The Effects of L-Citrulline and Malic Acid on Substrate Utilisation and Lactate Elimination
Abstract
1. Introduction
- (1)
- L-citrulline supplementation will significantly decrease blood lactate levels during exercise;
- (2)
- L-citrulline supplementation will significantly decrease RER values during exercise;
- (3)
- L-citrulline and malic acid supplementation will significantly decrease RPE.
2. Materials and Methods
2.1. Participants
2.2. Supplementation and Dosages
2.3. Anthropological Measurements and Resting Protocol
2.4. Exercise Protocol
2.5. Active Recovery Protocol
2.6. Statistical Analysis
3. Results
3.1. RER and Lactate Levels before Supplementation
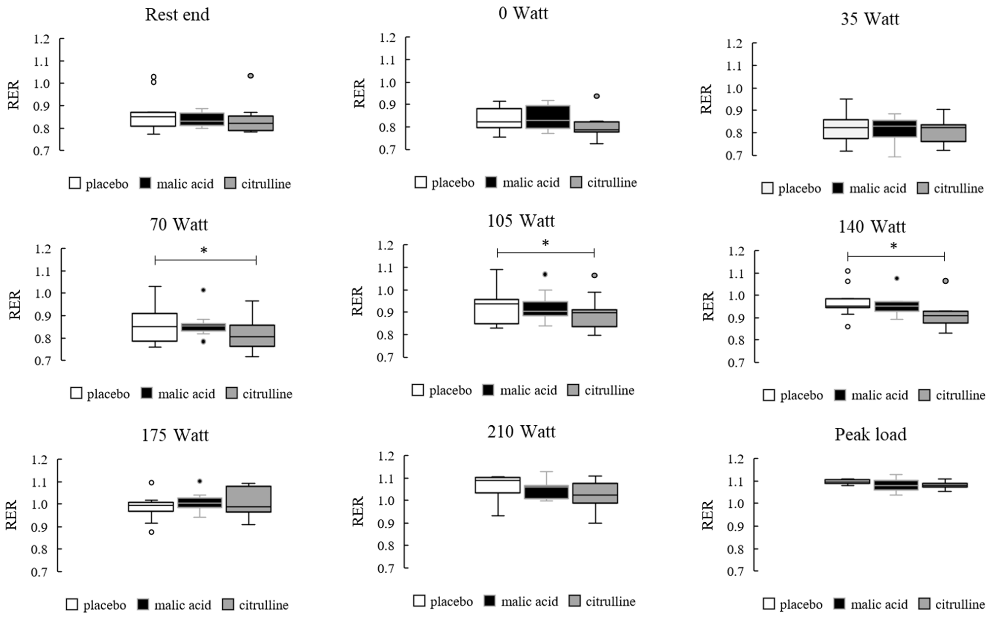
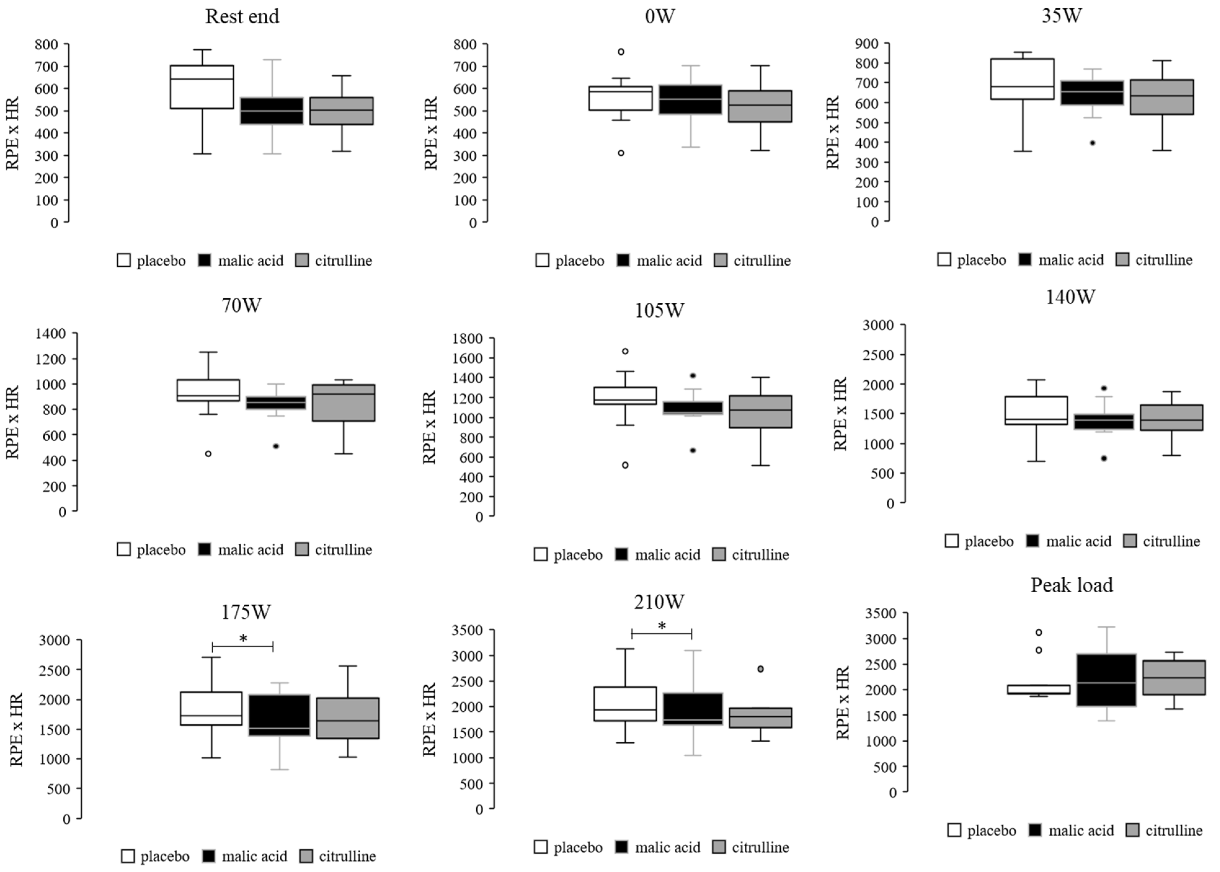
3.2. RER and RPExHR during Exercise
3.3. RER and Lactate Levels during Active Recovery
4. Discussion
5. Conclusions
Strengths and Limitations
Author Contributions
Funding
Institutional Review Board Statement
Informed Consent Statement
Data Availability Statement
Acknowledgments
Conflicts of Interest
References
- Gu, I.; Balogun, O.; Brownmiller, C.; Kang, H.W.; Lee, S.-O. Bioavailability of Citrulline in Watermelon Flesh, Rind, and Skin Using a Human Intestinal Epithelial Caco-2 Cell Model. Appl. Sci. 2023, 13, 4882. [Google Scholar] [CrossRef]
- Sokół-Łętowska, A.; Kucharska, A.Z.; Hodun, G.; Gołba, M. Chemical Composition of 21 Cultivars of Sour Cherry (Prunus cerasus) Fruit Cultivated in Poland. Molecules 2020, 25, 4587. [Google Scholar] [CrossRef] [PubMed]
- Sturm, K.; Hudina, M.; Solar, A.; Marn, M.V.; Stampar, F. Fruit Quality of Different ‘Gala’ Clones. Eur. J. Horticult. Sci. 2003, 68, 169–175. [Google Scholar]
- Allerton, T.D.; Proctor, D.N.; Stephens, J.M.; Dugas, T.R.; Spielmann, G.; Irving, B.A. L-Citrulline Supplementation: Impact on Cardiometabolic Health. Nutrients 2018, 10, 921. [Google Scholar] [CrossRef]
- Glenn, J.M.; Gray, M.; Wethington, L.N.; Stone, M.S.; Stewart, R.W.; Moyen, N.E. Acute citrulline malate supplementation improves upper- and lower-body submaximal weightlifting exercise performance in resistance-trained females. Eur. J. Nutr. 2017, 56, 775–784. [Google Scholar] [CrossRef] [PubMed]
- Vårvik, F.T.; Bjørnsen, T.; Gonzalez, A.M. Acute effect of citrulline malate on repetition performance during strength training: A systematic review and meta-analysis. Int. J. Sport Nutr. Exerc. Metab. 2021, 31, 350–358. [Google Scholar] [CrossRef]
- Blanco, A.; Blanco, G. Medical Biochemistry; Academic Press: Cambridge, MA, USA, 2017. [Google Scholar]
- Owen, O.E.; Kalhan, S.C.; Hanson, R.W. The key role of anaplerosis and cataplerosis for citric acid cycle function. J. Biol. Chem. 2002, 277, 30409–30412. [Google Scholar] [CrossRef]
- Suzuki, T.; Morita, M.; Kobayashi, Y.; Kamimura, A. Oral L-citrulline supplementation enhances cycling time trial performance in healthy trained men: Double-blind randomized placebo-controlled 2-way crossover study. J. Int. Soc. Sports Nutr. 2016, 13, 6. [Google Scholar] [CrossRef]
- Takeda, K.; Machida, M.; Kohara, A.; Omi, N.; Takemasa, T. Effects of citrulline supplementation on fatigue and exercise performance in mice. J. Nutr. Sci. Vitaminol. 2011, 57, 246–250. [Google Scholar] [CrossRef]
- Gonzalez, A.M.; Trexler, E.T. Effects of Citrulline Supplementation on exercise performance in humans: A review of the current literature. J. Strength Cond. Res. 2020, 34, 1480–1495. [Google Scholar] [CrossRef]
- Wu, J.-L.; Wu, Q.-P.; Huang, J.-M.; Chen, R.; Cai, M.; Tan, J.-B. Effects of L-malate on physical stamina and activities of enzymes related to the malate-aspartate shuttle in liver of mice. Physiol. Res. 2006, 56, 213–220. [Google Scholar] [CrossRef] [PubMed]
- Jones, A.M. Dietary nitrate supplementation and exercise performance. Sports Med. (Auckland N. Z.) 2014, 44 (Suppl. S1), S35–S45. [Google Scholar] [CrossRef] [PubMed]
- Bailey, S.J.; Blackwell, J.R.; Williams, E.; Vanhatalo, A.; Wylie, L.J.; Winyard, P.G.; Jones, A.M. Two weeks of watermelon juice supplementation improves nitric oxide bioavailability but not endurance exercise performance in humans. Nitric Oxide 2016, 59, 10–20. [Google Scholar] [CrossRef] [PubMed]
- Kiyici, F.; Eroğlu, H.; Kishali, N.F.; Burmaoglu, G. The effect of citrulline/malate on blood lactate levels in intensive exercise. Biochem. Genet. 2017, 55, 387–394. [Google Scholar] [CrossRef]
- Maunder, E.; Plews, D.J.; Kilding, A.E. Contextualising maximal fat oxidation during exercise: Determinants and normative values. Front. Physiol. 2018, 9, 599. [Google Scholar] [CrossRef]
- Achten, J.; Gleeson, M.; Jeukendrup, A.E. Determination of the exercise intensity that elicits maximal fat oxidation. Med. Sci. Sports Exerc. 2002, 34, 92–97. [Google Scholar] [CrossRef]
- Eryılmaz, S.K.; Polat, M. Correlation of maximal respiratory exchange ratio with anaerobic power and maximal oxygen uptake in anaerobic trained athletes. Pedagog. Phys. Cult. Sports 2021, 25, 261–266. [Google Scholar] [CrossRef]
- Borg, G.A. Psychophysical bases of perceived exertion. Med. Sci. Sports Exerc. 1982, 14, 377–381. [Google Scholar] [CrossRef]
- Arney, B.E.; Glover, R.; Fusco, A.; Cortis, C.; de Koning, J.J.; van Erp, T.; Jaime, S.; Mikat, R.P.; Porcari, J.P.; Foster, C. Comparison of RPE (Rating of Perceived Exertion) Scales for Session RPE. Int. J. Sports Physiol. Perform. 2019, 14, 994–996. [Google Scholar] [CrossRef]
- Scherr, J.; Wolfarth, B.; Christle, J.W.; Pressler, A.; Wagenpfeil, S.; Halle, M. Associations between Borg’s rating of perceived exertion and physiological measures of exercise intensity. Eur. J. Appl. Physiol. 2012, 113, 147–155. [Google Scholar] [CrossRef]
- Grimble, G.K. Adverse Gastrointestinal Effects of Arginine and Related Amino Acids. J. Nutr. 2007, 137, 1693S–1701S. [Google Scholar] [CrossRef]
- Canivel, R.G.; Wyatt, F.B. Cardiovascular responses between low cadence/high force vs. high cadence/low force cycling. Int. J. Exerc. Sci. 2016, 9, 419–426. [Google Scholar]
- Nikolaidis, P.T. Exercise Testing and Motivation. Sci 2023, 5, 12. [Google Scholar] [CrossRef]
- Cohen, J. Statistical Power Analysis for the Behavioral Sciences, 2nd ed.; Routledge: New York, NY, USA, 2013. [Google Scholar] [CrossRef]
- Jeukendrup, A.E. Nutrition for endurance sports: Marathon, triathlon, and road cycling. J. Sports Sci. 2011, 29, 91–99. [Google Scholar] [CrossRef] [PubMed]
- Purdom, T.; Kravitz, L.; Dokladny, K.; Mermier, C. Understanding the factors that effect maximal fat oxidation. J. Int. Soc. Sports Nutr. 2018, 15, 3. [Google Scholar] [CrossRef] [PubMed]
- Brun, J.-F.; Myzia, J.; Varlet-Marie, E.; de Mauverger, E.R.; Mercier, J. Beyond the calorie paradigm: Taking into account in practice the balance of fat and carbohydrate oxidation during exercise? Nutrients 2022, 14, 1605. [Google Scholar] [CrossRef]
- Zinoubi, B.; Zbidi, S.; Vandewalle, H.; Chamari, K.; Driss, T. Relationships between rating of perceived exertion, heart rate and blood lactate during continuous and alternated-intensity cycling exercises. Biol. Sport 2018, 35, 29–37. [Google Scholar] [CrossRef] [PubMed]






| Energy (kcal) | Protein (g) | Carbohydrates (g) | Fat (g) | |
|---|---|---|---|---|
| 2 pieces of buns | 305 | 10 | 63 | 0 |
| 7 slices of salami | 285 | 16 | 1 | 24 |
| 1 tomato | 22 | 1 | 2 | 0 |
| Total | 612 | 27 | 66 | 24 |
| Placebo RER | Malic Acid RER | Citrulline RER | |
|---|---|---|---|
| 70 W | 0.857 ± 0.087 | 0.860 ± 0.064 | 0.820 ± 0.075 |
| 105 W | 0.927 ± 0.088 | 0.928 ± 0.069 | 0.898 ± 0.085 |
| 140 W | 0.970 ± 0.075 | 0.972 ± 0.067 | 0.931 ± 0.083 |
| Placebo RPExHR | Malic Acid RPExHR | |
|---|---|---|
| 175 W | 1825.1 ± 511.48 | 1633.5 ± 497.8 |
| 210 W | 2082.3 ± 638.71 | 1953.4 ± 687 |
| Rest End | 0 W | 35 W | 70 W | 105 W | 140 W | 175 W | 210 W | Peak Load | |
|---|---|---|---|---|---|---|---|---|---|
| Placebo | 75.5 ± 12.5 | 76.9 ± 11.4 | 85.5 ± 11.4 | 100.3 ± 12.3 | 117.2 ± 16.2 | 130.1 ± 16.5 | 142.0 ± 17.7 | 154.3 ± 19.4 | 160.0 ± 12.0 |
| Malic acid | 70.4 ± 7.5 | 75.1 ± 9.2 | 84.2 ± 8.9 | 98.2 ± 9.7 | 113.3 ± 12.6 | 126.7 ± 13.7 | 141.4 ± 17.2 | 151.7 ± 18.4 | 158.3 ± 12.4 |
| Citrulline | 70.9 ± 9.6 | 74.5 ± 9.9 | 84.4 ± 11.4 | 98.5 ± 10.0 | 114.0 ± 14.9 | 128.1 ± 16.1 | 141.6 ± 16.9 | 152.4 ± 19.9 | 161.6 ± 16.9 |
| Rest End | 0 W | 35 W | 70 W | 105 W | 140 W | 175 W | 210 W | Peak Load | |
|---|---|---|---|---|---|---|---|---|---|
| Placebo | 8.0 ± 1.8 | 7.2 ± 1.2 | 7.9 ± 1.5 | 9.1 ± 2.1 | 10.0 ± 2.4 | 11.4 ± 2.7 | 12.9 ± 3.1 | 13.5 ± 3.2 | 13.6 ± 2.5 |
| Malic acid | 7.8 ± 1.3 | 7.3 ± 1.2 | 7.5 ± 1.2 | 8.4 ± 1.3 | 9.6 ± 1.3 | 10.9 ± 2.0 | 11.6 ± 2.7 | 12.9 ± 3.5 | 13.8 ± 3.1 |
| Citrulline | 7.0 ± 0.9 | 6.9 ± 1.2 | 7.3 ± 1.4 | 8.4 ± 1.5 | 9.2 ± 1.8 | 10.8 ± 1.9 | 12.1 ± 2.6 | 12.3 ± 2.1 | 13.8 ± 1.8 |
Disclaimer/Publisher’s Note: The statements, opinions and data contained in all publications are solely those of the individual author(s) and contributor(s) and not of MDPI and/or the editor(s). MDPI and/or the editor(s) disclaim responsibility for any injury to people or property resulting from any ideas, methods, instructions or products referred to in the content. |
© 2024 by the authors. Licensee MDPI, Basel, Switzerland. This article is an open access article distributed under the terms and conditions of the Creative Commons Attribution (CC BY) license (https://creativecommons.org/licenses/by/4.0/).
Share and Cite
Baráth, A.; Annár, D.; Györe, I.; Szmodis, M. The Effects of L-Citrulline and Malic Acid on Substrate Utilisation and Lactate Elimination. Appl. Sci. 2024, 14, 8055. https://doi.org/10.3390/app14178055
Baráth A, Annár D, Györe I, Szmodis M. The Effects of L-Citrulline and Malic Acid on Substrate Utilisation and Lactate Elimination. Applied Sciences. 2024; 14(17):8055. https://doi.org/10.3390/app14178055
Chicago/Turabian StyleBaráth, Alexander, Dorina Annár, István Györe, and Márta Szmodis. 2024. "The Effects of L-Citrulline and Malic Acid on Substrate Utilisation and Lactate Elimination" Applied Sciences 14, no. 17: 8055. https://doi.org/10.3390/app14178055
APA StyleBaráth, A., Annár, D., Györe, I., & Szmodis, M. (2024). The Effects of L-Citrulline and Malic Acid on Substrate Utilisation and Lactate Elimination. Applied Sciences, 14(17), 8055. https://doi.org/10.3390/app14178055
