Next Article in Journal
Robotic Manipulation of Cumulus–Oocyte Complexes for Cumulus Cell Removal
Next Article in Special Issue
Heart Rate Variability in Basketball: The Golden Nugget of Holistic Adaptation?
Previous Article in Journal
A Novel Perturbation Consistency Framework in Semi-Supervised Medical Image Segmentation
Previous Article in Special Issue
Playing High: Strategic Use of the Lob in Professional Padel
 
 
Font Type:
Arial Georgia Verdana
Font Size:
Aa Aa Aa
Line Spacing:
Column Width:
Background:
Article

An Exploratory Study on Whether the Interference Effect Occurs When High-Intensity Strength Training Is Performed Prior to High-Intensity Interval Aerobic Training

Curtin School of Allied Health, Curtin University, Perth 6845, Australia
*
Author to whom correspondence should be addressed.
Appl. Sci. 2024, 14(18), 8447; https://doi.org/10.3390/app14188447
Submission received: 30 August 2024 / Revised: 16 September 2024 / Accepted: 17 September 2024 / Published: 19 September 2024
(This article belongs to the Special Issue Exercise Physiology and Biomechanics in Human Health)

Abstract

Featured Application

This training regimen can be used as a time-efficient protocol for people with lower levels of aerobic fitness to kickstart their fitness journey. The training loads applied can be used as initial mesocycle loads for untrained participants, noting that, through effective periodization, the HITT intensities will periodically increase to provide an ongoing adaptive stimulus. Further, for aerobically trained individuals (>40 mL/kg/min), we suggest that this program be modified by increasing the prescribed training intensities to induce a sufficient stimulus to increase their baseline strength and aerobic parameters. An alternative use of this intervention is as a short (off-/pre-season) training regimen within sports clubs to boost strength and endurance parameters through a brief, but intense, time-efficient training approach. Finally, the described intervention could be implemented in occupational settings (e.g., fly-in–fly-out work camp labour workers in mines), where the benefit from incorporating a systematic training regimen, especially when the time devoted to exercise is limited, can lead to general health benefits.

Abstract

There is conflicting evidence on whether concurrent aerobic endurance and resistance training (RT) leads to synergistic enhancements in aerobic capacity and muscular strength or causes interference, limiting performance gains. We developed a concurrent training (CT) intervention, including full-body dynamic RT combined with high-intensity interval training (HIIT), on a cycle ergometer to determine whether a brief CT intervention is beneficial to both muscular strength and aerobic capacity. In an exploratory pilot study, participants (n = 10; male = 4) undertook a four-week CT intervention consisting of RT, including six compound movements (bench press, squat, deadlift, Pendley row, squat jumps, and rack pulls), plus cycle HIIT. The pre-/post-intervention improvements were assessed via bench press and leg press 3RM testing, an isometric mid-thigh pull, a countermovement jump, and the change in the relative V ˙ O2max. We observed significant (p < 0.1) increases in the bench press (6.4%), leg press (6.7%), IMTP (11.1%), and relative V ˙ O2max (7%) results. Interestingly, the participants with the highest pre-intervention relative V ˙ O2max demonstrated no performance improvements. These pilot test results suggest that CT is an effective strategy that enables synergistic enhancements that can be observed with very low training volumes. This suggests that CT is an effective strategy for improving muscular strength and aerobic endurance in non-elite physically active individuals.

1. Introduction

Exercise is commonly performed for work, enjoyment, or health, with the benefits of exercise being well documented [1]. Both sport and everyday activities require a balance of both muscular strength and endurance for success and optimal performance [2]. Generally, the two most common modes of exercise for optimising and maintaining performance are endurance training (ET) and resistance training (RT). ET stimulates both the aerobic and anaerobic energy systems [3], with a subcategory of ET referred to as high-intensity interval training (HIIT), characterised by short, high-intensity bouts of exercise with brief rest periods [4]. Alternatively, RT is most commonly performed to achieve gains in muscular power, strength, and hypertrophy [3]. Exercise professionals have sought to improve the training time efficiency by combining RT with ET, with the combination being referred to as CT [5].
There are conflicting opinions regarding whether concurrent training is beneficial, with studies reporting a synergistic enhancement in aerobic and strength outcome measures [2,5,6,7,8], whilst others have observed an interference, where concurrent training results in an observed gain in either aerobic or strength outcomes whilst attenuating the adaptation of the other [9,10,11]. When developing an exercise training program, the mode, intensity, and volume of training need to be considered to mitigate or reduce any adaptation interference effects [2,4]. Importantly, concurrent training can increase the maximal oxygen uptake ( V ˙ O2max) [5,8,12], following both high and low intensities of endurance training [12].
Initially, Gibala [13] reported that high-intensity interval training is a superior approach regarding time efficiency for stimulating muscle aerobic metabolic adaptations, with the results being comparable to prolonged (90–120 min) endurance training in two weeks. For CT, Silva, Cadore, et al. [14] reported that CT performed twice weekly over 11 weeks resulted in a similar neuromuscular adaptation to that from RT alone in healthy young women, regardless of the intensity or type of aerobic training [8]. These findings suggest that HIIT combined with RT is a time-efficient protocol for optimising both strength and endurance parameters. Furthermore, Benítez-Flores, Medeiros, et al. [6] observed improvements in a range of physical fitness and health parameters in just two weeks of CT consisting of very short “all-out” efforts for both ET and RT.
A limitation of concurrent training protocols is the prescription of inefficient intersession recovery periods between exercise modes [9,10]. Critically, there is an abundance of suboptimal RT exercise prescriptions, some of which are not specific to outcome measures, whilst other studies prescribe a single RT exercise [8,12]. Little is known regarding the effects of a concurrent training program that incorporates high RT loads with full-body movements combined with high ET intensities on the physical performance of young adults [15].
Thus, we examined the effects of a four-week concurrent training program, combining resistance training using full-body dynamic compound movements and endurance training using an HIIT protocol, in an exploratory observational study. We hypothesised that a concurrent training intervention, when ordered with resistance training first, would increase both strength and endurance performance parameters in four weeks synergistically.

2. Materials and Methods

Using a single-cohort, within-subject observational study design with pre-/post-measures, we investigated the 4-week training effect on physical capacity, strength, and aerobic measures. Physically active men and women were recruited to complete a four-week, different-day concurrent training program. Their strength was assessed using three repetition max (3RM) tests for the bench press, leg press, and isometric mid-thigh pull (IMTP), while their dynamic performance was assessed through a countermovement jump (CMJ). Their aerobic capacity ( V ˙ O2max) was determined on a cycling ergometer, using a continuous incremental exercise test.
Previous research in concurrent training [5,8,10,12,14] suggests that a sample size of n = 20 participants is required for a comprehensive investigation. We sought to conduct a pilot exploratory study, and 12 physically active participants were recruited (Table 1) through convenience sampling. The inclusion criteria required potential participants to self-identify as “apparently healthy” using an adult pre-exercise screening questionnaire (Exercise Sport Science Australia, Adult Pre-exercise Screening System), and they were not to identify as elite athletes. Participants with external commitments (e.g., training programs, sports) were accepted; however, their external training minutes were recorded. The participants were advised to maintain their current diet and not to take any additional supplements or NSAIDs for the duration of their study involvement. All the sessions were supervised by a researcher (GB), and informed consent was gained, with ethical approval by the Institutional Human Research Ethics Committee from Curtin University (HREC2022-0300).
Each participant attended 19 sessions over the course of six weeks, consisting of familiarisation, testing (pre- and post-), and sixteen training sessions (RT, n = 8 and HIIT, n = 8) over four weeks. In the first week, during familiarisation and following the attainment of informed consent, all the exercises used in the intervention were demonstrated and attempted by the participants to familiarise them with the movements. The seat settings for the HIIT sessions on the cycling ergometer (Concept 2, 430952017, Burleigh Heads, QLD, Australia) were determined as the height that allowed for slight knee flexion at the bottom pedalling position, and these settings were then recorded for subsequent use. On the second (week 2) and last (week 6) visits, all the performance tests were conducted in a standardised order from the smallest muscle contraction time to the longest/continual (CMJ, IMTP, bench press, leg press, and V ˙ O2max). The CMJ and IMTP testing were both performed using portable force plate (AMTI, BP600600-2000, 9953M, Watertown, MA, USA) sampling at 500 Hz and operated using BioAnalysis (v2.2, AMTI, Watertown, MA, USA) software.
Prior to performing the CMJ, the participants completed a standardised warm-up of three unloaded submaximal jumps at approximately 80% of their self-determined effort, followed by three minutes of rest. The participants then performed three unloaded, maximal-effort jumps with three minutes of rest between repetitions, with the best repetition used for the statistical comparison. The primary variables of interest with the CMJ were the jump height (cm) achieved, determined utilising the flight time calculation (11), and the peak propulsive force (PF). When performing each CMJ, the participants were instructed to begin from a standing position with their hands placed on their hips; then a vocal three-second countdown was given, after which the participants were instructed to self-select their countermovement depth and accelerate upwards as quickly as possible to achieve maximal concentric velocity during each jump, ensuring that their hands were placed on their hips throughout the entirety of the jump, otherwise the jump would be invalidated.
Prior to performing the IMTP test, the participants followed a standardised warm-up commencing with five repetitions of rack pulls at 30% and 50% of their perceived effort, performed in a power rack. The IMTP was performed in a smith machine (Cybex Smith Press, 16120-508-4 B, Owatonna, MI, USA) with the portable force plate placed centrally under the bar. The participants were individually positioned whilst standing centrally on the force plate, achieving knee (139 ± 4.37, 129–145°) and hip (121.7 ± 7.80, 109–133°) angles (mean ± SD and range, respectively) that were similar to the positions previously reported [16,17,18]. The positions were replicated between the pre-/post-intervention trials using a goniometer. After individual positioning, the smith machine was maximally loaded with weights to ensure an immovable bar. The participants then performed three submaximal isometric pulls to conclude the warm-up. Three maximal repetitions were performed with three minutes of rest between the repetitions, and the participants were provided with a verbal countdown, beginning with the instruction to pull as hard and as fast as possible for five seconds. Strong verbal encouragement was provided throughout each repetition. The isometric peak force (IsoPF) was extracted from the recorded ground reaction force, and the highest value from the three repetitions at pre- and post-testing was used for the analysis.
Dynamic strength parameters were assessed using 3RM tests of a bench press (Cybex Olympic bench, Owatonna, MI, USA), utilising an Olympic (20 kg) bar or lighter (15 kg or 10 kg) to meet the participant’s needs, and a squat leg press (Cybex Squat press machine, 16150-598-4 B, Owatonna, MI, USA). At all times, the bench press was completed before the leg press. A specific standardised warm-up of five (50% perceived effort) and three (70% perceived effort) repetitions were performed for each test, with three minutes of rest prior to the first 3RM attempt. During the bench press test, the participants were instructed to utilise an overhand closed grip at a range no wider than the knurling marks, but at a comfortable shoulder width. The first repetition began with fully extended elbows, from which the barbell was lowered to the position of the highest point in the chest and lifted again to full elbow extension, and the full movement was repeated three times. The participant had to maintain five points of contact throughout the duration of the three repetitions (head, upper back, buttocks, and both feet) and maintain a lower back arch [19]. During the leg press test, the participants were instructed to self-direct their foot placement on the plate. Each repetition began with full knee extension—during lowering, their knee flexion had to reach ≥90°—and then the participant returned to full extension to complete the repetition before repeating the full movement three times without pause. After the completion of the first bench press and leg press trials, trials of progressively greater loads were performed until failure, with three minutes of rest between the trials. If a participant failed to complete three repetitions, they were offered a repeat after 3 min with half of the previous weight increment. The highest weight completed for the three repetitions in the bench press and leg press tests was recorded as the 3RM.
Aerobic parameters were assessed through a ramp protocol V ˙ O2max test on a cycling ergometer (Lode Corvial cycling ergometer, Groninger, The Netherlands) accompanied by a metabolic cart (Parvo Medics collection system, TrueOne 2400, Salt Lake City, UT, USA). The ramp protocol consisted of an incremental increase (+25 watts) each minute, starting at 75 watts, until volitional exhaustion and/or a failure to maintain a pedalling cadence of 80 RPM ± 5 revolutions or higher throughout the test. During the testing, the participants wore a heart rate monitor (Polar H1, M932W60607691, Kempele, Finland) that was linked via Bluetooth with the metabolic cart. Strong verbal encouragement was provided throughout the duration of the test. The V ˙ O2peak was determined by the highest 30 s rolling average sampled during the two minutes prior to test cessation, and the corresponding HR and power output (PPO) were recorded following test cessation.
The actual resistance-training volume was calculated using the inferred repetition maximum values [20] from the recorded weights that the participants achieved for each exercise. This was also reflected in the repetition-in-reserve programming process, which was described during familiarisation. The pre-/post-intervention testing sessions were separated by 48 h from the first and last training sessions, respectively. The previous week’s exercise minutes were completed and recalled weekly on the first training session of each week. At the start of each session, a standardised warm-up of five minutes of light cycling was completed, and for the RT sessions, each exercise was preceded by a set at 20%, 40%, and 60% of the predicted 1RM (Table 2). The individual session duration varied from 20 min (HIIT) to 60 min (RT and familiarisation) to 90 min (testing).
Based on previous CT literature [21,22], each resistance-training session consisted of six exercises (barbell bench press, full-depth back squat, rack pull, weighted jump squat, Pendlay row, and deadlift), with three sets performed for each exercise. However, the exercise order was not standardised to encourage an element of individual choice [23]. The RT was periodised using the repetition-in-reserve (RiR) strategy and varying rest times over the four weeks. A repetition range of 8–12 was targeted for each exercise, with an RiR of 3 and 2, corresponding to an individualised training load (10–12RM) during weeks one and two, respectively. The target repetition range decreased to 5–8 repetitions at an RiR of 1 to 0, respectively, for weeks 3 and 4, which corresponded to an individualised load of 5–8RM.
The high-intensity interval training (HIIT) protocol consisted of eight intervals of work (20 s on and 20 s off), performed on a stationary cycling ergometer (Concept 2, 430952017, QLD, Australia). The ergometer fan resistance was controlled and set to three throughout the duration of the intervention. Periodisation was guided by an increase in the target wattage from the first two weeks (120% V ˙ O2max) to the last two (140% V ˙ O2max). The participants were instructed to reach and maintain their individualised power output (watts) target as quickly as possible during each work interval.
The outcome measures were assessed for normality using a Shapiro–Wilk normality test, and then the pre-/post-intervention data were compared using a paired-samples t-test and a Pearson r correlation analysis to determine whether there was uniformity of strength and aerobic changes for each participant. The strength of the correlation was categorised as very weak (r = 0–0.19), weak (r = 0.20–0.39), moderate (r = 0.40–0.59), strong (r = 0.60–0.79), or very strong (r = 0.8–1). A simple linear regression was used to determine the level of effect that the V ˙ O2max post-intervention had on the measures of strength and dynamic performance. A statistical analysis was conducted using the GraphPad Prism software (version 10), with 95% confidence intervals reported. To avoid missing potentially relevant and important findings that might be overlooked due to a conventional choice of statistical significance acceptance (p < 0.05), we chose to accept statistical significance as p < 0.1. While we acknowledge that this can lead to the potential for type I errors, this decision helped to avoid type II errors of false negatives in this proof-of-concept exploratory study, when using a smaller-than-ideal sample.

3. Results

Two participants withdrew from the study due to unrelated injuries, resulting in data from n = 10 participants being analysed for all the variables other than the IMTP and aerobic data, which included n = 9 due to technical errors during data collection. Except for the peak force during the CMJ (p = 0.035), all the other variables of interest (body mass: p = 0.942; bench press: p = 0.245; leg press: p = 0.666; IMTP: p = 0.302; CMJ height: p = 0.081; and relative V ˙ O2max: p = 0.327) were normally distributed. A non-significant (p = 0.208) increase (0.78%) in the participant’s body mass was observed over the 4 weeks.
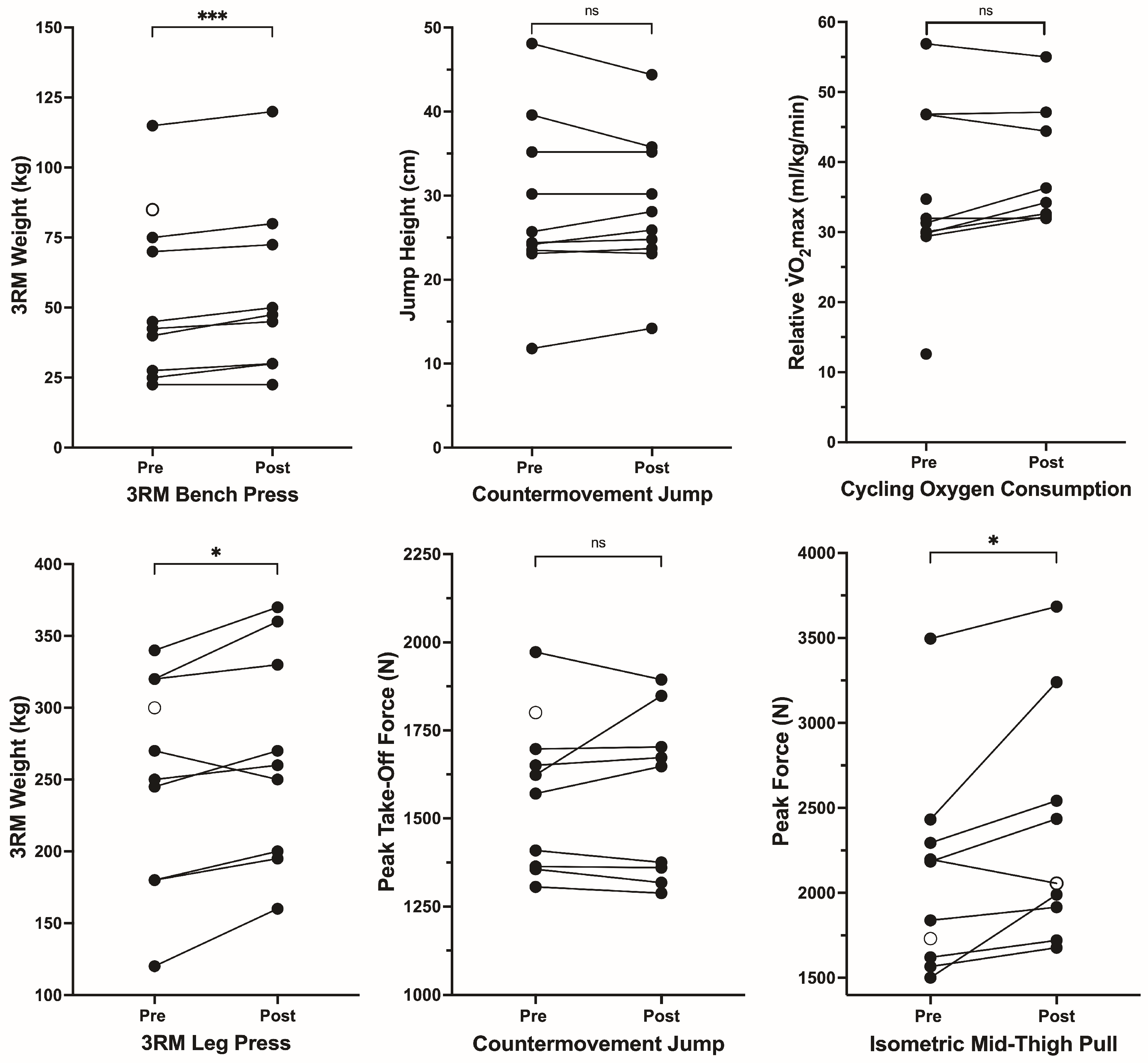
The bench press 3RM strength testing significantly increased (6.39%; p = 0.0007) to 55.28 ± 30.9kg (range: 22.5–120 kg), and a similar increase (6.73%; p = 0.0155) was observed for the 3RM leg press, which increased to 266.1 ± 74.7 kg (range: 160–370 kg) (Figure 1). The IMTP peak force (Figure 1) significantly increased (11.14%; p = 0.0314) to 2362 ± 695 N (range: 1677–3685 N). However, the CMJ jump height and peak take-off force (Figure 1) did not change (p = 0.9552 and p = 0.5684, respectively). Importantly, the relative V ˙ O2max (Figure 1) did not significantly change (p = 0.2063), with post-intervention values of 39.24 ± 8.6 mL/kg/min (range: 31.9–55.03 mL/kg/min).
The post-intervention dynamic strength, as represented by improvements in the CMJ height, was strongly correlated to the relative V ˙ O2max (r = 0.6947), but only weakly correlated to the CMJ peak take-off force (r = 0.3837). The IMTP peak force improvement was only weakly correlated to the relative V ˙ O2max (r = 0.2818) (Figure 2). The improvements in the 3RM leg press were observed to have a moderate (r = 0.5521) correlation with the relative V ˙ O2max, whilst the bench press 3RM strength had a strong (r = 0.8184) correlation with the relative V ˙ O2max (Figure 2). The V ˙ O2max post-intervention was only observed to significantly affect the bench press (R2 = 0.6698; p = 0.0244) and CMJ jump height (R2 = 0.4827; p = 0.0558) (Table 3).

4. Discussion

This study sought to test the hypothesis that there would be an increase in strength and aerobic performance parameters when resistance training in the form of full-body dynamic compound movements was performed first and combined with HIIT in a CT program. The proposed hypotheses was not supported through the observations of synergistic enhancements in the aerobic (relative V ˙ O2max) and strength (3RMs and IMTP) parameters following the four-week CT program; however, there was no relationship between improvements in aerobic power and the measures of dynamic explosive movement. The lack of synergistic enhancements observed in the aerobic and strength outcome measures are in line with some previous literature [9,10,11], whilst in contrast to others [2,5,6,7,8]. These contradictory findings most likely reflect the exploratory study design, training program, exercise selection choices for both ET and RT, and recovery time.
Significant strength improvements were observed for the bench press (6.39%), leg press (6.73%), and IMTP peak force (11.14%), representing the degree of the participant’s full-body strength adaptation that was observed following this holistic resistance-training approach. Strength increases were observed regardless of the discrepancy between the selection/number of exercises in the training program between the upper (bench press and Pendlay row) and lower (squat, deadlift, rack pull, and weighted squat jump) body. Our data suggest that the exercise selection percentages are representative of the body percentage of muscle mass involved. Our reported data also support the idea that training exercises should specifically target or replicate the testing variable of interest (e.g., testing bench press and training bench press), rather than indirectly targeting a variable of interest (e.g., testing leg press and training squats) and therefore adding unnecessary volume.
As a group, the participants’ relative V ˙ O2max remained unchanged; however, the intense, but brief, nature of the HIIT protocol appeared to be an insufficient stimulus to increase the relative V ˙ O2max of the participants that undertook the training intervention when starting with a higher baseline position. Three participants who recorded the highest relative V ˙ O2max results (range: 46.78–56.90 mL/kg/min) did not observe an improvement; in fact, they decreased or were unchanged. The observed small gains for the other participants (n = 5) is surprising considering that this adaptation was observed following such a minimal dose of endurance training (a total of only 640 s of high-intensity training). The increased post-intervention relative V ˙ O2max values are in line with the findings of Silva et al. [14], who reported that two weekly sessions for each training mode were sufficient to observe synergistic enhancements without interference in novice individuals. However, this stimulus (two sessions per week) may be insufficient for individuals with a higher (>40 mL/kg/min) relative V ˙ O2max. This suggests that, for higher-trained individuals, the HIIT protocol employed here was insufficient to induce an aerobic adaptation. Therefore, training status should be considered when designing the intensity/duration of the HIIT program to optimise the aerobic power response. While the dose of aerobic exercise training used in this pilot study appeared to be insufficient to stimulate adaptations in participants with a greater starting aerobic capacity baseline, the very minimal overall volume did appear to be sufficient for those participants starting from a low-capacity baseline. Thus, this is highly encouraging as a response for participants recovering from cardiovascular illness or returning to an active lifestyle after a period of sedentary life.
The participants’ synergistic adaptations were achieved through the incorporation of RT with HIIT [8], along with applying the minimum training exposure of two weekly sessions for each training mode [14]. It has also been observed that neuromuscular adaptations can induce strength and aerobic capacity gains after a minimum recommended exposure to a two-week CT program [6,13]. While Petré, Löfving, and Psilander [8] observed synergistic enhancements in strength and aerobic parameters following a six-week CT program, our CT program was able to induce synergistic adaptation in just four weeks. The time-efficient nature of our observed adaptations may have been due to the relatively aggressive approach to RT periodisation. It is likely that the adaptations observed here resulted from a combination of neuromuscular adaptation [6] and HIIT-induced increases in mitochondrial respiratory function [24,25]. However, while this exploratory study reports a minimal dose–response scenario, there is clearly a need to investigate longer-duration training responses (>6 weeks), including more regular (every 2 weeks) performance adaptation monitoring, to directly compare to the CT literature [6,8,13].
The participants failed to produce notable changes in their post-intervention CMJ test, as the jump height negligibly increased (0.14%) whilst the peak take-off force decreased (−1.53%). This was in contrast to the raw expressions of strength that did substantially improve. Thus, we observed an interference in the transfer of strength gains to power-based adaptations. This may be due to the predominant focus on strength training and lack of power training (e.g., plyometrics). Furthermore, the lack of stimulation regarding the stretch-shortening cycle may also be a determining factor in the lack of adaptation, as it is crucial for developing explosive strength during a CMJ [26].
It would be recalcitrant not to acknowledge that, due to the exploratory nature of this study, no control group was assigned, and the overall sample size was smaller than ideal. Furthermore, the HIIT protocol used in this study appeared to provide an insufficient stimulus for trained individuals, as a lack of aerobic capacity adaptation was observed in the participants with a pre-intervention relative V ˙ O2max value above 40 mL/kg/min. Future studies should seek to recruit a greater sample size and a wider age range of starting aerobic capacity to increase the generalisability, whilst incorporating a control group to strengthen the validity of the outcomes. To achieve this, the aerobic training (HIIT) prescription (frequency/volume) may need to be relative to the participants’ baseline aerobic capacity, such that participants who record a higher baseline aerobic capacity (<40 mL/kg/min) complete at least three sessions per week or a greater individual session load. Other limitations in the study design that could have influenced the synergistic adaptions we report include our lack of nutritional control for the participants and the inter-session recovery. While we requested that the participants maintain their pre-involvement diet, the adaptive strength response could have been enhanced through the prescription of a targeted post-session protein intake [27]. There is also evidence to suggest that the use of post-resistance-training inter-session recovery with hot water immersion or contrast water immersion therapy can lead to enhanced strength-training adaptations [28]. Future CT research needs to take into consideration the issues of inter-session recovery when investigating the efficacy and involvement of the interference effect for synergistic adaption.

5. Conclusions

This study supports the efficacy of combining strength training in the form of dynamic full-body compound movements and endurance training in high-intensity interval training in a four-week concurrent training program. Careful consideration should be given to the resistance-training exercise prescription and rest between training modes, as we were able to observe synergistic improvements in both training modes with an absence of interference. A confounding issue with this exploratory investigation is the absence of a control group, which limits the ability to attribute the observed changes specifically to the intervention rather than other external factors.

Author Contributions

Conceptualization, L.J.H., K.J.N. and D.W.C.; methodology, L.J.H., K.J.N. and D.W.C.; formal analysis, G.O.B., L.J.H., K.J.N. and D.W.C.; investigation, G.O.B. and D.W.C.; writing—original draft preparation, G.O.B.; writing—review and editing, L.J.H., K.J.N. and D.W.C.; supervision, L.J.H., K.J.N. and D.W.C. All authors have read and agreed to the published version of the manuscript.

Funding

This research received no external funding.

Institutional Review Board Statement

This study was conducted in accordance with the Declaration of Helsinki and approved by the Institutional Review Board (or Ethics Committee) of Curtin University (HRE2022-0300; approved on 10 June 2022).

Informed Consent Statement

Informed consent was obtained from all the subjects involved in this study.

Data Availability Statement

The raw data supporting the conclusions of this article will be made available by the authors on request.

Conflicts of Interest

The authors declare no conflicts of interest.

References

  1. Verstraete, S.J.M.; Cardon, G.M.; De Clercq, D.L.R.; De Bourdeaudhuij, I.M.M. A comprehensive physical activity promotion programme at elementary school: The effects on physical activity, physical fitness and psychosocial correlates of physical activity. Public Health Nutr. 2007, 10, 477–484. [Google Scholar] [CrossRef] [PubMed]
  2. Sousa, A.; Marinho, D.A.; Gil, M.H.; Neiva, H.; Marques, M.C. Concurrent strength and aerobic training followed by a detraining period: Does strength training intensity matters? Motricidade 2017, 13, 112. [Google Scholar]
  3. Gjestvang, C.; Stensrud, T.; Paulsen, G.; Haakstad, L.A.H. Stay true to your workout: Does repeated physical testing boost exercise attendance? A one-year follow-up study. J. Sports Sci. Med. 2021, 20, 35–44. [Google Scholar] [CrossRef] [PubMed]
  4. Ketelhut, S.; Ketelhut, R.G. Type of exercise training and training methods. Adv. Exp. Med. Biol. 2020, 1228, 25–43. [Google Scholar] [CrossRef]
  5. Varela-Sanz, A.; Tuimil, J.L.; Abreu, L.; Boullosa, D.A. Does concurrent training intensity distribution matter? J. Strength Cond. Res. 2017, 31, 181–195. [Google Scholar] [CrossRef]
  6. Benítez-Flores, S.; Medeiros, A.R.; Fabrício Azevedo, V.; Iglesias-Soler, E.; Doma, K.; Simões, H.G.; Thiago Santos, R.; Boullosa, D.A. Combined effects of very short “all out” efforts during sprint and resistance training on physical and physiological adaptations after 2 weeks of training. Eur. J. Appl. Physiol. 2019, 119, 1337–1351. [Google Scholar] [CrossRef]
  7. Laird, R.H.; Elmer, D.J.; Barberio, M.D.; Salom, L.P.; Lee, K.A. Evaluation of performance improvements after either resistance training or sprint interval–based concurrent training. J. Strength Cond. Res. 2016, 30, 3057–3065. [Google Scholar] [CrossRef]
  8. Petré, H.; Löfving, P.; Psilander, N. The effect of two different concurrent training programs on strength and power gains in highly-trained individuals. J. Sports Sci. Med. 2018, 17, 167–173. [Google Scholar]
  9. Fyfe, J.J.; Bartlett, J.D.; Hanson, E.D.; Stepto, N.K.; Bishop, D.J. Endurance training intensity does not mediate interference to maximal lower-body strength gain during short-term concurrent training. Front. Physiol. 2016, 7, 487. [Google Scholar] [CrossRef]
  10. Ratamess, N.A.; Kang, J.; Porfido, T.M.; Ismaili, C.P.; Selamie, S.N.; Williams, B.D.; Kuper, J.D.; Bush, J.A.; Faigenbaum, A.D. Acute resistance exercise performance is negatively impacted by prior aerobic endurance exercise. J. Strength Cond. Res. 2016, 30, 2667–2681. [Google Scholar] [CrossRef]
  11. Vikmoen, O.; Raastad, T.; Seynnes, O.; Bergstrøm, K.; Ellefsen, S.; Rønnestad, B.R. Effects of heavy strength training on running performance and determinants of running performance in female endurance athletes. PLoS ONE 2016, 11, e0150799. [Google Scholar] [CrossRef] [PubMed]
  12. Sousa, A.C.; Neiva, H.P.; Gil, M.H.; Izquierdo, M.; Rodríguez-Rosell, D.; Marques, M.C.; Marinho, D.A. Concurrent training and detraining: The influence of different aerobic intensities. J. Strength Cond. Res. 2020, 34, 2565–2574. [Google Scholar] [CrossRef] [PubMed]
  13. Gibala, M.J.; Little, J.P.; van Essen, M.; Wilkin, G.P.; Burgomaster, K.A.; Safdar, A.; Raha, S.; Tarnopolsky, M.A. Short-term sprint interval versus traditional endurance training: Similar initial adaptations in human skeletal muscle and exercise performance. J. Physiol. 2006, 575, 901–911. [Google Scholar] [CrossRef]
  14. Silva, R.F.; Cadore, E.L.; Kothe, G.; Guedes, M.; Alberton, C.L.; Pinto, S.S.; Pinto, R.S.; Trindade, G.; Kruel, L.F.M. Concurrent training with different aerobic exercises. Int. J. Sports Med. 2012, 33, 627–634. [Google Scholar] [CrossRef] [PubMed]
  15. Sousa, A.C.; Neiva, H.P.; Izquierdo, M.; Cadore, E.L.; Alves, A.R.; Marinho, D.A. Concurrent training and detraining: Brief review on the effect of exercise intensities. Int. J. Sports Med. 2019, 40, 747–755. [Google Scholar] [CrossRef]
  16. Beckham, G.; Mizuguchi, S.; Carter, C.; Sato, K.; Ramsey, M.; Lamont, H.; Hornsby, G.; Haff, G.; Stone, M. Relationships of isometric mid-thigh pull variables to weightlifting performance. J. Sports Med. Phys. Fit. 2013, 53, 573–581. [Google Scholar]
  17. Comfort, P.; McMahon, J.J.; Lake, J.P.; Ripley, N.J.; Triplett, N.T.; Haff, G.G. Relative strength explains the differences in multi-joint rapid force production between sexes. PLoS ONE 2024, 19, e0296877. [Google Scholar] [CrossRef]
  18. Haff, G.G.; Carlock, J.M.; Hartman, M.J.; Kilgore, J.L.; Kawamori, N.; Jackson, J.R.; Morris, R.T.; Sands, W.A.; Stone, M.H. Force-Time Curve Characteristics of Dymanic and Isometric Muscle Contractions of Elite Wome Olympic Weightlifters. J. Strength Cond. Res. 2005, 19, 741–748. [Google Scholar]
  19. Baker, D.; Nance, S. The relation between strength and power in professional rugby league players. J. Strength Cond. Res. 1999, 13, 224–229. [Google Scholar]
  20. Reynolds, J.M.; Gordon, T.J.; Robergs, R.A. Prediction of one repetition maximum strength from multiple repetition maximum testing and anthropometry. J. Strength Cond. Res. 2006, 20, 584–592. [Google Scholar] [CrossRef]
  21. Marshall, P.W.; Melville, G.W.; Cross, R.; Marquez, J.; Harrison, I.; Enoka, R.M. Fatigue, pain, and the recovery of neuromuscular function after consecutive days of full-body resistance exercise in trained men. Eur. J. Appl. Physiol. 2021, 121, 3103–3116. [Google Scholar] [CrossRef] [PubMed]
  22. Marshall, P.W.M.; Cross, R.; Haynes, M. The fatigue of a full body resistance exercise session in trained men. J. Sci. Med. Sport 2018, 21, 422–426. [Google Scholar] [CrossRef] [PubMed]
  23. Avelar, A.; Ribeiro, A.S.; Nunes, J.P.; Schoenfeld, B.J.; Papst, R.R.; Trindade, M.C.C.; Bottaro, M.; Cyrino, E.S. Effects of order of resistance training exercises on muscle hypertrophy in young adult men. Appl. Physiol. Nutr. Metab. 2019, 44, 420–424. [Google Scholar] [CrossRef] [PubMed]
  24. Bishop, D.J.; Botella, J.; Genders, A.J.; Lee, M.J.-C.; Saner, N.J.; Kuang, J.; Yan, X.; Granata, C. High-Intensity Exercise and Mitochondrial Biogenesis: Current Controversies and Future Research Directions. Physiology 2019, 34, 56–70. [Google Scholar] [CrossRef] [PubMed]
  25. Granata, C.; Jamnick, N.A.; Bishop, D.J. Training-Induced Changes in Mitochondrial Content and Respiratory Function in Human Skeletal Muscle. Sports Med. 2018, 48, 1809–1828. [Google Scholar] [CrossRef]
  26. Kukrić, A.; Karalejić, M.; Jakovljević, S.; Petrović, B.; Mandić, R. Impact of different training methods to the maximum vertical jump height in junior basketball players. Phys. Cult. 2012, 66, 25–31. [Google Scholar] [CrossRef]
  27. Antonio, J.; Evans, C.; Ferrando, A.A.; Stout, J.R.; Antonio, B.; Cintineo, H.P.; Harty, P.; Arent, S.M.; Candow, D.G.; Forbes, S.C.; et al. Common questions and misconceptions about protein supplementation: What does the scientific evidence really show? J. Int. Soc. Sports Nutr. 2024, 21, 2341903. [Google Scholar] [CrossRef]
  28. Jackman, J.S.; Bell, P.G.; Van Someren, K.; Gondek, M.B.; Hills, F.A.; Wilson, L.J.; Cockburn, E. Effect of hot water immersion on acute physiological responses following resistance exercise. Front. Physiol. 2023, 14, 1213733. [Google Scholar] [CrossRef]
Figure 1. Pre-/post-intervention outcome results for dependent variables. Open circles represent excluded paired participant data due to either no post test or equipment malfunction during post testing. Note paired t-test outcomes: *** p ≤ 0.01; * p ≤ 0.05; ns = non-significant.
Figure 1. Pre-/post-intervention outcome results for dependent variables. Open circles represent excluded paired participant data due to either no post test or equipment malfunction during post testing. Note paired t-test outcomes: *** p ≤ 0.01; * p ≤ 0.05; ns = non-significant.
Applsci 14 08447 g001
Figure 2. Post-intervention Pearson correlations (black solid showing line of best fit) with 95% confidence intervals (dashed lines with grey shading) between relative V ˙ O2max and countermovement jump height (cm); countermovement jump peak take-off force (N); IMTP peak force (N); 3RM leg press (kg); and 3RM bench press (kg).
Figure 2. Post-intervention Pearson correlations (black solid showing line of best fit) with 95% confidence intervals (dashed lines with grey shading) between relative V ˙ O2max and countermovement jump height (cm); countermovement jump peak take-off force (N); IMTP peak force (N); 3RM leg press (kg); and 3RM bench press (kg).
Applsci 14 08447 g002
Table 1. Participant characteristics and pre-intervention test scores for the three-repetition max (3RM) strength assessments, isometric mid-thigh pull (IMTP), and countermovement jump (CMJ).
Table 1. Participant characteristics and pre-intervention test scores for the three-repetition max (3RM) strength assessments, isometric mid-thigh pull (IMTP), and countermovement jump (CMJ).
DescriptorMean (SD)Range
Age (years)20.7 (2.0)18–26
Height (m)1.74 (0.1)1.61–1.97
Mass (kg)76.1 (8.5)62.1–89.4
3RM Bench Press (kg)54.75 (28.9)22.5–115
3RM Leg Press (kg)252.50 (68.9)120–340
IMTP Peak Force (N)2125 (582)1501–3495
CMJ Height (cm)28.6 (9)11.8–48.1
CMJ Peak Take-Off Force (N)1575.01 (206)1306–1972
Relative V ˙ O2max (mL/kg/min)35.1 (12.3)12.6–56.9
Table 2. Study overview and training week structure.
Table 2. Study overview and training week structure.
Day 1Day 2Day 3Day 4Day 5Day 6Day 7
Week 11 familiarisation day1 outcome measure testing day
Week 2–5RTHIITRESTRTHIITRESTREST
Week 61 outcome measure testing day
Table 3. Regression comparison between V ˙ O2max and strength assessments.
Table 3. Regression comparison between V ˙ O2max and strength assessments.
Bench PressLeg PressCMJ Jump HeightCMJ Peak ForceIMTP
R squared0.66980.30490.48270.14720.07940
95% CI0.5870 to 5.504−3.201 to 11.90−0.02040 to 1.213−16.12 to 34.36−61.38 to 103.5
p-value0.02440.19870.05580.39550.5404
EquationY = 3.045 × X − 54.62Y = 4.350 × X + 109.7Y = 0.5965 × X + 7.258Y = 9.120 × X + 1276Y = 21.06 × X + 1710
Disclaimer/Publisher’s Note: The statements, opinions and data contained in all publications are solely those of the individual author(s) and contributor(s) and not of MDPI and/or the editor(s). MDPI and/or the editor(s) disclaim responsibility for any injury to people or property resulting from any ideas, methods, instructions or products referred to in the content.

Share and Cite

MDPI and ACS Style

Bernedo, G.O.; Haseler, L.J.; Netto, K.J.; Chapman, D.W. An Exploratory Study on Whether the Interference Effect Occurs When High-Intensity Strength Training Is Performed Prior to High-Intensity Interval Aerobic Training. Appl. Sci. 2024, 14, 8447. https://doi.org/10.3390/app14188447

AMA Style

Bernedo GO, Haseler LJ, Netto KJ, Chapman DW. An Exploratory Study on Whether the Interference Effect Occurs When High-Intensity Strength Training Is Performed Prior to High-Intensity Interval Aerobic Training. Applied Sciences. 2024; 14(18):8447. https://doi.org/10.3390/app14188447

Chicago/Turabian Style

Bernedo, Gabriel O., Luke J. Haseler, Kevin J. Netto, and Dale W. Chapman. 2024. "An Exploratory Study on Whether the Interference Effect Occurs When High-Intensity Strength Training Is Performed Prior to High-Intensity Interval Aerobic Training" Applied Sciences 14, no. 18: 8447. https://doi.org/10.3390/app14188447

APA Style

Bernedo, G. O., Haseler, L. J., Netto, K. J., & Chapman, D. W. (2024). An Exploratory Study on Whether the Interference Effect Occurs When High-Intensity Strength Training Is Performed Prior to High-Intensity Interval Aerobic Training. Applied Sciences, 14(18), 8447. https://doi.org/10.3390/app14188447

Note that from the first issue of 2016, this journal uses article numbers instead of page numbers. See further details here.

Article Metrics

Back to TopTop