Robotic Manipulation of Cumulus–Oocyte Complexes for Cumulus Cell Removal
Abstract
1. Introduction
2. System Overview
3. Methods
3.1. Assessment of Oocyte Maturity
3.2. Design of Controller
3.3. Detection of Cumulus Cells
4. Experimental Results
4.1. Oocyte Maturity
4.2. Control Performance
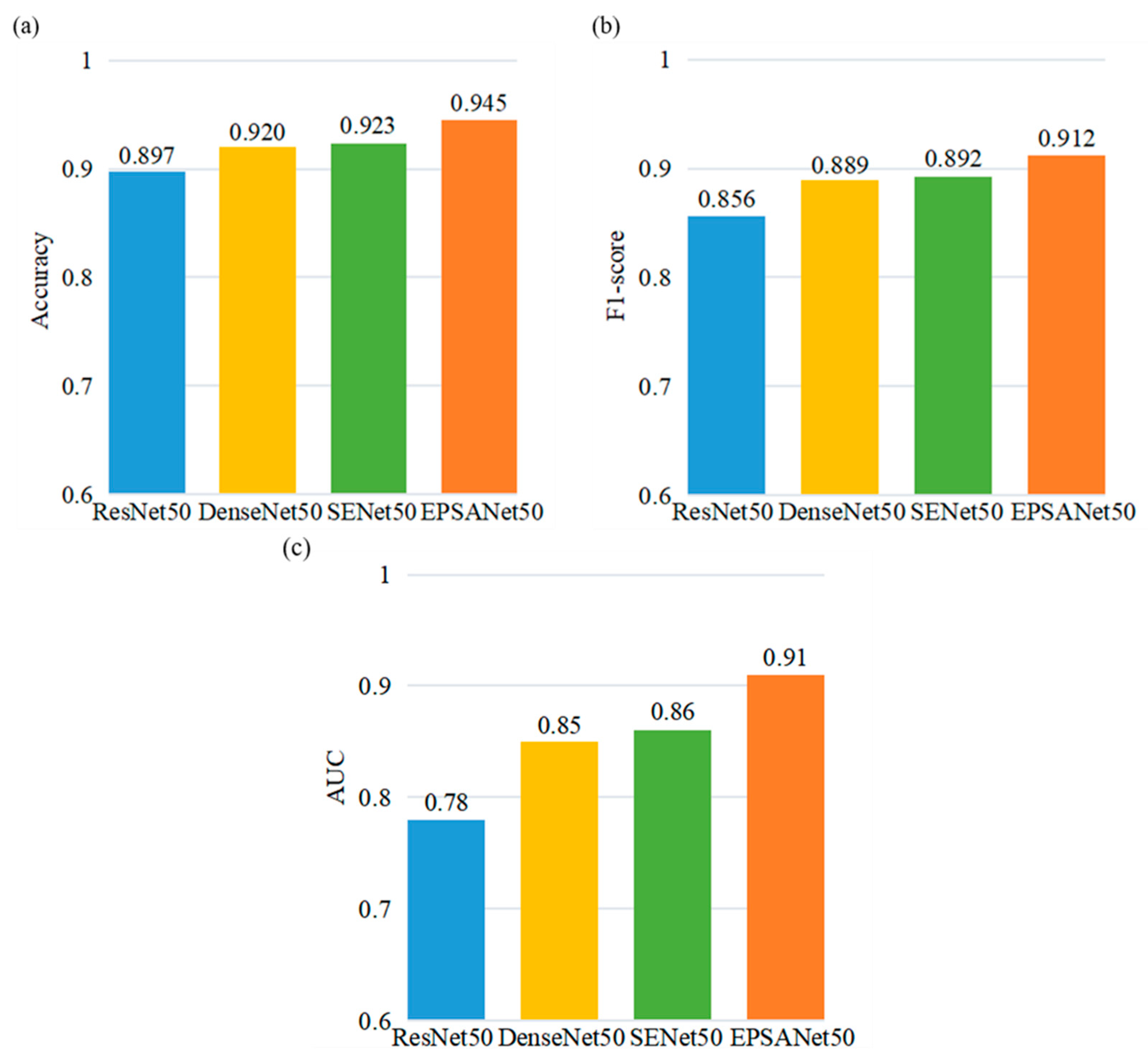
4.3. Cumulus Cell Detection
4.4. Success Rate and Discard Rate
4.5. Amplification Rate and Non-Specific Rate
5. Discussion
6. Conclusions
Author Contributions
Funding
Institutional Review Board Statement
Informed Consent Statement
Data Availability Statement
Acknowledgments
Conflicts of Interest
Abbreviations
| Abbreviations | Terms |
| COCs | Cumulus–Oocyte Complexes |
| ICSI | Intracytoplasmic Sperm Injection |
| IVF | In Vitro Fertilization |
| PGT | Preimplantation Genetic Testing |
| TE | Trophectoderm |
| PMSG | Pregnant Mare Serum Gonadotrophin |
| HCG | Human Chorionic Gonadotropin |
| FOV | Field of View |
| PSA | Pyramid Squeeze Attention |
| LQR | Linear Quadratic Regulator |
| ROC | Receiver Operating Characteristic |
| AUC | Area Under the ROC Curve |
| DNA | Deoxyribonucleic Acid |
References
- Kong, P.; Yin, M.; Tang, C.; Zhu, X.; Bukulmez, O.; Chen, M.; Teng, X. Effects of early cumulus cell removal on treatment outcomes in patients undergoing in vitro fertilization: A retrospective cohort study. Front. Endocrinol. 2021, 12, 669507. [Google Scholar] [CrossRef]
- Turathum, B.; Gao, E.M.; Chian, R.C. The function of cumulus cells in oocyte growth and maturation and in subsequent ovulation and fertilization. Cells 2021, 10, 2292. [Google Scholar] [CrossRef]
- Rycke, M.D.; Berckmoes, V. Preimplantation genetic testing for monogenic disorders. Genes 2020, 11, 871. [Google Scholar] [CrossRef]
- Chen, H.F.; Chen, M.; Ho, H.N. An overview of the current and emerging platforms for preimplantation genetic testing for aneuploidies (PGT-A) in in vitro fertilization programs. Taiwan. J. Obstet. Gynecol. 2020, 59, 489–495. [Google Scholar] [CrossRef]
- Zeringue, H.C.; Rutledge, J.J.; Beebe, D.J. Early mammalian embryo development depends on cumulus removal technique. Lab Chip 2005, 5, 86–90. [Google Scholar] [CrossRef]
- Huang, F.J.; Chang, S.Y.; Tsai, M.Y.; Lin, Y.C.; Kung, F.T.; Wu, J.F.; Lu, Y.J. Relationship of the human cumulus-free oocyte maturational profile with in vitro outcome parameters after intracytoplasmic sperm injection. J. Assist. Reprod. Genet. 1999, 16, 483–487. [Google Scholar] [CrossRef]
- Diachenko, A.; Partyshev, A.; Pizzagalli, S.L.; Bondarenko, K.; Otto, T.; Kuts, V. Industrial collaborative robot Digital Twin integration and control using Robot Operating System. J. Mach. Eng. 2022, 22, 57–67. [Google Scholar] [CrossRef]
- Walker, M.E.; Hedayati, H.; Szafir, D. Robot Teleoperation with augmented reality virtual surrogates. In Proceedings of the 2019 14th ACM/IEEE International Conference on Human-Robot Interaction (HRI), Daegu, Republic of Korea, 11–14 March 2019; pp. 202–210. [Google Scholar]
- Cecil, J.; Albuhamood, S.; Cecil-Xavier, A.; Ramanathan, R. An advanced cyber physical framework for micro devices assembly. IEEE Trans. Syst. Man Cybern. Syst. 2019, 49, 92–106. [Google Scholar] [CrossRef]
- Nadrag, P.; Maseda, A.; Grosdemouge, C.; Delarue, S.; Villanueva, M.; Mìllàn, J.C.; Hoppenot, P. Remote control of a real robot taking into account transmission delays. IFAC Proc. Vol. 2010, 43, 59–64. [Google Scholar] [CrossRef]
- Hörner, F.; Meissner, R.; Polali, S.; Pfeiffer, J.; Betz, T.; Denz, C.; Raz, E. Holographic optical tweezers-based in vivo manipulations in zebrafish embryos. J. Biophotonics 2017, 10, 1492–1501. [Google Scholar]
- Han, C.; Ma, R.; Sun, Z.; Yu, Z.; Huang, G.; Zhou, Y.; Qiao, J.; Wang, J.; Cheng, J. Cumulus removal and single mammalian oocyte trapping on a microfluidic device. In Proceedings of the Thirteenth International Conference on Miniaturized Systems for Chemistry and Life Sciences, Jeju, Republic of Korea, 1–5 November 2009; pp. 1889–1891. [Google Scholar]
- Nguyen, D. Developing microfluidic devices for assisted reproductive technologies. In Proceedings of the 2019 National Nanotechnology Coordinated Infrastructure REU Convocation, Ithaca, NY, USA, 10–13 August 2019; pp. 20–21. [Google Scholar]
- Min, C.G.; Ma, X.; Wang, Y.C.; Zhong, C.K.; Yuan, C.S.; Zhang, K.Y.; Zhan, C.L.; Hou, S.K.; Wang, J.; Zhao, J.; et al. The effects of repeated freezing and thawing on bovine sperm morphometry and function. Cryobiology 2024, 115, 104892. [Google Scholar] [CrossRef]
- Zhai, R.; Shan, G.; Dai, C.; Hao, M.; Wang, Y.; Liu, N.; Ru, C.; Sun, Y. Robotic denudation of zygotes. Adv. Robot. 2023, 37, 1158–1170. [Google Scholar] [CrossRef]
- Firuzinia, S.; Afzali, S.M.; Ghasemian, F.; Mirroshandel, S.A. A robust deep learning-based multiclass segmentation method for analyzing human metaphase II oocyte images. Comput. Methods Programs Biomed. 2021, 201, 0169–2607. [Google Scholar] [CrossRef]
- Wang, Z.; Feng, C.; Ang, W.T.; Latt, W.T. Autofocusing and polar body detection in automated cell manipulation. IEEE Trans. Biomed. Eng. 2017, 64, 1099–1105. [Google Scholar] [CrossRef]
- Chen, D.; Sun, M.; Zhao, X. Oocytes polar body detection for automatic enucleation. Micromachines 2016, 7, 27. [Google Scholar] [CrossRef]
- Dai, C.; Zhang, Z.; Lu, Y.; Shan, G.; Wang, X.; Zhao, Q.; Ru, C.; Sun, Y. Robotic manipulation of deformable cells for orientation control. IEEE. Trans. Robot. 2020, 36, 271–283. [Google Scholar] [CrossRef]
- Shakoor, A.; Xie, M.; Luo, T.; Hou, J.; Shen, Y.; Mills, J.K.; Sun, D. Achieving automated organelle biopsy on small single cells using a cell surgery robotic system. IEEE. Trans. Biomed. Eng. 2019, 66, 2210–2222. [Google Scholar] [CrossRef]
- Zhu, J.; Gao, L.; Pan, P.; Wang, Y.; Chen, R.; Ru, C. Study of robotic system for automated oocyte manipulation. In Proceedings of the 2017 International Conference on Manipulation, Automation and Robotics at Small Scales (MARSS), Montreal, QC, Canada, 17–21 July 2017; pp. 1–6. [Google Scholar]
- Baručić, D.; Kybic, J.; Teplá, O.; Topurko, Z.; Kratochvílová, I. Automatic evaluation of human oocyte developmental potential from microscopy images. In Proceedings of the 17th International Symposium on Medical Information Processing and Analysis, Campinas, Brazil, 10 December 2021; p. 120881A. [Google Scholar]
- Sánchez, G.J.; Cabello, Y.; Blanco, G.F.; Fidalgo, J.; Montilla, I.H.; Carasa, P.; Munné, S. P-171 Automated oocyte and zygote denudation using a novel microfluidic device supervised by a computer vision algorithm. Hum. Reprod. 2021, 36, i213. [Google Scholar]
- Xu, F.; Bagnjuk, K.; Marti-Gutierrez, N.; Srinivasan, S.; Mayerhofer, A.; Lee, D.; Pejovic, T.; Mitalipov, S.; Xu, J. Reduced anti-Müllerian hormone action in cumulus-oocyte complexes is beneficial for oocyte maturation without affecting oocyte competence. Front. Endocrinol. 2024, 15, 1365260. [Google Scholar] [CrossRef] [PubMed]
- Qi, J.; Wangdui, B.; Jiang, J.; Yang, J.; Zhou, Y. EDKSANet: An efficient dual-kernel split attention neural network for the classification of tibetan medicinal materials. Electronics 2023, 12, 4330. [Google Scholar] [CrossRef]
- Gong, Y.; Lu, J.; Liu, W.; Li, Z.; Jiang, X.; Gao, X.; Wu, X. SIFDriveNet: Speed and image fusion for driving behavior classification network. IEEE Trans. Comput. Soc. Syst. 2024, 11, 1244–1259. [Google Scholar] [CrossRef]
- Gao, X.; Dong, P.; Chen, X. CFD modeling of virtual mass force and pressure gradient force on deposition rate of asphaltene aggregates in oil wells. Pet. Sci. Technol. 2022, 40, 995–1017. [Google Scholar] [CrossRef]
- Nussboim, S.; Rimmer, A.; Lechinsky, Y. Improving the estimation of Lake Kinneret’s heat balance and surface fluxes using the Kalman Filter algorithm. Limnol. Oceanogr. Methods 2017, 15, 467–479. [Google Scholar] [CrossRef]
- Zhang, C.; Ding, H.; Wang, Y. Grape cluster real-time detection in complex natural scenes based on YOLOv5s deep learning network. Agriculture 2022, 12, 1242. [Google Scholar] [CrossRef]
- Ji, Z.; Wu, Y.; Zeng, X.; An, Y.; Zhao, L.; Wang, Z.; Ganchev, I. Lung nodule detection in medical images based on improved YOLOv5s. IEEE Access 2023, 11, 76371–76387. [Google Scholar] [CrossRef]
- Gao, S.H.; Cheng, M.M.; Zhao, K.; Zhang, X.Y.; Yang, M.H.; Torr, P. Res2net: A new multi-scale backbone architecture. IEEE Trans. Pattern Anal. Mach. Intell. 2021, 43, 652–662. [Google Scholar] [CrossRef]
- Jiang, B.; Jiang, H.; Zhang, H.; Zhang, Q.; Li, Z.; Huang, L. 4AC-YOLOv5: An improved algorithm for small target face detection. EURASIP J. Image Video Process. 2024, 12, 10–14. [Google Scholar] [CrossRef]
- Han, S.; Jiang, X.; Wu, A.Z. An improved YOLOv5 algorithm for wood defect detection based on attention. IEEE Access 2023, 11, 71800–71810. [Google Scholar] [CrossRef]
- Corral-Rodríguez, M.Á.; Stuiver, M.; Abascal-Palacios, G.; Diercks, T.; Oyenarte, I.; Ereño-Orbea, J. Nucleotide binding triggers a conformational change of the CBS module of the magnesium transporter CNNM2 from a twisted towards a flat structure. Biochem. J. 2014, 464, 23–34. [Google Scholar] [CrossRef]
- Yang, M.; Wang, H.; Hu, K.; Yin, G.; Wei, Z. IA-Net: An inception-attention-module-based network for classifying underwater images from others. IEEE J. Ocean. Eng. 2022, 47, 704–717. [Google Scholar] [CrossRef]
- Theckedath, D.; Sedamkar, R.R. Detecting affect states using VGG16, ResNet50 and SE-ResNet50 networks. SN Comput. Sci. 2020, 1, 79. [Google Scholar] [CrossRef]
- Lin, G.; Chen, F.; Zhang, Z.; Zhang, A.; Wang, X.; Zhou, C. DenseNeXt: An efficient backbone for image classification. In Proceedings of the 2023 15th International Conference on Advanced Computational Intelligence (ICACI), Seoul, Republic of Korea, 6–9 May 2023; pp. 2145–3505. [Google Scholar]
- Gu, Z.; Li, Y.; Luo, H.; Zhang, C.; Du, H. Cross attention guided multi-scale feature fusion for false positive reduction in pulmonary nodule detection. Comput. Biol. Med. 2022, 151, 106302. [Google Scholar] [CrossRef]
- Taciuc, I.A.; Dumitru, M.; Vrinceanu, D.; Gherghe, M.; Manole, F.; Marinescu, A.; Serboiu, C.; Neagos, A.; Costache, A. Applications and challenges of neural networks in otolaryngology (Review). Biomed Rep. 2024, 20, 92. [Google Scholar] [CrossRef]











| Model | mAP/(%) | Recall/(%) | FPS/(f/s) |
|---|---|---|---|
| Yolov5s | 87.2 | 81.6 | 23.3 |
| Yolov5s + Res2Net-COT | 88.5 (1.5%) | 82.5 (1.1%) | 27.5 (18.0%) |
| Yolov5s + BiFPN | 90.6 (3.9%) | 83.7 (2.6%) | 28.8 (23.6%) |
| Yolov5s + Inception | 87.8 (0.7%) | 81.6 (0%) | 30.2 (29.6%) |
| Improved Yolov5s | 91.3 (4.7%) | 86.4 (5.9%) | 26.1 (12.0%) |
| Experiment | Manual Success Rate (%) | Robotic Success Rate (%) | Manual Discard Rate (%) | Robotic Discard Rate (%) |
|---|---|---|---|---|
| 1 | 83.3 (20/24) | 96.4 (27/28) | 16.7 (4/24) | 7.1 (2/28) |
| 2 | 85.7 (18/21) | 100 (25/25) | 23.8 (5/21) | 4.0 (1/25) |
| 3 | 88.5 (23/26) | 96.7 (29/30) | 23.1 (6/26) | 0 (0/30) |
| 4 | 82.6 (19/23) | 100 (27/27) | 17.4 (4/23) | 3.7 (1/27) |
| 5 | 86.2 (25/29) | 97.1 (33/34) | 17.2 (5/29) | 5.9 (2/34) |
| Mean ± SD | 85.3 ± 2.4 | 98.0 ± 1.8 | 19.6 ± 3.5 | 4.1 ± 2.7 |
| Target Genes | Target Band Size (bp) | Amplification Rate (%) | Non-Specific Rate (%) | ||
|---|---|---|---|---|---|
| Manual | Robotic | Manual | Robotic | ||
| E6 | 644 | 91.7 (11/12) | 100 (12/12) | 25.0 (3/12) | 16.7 (2/12) |
| E7 | 753 | 75.0 (9/12) | 91.7 (11/12) | 41.7 (5/12) | 0 (0/12) |
| XBP1 | 113 | 83.3 (10/12) | 100 (12/12) | 16.7 (2/12) | 0 (0/12) |
| β-Actin | 96 | 91.7 (11/12) | 100 (12/12) | 33.3 (4/12) | 8.3 (1/12) |
| Mean ± SD | — | 85.4 ± 8.0 | 97.9 ± 4.2 | 29.2 ± 10.8 | 6.3 ± 6.1 |
Disclaimer/Publisher’s Note: The statements, opinions and data contained in all publications are solely those of the individual author(s) and contributor(s) and not of MDPI and/or the editor(s). MDPI and/or the editor(s) disclaim responsibility for any injury to people or property resulting from any ideas, methods, instructions or products referred to in the content. |
© 2024 by the authors. Licensee MDPI, Basel, Switzerland. This article is an open access article distributed under the terms and conditions of the Creative Commons Attribution (CC BY) license (https://creativecommons.org/licenses/by/4.0/).
Share and Cite
Zhai, R.; Hao, M.; Wang, Y.; Ru, C.; Zhu, J. Robotic Manipulation of Cumulus–Oocyte Complexes for Cumulus Cell Removal. Appl. Sci. 2024, 14, 8450. https://doi.org/10.3390/app14188450
Zhai R, Hao M, Wang Y, Ru C, Zhu J. Robotic Manipulation of Cumulus–Oocyte Complexes for Cumulus Cell Removal. Applied Sciences. 2024; 14(18):8450. https://doi.org/10.3390/app14188450
Chicago/Turabian StyleZhai, Rongan, Miao Hao, Yong Wang, Changhai Ru, and Junhui Zhu. 2024. "Robotic Manipulation of Cumulus–Oocyte Complexes for Cumulus Cell Removal" Applied Sciences 14, no. 18: 8450. https://doi.org/10.3390/app14188450
APA StyleZhai, R., Hao, M., Wang, Y., Ru, C., & Zhu, J. (2024). Robotic Manipulation of Cumulus–Oocyte Complexes for Cumulus Cell Removal. Applied Sciences, 14(18), 8450. https://doi.org/10.3390/app14188450

