Abstract
This paper investigates the Building Information Modeling (BIM) adoption impact on the factors of Contract Cost Variance (CCV) over time. The study considers qualitative and quantitative data to identify the most common causes of CCV through pre-tendering. A partial least square-structure model (PLS-SEM) procedure was used to develop a causal model and rank CCV factors based on their effect, partially based on prior survey raw data conducted in 2022 and the data from 94 projects. Construction industry experts assessed the prior five-year rate of BIM adoption on construction projects to infer the expected trend in BIM adoption in the future (until 2037). Based on the causal model of CCV factors and the future rates of BIM adoption, the dynamic impact of BIM on CCV factors over time was modeled and analyzed. The analysis shows that BIM reduces CCV over time by improving Estimator Performance (EP), Information Quality (IQ), and contractual procedure (CP). The results showed that the CP, EP, and EF have directly impacted CCV, and the PC and IQ indirectly affect the CCV. This paper considers the temporal aspect, examining how the impact of BIM on CCV factors evolves. This dynamic analysis is crucial for long-term strategic planning in construction management.
1. Introduction
The construction industry sector plays a role in the country’s economy. It is a significant source of employment, investment, and economic growth. In many countries, the construction industry is the largest private sector employer. It is also a significant driver of innovation and technological development. The construction industry is a dynamic system that uses various technologies to produce structures and infrastructures. Particularly in developing countries, the construction sector contributes up to 10% to the gross domestic product (GDP) and around 50% to domestic fixed capital (DFC) []. However, the construction industry faces several issues related to different parties through the construction stages. Building information modeling (BIM) requires specialized training and skills, and transitioning from traditional design and construction methods to BIM can be challenging for some professionals and organizations []. However, BIM has recently solved several construction issues. One of the potential areas that BIM affects is Contract Cost Variance (CCV) [], which is defined as the ratio of the difference between the winning bid and client estimation cost to the winning bid (CCV = (Winning bid-Client’s estimation cost)/winning bid) [].
The CCV is a crucial index, reflecting the cost overrun and final contract cost []. Most research carried out on CCV focuses on identifying the most important of CCV for different projects and countries [,,,,]. Few studies have considered the influence of the factors’ interdependencies on the CCV, such as []. However, the existing literature has not accounted for the temporal variation of CCV factors, making it challenging to understand their evolution over time. Previous studies have overlooked the dynamic influence of significant factors on CCV over time, presenting a challenge in comprehending the evolving nature of these factors across time periods. Additionally, numerous studies have demonstrated the positive impact of Building Information Modeling (BIM) on improving construction cost estimation [,,]. BIM’s role in improving project management efficiency, accuracy, and coordination is well-documented. It reduces costs and risks associated with construction projects, although challenges such as regulatory development and stakeholder consensus remain []. Based on this foundation, the hypothesis of this study is formulated as follows: BIM positively influences the factors affecting construction costs during the pre-bid phase. As BIM adoption increases, the relative importance of these cost-related factors is expected to change over time. While the hypothesis primarily focuses on the association between BIM and construction costs during the pre-bid phase, it is important to note that BIM can influence various other variables beyond costs, such as project efficiency, quality, and collaboration. Expanding the hypothesis to include a broader set of variables affected by BIM implementation would provide a more comprehensive understanding of its overall impact on construction processes and is beyond the scope of the study.
The main objective of this study is to assess the expected impact of BIM adoption in variation CCV factors over time. Two sub-objectives are developed in this study: (1) identify and rank the factors affecting CCV using a PLS-SEM casual model and (2) study the forecasted dynamic impact of BIM adoption on CCV factors over time. This paper provides valuable information to the stakeholders by providing insights into the critical factors affecting the accuracy of the contract cost with time at an early stage of a project. CCV factors and their impact are affected by the advancement of BIM technology, which helps improve design clarity, accuracy, and efficiency. The study assists decision-makers in taking appropriate and preventive measures to diminish CCV. Additionally, the paper introduces a new procedure to develop the relationship among the model’s latent groups. Other researchers can use this procedure to develop their causal model with similar conditions (quantitative and qualitative data) used in this study. Developing a causal model using PLS-SEM to evaluate the relationships between CCV factors is a methodological advancement.
This study makes several critical contributions to the body of knowledge in construction management and cost estimation. For example, the study identifies and ranks the factors affecting CCV using a novel Partial Least Squares Structural Equation Modeling (PLS-SEM) approach and provides a detailed understanding of the factors most influential and how they interact. In addition, by assessing the dynamic impact of BIM adoption on CCV factors over time, the study offers a forward-looking perspective. It helps stakeholders understand how increasing BIM adoption could influence cost management practices in future projects. Developing a causal model using PLS-SEM to evaluate the relationships between CCV factors is a methodological advancement. Other researchers can use this model to study similar conditions and factors in different contexts.
2. Literature Review
This section deals with studies of CCV factors PLS-SEM and dynamic risk assessment evaluations.
2.1. Studies of CCV Factors
The concept of CCV is a metric used to evaluate the accuracy and competitiveness of cost estimates in project bidding. This metric is particularly relevant in contexts where precise cost estimation is crucial for the success of bidding processes, such as in Engineering, Procurement, and Construction (EPC) projects and transportation projects. In the context of EPC projects, accurate cost estimation is vital to balance competitiveness and profitability.
Several studies have concentrated on constructing predictive models for CCV, analyzing the factors influencing cost estimation during the pre-tendering phase across various countries and utilizing diverse methodologies, as illustrated in Table 1.

Table 1.
Studies dealt with cost estimation at the pre-tendering stage.
In conclusion, these factors are different from one country to another. In addition, there were different methods to identify and rank the CCV factors.
2.2. Partial Least Square-Structure Equation Model (PLS-SEM)
Partial Least Squares Structural Equation Modeling (PLS-SEM) is a robust statistical methodology tailored to unravel intricate relationships between variables. This versatile tool extends its utility to testing diverse research hypotheses, particularly those entailing causal connections []. Noteworthy is PLS-SEM’s knack for deftly estimating intricate relationships while prioritizing predictive accuracy without requiring an abundance of data or stringent relationship specifications []. PLS-SEM ensures factor determinacy by directly scrutinizing latent variable scores and unveils a malleable residual covariance structure for factor identification.
One of PLS-SEM’s remarkable strengths is its ability to furnish dependable predictions even in scenarios characterized by scant sample sizes, asymmetric data distributions, and interdependence among observations []. Furthermore, the availability of sophisticated PLS-SEM software 3.5 packages replete with user-friendly interfaces empowers researchers to conduct their experiments precisely and easily [,]. Table 2 in the document delineates the manifold applications of PLS-SEM across diverse fields. While PLS-SEM is extensively used in various domains, its application in scrutinizing construction issues at the pre-tendering phase has been relatively limited, as evidenced by earlier studies such as [].

Table 2.
Application of PLS-SEM on different fields.
The components of PLS-SEM include latent group indicators, a measurement model (outer model), and a structure model (inner model). CCV factors represented the indicators of PLS-SEM. Moreover, the CCV factors were classified into five groups, modeled as latent in PLS-SEM. The measurement model represents the relationships between indicators with their groups, while the structure model represents the relationships among latent groups. More details are presented in the Methodology section.
2.3. BIM Adoption
The adoption of BIM in the construction industry has significant implications for cost control and management, particularly in relation to the CCV. BIM adoption can influence CCV by enhancing accuracy in cost estimation and reducing discrepancies between estimated and actual costs. BIM’s impact on cost estimation is primarily through its ability to improve data accuracy and project visualization, which can lead to more precise bidding and cost management. For instance, BIM facilitates better communication and coordination among stakeholders, reducing errors and omissions that often lead to cost overruns [,]. For example, in the Iranian construction industry, BIM-based cost estimation has been shown to outperform traditional manual methods in terms of accuracy and speed, suggesting a substantial improvement in bid value estimation accuracy []. Moreover, integrating BIM with virtual reality (VR) technologies offers additional benefits by enabling stakeholders to make real-time design modifications, which are automatically reflected in the cost estimates. This integration helps maintain high accuracy levels throughout the project lifecycle, addressing potential risks of budget overruns and enhancing the reliability of bid values []. Previous research indicates that BIM significantly enhances the precision of bid cost estimation. Consequently, the utilization of BIM technology profoundly influences the various determinants that influence this accuracy.
2.4. Dynamic Evaluation
Dynamic evaluation was introduced into construction industry topics in the previous literature. However, these aspects were limited to the different stages of the project. In other words, the time dimension was represented in this research by the stages of the project life cycle. Dynamic performance in risk assessment within the construction industry encompasses various methodologies and models that adapt to the evolving nature of risks throughout a project’s lifecycle or time. One prominent approach is the dynamic OSR (Occupational Safety Risk) assessment, which integrates Network Theory to explore risk relationships among workers and construction activities, thereby developing a dynamic risk network across different construction stages to prioritize OSR prevention measures []. Another method involves using a fuzzy inference system (FIS) to identify and evaluate risks, followed by simulating a risk network over the project lifecycle []. Bayesian networks also play a crucial role in dynamic risk assessment, particularly in precast supplier projects, where risk factors are classified into causal relationships (the relationships among risks within one stage or one given time) and dynamic relationships (relationships between risks that were in different stages of project time). This method required a conditional probability among the risk factors []. Based on the above, the risk factors were not evaluated dynamically over the years, as this will give a more comprehensive vision for assessing those risks over time.
3. Methodology
Few studies consider the interdependencies among the factors of CCV. However, the prior analysis efforts only consider the qualitative analysis (based on the degree of impact for each factor that was responded to by participants) when evaluating the degree of impact of the factors on CCV. In addition, no prior study considered the changing relative importance of CCV factors over time due to technological advancements. Specifically, the vital role of BIM technology in impacting CCV factors in the future has not been considered in past studies. Therefore, the study sought to identify and rank the significant CCV factors using PLS-SEM, considering the interdependencies among the factors. In addition, the BIM influence on the impact of CCV factors with time was studied.
The paper’s main idea is as follows: the change in the weights of factors related to BIM over time is a function of the shift in adopting BIM over time. The CCV factors were classified into BIM-related factors (IQ, EP, and CP) and non-related to BIM (EF and PC). By knowing the changing weights of factors related to BIM in a given year and normalizing with weights of factors of non-related BIM, the modified weights factors (related/and non-related BIM) were obtained in that given time. Therefore, the methodology consists of three main components, as shown in Figure 1. The purpose of Component 1 is to develop a causal model that captures the degree of effect of CCV factors using PLS-SEM and obtain the weight values for related BIM factors and non-related BIM factors for the base year (2022). The sources of inputs of Component 1 consist of data obtained by Alsugair [] and historical data. The first input includes the degree of impact of 41 CCV factors based on the evaluation of 154 participants and used as qualitative data. The second input (historical data) includes the contact information (including client estimation cost, winning bid, and year of award) of the 94 King Saud University (KSU) projects from 2011 to 2021. The aim of Component 2 is to estimate the adoption rate of BIM in projects both in the past and in the future. The input data of BIM adoption (Component 2) was a questionnaire distributed to BIM experts to determine the BIM adoption in 2017, 2020, and 2023. Then, the adoption of BIM in 2024, 2027, and 2030 was extrapolated. Component 1 and Component 2 outputs were utilized as inputs in Component 3 to compute the relative weights of the significant CCV factors (related and non-related BIM factors) with future time based on the CCV factor’s relative weights (obtained from Component 1) and BIM adoption rate (obtained from Component 2). Thus, the outcomes derived from the BIM adoption questionnaire were integrated with a causal model developed using PLS-SEM to ascertain the relative weights of the CCV factors across specified times (years).

Figure 1.
Methodology components.
3.1. Develop the Causal Model Using the PLS-SEM Model (Component 1)
The purpose of developing a causal model is to obtain the weight of significant factors (related and non-related to BIM); these weights depend on the path coefficients of the developed causal model. Therefore, this section consists of two subsections. The first, Section 3.1.1, introduces PLS-SEM assessment procedures, which will be repeatedly used in the succeeding subsection. The second, Section 3.1.2, shows how to build the causal model, which followed the same procedures in the study of [].
3.1.1. Procedure of PLS-SEM Assessment
Generally, PLS-SEM is a variance-based structural equation modeling technique that creates linear combinations of the indicators (CCV factors) and subsequently estimates the model parameters using the ordinary least square algorithm []. PLS-SEM components are indicators (CCV factors) and latent groups (CCV-groups). The PLS-SEM model consists of the measurement and structure models, as shown in Figure 2.

Figure 2.
Illustrative example of the PLS-SEM model.
The measurement model displays the relationship between the latent group and its indicators (CCV factors). Two indicators are used in PLS-SEM: reflective indicators (arrows from the latent group to its indicators) and formative indicators (arrows from indicators to their latent group). Reflective indicators are assumed to be caused by the latent group construct they measure. Formative indicators are believed to cause the latent construct they are measuring. Reflective indicators are typically used for constructs that consider latent variables that cause the observed indicators. On the other hand, formative indicators are used when the indicators are seen as distinct factors that define the latent construct. Zeng et al. [] argued that the mode of the measurement model, 75.89% of these models, employed only reflectively measured constructs, whereas 11.35% employed both reflective and formative measures. Only a few reviewed PLS-SEM applications included latent group variables with only formative measurement models (9.22%); they also stated that most construction studies utilized reflective indicators. Hence, the use of type indicators in this paper was reflective.
The second model (structure model) represents the relation diagram among the latent group and examines the hypothesis relationships. There are two types of latent groups in PLS-SEM: exogenous and endogenous latent group. An exogenous latent group is often considered the independent group in the model and is used to explain the variance in endogenous variables. On the other hand, the endogenous group is specified to have one or more causal paths leading to them from other groups within the model. The endogenous group is often considered the dependent variable in the model, influenced by the exogenous groups and other endogenous groups. The latent group (EP, IQ, CP, PC, or EF) can be classified as an exogenous and endogenous latent group. The exogenous latent group is an independent latent group that changes other latent groups’ values within the causal model. For example, CP and EF are exogenous latent groups, which cause PC value change as the arrow directed from CP to PC in Figure 2. Also, EF causes a change to PC, as indicated in Figure 2, through the arrow emitted from EF to PC. On the other hand, the endogenous is a latent group directly or indirectly influenced by the exogenous latent group. For instance, the PC is an endogenous latent group influenced by EF and CP, as shown by two arrows received in PC from EF and CP in Figure 2.
After defining all the latent groups and their indicators of the causal model, all relationships among the latent groups need to be evaluated. The primary purpose of the PLS-SEM is to examine the existence of hypothesis relationships among the latent groups. Therefore, the hypothesis relationships between all latent groups were first created. Following a particular methodology, including expert logic, has eliminated these hypotheses’ logic. At this point, the assessment of measurement and structure model are followed to test these hypothesis relationships (accept or reject the relationship). The following explanation of these two assessment models is shown in Figure 3. It is noted that the measurement assessment model was first performed, followed by the structure model assessment.

Figure 3.
Evaluation PLS-SEM model.
Measurement Model Assessment
The measurement model assessments aim to identify the necessary indicators and remove the insignificant ones. This assessment can be performed by examining the impact of changing the indicator’s value to their latent group. This impact can be measured using two validity approaches: construct and reliability validity and discriminant validity.
The construct and reliability validity approach used three measurement coefficients: Cronbach’s alpha, composite reliability, and average variance extracted (AVE). The three coefficients are based on the outer loading of the indicator (factors) and should be more than the threshold value (more than 0.7 for Cronbach’s alpha and composite reliability; more than 0.5 for AVE). The outer loading of the indicator (l) shall be more than or equal to 0.7. On the other hand, there are two cases when l is smaller than 0.7 for assessment construct and reliability. Case 1 represents the indicator’s outer loading value smaller than 0.4. Therefore, the indicator should be eliminated from the model. Case 2 represents the indicator with an outer loading of more than 0.4 and less than 0.7. Thus, in such a case, the elimination of the indicator has no effect on increasing any of the three coefficients (α, CR, and AVE) of its construct (group). Therefore, the indicator should remain in the model. Moreover, suppose the omitted indicator leads to an increase in any of the three coefficients of its construct. In that case, the indicator will be deleted from the model (the indicator is nonsignificant) []. As a result, PLS-SEM additionally uses composite reliability to assess the constructs’ internal consistency dependability [].
The discriminant validity approach examines if a latent group is unique from other latent groups. The overall goal of this validity approach is to remove the insignificant indicators. Two critical metrics can measure the uniqueness among latent groups: the Fornell–Larcker criterion and cross-loadings. The Fornell–Larcker criterion ensures whether a latent group shares more variance than another latent group variable. Accordingly, each latent group’s square root of its AVE should be higher than its highest correlation with other latent groups []. Regarding the cross-loadings, an indicator’s loading with the related latent group should be more significant than its loadings with all the other latent groups [].
Structure Model Assessment
The structural assessment model aims to test whether the hypothesis relationships are accepted or rejected. This assessment model can be achieved by examining the relation between two latent groups by determining the b coefficient or p-value. These coefficients and values indicate whether the relation exists or not. Refer to the reference for more details on calculating b and p. []. If p is less than 10%, then the alternative hypothesis (b ≠ 0, there was a relationship between the two latent groups) is accepted. Otherwise, the null hypothesis (b = 0, no relationship between the two latent groups) is accepted.
3.1.2. Build the Causal Model
The causal model depended on using PLS-SEM based on the qualitative and quantitative data. These data were extracted from the questionnaire provided by Alsugair (2022) and the historical 94 KSU projects. The qualitative data represented the degree of impact of the 41 CCV factors, which the 154 participants assessed. The 41 CCV factors with their latent group are shown in Table 3 []. The quantitative data represent the CCV value for each participant. This CCV value depends on two variables.

Table 3.
Five latent groups with their impacts [].
The 94 projects undertaken by King Saud University were categorized into distinct groups according to the year of project award, resulting in ten delineated groups labeled from 2010 to 2021. Table 4 presents the average CCV values for each of these groups corresponding to the specified years. Additionally, Table 4 provides the means of the CVV values across the ten groups, aligning with the respective years of project award. Therefore, the first variable is the average of the CCV of 94 KSU projects calculated annually (9.72%). The second variable was determined by obtaining the participant’s reliance on historical data for estimating contract costs through questionnaire responses []. Thus, the quantitative data can be computed by multiplying the first and second variables per participant. Accordingly, 154 CCV values were obtained.

Table 4.
Average of the CCV from 2010 to 2021.
The 94 KSU’ projects were grouped based on the year of biding. Table 4 presents the average of CCV of projects for each year
The causal model using SmartPLS was constructed through three stages (first, second, and third). The general steps can be summarized into three stages. The first stage represents eliminating insignificant latent group, the second stage is building several causal models based on two latent groups, and the third stage represents building the final causal model. The flow charts of the first, second, and third stages are shown in Figure 4a, b, and c, respectively. More details of each stage and their results are displayed in the following sections.



Figure 4.
Flow chart of building causal CCV model (a) first stage, (b) second stage, (c) third stage.
The primary objective of the first stage is to pinpoint latent groups that do not impact CCV and subsequently eliminate these groups from the forthcoming causal model construction (that will be built in the third stage). The latent groups under scrutiny include IQ, EP, PC, CP, and EF. This phase entails conducting individual hypothesis tests on each of these five latent groups about CCV. The outcome of these tests determines whether a latent group is deemed significant and included in the final causal model or non-significant and excluded. This decision hinges on the significance level of the p-value, where a p-value below 0.10 indicates inclusion (significant latent group), and a p-value exceeding 0.10 signifies exclusion (non-significant latent group). The process of this stage is illustrated in Figure 5a. Given the five latent groups involved, five distinct models (IQ→CCV, EP→CCV, PC→CCV, CP→CCV, and EF→CCV) were executed during this first stage. Before performing the hypothesis test of the five models, the model was evaluated in terms of construct and discriminant validity. Table 5 displays the construct validity of the five models at the first stage, and Table 5 also shows the significant CCV factors for each model. For construct validity, it is noticed in Table 4 that Cronbach’s alpha and composite reliability of the latent groups for all five models exceeded the threshold value (0.7). In addition, their AVE values were more than the acceptable value (0.5), as shown in Table 4. These results indicate that the construct validity was satisfied. The discriminant validity was unnecessary because each model had only one latent group. The third column of Table 5 shows the significant factors for each latent group that satisfied the construct validity. For hypothesis test results, Table 6 shows the test results of the first stage. The direction of the path is one way from the latent group (EP, PC, EF, and IQ) to the CCV. The p-value test ranged from 0.0002 to 0.02, less than 0.1. The test indicated accepting the alternative hypothesis (b≠0) that stated a relationship and coefficient (b_i ≠ 0) between latent groups to CCV. Therefore, the five latent groups are significant in the CCV.

Figure 5.
Summarize and visualize the steps of building the developed causal model.

Table 5.
Construct and reliability validity of the first stage.

Table 6.
Models of Stage 1.
The second stage examines any two influences of any two latent groups on CCV. First, there is a need to determine the number models that performed in the second stage, including two logic hypothesis relationships. The primary goal of the second stage is to identify the optimal model comprising two significant latent groups and the CCV, which will serve as the fundamental building blocks for shaping the ultimate model. Based on the total number of latent groups () and the number of hypothesis relationships in each model (), the total number of models that can be generated in second stage was computed based on the permutation formula [], with a total of 30 models. The number of models that contained a nonlogic relationship (hypothesis) (shown in bold hypothesis, Table 7) was ten models, as shown in Table 6. Hence, the twenty models were developed based on the expert’s logical hypothesis, as shown in Table 8. These models were tested using a specific procedure. Thus, a set of steps was developed in this study to achieve the required exam in this stage, as stated below. Figure 4b illustrates the flowchart of this process.
- Step 1: Select any two latent groups as exogenous latent groups to the CCV.
- Step 2: Test the two hypotheses (hypothesis for one latent group).
- ○
- Step 2.1: If the two p-values of the two hypotheses were less than 0.1, the hypothesis was significant (acceptance relationship), and the model was satisfied and stored.
- ○
- Step 2.2: If one hypothesis had a p-value of more than 0.1 (insignificant relationship or reject relationship), the insignificant relationship redirected from CCV to another latent group.
- ○
- Step 2.3: Test the hypothesis of the redirect relationship using the p-value; if its p-value is insignificant (p-value > 0.1), then the model will be omitted, or otherwise (p-value ≤ 0.1), the model is satisfied and stored.

Table 7.
Nonlogic models that had a nonlogic relationship (hypothesis).

Table 8.
Hypothesis tests of the logic twenty models for the second stage.
For example, consider selecting EP and IQ as latent groups. Thus, two hypotheses were created: EP:→CCV and IQ→CCV. The results of the two hypothesis tests indicate that the EP→CCV is accepted while the IQ→CCV is rejected, as shown in Table 8. Hence, the direction of the IQ→CCV was redirected from CCV to EP, and a new hypothesis was created, IQ→EP, as shown in Model 2 in Table 7. Based on the magnitude of the p-value of the hypothesis, the optimal model was selected as Model 4, Model 5, and Model 7, as shown in Table 7. These models were considered in the third stage.
The purpose of the third stage is to develop the final causal model. This stage has a list of steps repeated until the final causal model latent groups reach significant latent groups. Figure 4c depicts the process of this stage. The following steps are performed in this stage for each model iteration.
- Step 1: Select the best model from the twenty Stage 2 models based on the minimum p-value. Assume there are three latent groups: CCV (first latent group), second latent group, and third latent group.
- Step 2: Add an extra latent group (fourth latent group) to the selected model as exogenous to the CCV (first latent group). The added latent group should not be found in the selected model. As a result, a revised model was created with four latent groups (three relationships).
- Step 3: Test the hypothesis for all relationships of the revised model.
- ○
- Step 3.1: If all three relationships were significant (acceptance relationships), a new model was created, and it consisted of four latent groups.
- ○
- Step 3.2: If one of the three relationships were insignificant, the relationship of the added latent group (the fourth one) was redirected from the CCV latent group to the second latent group of the revised model. As a result, the revised model is updated.
- ○
- Step 3.3: Test the hypothesis of the revised model relationships.
- ▪
- Step 3.3.1: If the p-values of all three relationships are significant (p-value ≤0.1), a new model consisting of four latent groups was created.
- ▪
- Step 3.3.2: If the p-value of the one relationship, at least, was insignificant (p-value >0.1), the relationship of the added latent group (fourth group) was redirected from the second latent group to the third latent group. As a result, the revised model is updated.
- ▪
- Step 3.3.3: Test the hypothesis of the revised model relationships. If one of the relationships was at least insignificant (p-value >0.1), the added latent group (fourth one) should be deleted.
- Step 3.3.3.2: Otherwise, a new model that consisted of four latent groups was created.
- Step 4: Another extra latent group was added to the new model, and the previous procedure was repeated. The above process and steps continued until all the latent group relationships were tested.
A calculation sample in this stage is illustrated to clarify the proceeding steps. From Step 1, the best Stage 2 models were Model 4, Model 5, and Model 7. These models were combined to create a combined model, which had PC, CP, EF, and CCV, as shown in Figure 5. The EP was added to the combined model as exogenous to CCV (Step 2). After that, the hypothesis for all relationships of the revised model, which had PC, CP, EF, EP, and CCV, was tested (Step 3). The results revealed that all hypothesis relationships had p-values less than 0.10. Therefore, a new model was developed (Step 3.1). The remaining latent group (IQ) was added to the new model (PC, CP, EF, EP, and CCV). The third stage steps were applied until the p-value of all hypothesis relationships was less than 0.10. Therefore, the final causal model was developed. A simple sketch of the final causal model is shown in Figure 5. From the causal model’s output, the factors’ outer weights are determined. As mentioned in an earlier section, the main purpose of the developed causal model is to compute the relative weight of the significant factors by normalizing their outer weight values. The relative weight of the factor is represented as (), where j represents a factor, while k is the latent group such as (IQ, EP, CP, EF, or PC). Because the developed causal model was performed based on the data that was constructed in 2022, the weight factors were renamed to .
3.1.3. Validation the Causal Model Using Principal Component Analysis (PCA)
Principal component analysis (PCA) is a widely covered machine learning method. In addition, some significant articles utilize this technique due to its cost-effective time and simplicity [].
The primary step of performed PCA is to compute the covariance matrix for all latent groups to determine any relationship among the latent groups. This section explains these steps to determine the association between latent groups (EP, IQ, EF, PC, and CP). The data of each latent group can be computed by carrying out the following steps: the main factors or impacts for each latent group that was determined were selected, the average of the values of these factors was computed for each respondent, and the average value was considered as the latent group. Therefore, the latent groups of EP, IQ, EF, PC, and CP can be obtained and consist of 154 data,. The correlation coefficient between two latent groups was determined and can be estimated using Equation (1) to assess the correlation among the latent groups.
where xi, yi is the value of x and y latent group at the ith case (participant response) and N is the number of data equal to 154. In addition, the analysis of covariance requires that the sample follow a normal distribution. Skewness values are commonly used to examine the data normality. When the Skewness value is within ±2 in the ranges, the data are regarded as normally distributed [,]. By implementing the covariance among the latent groups and developed relationships, the developed relationships were compared with those of the causal CCV model developed by PLS-SEM. The results of the validation are displayed in the later section.
3.2. Estimating the Adopting Rate of BIM in Projects Both in the Past and in the Future (Component 2)
In the first step, the CCV factors with their latent group, which the BIM and their relative weight of the influence () may influence, were determined. The structured interview was performed with three experts to identify which group was influenced by BIM by examining the BIM influence on the factors of the groups. After that, the experts were asked to assign the relative weight of the influence of BIM in those groups (group factors that BIM influenced. The three experts held key positions within the industry: a seasoned General Manager, an experienced Project Manager, and a proficient Civil Engineer. Each expert possessed extensive expertise in BIM applications, boasting over five years of hands-on experience working with BIM technologies.
In the second step, the questionnaire was designed to obtain the BIM adoption within a certain time frame. The experts were asked to provide the percentage of projects designed by BIM to the total project design for 2017, 2020, and 2023 in KSA. The number of experts who participated in the BIM adoption questionnaire was 17. The percentages for architectural, civil, electrical, mechanical engineering, and others were 37.5%, 33.3%, 12.5%, 6.3%, 6.3%, and 6.3%, respectively. About half of the sample (57.6%) worked in the private sector. The experience of the experts was distributed over five, ten, and more than ten years, with 56.3%, 37.6%, and 6.3%. The firm in the construction project was a client (12.4%), contractor (43.8), and consultant (43.8%). It is important to highlight that the experts involved in the first step differed from those engaged in the second step and were not counted among the experts in the subsequent stage.
3.3. Evaluating the Impact of BIM Adoption on CCV Factors over Time (Component 3)
After knowing the BIM adoption with time, the change in the weight of group factors with time was determined based on the relative weight of the CCV factor in 2022 (). The values of (as shown in the second column in Table 9) were obtained using the developed causal model and mentioned in the third stage. Based on the BIM adoption in 2022 (), BIM adoption in the required year (), and the values of , the following steps were performed to determine the relative weight of a latent group with their factors.

Table 9.
Illustrative example of computation of weight factors for 2023.
Step 1: At a given year (Yi), the of all significant CCV factors was utilized. The ratio of BIM adoption () was computed based on the BIM adoption in 2022 () and BIM adoption at (Yi) using Equation (2).
Step 2: The BIM strength influence () related to BIM group factors (l) was utilized. The expert construction industry determined the λl. It should be noted that the summation of strength influence is equal to one (, where n is the number related to BIM group factors (IQ, EP, and CP), which was equal to 3 (n = 3).
Step 3: The related to BIM group factors was modified by multiplying it with and . At the same time, there is no change in the for non-related BIM group factors. In other words, the and set as units for non-related BIM group factors. The for related and non-related BIM group factors can be computed in Equation (3).
Step 4: The of the BIM-affected group and non-BIM-affected factors (as shown in the third column in Table 9) were normalized, and the relative weight factor in the year of () was computed such as , as shown in the fourth column in Table 9.
Step 5: The relative weight of the group was determined by summating the relative weight of its components (), as shown in the fifth column in Table 9.
The above steps were repeated to obtain the relative weight of the groups that were computed for several years. Figure 6 shows a sketch of the group’s relative weight computation. The illustrative example of the computation of weight factors for 2023 is shown in Table 8.

Figure 6.
Relative weight of factors computation outline.
4. Results and Discussion
This section consists of four subsections. The developed causal model using PLS-SEM (Component 1) is displayed in the first subsection. The second subsection presents the assessment and discussion of the developed model, and the third subsection displays the results of BIM adoption (Component 2). The results of the relative weight of the significant CCV factors with time (Component 3) were presented and discussed in the fourth subsection.
4.1. Significant CCV Factors with Their Interdependencies Using a Developed Causal Model
The developed causal model was illustrated by showcasing the significant CCV factors interdependencies among group factors, along with the results demonstrating the construct and discriminant validity of the developed causal model.
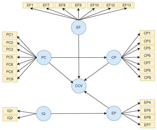
Figure 7 depicts the developed causal model highlighting the significant CCV factors. Specifically, the significant components for the factor EF are EF1, EF7, EF8, EF9, EF10, EF12, and EF13. Concerning CP, the noteworthy factors encompass CP1, CP3, CP5, CP6, CP7, CP8, and CP9 within the CP1-CP range. The pivotal factors for PC consist of PC1, PC2, PC3, PC5, PC6, PC8, and PC9. Additionally, the significant factors related to EP are EP4, EP5, EP6, and EP7, while for IQ, they are IQ1 and IQ2.

Figure 7.
Causal model with impact factors.
The satisfied construct and reliability validity of the developed model are shown in Table 10. The AVE, composite reliability, and Cronbach’s alpha threshold values were 0.5, 0.7, and 0.7, respectively. In addition, the discriminant validity of the developed model in terms of Fornell–Larcker and cross-loading was shown in Table 11 and Table 12, respectively.

Table 10.
Construct and reliability validity of the developed model.

Table 11.
Discriminant validity of latent group (Fornell–Larcker).

Table 12.
Cross-loading of the developed model.
The developed model elucidated that PC directly influences CCV and indirect impact through CP. Simultaneously, EF, CP, and EP directly influence CCV. Conversely, IQ indirectly impacts CCV at the bidding stage) through EP, as illustrated in Figure 7.
Project Characteristics, such as project scale, complexity, and scope, can directly impact CCV. For instance, larger projects may inherently have more variables, leading to potential cost variations. Also, PC can indirectly affect CCV through its influence on Contractual Procedures. How Project Characteristics project characteristics are managed through contractual agreements can impact cost variance. For example, more explicit contracts or frequent scope changes can lead to cost discrepancies.
External Factors, such as economic conditions, regulatory changes, or market dynamics, directly influence CCV. For instance, changes in external regulations can directly impact project costs. These factors, along with Contractual Procedures and Estimator Performance, are crucial elements that need to be monitored and adapted to manage CCV effectively.
Information Quality indirectly affects CCV through its influence on Estimator Performance. High-quality information provided to estimators can lead to more accurate cost estimations, impacting the final contract cost. If incomplete or inaccurate information is accurate, estimators may make errors, leading to cost variances.
Based on the above information, PC directly impacts CCV, with larger projects potentially leading to more cost variations. PC indirectly affects CCV through its influence on CP. External Factors directly influence CCV, along with CP and EP, essential for effective CCV management. IQ impacts CCV indirectly through EP, emphasizing the importance of accurate information for precise cost estimations.
4.2. The PCA Assessment Results and Discussion of the PLS-SEM Model
The interrelationships of the developed causal model were compared with the results of the correlation of the PCA method. Before assessing the covariance matrix among the latent groups, the data should be followed as a normal distribution by performing the Skewness test. Table 13 shows the Skewness value, which provides insight into the shape of a dataset’s distribution for the five latent groups within ±2. Therefore, the data of the five groups follows the normal distribution, and the covariance analysis can be implemented. The correlation can be evaluated based on the covariance coefficient that can be computed using Equation (2). The correlation was insignificant if the covariance coefficient between the two groups was smaller than 0.3. Otherwise, the correlation was significant. Table 14 shows these values among the five latent groups. Figure 8 shows the relationships with a correlation coefficient of more than 0.3. By comparing the causal CCV model developed by PLS-SEM and shown in Figure 7 with the correlation diagram shown in Figure 8, there is consistency in the results between the two models in the following relationships: (CP, EP), (CP, EF), and (CP, EP), (EF, PC). However, they differ in the (EP, PC) and (EP, EF) relations. The resonance of this difference can be attributed to the fact that the causal conditioning model combined the quantitative analysis represented by the CCV value with the qualitative analysis between the five latent groups. In conclusion, the comparison between the developed causal model CCV model and correlation diagram revealed consistency in relationships like (CP, EP) and (CP, EF).

Table 13.
Detail of Skewness test.

Table 14.
The results of the correlations among the latent groups.

Figure 8.
Principle component analysis for assessment of the developed model.
The developed casual model indicated that the EP, IQ, and PC directly influence CCV with path coefficients of 0.299, 0.252, and 0.388, respectively. In comparison, the EF and CP have an indirect on CCV. For example, EF and CP impact CCV by PC and EP, respectively, as shown in Figure 7. These results, confirmed by Alsugair [], stated that the study confirmed that CCV directly influences EP, IQ, and PC. However, Alsugair [] proved that EF and CP have direct and indirect on the CCV, and these results contradict the findings in this paper. The contradiction may be attributed to the user type data, where the data of [] were qualitative, while the data used in this paper were qualitative and quantitative. Besides the direct influence of IQ, it has an indirect influence on the CCV with EP, with the results confirmed by Alsugair (2022). The developed model reveals a significant effect of IQ on the CP. Furthermore, the PC affects CP.
The developed model displays the vital role of PC on CCV. Shash and Ibrahim [] stated the importance of project size (PC2) on the CCV. They illustrated how unforeseen elements could impact the massive project’s cost accuracy. According to [,,,], who demonstrated that inaccurate cost estimates have a negative impact on cost accuracy, the results of IQ factors are supported. In terms of CP, [,,] claimed that awarding policy has an impact on accuracy in cost estimation. They indicate the significance of CP1, representing the client’s evaluation and awarding policy and influencing the three models’ CCV. In addition, Mahamid et al. [] pointed out the influence of CP3 on CCV. In addition, the study carried out by Shash and Ibrahim [] confirmed the influence of tendering duration (CP5) on the cost deviation; their results coincide with the findings of this paper. For EP factors, the developed causal model confirmed the results of [,] studies. They provided the importance of the influence of estimator experience (EP3) and estimating method (EP7) on the accuracy of the quantity computation of the bid. Regarding the factors of EFs, the developed causal model considered EF1-EF5 as crucial factors. The significance of labor costs (EF3) on CCV was supported []. They claimed that the variance of the client estimation and contract costs is significantly influenced by labor expenses, which are heavily influenced by market conditions.
4.3. BIM Adoption Results
The experts provided the BIM adoption (percentage of using BIM in building projects, public and private) in all Saudi building projects at the design stage in three years 2017, 2020, and 2023. The average percentage is shown in Figure 9a. The questionnaire results were compared with those of BIM adoption in the UK []. In general, the adoption of BIM has increased in KSA and the UK. However, the rate of increase in KSA is higher than in the UK. The adoption of BIM in KSA was smaller than in the UK by 73% on average. The determination coefficients (R2) of the rate of BIM adoption for the two countries were similar, as shown in Figure 9.

Figure 9.
Annually rate of BIM adoption (a) in KSA (b) in the UK.
4.4. Dynamic Impact of BIM Adoption on CCV Factors over Time
Figure 9a illustrates that BIM adoption is projected to reach 100% by 2037. Consequently, the relative weights of Estimator Performance (EP), Project Characteristics (PC), Contractual Procedure (CP), Information Quality (IQ), and External Factors (EF) were computed for 2023 (start duration), 2030 (middle duration), and 2037 (end duration) based on the methodology outlined in Section 3.3. The relative weights of CP, EP, and IQ (the latent groups influenced by BIM) in 2023 are 22.9%, 25.15%, and 21.65%, respectively. These weights are expected to increase to 24.12%, 28.34%, and 24.38% by 2030, as depicted in Figure 10. By 2037, these values will rise to 24.59%, 30.25%, and 26.03%, respectively. For more understanding these results, CCV factors related to BIM adoption generally will reduce CCV. For example, IQ1 (Completeness of Cost Data) will increase the information availability and quality and thus reduce the CCV of project. BIM can significantly enhance the completeness of cost data in tenders by providing a powerful platform for managing and analyzing detailed project information. Therefore, increasing BIM adoption will enhance the effect of IQ to reduce CCV. The same conclusion will apply to Estimator Performance factors (EP) and important Contractual Procedures (CP), which will increase over time due to BIM adoption. The increasing significance of CP, EP, and IQ can be attributed to BIM’s influence on enhancing the accuracy of design drawings and project documents and improving Estimator Performance. Traditional project cost management often suffers from low calculation accuracy due to various influencing factors, leading to discrepancies between contract costs and owner estimates [,].

Figure 10.
Relative weight of the group factors with time.
These results demonstrate the positive effect of BIM on IQ and EP in estimating costs at the bidding stage, a finding corroborated by several recent studies. For instance, Bukhary et al. [] noted that integrating BIM into cost management processes at the initial design stage minimizes errors and improves cost estimates by allowing quantity surveyors to focus on value-adding activities such as identifying construction assemblies and factoring in risks. Additionally, BIM has significantly influenced the Information Quality of bid cost estimation in construction projects, with notable improvements observed over time. Initially, traditional cost estimation methods in construction projects were prone to inaccuracies due to manual calculations and a lack of detailed data, leading to inefficiencies and increased risks [,]. The adoption of BIM has revolutionized this process by providing a comprehensive digital representation of a built facility, integrating both geometric and non-geometric information, which enhances the accuracy and detail of cost estimations [].
Furthermore, Van et al. [] concluded that BIM’s ability to streamline the bidding process by automating time-consuming activities and enhancing the accuracy of bill quantities helps provide more realistic and competitive bids. Regarding IQ, the BIM increases the Information Quality, and the technology also addresses traditional issues such as bid collusion and insufficient design details, which often lead to cost discrepancies []. Moreover, BIM leads to improving the factors of CPs. This result agrees with the study of [], which stated that BIM supports identifying and mitigating risks by improving constructability analysis and sub-contractor coordination, leading to more reliable and accurate offers. In addition, BIM enhances Contractual Procedures in the pre-tendering stage and provides a platform for evaluating bids more efficiently and effectively. Contractors can use the detailed 3D model to analyze and compare bids based on various criteria, such as the project scope, cost, and schedule, leading to better-informed decision-making during the tender evaluation process. Integrating BIM into contractual practices has transformed project delivery and contract strategies within the architectural, engineering, and construction (AEC) industry. BIM contract practices significantly impact stakeholders’ implementation of BIM, with specific contract requirements such as deliverables, meetings, workflow documents, and software requirements being critical for effective BIM adoption [].
On the other hand, the importance of PC and EF decreases with time. This decrease came from the increase in the relative importance of the factors CP, EP, and IQ resulting from the BIM effect. The PC will decrease with time and reach 15.00%, 11.45%, and 9.47% in 2023, 2030, and 2037, respectively.
BIM fosters better collaboration among project stakeholders, allowing for early involvement of key team members in the cost estimation process. By integrating input from architects, engineers, contractors, and estimators, BIM can help align cost estimations with project requirements and specifications, reducing the impact of individual Project Characteristics on cost estimation discrepancies. This collaborative environment is highlighted in research by Mi and Li, who emphasize BIM’s role in enhancing stakeholder communication and decision-making processes, ultimately leading to cost reduction and increased project efficiency [].
The study addresses the dynamic impact of BIM on CCV, an area that has received limited exploration. The paper provides valuable insights for construction industry practitioners, decision-makers, and stakeholders by focusing on this practical aspect. It offers practical implications for better-managing construction costs over time, ultimately leading to improved project outcomes and industry practices. Moreover, the study employs a mixed methods approach by integrating qualitative data from expert assessments with quantitative data from project records. This comprehensive analysis enriches understanding the factors influencing CCV and provides a more holistic view of the problem. By considering qualitative and quantitative aspects, the paper bridges the gap between theoretical concepts and practical applications in the context of CCV and BIM adoption.
The study forecasts the dynamic impact of BIM adoption on CCV factors over time. It considers the expected trend in BIM adoption in the future (until 2037) based on the assessment of construction industry experts. This forward-looking perspective helps stakeholders understand how increasing BIM adoption could influence cost management practices in future projects. The paper’s findings can be utilized by construction industry professionals, project managers, and decision-makers to improve cost management practices and mitigate Contract Cost Variance (CCV). By understanding the factors that affect CCV and the dynamic impact of BIM adoption, practitioners can make informed decisions to optimize project outcomes, reduce financial risks, and enhance profitability. Implementing the insights from this research can contribute to cost savings, efficient resource allocation, and improved financial performance in construction projects.
Concisely, BIM positively impacts the enhancement of Information Quality (IQ), Contractual Procedure (CP), and Estimator Performance (EP). Project Characteristics (PC) possess significant factors independent of BIM’s influence. Over time, PC is expected to decrease in importance, reaching 15.00%, 11.45%, and 9.47% by 2023, 2030, and 2037, respectively. EP ranks highest among the group factors affecting Contract Cost Variance (CCV), followed by IQ and CP. The significance of these group factors is anticipated to grow over time. The relative weights of CP, EP, and IQ are 22.9%, 25.15%, and 21.65% in 2023, projected to increase to 24.12%, 28.34%, and 24.38% in 2030, and further to 24.59%, 30.25%, and 26.03% in 2037.
5. Conclusions
This paper delves into examining how adopting BIM impacts the factors of CCV over time. The methodology consists of three consequential steps to achieve the paper’s aim. The first step was to develop the causal model based partially on the data obtained by Alsugair (2022) and historical data of 94 projects using PLS-SEM; the essential CCV factors with their interdependencies were listed. The second step was to establish an annual rate of BIM adoption in KSA and identify the factors that BIM influenced. The questionnaire was distributed to the BIM experts. The third step was to determine the relative importance of CCV-caused groups over time based on the results of the first and second steps. The main findings revealed that Project Characteristics directly influence Contract Cost Variance and an indirect effect through Contractual Procedures. Additionally, External Factors, Contractual Procedures, and Estimator Performance directly impact Contract Cost Variance during the bidding stage. On the other hand, Information Quality indirectly affects Contract Cost Variance during the bidding stage through its impact on Estimator Performance. BIM influences improving IQ, CP, and EP. The PC has significant factors and is not influenced by BIM. The PC will decrease with time and reach 15.00%, 11.45%, and 9.47% in 2023, 2030, and 2037, respectively. The EP will record the first rank of the group factors on the CCV, while the IQ and CP will be the second and third of the group factors on the CCV, respectively. It is expected that the importance of the factors of these groups will increase with time. The relative weights of CP, EP, and IQ in 2023 are 22.9%, 25.15%, and 21.65%, respectively, and they will increase to 24.12%, 28.34%, and 24.38%, respectively, in 2030. In addition, the relative weight of these groups for 2037 is 24.59%, 30.25%, and 26.03%, respectively, in 2037. The CP, EP, and EF have directly influenced CCV. However, the PC and IQ indirectly impact the CCV through CP and EP. For this study’s limitations, the study mentions using data from 94 projects and a survey conducted in 2022. The reliance on prior survey data may introduce biases or outdated information. Regarding the temporal scope, this study projects the impact of BIM adoption until 2037. Long-term projections may face uncertainties due to changing technology landscapes and industry dynamics. This study’s results provide a framework for the interdependencies of factors that change with time. In addition, the results assist stakeholders in the construction industry in increasing the accuracy of the contract cost by capturing the most CCV factors.
Author Contributions
Conceptualization, K.S.A.-G., N.M.A. and H.F.A.; Data curation, A.M.A.; Formal analysis, N.M.A.; Funding acquisition, K.S.A.-G., A.M.A. and S.I.A.; Investigation, S.I.A.; Methodology, K.S.A.-G., N.M.A. and H.F.A.; Project administration, K.S.A.-G., A.M.A. and S.I.A.; Resources, K.S.A.-G. and A.M.A.; Software, N.M.A.; Supervision, K.S.A.-G., A.M.A. and S.I.A.; Validation, N.M.A.; Visualization, K.S.A.-G. and N.M.A.; Writing—original draft, N.M.A.; Writing—review and editing, K.S.A.-G., N.M.A. and S.I.A. All authors have read and agreed to the published version of the manuscript.
Funding
The authors thank King Saud University for funding this research.
Informed Consent Statement
Not applicable.
Data Availability Statement
The data presented in this study are available at the request of the corresponding author due to privacy restrictions.
Conflicts of Interest
The authors declare no conflicts of interest.
References
- Saka, N.; Adegbembo, T. An Assessment of the Impact of the Construction Sector on the Gross Domestic Product (Gdp) Of Nigeria. J. Surv. Constr. Prop. 2022, 13, 42–65. [Google Scholar] [CrossRef]
- de Marco, G.; Slongo, C.; Siegele, D. Enriching Building Information Modeling Models through Information Delivery Specification. Buildings 2024, 14, 2206. [Google Scholar] [CrossRef]
- Rashidi, A.; Chan, D.W.M.; Ravanshadnia, M.; Sarvari, H.; Tajaddini, A. Applying Building Information Modelling (BIM) Technology in Pre-Tender Cost Estimation of Construction Projects: A Case Study in Iran. Buildings 2024, 14, 1260. [Google Scholar] [CrossRef]
- Chung, F.; Ashuri, B. Comparative Analysis of Right of Way Acquisition Processes by State DOTs. In Proceedings of the Construction Research Congress 2022: Project Management and Delivery, Controls, and Design and Materials—Selected Papers from Construction Research Congress, Arlington, TX, USA, 9–12 March 2022; Volume 3–C, pp. 964–973. [Google Scholar] [CrossRef]
- Alsugair, A.M.; Alsanabani, N.M.; Al-Gahtani, K.S. Forecasting the Final Contract Cost on the Basis of the Owner’s Cost Estimation Using an Artificial Neural Network. Buildings 2023, 13, 786. [Google Scholar] [CrossRef]
- Mahamid, I. Effects of project’s physical characteristics on cost deviation in road construction. J. King Saud Univ. Eng. Sci. 2013, 25, 81–88. [Google Scholar] [CrossRef]
- Albtoush, F.; Shu Ing, D.; Rahman, R.A.; Aldiabat Al-Btoosh, J.A. Factors Affecting the Accuracy of Cost Estimate in Construction Projects: A Review. In Proceedings of the National Conference for Postgraduate Research (NCON-PGR 2020), Virtual, 9 December 2020; pp. 1–9. [Google Scholar]
- Saqer, F.; Malalla, Y.; Suliman, P.S.M.A.; Al Jamal, O. Development of Cost Estimation Model for Ministry of Youth and Sports Affairs Construction Projects A Case study from Kingdom of Bahrain. Master Thesis, University of Bahrain, Sakhir, Bahrain, 2020. [Google Scholar]
- Shash, A.A.; Ibrahim, D. Survey of Procedures Adopted by A/E Firms in Accounting for Design Variables in Early Cost Estimates. J. King Saud Univ. Eng. Sci. 2005, 18, 1–16. [Google Scholar] [CrossRef]
- Baek, M.; Ph, D.; Ashuri, B.; Ph, D. Assessing low bid deviation from engineer’s estimate in highway construction projects. In Proceedings of the 55th Associated Schools of Construction Annual International Conference, Denver, CO, USA, 10 April 2019; pp. 10–13. [Google Scholar]
- Alsugair, A.M. Cost Deviation Model of Construction Projects in Saudi Arabia Using PLS-SEM. Sustainability 2022, 14, 16391. [Google Scholar] [CrossRef]
- Zheng, H.K.; Cao, J.W. Discussing the influence of BIM for the construction project cost. Appl. Mech. Mater. 2013, 357–360, 2533–2536. [Google Scholar] [CrossRef]
- Wen, Z.; Zhang, H. Research on cost management of prefabricated construction based on BIM. In IOP Conference Series: Earth and Environmental Science; IOP Publishing Ltd.: Bristol, UK, 2021. [Google Scholar] [CrossRef]
- Yang, S.W.; Moon, S.W.; Jang, H.; Choo, S.; Kim, S.A. Parametric Method and Building Information Modeling-Based Cost Estimation Model for Construction Cost Prediction in Architectural Planning. Appl. Sci. 2022, 12, 9553. [Google Scholar] [CrossRef]
- Deore, S.P.; Joshi, D.A. Comparative Analysis of Traditional Methods and Building Information Modeling (BIM) in Construction Project Cost Estimation. Int. J. Res. Appl. Sci. Eng. Technol. 2024, 12, 846–852. [Google Scholar] [CrossRef]
- Li, M.; Baek, M.; Ashuri, B. Forecasting Ratio of Low Bid to Owner’s Estimate for Highway Construction. J. Constr. Eng. Manag. 2021, 147, 04020157. [Google Scholar] [CrossRef]
- Li, M.; Zheng, Q.; Ashuri, B. Predicting Ratio of Low Bid to Owner’s Estimate Using Feedforward Neural Networks for Highway Construction. Constr. Res. Congr. 2022, 2022, 340–350. [Google Scholar]
- Mahamid, I.; Al-Ghonamy, A.; Aichouni, M. Factors affecting accuracy of pretender cost estimate: Studies of Saudi Arabia. Int. J. Appl. Eng. Res. 2014, 9, 21–36. [Google Scholar]
- Putra, G.A.S.; Triyono, R.A. Neural network method for control valve cost estimation on the EPC project bidding. SHS Web Conf. 2018, 49, 02004. [Google Scholar] [CrossRef][Green Version]
- Singh, A.K.; Persad, K.; Wu, J.; Murphy, M.; Wu, H. Preliminary Analysis of Engineer’s Estimate and Winning Bid Price Using Quantile Regression. In Proceedings of the Transportation Research Board 95th Annual Meeting, Washington, DC, USA, 10–14 January 2016; National Academies: Washington, DC, USA, 2016. Available online: https://trid.trb.org/View/1394365 (accessed on 16 July 2024).
- Dijkstra, T.K. Latent variables and indices: Herman Wold’s basic design and partial least squares. In Handbook of Partial Least Squares: Concepts, Methods and Applications; Springer: Berlin/Heidelberg, Germany, 2010. [Google Scholar]
- Wetzels, M.; Odekerken-Schröeder, G.; Van Oppen, C. Using PLS path modeling for assessing hierarchical construct models: Guidelines and empirical illustration. MIS Q. 2009, 33, 177–195. [Google Scholar] [CrossRef]
- Hair, J.F.; Ringle, C.M.; Sarstedt, M. PLS-SEM: Indeed a silver bullet. J. Mark. Theory Pract. 2011, 19, 139–152. [Google Scholar] [CrossRef]
- Zeng, N.; Liu, Y.; Gong, P.; Hertogh, M.; König, M. Do right PLS and do PLS right: A critical review of the application of PLS-SEM in construction management research. Front. Eng. Manag. 2021, 8, 356–369. [Google Scholar] [CrossRef]
- Wang, P. PLS-SEM Model of Integrated Stem Education Concept and Network Teaching Model of Architectural Engineering Course. Math. Probl. Eng. 2022, 2022, 7220957. [Google Scholar] [CrossRef]
- Gamil, Y.; Rahman, I.A.; Nagapan, S.; Nasaruddin, N.A.N. Exploring the failure factors of Yemen construction industry using PLS-SEM approach. Asian J. Civ. Eng. 2020, 21, 967–975. [Google Scholar] [CrossRef]
- Carranza, R.; Díaz, E.; Martín-Consuegra, D.; Fernández-Ferrín, P. PLS–SEM in business promotion strategies. A multigroup analysis of mobile coupon users using MICOM. Ind. Manag. Data Syst. 2020, 120, 2349–2374. [Google Scholar] [CrossRef]
- Yusif, S.; Hafeez-Baig, A.; Soar, J.; Teik, D.O.L. PLS-SEM path analysis to determine the predictive relevance of e-Health readiness assessment model. Health Technol. 2020, 10, 1497–1513. [Google Scholar] [CrossRef]
- Kineber, A.F.; Siddharth, S.; Chileshe, N.; Alsolami, B.; Hamed, M.M. Addressing of Value Management Implementation Barriers within the Indian Construction Industry: A PLS-SEM Approach. Sustainability 2022, 14, 16602. [Google Scholar] [CrossRef]
- Guenther, P.; Guenther, M.; Ringle, C.M.; Zaefarian, G.; Cartwright, S. Improving PLS-SEM use for business marketing research. Ind. Mark. Manag. 2023, 111, 127–142. [Google Scholar] [CrossRef]
- Al-Mekhlafi, A.B.A.; Othman, I.; Kineber, A.F.; Mousa, A.A.; Zamil, A.M.A. Modeling the Impact of Massive Open Online Courses (MOOC) Implementation Factors on Continuance Intention of Students: PLS-SEM Approach. Sustainability 2022, 14, 5342. [Google Scholar] [CrossRef]
- Su, C.H.; Cheng, T.W. A sustainability innovation experiential learning model for virtual reality chemistry laboratory: An empirical study with PLS-SEM and IPMA. Sustainability 2019, 11, 1027. [Google Scholar] [CrossRef]
- Duc, M.L.; Bilik, P.; Martinek, R. Analysis of Factors Affecting Electric Power Quality: PLS-SEM and Deep Learning Neural Network Analysis. IEEE Access 2023, 11, 40591–40607. [Google Scholar] [CrossRef]
- Taib, M.; Quanhua, H.; Taib, N. Building Information Modelling (BIM) Adoption for Cost Engineering Consultant; Case Study of Southern China. J. Adv. Res. Appl. Sci. Eng. Technol. 2023, 29, 21–36. [Google Scholar] [CrossRef]
- Harty, J.; Laing, R. Drivers for change in construction procurement and its impact on management. In Proceedings of the 2009 2nd International Conference in Visualisation, VIZ 2009, Barcelona, Spain, 15–17 July 2009; pp. 138–143. [Google Scholar] [CrossRef]
- Lee, M.; Chai, C.; Xiong, Y.; Gui, H. Technology Acceptance Model for Building Information Modelling Based Virtual Reality (Bim-Vr) in Cost Estimation. J. Inf. Technol. Constr. 2022, 27, 914–925. [Google Scholar] [CrossRef]
- Cai, X.; Tao, B.; Bosché, F.; Huang, J.; Chen, H. Dynamic Occupational Safety Risk Assessment in Construction Project Unsing a Network-Based Modelling and Analysis Framework. In Proceedings of the 2022 European Conference on Computing in Construction, Rhodes, Greece, 24–26 July 2022. [Google Scholar]
- Farahani, A.F.; Khalili-Damghani, K.; Didehkhani, H.; Sarfaraz, A.H.; Hajirezaie, M. A Framework for Project Risk Assessment in Dynamic Networks: A Case Study of Oil and Gas Megaproject Construction. IEEE Access 2021, 9, 88767–88781. [Google Scholar] [CrossRef]
- Al-Gahtani, K.S.; Aldokhi, M.I.; Alsanabani, N.M.; Alotaibi, H.F.; Bin Mahmoud, A.A. The Impact of Dynamic Risk Interdependencies on the Saudi Precast Concrete Industry. Buildings 2024, 14, 875. [Google Scholar] [CrossRef]
- Alsanabani, N.M.; Al-Gahtani, K.S.; Almohsen, A.S.; Alsharef, A. Risk Interdependency Network Model for the Cost and Time of Pile Installation in Saudi Arabia, Using Partial Least Squares Structural Equation Modeling. Appl. Sci. 2023, 13, 10886. [Google Scholar] [CrossRef]
- Latan, H.; Noonan, R. Partial Least Squares Path Modeling: Basic Concepts, Methodological Issues and Applications. In Partial Least Squares Path Modeling: Basic Concepts, Methodological Issues and Applications; Springer: New York, NY, USA, 2017. [Google Scholar]
- Hair, J.F.; Sarstedt, M.; Hopkins, L.; Kuppelwieser, V.G. Partial Least Squares Structural Equation Modeling (PLS-SEM): An Emerging Tool in Business Research; Emerald Group Publishing Ltd.: Bradford, UK, 2014. [Google Scholar] [CrossRef]
- Walpole, R.E.; Myers, R.H.; Myers, S.L.; Ye, K. Probability & Statistics for Engineers & Scientists. MyStatLab Update Book; Library of Congress: New York, NY, USA, 2017. [Google Scholar]
- Jaadi, Z. A Step-by-Step Explanation of Principal Component Analysis (PCA). Built in; Macmillan: New York, NY, USA, 2023; Volume 5, pp. 326–332. [Google Scholar]
- Mishra, P.; Pandey, C.M.; Singh, U.; Gupta, A.; Sahu, C.; Keshri, A. Descriptive statistics and normality tests for statistical data. Ann. Card. Anaesth. 2019, 22, 67–72. [Google Scholar] [CrossRef] [PubMed]
- Pituch, K.A. Applied Multivariate Statistics for the Social Sciences: Analyses with SAS and IBM’s SPSS; Routledge: New York, NY, USA, 2015. [Google Scholar]
- Mahamid, I. Critical Determinants of Public Construction Tendering Costs. Int. J. Archit. Eng. Constr. 2018, 7, 34–42. [Google Scholar] [CrossRef]
- Azhar, S. Building Information Modeling (BIM): Trends, Benefits, Risks, and Challenges for the AEC Industry. Leadersh. Manag. Eng. 2011, 11, 127. [Google Scholar] [CrossRef]
- Al Hammoud, E. Comparing Bim Adoption around the World, Syria’s Current Status and Furture. Int. J. BIM Eng. Sci. 2021, 4, 64–78. [Google Scholar] [CrossRef]
- Lin, X. Analysis on the Influencing Factors of BIM Technology Application in Engineering Cost Management. In Proceedings of the 2nd International Conference on Engineering Management and Information Science, EMIS 2023, Chengdu, China, 24–26 February 2023. [Google Scholar] [CrossRef]
- Boriskina, Y. BIM technologies’ effect on transformation of a property life cycle. E3S Web Conf. 2019, 91, 08030. [Google Scholar] [CrossRef]
- Bukhary, R.; Taihairan, R.; Ismail, Z. BIM: Integrating Cost Estimates at Initial/Design Stage. 2015. Available online: http://penerbit.uthm.edu.my/ojs/index.php/IJSCET (accessed on 16 July 2024).
- Mahendra, M.Y.; Kartika, N.; Tahadjuddin. Calculation of Cost Estimation Based on Building Information Modeling in Construction Projects. Int. J. Nat. Sci. Eng. 2023, 7, 71–83. [Google Scholar] [CrossRef]
- Mohammad, W.N.S.W.; Azmi, N.N.M. Building Information Modeling (BIM)-Based Information Management Platform in the Construction Industry. Int. J. Acad. Res. Bus. Soc. Sci. 2023, 13, 1957–1967. [Google Scholar] [CrossRef]
- Van Tam, N.; Quoc Toan, N.; Phong, V.V.; Durdyev, S. Impact of BIM-related factors affecting construction project performance. Int. J. Build. Pathol. Adapt. 2023, 41, 454–475. [Google Scholar] [CrossRef]
- Maghiar, M.; Livingston, L.; Wiezel, A. Technology Ontology and BIM-enabled Estimating for Owners and Contractors. Comput. Civ. Build. Eng. 2014, 2014, 2200–2207. [Google Scholar]
- Ying, C. Application of BIM Technology in the Phase of Project Tendering and Bidding. In Proceedings of the 2019 Scientific Workshop on Advanced in Social Sciences, Arts & Humanities (ASSAH 2019), Chengdu, China, 30–31 October 2019. [Google Scholar] [CrossRef]
- Celoza, A.; de Oliveira, D.P.; Leite, F. Role of BIM Contract Practices in Stakeholder BIM Implementation on AEC Projects. J. Leg. Aff. Disput. Resolut. Eng. Constr. 2023, 15, 04523002. [Google Scholar] [CrossRef]
- Mi, Z.; Li, J. Maximizing project efficiency and collaboration in construction management through building information modeling (BIM). Appl. Comput. Eng. 2024, 72, 24–29. [Google Scholar] [CrossRef]
Disclaimer/Publisher’s Note: The statements, opinions and data contained in all publications are solely those of the individual author(s) and contributor(s) and not of MDPI and/or the editor(s). MDPI and/or the editor(s) disclaim responsibility for any injury to people or property resulting from any ideas, methods, instructions or products referred to in the content. |
© 2024 by the authors. Licensee MDPI, Basel, Switzerland. This article is an open access article distributed under the terms and conditions of the Creative Commons Attribution (CC BY) license (https://creativecommons.org/licenses/by/4.0/).