Steel Columns under Compression with Different Sizes of Square Hollow Cross-Sections, Lengths, and End Constraints
Abstract
1. Introduction
2. Stability of Columns, Mathematical Formulation for Determining the Critical Loads
2.1. Euler Load
2.2. Buckling Resistance
3. Analytical Solution of Different SHS Columns, Cross-Section Sizes, Lengths, and End Constraints
Results of the Critical Loads
4. Numerical Solution of Elastic Deformation, Plastic and Design Buckling Resistance in Columns with Initial Imperfections and Nonlinearity Material
4.1. SHS Columns, Cross-Section Sizes, Lengths, and End Constraints
4.2. Elastic Deformation in Columns to Obtain Euler Critical Load
4.3. Plastic Resistance in Columns without Imperfections and with Nonlinear Material Properties
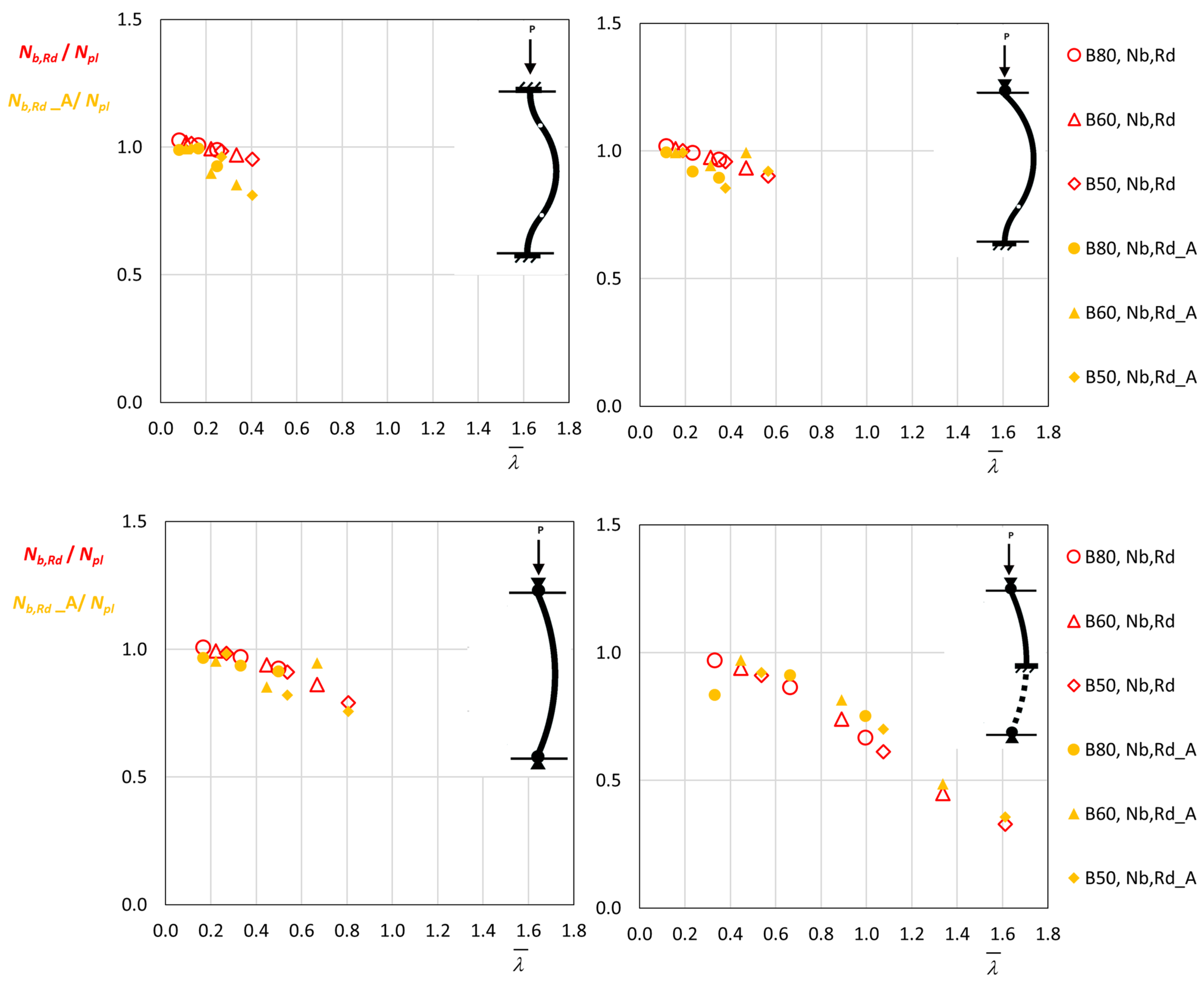
4.4. Design Buckling Resistance in Columns with Initial Imperfections and with Nonlinear Material Properties
5. Numerical Validation with Analytical Method
6. Conclusions
- -
- For the elastic buckling or Euler load determination, the finite element method resulted in a close calculation from the mathematical formulation, with a variation between 0 and 6.8%.
- -
- For the design buckling resistance and the critical load determination, the deviation between the finite element method and the mathematical formulation is between 0 and 14.7%. The higher relative errors are obtained for lesser cross-section sizes in the study.
- -
- According to the needs for the design of the columns, by increasing the length and reducing the cross-sectional size, the design buckling resistance also decreases. These demonstrate that the length and size of the column cross-section can meaningfully increase the structural behavior of SHS columns. Also, the material properties stiffness is incorporated as a great effect in its resistance.
- -
- Three-dimensional linear and nonlinear finite element modeling was demonstrated to be the best instrument for researching the performance and behavior of steel columns under pure compression, incorporating the correct material properties and boundary conditions.
- -
- Finally, the great meaning of the present investigation was to include the effect of initial column imperfections, including simultaneous nonlinearity with material plasticity damage and the study of all these combined effects on the impact of buckling resistance.
- -
- The tested numerical method will be possible to implement in other future column analyses where other parameters could be different.
Funding
Institutional Review Board Statement
Informed Consent Statement
Data Availability Statement
Conflicts of Interest
References
- Patton, M.L.; Singh, K.D. Buckling of fixed-ended concrete-filled steel columns under axial compression. Int. J. Steel Struct. 2017, 17, 1059–1071. [Google Scholar] [CrossRef]
- Ren, Q.; Ding, J.; Wang, Q.; Lou, H. Behavior of slender square hollow steel-reinforced concrete columns under eccentric compression. J. Build. Eng. 2021, 43, 103133. [Google Scholar] [CrossRef]
- Ci, J.; Chen, S.; Jia, H.; Yan, W.; Song, T.; Kim, K.-S. Axial compression performance analysis and bearing capacity calculation on square concrete-filled double-tube short columns. Mar. Struct. 2020, 72, 102775. [Google Scholar] [CrossRef]
- Avcar, M. Elastic Buckling of Steel Columns Under Axial Compression. Am. J. Civ. Eng. 2014, 2, 102–108. [Google Scholar] [CrossRef]
- Wei, Q.; Ren, Q.; Wang, Q.; Zhang, Y. Behavior of Circular Hollow Steel-Reinforced Concrete Columns under Axial Compression. Appl. Sci. 2024, 14, 4833. [Google Scholar] [CrossRef]
- Xiang, Z.; Qiao, D.; Niu, J.; Liu, W. Experimental study on axial compression for composite hollow column of steel fiber, high-strength lightweight aggregate concrete and angle steel. Sci. Rep. 2022, 12, 12409. [Google Scholar] [CrossRef] [PubMed]
- Zhu, X.-L.; Zheng, Y.-Z.; Chen, L.; Liu, X.; Xiang, H.-B.; Fang, Q. Mechanical performance of high-strength steel tube confined self-stressing concrete short columns. Adv. Struct. Eng. 2023, 26, 741–757. [Google Scholar] [CrossRef]
- Hayeck, M.; Saloumi, E.; Nseir, J.; Boissonnade, N. Stability and Resistance of Hollow Section Steel Beam-Columns. In Proceedings of the Annual Stability Conference Structural Stability Research Council, San Antonio, TX, USA, 21–24 March 2017. [Google Scholar]
- Ilanthalir, A.; Jerlin Regin, J.; Maheswaran, J. Concrete-filled steel tube columns of different cross-sectional shapes under axial compression: A review. IOP Conf. Ser. Mater. Sci. Eng. 2020, 983, 012007. [Google Scholar] [CrossRef]
- Wang, H.; Zha, X.; Liu, Y.; Luo, C.; Iu, C.K. Study of recycled concrete–filled steel tubular columns on the compressive capacity and fire resistance. Adv. Mech. Eng. 2017, 9, 1687814017705064. [Google Scholar] [CrossRef]
- Horváth, A.; Kollár, D.; Kövesdi, B. Behaviour of CFST Stub Columns Subjected to Pure Compression. Int. J. Steel Struct. 2022, 22, 1175–1188. [Google Scholar] [CrossRef]
- Kovač-Striko, J.; Landović, A.; Čeh, A.; Bešević, M. Behavior of Two-Chord Steel–Concrete Composite Columns under Axial Compression. Appl. Sci. 2023, 13, 12634. [Google Scholar] [CrossRef]
- Quillupangui, I.; Somodi, B.; Kövesdi, B. Overview of FEM-Based Resistance Models for Local Buckling of Welded Steel Box Section Columns. Appl. Sci. 2024, 14, 2029. [Google Scholar] [CrossRef]
- Chen, Z.; Yang, W.; Wang, T.; Lei, T.; Yin, C. Calculation of axial compression performance and bearing capacity of hollow sandwich glass fiber-reinforced polymer-concrete-steel double-skin tubular column. J. Reinf. Plast. Compos. 2023. [Google Scholar] [CrossRef]
- Khalaf, M.S.; Ibrahim, A.M.; Najm, H.M.; Sabri, M.M.S.; Morkhade, S.; Agarwal, A.; Alamir, M.A.; Alarifi, I.M. Experimental Analysis of Steel Circular Hollow Section under Bending Loads: Comprehensive Study of Mechanical Performance. Materials 2022, 15, 4350. [Google Scholar] [CrossRef] [PubMed]
- Sarir, P.; Jiang, H.; Asteris, P.G.; Formisano, A.; Armaghani, D.J. Iterative Finite Element Analysis of Concrete-Filled Steel Tube Columns Subjected to Axial Compression. Buildings 2022, 12, 2071. [Google Scholar] [CrossRef]
- Morkhade, S.G.; Gupta, L.M. Experimental investigation for failure analysis of steel beams with web openings. Steel Compos. Struct. 2017, 23, 647–656. [Google Scholar] [CrossRef]
- Morkhade, S.G.; Gupta, L.M.; Martins, C.H. Effect of Web PostWidth on Strength Capacity of Steel Beams with Web Openings: Experimental and Analytical Investigation. Pract. Period. Struct. Des. Constr. 2022, 27, 04022010. [Google Scholar] [CrossRef]
- Fonseca, E.M.M. Stability Analysis of Steel Columns with Fixed-Free Ends under Axial Compression: Uniform and Non-Uniform Square Hollow Sections. J. Civ. Hydraul. Eng. 2024, 2, 109–119. [Google Scholar] [CrossRef]
- The Steel Construction Institute. Handbook of Structural Steelwork; Eurocode Edition, Tata Steel, SCI Steel Knowledge; The Steel Construction Institute: London, UK, 2013. [Google Scholar]
- Kleesfstra, T. Buckling Validation According to Eurocode 3; Report 2016.TEL.8006; TUDelft: Delft, The Netherlands, 2016. [Google Scholar]
- Trahair, N.S.; Bradford, M.A.; Nethercot, D.A.; Gardner, L. The Behaviour and Design of Steel Structures to EC3, 4th ed.; Taylor & Francis: New York, NY, USA, 2008. [Google Scholar]
- EN1993-1-1; Eurocode 3: Design of Steel Structures-Part 1-1: General Rules and Rules for Buildings. CEN: Bruxelles, Belgium, 2005.
- ANSYS, Inc. ANSYS Mechanical APD 2022 R2, Release 2; Southpointe: Canonsburg, PA, USA, 2022. [Google Scholar]
- Reis, A.; Camotim, D. Estabilidade Estrutural; McGraw-Hill: Lisbon, Portugal, 2001. [Google Scholar]
- Piloto, P.A.G.; Vila Real, P.M.M.; Franssen, J.M. Numerical and experimental evaluation of torsional buckling of beams at elevated temperatures. In Experimental Methods and Experimental Measurements X; Villacampa, E.Y., Carlomagno, G.M., Brebia, C.A., Eds.; WIT-PRESS: Southampton, UK, 2001; pp. 903–914. [Google Scholar]
- Nguyen, T.B.; Reddy, J.N.; Rungamornrat, J.; Lawongkerd, J.; Senjuntichai, T.; Luong, V.H. Nonlinear Analysis for Bending, Buckling and Post-buckling of Nano-Beams with Nonlocal and Surface Energy Effects. Int. J. Struct. Stab. Dyn. 2019, 19, 1950130. [Google Scholar] [CrossRef]







![]() | Fixed-Fixed | Fixed-Pinned | Pinned-Pinned | Fixed-Free | ||||||
|---|---|---|---|---|---|---|---|---|---|---|
| L | Npl | Ncr | Nb,Rd | Ncr | Nb,Rd | Ncr | Nb,Rd | Ncr | Nb,Rd | |
| mm | kN | kN | kN | kN | kN | |||||
| B50 t = 1.5 mm B = 50 mm | 500 | 68.4 | 3786.9 | 69.4 | 1932.1 | 68.6 | 946.7 | 67.3 | 236.7 | 62.4 |
| 1000 | 946.7 | 67.3 | 483.0 | 65.6 | 236.7 | 62.4 | 59.2 | 41.9 | ||
| 1500 | 420.8 | 65.1 | 214.7 | 61.8 | 105.2 | 54.2 | 26.3 | 22.5 | ||
| B60 t = 1.5 mm B = 60 mm | 500 | 82.5 | 6643.4 | 84.1 | 3389.5 | 83.3 | 1660.9 | 82.1 | 415.2 | 77.6 |
| 1000 | 1660.9 | 82.1 | 847.4 | 80.4 | 415.2 | 77.6 | 103.8 | 61.0 | ||
| 1500 | 738.2 | 80.0 | 376.6 | 77.0 | 184.5 | 71.1 | 46.1 | 37.1 | ||
| B80 t = 1.5 mm B = 80 mm | 500 | 110.7 | 16,047.5 | 113.5 | 8187.5 | 112.7 | 4011.9 | 111.5 | 1003.0 | 107.4 |
| 1000 | 4011.9 | 111.5 | 2046.9 | 109.9 | 1003.0 | 107.4 | 250.7 | 95.6 | ||
| 1500 | 1783.1 | 109.5 | 909.7 | 106.9 | 445.8 | 102.4 | 111.4 | 73.9 | ||
| Fixed-Fixed | Fixed-Pinned | Pinned-Pinned | Fixed-Free | ||||||||||||||
|---|---|---|---|---|---|---|---|---|---|---|---|---|---|---|---|---|---|
| L mm | Ncr_A | Nb,Rd_A | Ecr | Eb,Rd | Ncr_A | Nb,Rd_A | Ecr | Eb,Rd | Ncr_A | Nb,Rd_A | Ecr | Eb,Rd | Ncr_A | Nb,Rd_A | Ecr | Eb,Rd | |
| kN | % | kN | % | kN | % | kN | % | ||||||||||
| B50 | 500 | 3774.8 | 68.0 | 0.3 | 2.0 | 1938.4 | 68.0 | 0.3 | 0.8 | 949.7 | 67.2 | 0.3 | 0.2 | 235.3 | 63.1 | 0.6 | 1.2 |
| 1000 | 941.7 | 65.8 | 0.5 | 2.3 | 486.1 | 58.5 | 0.6 | 10.8 | 235.9 | 56.1 | 0.3 | 10.1 | 61.7 | 48 | 4.2 | 14.5 | |
| 1500 | 423.2 | 55.5 | 0.6 | 14.7 | 211.4 | 63.0 | 1.5 | 2.0 | 98.5 | 51.8 | 6.4 | 4.4 | 28.1 | 24.4 | 6.8 | 8.6 | |
| B60 | 500 | 6646.0 | 82.1 | 0.1 | 2.4 | 3402.0 | 82.1 | 0.4 | 1.4 | 1659.4 | 78.7 | 0.1 | 4.1 | 415.3 | 80.2 | 0.0 | 3.3 |
| 1000 | 1661.3 | 74.2 | 0.0 | 9.6 | 846.3 | 77.8 | 0.1 | 3.3 | 418.1 | 70.3 | 0.7 | 9.3 | 105.9 | 67.2 | 2.0 | 10.2 | |
| 1500 | 737.4 | 70.4 | 0.1 | 12.0 | 375.2 | 82.1 | 0.4 | 6.5 | 184.2 | 78.1 | 0.2 | 9.9 | 48.0 | 40.1 | 4.0 | 8.0 | |
| B80 | 500 | 16,025.3 | 109.4 | 0.1 | 3.6 | 8179.1 | 110.1 | 0.1 | 2.3 | 4012.3 | 106.9 | 0.0 | 4.1 | 1016.3 | 92.4 | 1.3 | 13.9 |
| 1000 | 4015.0 | 110.1 | 0.1 | 1.3 | 2044.1 | 101.7 | 0.1 | 7.5 | 1001.6 | 103.7 | 0.1 | 3.4 | 250.2 | 100.8 | 0.2 | 5.4 | |
| 1500 | 1783.4 | 102.4 | 0.0 | 6.5 | 909.8 | 99.0 | 0.0 | 7.4 | 446.0 | 101.1 | 0.0 | 1.2 | 112.7 | 83.2 | 1.2 | 12.5 | |
Disclaimer/Publisher’s Note: The statements, opinions and data contained in all publications are solely those of the individual author(s) and contributor(s) and not of MDPI and/or the editor(s). MDPI and/or the editor(s) disclaim responsibility for any injury to people or property resulting from any ideas, methods, instructions or products referred to in the content. |
© 2024 by the author. Licensee MDPI, Basel, Switzerland. This article is an open access article distributed under the terms and conditions of the Creative Commons Attribution (CC BY) license (https://creativecommons.org/licenses/by/4.0/).
Share and Cite
Fonseca, E.M.M. Steel Columns under Compression with Different Sizes of Square Hollow Cross-Sections, Lengths, and End Constraints. Appl. Sci. 2024, 14, 8668. https://doi.org/10.3390/app14198668
Fonseca EMM. Steel Columns under Compression with Different Sizes of Square Hollow Cross-Sections, Lengths, and End Constraints. Applied Sciences. 2024; 14(19):8668. https://doi.org/10.3390/app14198668
Chicago/Turabian StyleFonseca, Elza M. M. 2024. "Steel Columns under Compression with Different Sizes of Square Hollow Cross-Sections, Lengths, and End Constraints" Applied Sciences 14, no. 19: 8668. https://doi.org/10.3390/app14198668
APA StyleFonseca, E. M. M. (2024). Steel Columns under Compression with Different Sizes of Square Hollow Cross-Sections, Lengths, and End Constraints. Applied Sciences, 14(19), 8668. https://doi.org/10.3390/app14198668

