Possibility of Replacing Sugar with Apple Puree in Muffins
Abstract
1. Introduction
2. Materials and Methods
2.1. Materials
2.2. Muffin Batter Preparation
2.3. Muffins Preparation
2.4. Specific Gravity
2.5. Rheological Behavior of Batter Muffins
2.6. Baking Loss
2.7. Muffin Height
2.8. Volume
2.9. Texture
2.10. Color Analysis
2.11. Statistical Analysis
3. Results
3.1. Specific Gravity
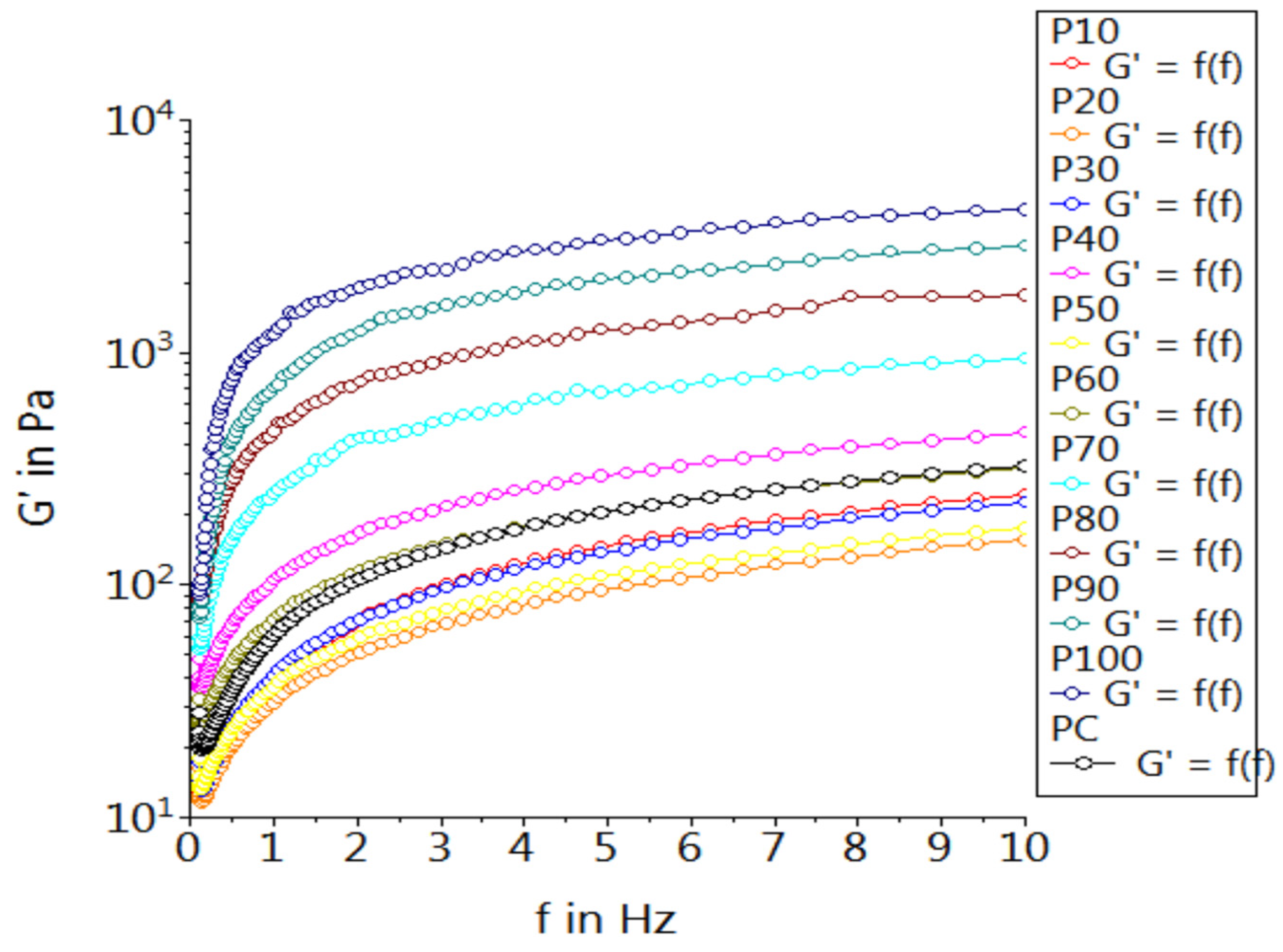
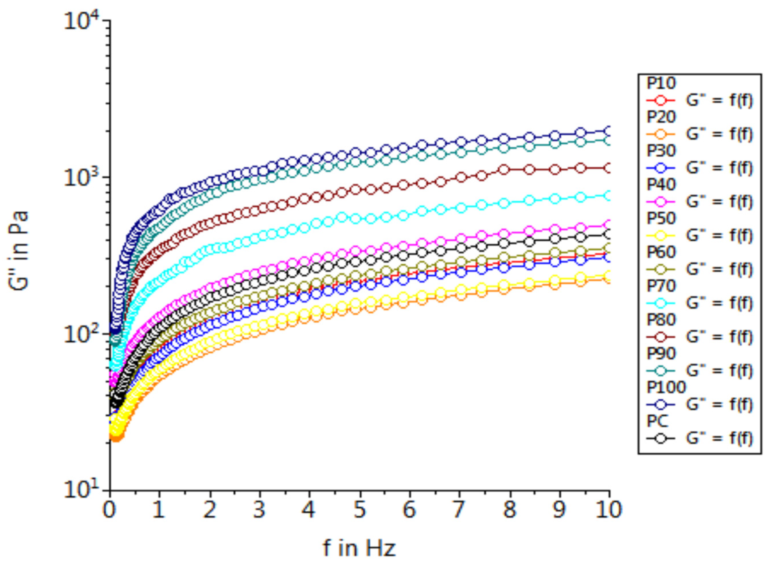
3.2. The Effect of Replacing Sucrose in Muffins with Apple Puree on the Viscoelastic Properties of Dough
3.3. Muffin Height
3.4. Volume of Muffins
3.5. Weight Loss during Baking
3.6. Texture
3.7. The Color
4. Conclusions
Author Contributions
Funding
Institutional Review Board Statement
Informed Consent Statement
Data Availability Statement
Conflicts of Interest
References
- van Dam, E.; van Leeuwen, L.A.G.; dos Santos, E.; James, J.; Best, L.; Lennicke, C.; Vincent, A.J.; Marinos, G.; Foley, A.; Buricova, M.; et al. Sugar-Induced Obesity and Insulin Resistance Are Uncoupled from Shortened Survival in Drosophila. Cell Metab. 2020, 31, 710–725.e7. [Google Scholar] [CrossRef] [PubMed]
- Paul, R.; Gurunathan, D. Cross Sectional Survey on the Amount of Sugar Content in Cakes on Sale in Chennai and Its Correlation with Dental Caries. J. Pharm. Res. Int. 2020, 32, 77–86. [Google Scholar] [CrossRef]
- Jacques, A.; Chaaya, N.; Beecher, K.; Ali, S.A.; Belmer, A.; Bartlett, S. The Impact of Sugar Consumption on Stress Driven, Emotional and Addictive Behaviors. Neurosci. Biobehav. Rev. 2019, 103, 178–199. [Google Scholar] [CrossRef]
- Bin Saharudin, A.M.; Binti Mohd Nazri, N.; Hanim Binti Roslee, A.; Haziq Bin Hawi, M.; Ohn Mar, S. Acceptance of Stevia as a Sugar Substitute and Its Determinants among Health Educated Individuals. Curr. Res. Nutr. Food Sci. 2020, 8, 226–237. [Google Scholar] [CrossRef]
- Faruque, S.; Tong, J.; Lacmanovic, V.; Agbonghae, C.; Minaya, D.M.; Czaja, K. The Dose Makes the Poison: Sugar and Obesity in the United States—A Review. Pol. J. Food Nutr. Sci. 2019, 69, 219–233. [Google Scholar] [CrossRef]
- Krupa-Kozak, U.; Drabińska, N.; Rosell, C.M.; Piłat, B.; Starowicz, M.; Jeliński, T.; Szmatowicz, B. High-Quality Gluten-Free Sponge Cakes without Sucrose: Inulin-Type Fructans as Sugar Alternatives. Foods 2020, 9, 1735. [Google Scholar] [CrossRef] [PubMed]
- Ma, X.; Nan, F.; Liang, H.; Shu, P.; Fan, X.; Song, X.; Hou, Y.; Zhang, D. Excessive Intake of Sugar: An Accomplice of Inflammation. Front. Immunol. 2022, 13, 988481. [Google Scholar] [CrossRef]
- Jamar, G.; Ribeiro, D.A.; Pisani, L.P. High-Fat or High-Sugar Diets as Trigger Inflammation in the Microbiota-Gut-Brain Axis. Crit. Rev. Food Sci. Nutr. 2021, 61, 836–854. [Google Scholar] [CrossRef]
- Warshaw, H.; Edelman, S.V. Practical Strategies to Help Reduce Added Sugars Consumption to Support Glycemic and Weight Management Goals. Clin. Diabetes 2021, 39, 45–56. [Google Scholar] [CrossRef]
- Shinde, U.A.; Kusalkar, S.; Rajput, N. Sugar Substitutes: An Overview. World J. Pharm. Res. 2017, 6, 1384–1416. [Google Scholar]
- Ding, S.; Yang, J. The Effects of Sugar Alcohols on Rheological Properties, Functionalities, and Texture in Baked Products—A Review. Trends Food Sci. Technol. 2021, 111, 670–679. [Google Scholar] [CrossRef]
- Stavale, M.D.O.; Assunção Botelho, R.B.; Zandonadi, R.P. Apple as Sugar Substitute in Cake. J. Culin. Sci. Technol. 2019, 17, 224–231. [Google Scholar] [CrossRef]
- Rodríguez-García, J.; Salvador, A.; Hernando, I. Replacing Fat and Sugar with Inulin in Cakes: Bubble Size Distribution, Physical and Sensory Properties. Food Bioprocess Technol. 2014, 7, 964–974. [Google Scholar] [CrossRef]
- Gao, J.; Brennan, M.A.; Mason, S.L.; Brennan, C.S. Effects of Sugar Substitution with “Stevianna” on the Sensory Characteristics of Muffins. J. Food Qual. 2017, 2017, 8636043. [Google Scholar] [CrossRef]
- Tsatsaragkou, K.; Methven, L.; Chatzifragkou, A.; Rodriguez-Garcia, J. The Functionality of Inulin as a Sugar Replacer in Cakes and Biscuits; Highlighting the Influence of Differences in Degree of Polymerisation on the Properties of Cake Batter and Product. Foods 2021, 10, 951. [Google Scholar] [CrossRef]
- Majzoobi, M.; Mohammadi, M.; Farahnaky, A. Simultaneous Reduction of Fat and Sugar in Cake Production; Effects of Changing Sucrose, Oil, Water, Inulin, and Rebaudioside A on Cake Batter Properties. J. Food Process. Preserv. 2020, 44, e14733. [Google Scholar] [CrossRef]
- Shahidi, B.; Kalantari, M.; Boostani, S. Preparation and Characterization of Sponge Cake Made with Grape Juice. Iran. Food Sci. Technol. Res. J. 2017, 13, 415–425. [Google Scholar]
- Wang, H.J.; Thomas, R.L. Direct Use of Apple Pomace in Bakery Products. J. Food Sci. 1989, 54, 618–620. [Google Scholar] [CrossRef]
- Gao, J.; Han, F.; Guo, X.; Zeng, X.; Mason, S.L.; Brennan, M.A.; Brennan, C. Image Analysis of the Sugar-Reduced Muffin Formulated with Stevianna® or Inulin as a Sugar Replacer. Grain Oil Sci. Technol. 2018, 1, 63–71. [Google Scholar] [CrossRef]
- Tai, Y.Y.; Alina, T.I.T.; Rosli, W.I.W. Improvement of Physico-Chemical Properties, Antioxidant Capacity and Acceptability of Carrot Cake by Partially Substituting Sugar with Concentrated Nypa Fruticans Sap. Pertanika J. Trop. Agric. Sci. 2019, 42, 883–902. [Google Scholar]
- Mehrabi, S.; Koushki, M.; Azizi, M.H. Effect of Grape Syrup as a Replacement for Sugar on the Chemical and Sensory Properties of Sponge Cake. Curr. Res. Nutr. Food Sci. 2017, 5, 126–136. [Google Scholar] [CrossRef]
- Alsirrag, M.A.; Hussein, A.A.; Awahd, H.A.; Awda, J.M.; Al-Masoudi, Z.M.; Almosawy, M.M. Phisco-Chemical Analysis and Sensory Evaluation of Iraqi Cake Incorporated with Grape and Date (Zahidi) Syrup. IOP Conf. Ser. Earth Environ. Sci. 2019, 388, 012053. [Google Scholar] [CrossRef]
- Mousavivand, H.; Hojati, M.; Jooyandeh, H.; Barzgar, H.; Zaki, H. Effect of Replacement of Sugar with Grape Syrup Powder on Characteristics of Cup Cake. J. Food Res. 2020, 30, 175–188. [Google Scholar]
- Alsenaien, W.A.; Alamer, R.A.; Tang, Z.X.; Albahrani, S.A.; Al-Ghannam, M.A.; Aleid, S.M. Substitution of Sugar with Dates Powder and Dates Syrup in Cookies Making. Adv. J. Food Sci. Technol. 2015, 8, 8–13. [Google Scholar] [CrossRef]
- Huțu, D.; Amariei, S. The Effects of Sugar and Fat Substitution on the Textural Properties of the Pie Dough. Food Environ. Saf. J. 2021, 20, 149–159. [Google Scholar] [CrossRef]
- Huțu, D.; Amariei, S. Effects of the Sugar and Fat Substitution on the Rheological Properties of the Pie Dough. Ukr. Food J. 2021, 2, 1–148. [Google Scholar] [CrossRef]
- Arshad, S.; Rehman, T.; Saif, S.; Rajoka, M.S.R.; Ranjha, M.M.A.N.; Hassoun, A.; Cropotova, J.; Trif, M.; Younas, A.; Aadil, R.M. Replacement of Refined Sugar by Natural Sweeteners: Focus on Potential Health Benefits. Heliyon 2022, 8, e10711. [Google Scholar] [CrossRef]
- Swiader, K.; Wegner, K.; Piotrowska, A.; Tan, F.J.; Sadowska, A. Plants as a Source of Natural High-Intensity Sweeteners: A Review. J. Appl. Bot. Food Qual. 2019, 92, 160–171. [Google Scholar] [CrossRef]
- Castro-Muñoz, R.; Correa-Delgado, M.; Córdova-Almeida, R.; Lara-Nava, D.; Chávez-Muñoz, M.; Velásquez-Chávez, V.F.; Hernández-Torres, C.E.; Gontarek-Castro, E.; Ahmad, M.Z. Natural Sweeteners: Sources, Extraction and Current Uses in Foods and Food Industries. Food Chem. 2022, 370, 130991. [Google Scholar] [CrossRef]
- Pátkai, G. Fruit and Fruit Products as Ingredients. In Handbook of Fruits and Fruit Processing; Blackwell Publishing: Oxford, UK, 2012; pp. 263–275. [Google Scholar]
- Figuerola, F.; Hurtado, M.L.; Estévez, A.M.; Chiffelle, I.; Asenjo, F. Fibre Concentrates from Apple Pomace and Citrus Peel as Potential Fibre Sources for Food Enrichment. Food Chem. 2005, 91, 395–401. [Google Scholar] [CrossRef]
- Karazhyan, R.; Ehtiati, A.; Nazari, Z.; Mehraban Sanghatash, M. Optimizing the Formulation of Functional Cake with Date Syrup and Inulin. J. Food Sci. Technol. 2021, 18, 147–157. [Google Scholar] [CrossRef]
- Umar Nasir, M.; Hussain, S.; Jabbar, S.; Rashid, F.; Khalid, N.; Mehmood, A.; Nasir, M.U. A Review on the Nutritional Content, Functional Properties and Medicinal Potential of Dates. Sci. Lett. 2015, 3, 17–22. [Google Scholar]
- Idowu, A.T.; Igiehon, O.O.; Adekoya, A.E.; Idowu, S. Dates Palm Fruits: A Review of Their Nutritional Components, Bioactivities and Functional Food Applications. AIMS Agric. Food 2020, 5, 734–755. [Google Scholar] [CrossRef]
- Salehi, F.; Aghajanzadeh, S. Effect of Dried Fruits and Vegetables Powder on Cakes Quality: A Review. Trends Food Sci. Technol. 2020, 95, 162–172. [Google Scholar] [CrossRef]
- Wichienchot, S.; Ishak, W.R.B.W. Prebiotics and Dietary Fibers from Food Processing By-Products. In Food Processing By-Products and their Utilization; Wiley: Hoboken, NJ, USA, 2017. [Google Scholar]
- Sun, J.; Prasad, K.N.; Ismail, A.; Yang, B.; You, X.; Li, L. Polyphenols: Chemistry, Dietary Sources and Health Benefits; Nova Science Publishers, Inc.: Hauppauge, NY, USA, 2013; ISBN 9781620818091. [Google Scholar]
- Psimouli, V.; Oreopoulou, V. The Effect of Fat Replacers on Batter and Cake Properties. J. Food Sci. 2013, 78, 1495–1502. [Google Scholar] [CrossRef]
- Rodríguez-García, J.; Puig, A.; Salvador, A.; Hernando, I. Functionality of Several Cake Ingredients: A Comprehensive Approach. Czech J. Food Sci. 2013, 31, 355–360. [Google Scholar] [CrossRef]
- Nieto-Nieto, T.V.; Wang, Y.X.; Ozimek, L.; Chen, L. Inulin at Low Concentrations Significantly Improves the Gelling Properties of Oat Protein—A Molecular Mechanism Study. Food Hydrocoll. 2015, 50, 116–127. [Google Scholar] [CrossRef]
- Keenan, D.F.; Brunton, N.; Butler, F.; Wouters, R.; Gormley, R. Evaluation of Thermal and High Hydrostatic Pressure Processed Apple Purees Enriched with Prebiotic Inclusions. Innov. Food Sci. Emerg. Technol. 2011, 12, 261–268. [Google Scholar] [CrossRef]
- Mitelut, A.C.; Popa, E.E.; Popescu, P.A.; Popa, M.E. Trends of Innovation in Bread and Bakery Production. In Trends in Wheat and Bread Making; Academic Press: Cambridge, MA, USA, 2021. [Google Scholar]
- Rößle, C.; Ktenioudaki, A.; Gallagher, E. Inulin and Oligofructose as Fat and Sugar Substitutes in Quick Breads (Scones): A Mixture Design Approach. Eur. Food Res. Technol. 2011, 233, 167–181. [Google Scholar] [CrossRef]
- Ozuna, C.; Trueba-v, E.; Moraga, G.; Llorca, E. Foods Agave Syrup as an Alternative to Sucrose in Muffins. Foods 2020, 9, 895. [Google Scholar] [CrossRef]
- Ghandehari Yazdi, A.; Hojjatoleslamy, M.; Keramat, J.; Jahadi, M.; Amani, E. The Evaluation of Saccharose Replacing by Adding Stevioside-Maltodextrin Mixture on the Physicochemical and Sensory Properties of Naanberenji (an Iranian Confectionary). Food Sci. Nutr. 2017, 5, 845–851. [Google Scholar] [CrossRef] [PubMed]
- Nikooie, A.; Ghandehari Yazdi, A.P.; Shamsaei, M.; Sedaghat Boroujeni, L. Effect of Sucrose Replacement by Stevia as a Non-Nutritive Sweetener and Bulking Compounds on Physiochemical Properties of Foodstuffs. J. Med. Herbs Drugs 2015, 6, 121–128. [Google Scholar]
- Zahn, S.; Forker, A.; Krügel, L.; Rohm, H. Combined Use of Rebaudioside A and Fibres for Partial Sucrose Replacement in Muffins. LWT Food Sci. Technol. 2013, 50, 695–701. [Google Scholar] [CrossRef]
- Sanggramasari, S. Effect of honey and stevia as sugar substitute on sensory evaluation of chiffon cake. J. Bus. Hosp. Tour. 2019, 5, 117–124. [Google Scholar] [CrossRef]
- Edwards, C.H.; Rossi, M.; Corpe, C.P.; Butterworth, P.J.; Ellis, P.R. The Role of Sugars and Sweeteners in Food, Diet and Health: Alternatives for the Future. Trends Food Sci. Technol. 2016, 56, 158–166. [Google Scholar] [CrossRef]
- Dana, H.; Sonia, A. Physicochemical Properties of Apple Purees and Peel Extract for Potential Use in Pastry Products. Appl. Sci. 2024, 14, 2011. [Google Scholar] [CrossRef]
- Lim, J.; Ko, S.; Lee, S. Use of Yuja (Citrus Junos) Pectin as a Fat Replacer in Baked Foods. Food Sci. Biotechnol. 2014, 23, 1837–1841. [Google Scholar] [CrossRef]
- Ajibade, B.O.; Ijabadeniyi, O.A. Effects of Pectin and Emulsifiers on the Physical and Nutritional Qualities and Consumer Acceptability of Wheat Composite Dough and Bread. J. Food Sci. Technol. 2019, 56, 83–92. [Google Scholar] [CrossRef]
- Şirin, P. Rheological, Textural, Physico-Chemical and Sensory Properties of Low Sugar Apple. Ph.D. Thesis, Izmir Institute of Technology, Izmir, Turkey, 2019. [Google Scholar]
- Nour, V.; Trandafir, I.; Ionica, M.E. Compositional Characteristics of Fruits of Several Apple (Malus Domestica Borkh.) Cultivars. Not. Bot. Horti Agrobot. 2010, 38, 228–233. [Google Scholar]
- Salazar-Orbea, G.L.; García-Villalba, R.; Bernal, M.J.; Hernández, A.; Tomás-Barberán, F.A.; Sánchez-Siles, L.M. Stability of Phenolic Compounds in Apple and Strawberry: Effect of Different Processing Techniques in Industrial Set Up. Food Chem. 2023, 401, 134099. [Google Scholar] [CrossRef]
- Martínez-Cervera, S.; de la Hera, E.; Sanz, T.; Gómez, M.; Salvador, A. Effect of Using Erythritol as a Sucrose Replacer in Making Spanish Muffins Incorporating Xanthan Gum. Food Bioprocess Technol. 2012, 5, 3203–3216. [Google Scholar] [CrossRef]
- Kırbaş, Z.; Kumcuoglu, S.; Tavman, S. Effects of Apple, Orange and Carrot Pomace Powders on Gluten-Free Batter Rheology and Cake Properties. J. Food Sci. Technol. 2019, 56, 914–926. [Google Scholar] [CrossRef] [PubMed]
- Baixauli, R.; Sanz, T.; Salvador, A.; Fiszman, S.M. Muffins with Resistant Starch: Baking Performance in Relation to the Rheological Properties of the Batter. J. Cereal Sci. 2008, 47, 502–509. [Google Scholar] [CrossRef]
- Martínez-Cervera, S.; Sanz, T.; Salvador, A.; Fiszman, S.M. Rheological, Textural and Sensorial Properties of Low-Sucrose Muffins Reformulated with Sucralose/Polydextrose. LWT Food Sci. Technol. 2012, 45, 213–220. [Google Scholar] [CrossRef]
- Fiszman, S.M. Evaluation of Four Types of Resistant Starch in Muffins. II. Effects in Texture, Colour and Consumer Response. Eur. Food Res. Technol. 2009, 229, 197–204. [Google Scholar] [CrossRef]
- Xu, X.; Zhang, H.; Li, L.; Sun, L.; Jia, B.; Yang, H.; Zuo, F. Preparation of Fat Substitute Based on the High-Methoxyl Pectin of Citrus and Application in Moon-Cake Skin. Food Sci. Technol. 2022, 42, e92121. [Google Scholar] [CrossRef]
- Pușcaș, A.; Tanislav, A.E.; Mureșan, A.E.; Fărcaș, A.C.; Mureșan, V. Walnut Oil Oleogels as Milk Fat Replacing System for Commercially Available Chocolate Butter. Gels 2022, 8, 613. [Google Scholar] [CrossRef] [PubMed]
- Grasso, S.; Liu, S.; Methven, L. Quality of Muffins Enriched with Upcycled Defatted Sunflower Seed Flour. LWT 2020, 119, 108893. [Google Scholar] [CrossRef]
- Belorio, M.; Sahagún, M.; Gómez, M. Psyllium as a Fat Replacer in Layer Cakes: Batter Characteristics and Cake Quality. Food Bioprocess Technol. 2019, 12, 2085–2092. [Google Scholar] [CrossRef]
- Bakare, A.H.; Osundahunsi, O.F.; Olusanya, J.O. Rheological, Baking, and Sensory Properties of Composite Bread Dough with Breadfruit (Artocarpus Communis Forst) and Wheat Flours. Food Sci. Nutr. 2016, 4, 573–587. [Google Scholar] [CrossRef]
- Majzoobi, M.; Mohammadi, M.; Mesbahi, G.; Farahnaky, A. Feasibility Study of Sucrose and Fat Replacement Using Inulin and Rebaudioside A in Cake Formulations. J. Texture Stud. 2018, 49, 468–475. [Google Scholar] [CrossRef] [PubMed]
- Kupiec, M.; Szymanska, I.; Osytek, K.; Zbikowska, A.; Kowalska, M.; Marciniak-lukasiak, K.; Rutkowska, J. Microbial β -Glucan Incorporated into Mu Ffi Ns: Impact on Quality of the Batter and Baked Products. Agriculture 2020, 10, 126. [Google Scholar]
- Bianchi, F.; Cervini, M.; Giuberti, G.; Simonato, B.; Rocchetti, G.; Lucini, L. Distilled Grape Pomace as a Functional Ingredient in Vegan Muffins: Effect on Physicochemical, Nutritional, Rheological and Sensory Aspects. Int. J. Food Sci. Technol. 2022, 57, 4847–4858. [Google Scholar] [CrossRef]
- Ren, Y.; Yookyung, K.S. Physicochemical and Retrogradation Properties of Low-Fat Muffins with Inulin and Hydroxypropyl Methylcellulose as Fat Replacers. J. Food Process. Preserv. 2020, 44, e14816. [Google Scholar] [CrossRef]
- Obiegbuna, E. Effect of Substituting Sugar with Date Palm Pulp Meal on the Physicochemical, Organoleptic and Storage Properties of Bread. Afr. J. Food Sci. 2013, 7, 113–119. [Google Scholar] [CrossRef]
- Arifin, N.; Siti Nur Izyan, M.A.; Huda-Faujan, N. Physical Properties and Consumer Acceptability of Basic Muffin Made from Pumpkin Puree as Butter Replacer. Food Res. 2019, 3, 840–845. [Google Scholar] [CrossRef]
- Marak, S.; Kaushik, N.; Dikiy, A.; Shumilina, E.; Falch, E. Nutritionally Enriched Muffins from Roselle Calyx Extract Using Response Surface Methodology. Foods 2022, 11, 3982. [Google Scholar] [CrossRef]
- Bala, M.; Arun Kumar, T.V.; Tushir, S.; Nanda, S.K.; Gupta, R.K. Quality Protein Maize Based Muffins: Influence of Non-Gluten Proteins on Batter and Muffin Characteristics. J. Food Sci. Technol. 2019, 56, 713–723. [Google Scholar] [CrossRef]
- Martínez-Cervera, S.; Salvador, A.; Sanz, T. Comparison of Different Polyols as Total Sucrose Replacers in Muffins: Thermal, Rheological, Texture and Acceptability Properties. Food Hydrocoll. 2014, 35, 1–8. [Google Scholar] [CrossRef]
- Akbulut, M.; Bilgiçli, N. Effects of Different Pekmez (Fruit Molasses) Types Used as a Natural Sugar Source on the Batter Rheology and Physical Properties of Cakes. J. Food Process Eng. 2010, 33, 272–286. [Google Scholar] [CrossRef]
- Nieto-Mazzocco, E.; Saldaña-Robles, A.; Franco-Robles, E.; Mireles-Arriaga, A.I.; Mares-Mares, E.; Ozuna, C. Optimization of Gluten-Free Muffin Formulation with Agavin-Type Fructans as Fat and Sucrose Replacer Using Response Surface Methodology. Futur. Foods 2022, 5, 100112. [Google Scholar] [CrossRef]
- Gao, J.; Guo, X.; Brennan, M.A.; Mason, S.L.; Zeng, X.A.; Brennan, C.S. The Potential of Modulating the Reducing Sugar Released (and the Potential Glycemic Response) of Muffins Using a Combination of a Stevia Sweetener and Cocoa Powder. Foods 2019, 8, 644. [Google Scholar] [CrossRef] [PubMed]
- Struck, S.; Gundel, L.; Zahn, S.; Rohm, H. Fiber Enriched Reduced Sugar Muffins Made from Iso-Viscous Batters. LWT Food Sci. Technol. 2016, 65, 32–38. [Google Scholar] [CrossRef]
- Struck, S. Interactions of Wheat Macromolecules and Fibres from Fruit Processing By-Products Using Model Systems and the Application Example Muffin. Ph.D. Thesis, Technische Universität Dresden, Dresden, Germany, 2018. [Google Scholar]
- Struck, S.; Jaros, D.; Brennan, C.S.; Rohm, H. Sugar Replacement in Sweetened Bakery Goods. Int. J. Food Sci. Technol. 2014, 49, 1963–1976. [Google Scholar] [CrossRef]
- Milner, L.; Kerry, J.P.; O’Sullivan, M.G.; Gallagher, E. Physical, Textural and Sensory Characteristics of Reduced Sucrose Cakes, Incorporated with Clean-Label Sugar-Replacing Alternative Ingredients. Innov. Food Sci. Emerg. Technol. 2020, 59, 102235. [Google Scholar] [CrossRef]










| Formulation | PC | P10 | P20 | P30 | P40 | P50 | P60 | P70 | P80 | P90 | P100 |
|---|---|---|---|---|---|---|---|---|---|---|---|
| Ingredients | Mass (g) | ||||||||||
| Eggs | 75 | 75 | 75 | 75 | 75 | 75 | 75 | 75 | 75 | 75 | 75 |
| Sugar | 100 | 90 | 80 | 70 | 60 | 50 | 40 | 30 | 20 | 10 | - |
| Milk | 35 | 35 | 35 | 35 | 35 | 35 | 35 | 35 | 35 | 35 | 35 |
| Oil | 100 | 100 | 100 | 100 | 100 | 100 | 100 | 100 | 100 | 100 | 100 |
| Wheat flour | 125 | 125 | 125 | 125 | 125 | 125 | 125 | 125 | 125 | 125 | 125 |
| Baking powder | 3.5 | 3.5 | 3.5 | 3.5 | 3.5 | 3.5 | 3.5 | 3.5 | 3.5 | 3.5 | 3.5 |
| Salt | 1.5 | 1.5 | 1.5 | 1.5 | 1.5 | 1.5 | 1.5 | 1.5 | 1.5 | 1.5 | 1.5 |
| Apple puree | - | 10 | 20 | 30 | 40 | 50 | 60 | 70 | 80 | 90 | 100 |
| Sample | Crust | Crumb | ||||
|---|---|---|---|---|---|---|
| L* | a* | b* | L* | a* | b* | |
| PC | 47.18 ± 0.02 a | 15.08 ± 0.06 a | 38.02 ± 0.06 a | 68.94 ± 0.05 c | −6.24 ± 0.03 g | 24.51 ± 0.06 fg |
| P10 | 43.52 ± 0.03 c | 15.86 ± 0.04 a | 33.36 ± 0.05 c | 68.04 ± 0.12 d | −5.48 ± 0.32 ef | 24.50 ± 0.14 h |
| P20 | 42.85 ± 0.04 d | 15.53 ± 0.03 b | 31.37 ± 0.12 d | 69.12 ± 0.07 c | −5.09 ± 0.09 ef | 24.98 ± 0.51 gh |
| P30 | 46.85 ± 0.02 b | 15.34 ± 0.02 c | 34.17 ± 0.07 b | 69.54 ± 0.06 b | −4.93 ± 0.04 de | 24.96 ± 0.49 gh |
| P40 | 38.91 ± 0.02 e | 14.57 ± 0.07 d | 25.13 ± 0.06 e | 67.04 ± 0.07 e | −4.47 ± 0.04 cd | 26.21 ± 0.50 f |
| P50 | 35.89 ± 0.01 g | 13.63 ± 0.04 e | 21.17 ± 0.08 g | 65.04 ± 0.06 g | −4.13 ± 0.07 c | 28.94 ± 0.04 d |
| P60 | 34.81 ± 0.05 i | 11.58 ± 0.02 f | 19.82 ± 0.06 h | 65.91 ± 0.04 f | −3.94 ± 0.04 bc | 30.73 ± 0.03 c |
| P70 | 38.64 ± 0.02 h | 12.71 ± 0.02 h | 18.22 ± 0.06 i | 65.66 ± 0.03 f | −2.71 ± 0.03 a | 27.98 ± 0.01 e |
| P80 | 38.64 ± 0.08 f | 12.71 ± 0.03 g | 17.12 ± 0.04 f | 70.66 ± 0.02 a | −3.45 ± 0.04 b | 34.81 ± 0.01 a |
| P90 | 31.86 ± 0.07 j | 10.92 ± 0.04 i | 15.19 ± 0.06 j | 68.28 ± 0.04 d | −5.11 ± 0.01 ef | 32.27 ± 0.03 b |
| P100 | 35.85 ± 0.05 g | 13.74 ± 0.04 e | 20.93 ± 0.10 g | 62.83 ± 0.17 h | −624 ± 0.02 f | 25.95 ± 0.02 f |
Disclaimer/Publisher’s Note: The statements, opinions and data contained in all publications are solely those of the individual author(s) and contributor(s) and not of MDPI and/or the editor(s). MDPI and/or the editor(s) disclaim responsibility for any injury to people or property resulting from any ideas, methods, instructions or products referred to in the content. |
© 2024 by the authors. Licensee MDPI, Basel, Switzerland. This article is an open access article distributed under the terms and conditions of the Creative Commons Attribution (CC BY) license (https://creativecommons.org/licenses/by/4.0/).
Share and Cite
Dana, H.; Sonia, A. Possibility of Replacing Sugar with Apple Puree in Muffins. Appl. Sci. 2024, 14, 8511. https://doi.org/10.3390/app14188511
Dana H, Sonia A. Possibility of Replacing Sugar with Apple Puree in Muffins. Applied Sciences. 2024; 14(18):8511. https://doi.org/10.3390/app14188511
Chicago/Turabian StyleDana, Huțu, and Amariei Sonia. 2024. "Possibility of Replacing Sugar with Apple Puree in Muffins" Applied Sciences 14, no. 18: 8511. https://doi.org/10.3390/app14188511
APA StyleDana, H., & Sonia, A. (2024). Possibility of Replacing Sugar with Apple Puree in Muffins. Applied Sciences, 14(18), 8511. https://doi.org/10.3390/app14188511

