Layout Optimisation of Frame Structures with Multiple Constraints and Geometric Complexity Control
Abstract
1. Introduction
1.1. Precedent Work
1.1.1. Stress
1.1.2. Local and Global Buckling
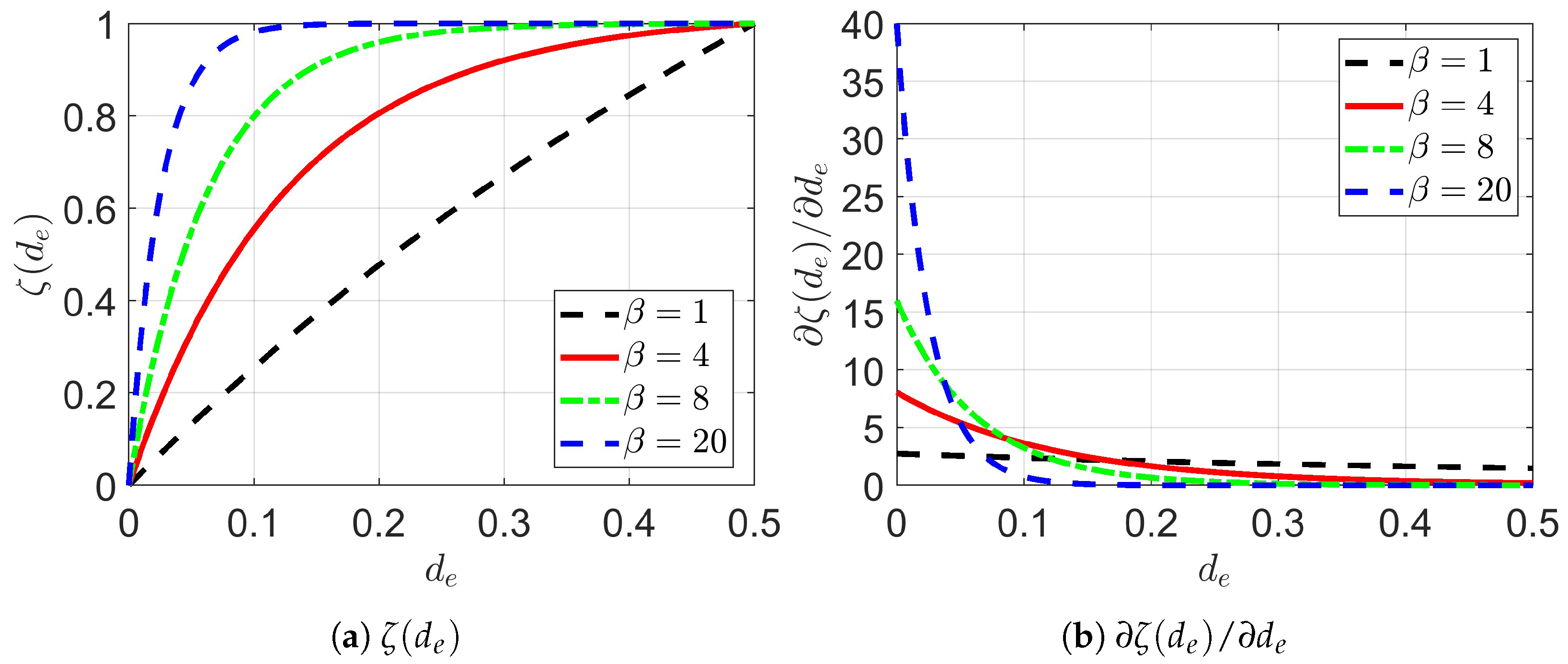
1.1.3. Geometric Complexity Control
1.2. Design Challenges
1.3. Contribution of This Work
2. Design Variables
3. Mechanical Constraints
3.1. Displacement
3.2. Stress
3.3. Stability
4. Problem Formulation
5. Numerical Examples
5.1. Compression Column
5.2. Short Cantilever
5.3. Centrally Loaded Beam
6. Discussion
6.1. Computational Efficiency
6.2. Optimality of the Resulting Layouts
7. Conclusions
Author Contributions
Funding
Institutional Review Board Statement
Informed Consent Statement
Data Availability Statement
Acknowledgments
Conflicts of Interest
References
- Michell, A. LVIII. The limits of economy of material in frame-structures. Lond. Edinb. Dublin Philos. Mag. J. Sci. 1904, 8, 589–597. [Google Scholar] [CrossRef]
- Dorn, W.S.; Gomory, R.E.; Greenberg, H.J. Automatic design of optimal structures. J. Mec. 1964, 3, 25–52. [Google Scholar]
- Zegard, T.; Paulino, G.H. GRAND3—Ground structure based topology optimization for arbitrary 3D domains using MATLAB. Struct. Multidiscip. Optim. 2015, 52, 1161–1184. [Google Scholar] [CrossRef]
- Tugilimana, A.; Filomeno Coelho, R.; Thrall, A.P. Including global stability in truss layout optimization for the conceptual design of large-scale applications. Struct. Multidiscip. Optim. 2018, 57, 1213–1232. [Google Scholar] [CrossRef]
- Fairclough, E.H.; Gilbert, M. Layout optimization of long-span structures subject to self-weight and multiple load-cases. Struct. Multidiscip. Optim. 2022, 65, 197. [Google Scholar] [CrossRef]
- Fernández, E.; Yang, K.k.; Koppen, S.; Alarcón, P.; Bauduin, S.; Duysinx, P. Imposing minimum and maximum member size, minimum cavity size, and minimum separation distance between solid members in topology optimization. Comput. Methods Appl. Mech. Eng. 2020, 368, 113157. [Google Scholar] [CrossRef]
- Liu, J.; Li, L.; Ma, Y. Uniform thickness control without pre-specifying the length scale target under the level set topology optimization framework. Adv. Eng. Softw. 2018, 115, 204–216. [Google Scholar] [CrossRef]
- Zhang, W.; Li, D.; Zhang, J.; Guo, X. Minimum length scale control in structural topology optimization based on the Moving Morphable Components (MMC) approach. Comput. Methods Appl. Mech. Eng. 2016, 311, 327–355. [Google Scholar] [CrossRef]
- Nana, A.; Cuillière, J.C.; Francois, V. Automatic reconstruction of beam structures from 3D topology optimization results. Comput. Struct. 2017, 189, 62–82. [Google Scholar] [CrossRef]
- Gamache, J.F.; Vadean, A.; Noirot-Nérin, É.; Beaini, D.; Achiche, S. Image-based truss recognition for density-based topology optimization approach. Struct. Multidiscip. Optim. 2018, 58, 2697–2709. [Google Scholar] [CrossRef]
- Yin, G.; Xiao, X.; Cirak, F. Topologically robust CAD model generation for structural optimisation. Comput. Methods Appl. Mech. Eng. 2020, 369, 113102. [Google Scholar] [CrossRef]
- Aage, N.; Andreassen, E.; Lazarov, B.S. Topology optimization using PETSc: An easy-to-use, fully parallel, open source topology optimization framework. Struct. Multidiscip. Optim. 2015, 51, 565–572. [Google Scholar] [CrossRef]
- Cucuzza, R.; Aloisio, A.; Rad, M.M.; Domaneschi, M. Constructability-based design approach for steel structures: From truss beams to real-world inspired industrial buildings. Autom. Constr. 2024, 166, 105630. [Google Scholar] [CrossRef]
- Mitjana, F.; Cafieri, S.; Bugarin, F.; Gogu, C.; Castanie, F. Optimization of structures under buckling constraints using frame elements. Eng. Optim. 2019, 51, 140–159. [Google Scholar] [CrossRef]
- Zhao, L.; Yi, J.; Zhao, Z.; Zhang, Z.; Han, Y.; Rong, J. Topology optimization of frame structures with stress and stability constraints. Struct. Multidiscip. Optim. 2022, 65, 268. [Google Scholar] [CrossRef]
- Kirsch, U. On singular topologies in optimum structural design. Struct. Optim. 1990, 2, 133–142. [Google Scholar] [CrossRef]
- Cheng, G.; Jiang, Z. Study on topoogy optimization with stress constraints. Eng. Optim. 1992, 20, 129–148. [Google Scholar] [CrossRef]
- Rozvany, G.I. On design-dependent constraints and singular topologies. Struct. Multidiscip. Optim. 2001, 21, 164–172. [Google Scholar] [CrossRef]
- Cheng, G.D.; Guo, X. ϵ-relaxed approach in structural topology optimization. Struct. Optim. 1997, 13, 258–266. [Google Scholar] [CrossRef]
- Guo, X.; Cheng, G.; Yamazaki, K. A new approach for the solution of singular optima in truss topology optimization with stress and local buckling constraints. Struct. Multidiscip. Optim. 2001, 22, 364–373. [Google Scholar] [CrossRef]
- Rozvany, G.I.N. Difficulties in truss topology optimization with stress, local buckling and system stability constraints. Struct. Optim. 1996, 11, 213–217. [Google Scholar] [CrossRef]
- Kreisselmeier, G.; Steinhauser, R. Systematic Control Design by Optimizing a Vector Performance Index. Ifac Proc. Vol. 1979, 12, 113–117. [Google Scholar] [CrossRef]
- Yang, R.J.; Chen, C.J. Stress-based topology optimization. Struct. Optim. 1996, 12, 98–105. [Google Scholar] [CrossRef]
- París, J.; Navarrina, F.; Colominas, I.; Casteleiro, M. Topology optimization of continuum structures with local and global stress constraints. Struct. Multidiscip. Optim. 2009, 39, 419–437. [Google Scholar] [CrossRef]
- Luo, Y.; Wang, M.Y.; Kang, Z. An enhanced aggregation method for topology optimization with local stress constraints. Comput. Methods Appl. Mech. Eng. 2013, 254, 31–41. [Google Scholar] [CrossRef]
- Le, C.; Norato, J.; Bruns, T.; Ha, C.; Tortorelli, D. Stress-based topology optimization for continua. Struct. Multidiscip. Optim. 2010, 41, 605–620. [Google Scholar] [CrossRef]
- Verbart, A.; Langelaar, M.; van Keulen, F. A unified aggregation and relaxation approach for stress-constrained topology optimization. Struct. Multidiscip. Optim. 2017, 55, 663–679. [Google Scholar] [CrossRef]
- Achtziger, W. Local stability of trusses in the context of topology optimization Part I: Exact modelling. Struct. Optim. 1999, 17, 235–246. [Google Scholar]
- Achtziger, W. Local stability of trusses in the context of topology optimazation. Part II: A numerical approach. Struct. Optim. 1999, 17, 247–258. [Google Scholar]
- Guo, X.; Cheng, G.D.; Olhoff, N. Optimum design of truss topology under buckling constraints. Struct. Multidiscip. Optim. 2005, 30, 169–180. [Google Scholar] [CrossRef]
- Mela, K. Resolving issues with member buckling in truss topology optimization using a mixed variable approach. Struct. Multidiscip. Optim. 2014, 50, 1037–1049. [Google Scholar] [CrossRef]
- Cai, Q.; Feng, R.; Zhang, Z. Topology optimization of trusses incorporating practical local buckling stability considerations. Structures 2022, 41, 1710–1718. [Google Scholar] [CrossRef]
- He, F.; Feng, R.; Cai, Q. Topology optimization of truss structures considering local buckling stability. Comput. Struct. 2024, 294, 64–73. [Google Scholar] [CrossRef]
- Torii, A.; Lopez, J.R.H.; Miguel, L.F. Modeling of global and local stability in optimization of truss-like structures using frame elements. Struct. Multidiscip. Optim. 2015, 51, 1187–1198. [Google Scholar] [CrossRef]
- Cook, R.D.; Malkus, D.S.; Plesha, M.E.; Witt, R.J. Concepts and Applications of Finite Element Analysis; John Wiley & Sons: Hoboken, NJ, USA, 2007. [Google Scholar]
- Neves, M.; Rodrigues, M.H.; Guedes, J.M. Generalized topology design of structures with a buckling load criterion. Struct. Optim. 1995, 10, 71–78. [Google Scholar] [CrossRef]
- Bendsøe, M.P.; Sigmund, O. Topology Optimization, Theory, Method and Applications; Springer: Berlin/Heidelberg, Germany, 2004. [Google Scholar]
- Gao, X.; Ma, H. Topology optimization of continuum structures under buckling constraints. Comput. Struct. 2015, 157, 142–152. [Google Scholar] [CrossRef]
- Li, L.; Khandelwal, K. Topology optimization of geometrically nonlinear trusses with spurious eigenmodes control. Eng. Struct. 2017, 131, 324–344. [Google Scholar] [CrossRef]
- Changizi, N.; Jalalpour, M. Topology optimization of steel frame structures with constraints on overall and individual member instabilities. Finite Elem. Anal. Des. 2018, 141, 119–134. [Google Scholar] [CrossRef]
- Zhang, G.; Khandelwal, K.; Guo, T. Finite strain topology optimization with nonlinear stability constraints. Comput. Methods Appl. Mech. Eng. 2023, 413, 116119. [Google Scholar] [CrossRef]
- Du, J.; Olhoff, N. Topological design of freely vibrating continuum structures for maximum values of simple and multiple eigenfrequencies and frequency gaps. Struct. Multidiscip. Optim. 2007, 34, 91–110. [Google Scholar] [CrossRef]
- Rodrigues, H.; Guedes, C.J.M.; Bendsøe, M.P. Necessary conditions for optimal design of structures with a nonsmooth eigenvalue based criterion. Struct. Optim. 1995, 9, 52–56. [Google Scholar] [CrossRef]
- Seyranian, A.; Lund, P.E.; Olhoff, N. Multiple eigenvalues in structural optimization problems. Struct. Optim. 1994, 8, 207–227. [Google Scholar] [CrossRef]
- Chen, X.; Qi, H.; Qi, L.; Teo, K.L. Smooth convex approximation to the maximum eigenvalue function. J. Glob. Optim. 2004, 30, 253–270. [Google Scholar] [CrossRef]
- Torii, A.J.; Faria, J.R. Structural optimization considering smallest magnitude eigenvalues: A smooth approximation. J. Braz. Soc. Mech. Sci. Eng. 2017, 39, 1745–1754. [Google Scholar] [CrossRef]
- Ferrari, F.; Sigmund, O.; Guest, J.K. Topology optimization with linearized buckling criteria in 250 lines of Matlab. Struct. Multidiscip. Optim. 2021, 63, 3045–3066. [Google Scholar] [CrossRef]
- Sanders, E.D.; Ramos, A.S.; Paulino, G.H. A maximum filter for the ground structure method: An optimization tool to harness multiple structural designs. Eng. Struct. 2017, 151, 235–252. [Google Scholar] [CrossRef]
- Parkes, E.W. Joints in optimum frameworks. Int. J. Solids Struct. 1975, 11, 1017–1022. [Google Scholar] [CrossRef]
- He, L.; Gilbert, M. Rationalization of trusses generated via layout optimization. Struct. Multidiscip. Optim. 2015, 52, 677–694. [Google Scholar] [CrossRef]
- Asadpoure, A.; Guest, J.K.; Valdevit, L. Incorporating fabrication cost into topology optimization of discrete structures and lattices. Struct. Multidiscip. Optim. 2015, 51, 385–396. [Google Scholar] [CrossRef]
- Torii, A.J.; Lopez, R.H.; Leandro, L.F. Design complexity control in truss optimization. Struct. Multidiscip. Optim. 2016, 54, 289–299. [Google Scholar] [CrossRef]
- Ohsaki, M.; Katoh, N. Topology optimization of trusses with stress and local constraints on nodal stability and member intersection. Struct. Multidiscip. Optim. 2005, 29, 190–197. [Google Scholar] [CrossRef]
- Kanno, Y.; Fujita, S. Alternating direction method of multipliers for truss topology optimization with limited number of nodes: A cardinality-constrained second-order cone programming approach. Optim. Eng. 2017, 19, 327–358. [Google Scholar] [CrossRef]
- Fairclough, H.; Gilbert, M. Layout optimization of simplified trusses using mixed integer linear programming with runtime generation of constraints. Struct. Multidiscip. Optim. 2020, 61, 1977–1999. [Google Scholar] [CrossRef]
- Weldeyesus, A.G.; Gondzio, J.; He, L.; Gilbert, M.; Shepherd, P.; Tyas, A. Adaptive solution of truss layout optimization problems with global stability constraints. Struct. Multidiscip. Optim. 2019, 60, 2093–2111. [Google Scholar] [CrossRef]
- Pedersen, N.; Nielsen, A. Optimization of practical trusses with constraints on eigenfrequencies, displacements, stresses, and buckling. Struct. Multidiscip. Optim. 2003, 25, 436–445. [Google Scholar] [CrossRef]
- Asadpoure, A.; Harati, M.; Tootkaboni, M. Discrete topology optimization in augmented space: Integrated element removal for minimum size and mesh sensitivity control. Struct. Multidiscip. Optim. 2020, 62, 2615–2627. [Google Scholar] [CrossRef]
- Zhou, M. Difficulties in truss topology optimization with stress and local buckling constraints. Struct. Optim. 1996, 11, 134–136. [Google Scholar] [CrossRef]
- Movahedi Rad, M.; Habashneh, M.; Lógó, J. Reliability based bi-directional evolutionary topology optimization of geometric and material nonlinear analysis with imperfections. Comput. Struct. 2023, 287, 107120. [Google Scholar] [CrossRef]
- Habashneh, M.; Cucuzza, R.; Domaneschi, M.; Movahedi Rad, M. Advanced elasto-plastic topology optimization of steel beams under elevated temperatures. Adv. Eng. Softw. 2024, 190, 103596. [Google Scholar] [CrossRef]
- Wu, C.C.; Arora, J.S. Design sensitivity analysis and optimization of nonlinear structural response using incremental procedure. AIAA J. 1987, 25, 1118–1125. [Google Scholar] [CrossRef]
- Wu, C.C.; Arora, J.S. Simultaneous analysis and design optimization of nonlinear response. Eng. Comput. 1987, 2, 53–63. [Google Scholar] [CrossRef]
- Alberdi, R.; Zhang, G.; Li, L.; Khandelwal, K. A unified framework for nonlinear path-dependent sensitivity analysis in topology optimization. Int. J. Numer. Methods Eng. 2018, 115, 1–56. [Google Scholar] [CrossRef]
- Sigmund, O. A 99 line topology optimization code written in matlab. Struct. Multidiscip. Optim. 2001, 21, 120–127. [Google Scholar] [CrossRef]
- Bruggi, M. On an alternative approach to stress constraints relaxation in topology optimization. Struct. Multidiscip. Optim. 2008, 36, 125–141. [Google Scholar] [CrossRef]
- Jiang, X.; Liu, C.; Du, Z.; Huo, W.; Zhang, X.; Liu, F.; Guo, X. A unified framework for explicit layout/topology optimization of thin-walled structures based on Moving Morphable Components (MMC) method and adaptive ground structure approach. Comput. Methods Appl. Mech. Eng. 2022, 396, 115047. [Google Scholar] [CrossRef]
- Svanberg, K. The method of moving asymptotes—A new method for structural optimization. Int. J. Numer. Methods Eng. 1987, 24, 359–373. [Google Scholar] [CrossRef]
- Sigmund, O.; Maute, K. Topology optimization approaches. Struct. Multidiscip. Optim. 2013, 48, 1031–1055. [Google Scholar] [CrossRef]
- Rojas-Labanda, S.; Stolpe, M. Benchmarking optimization solvers for structural topology optimization. Struct. Multidiscip. Optim. 2015, 52, 527–547. [Google Scholar] [CrossRef]
- Poulsen, P.N.; Olesen, J.F.; Baandrup, M. Truss optimization applying finite element limit analysis including global and local stability. Struct. Multidiscip. Optim. 2020, 62, 41–54. [Google Scholar] [CrossRef]
- Dahlberg, V.; Dalklint, A.; Spicer, M.; Amir, O.; Wallin, M. Efficient buckling constrained topology optimization using reduced order modeling. Struct. Multidiscip. Optim. 2023, 66, 161. [Google Scholar] [CrossRef]
- Gilbert, M.; Tyas, A. Layout optimization of large-scale pin-jointed frames. Eng. Comput. 2003, 20, 1044–1064. [Google Scholar] [CrossRef]
- Rozvany, G.I. On symmetry and non-uniqueness in exact topology optimization. Struct. Multidiscip. Optim. 2011, 43, 297–317. [Google Scholar] [CrossRef]
- Wang, F.; Lazarov, B.S.; Sigmund, O. On projection methods, convergence and robust formulations in topology optimization. Struct. Multidiscip. Optim. 2011, 43, 767–784. [Google Scholar] [CrossRef]
- Ferrari, F.; Sigmund, O. Revisiting topology optimization with buckling constraints. Struct. Multidiscip. Optim. 2019, 59, 1401–1415. [Google Scholar] [CrossRef]
- Weldeyesus, A.G.; Gondzio, J.; He, L.; Gilbert, M.; Shepherd, P.; Tyas, A. Truss geometry and topology optimization with global stability constraints. Struct. Multidiscip. Optim. 2020, 62, 1721–1737. [Google Scholar] [CrossRef]
- Zegard, T.; Paulino, G.H. GRAND —Ground structure based topology optimization for arbitrary 2D domains using MATLAB. Struct. Multidiscip. Optim. 2014, 50, 861–882. [Google Scholar] [CrossRef]










| Layout | n | ||||
|---|---|---|---|---|---|
| I | 0.267 | 0.024 | 300 | 0.08 | 64 |
| II | 0.431 | 0.017 | 300 | 4.94 | 1000 |
| III | 0.496 | 0.018 | 300 | 4.96 | 1032 |
| IV | 0.407 | 0.021 | 300 | 4.99 | 1368 |
| Layout | n | ||||
|---|---|---|---|---|---|
| I | 0.483 | 0.03 | 300 | 0.93 | 120 |
| II | 0.611 | 0.027 | 300 | 4.98 | 652 |
| III | 0.685 | 0.026 | 300 | 5 | 468 |
| Layout | n | |||||
|---|---|---|---|---|---|---|
| I | 2.300 | 0.089 | 300 | 0.74 | 280 | 0 |
| II | 3.559 | 0.064 | 300 | 4.91 | 2728 | 0 |
| III | 3.739 | 0.062 | 300 | 4.96 | 2480 | 0 |
| IV | 3.677 | 0.062 | 300 | 4.93 | 1944 | 1 |
| V | 4.018 | 0.056 | 300 | 4.99 | 1544 | 2 |
| VI | 4.568 | 0.050 | 300 | 4.98 | 1248 | 5 |
Disclaimer/Publisher’s Note: The statements, opinions and data contained in all publications are solely those of the individual author(s) and contributor(s) and not of MDPI and/or the editor(s). MDPI and/or the editor(s) disclaim responsibility for any injury to people or property resulting from any ideas, methods, instructions or products referred to in the content. |
© 2024 by the authors. Licensee MDPI, Basel, Switzerland. This article is an open access article distributed under the terms and conditions of the Creative Commons Attribution (CC BY) license (https://creativecommons.org/licenses/by/4.0/).
Share and Cite
He, Y.; Shepherd, P.; Wang, J. Layout Optimisation of Frame Structures with Multiple Constraints and Geometric Complexity Control. Appl. Sci. 2024, 14, 8157. https://doi.org/10.3390/app14188157
He Y, Shepherd P, Wang J. Layout Optimisation of Frame Structures with Multiple Constraints and Geometric Complexity Control. Applied Sciences. 2024; 14(18):8157. https://doi.org/10.3390/app14188157
Chicago/Turabian StyleHe, Yongpeng, Paul Shepherd, and Jie Wang. 2024. "Layout Optimisation of Frame Structures with Multiple Constraints and Geometric Complexity Control" Applied Sciences 14, no. 18: 8157. https://doi.org/10.3390/app14188157
APA StyleHe, Y., Shepherd, P., & Wang, J. (2024). Layout Optimisation of Frame Structures with Multiple Constraints and Geometric Complexity Control. Applied Sciences, 14(18), 8157. https://doi.org/10.3390/app14188157

