the GPL mss fraction g G P L * is 0.2%. The difference in the linear CBTRs between distribution patterns at w c / h = 0 is continuously maintained up to w c / h = 1 . This is because the GPL distribution pattern affects plate buckling stiffness, and this relative difference does not change along the postbuckling path. The results show that the thermal buckling behavior of FG-GPLRC plates is significantly affected by the total amount and distribution pattern of the GPL.
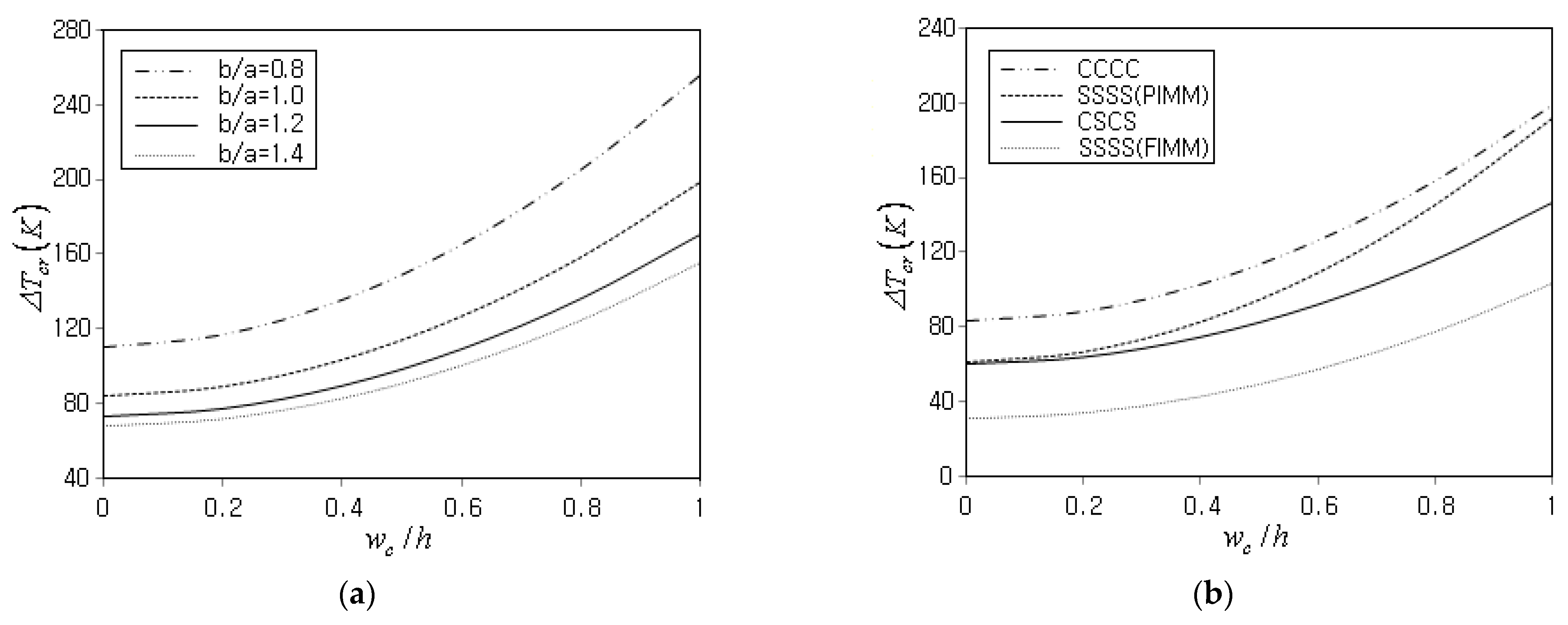
Figure 11a shows the influence of the length ratio b / a of two sides of the plate on the postbuckling path of the clamped FG-U cracked plate with g G P L * = 0.3 , c / a = 0.3 and α = 45 ° . The value of b / a is set by changing the side length of b with the side length of a , which is kept at 1.0   m . It can be seen that both the CBTR and the postbuckling path decreases as the length ratio b / a increases, but the decreasing slope to b / a becomes insensitive as the value of b / a becomes larger. This is because the plate buckling stiffness decreases as the size of the plate becomes larger in proportion to b / a . Moreover, the relative difference in the CBTRs between the values of b / a is shown to be slightly increased. Figure 11b shows the influence of the boundary conditions on the CBTR and postbuckling path. The highest and lowest levels can be seen in the CCCC and SSSS (FIMM), respectively, and the intermediate level is shown at CSCS. This is because the clamped condition is stronger in the displacement constraint than in the simply-supported condition; therefore, the clamped condition produces a higher CBTR because the plate buckling stiffness becomes larger as the boundary condition becomes stronger. Meanwhile, the case of SSSS(PIMM) exhibits a higher level than SSSS(FIMM) owing to the above-mentioned even expansion of thermally induced deformation in almost any direction in the square plate. Its CBTR is similar to that of CSCS at w c / h = 0 , but approaches the case of CCCC as w c / h becomes unity. The results imply that the thermal buckling strength is significantly dependent on the plate aspect ratio and the boundary constraint.
Finally, thermal buckling and postbuckling of cracked square plates between GPLRC and CNTRC were compared without changing the underlying matrix material. (10,10) Single-walled CNTs [60] have orthogonal anisotropic material properties given in Table 5 and the thermal expansion coefficients α 11 = 3.4584 × 10 6 / K and α 22 = 5.1682 × 10 6 / K were used. The effective Young’s and shear moduli of CNTRC plates were evaluated as ( 1 , 2 , 3 = x , y , z )
E 1 = η 1 V c n t E 1 c n t + V m E m , η 2 E 2 = V c n t E 2 c n t + V m E m
η 3 G 12 = V c n t G 12 c n t + V m G m
by introducing the CNT efficiency parameters η i i = 1 , 2 , 3 , which depend on the total CNT volume fraction V c n t * [61]. The effective Poisson ratios and thermal expansion coefficients are evaluated using the simplest linear rule of mixtures [62].
Figure 12a represents the variation in the CBTR of a clamped FG-U CNTRC plate with respect to the crack angle for different CNT alignments, where the highest level appears at α c n t = 0 ° and 90 ° , the lowest level at α c n t = 45 ° , and the intermediate level at α c n t = 30 ° and 60 ° . In addition, the variation in the CBTR with respect to the crack angle is more sensitive than that of the GPLRC plate shown in Figure 8b. Thus, it can be seen that the thermal buckling stiffness of the CNTRC plate is significantly affected by the CNT alignment and the crack angle, differing from the GPLRC plate. It can also be seen from Figure 12a that the CBTR value is the highest when the CNT alignment is normal to the crack line and lowest when both alignments become parallel. Note that the CNT alignment is measured with respect to the x -axis, differing from the crack angle measured from the y -axis, as depicted in Figure 4.
Figure 12b compares the postbuckling paths between the GPLRC and CNTRC plates when the CNTs are aligned along the crack line. First, it can be seen that the thermal buckling stiffness of the GPLRC plate is higher than that of the CNTRC plate when two volume fractions V G P L * and V c n t * are the same. Second, the thermal postbuckling path of GPLRC is shown to be much steeper than that of CNTRC. It is confirmed that GPLRC is superior to CNTRC in terms of thermal buckling and postbuckling according to the comparison made when the buckling stiffness of CNTRC was the highest. Thus, the results justify that FG-GPLRC plates exhibit excellent thermal buckling strength, making them an ideal candidate for engineering structures, especially in high-temperature operating environments.

6. Conclusions

The thermal buckling and postbuckling of an FG-GPLRC plate with a central crack were numerically examined by developing an effective and reliable numerical method. The thermally induced large deformation was expressed by first-order SDT and von Kármán geometric nonlinearity, and the arbitrary inclined crack was represented by making use of phase-field formulation and the virtual rotation of the crack. The singular displacement field was approximated by combining the regular L/I functions and the crack-tip singular functions in the framework of 2D XNEM. The developed numerical method was validated through benchmark testing, and the thermal buckling and postbuckling behavior of cracked FG-GPLRC plates with respect to the relevant parameters were investigated in depth. The numerical experiments led to the following major observations:
  • The PFF- and XNEM-based numerical method provides stable convergence and reasonable agreement with the reference solution for the thermal buckling problem, requiring two separate numerical analyses in sequence, with a peak relative difference of 10.619%.
  • CBTR decreases uniformly in inverse proportion to plate thickness, whereas the variation with respect to the GPL mass fraction g G P L * is strongly affected by GPL distribution patterns, but the larger the value of g G P L * , the less pronounced the variation becomes.
  • The CBTR gradually decreases with the increase in the relative crack length c / a but becomes saturated as the value of c / a becomes sufficiently large. The effect of the crack angle on the CBTR and postbuckling path is not remarkable.
  • The magnitude of the CBTR in linear thermal buckling and postbuckling is relatively ordered as follows: FG-X > FG-U > FG-Λ > FG-O. However, it decreases proportionally to the length ratio b / a , but the decreased slope to b / a becomes insensitive as b / a becomes sufficiently large.
  • The CBTR becomes larger as the boundary condition becomes stronger so that its magnitude is relatively ordered as follows: CCCC > CSCS > SSSS(FIMM). Meanwhile, the SSSS(PIMM) is similar to CSCS at w c / h = 0 but approaches the case of CCCC as w c / h becomes unity.
  • The CBTR in the CNTRC plate is smaller than that of the GPLRC plate, implying that the buckling stiffness of GPLRC is stronger than CNTRC for the same volume fraction. In addition, the buckling stiffness of CNTRC is remarkably affected by the crack inclination angle, which differs from that of GPLRC.
The developed numerical method can be extended to predict the CBTR and the postbuckling path of cracked FG-GPLRC shell-like structures. And, the numerical results can be usefully used as a guideline for choosing the suitable values of the parameters associated with the FG-GPLRC plate. Further research can further expand the scope of the phase-field model and analyze the crack growth behavior of FG-GPLRC plates, together with the comparison with possible experimental data, which is of great significance for improving the service life of composite materials under extreme working conditions.

Funding

This work was supported by the National Research Foundation of Korea (NRF) grant funded by the Korea government (MSIT) (RS-2023-00240618).

Institutional Review Board Statement

Not applicable.

Informed Consent Statement

Not applicable.

Data Availability Statement

The original contributions presented in the study are included in the article, further inquiries can be directed to the corresponding author.

Conflicts of Interest

The author declares no conflict of interest.

Appendix A. Interpolation of T/S Strains

Each Delaunay triangle ϖ e within the NEM grid, shown in Figure 3, is transformed into a three-node master element ϖ ^ shown in Figure A1. The regular displacement part in Equation (19) is re-expressed with the Lagrange-type bilinear shape functions N L ξ , η L = 1 3 and the element-wise nodal vectors b K e = u 0 e , v 0 e , w 0 e , β x e , β y e K T , which were approximated with L/I functions. Next, according to the MITC3+ shell approach, the triangle-wise non-singular T/S strains γ e h in Equation (23) are indirectly re-interpolated as
γ e h x z = 2 3 γ x z B 1 2 γ y z B + 1 2 γ x z C + γ y z C + δ 3 3 η 1
γ e h y z = 2 3 γ y z A 1 2 γ x z A + 1 2 γ y z C + γ x z C + δ 3 1 3 ξ
with δ = γ x z F γ x z D + γ y z E γ y z F . Here, γ x z ( * ) and γ y z ( * ) are the regular T/S strains extracted from six tying points: A, B, C, D, E, and F.
Figure A1. Six tying points within a three-node master element ϖ ^ .
Figure A1. Six tying points within a three-node master element ϖ ^ .
Applsci 14 08794 g0a1

References

  1. Shi, G.; Araby, S.; Gibson, C.T.; Meng, Q.; Zhu, S.; Ma, J. Graphene platelets and their polymer composites: Fabraication, structure, properties, and applications. Adv. Funct. Mater. 2018, 28, 1706705. [Google Scholar] [CrossRef]
  2. Liu, J.; Yan, H.; Jiang, K. Mechanical properties of grapheme platelet-reinforced alumina ceramic composites. Ceram. Int. 2013, 39, 6215–6221. [Google Scholar] [CrossRef]
  3. Ramanathan, T.; Abdala, A.A.; Stankovich, S.; Dikin, D.A.; Herrera-Alonso, M.; Piner, R.D.; Adamson, D.H.; Schniepp, H.C.; Chen, X.R.R.S.; Ruoff, R.S. Functionalized graphene sheets for polymer nanocomposites. Nat. Nanotechnol. 2008, 3, 327–331. [Google Scholar] [CrossRef]
  4. Zaman, I.; Phan, T.T.; Kuan, H.C.; Meng, Q.; La, L.T.B.; Luong, L.; Yussf, O.; Ma, J. Epoxy/grapheme platelets nanocomposites with two levels of interface strength. Polymer 2011, 52, 1603–1611. [Google Scholar] [CrossRef]
  5. Cataldi, P.; Athanassiou, A.; Bayer, I.S. Graphene nanoplatelets-based advanced materials and recent progress in sustainable applications. Appl. Sci. 2018, 8, 1438. [Google Scholar] [CrossRef]
  6. Thai, C.H.; Ferreira, A.J.M.; Phung-Van, P. Size dependent free vibration analysis of lultilayer functionally graded GPLRC microplates based on modified strain gradient theory. Compos. Part B 2019, 169, 174–188. [Google Scholar] [CrossRef]
  7. Al-Furjan, M.S.H.; Safarpour, H.; Habibi, M.; Safarpour, M.; Tounsi, A. A comprehensive computational approach for nonlinear thermal instability of the electrically FG-GPLRC disk based on GQD method. Eng. Comput. 2022, 38, 801–818. [Google Scholar] [CrossRef]
  8. Javani, M.; Kiani, Y.; Eslami, M.R. Geometrically nonlinear free vibration of FG-GPLRC circular plate on the nonlinear elastic foundation. Compos. Struct. 2021, 261, 113515. [Google Scholar] [CrossRef]
  9. Heydarpour, Y.; Malekzadeh, P.; Dimitri, R.; Tornabene, F. Thermoelastic analysis of rotating multilayer FG-GPLRC truncated conical shelss based on a coupled TDQM-NURBS scheme. Compos. Struct. 2020, 235, 111707. [Google Scholar] [CrossRef]
  10. Wang, Y.; Feng, C.; Yang, J.; Zhou, D.; Wang, S. Nonlinear vibration of FG-GPLRC dielectric plate with active tuning using differential quadrature method. Comput. Methods Appl. Mech. Eng. 2021, 379, 113761. [Google Scholar] [CrossRef]
  11. Zhang, L.; Xu, Z.; Gao, M.; Xu, R.; Wang, G. Static, dynamic and buckling responses of random functionally graded beams reinforced by grapheme platelets. Eng. Struct. 2023, 291, 116476. [Google Scholar] [CrossRef]
  12. Zhang, J.; Li, L. Free vibration of functionally graded grapheme platelets reinforced composite porous L-shaped folded plate. Eng. Struct. 2023, 297, 116977. [Google Scholar] [CrossRef]
  13. Jiao, P.; Chen, Z.; Ma, H.; Cheng, Z.; Gu, Y.; Tao, W. Post-buckling behavior of rectangular multilayer FG-GPLRC plate with initial geometric defects subjected to non-uniform in-plane compression loads in thermal environment. Mech. Adv. Mater. Struct. 2024, 31, 693–712. [Google Scholar] [CrossRef]
  14. Cho, J.R.; Oden, J.T. Functionally graded material: A parametric study on thermal-stress characteristics using the Crack-Nicolson-Galerkin scheme. Comput. Meth. Appl. Mech. Engrg. 2000, 188, 17–38. [Google Scholar] [CrossRef]
  15. Suresh, S.; Giannakopoulos, A.E.; Olson, M. Elastoplastic analysis of thermal cycling: Layered materials with sharp interfaces. J. Mech. Phys. Solids 1994, 42, 978–1018. [Google Scholar] [CrossRef]
  16. Cho, J.R.; Kim, H.J. Numerical optimization of CNT distribution in functionally graded CNT-reinforced composite beams. Polymer 2022, 14, 4418. [Google Scholar] [CrossRef] [PubMed]
  17. Noroozi, A.R.; Malekzadeh, P.; Dimitri, R.; Tornabene, F. Meshfree radial point interpolation method for the vibration and buckling analysis of FG-GPLRC perforated plates inder an in-plane loading. Eng. Struct. 2020, 221, 111000. [Google Scholar] [CrossRef]
  18. Shen, H.S.; Xiang, Y.; Lin, F. Thermal buckling and postbuckling of functionally graded grapheme-reinforced composite laminated plates resting on elastic foundations. Thin-Wall. Struct. 2017, 118, 229–237. [Google Scholar] [CrossRef]
  19. Wu, H.; Kitipornchai, S.; Yang, J. Thermal buckling and postbuckling of functionally graded grapheme nanocomposite plates. Mater. Des. 2017, 132, 430–441. [Google Scholar] [CrossRef]
  20. Mirzaei, M.; Kiani, Y. Isogeometric thermal buckling analysis of temperature dependent FG grapheme reinforced laminates plates using NURBS formulation. Compos. Struct. 2017, 180, 606–616. [Google Scholar] [CrossRef]
  21. Rafiee, M.; Nitzsche, F.; Labrosse, M.R. Modeling and mathematical analysis of multiscale fiber-reinforced grapheme composites: Nonlinear bending, thermal postbuckling and large amplitude vibration. Int. J. Nonlinear Mech. 2018, 103, 104–112. [Google Scholar] [CrossRef]
  22. Arefi, M.; Bidgoli, E.M.R.; Rabczuk, T. Effect of various characteristics of grapheme nanoplatelets on thermal buckling behavior of FGRC micro plate based on MCST. Eur. J. Mech. A/Solids 2019, 77, 103802. [Google Scholar] [CrossRef]
  23. Song, M.; Chen, L.; Yang, J.; Zhu, W.; Kitipornchai, S. Thermal buckling and postbuckling of edge-cracked functionally graded multilayer grapheme nanocomposite beams on an elastic foundation. Int. J. Mech. Sci. 2019, 161–162, 105040. [Google Scholar] [CrossRef]
  24. Safarpour, H.; Hajilak, Z.E.; Habibi, M. A size-dependent exact theory for thermal buckling, free and forced vibration analysis of temperature dependent FG multilayer GPLRC composite nanostructures resting on elastic foundation. Int. J. Mech. Mater. Des. 2019, 15, 569–583. [Google Scholar] [CrossRef]
  25. Javani, M.; Kiani, Y.; Eslami, M.R. Thermal buckling of FG grapheme platelet reinforced composite annular sector plates. Thin-Wall. Struct. 2020, 148, 106589. [Google Scholar] [CrossRef]
  26. Van Do, V.N.; Lee, C.H. Isogeometric analysis for buckling and postbuckling of grapheme platelet reinforced composite plates in thermal environments. Eng. Struct. 2021, 244, 112746. [Google Scholar] [CrossRef]
  27. Wang, Y.; Zhang, W. On the thermal buckling and postbuckling responses of temperature-dependent grapheme platelets reinforced porpous nanocomposite beams. Compos. Struct. 2022, 296, 115880. [Google Scholar] [CrossRef]
  28. Mohammadi, H. Isogeometric approach for thermal buckling analysis of FG grapheme platelet reinforced composite trapezoidally corrugated laminated panels. Eng. Anal. Bound. Elem. 2023, 151, 244–254. [Google Scholar] [CrossRef]
  29. Li, M.; Lu, L.; She, G.L.; Wang, S. Thermal post-buckling analysis of functionally graded grapheme platelets reinforced composite microtubes. ThinWall. Struct. 2024, 203, 112246. [Google Scholar]
  30. Wang, Q.; Gao, J.; Wu, S.; Khadimallah, M.A.; Chen, H. Coupled thermoelasticity of FG-GPLRC multi-curved composite panel under thermal shock loading. Compos. Struct. 2021, 276, 114515. [Google Scholar] [CrossRef]
  31. Guo, H.; Du, X.; Zur, K.K. On the dynamics of rotating matrix cracked FG-GPLRC cylindrical shells via the element-free IMLS-Ritz method. Eng. Anal. Bound. Elem. 2021, 131, 228–239. [Google Scholar] [CrossRef]
  32. Cho, J.R. Near-tip grid refinement for the effective and reliable natural element crack analysis. Struct. Eng. Mech. 2019, 70, 279–287. [Google Scholar] [CrossRef]
  33. Michel, B.; Helfer, T.; Ramiere, I.; Esnoul, C. A new numerical methodology for simulation of unstable crack growth in time independent brittle materials. Eng. Fract. Mech. 2018, 188, 126–150. [Google Scholar] [CrossRef]
  34. Ambati, M.; Gerasimov, T.; De Lorenzis, L. A review on phase-field models of brittle of brittle fracture and a new fast hybrid formulation. Comput. Mech. 2015, 55, 383–405. [Google Scholar] [CrossRef]
  35. Ghasabeh, M.; Goktepe, S. Phase-field modeling of thermal cracking in hardening mass concrete. Eng. Fract. Mech. 2023, 289, 109398. [Google Scholar] [CrossRef]
  36. Li, W.; Nguyen-Thanh, N.; Du, H.; Zhou, K. Adaptive phase-field modeling of dynamic brittle fracture in composite materials. Compos. Struct. 2023, 306, 116589. [Google Scholar] [CrossRef]
  37. Prakash, V.; Behera, A.K.; Rahaman, M.M. A phase-field model for thermo-mechanical fracture. Math. Mech. Solids 2022, 28, 533–561. [Google Scholar] [CrossRef]
  38. Mohammadi, S. Extended Finite Element Method: For fracture Analysis of Structures; John Wiley & Sons: Hoboken, NJ, USA, 2008. [Google Scholar]
  39. Cho, J.R. Investigation of buckling behavior of cracked FG cylindrical panels reinforced by grapheme platelets. Symmetry 2023, 15, 2162. [Google Scholar] [CrossRef]
  40. Cho, J.R.; Oden, J.T. Locking and boundary layer in hierarchical models for thin elastic structures. Comput. Methods Appl. Mech. Engrg. 1997, 149, 33–48. [Google Scholar] [CrossRef]
  41. Pitkaranta, J. The problem of membrane locking in finite element analysis of cylindrical shells. Numner. Math. 1992, 61, 523–542. [Google Scholar] [CrossRef]
  42. Lee, Y.; Lee, P.S.; Bathe, K.J. The MITC3+shell finite element and its performance. Comput. Struct. 2014, 138, 12–23. [Google Scholar] [CrossRef]
  43. Chau-Dinh, T. Analysis of shell structures by an improved 3-node triangular flat shell element with a bubble function and cell-based strain smoothing. Thin-Wall. Struct. 2023, 182, 110222. [Google Scholar] [CrossRef]
  44. Halphin, J.C.; Kardos, J.L. The Haplin-Tsai equations: A review. Polym. Eng. Sci. 1976, 16, 344–352. [Google Scholar]
  45. Cho, J.R. Neutral surface-based static and free vibration analysis of functionally graded porous plates. Steel Compos. Struct. 2023, 49, 431–440. [Google Scholar]
  46. Bayesteh, H.; Mohammadi, S. XFEM fracture analysis of shells: The effect of crack tip enrichments. Comput. Mater. Sci. 2011, 50, 2793–2813. [Google Scholar] [CrossRef]
  47. Torabi, J.; Ansari, R. Numerical investigation on the buckling and vibration of cracked FG cylindrical panels based on the phase-field formulation. Eng. Fract. Mech. 2020, 228, 106895. [Google Scholar] [CrossRef]
  48. Cho, J.R.; Lee, H.W. A Petrov-Galerkin natural element method securing the numerical integration accuracy. J. Mech. Sci. Technol. 2006, 20, 94–109. [Google Scholar] [CrossRef]
  49. Sukumar, N.; Moran, B.; Belytschko, T. The natural element method in solid mechanics. Int. J. Numer. Methods Eng. 1998, 43, 839–887. [Google Scholar] [CrossRef]
  50. Cho, J.R. Free vibration analysis of functionally graded porous cylindrical panels reinforced with graphene platelets. Nanomaterials 2023, 13, 1441. [Google Scholar] [CrossRef]
  51. Cho, J.R. Nonlinear free vibration of functionally graded CNT-reinforced composite structures. Compos. Struct. 2022, 281, 115101. [Google Scholar] [CrossRef]
  52. Zhang, L.W.; Zhu, P.; Liew, K.M. Thermal buckling of functionally graded plates using a local Kriging meshless method. Compos. Struct. 2014, 108, 472–492. [Google Scholar] [CrossRef]
  53. Zhao, X.; Lee, Y.Y.; Liew, K.M. Mechanical and thermal buckling analysis of functionally graded plates. Compos. Struct. 2009, 90, 161–171. [Google Scholar] [CrossRef]
  54. Liew, K.M.; Yang, J.; Kitipornchai, S. Postbuckling of piezoelectric FGM plates subject to thermo-electro-mechanical loading. Int. J. Solids Struct. 2003, 40, 3869–3892. [Google Scholar] [CrossRef]
  55. Cho, J.R. Natural element static and free vibration analysis of functionally graded porous composite plate. Appl. Sci. 2022, 12, 11648. [Google Scholar] [CrossRef]
  56. Do, T.V.; Doan, D.H.; Duc, N.D.; Bui, T.Q. Phase-field thermal buckling analysis for cracked functionally graded composite plates considering neutral surface. Compos. Struct. 2017, 182, 542–548. [Google Scholar]
  57. Yu, T.T.; Bui, T.Q.; Shuohui, D.H.; Doan, C.T.W.; Van, D.T.; Tanaka, S. On the thermal buckling analysis of functionally graded plates with internal defects using extended isogeometric analysis. Compos. Struct. 2016, 136, 684–695. [Google Scholar] [CrossRef]
  58. Yasmin, A.; Daniel, I.M. Mechanical and thermal properties of graphene platelet/epoxy composites. Polymer 2004, 45, 8211–8219. [Google Scholar] [CrossRef]
  59. Rafiee, M.A.; Rafiee, J.; Wang, Z.; Song, H.; Yu, Z.Z.; Koratkar, N. Enhanced mechanical properties of nanocomposites at low graphene content. ACS Nano 2009, 3, 3884–3890. [Google Scholar] [CrossRef]
  60. Liang, Z.; Gou, J.J.; Zhang, C.; Wang, B.; Kramer, L. Investigation of molecular interactions between (10,10) single-walled nanotube and Epon 862 resin/DETDA curing agent molecules. Mater. Sci. Eng. A 2004, 365, 228–234. [Google Scholar] [CrossRef]
  61. Zhu, P.; Lei, Z.X.; Liew, K.M. Static and free vibration analyses of carbon nanotube-reinforced composite plates using finite element method with first order shear deformation plate theory. Compos. Struct. 2012, 94, 1450–1460. [Google Scholar] [CrossRef]
  62. Cho, J.R.; Ha, D.Y. Averaging and finite-element discretization approaches in the numerical analysis of functionally graded materials. Mater. Sci. Eng. A 2001, 302, 187–196. [Google Scholar] [CrossRef]
Figure 1. Graphene platelet-reinforced rectangular plate: (a) Geometry and dimensions; (b) Primitive GPL distribution patterns.
Figure 1. Graphene platelet-reinforced rectangular plate: (a) Geometry and dimensions; (b) Primitive GPL distribution patterns.
Applsci 14 08794 g001
Figure 2. The phase field ψ x within the cracked FG-GPLRC plate.
Figure 2. The phase field ψ x within the cracked FG-GPLRC plate.
Applsci 14 08794 g002
Figure 3. Uniform NEM grid and L/I functions.
Figure 3. Uniform NEM grid and L/I functions.
Applsci 14 08794 g003
Figure 4. Virtual rotation of inclined crack in the PFF.
Figure 4. Virtual rotation of inclined crack in the PFF.
Applsci 14 08794 g004
Figure 5. A flowchart for thermal buckling and postbucking analysis of the cracked FG-PLRC plate.
Figure 5. A flowchart for thermal buckling and postbucking analysis of the cracked FG-PLRC plate.
Applsci 14 08794 g005
Figure 6. Comparison of thermal postbuckling paths of a PIMM simply-supported isotropic plate under uniform temperature rise [19,54].
Figure 6. Comparison of thermal postbuckling paths of a PIMM simply-supported isotropic plate under uniform temperature rise [19,54].
Applsci 14 08794 g006
Figure 7. CBTR Δ T c r K of the intact FG-GPLRC plate (SSSS): (a) The relative thickness ratio a / h ( g G P L * = 0.3 % ); (b) The total GPL mass. g G P L * ( a / h = 25 , PIMM).
Figure 7. CBTR Δ T c r K of the intact FG-GPLRC plate (SSSS): (a) The relative thickness ratio a / h ( g G P L * = 0.3 % ); (b) The total GPL mass. g G P L * ( a / h = 25 , PIMM).
Applsci 14 08794 g007
Figure 8. CBTR Δ T c r K of the cracked FG-GPLRC plate (FG-U, g G P L * = 0.3 % ): (a) The crack length c / a ( α = 0 ° ); (b) The crack angle α ( c / a = 0.3 , FIMM).
Figure 8. CBTR Δ T c r K of the cracked FG-GPLRC plate (FG-U, g G P L * = 0.3 % ): (a) The crack length c / a ( α = 0 ° ); (b) The crack angle α ( c / a = 0.3 , FIMM).
Applsci 14 08794 g008
Figure 9. Variation in thermal postbuckling paths (FG-U, g G P L * = 0.3 % , a / h = 25 , CCCC): (a) The crack relative length c / a ( α = 0 ° ); (b) The crack angle ( c / a = 0.3 ).
Figure 9. Variation in thermal postbuckling paths (FG-U, g G P L * = 0.3 % , a / h = 25 , CCCC): (a) The crack relative length c / a ( α = 0 ° ); (b) The crack angle ( c / a = 0.3 ).
Applsci 14 08794 g009
Figure 10. Variation in thermal postbuckling paths ( c / a = 0.3 , α = 30 ° , CCCC): (a) The GPL mass fraction g G P L * (FG-O); (b) The GPL distribution pattern ( g G P L * = 0.2 % ).
Figure 10. Variation in thermal postbuckling paths ( c / a = 0.3 , α = 30 ° , CCCC): (a) The GPL mass fraction g G P L * (FG-O); (b) The GPL distribution pattern ( g G P L * = 0.2 % ).
Applsci 14 08794 g010
Figure 11. Variation in thermal postbuckling paths (FG-U, g G P L * = 0.3 ,   c / a = 0.3 , α = 45 ° ): (a) The aspect ratio b / a (CCCC); (b) The boundary condition.
Figure 11. Variation in thermal postbuckling paths (FG-U, g G P L * = 0.3 ,   c / a = 0.3 , α = 45 ° ): (a) The aspect ratio b / a (CCCC); (b) The boundary condition.
Applsci 14 08794 g011
Figure 12. CNTRC (FG-U, c / a = 0.3 , CCCC): (a) Critical buckling temperature rise Δ T c r K ( V c n t * = 0.12 ); (b) Comparison of postbuckling paths with GLRC ( α = 0 ° , α c n t = 90 ° ).
Figure 12. CNTRC (FG-U, c / a = 0.3 , CCCC): (a) Critical buckling temperature rise Δ T c r K ( V c n t * = 0.12 ); (b) Comparison of postbuckling paths with GLRC ( α = 0 ° , α c n t = 90 ° ).
Applsci 14 08794 g012
Table 1. Convergence of CBTP λ T = 10 3 α T c r to the grid density for FIMM simply-supported intact isotropic plate under a uniform temperature rise ( a / b = 1 , a / h = 100 , ν = 0.3 ) .
Table 1. Convergence of CBTP λ T = 10 3 α T c r to the grid density for FIMM simply-supported intact isotropic plate under a uniform temperature rise ( a / b = 1 , a / h = 100 , ν = 0.3 ) .
Items Grid   Density   ( N × N )
11 × 11 13 × 13 15 × 15 17 × 17 19 × 19 21 × 21 23 × 23
λ T 0.17050.15420.14350.13610.13070.12640.1229
λ T r e l % 38.73125.47816.76210.7406.3472.848-
Table 2. Comparison of CBTP λ T for FIMM simply-supported intact isotropic plates subject to uniform temperature rise ( a / b = 1 , ν = 0.3 ).
Table 2. Comparison of CBTP λ T for FIMM simply-supported intact isotropic plates subject to uniform temperature rise ( a / b = 1 , ν = 0.3 ).
Methods a / h   =   10 a / h   =   20 a / h   =   100
Present11.923.1060.1264
Wu et al. [19]11.983.1190.1265
Zhang et al. [52]11.993.1230.1272
Zhao et al. [53]11.833.0890.1271
Table 3. Comparison of CBTRs for simply-supported square Al/ZrO2 functionally graded plate with an inclined central crack ( a / b = 1 , c / a = 0.6 , α = 90 ° ).
Table 3. Comparison of CBTRs for simply-supported square Al/ZrO2 functionally graded plate with an inclined central crack ( a / b = 1 , c / a = 0.6 , α = 90 ° ).
Methods Ceramic   Volume   Fraction   Index   n
00.5125
Present9.0926.3605.3255.0344.711
Do et al. [56]8.8946.1145.4125.0124.771
Yu et al. [57]8.7356.0355.4155.0474.742
Table 4. CBTR Δ T c r K of intact FG-GPLRC plates ( a / b = 1 , g G P L * = 0.3 % , immovable SSSS).
Table 4. CBTR Δ T c r K of intact FG-GPLRC plates ( a / b = 1 , g G P L * = 0.3 % , immovable SSSS).
MethodPatternPartially ImmovableFully Immovable
a / h   =   25 a / h   =   35 a / h   =   45 a / h   =   25 a / h   =   35 a / h   =   45
PresentFG-X80.66141.69927.33939.46220.40113.385
FG-U65.30833.92722.36533.05517.17111.316
FG-O49.60324.28916.99824.98612.2388.555
Wu et al. [19]FG-X80.52341.32025.05640.26120.66012.528
FG-U65.07733.35720.21832.53916.67910.109
FG-O49.63525.41415.39624.81712.7077.698
Table 5. Elastic properties of (10,10) single-walled CNTs.
Table 5. Elastic properties of (10,10) single-walled CNTs.
Young’s Modulus (GPa)Poisson’s RatioShear Modulus (GPa)
E 1 c n t E 2 c n t E 3 c n t ν 12 c n t T ν 23 c n t ν 31 c n t G 12 c n t G 23 c n t G 31 c n t
5646.67080.0-0.175--1944.5--
Disclaimer/Publisher’s Note: The statements, opinions and data contained in all publications are solely those of the individual author(s) and contributor(s) and not of MDPI and/or the editor(s). MDPI and/or the editor(s) disclaim responsibility for any injury to people or property resulting from any ideas, methods, instructions or products referred to in the content.

Share and Cite

MDPI and ACS Style

Cho, J.-R. Thermal Buckling and Postbuckling Analysis of Cracked FG-GPL RC Plates Using a Phase-Field Crack Model. Appl. Sci. 2024, 14, 8794. https://doi.org/10.3390/app14198794

AMA Style

Cho J-R. Thermal Buckling and Postbuckling Analysis of Cracked FG-GPL RC Plates Using a Phase-Field Crack Model. Applied Sciences. 2024; 14(19):8794. https://doi.org/10.3390/app14198794

Chicago/Turabian Style

Cho, Jin-Rae. 2024. "Thermal Buckling and Postbuckling Analysis of Cracked FG-GPL RC Plates Using a Phase-Field Crack Model" Applied Sciences 14, no. 19: 8794. https://doi.org/10.3390/app14198794

APA Style

Cho, J.-R. (2024). Thermal Buckling and Postbuckling Analysis of Cracked FG-GPL RC Plates Using a Phase-Field Crack Model. Applied Sciences, 14(19), 8794. https://doi.org/10.3390/app14198794

Note that from the first issue of 2016, this journal uses article numbers instead of page numbers. See further details here.

Article Metrics

Back to TopTop