Abstract
In response to the dilemma of the scarcity of mineral additions and the high cost of long-distance transport in Hotan, Xinjiang, China, this paper presented an activation process study on the feasibility of volcanic rock powders unique to this region as mineral additions. This study explored the activity-enhancing effects of volcanic rock powder via three methods: physical activation process, chemical activation process, and thermal activation process. The results showed that physical grinding improved the particle size distribution and enhanced the ‘microaggregate’ effect. For every 80 m2/kg increase in specific surface area, the particle size decreased by approximately 0.7 μm, and the 28-day activity index increased by up to 4%. In the chemical activation process, the optimal combination scheme of 6% CaO, 2% CaCO3, and 2% CaSO4·2H2O increased the 28-day strength of volcanic rock powder mortar specimens by approximately 20%, achieving an activity index of 82%. Thermal activation studies showed that the low-temperature heat treatment interval of 300 °C to 700 °C increased the 28 d activity index of volcanic rock powders by 12 to 22 percent. However, when the temperature reached the high-temperature interval of 800 °C to 1400 °C, it, rather, inhibited the activity enhancement. A combination of the three activation methods (physical milling with a specific surface area of 560 m2/kg after heat treatment at 600 °C, chemical activation with 6% CaO, 2% CaCO3, and 2% CaSO4·2H2O) resulted in an activity of up to 86% for the volcanic rock powder. The activity enhancement by different activation methods provided a theoretical basis and practical reference for the application of volcanic rock powder as a mineral additions in Hotan, Xinjiang.
1. Introduction
In the western frontier and border areas of China, the demand for high-quality mineral additions is exacerbated by the continued expansion of infrastructure development and special environmental factors, such as sulphate erosion and alkali-activated aggregate problems. Due to the scarcity of artificial mineral additions (e.g., fly ash and mineral powders) in less industrially developed regions and high transport costs, it has become imperative to explore and utilize local natural mineral resources. Preliminary studies conducted by our team have shown [1] that properly treated volcanic rocks from Hotan, Xinjiang, meet the current quality standards in China (JG/T315-2011, DL/T5273-2012) [2,3]. However, the activity index of volcanic rock powder in this study was only 57.8% at 28 days, limiting its potential for widespread application. Therefore, this study aims to improve the activity and concrete reinforcement effect of volcanic rock powder, facilitating its large-scale application in the Hotan area of Xinjiang. This will realize solid waste resourcefulness, save project costs, and contribute to environmental protection.
Studies by scholars both domestically and internationally have shown that mechanical refinement or ultrafine techniques exploring the activity of powder materials have primarily focused on artificial mineral additions, such as ultrafine fly ash, ground blast furnace slag, ultrafine ground limestone powder, and silica fume. Studies have confirmed [4,5,6,7,8,9] that the volcanic ash activity of such silica, aluminium, or calcium-rich materials is enhanced after mechanical treatment, thereby effectively improving the durability of concrete, including fluidity, strength, and shrinkage. Notably, ultrafine ground stone ash powder (with a specific surface area of 1200 m2/kg) can react with C3A to produce an expansion product, Calcium Carbonate Aluminate Hydrate, effectively compensating for concrete shrinkage problems [10,11,12]. Due to its economy and practicality, chemical activation strategies have garnered significant research attention. Most domestic and international studies have centered on fly ash, which is chemically similar to volcanic rock flour [13,14,15,16,17]. Numerous studies [18,19,20,21] have augmented the activity of volcanic ash materials by introducing chemical reagents, such as Na(OH)2, Na2CO3, NaCl, CaCl2, CaSO4, and organohydroxylamines, to bolster mechanical properties, enhance durability, and reduce resource consumption and carbon emissions. For low-activity natural minerals, thermal activation has proven to be an effective method for enhancing volcanic ash activity. Related studies [22,23,24,25] have evaluated the calcined activity of various carbonates and volcanic rocks with differing lithologies, highlighting the positive impact of calcination conditions on activity enhancement, pore structure optimization, and strength increase.
Despite progress in enhancing the activity and concrete properties of volcanic ash materials, challenges remain. The excessive fineness of mechanically ground powder can lead to increased water demand, reduced concrete strength, and escalated energy consumption [26,27]. The use of chemicals might alter the alkalinity of the concrete environment, affecting workability and potentially inducing alkali–silicate reactions, while the introduction of chlorinated salts may cause the corrosion of reinforcing steel [28,29]. Additionally, excessively high calcination temperatures not only elevate energy consumption but may also induce changes in the material’s crystalline phase or even generate inert mineral phases [30,31]. Although scholars both domestically and internationally have achieved notable results in studying the pros and cons of natural volcanic ash as an addition [32,33,34,35,36,37], material properties vary significantly across regions due to factors like diagenesis age, morphological characteristics, chemical composition, and crystal content [38].
This study focused on the volcanic rock powders in the Hotan region of Xinjiang, aiming to fill the gap in the research on their development and application. The Hotan region is located in the Puru volcanic belt and possesses abundant volcanic rock resources, mainly including basalt, andesite, and rhyolite [39]. Despite the abundance of these resources, research on their exploitation and utilization has not been carried out in depth. In this paper, the physical, chemical, and thermal activation methods of Hotan volcanic powders were systematically explored to enhance their activity and optimize the activation strategy to maximize their active utilization. Hetian volcanic rock powder exhibited a diversity of mottled, vitreous, and stomatal structures, and was weakly acidic with a low CaO content (6.96%). In this study, the specific surface area of volcanic rock powder was regulated to 480–735 m2/kg by mechanical grinding, and the activity index increased significantly in the early stage, up to 79%, but the growth effect was not obvious in the middle and late stages. In the aspect of chemical activation, the targeted selection of ‘calcium supplements’ as chemical activation agents led to an increase in the compressive activity index to 82% in 28 days, but there is more room for improvement in the choice of chemical reagents and the amount of mixing. By optimizing the calcination temperature and time conditions at low (300–700 °C) and high (800–1400 °C) temperatures, the optimal parameters for thermal activation to improve the activity were determined, resulting in a 28-day activity index of 80.4%, but from the perspective of energy saving and emission reduction, there are still some limitations. Combining the three activation methods, a composite activation strategy of calcining and grinding followed by the addition of chemical excitants was proposed, which resulted in a 28-day activity index of 86%. Therefore, by comparing and analyzing the separate activation and composite activation methods, a feasible technical route was provided for the activity enhancement and maximization of the utilization of volcanic rock powder in the Hotan area of Xinjiang, which filled the gaps in the research in this field and had important application prospects.
2. Materials and Methods
2.1. Materials
The volcanic rocks utilized in this experiment were collected from the Pulu Volcanic Zone in Hotan, Xinjiang (Figure 1), and were lithologically classified as porous basalts, appearing dark gray in color, exhibiting slightly porous textures.
Figure 1.
Natural volcanic rock (a) and finely ground volcanic ash (b) in the Wada area, Xinjiang.
The main mineral composition is medium labradorite, ordinary pyroxene, and small amounts of olivine and magnetite. Its chemical composition is shown in Table 1. Using a Hitachi S-4800 scanning electron microscope (SEM) (Hitachi High-Tech Corporation, Tokyo, Japan), we observed that the volcanic rock powder predominantly consists of irregular particles with a rough surface and multi-angular shapes (Figure 2a). The positions and intensities of the diffraction peaks in the X-ray diffraction (XRD) pattern indicate the high crystallinity of the sample (Figure 2b).
Table 1.
Chemical composition of volcanic rocks in the Hotan Region, Xinjiang (%).
Figure 2.
The SEM (a) and XRD (b) images of volcanic rock powder with a specific surface area of 480 (m2/kg).
The cement utilized in this experiment is P–I type silicate cement, with a strength grade of 42.5 MPa, complying with the Chinese standard GB175-2023 [40]. The chemical composition and physical properties are presented in Table 2 and Table 3.
Table 2.
Chemical composition of P-Ⅰsilicate cement (%).
Table 3.
P-Ⅰ silicate cement physical performance indexes.
The chemical reagents used in the test are six kinds including Ca(OH)2, CaSO4, Na2SO4, CaO, CaCO3, and CaSO4·2H2O. The purity of the selected chemical reagents is more than 99%, and the dosage is calculated as a percentage of the mass of the gelling material.
2.2. Methodology
2.2.1. Physical Activation Process Methods
First, the natural volcanic rock was crushed and ground. Zirconia balls were selected as the grinding media, and the fineness and particle distribution of the volcanic rock powder were adjusted through the combination of different grades and grinding times. The finalized abrasive gradation was as follows: 2.5–5 mm accounted for 60%; 5–10 mm accounted for 30%; and 10–15 mm accounted for 10%. The time control was 15–60 min. The specific surface area of the ground volcanic rock powder was determined to be 480 m2/kg, 560 m2/kg, 640 m2/kg, and 735 m2/kg. The test method adhered to the Chinese standard GB/T 8074-2008 [41] and was conducted using the Hebei Hangxin FBT-9 type fully automatic specific surface area meter (Hebei Hangxin Instrument Co., Ltd., Shijiazhuang, China). Particle distribution was analyzed utilizing the German RODOS laser particle sizer (German Rodos GmbH, Kiel, Germany), in accordance with the Chinese standard GB/T 19077-2016 [42].
According to the Chinese standard JG/T315-2011 [2], the activity index of volcanic rock powder with varying degrees of fineness were determined. The test conditions and methods outlined in the Chinese standard GB/T17671-2021 [43] were employed, utilizing prismatic cemented sand specimens with dimensions of 40 mm × 40 mm × 160 mm. The water–cement ratio was set at 0.5, with the dosage of volcanic rock powder constituting 30% of the mass of cement. The sand was ISO standard sand and the test mixing water was potable water. The amount of sand and water used in a single set of tests is 1350 g and 225 g, respectively. Using the above four specific surface areas of volcanic rock powders, prepare molded cemented sand specimens, and also mold a set of pure cement controls. The flexural and compressive strengths of the glued sand specimens were determined at 3, 7, 28, 60, and 90 days after standard curing and demolding, and the activity indices at different ages were calculated. Simultaneously, the samples were cut into small pieces of approximately 1 cm3 each, and their surfaces were polished to achieve a smooth and flat finish. The morphological features were examined using a Hitachi S-4800 scanning electron microscope (SEM) (Hitachi High-Tech Corporation, Tokyo, Japan), and the chemical composition of the samples was analyzed by a Horiba 7021-H energy dispersive spectrometer (EDS) (Horiba Scientific, Kyoto, Japan).
2.2.2. Chemical Activation Process Methods
This study referred to the activation process methods of other volcaniclastic materials [44,45,46]. CaO and Ca(OH)2 were selected for the alkaline activation process for two reasons: first, the natural volcanic rock powders in the Hotan area of Xinjiang were inherently calcium deficient, with a CaO content of only 6.96%, and they required Ca2+ to form gelling hydration products; second, the natural volcanic rock powders contained acidic oxides, which made them more reactive in an alkaline environment. Additionally, CaSO4 and gypsum (CaSO4·2H2O) were chosen to introduce SO42−, which is essential for ettringite formation, although ettringite’s expansiveness necessitated a reasonable dosage. Lastly, Na2SO4 and CaCO3 were selected. Na2SO4 addition increased both Na⁺ and SO42− in the system; research indicated [47] that CaCO3 accelerated C3S hydration, offered attachment sites, and facilitated ettringite generation within the structure.
Chemical reagent doping test program Ca(OH)2 (H2–H4): 3%, 4%, and 5%; Na2SO4 (H5–H7): 3%, 4%, and 5%; CaSO4 (H8–H10): 2%, 3%, and 4%; CaO (H11–H13): 2%, 4%, and 6%; CaCO3 (H14–H16): 2%, 4%, and 6%; CaSO4·2H2O (H17–H19): 2%, 4%, and 6%. There were 18 schemes in total. In addition, the pure cement group (H-0) and cement + 30% volcanic rock powder (H-1) were set as the blank test group, and the specific surface area of volcanic rock powder was 480 m2/kg. In accordance with the method in the Chinese standard GB/T17671-2021 [43], prismatic cemented sand specimens with dimensions of 40 mm × 40 mm × 160 mm were prepared with a water–cement ratio of 0.5. The dosage of volcanic rock powder was 30% of the mass of cement, and the chemical reagent dosage was the mass percentage of cement + 30% volcanic rock powder. After standard curing, the flexural and compressive strengths were tested at 3 d, 7 d, and 28 d ages, and the flexural and compressive activity indices were calculated. Based on the results, the optimum three chemicals were selected for a composite orthogonal test. The orthogonal test factor levels are shown in Table 4.
Table 4.
Orthogonal test factor level table.
In the chemical composite formulation, the optimum test group (HS4), selected based on orthogonal tests, the cement + 30% volcanic rock powder (H-1) blank test group, and the H0 pure cement group were used to determine the pore size distribution volume of the hardened slurries at the ages of 7, 28, and 60 days. Volume percentages were calculated and determined by using a Mack AutoPore IV 9500 mercuric piezometer (Mack Instruments, Cincinnati, OH, USA). SEM electron microscope scans and XRD microtests were also carried out to analyze the micro-mechanism of the elevated activity of the chemical excitants. XRD data were collected at room temperature using Cu-Kα radiation (λ = 1.5406 Å) operated in a reflective geometry (θ/2θ).
2.2.3. Thermal Activation Process Methods
Eight temperature gradients were established for the calcination ramp-up process: 300 °C, 400 °C, 500 °C, 600 °C, 700 °C, 800 °C, 1000 °C, and 1200 °C. Upon reaching each specified temperature, a hold of 30 min was maintained before cooling down to room temperature within a high-temperature furnace. Thereafter, the cooled volcanic rocks were ground to achieve a specific surface area of roughly 420 m2/kg. Researchers prepared cement mortar specimens following the Chinese standard JG/T315-2011 [3], and the flexural and compressive strengths at ages of 3 d, 7 d, 28 d, 60 d, and 90 d were determined in accordance with GB/T17671-2021 [43] to assess the activity levels.
The high calcination temperatures were chosen to be 800 °C, 1000 °C, 1200 °C, and 1400 °C (800 °C being the breaking point for decreased activity, and 1200 °C for the appearance of the liquid phase), with a ramp-up time of 120 min. The temperature was immediately lowered upon reaching the maximum temperature for natural cooling and water quenching (samples were plunged into room-temperature distilled water when the maximum temperature had not dropped more than 100 °C). At the volcanic melting temperature, the constant temperature time was increased to examine its effect on the vitreous content. The calcination and cooling regimes of each numbered specimen are shown in Table 5. The effect on the activity of the gelling system of the volcanic rock powder was examined by determining the changes in the chemical composition of the specimens after high-temperature calcination. According to the Chinese standard GB/T 13464-2008 [48], the thermogravimetric test was carried out using a synchronous thermal analyzer type STA449F3 (NETZSCH Analyzing & Testing, Selb, Germany) from Germany. The vitreous content was determined in accordance with the method of the Chinese standard GB/T 18046-2017 [49]. The content of oxides (SiO2, Al2O3, and Fe2O3) was determined according to GB/T 176-2008 [50]: the ammonium chloride weight method for SiO2, the EDTA direct titration method for Fe2O3, and for Al2O3. In reference to Lian Huizhen [51] and other experts, the rapid assessment method for the activity of volcanic ash material was used to determine the content of soluble oxides (SiO2 and Al2O3), i.e., the total amount of SiO2 and Al2O3 reacted in saturated limewater as a percentage of the total amount in the initial material.
Table 5.
Calcination temperature, time, and cooling method of each specimen.
2.2.4. Compound Activation Process
A specific surface area of 560 m2/kg was selected for the volcanic rock powder, and the composite chemical reagents were chosen from the optimized combination of orthogonal experiments: 6% CaO + 2% CaCO3 + 2% CaSO4·2H2O. The test calcination temperature was 600 °C, and the constant time was selected to be 30 min. The activity index was determined after 28 days.
3. Results and Discussion
3.1. Physical Activation Process Test Results
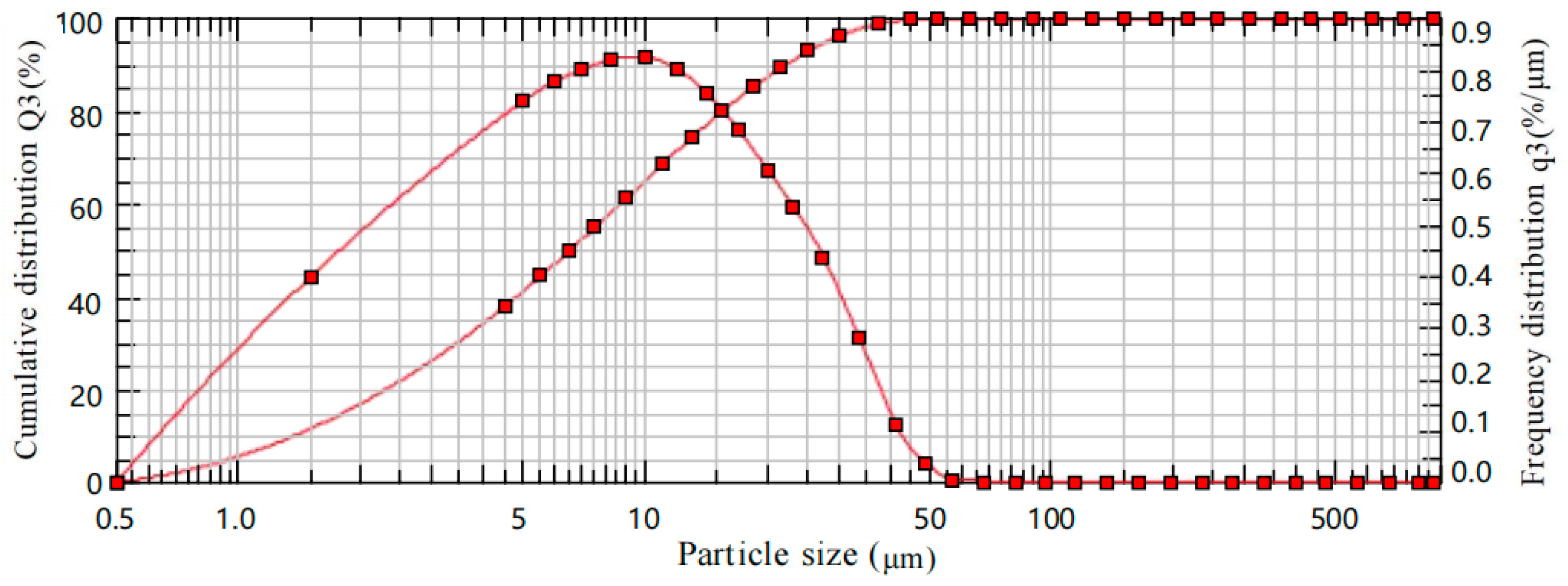
The particle distribution curves of different specific surface areas are shown in Figure 3, Figure 4, Figure 5 and Figure 6. The flexural and compressive strengths at different ages of mortar specimens made according to the four specific surface area test programs are shown in Figure 7. The activity index of flexural and compressive strengths is shown in Figure 8.
Figure 3.
Particle grading distribution of volcanic rock powder with a specific surface area of 480 (m2/kg).
Figure 4.
Particle grading distribution of volcanic rock powder with a specific surface area of 560 (m2/kg).
Figure 5.
Particle grading distribution of volcanic rock powder with a specific surface area of 640 (m2/kg).
Figure 6.
Particle grading distribution of volcanic rock powder with a specific surface area of 735 (m2/kg).
Figure 7.
Flexural (a) and compressive (b) strength curves of volcanic powder with different specific surface areas at different ages.
Figure 8.
Flexural (a) and compressive (b) strength activity indices with different specific surface areas at different ages.
By upgrading the fineness of volcanic rock powder through mechanical grinding, the specific surface area increased from 480 m2/kg to 735 m2/kg. This was significantly higher than the specific surface area of cement in Xinjiang, which ranged from 300 to 480 m2/kg, Class I and Class II fly ash from 400 to 550 m2/kg, and S75 and S95 slag micropowder from 350 to 500 m2/kg. This enhancement allowed the volcanic rock powder to function as a ‘microaggregate’ in the cementitious system, fulfilling a filling role. The results of the laser particle size analysis are presented in Figure 3, Figure 4, Figure 5 and Figure 6. As fineness increased, the particle distribution was optimized. The passage rate of particles smaller than 50% decreased from 7.81 μm to 5.60 μm, and the peak of the frequency distribution also shifted from 12 μm to 7 μm, indicating an overall trend towards finer particle distribution.
Figure 7 shows that the compressive and flexural strengths of the volcanic rock powder showed a continuous increase trend with the increase in its specific surface area.
The fineness increased from 480 m2/kg to 735 m2/kg, and the growth rates of 28-day flexural strength were 9.2%, 14.7%, and 6.1%, respectively. The growth rate of compressive strength was only 1.8%, 2.0%, and 2.2%, respectively, which was relatively slow, and the change rule of other ages was similar. When the fineness was 560 m2/kg, the strength growth rate reached the maximum value across all ages. At fineness levels of 640 m2/kg and 735 m2/kg, the flexural strength of the volcanic rock powder remained basically unchanged after 60 days, while the growth of compressive strength slowed down significantly. As indicated by the strength growth rate, finer fineness does not necessarily lead to a more significant effect on the volcanic rock powder. As shown in Figure 8, with the increase in specific surface area, the 28-day activity index increased from 61% to 65%, and the activity enhancement was only 4%. According to the Chinese standard JG/T 315-2011 [2], which requires a 28-day activity index of ≥65%, only the sample with a specific surface area of 735 m2/kg met the specification.
Throughout the age period, the flexural activity index varied between 66% and 99%, which is significantly higher than the range of 55–80% for the compressive activity index. This shows that the volcanic rock powder had a high flexural compression ratio, and the property of the high flexural compression ratio indicated a better toughness of the concrete [52,53]. Also, the finer the fineness of the volcanic rock powder, the higher the contribution to the flexural strength. From the microscopic point of view, the volcanic rock powder particles tended to show an irregular morphology with a rough surface and sharp edges. This feature helped to increase the friction between particles, effectively dispersed and reduced the influence of bending stress, and reduced the stress concentration phenomenon, thus playing a positive role in improving the flexural strength.
Scanning electron microscopy (SEM) and energy spectrum analysis (EDS) methods were employed to determine the microscopic morphology and hydration products of the natural volcanic rock powders at 3 days and 28 days. The specific surface areas of the powders were S1 = 480 m2/kg, S2 = 560 m2/kg, and S3 = 640 m2/kg, as depicted in Figure 9, Figure 10, Figure 11, Figure 12, Figure 13 and Figure 14.
Figure 9.
SEM (a) and EDS (b) patterns of volcanic rock powder with a specific surface area of 480 (m2/kg) at 3 days.
Figure 10.
SEM (a) and EDS (b) patterns of volcanic rock powder with a specific surface area of 560 (m2/kg) at 3 days.
Figure 11.
SEM (a) and EDS (b) patterns of volcanic rock powder with a specific surface area of 640 (m2/kg) at 3 days.
Figure 12.
SEM (a) and EDS (b) patterns of volcanic rock powder with a specific surface area of 480 (m2/kg) at 28 days.
Figure 13.
SEM (a) and EDS (b) patterns of volcanic rock powder with a specific surface area of 560 (m2/kg) at 28 days.
Figure 14.
SEM (a) and EDS (b) patterns of volcanic rock powder with a specific surface area of 640 (m2/kg) at 28 days.
3D SEM images (Figure 9a, Figure 10a and Figure 11a) revealed that the hydration products comprised reticulated C-S-H, thin platelet Ca(OH)2, and a small amount of acicular AFt. During the initial hydration process, the voids within the products were large, indicating that the hydration reaction had not yet progressed sufficiently. As the specific surface area of the volcanic rock powder increased, the hydrated calcium silicate gel gradually aggregated and intertwined into a network, resulting in decreased pore size and a denser structure. EDS images (Figure 9b, Figure 10b and Figure 11b) indicated that the calcium–silica ratios of 1.88%, 2.21%, and 2.31%, as well as the aluminium–silica ratios of 0.16%, 0.21%, and 0.26% at 3 days, were enhanced with the increase in specific surface area. This suggests that a larger active surface area facilitated more effective reactions between the cement and water molecules, leading to the production of additional C-S-H gels, and thus contributing to the accelerated strength development observed at 3 days. Moreover, with the increase in calcium and aluminium content, more aluminium atoms replaced silicon in the C-S-H structure, resulting in the formation of C-A-S-H. This product shares similar properties with C-S-H and significantly contributes to structural strength, particularly flexural strength [54].
As presented above, 28 d SEM images showed (Figure 12a, Figure 13a and Figure 14a) that as hydration proceeded, C-S-H gels and rod-like AFt (AFm) increased, intertwining and distributing in the system to form a backbone, which optimized the structure of the hardened slurry, resulting in a structural densification that was significantly better than that at the age of 3 days. EDS images showed (Figure 12b, Figure 13b and Figure 14b) that as the specific surface area increased, the resulting Ca-Si ratios of 1.78%, 1.87%, and 1.94% decreased from 3 days, while the aluminium–silicon ratios of 0.32%, 0.33%, and 0.35% increased from 3 days. Due to the increase in silica aluminate in the hydration products, the active substances of the admixture consumed some of the Ca(OH)2 crystals, which fully utilized the volcanic ash effect, accelerated the hydration process, further filled the pores, and improved the denseness of the material. This combination of low calcium-to-silica and high aluminium-to-silica ratios endowed the hydration products with stronger gelling properties, lower porosity, and reduced permeability, thus improving the overall density and erosion resistance of the material [55].
Combining the analysis of macroscopic mechanical properties and microscopic hydration products, the volcanic rock powder demonstrated a significant reaction potential within three days. It rapidly reacted with Ca(OH)2 in cement to promptly produce hydration products, including C-S-H and C-A-S-H. Nonetheless, the initial hydration products of the volcanic rock powder were limited and insufficient to considerably enhance concrete strength. With time, the accumulation of hydration products, along with an optimized pore structure, facilitated a continuous increase in strength, thereby enhancing the compactness and mechanical properties of the concrete. Mechanical activation’s intervention not only regulated the particle size distribution of the additions and promoted material lattice reconstruction, but it also augmented the content of amorphous silica and alumina, effectively reinforcing the material [56]. Experimentation revealed that volcanic rock powder with a specific surface area of 735 m2/kg exhibited an activity index 4% higher compared to that at 480 m2/kg, emphasizing the rapid reaction rate and pronounced volcanic ash effect of finer particulate volcanic rock powder. This was beneficial for optimizing the interfacial transition zone, reducing defects [57,58,59], and augmenting the material’s toughness. Nevertheless, the mineral composition of the volcanic rock powder, particle re-agglomeration phenomena, and potential passivation effects following the saturation of abrasion’s impact somewhat mitigated its contributions to strength enhancement and activity promotion. For optimal cost-effectiveness, establishing the optimal fineness range for volcanic rock powder at 560–640 m2/kg is advised.
3.2. Chemical Activation Process Test Results
3.2.1. Chemical Reagent Optimization Test Results
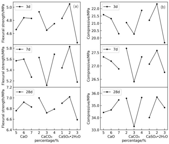
As can be seen from Figure 15, analyzing the 17 protocols at three different ages revealed an obvious strength enhancement effect in the test groups of CaO (H-12, H-13) and CaCO3 (H-15 and H-16). The enhancement effect of CaSO4·2H2O (H-17) was second only to the former two at the ages of 7 d and 28 d. The results of the composite orthotropic test indicated that CaSO4·2H2O was the best reagent. Based on the results of flexural and compressive strength and activity tests, the chemical reagents CaO, CaCO3, and CaSO4·2H2O were selected as the optimal reagents for the composite orthogonal test.
Figure 15.
Compressive strength and activity index curves of collodion sand specimens of different ages with different reagents.
3.2.2. Orthogonal Test Extreme Variance and ANOVA Analysis
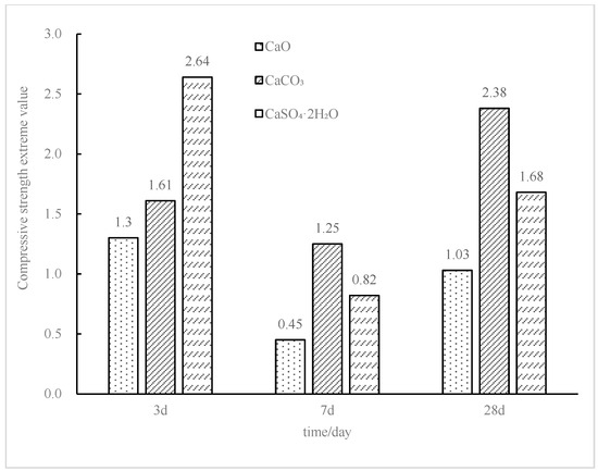
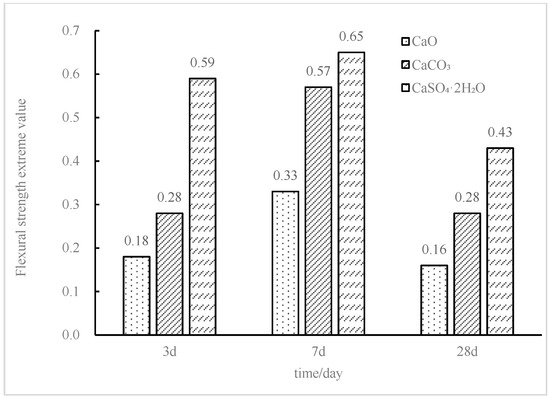
Flexural and compressive strengths at 3 days, 7 days, and 28 days were determined for orthogonal test protocols with different dosages of CaO, CaCO3, and CaSO4·2H2O. The range analysis is shown in Figure 16, Figure 17 and Figure 18, and the ANOVA results are shown in Figure 19, which clarified the important role of the three reagents and their different dosages on the effect of activity enhancement, as well as the superimposed enhancement effect among them.
Figure 16.
Flexural (a) and compressive (b) strength k-value curves at different dosages and ages.
Figure 17.
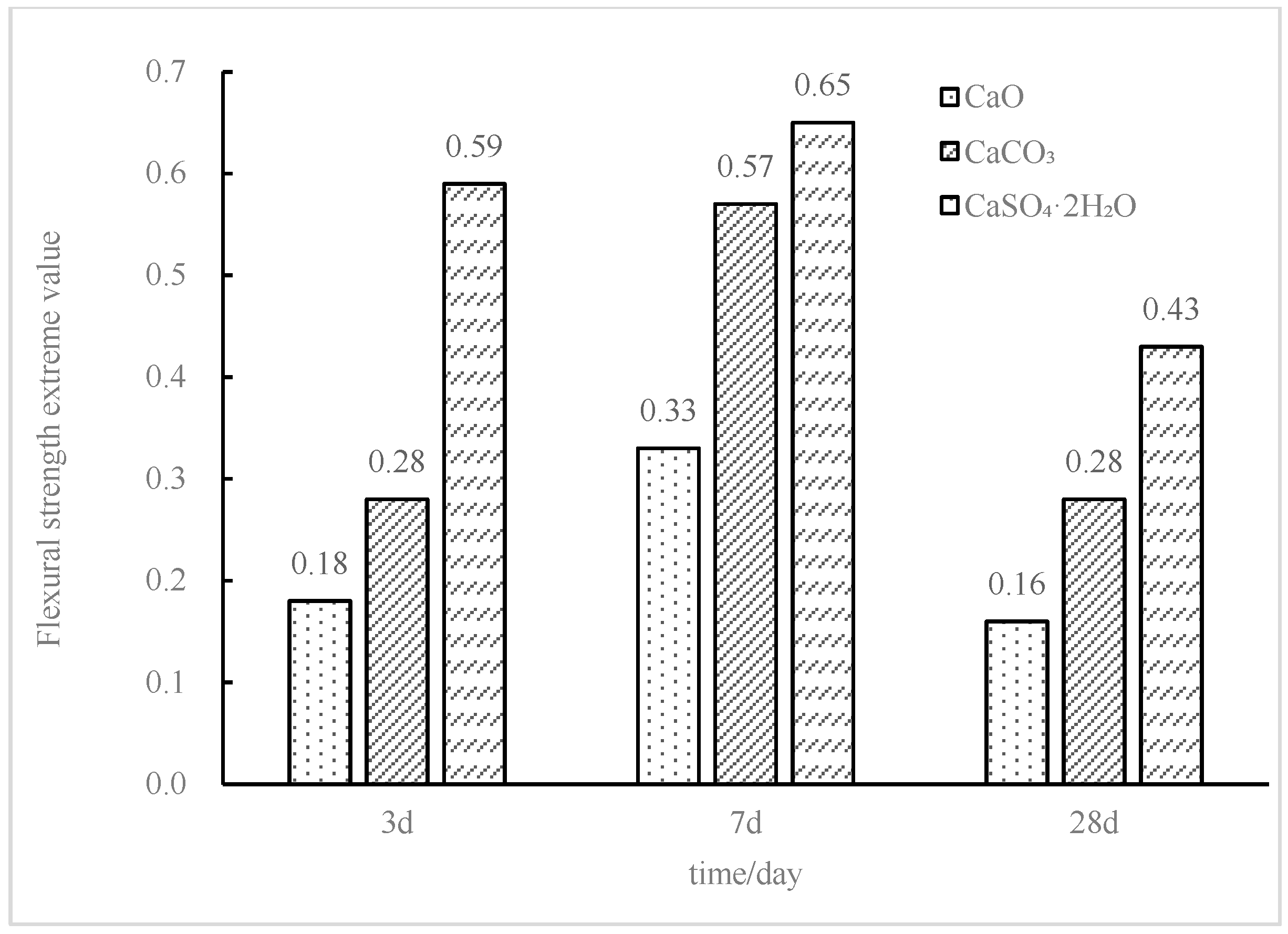
Curves of extreme values of flexural strength versus time for different dosages of volcanic rock powder.
Figure 18.
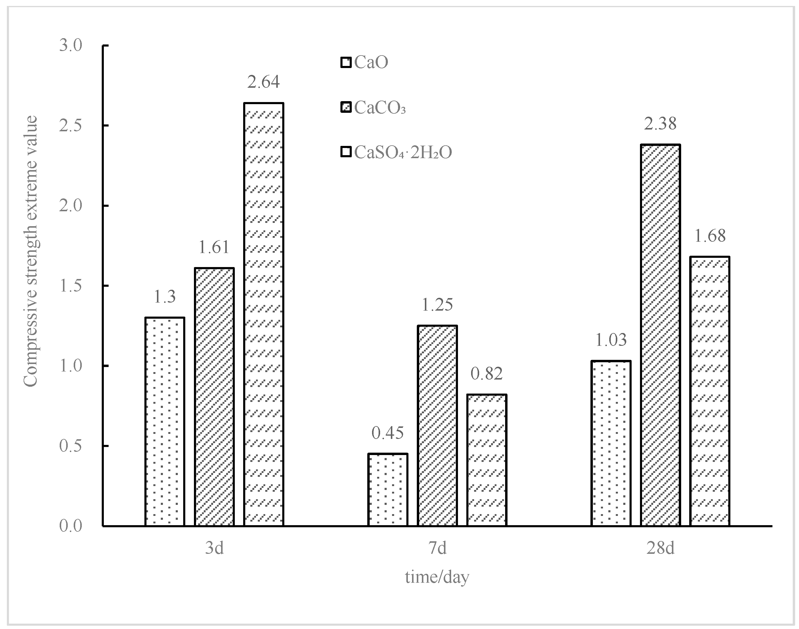
Curves of extreme values of compressive strength versus time for different dosages of volcanic rock powder.
Figure 19.
F value curve of variance of flexural (a) and compressive (b) strength at different ages.
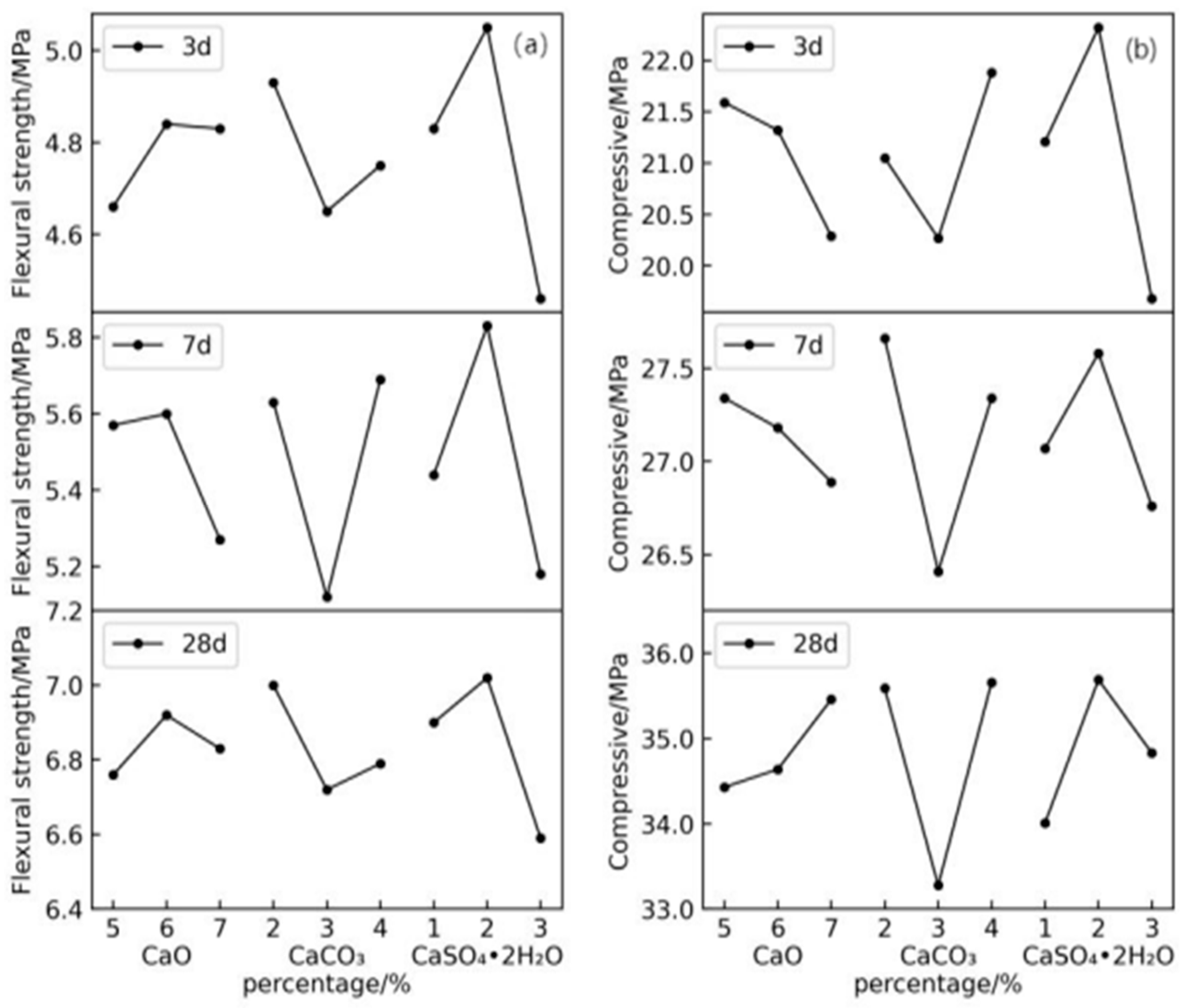
Figure 16a shows that the flexural strengths of the same reagents exhibited similar trends with age. The strengths of CaO and CaCO3·2H2O first increased and then decreased, while the opposite was true for CaCO3. The highest flexural strength was found in the 2% dosed CaSO4·2H2O, which played a dominant role. The strengths of 2% dosed CaCO3 were slightly lower than those of the other two ages at 7 days, and the 6% dosed CaO also demonstrated an excellent performance. Considering the flexural strength at all ages, the optimum combination of dosing was 6% CaO + 2% CaCO3 + 2% CaSO4·2H2O. Figure 17 shows that CaSO4·2H2O had the greatest effect on all ages, followed by CaCO3, and CaO had the smallest effect. Therefore, the order of the effects of the three reagents on flexural strength was CaSO4·2H2O > CaCO3 > CaO.
Figure 16b shows that the compressive strength of 2% doped CaSO4·2H2O followed the same variation rule as the flexural strength. Additionally, 2% doped CaCO3 performed well at 7 and 28 days. Furthermore, 5% doped CaO exhibited greater strength in the early stage, while 7% doped CaO dominated at 28 days. Considering the compressive strength at each age, the best combination of dosing was as follows: 5% CaO + 2% CaCO3 + 2% CaSO4·2H2O. Figure 18 shows that CaSO4·2H2O had the greatest influence at 3 days and decreased first and then rose with age; the change rule of CaO and CaCO3 was the same as theirs, but the influence of CaCO3 was the greatest at 28 days. Therefore, the order of influence of the three reagents on compressive strength was as follows: CaSO4·2H2O > CaCO3 > CaO.
We calculated the sum of squared deviations, degrees of freedom, and the F value of flexural and compressive strength, and checked the F test critical value table: F0.10(2,2) = 9; F0.05(2,2) = 19; F0.01(2,2) = 99. The influencing factors were divided into insignificant (F < F0.10(2,2)), relatively significant (F0.10(2,2) ≤ F < F0.05(2,2)), significant (F0.05(2,2) ≤ F < F0.01(2,2)), and particularly significant (F ≥ F0.01(2,2)). We evaluated the significant impact of each reagent and dosage (Figure 19).
The significance analysis of flexural strength (Figure 19a) revealed that the F values for CaO (3 d and 7 d) and CaSO4·2H2O (7 d and 28 d) fell within the ranges of F0.05(2,2) and F0.01(2,2), corresponding to the 19–99% confidence interval, indicating a significant impact. Notably, the F value for 28 d CaO exceeded the 99% confidence level, and the F value for CaCO3 was within a similar range, increasing with age. This suggests that this dosage had a particularly significant effect on flexural strength. The F value for CaO at 3 d was 9.16, demonstrating a significant impact. The significance analysis of compressive strength (Figure 19b) indicated that the F values for CaO were consistently below nine, reflecting the weakest significance. The confidence intervals for CaCO3 and CaSO4·2H2O at 3 d were identical to those of CaO, suggesting that the activator had an insignificant effect on compressive strength at this stage. However, at 7 days, the significance of CaCO3 and CaSO4·2H2O increased, both falling within the 19–99% confidence interval. By 28 days, the F values dropped to the 9–19 confidence interval, indicating a relatively significant impact.
Through a comprehensive analysis of the range and variance of the orthogonal test, the optimal reagent combination identified to enhance the activity of volcanic rock powder was 6% CaO + 2% CaCO3 + 2% CaSO4·2H2O (HS-4). The calculated 28-day flexural and compressive activity indices are 88% and 82%, respectively. In comparison to H-1 (cement + 30% volcanic rock powder), the flexural activity has increased by 22%, while the compressive activity has increased by 21%.
3.2.3. Pore Structure, XRD, and SEM Analysis
The pore size distribution reflected the dimensions of the pores within the material structure and served as a crucial indicator for evaluating the characteristics of cement-based hardened slurry. According to research conducted by the Chinese scholar Wu Zhongwei [60], pores were categorized into four levels: harmless pores (<20 nm), less harmful pores (20 nm to 50 nm), harmful pores (50 nm to 200 nm), and more harmful pores (>200 nm). Based on this classification and the mercury injection test data from the mortar specimen, the calculated pore size distribution curve is depicted in Figure 20.
Figure 20.
Pore size distribution curves of samples at different ages.
As the age increases, the number of harmful and more harmful pores in HS-4 decreased significantly. Compared to the 7-day age, at 28 days, the proportion of less harmful pores in the pore structure of HS-4 increased by 9%, while the distribution proportion of harmless pores also increased slowly by 3%. At 60 days of age, the proportion of harmful pores decreased to 7%, whereas the proportion of harmless pores increased rapidly to 12%. Overall, as time progressed, the pore structure of HS-4 became increasingly dense and optimized, indicating that the internal structure of the material was improving, porosity was being reduced, and the stability of the material had been significantly enhanced.
Comparing the intensities of the physical phase diffraction peaks of HS-4 (6% CaO + 2% CaCO3 + 2% CaSO4·2H2O) with those of the H-1 (cement + 30% volcanic rock powder) test group (Figure 21), the main manifestations were the changes in the intensities of Ca(OH)2, AFt, and C3S/C2S diffraction peaks.
Figure 21.
XRD patterns of H-1 (a,b) and HS-4 (c,d) at 7 d and 28 d.
Figure 21 shows that for HS-4 (7 days), the diffraction peaks of Ca(OH)2 near 2θ = 18° and 34° had very high intensities, and by 28 days, despite the enhancement of the peaks of Ca(OH)2, their overall intensities were still lower than that of the H-1 sample. In addition, the diffraction peaks of AFt showed an increasing trend, indicating that the addition of chemical reagents accelerated the secondary hydration process and the consumption of Ca(OH)2, which promoted the enhancement of AFt generation. The diffraction peaks of C3S/C2S were significantly reduced in HS-4 (28 days), which further verified that the chemical reagents not only accelerated the rate of Ca(OH)2 consumption, but also accelerated the conversion of C3S/C2S to C-S-H in the gel conversion process. In contrast, although Ca(OH)2 increased in the H-1 sample without chemical reagent intervention at 28 days, the increase in the AFt diffraction peak was not significant, indicating that the secondary hydration reaction was more sluggish and the transformation rate of C3S/C2S to C-S-H was slower than that in the HS-4 sample.
Figure 22 shows the morphology of the hydration products of H-1 (cement + 30% volcanic rock powder) and HS-4 (6% CaO + 2% CaCO3 + 2% CaSO4·2H2O) at 7 and 28 days.
Figure 22.
SEM patterns of H-1 (a,b) and HS-4 (c,d) at 7 d and 28 d.
Combined with the crystal composition and content changes shown in the XRD pattern, we observed the morphological characteristics of the hydration products in the SEM images, which mainly included flake, flocculent, or fibrous CSH gel, hexagonal plate or flake Ca(OH)2 crystals, and needle-shaped or columnar AFt crystals. By evaluating the production amount and structural density of hydration products, it was found that the CSH gel network of HS-4 was more complete at 28 days, the AFt crystals were thicker, the structural density was improved, and the overall structure was more complete. This change in microstructure is reflected in the improvement of the mechanical properties of the material at the macro level. Specifically, at the age of 28 days, the flexural strength of HS-4 reached 6.8 MPa, which was 23.6% higher than H-1’s 5.5 MPa, while its compressive strength was 36.0 MPa, which was higher than H-1’s 30.1 MPa, an increase of 19.6%.
To summarize the findings, the optimization of chemical excitant, Ca(OH)2, which is the hydration product of CaO and CaCO3, increased the alkalinity of the volcanic rock powder (pH = 12.5–13.5) [61] and promoted the generation of hydration products such as calcium silicate (C-S-H) and calcium hydroaluminate (C-A-H), which in turn improved the mechanical strength of the volcanic rock powder; CaSO4·2H2O acted as a coagulation conditioning agent, which further promoted the formation of C-S-H and calcium alumina formation, thus enhancing the crack resistance and durability of the material [62]. The respective mechanisms of action of CaO, CaCO3, and CaSO4·2H2O provided a reliable basis for optimizing the formulation of the excitant and enhancing the specific pathways. Although the above conclusions were consistent with related studies [63,64], the compatibility problem of a chemical excitant with different types of volcanic ash may have led to different reaction efficiencies, and in the analysis of variance and extreme deviation of orthogonal tests, the inflection point of the influence of the CaO factor on the compressive strength was not prominent, and the significance was the weakest in the whole age period, so there is still room for the optimization and upgrading of this factor.
3.3. Thermal Activation Process Test Results
3.3.1. Effect of Different Calcination Temperatures on the Activity Index
As shown in Figure 23, the activity index of the uncalcined volcanic rock powder (25 °C) remained between 53% and 58% from 3 to 90 days. At calcination temperatures from 300 °C to 700 °C, the activity index of the volcanic rock powder increased significantly, reaching a maximum value of 80.4% at 600 °C at 28 days, which is much higher than that of the uncalcined group.
Figure 23.
Relationship curve of activity index with temperature at different ages.
According to the Chinese standard JG/T315-2011 [2], the activity index at 28 days should be ≥65%. The calcined volcanic rock powder exceeded this standard within the specified temperature range. However, when the temperature was increased to between 800 °C and 1000 °C, the activity index did not continue to rise, showing little variation compared to the uncalcined group. Upon reaching a calcination temperature of 1200 °C, the activity index, at all ages, was lower than that of the uncalcined group. Specifically, the activity index at 28 days, across the temperature range from 800 °C to 1200 °C, was below 65%.
As shown in the TG-DTA curve in Figure 24, it was observed from the TG curve that the thermal weight loss process of volcanic rock powder was divided into two stages: the first stage was between 25 °C and 300 °C. Due to the evaporation of adsorbed water, the mass decreased by about 1.1%. The second stage was between 300 °C and 1200 °C, and the mass loss was about 6.5%. The mass loss at this stage was mainly due to the decomposition of carbonates, the precipitation of active oxides, and the disappearance of structural water caused by the dehydroxylation reaction of minerals [65]. It could be seen from the DTA curve that the first endothermic valley was located at 135 °C when the mineral components desorbed adsorbed water. The second endothermic valley was located at 500 °C, during which the mineral components underwent a dehydroxylation reaction and the layered structure gradually was destroyed. The dehydroxylation reaction was basically completed at 700 °C, and volcanic rock powder was most active in this temperature range. The third endothermic valley was located at 900 °C, and the overall activity of volcanic rock powder decreased.
Figure 24.
Volcanic rock powder TG-DTA curve.
3.3.2. Effect of High Temperature Calcination on Activity
As shown in Table 6, when the calcination temperature reached 1200 °C and was kept at a constant temperature for 60 min, the glassy content of the specimens after water quenching reached its highest. Following this, the glassy content decreased as the calcination temperature increased. Furthermore, the glassy content of specimens quenched in water at the same calcination temperature was significantly higher than that of specimens cooled naturally.
Table 6.
Mass fractions of vitreous, oxides, and soluble oxides at different calcination.
From the XRD test results in Figure 25, it was observed that once the calcination temperature reached 1200 °C, the crystal diffraction peaks decreased noticeably. Under the condition of maintaining a constant temperature for 60 min, regardless of the method of cooling, the diffraction curve became smooth, with no distinct crystal diffraction peaks, indicating complete vitrification.
Figure 25.
XRD patterns of the physical phase changes of each specimen under different conditions.
And this calcination temperature (1200 °C) specimens’ macro-expression of the surface of the rock began to be in a molten state, as can be seen in Figure 26.
Figure 26.
A photograph of the vitrification of volcanic rocks after calcined water quenching at 1200 °C.
Figure 26 shows a photograph of the vitrification of volcanic rocks after calcined water quenching at 1200 °C. Compared with the uncalcined samples, calcination reduced the total amount of oxides and showed a decreasing trend with increasing calcination temperature, with a maximum decrease of 3.5%. This trend was not affected by the cooling method. The total soluble oxides (SiO2 and Al2O3) decreased slightly with increasing calcination temperature, and the decrease became more pronounced after maintaining a constant temperature of 1200 °C for 60 min, but the change did not exceed 1%.
At high temperatures, SiO2, CaO, and Na2O in the volcanic samples reacted to form CaSiO3 and Na2SiO3, achieving vitrification. As the heating depth increased, the internal structure of the specimen changed dramatically; initially, the glassy content increased, but excessive melting at high temperatures led to a subsequent decline. Volcanic rocks are similar to shale and other minerals in composition, being rich in SiO2 and Al2O3. Calcination promoted the escape of hydroxyl groups, leaving lattice defects and resulting in decomposition products with high reactivity, which accelerated the reaction with Ca(OH)2 and enhanced the calcination activity. However, as the calcination temperature continued to rise, the thermal energy obtained by amorphous SiO2 and Al2O3 adjusted or eliminated the lattice defects, and the activity decreased sharply [66,67]. Some of the oxides in the specimen after water quenching were dissolved in water, thereby reducing the oxide content. By determining the Ka activity rate [51] as 5.7%, it was shown that the Ka values after high-temperature calcination were between 5.1% and 6.3%, which indicated low activity. The contents of soluble SiO2 and Al2O3 decreased with increasing the calcination temperature, mainly because a portion of SiO2 was involved in chemical transformations.
In summary, the low-temperature heat treatment from 300 °C to 700 °C effectively promoted the opening of microscopic pores of volcanic rock powders and induced partial dehydroxylation reactions of internal minerals [68,69]. The structure of amorphous or metastable mineral phases underwent rearrangement or transformation, producing new microcrystalline minerals with higher surface energy and reactivity. However, the maximum value of the 28-day activity index was only 64% for heat treatment temperatures between 800 °C and 1400 °C. In this high temperature interval, the mineral phase underwent melting and recrystallisation reactions, with the transformation of crystalline minerals to amorphous glassy phases, which was usually accompanied by a remodeling of the pore structure to produce a more stable crystalline structure, resulting in a decrease in activity. Although the heat treatment temperature had a significant effect on the structure and properties of volcanic rock powders, factors such as the initial composition of the volcanic rock powders, the particle size, and the time of heat treatment were equally important.
3.4. Test Results of Composite Activation Process
By employing the compound activation method, the activity index was achieved at 86% within 28 days. Following the optimization of the activity enhancement scheme, this method was ultimately implemented in the Jiyin Water Conservancy Project, situated at an altitude of 2500 m in the Hotan region of Xinjiang. A total of 12,000 cubic meters of concrete additions containing volcanic rock powder were utilized. Under extreme conditions, including temperature fluctuations, scouring, and cycles of freezing and thawing, the material exhibited excellent structural integrity along with favorable macro-mechanical properties and durability (Figure 27, Figure 28 and Figure 29) [70]. These results confirm the technical feasibility of using volcanic rock powder as a concrete additive.
Figure 27.
Carbonization test.
Figure 28.
Freeze–thaw test.
Figure 29.
Resistance to sulphate attack test.
4. Conclusions
This study systematically evaluated the activity changes of volcanic rock powders under physical refinement, chemical activation, and thermal activation conditions, and the following main conclusions were obtained:
- Through the “microaggregate” effect of physical refinement, the early activity (3 d) was significantly enhanced, the 28 d activity increase was only 4%, and the long-term activity (90 d) leveled off. With the increase in specific surface area, the flexural and compressive activity indices were improved by 6–12% and 4–10%, respectively, throughout the age period, and the optimal economic fineness range was 560–640 m2/kg.
- By optimizing the exciter ratios (6% CaO, 2% CaCO3, and 2% CaSO4-2H2O), the 28-day flexural and compressive activity indices of the volcanic rock powders reached 88% and 82%, respectively. CaCO3 promoted the hydration of C3S, CaSO4·2H2O reacted with C3A to form AFt, and CaO maintained the concentration of Ca(OH)2 and the alkaline environment, thus enhancing the generation of hydration products and material strength.
- In the low-temperature heat treatment from 300 °C to 700 °C, the volcanic rock powder showed an activity index gain of 10% to 20%, reaching 80.4% at 28 days. However, in the high-temperature heat treatment from 800 °C to 1400 °C, the crystallization of the composition, the reorganization of the glassy phase, and a loss of active oxides led to a decrease in the activity index of 8% to 15%.
- The composite activation method demonstrated the highest activation efficiency with an activity index of 86% within 28 days. The order of activation efficiency was as follows: composite activation, chemical activation, low-temperature heat treatment (300 °C to 700 °C), and mechanical milling. The economic and environmental considerations were combined to balance the process complexity and energy consumption issues, and the appropriate activation strategy was preferred.
Our results show a significant difference in the pattern of variation of the physical activation process compared with previous studies. This difference provides a direction for future research to explore the intrinsic mechanism of the two different activation patterns. Despite the limitations of this study in terms of content, such as the enhancement effect of physical milling, the cost of chemical activators, and the energy consumption of the heat treatment process, which were not fully considered, these preliminary methods are sufficient to demonstrate the feasibility of utilizing volcanic rock powders in Hotan, Xinjiang. The experimental results are expected to provide a theoretical basis and practical guidance for the application of volcanic rock powder.
Author Contributions
S.Y.: Data curation, Formal analysis; Y.W.: Project administration, Writing—original draft, Writing—review and editing; H.W.: Investigation, Methodology; G.Y.: Resources, Software; X.D.: Funding acquisition, Supervision; Z.X.: Validation, Visualization. All authors have read and agreed to the published version of the manuscript.
Funding
This research was funded by the Central Government Guiding Local Science and Technology Development Fund Project (ZYYD2023B04).
Institutional Review Board Statement
Not applicable. This study did not involve any human or animal subjects requiring ethical approval.
Informed Consent Statement
Not applicable. The study does not involve any human participants or personal dat.
Data Availability Statement
Data will be made available on request.
Conflicts of Interest
The authors declare that they have no known competing financial interests or personal relationships that could have appeared to influence the work reported in this paper.
References
- Zhao, M.; Wang, H.; Yang, G.; He, C. Feasibility Study on the Use of Fine-Ground Natural Volcanic Ash Rock from Xinjiang as Concrete Admixture. J. Water Resour. Water Eng. 2015, 26, 175–178. [Google Scholar]
- JG/T 315-2011; Ministry of Housing and Urban-Rural Development of the People’s Republic of China. Natural Volcanic Ash Materials for Cement Mortar and Concrete. China Standard Press: Beijing, China, 2011.
- DL/T 5273-2012; National Energy Administration. Technical Specifications for the Use of Natural Volcanic Ash Materials in Hydraulic Concrete. China Electric Power Press: Beijing, China, 2012.
- Fan, M. Research on the application of industrial waste residues in the cement industry. J. Sichuan Cement 2020, 10, 5–6. [Google Scholar]
- Wang, Y.; Yin, S.; Pan, D.; Li, Z.; Wang, N. Research on the characteristics of ultra-fine fly ash and its application in concrete. Concr. Cem. Mater. 2024, 4, 96–100. [Google Scholar]
- Kumar, M.P.; Mini, K.M.; Rangarajan, M. Ultrafine GGBS and calcium nitrate as concrete admixtures for improved mechanical properties and corrosion resistance. Constr. Build. Mater. 2018, 182, 249–257. [Google Scholar] [CrossRef]
- Buller, S.A.; Ali, M.; Ali, T.; Bheel, N. Impact of silica fume on crack analysis, durability, and embodied carbon of fiber-reinforced self-healing concrete. Theor. Appl. Fract. Mech. 2024, 130, 104333. [Google Scholar] [CrossRef]
- Burroughs, J.F.; Shannon, J.; Rushing, T.S.; Yi, K.; Gutierrez, Q.B.; Harrelson, D.W. Potential of finely ground limestone powder to benefit ultra-high performance concrete mixtures. Constr. Build. Mater. 2017, 41, 335–342. [Google Scholar] [CrossRef]
- Gowda, T.S.; Ranganath, R.V. Ultra-fine slag combined with ultra-fine silicon dioxide to produce high-early-strength high-performance concrete: The impact of fresh, mechanical, shrinkage, and durability properties based on microstructural research. Build. Mater. 2023, 385, 131462. [Google Scholar] [CrossRef]
- Jin, H.; Yuan, M. Performance of High-Strength Concrete Containing Ultrafine Fly Ash and Limestone Powder. Appl. Mech. Mater. 2013, 477–478, 926–930. [Google Scholar]
- Xiao, F.; Cui, H.; Chen, J.; Chen, H. Research on high-strength concrete with ultra-fine limestone powder. J. Silic. Bull. 2010, 29, 1303–1307. [Google Scholar]
- Wang, C.; Chen, L.; Li, F.; Liu, Z.; Qian, W. Preparation and Application of Ultrafine Mineral Admixtures of Fly Ash and Slag. Coal Technol. 2017, 36, 267–269. [Google Scholar]
- Pacewska, B.; Wilińska, I.; Blonkowski, G. Investigations of cement early hydration in the presence of chemically activated fly ash: Use of calorimetry and infrared absorption methods. J. Therm. Anal. Calorim. 2008, 93, 769–776. [Google Scholar] [CrossRef]
- Gupta, S.; Riyad, M.F. Novel low alkali activated fly ash cement (LAFAC). Abstr. Pap. Am. Chem. Soc. 2013, 246. [Google Scholar]
- Ganesh, B.; Bhat, K.; Rajasekaran, C. Corrosion and Bond Strength Behaviour of Fly Ash-Based Lateritic Self-Compacting Concrete. Mater. Circ. Econ. 2024, 6, 48. [Google Scholar]
- Ye, D. Effect of Different Activators on the Pozzolanic Activity of Fly Ash. Fly Ash 2009, 2, 10–12. [Google Scholar]
- Pu, S.; Xu, B.; Cai, G.; Duan, W.; Liu, Y.; Lang, L.; Shen, Z.; Yao, H. Strongly acidic lead contaminated soil solidification/stabilization using metakaolin-modified fly ash phosphoric-based geopolymer. Chem. Eng. J. 2024, 496, 154336. [Google Scholar] [CrossRef]
- Rakić, J.M.; Petrović, R.D.; Radojević, V.J.; Baščarević, Z.D. Effects of selected inorganic chemical activators on properties and hydration mechanism of high volume fly ash (HVFA) binders. Constr. Build. Mater. 2023, 391, 131833. [Google Scholar] [CrossRef]
- Qiu, C.; Liu, X.; Liu, Y.; Zhao, J. Study on the effect of chemical excitation on powder-based cementitious materials of waste clay bricks. New Build. Mater. 2024, 51, 86–91. [Google Scholar]
- Chen, J.; Qiao, M.; Wu, Q.; Li, Z.; Zhao, S. Effect of different chemical exciters on the activity of regenerated micro-powder and the mechanism. Silic. Bull. 2023, 42, 1409–1417. [Google Scholar]
- Wang, Z.; Park, S.; Khalid, H.R.; Kim, S.; Lee, H.K. Carbonation behavior of aged alkali-activated fly ash/slag binder modified by MgO with different reactivities. Mater. Struct. 2024, 57, 119. [Google Scholar] [CrossRef]
- Zunino, F.; Boehm-Courjault, E.; Scrivener, K. The impact of calcite impurities in clays containing kaolinite on their reactivity in cement after calcination. Mater. Struct. 2020, 53, 44, Erratum in: Mater. Struct. 2021, 54, 79. [Google Scholar] [CrossRef]
- Narasimhulu, K.; Gettu, R.; Babu, G.K. Beneficiation of Natural Zeolite through Flash Calcination for Its Use as a Mineral Admixture in Concrete. J. Mater. Civ. Eng. 2014, 26, 24–33. [Google Scholar] [CrossRef]
- Boakye, K.; Khorami, M.; Saidani, M.; Ganjian, E.; Dunster, A.; Tyrer, M.; Ehsani, A. Influence of Calcining Temperature on the Mineralogical and Mechanical Performance of Calcined Impure Kaolinitic Clays in Portland Cement Mortars. J. Mater. Civ. Eng. 2024, 36, 04024040. [Google Scholar] [CrossRef]
- Zhao, Y.; Zhang, Z.; Ji, Y.; Song, L.; Ma, M. Experimental research on improving activity of calcinated coal gangue via increasing calcium content. J. Mater. 2023, 16, 2705. [Google Scholar] [CrossRef] [PubMed]
- Wang, X.; Wang, S.; Eeng, J.; Zhou, C. Influence of ground fly ash on rheological and hardening properties of cementitious composite cementitious materials. J. Silic. Bull. 2015, 34, 1554–1558. [Google Scholar]
- Yuan, Q.; Yang, Z.; Shi, C.; Tan, Y.; Fan, X. Fundamental Application of Natural Volcanic Ash in Cement-Based Materials. Bull. Silic. 2020, 39, 2379–2392. [Google Scholar]
- Thomas, M.D.A. Supplementary Cementing Materials in Concrete; CRC Press: Boca Raton, FL, USA, 2013. [Google Scholar]
- Juenger, M.C.G.; Winnefeld, F.; Provis, J.L.; Ideker, J.H. Advances in Alternative Cementitious Binders. Cem. Concr. Res. 2011, 41, 1232–1243. [Google Scholar] [CrossRef]
- Pinheiro, V.D.; Alexandre, J.; Xavier, G.D.C.; Marvila, M.T.; Monteiro, S.N.; de Azevedo, A.R.G. Methods for Evaluating Pozzolanic Reactivity in Calcined Clays: A Review. Materials 2023, 16, 4778. [Google Scholar] [CrossRef]
- Georgopoulos, G.; Aspiotis, K.; Badogiannis, E.; Tsivilis, S.; Perraki, M. Influence of mineralogy and calcination temperature on the behavior of palygorskite clay as a pozzolanic supplementary cementitious material. Appl. Clay Sci. 2023, 232, 106797. [Google Scholar] [CrossRef]
- Pham, V.T.; Meng, P.; Bui, P.T.; Ogawa, Y.; Kawai, K. Effects of Shirasu natural pozzolan and limestone powder on the strength and aggressive chemical resistance of concrete. Constr. Build. Mater. 2020, 239, 117679. [Google Scholar] [CrossRef]
- Hossain, M.M.; Karim, M.R.; Hasan, M.; Hossain, M.K.; Zain, M.F.M. Durability of mortar and concrete made up of pozzolans as a partial replacement of cement: A review. Constr. Build. Mater. 2016, 116, 128–140. [Google Scholar] [CrossRef]
- Omrane, M.; Rabehi, M. Effect of natural pozzolan and recycled concrete aggregates on thermal and physico-mechanical characteristics of self-compacting concrete. Constr. Build. Mater. 2020, 247, 118576. [Google Scholar] [CrossRef]
- Ahmad, S.; Mohaisen, K.O.; Adekunle, S.K.; Al-Dulaijan, S.U.; Maslehuddin, M. Influence of admixing natural pozzolan as partial replacement of cement and microsilica in UHPC mixtures. Constr. Build. Mater. 2019, 198, 437–444. [Google Scholar] [CrossRef]
- Pierre, J.H. A Study on the Application of Volcanic Ash Materials in the Improvement of Road Engineering Embankments. Ph.D. Thesis, Shaoxing College of Arts and Science, Shaoxing, China, 2023. [Google Scholar]
- Ding, R.; Cui, C.; He, S.; Zhao, X. Current Status of the Influence of Volcanic Ash Admixtures on the Properties of Cement-Based Materials. North Archit. 2022, 7, 48–52. [Google Scholar]
- Zou, S.; Yu, L.; Deng, W. Research on the Activity of Volcanic Rock and Volcanic Ash and Their Reaction Kinetics. Bull. Silic. Soc. 2014, 33, 3080–3084. [Google Scholar]
- Teng, Z. The volcanic rocks of Pulu, Xinjiang, and their stratigraphic position. Acta Petrol. Sin. 1987, 4, 94–95. [Google Scholar]
- GB/T175-2023; National Standards of the People’s Republic of China. Common Portland Cement. China Standards Press: Beijing, China, 2023.
- GB/T 8074-2008; National Standards of the People’s Republic of China. Test Method for Specific Surface Area of Cement—Blaine Method. China Standards Press: Beijing, China, 2008.
- GB/T 19077-2016/ISO 13320:2009; National Standards of the People’s Republic of China. Particle Size Distribution by Laser Diffraction. China Standards Press: Beijing, China, 2016.
- GB/T 17671-2021; National Standard of the People’s Republic of China. Test Method for Strength of Cement Mortar (ISO Method). China Standard Press: Beijing, China, 2021.
- Baki, V.A.; Ke, X.; Heath, A.; Calabria-Holley, J.; Terzi, C.; Sirin, M. The impact of mechanochemical activation on the physicochemical properties and pozzolanic reactivity of kaolinite, muscovite and montmorillonite. Cem. Concr. Res. 2022, 162, 106962. [Google Scholar] [CrossRef]
- Adewumi, A.A.; Ariffin, M.A.M.; Yusuf, M.O.; Maslehuddin, M.; Ismail, M. Effect of sodium hydroxide concentration on strength and microstructure of alkali-activated natural pozzolan and limestone powder mortar. Constr. Build. Mater. 2020, 271, 121530. [Google Scholar] [CrossRef]
- Djobo, J.N.Y.; Tome, S. Insights into alkali and acid-activated volcanic ash-based materials: A review. Cem. Concr. Compos. 2024, 152, 105660. [Google Scholar] [CrossRef]
- Lu, P.; Lu, S. Effect of CaCO3 on the hydration of C3S. J. Silic. 1987, 4, 289–294. [Google Scholar]
- GB/T 13464-2008; National Standard of the People’s Republic of China. Thermal Analysis Test Methods for Thermal Stability of Materials. China Standard Press: Beijing, China, 2008.
- GB/T 18046-2008; National Standard of the People’s Republic of China. Ground Granulated Blast Furnace Slag for Use in Cement and Concrete. China Standard Press: Beijing, China, 2008.
- GB/T 176-2008; National Standard of the People’s Republic of China. Methods for Chemical Analysis of Cement. China Standard Press: Beijing, China, 2008.
- Lian, H.; Zhang, Z.; Wang, Y. Rapid evaluation method for the activity of pozzolanic materials. J. Build. Mater. 2001, 3, 299–304. [Google Scholar]
- Cao, R. Research on High Temperature Properties and Bursting Problems of Carbon/PVA Fiber High-Strength Concrete. Ph.D. Thesis, Taiyuan University of Technology, Taiyuan, China, 2020. [Google Scholar]
- Yang, Y. Research on the Effect of Maintenance Process on the Performance of Activated Powder Concrete (RPC) Mixed with Recycled Micronised Powder. Ph.D. Thesis, Shanghai Tongji University, Shanghai, China, 2019. [Google Scholar]
- Chen, Y.; Zhong, H.; Yin, W.; Yao, G. Analysis of the effect of calcium-silicon ratio on the structure, Zeta potential and water reducer adsorption properties of hydrated calcium silicate. Silic. Bull. 2020, 39, 1798–1804. [Google Scholar]
- Joseph, A.; Al-Bahar, S.; Chakkamalayath, J.; Al-Arbeed, A.; Rasheed, Z.A. Monitoring of Early and Late Age Hydration Products of Volcanic Ash Blended Cement Paste. Proceedings 2019, 34, 9. [Google Scholar] [CrossRef]
- Li, Z.; Wang, L.; Liu, M. Effects of Different Milling Times on the Activity of Volcanic Ash Powder. Concr. Sci. 2020, 15, 170–175. [Google Scholar]
- Chao, C. Research on the Activity of Volcanic Ash Admixtures for Concrete. Ph.D. Thesis, Jilin University of Architecture, Changchun, China, 2023. [Google Scholar]
- Tole, I.; Delogu, F.; Qoku, E.; Habermehl-Cwirzen, K.; Cwirzen, A. Enhancement in the pozzolanic activity of natural clays by mechanochemical activation. Constr. Build. Mater. 2022, 352, 128739. [Google Scholar] [CrossRef]
- Al-Swaidani, A.M.; Aliyan, S.D.; Adarnaly, N. Mechanical strength development of mortars containing volcanic scoria-based binders with different fineness. Eng. Sci. Technol. Int. J. 2016, 19, 970–979. [Google Scholar] [CrossRef]
- Wu, Z.; Zhang, H. Expansive Concrete; China Railway Press: Beijing, China, 1990. [Google Scholar]
- Kumar Mehta, P.; Monteiro, P.J.M. Concrete: Microstructure, Properties, and Materials; Ouyang, D., Translator; China Construction Press: Beijing, China, 2016. [Google Scholar]
- Chen, W.; Xiong, Z.; Liu, Z. The effects of lime and calcite on microstructure and strength development in volcanic ash cement pastes. Constr. Build. Mater. 2019, 231, 117137. [Google Scholar]
- Wang, Q.; Zhang, P.; Ma, Y. The role of gypsum in enhancing volcanic ash cementitious materials. Materials 2022, 15, 835. [Google Scholar]
- Bui, P.T.; Ogawa, Y.; Nakarai, K.; Kawai, K. Effect of internal alkali activation on pozzolanic reaction of low-calcium fly ash cement paste. Mater. Struct. 2016, 49, 3039–3053. [Google Scholar] [CrossRef]
- Hu, Y.; Du, Y.; Yang, S.; Deng, Y.; Chen, Y. Effects of calcined tuff on cement hydration products and hardened pore structure. J. Build. Mater. 2024, 27, 67–75. [Google Scholar]
- Kaminskas, R. Influence of low-pozzolanic activity calcined mica clay on hydration and hardening of Portland cement. Adv. Cem. Res. 2018, 30, 231–239. [Google Scholar] [CrossRef]
- Irassar, E.F.; Tironi, A.; Bonavetti, V.L.; Trezza, M.A.; Castellano, C.C.; Rahhal, V.F.; Donza, H.A.; Scian, A.N. Thermal Treatment and Pozzolanic Activity of Calcined Clay and Shale. ACI Mater. J. 2019, 116, 133–143. [Google Scholar] [CrossRef]
- Bratoev, B. Pozzolanic activity assessment of calcined clays with complex minerals content. Adv. Cem. Res. 2018, 30, 103–112. [Google Scholar] [CrossRef]
- Chen, S.; Razaqpur, A.G.; Wang, T. Effects of a red mud mineralogical composition versus calcination on its pozzolanicity. Constr. Build. Mater. 2023, 404, 133238. [Google Scholar] [CrossRef]
- Wang, S.; Wang, H.; Yang, G.; Cheng, N.; Zhao, M. Research on the Durability of Natural Volcanic Rock Powder Concrete in Hotan Area, Xinjiang. Concr. World 2021, 9, 60–65. [Google Scholar]
Disclaimer/Publisher’s Note: The statements, opinions and data contained in all publications are solely those of the individual author(s) and contributor(s) and not of MDPI and/or the editor(s). MDPI and/or the editor(s) disclaim responsibility for any injury to people or property resulting from any ideas, methods, instructions or products referred to in the content. |
© 2024 by the authors. Licensee MDPI, Basel, Switzerland. This article is an open access article distributed under the terms and conditions of the Creative Commons Attribution (CC BY) license (https://creativecommons.org/licenses/by/4.0/).




























