Next Article in Journal
Improving the Accuracy and Effectiveness of Text Classification Based on the Integration of the Bert Model and a Recurrent Neural Network (RNN_Bert_Based)
Previous Article in Journal
Limitations in Maximum Intensity Front Crawl in Swimmers with Down Syndrome
 
 
Font Type:
Arial Georgia Verdana
Font Size:
Aa Aa Aa
Line Spacing:
Column Width:
Background:
Article

Optimization Strategy for an Outage Sequence in Medium- and Low-Voltage Distribution Networks Considering the Importance of Users

1
Electric Power Research Institute of China Southern Power Grid, Guangzhou 510663, China
2
State Key Laboratory of Power Transmission Equipment Technology, Chongqing University, Chongqing 400044, China
3
SPIC Chongqing Hechuan Power Generation Co., Ltd., Chongqing 401536, China
*
Author to whom correspondence should be addressed.
Appl. Sci. 2024, 14(18), 8386; https://doi.org/10.3390/app14188386
Submission received: 15 August 2024 / Revised: 11 September 2024 / Accepted: 13 September 2024 / Published: 18 September 2024
(This article belongs to the Section Electrical, Electronics and Communications Engineering)

Abstract

With the rapid development of distribution networks and increasing demand for electricity, the pressure of power supply for medium- and low-voltage distribution networks (M&LVDNs) is increasingly significant, especially considering the large scale of customers at the low-voltage (LV) level. In this paper, an outage sequence optimization method for low-voltage distribution networks (LVDNs) that considers the importance of users is proposed. The method aims to develop an optimal outage sequence strategy for LV customers in case of medium-voltage (MV) failure events. First, a multi-dimensional importance indicator system for LV users is constructed, and the customers are ranked using a modified Analytic Hierarchy Process–Entropy Weight (AHP-EW) method to determine their priorities during outages. Then, an elastic net regression-based method is used to identify the topology of the LV network. Finally, an outage sequence optimization model based on the user importance is proposed to reduce the load-shedding level. Extensive case studies are conducted in the modified LV distribution network. The results show that the proposed method results in fewer outage losses throughout the restoration periods than traditional methods and effectively improves the reliability of the power supply to LV users.

1. Introduction

1.1. Research Motivation

The continuous increase in types and demands of electricity users and the increasing proportion of distributed renewable energy sources (e.g., wind and solar) [1,2] subject the distribution network to more serious potential risks. As the terminal network of the power system, the power supply reliability of low-voltage distribution networks (LVDNs) directly affects the power experience and economic benefits of users [3]. Considering the large scale of low-voltage (LV) customers and large difference in power supply demand, it is particularly important to develop a reasonable outage sequence optimization method to improve the power supply reliability management level of LV distribution networks.

1.2. Research Literature Review

Several studies have been conducted on the reliability of distribution networks with a focus on different aspects of the medium-voltage (MV) level. Reference [4] introduced an encoded Markov cut set (EMCS) algorithm to assess the distribution system reliability and improve the evaluation efficiency. Reference [5] evaluated the distribution network reliability from the perspective of power quality and proposed new reliability assessment indicators. Reference [6] analyzed the impact of wind power plants on power system reliability by examining the reliability of the power generation system under varying wind power generation ratios and proposing the corresponding reserve capacity margin requirements to ensure system security. Reference [7] used a cascade correlation neural network to model the cost and established a more accurate reliability value model. A reliability assessment method based on the GRA-K-means ++ algorithm has been proposed in the literature [8], which provides a more in-depth evaluation of the reliability of power supply and takes into account a more comprehensive range of factors. However, these studies only focused on the impact of failures at the MV level on its own reliability. The increasing coupling of MV and LV with the popularization of LV distribution technologies makes it necessary to include the LV dimension with its large scale of users and varied characteristics in the reliability assessment.
Various models and assessment methods have been developed to analyze the differences among LV users. Reference [9] compared different clustering methods, including modified follow-the-leader, hierarchical clustering, K-means, and fuzzy K-means, to classify different users. Reference [10] evaluated the daily load curves of users using the classical K-means, weighted fuzzy average K-means, modified follow-the-leader, self-organizing maps, and hierarchical algorithms to better understand different electricity consumption patterns. Reference [11] used the method of maximizing deviation to rank multi-criteria decision making for power users and achieved significant economic benefits. Reference [12] assessed the user importance based on the reliability requirements and severity of the power supply interruption via the gray correlation analysis. Reference [13] considered the impact of outages on different users and defined new indicators to accurately assess the perceived reliability levels. Reference [14] proposed an accurate multi-dimensional user segmentation model for user electricity behavior and economic value. Reference [15] investigated various commercial and industrial clients and established a cost estimation model for user outages. However, these studies only considered MV users and ignored the characteristics of LV users; directly following these methods cannot accurately reflect the situation of low-voltage users. Therefore, it is necessary to establish a multi-dimensional LV user importance indicator system and ranking model.
Although reliability assessment models are effective in sensing the level of risk in a distribution network, we prefer to avoid or reduce the risk associated with potential fault events. Thus, we must improve the reliability of medium-voltage distribution networks (MVDNs) [16]. Optimization problems oriented toward reliability improvement in distribution grids currently focus on the planning area. Reference [17] developed a distribution network planning method that considered the reliability and achieved more economical planning schemes. However, these planning measures do not apply at the LV level considering the investment cost constraints. In fact, improving the LV reliability from a supply restoration perspective is a more promising program. When the lines of MVDNs fail, regions with distributed generation (DG) containing photovoltaic (PV) and wind turbines (WTs) can achieve fault isolation by disconnecting the isolation switches and operating as islands separate from the main grid [18]. However, owing to the inherent volatility of the renewable energy output [19], its output may not fully satisfy the load demands of the region. In this case, selecting the optimal load-shedding strategy can minimize the economic loss of the grid. In this respect, reference [20] considered transformer fault recovery strategies to maximize load recovery. Unfortunately, the existing restoration models tend to focus only on the number of outage customers and ignore the impact of differences in LV customers on the outage sequencing strategies.

1.3. Contributions

Based on the identified research gaps, the main contributions of this paper are summarized as follows:
(1) In this paper, the multi-dimensional electricity consumption characteristics of LV users are considered, and their importance is modeled in detail using various metrics. The proposed model can more rationally assess the importance of different LV users.
(2) A modified Analytic Hierarchy Process–Entropy Weight (AHP-EW) methodology is used to rank the importance of LV customers and provides different levels of user importance. This method enables an accurate prioritization of users during outage events.
(3) An outage sequence optimization strategy that considers the importance of LV users is proposed. In our model, the impacts of faults at the MV level and the volatility of the renewable energy output on the restoration of the LV supply are fully considered. In addition, load shedding fully accounts for selective load shedding based on the user importance. This strategy improves the reliability of the distribution network.

2. Multi-Dimensional User Importance Indicator System and Ranking Model

2.1. Brief Introduction to the Proposed User Importance Indicators

When a fault occurs in the distribution network, the system’s load cannot be fully satisfied, which necessitates load shedding for certain users. Users with lower importance levels should be prioritized for load shedding, whereas those with higher importance levels should be retained. This section models the user importance indicator system to comprehensively measure the user importance in a power system, including the direct economic loss (DEL), indirect economic loss (IEL), economic loss for power supply companies (PSL), user demand response potential (DRR), and daily load factor (DLF), as illustrated in Figure 1.

2.1.1. Direct Economic Loss of Users CY1

The economic benefit created by unit electricity in a given area and year is measured by the electricity production ratio. Thus, the direct economic loss for users can be calculated by multiplying the amount of lost electricity during the outage period by the electricity production ratio of the users.
Using the start and end times of the outage and the average daily load curve of the user, the amount of lost electricity during an outage can be determined. Multiplying this loss by the electricity production ratio of the user’s industry provides the direct economic loss during the outage period as follows:
C Y 1 = Q loss · F total Q total
Q loss = t stt t end w d t
where C Y 1 is the direct economic loss of the user (in CNY 10,000), Q loss is the electricity lost during the outage (in 10,000 kW·h), F total is the gross product of the industry of the region (in CNY 10,000), Q total is the total electricity consumption of the industry in the region (in 10,000 kWh), t stt is the start time of the outage, t end is the end time of the outage, and w is the load value of the customer’s typical daily load profile at a given point in time (in kW).

2.1.2. Indirect Economic Loss Based on Industrial Relevance CY2

Combining economic theories of industry relevance analysis, this paper introduces influence coefficients and sensitivity coefficients into the estimation of indirect losses. The influence coefficient F j measures the impact of producing one unit of product in a national economic sector on the production demand of its downstream sectors. F j is calculated as follows:
F j = i = 1 n b i j ¯ 1 n j = 1 n i = 1 n b i j ¯ ( j = 1 , 2 , , n )
where i = 1 n b i j ¯ is the sum of the jth column of the full-need coefficient matrix; 1 n j = 1 n i = 1 n b i j ¯ is the average of the sum of the columns of the full-need coefficient matrix and reflects the extent to which an additional unit of final product in sector j has a production-demand-pulling effect on the relevant downstream sectors of the national economy.
The coefficient of susceptibility reflects the extent to which the addition of one unit of final product in a national economy sector affects the demand pull for production generated by the relevant national economy sector upstream of that sector, i.e., the extent to which that sector relies on other sectors of the national economy for the production of its products.
The coefficient of inductance E i is calculated as follows:
E i = j = 1 n b i j ¯ 1 n i = 1 n j = 1 n b i j ¯ ( i = 1 , 2 , , n )
where i = 1 n b i j ¯ is the sum of the jth row of the matrix of fully required coefficients, and 1 n j = 1 n i = 1 n b i j ¯ is the average of the row sums of that matrix.
The influence coefficient and induction coefficient reflect the relationship between supply and demand in the own industry, upstream industry, and downstream industry of a user, respectively. Therefore, the indirect economic loss of a user is obtained by multiplying the direct loss of the user by the sum of the influence coefficient and the induction coefficient of the industry of the user as follows:
C Y 2 = C Y 1 · ( l in + l fe )
where C Y 2 is the indirect economic loss of the user (in CNY), l in is the influence coefficient of the user’s industry, and l fe is the induction coefficient for the user’s industry.

2.1.3. Economic Loss of Power Supply Companies CG1

For power supply companies, the main loss suffered by the user when there is power outage from a lack of electricity supply tariff revenue can be calculated by the load of the power user multiplied by the peak and valley parity tariff integral at that moment; the formula is as follows:
C G 1 = t stt t end w · F p d t
F p = P V , T C 1 t T C 2 P P , T D 1 t T D 2 P N , others
where C G 1 is the economic loss of the power supply company in a blackout (in CNY); w is the real-time load of power users (in kW); F p is the peak and valley time-sharing tariff of the region where the power supply company is located; P V is the valley tariff; P P is the peak tariff; P N is the flat tariff; [ T C 1 , T C 2 ] is the valley tariff time; and [ T D 1 , T D 2 ] is the peak tariff time—there can be more than one valley tariff time and peak tariff time in 1 day.

2.1.4. User Demand Response Rate ΔL

The degree and willingness to participate in the demand response varies from one user to another. Generally speaking, the greater a customer’s involvement in demand response, the more flexible their load becomes. This flexibility enhances the likelihood of successfully shifting their electricity consumption from the moment of the fault to normal times or reducing it altogether. Consequently, during load-shedding operations, such customers can be prioritized for load reduction, indicating a lower importance level in load shedding.
The electricity price elasticity coefficient ε indicates the ratio of the rate of change in demand for electricity to the rate of change in its selling price and is calculated as follows:
ε = Δ L L c Δ c
where L and Δ L are the quantities of electricity demanded and changed, respectively, and c and Δ c are the prices of electricity sold and changed, respectively.
When the price elasticity coefficient of electricity is larger, the degree of load participation in the demand response is greater, and the sensitivity to price changes is greater. After the implementation of the peak–valley time-sharing tariff, the electricity demand of users in a time period is affected by the current price level and price level of the remainder of the time period. The value of the load in each time period can be calculated through price elasticity matrix E, as follows:
L = L 0 + Δ L
Δ L = L p 0 0 0 0 L f 0 0 0 0 L v 0 E Δ c p / c p 0 Δ c f / c f 0 Δ c v / c v 0
Δ L Δ L max
where E = ( ε ij ) 3 × 3 , L 0 = [ L p 0 , L f 0 , L v 0 ] T ; L p 0 , L f 0 , and L v 0 are the original peak and valley hours of electricity consumption; c p 0 , c f 0 , and c v 0 are the original peak and valley hours of the electricity price; Δ c p , Δ c f , and Δ c v are the peak and valley hours of the electricity price change; and Δ L max is the user’s maximum demand response. When the user’s maximum demand response is greater, the user can participate in the demand response to a greater extent, and their relative user importance is lower.

2.1.5. Daily Load Factor λ

The daily load factor reflects the degree of utilization of the power system by the user; a higher user load factor corresponds to a longer use of the power system. For the fixed-cost-based power system, a lower cost per unit of electricity corresponds to a higher overall economy of the power system. Therefore, a higher daily load factor corresponds to a greater degree of the user’s use of the power system and greater relative importance. In this paper, the daily load factor is used to measure the degree of importance of the user. Its specific formula is as follows:
λ = L max L avg × 100 %
L avg = L d / 24
where λ is the daily load rate, L max is the daily maximum load (in 15 min dimension), L avg is the daily average load (in 15 min dimension), and L d is the total load of the user for one day.

2.2. User Importance Ranking Based on the Improved AHP-EW Method

The analytic hierarchy process (AHP) method relies on the assessment and analysis of indicators of experts, which is subjective and does not necessarily reflect the actual objective situation [21]. The entropy weight (EW) method has strong objectivity, but the weights of the indicators obtained by the entropy weight method ignore the correlation and specific meaning of the indicators, which has limitations [22]. Therefore, this paper fully exploits the advantages of subjectivity and objectivity by combining the hierarchical analysis method with the entropy weight method to obtain an accurate user importance ranking model.

2.2.1. User Importance Ranking Based on the AHP Algorithm

In this section, we use the AHP to rank the user importance proposed in Section 2.1, where we assume that there are m indicators and n evaluation objects, and the general steps of hierarchical analysis are divided into the following parts:
(1) Constructing the judgment matrix. The judgment matrix is constructed to compare the importance between two indicators as follows:
A = ( a ij ) n × n , a ij > 0 , a ij = 1 a ji
where a i j describes the importance ranking between indicator i and indicator j.
(2) Single order of hierarchy. We find the maximum eigenvalue of judgment matrix A in (1) and normalized eigenvector W that corresponds to the maximum eigenvalue λ max and satisfies A W = λ max W . The standardized eigenvectors are the corresponding weight ratios of different indicators obtained via the AHP.
(3) Consistency test. Since the judgment matrix is strongly subjective, a consistency test is required to ensure that the resulting judgment matrix is internally reasonable and to prevent self-contradiction in the matrix. The inconsistency indicator CI is defined as follows:
C I = λ max ( A ) n n 1
where n is the order of matrix A.
The consistency ratio CR is defined as follows:
C R = C I R I
where RI is taken as the n-order matrix H, and the rules for taking individual values of the matrix are identical to those for judgment matrix A. When sufficiently many H matrices have been taken, the average of the largest eigenvalues of matrix H is the value of RI.
When CI is greater than 0.1, the consistency test can be considered to have been passed; if it is not, other schemes must be used.
(4) Total hierarchy permutation. For a single indicator, the importance of different users is constructed as matrix B. B is constructed in the same manner as matrix A. To find the maximum eigenvalue and its corresponding maximum eigenvector, at this time, the eigenvector is the score of different loads under the indicator.
(5) Consistency test. For matrix B, the same consistency test as for matrix A is used. If it does not pass the consistency test, it is replaced with another solution.
Finally, the upper-level criterion weights calculated via hierarchical analysis are β = { β 1 , β 2 , β 3 , , β m } , and the sub-criteria layer weights are ϕ = { φ 1 , φ 2 , φ 3 , , φ n } .

2.2.2. User Importance Ranking Based on the EW Method

The indicator can be categorized into positive and negative data. For positive data, a larger value of the indicator data corresponds to higher evaluation; for negative data, a smaller value of the indicator data corresponds to higher evaluation. Therefore, different indicators must be processed using different standard methods to facilitate subsequent processing. The standardized processing of positive and negative data is as follows:
x ij = x ij min x 1 j , , x nj max x 1 j , , x nj min x 1 j , , x nj
x ij = max x 1 j , , x nj x ij max x 1 j , , x nj min x 1 j , , x nj
After standardization, the weight p ij of the ith sample under the jth indicator for that indicator is calculated:
p ij = x ij i = 1 n x ij , i = 1 , , n ;   j = 1 , , m
The entropy value represents the degree of confusion and the amount of information contained in the indicator; the smaller the entropy value, the more information it contains. And the entropy e j of the jth indicator is calculated as follows:
e j = k i = 1 n p ij ln p ij , j = 1 , , m
where k = 1/ln(n) > 0 and satisfies e j 0 .
The information entropy redundancy d j is
d j = 1 e j , j = 1 , , m
The weights of the indicators α j are
α j = d j j = 1 m d j , j = 1 , , m

2.2.3. Determination of Composite Weights

The traditional AHP-EW method simply synthesizes the respective final weights. The improved AHP-EW is used, i.e., the intermediate processes of the subjective and objective methods are combined to calculate the integrated weights when finding the integrated weights. The calculation steps are as follows:
(1) Combine the sub-criteria weights φ with weights A obtained via the entropy weighting method to obtain the combined sub-criteria weights T = { τ 1 , τ 2 , τ 3 , , τ n } , where
τ i = φ i α i i = 1 n φ i α i
(2) Re-express the combined sub-criteria weights according to the correspondence between sub-criteria and upper-level criteria T = { τ 11 , τ 12 , , τ 1 n 1 , τ 21 , τ 22 , , τ 2 n 2 , , τ m 1 , , τ m n m } ; separately normalize the combined weights of the sub-criteria under each upper-level criterion to obtain Ω = { ω 11 , ω 12 , , ω 1 n 1 , ω 21 , ω 22 , , ω 2 n 2 , , ω m 1 , ω m 2 , , ω m n w } , where
ω ij = τ ij k τ ij , k = n 1 , n 2 , n 3 , , n m , i = 1 , 2 , 3 , , m
(3) Multiply the upper-level criterion weights B with the obtained composite weights Ω″ to obtain the weights Ω = { ω 11 , ω 12 , , ω 21 , ω 22 , , ω 2 n 2 , , ω n 1 , ω n 2 , , ω n n n } , where ω ij = β i ω ij , i = 1 , 2 , , m , j = 1 , 2 , , k ,
(4) Re-express Ω as Ω = { ω 1 , ω 2 , ω 3 , , ω n } , normalize Ω , and obtain Ω = { ω 1 , ω 2 , ω 3 , , ω n } , where
ω j = ω j j = 1 n ω j

3. Identification Model of the User–Transformer Relation in LVDNs

In this work, by analyzing the electrical distance between nodes, topological relationship discrimination can be achieved by calculating the virtual impedance between the nodes in the power system to determine their degree of connection closeness and to derive the topology of the LVDNs [23].
For LVDNs, assume that the current in the branch circuit is I i , the reactance is X i , and the power factor of the branch circuit is cos ϕ i . Then, the reactance of the branch is as follows:
X i = R i tan ϕ i
The active power loss of this branch circuit is
P i = I i 2 R i cos ϕ i
The reactive power loss is
Q i = I i 2 X i sin ϕ i = I i 2 R i sin ϕ i tan ϕ i
The total power loss in this branch circuit is
S i = I i 2 R i + I i 2 X i = I i 2 R i ( 1 + tan 2 ϕ i ) = I i 2 R i sec 2 ϕ i
For n users,
P 1 i = 2 n P i = ( i = 2 n I i ) 2 R 1 sec 2 ϕ 1 + ( i = 2 j I i ) 2 R 2 sec 2 ϕ 2 + + i = j n I i 2 R i sec 2 ϕ i
We use C ij to substitute the coefficients of I i and I j :
P A i = 1 n P i = C 11 I 1 2 + C 12 I 1 I 2 + + C nn I n 2
where i = 1 n P i is the sum of the power at the exit of the branch monitoring meter for node 1; P i is the power at the exit of the branch monitoring meter for node i; P A is the power exported from the secondary side of the transformer; and C ij is the coefficient of I i and I j in Equation (6). The value of C ij depends on the topology of the LVDNs and impedance values of the lines and transformers in the network. When there is a connection between nodes i and j, C ij is equal to the product of the impedance value of the upstream segments at the upstream intersection of the two nodes and the inverse square of the power factor. When there is no connectivity between nodes i and j, C ij is zero.
The following multiple linear regression equation can be written for node i:
y i = β 0 + β 1 x i 1 + β 2 x i 2 + + β n x in + ϵ i
y i = P i 1 j = 1 n P ij
x ij = I i I j , x i = [ x i 1 , x i 2 , , x in ]
We write the above problem in matrix form:
Y = X β + ε
where β is the vector of unknown parameters; ε is an m × 1 error vector and indicates the difference between predicted values of the model and actual values.
Elastic network regression combines the strengths of both ridge regression and lasso regression, making it a versatile tool in statistical modeling. Compared to ridge regression, elastic network regression allows for efficient variable selection and simplification of the model by setting certain coefficients to zero. Elastic network regression can handle situations with a large number of predictors better, allowing it to select more features than lasso. As a result, to calculate the magnitude of the virtual impedance value, we use elastic network regression solve the problem [24]. The objective function of elastic network regression is as follows:
min β 0 , β 1 2 m i = 1 m y i β 0 j = 1 n x ij β j 2 + α ρ j = 1 n | β j | + α ( 1 ρ ) 2 β j 2
Finally, the virtual impedance values between nodes are analyzed. After the obtained virtual impedance has been normalized, the proposed impedance values are compared with preset threshold C 0 according to the threshold determination method to determine whether there is a connection between the nodes, and the nodes with larger virtual impedance than the set threshold value are identified as abnormal nodes.

4. Outage Optimization Strategy Considering the Importance of Users

The outage sequence optimization problem for LVDNs aims to minimize the importance of load curtailment and the impact of outages while satisfying the number of outages. The objective function is shown in Equation (37):
min t = t 0 t end i = 1 n S i · P i , t D
where t 0 and t end are the starting and ending moments of the outage, respectively; n is the number of users of all LVDNs; and S i is the importance of the ith LV user. P i , t D is the outage load of the ith LV customer at time t.
To ensure the safe and stable operation of the LVDNs, the system should satisfy the following constraints:
(1) Power Limits
P i , t D < P i , t L
P pv , t < P p v , max
P wt , t < P w t , max
P pv , t + P wt , t = i = 1 n ( P i , t L P i , t D )
Equation (38) constrains the magnitude of the reduced load, and P i , t L is the original load at node i. Equations (39) and (40) constrain the magnitude of the output of the WT and PV unit of DG. P pv , t and P wt , t are the magnitudes of the PV and WT outputs at time t, respectively; P p v , max and P w t , max are the maximum values of the PV and WT outputs, respectively. Equation (41) represents that the sum of the output values of PV and WT is equal to the sum of the original load minus the sum of the reduced load.
(2) Power Flow Equations
P pv , i , t + P wt , i , t ( P i , t L P i , t D ) = P i , t P i , t = U i , t j = 1 m U j , t ( G ij cos θ ij , t + B ij sin θ ij , t )
Q pv , i , t + Q wt , i , t ( Q i , t L Q i , t D ) = Q i , t Q i , t = U i , t j = 1 m U j , t ( G ij cos θ ij , t B ij sin θ ij , t )
Constraints (42) and (43) are active and reactive power node balance constraints. Here, P i , t and Q i , t are the active and reactive net power injected into node i at time t; P pv , i , t , Q pv , i , t , P wt , i . t , and Q wt , i , t are the active and reactive power emitted by the connected PV and WT at node i at time t; U i , t is the voltage amplitude of node i at time t; G ij and B ij are the conductance and conductance between lines at nodes i and j; and θ ij , t is the phase angle difference in voltages at the ends of nodes i and j at time t.
(3) Voltage constraints
The permissible deviation of the 220 V single-phase supply voltage is + 5 % 10 % of the rated voltage.
0.9 U N U i , t φ 1.05 U N
where U N is the rated phase voltage; U i , t φ is the actual phase voltage of node i at time t.
(4) Branch current constraints
I ij ( t ) I ij max
where I ij ( t ) is the branch current between nodes i and j at moment t, and I ij max is the maximum allowable value of the branch circuit current.
(5) Island constraint
Equation (46) represents the island connectivity constraint.
y i , u , t k Ψ k , u , t y k , u , t
where y i , u , ι is a 0–1 variable that indicates whether the node belongs to an island at time t: 1 if it belongs, and 0 if it does not. Ψ k , u , t is the set of parents of the nodes in the island at time t. This constraint indicates that if there is a node i in island u, then there must be at least one parent node k of node i belonging to island u to form a pathway from the power node to node i in that island.
Equation (47) represents the island radial constraint:
i 1 , i 2 c i 1 , i 2 , u , t = i y i , u , t 1
where c i 1 , i 2 , u , t is a 0–1 variable that indicates the connectivity status of the line on island u with nodes i 1 and i 2 as the first and last nodes at time t, respectively; c i 1 , i 2 , u , t is 1 if the line is connected and 0 if it is not. This constraint shows that on each island, the difference between the number of nodes and the number of lines is 1. This constraint ensures that the island operates in a radial fashion.

5. Flowchart of Proposed Model

The case study in this work is oriented to distribution networks that contain new energy sources. In the case of MVDN line failure, the area with new energy units can realize the island operation by disconnecting the disconnecting switch. However, during the island operation, the PV and WT outputs have volatility, which cannot fully satisfy the load demand, and load reduction must be performed according to the importance of the user. Figure 2 illustrates a detailed algorithmic flowchart and the algorithm of this paper is as follows.
(1)
Initialize and set T = 1.
(2)
Calculate the user importance.
(3)
Identify the relationship between user and transformer and detect the line status.
(4)
Determine whether a fault has occurred in the MVDN; if so, proceed to the next step; otherwise, go to step 8.
(5)
Calculate the PV and WT output power.
(6)
Use the outage optimization strategy to calculate the location of outage users and the power of the outage.
(7)
Determine whether the fault has been repaired; if it has been repaired, proceed to the next step; otherwise, T = T + 1, and go to step 6.
(8)
Determine whether T is greater than the simulation time; if it is greater, proceed to the next step; otherwise T = T + 1, go to step 4
(9)
Output.

6. Case Study

6.1. Simulation Parameters

The modified IEEE-RBTS Bus-6 medium-voltage distribution network was utilized in this study [25]. The network is of 10 kv voltage level with 53 lines and is connected to 23 medium-voltage consumers through fuses and transformers. Isolation switches, along with DG units incorporating PV and WT systems, are integrated between nodes 9 and 11, as well as between nodes 19 and 21. In the event of a line fault, the isolation switches disconnect to achieve fault isolation, allowing the DG units with PV and WT to continue operating in island mode. For computational simplicity, each MVDN is assumed to have five connected low-voltage (LV) users, resulting in a total of 115 LV users across the entire network, as shown in Figure 3. The simulated problem is solved using gurobi 10.0.3 on a PC with Intel Core i5-12500 3.0 GHz CPU and 16 GB RAM.
The LP1 to LPn in the figure represents medium voltage users 1 to n. It is assumed that at t = 0 a line fault occurs between nodes 6 and 7 with a repair time of 3 h, and another fault occurs between nodes 11 and 18 with a repair time of 2 h. During the first 2 h, since the lines have not been repaired, the network topology remains unchanged, as shown Figure 4.
In Figure 4, the yellow area represents normal operation; the gray area represents the fault area, where the load is completely shed; and the green area represents the island operation area. Because there is a disconnector between nodes 2 and 3, the disconnector blows to achieve fault isolation when a fault occurs, which enables LP1 to continue normal operation. The gray area contains faults that cannot be isolated, so it cannot operate normally. The green area is isolated from the distribution network faults by switching isolation switches. During this period, power is supplied by DG with PV and WT units, although their output fluctuates. Therefore, selective load shedding is required for the LV users of LP15-LP23.
Once the fault between nodes 11 and 18 has been repaired at t = 3 h, the distribution network topology is as shown in Figure 5.
At this time, the LP8-LP14 area does not contain any faults and can achieve fault isolation through isolation switches, which enables it to operate normally. Both sets of PVs and WTs can simultaneously supply power to users in LP8-LP23, which necessitates selective load shedding for the downstream LV distribution network users in LP8-LP23.

6.2. Results of the User Importance Ranking

Based on the proposed user importance model in this paper, 115 users were ranked by importance. Figure 6 shows the ranking results.
The gradient from deep blue to deep red represents the increasing importance of users. As shown in Figure 6, the LV users connected to LP10 generally have higher importance levels because LP10 serves an industrial user area, where the electricity consumption and various evaluation indices are typically higher. Conversely, the importance of users connected to LP1 is relatively low because LP1 serves a residential user area, which has a lower importance level. Therefore, the proposed multi-dimensional user importance indicator system in this paper can accurately reflect the actual user situation, make it applicable for practical user importance level assessments, and offer significant practical value.
To illustrate the score distribution of different indices among LV users and the weight of each indicator, 10 LV users connected to LP20 and LP21 are taken as examples.
Figure 7 shows specific score distributions for these users across different indices.
To clearly express the weights of different indices in terms of user importance, normalized data sizes were used in the figure. In Figure 7, the initial score of the fifth LV user of LP20 is lower than that of the third LV user of LP21; however, Figure 6 shows that LP20(5) is more important than LP21(3). This discrepancy arises because the daily load rate score for LP21(3) is 1, whereas that for LP20(5) is only 0.005. For the demand response rate, LP21(3) and LP20(5) score 0.69 and 0.90, respectively. In the AHP-EW calculation, the weight of the demand response rate in terms of user importance is lower than that of the daily load rate.

6.3. Comparison Results of Different Outage Strategies

To verify the effectiveness of the proposed outage sequence optimization strategy, two more cases were designed for a comparative analysis:
Case 1: Minimizing the importance level that corresponds to the distribution network outage (the proposed method).
Case 2: Minimizing the number of load-shedding users (traditional method [26]).
Case 3: CEES power system reliability assessment software V4.0 of Chongqing WLSL ElectricEnergy Star (Chongqing, China), whose method is average load shedding for each MV load (traditional method [27]).
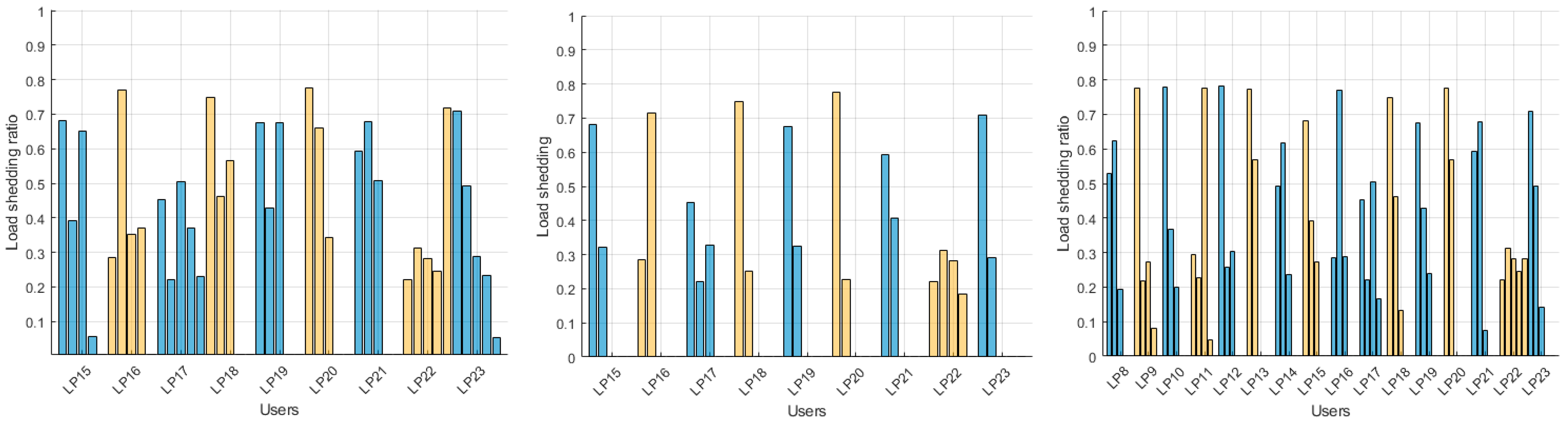
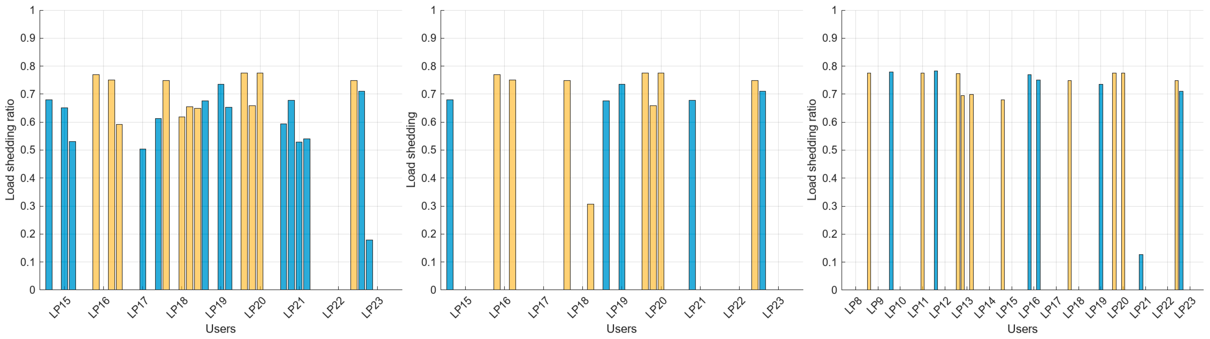
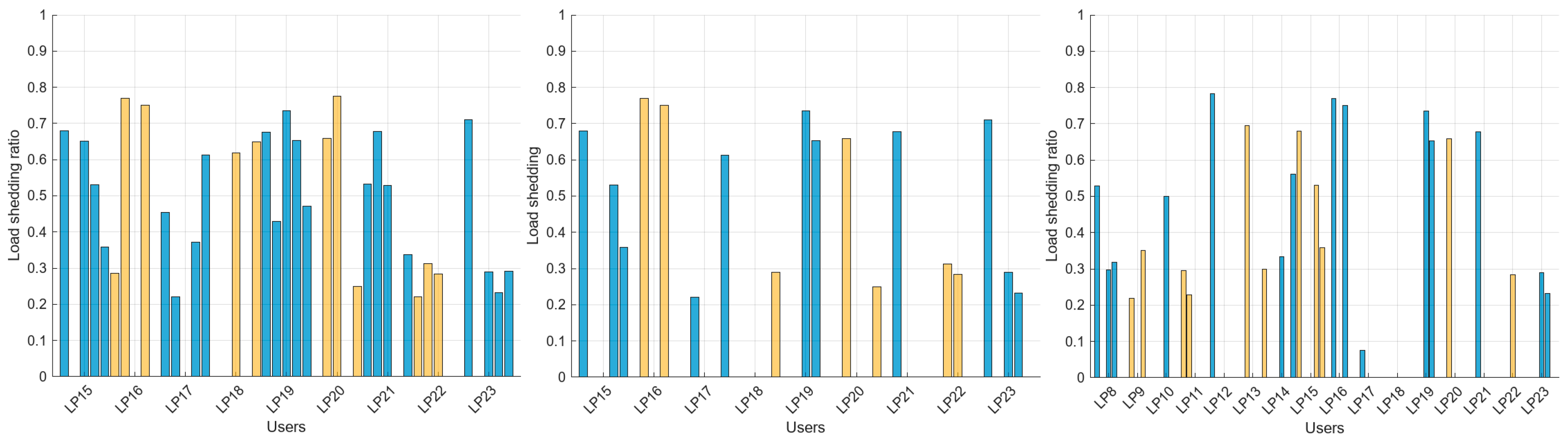
Figure 8, Figure 9 and Figure 10 illustrate the load-shedding amount and locations from the 1st to the 3rd hour for Cases 1–3, respectively.
In order to distinguish between two adjacent medium-voltage users in the figure, we have used a yellow and blue format. Figure 8, Figure 9 and Figure 10 show that the load-shedding amount in the 2nd hour is less than that in the 1st hour. This reduction is due to the increased output from the DG with PV and WT units in the 2nd hour, which decreases the need for load shedding. In Case 1, the load-shedding amount for LP18 is minimal. According to the user importance results, LP18 has a relatively high importance level. Conversely, LP19 experiences the most load shedding because of its relatively low user importance. This result demonstrates that load shedding in the distribution network is performed according to the user importance, which confirms the effectiveness of the proposed outage sequence optimization strategy in minimizing the user importance loss in the distribution network.
Table 1 compares comprehensive user importance loss S and number of load-shedding users N for the three cases.
Table 1 shows that both the loss of user importance and the number of load-shedding users are greater in Case 3 than in Cases 1 and 2. This is due to the fact that Case 3 uses average curtailment and does not take relevant measures to reduce loss in the distribution network. And Case 2 has fewer load-shedding users but a higher comprehensive user importance loss than Case 1. By adopting the optimization strategy proposed by this paper, the user importance loss at t = 1, t = 2, and t = 3 can be reduced by 11.40%, 12.72%, and 48.3%, respectively. However, the number of load-shedding users increases by 6.8%, 5.6%, and 14.7% at t = 1, t = 2, and t = 3, respectively. Compared to traditional methods, the proposed outage optimization strategy can significantly reduce the economic losses of the power system and enhance the economic efficiency of the distribution network, all while minimizing the increase in the number of load-shedding users.

6.4. Validation on a Large-Scale Case

To validate the effectiveness of the proposed outage sequence optimization method for higher-order faults, two additional faults were introduced in this section. These faults occurred between nodes 15 and 16 and between nodes 24 and 26 with repair times of 2 h and 3 h, respectively. Figure 11 shows the topology.
The outage sequence was optimized using the methodology of this paper, and the same comparison cases as in the previous paper were used. Case 4 represents the outage optimization strategy proposed in this paper, whose main objective is to reduce the loss of integrated customer importance by optimizing the outage sequence. Case 5 minimizes the number of lost load customers as the objective function. Case 6 uses the method of CEES software. Table 2 shows the specific performance of the three strategies at different time points (t = 1 h, t = 2 h, and t = 3 h).
Table 2 shows that at different time points, the comprehensive user importance loss in Case 4 is significantly lower than that in Case 5 and Case 6. This finding indicates that optimizing the outage sequence can more effectively reduce the importance loss of LV users. Although the three strategies have similar numbers of load-shedding users, Case 3 has slightly more load-shedding users than Case 4 and less than Case 6. This result suggests that while optimizing the outage sequence, the impact on the number of load-shedding users should be considered.
In summary, the proposed outage optimization strategy demonstrates high effectiveness in higher-order fault scenarios, which significantly reduces the comprehensive user importance loss and enhances the system reliability. Therefore, applying the optimized outage sequence strategy in the operation and maintenance of actual power systems can better ensure reliable system operation and satisfy the electricity needs of important LV users.

7. Conclusions

This paper proposed an outage sequence optimization strategy for M&LVDNs based on user importance. An improved AHP-EW algorithm was used to rank the importance of LV users. Case studies verified that this strategy could effectively reduce the economic losses caused by power outages and improve the overall operational efficiency of the power system. Furthermore, the proposed model can effectively minimize system losses even when multiple faults simultaneously occur.
In conclusion, the research findings of this paper have significant practical implications and application value for enhancing the reliability and safety of LVDNs. However, in this paper we have only considered medium-voltage line faults, ignoring the impact of low-voltage faults on users. This will continue to be studied in our future work.

Author Contributions

Conceptualization, W.L., J.W., H.B., Y.Y., M.X., Y.L., H.W. and W.H.; methodology, W.L., J.W., Y.Y. and C.L.; software, W.L. and J.W.; validation, W.L. and J.W.; formal analysis, J.W., Y.L. and C.L.; investigation, J.W. and C.L.; resources, Y.L.; data curation, J.W. and Y.L.; writing—original draft preparation, W.L. and J.W.; writing—review and editing, W.L., J.W., H.B., Y.Y., M.X., Y.L., H.W., W.H. and C.L.; visualization, H.W. and W.H.; supervision, W.L., H.B., Y.Y., M.X. and H.W.; project administration, W.H.; funding acquisition, H.B. and Y.L. All authors have read and agreed to the published version of the manuscript.

Funding

This work was funded by China Southern Power Grid Co., Ltd. Science and Technology Project (030102KK52220003).

Institutional Review Board Statement

Not applicable.

Informed Consent Statement

Not applicable.

Data Availability Statement

The data in our manuscripts is contained within the article from the authors’. The original contributions presented in the study are included in the article, further inquiries can be directed to the corresponding authors.

Conflicts of Interest

The authors declare that they have no known competing financial interests or personal relationships that could have appeared to influence the work reported in this paper. Hao Bai is employee of China Southern Power Grid Co., Ltd., who provided funding and teachnical support for the work.

References

  1. Hu, B.; Pan, C.; Shao, C.; Xie, K.; Niu, T.; Li, C.; Peng, L. Decision-Dependent Uncertainty Modeling in Power System Operational Reliability Evaluations. IEEE Trans. Power Syst. 2021, 36, 5708–5721. [Google Scholar] [CrossRef]
  2. Karngala, A.K.; Singh, C. Reliability Assessment Framework for the Distribution System Including Distributed Energy Resources. IEEE Trans. Sustain. Energy 2021, 12, 1539–1548. [Google Scholar] [CrossRef]
  3. Ferreira, P.D.; Carvalho, P.M.; Ferreira, L.A.; Ilic, M.D. Distributed energy resources integration challenges in low-voltage networks: Voltage control limitations and risk of cascading. IEEE Trans. Sustain. Energy 2012, 4, 82–88. [Google Scholar] [CrossRef]
  4. Al-Muhaini, M.; Heydt, G.T. A Novel Method for Evaluating Future Power Distribution System Reliability. IEEE Trans. Power Syst. 2013, 28, 3018–3027. [Google Scholar] [CrossRef]
  5. Liu, L.; Ren, Z.; Wei, J.; Long, C.; Ye, S. Distribution System Reliability Assessment Considering Voltage Deviation and Sag from Consumer Side. In Proceedings of the 2022 4th Asia Energy and Electrical Engineering Symposium (AEEES), Chengdu, China, 25–28 March 2022; pp. 785–790. [Google Scholar]
  6. Marchel, P.; Paska, J.; Terlikowski, P. Impact of Wind Turbines Reliability Models on the Power Generation System Reliability. E3S Web Conf. 2019, 84, 2006. [Google Scholar] [CrossRef]
  7. Heidari, A.; Agelidis, V.G.; Pou, J.; Aghaei, J.; Ghias, A.M.Y.M. Reliability Worth Analysis of Distribution Systems Using Cascade Correlation Neural Networks. IEEE Trans. Power Syst. 2018, 33, 412–420. [Google Scholar] [CrossRef]
  8. Cheng, Z.; Xu, M.; Feng, L.; Liu, H.; Li, C.; Guo, Z. Evaluation of power supply reliability level of distribution network based on GRA-K-means++ algorithm. South. Grid Technol. 2023, 17, 113–122. [Google Scholar] [CrossRef]
  9. Chicco, G.; Napoli, R.; Piglione, F. Comparisons among Clustering Techniques for Electricity Customer Classification. IEEE Trans. Power Syst. 2006, 21, 933–940. [Google Scholar] [CrossRef]
  10. Bidoki, S.M.; Mahmoudi-Kohan, N.; Sadreddini, M.H.; Zolghadri Jahromi, M.; Moghaddam, M.P. Evaluating Different Clustering Techniques for Electricity Customer Classification. In Proceedings of the IEEE PES T&D 2010, New Orleans, LA, USA, 19–22 April 2010; IEEE: New Orleans, LA, USA, 2010; pp. 1–5. [Google Scholar]
  11. Wang, Y. Multi-Indicator Decision Making and Ranking Using Discrete Maximization Methods. J. Syst. Eng. Electron. 1998, 26–28, 33. [Google Scholar]
  12. Zhao, H.; Ou, D.; Zhang, Q.; Yang, W. Importance assessment of electricity users based on ANP gray correlation. Energy Technol. Econ. 2012, 24, 38–43. [Google Scholar]
  13. Wang, S.; Liu, L.; Wu, L.; Zhao, G. Consumer-Centric Spatiotemporal Reliability Assessment and Compensation Model with Sensitive Component Analysis in Smart Grid. IEEE Trans. Power Syst. 2018, 33, 2155–2164. [Google Scholar] [CrossRef]
  14. Dzobo, O.; Alvehag, K.; Gaunt, C.T.; Herman, R. Multi-Dimensional Customer Segmentation Model for Power System Reliability-Worth Analysis. Int. J. Electr. Power Energy Syst. 2014, 62, 532–539. [Google Scholar] [CrossRef]
  15. Sullivan, M.J.; Vardell, T.; Johnson, M. Power Interruption Costs to Industrial and Commercial Consumers of Electricity. In Proceedings of the 1996 IAS Industrial and Commercial Power Systems Technical Conference, New Orleans, LA, USA, 6–9 May 1996; pp. 23–35. [Google Scholar]
  16. Tian, S.Y.; Dai, G.J.; Wang, P.S.; Li, H.Q. A Method to Evaluate Low Voltage Supply System’s Reliability. Appl. Mech. Mater. 2014, 577, 1269–1273. [Google Scholar] [CrossRef]
  17. Li, Z.; Wu, W.; Tai, X.; Zhang, B. A Reliability-Constrained Expansion Planning Model for Mesh Distribution Networks. IEEE Trans. Power Syst. 2021, 36, 948–960. [Google Scholar] [CrossRef]
  18. Bakhshi-Jafarabadi, R.; Sadeh, J.; Popov, M. Maximum power point tracking injection method for islanding detection of grid-connected photovoltaic systems in microgrid. IEEE Trans. Power Deliv. 2020, 36, 168–179. [Google Scholar] [CrossRef]
  19. Jiang, Y.; Ren, Z.; Li, W. Committed Carbon Emission Operation Region for Integrated Energy Systems: Concepts and Analyses. IEEE Trans. Sustain. Energy 2024, 15, 1194–1209. [Google Scholar] [CrossRef]
  20. Shen, X.; Chen, P.; Gao, Q.; Yang, W. A Fault Recovery Method for Flexible Interconnected Low-Voltage Distribution Networks Considering Multiple Fault Scenarios. Mech. Electron. 2024, 42, 17–25. [Google Scholar]
  21. Zhu, J.; Feng, Y.; Xie, P.; Xuan, P.; Zhou, J. Cosmprehensive assessment system for renewable energy-containing interconnected grids taking into account uncertainties. South. Grid Technol. 2018, 12, 48–55. [Google Scholar] [CrossRef]
  22. Zhu, J.; Zhang, Y. A Frequency and Duration Method for Adequacy Assessment of Generation Systems with Wind Farms. IEEE Trans. Power Syst. 2019, 34, 1151–1160. [Google Scholar] [CrossRef]
  23. Ni, Q.; Jiang, H. Topology Identification of Low-Voltage Distribution Network Based on Deep Convolutional Time-Series Clustering. Energies 2023, 16, 4274. [Google Scholar] [CrossRef]
  24. Chen, P.; Tao, S.; Xiao, X.; Li, L. Uncertainty level of voltage in distribution network: An analysis model with elastic net and application in storage configuration. IEEE Trans. Smart Grid 2016, 9, 2563–2573. [Google Scholar] [CrossRef]
  25. Zhang, Q.; Zhu, Y.; Wang, Z.; Su, Y.; Li, C. Reliability Assessment of Distribution Network and Electric Vehicle Considering Quasi-Dynamic Traffic Flow and Vehicle-to-Grid. IEEE Access 2019, 7, 131201–131213. [Google Scholar] [CrossRef]
  26. Musyoka, P.M.; Musau, P.; Nyete, A. Optimal Load Shedding Scheme for a Model Renewable Energy Micro-Grid. In Proceedings of the 2020 IEEE PES/IAS PowerAfrica, Nairobi, Kenya, 25–28 August 2020; pp. 1–5. [Google Scholar]
  27. Chongqing WLSL ElectricEnergy Star’s CEES Power System Reliability Assessment Software. Available online: http://www.ceesinc.com/h-col-125.html (accessed on 10 September 2024).
Figure 1. Multi-dimensional user importance indicator system.
Figure 1. Multi-dimensional user importance indicator system.
Applsci 14 08386 g001
Figure 2. Algorithm flow chart.
Figure 2. Algorithm flow chart.
Applsci 14 08386 g002
Figure 3. Improved IEEE-RBTS Bus-6 MVDNs.
Figure 3. Improved IEEE-RBTS Bus-6 MVDNs.
Applsci 14 08386 g003
Figure 4. Topology of the distribution network in the first 2 h.
Figure 4. Topology of the distribution network in the first 2 h.
Applsci 14 08386 g004
Figure 5. Distribution network topology map at t = 3.
Figure 5. Distribution network topology map at t = 3.
Applsci 14 08386 g005
Figure 6. User importance ranking results.
Figure 6. User importance ranking results.
Applsci 14 08386 g006
Figure 7. Scores for different indicators.
Figure 7. Scores for different indicators.
Applsci 14 08386 g007
Figure 8. Outage sequence dynamic optimization results of Case 1.
Figure 8. Outage sequence dynamic optimization results of Case 1.
Applsci 14 08386 g008
Figure 9. Outage sequence dynamic optimization results of Case 2.
Figure 9. Outage sequence dynamic optimization results of Case 2.
Applsci 14 08386 g009
Figure 10. Outage sequence dynamic optimization results of Case 3.
Figure 10. Outage sequence dynamic optimization results of Case 3.
Applsci 14 08386 g010
Figure 11. Distribution network topology of the large-scale case.
Figure 11. Distribution network topology of the large-scale case.
Applsci 14 08386 g011
Table 1. Comparison of S and N.
Table 1. Comparison of S and N.
IndicesCaset = 1 ht = 2 ht = 3 h
Comprehensive user importance loss SCase 122.554818.95589.6284
Case 225.126921.367414.2865
Case 325.190621.840114.3821
Number of load-shedding users NCase 11028861
Case 2958352
Case 31059165
Table 2. Comparison of S and N in large-scale fault events.
Table 2. Comparison of S and N in large-scale fault events.
IndicesCaset = 1 ht = 2 ht = 3 h
Comprehensive user importance loss SCase 423.540623.424122.4956
Case 527.382926.260124.2788
Case 626.063827.143323.6563
Number of load-shedding users NCase 411010598
Case 510510295
Case 6111110101
Disclaimer/Publisher’s Note: The statements, opinions and data contained in all publications are solely those of the individual author(s) and contributor(s) and not of MDPI and/or the editor(s). MDPI and/or the editor(s) disclaim responsibility for any injury to people or property resulting from any ideas, methods, instructions or products referred to in the content.

Share and Cite

MDPI and ACS Style

Li, W.; Wang, J.; Bai, H.; Yan, Y.; Xu, M.; Liu, Y.; Wang, H.; Huang, W.; Li, C. Optimization Strategy for an Outage Sequence in Medium- and Low-Voltage Distribution Networks Considering the Importance of Users. Appl. Sci. 2024, 14, 8386. https://doi.org/10.3390/app14188386

AMA Style

Li W, Wang J, Bai H, Yan Y, Xu M, Liu Y, Wang H, Huang W, Li C. Optimization Strategy for an Outage Sequence in Medium- and Low-Voltage Distribution Networks Considering the Importance of Users. Applied Sciences. 2024; 14(18):8386. https://doi.org/10.3390/app14188386

Chicago/Turabian Style

Li, Wei, Jingzhe Wang, Hao Bai, Yongqian Yan, Min Xu, Yipeng Liu, Hao Wang, Wei Huang, and Chunyan Li. 2024. "Optimization Strategy for an Outage Sequence in Medium- and Low-Voltage Distribution Networks Considering the Importance of Users" Applied Sciences 14, no. 18: 8386. https://doi.org/10.3390/app14188386

APA Style

Li, W., Wang, J., Bai, H., Yan, Y., Xu, M., Liu, Y., Wang, H., Huang, W., & Li, C. (2024). Optimization Strategy for an Outage Sequence in Medium- and Low-Voltage Distribution Networks Considering the Importance of Users. Applied Sciences, 14(18), 8386. https://doi.org/10.3390/app14188386

Note that from the first issue of 2016, this journal uses article numbers instead of page numbers. See further details here.

Article Metrics

Back to TopTop