Assessment of Fatigue Crack Growth Characteristics of Laminated Biaxial/Triaxial Hybrid Composite in Wind Turbine Blades
Abstract
1. Introduction
2. Experimental and Numerical Failure Analysis of Adhesive Joints
2.1. Theoretical Background
2.2. Experimental Test Procedure
2.3. FE Analysis—Numerical Test and Blade Modeling Method
2.4. Numerical Composite Blade Modeling Method
3. Results and Discussion
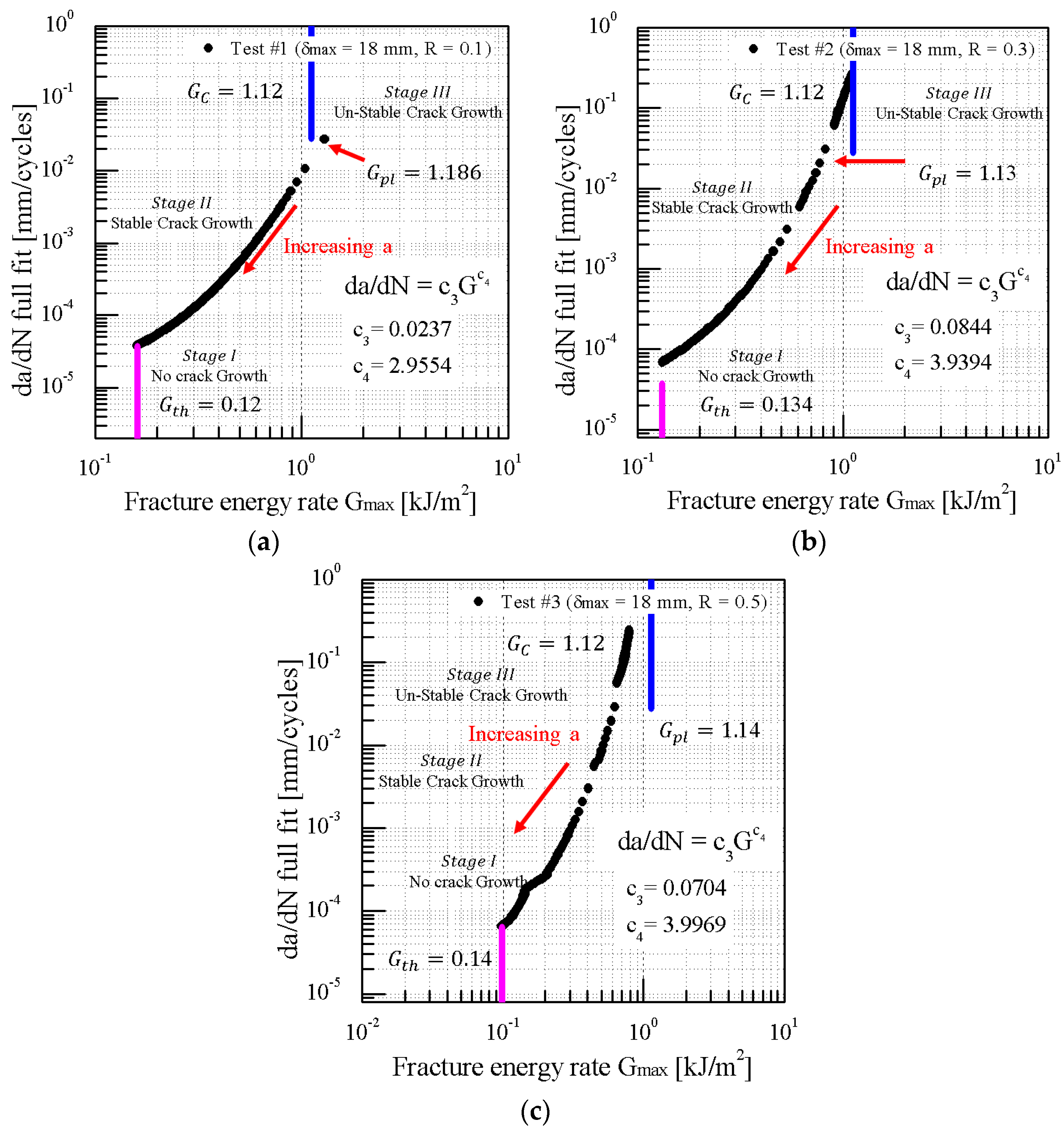
3.1. Fatigue Crack Growth for Mode I Test
3.2. Discussion of FE Analysis
3.2.1. Mode I Test
3.2.2. Wind Turbine Blade FE Model
4. Conclusions
Author Contributions
Funding
Data Availability Statement
Conflicts of Interest
References
- Kretsis, G. A review of the tensile, compressive, flexural and shear properties of hybrid fibre-reinforced plastic. Composites 1989, 18, 13–23. [Google Scholar] [CrossRef]
 - Swolfs, Y.; Gorbatikh, L.; Verpoest, I. Fibre hybridisation in polymer composites: A review. Compos. Part A 2014, 67, 181–200. [Google Scholar] [CrossRef]
 - Getahun, T.; Sarp, A.; Glen, B. Flexural failure properties of fiber-reinforced hybrid laminated beam subject to three-point bending. Sci. Rep. 2024, 14, 9792. [Google Scholar]
 - Eder, M.A.; Bitsche, R.D. Fracture analysis of adhesive joints in wind turbine blades. Wind Energy 2015, 18, 1007–1022. [Google Scholar] [CrossRef]
 - Othman, A.K.; Homayoun, H.; Christian, L.; Gavin, G.; Peter, G.; Kirsten, D. Full-Scale Fatigue Testing of a Wind Turbine Blade in Flapwise Direction and Examining the Effect of Crack Propagation on the Blade Performance. Materials 2017, 10, 1152. [Google Scholar] [CrossRef] [PubMed]
 - Martin, R.W.; Sabato, A.; Schoenberg, A.; Giles, R.H.; Niezrecki, C. Comparison of nondestructive testing techniques for the inspection of wind turbine blades spar caps. Wind Energy 2018, 21, 980–996. [Google Scholar] [CrossRef]
 - Hansan, G.; Demirkan, C. Delamination-Debond Behaviour of Composite T-Joints in Wind turbine Blades. J. Phys. Conf. Ser. 2014, 524, 012043. [Google Scholar]
 - Ji, Y.M.; Han, K.S. Fracture mechanics approach for failure of adhesive joints in wind turbine blades. Renew. Energy 2014, 65, 23–28. [Google Scholar] [CrossRef]
 - Philipp, U.H.; Kim, B. Effect of Trailing Edge Damage on Full-Scale Wind Turbine Blade Failure. In Proceedings of the 20th International Conference on Composite Materials, Copenhagen, Denmark, 19–24 July 2015. [Google Scholar]
 - Rafiee, R.; Hashemi-Taheri, M.R. Failure analysis of a composite wind turbine blade at the adhesive joint of the trailing edge. Eng. Fail. Anal. 2021, 121, 105148. [Google Scholar] [CrossRef]
 - Lahuerta, F.; Ruiter, M.J.; Espinosa, L.; Koorn, N.; Smissaert, D. Assessment of Wind Turbine Blade Trailing Edge Failure with Sub-Component Tests. In Proceedings of the 21st International Conference on Composite Materials, Xi’an, China, 20–25 August 2017. [Google Scholar]
 - Haselbach, P.U. An advanced structural trailing edge modelling method for wind turbine blades. Compos. Struct. 2017, 180, 521–530. [Google Scholar] [CrossRef]
 - ASTM D5528; Standard Test Method for Mode I Interlaminar Fracture Toughness of Unidirectional Fiber-Reinforced Polymer Matrix Composites. ASTM International: West Conshohocken, PA, USA, 2007.
 - ASTM D7905/D7905M; Standard Test Method for Determination of the Mode II Interlaminar Fracture Toughness of Unidirectional Fiber Reinforced Polymer Matrix Composites. ASTM International: West Conshohocken, PA, USA, 2014.
 - ASTM D6671/D6671M; Standard Test Method for Mixed Mode I-Mode II Interlaminar Fracture Toughness of Unidirectional Fiber Reinforced Polymer Matrix Composites. ASTM International: West Conshohocken, PA, USA, 2006.
 - Kim, H.G.; Jang, Y.J.; Kang, K.W. Evaluation of Interlayer Fracture Toughness of Laminated Biaxial/Triaxial Hybrid Composite for Wind Turbine Blade. J. Wind Energy 2021, 12, 68–79. [Google Scholar]
 - Shokrieh, M.M.; Rafiee, R. Simulation of fatigue failure in a full composite wind turbine blade. Compos. Struct. 2006, 74, 332–342. [Google Scholar] [CrossRef]
 - Raman, V.; Drissi-Habti, M.; Guillaumat, L.; Khadhour, A. Numerical simulation analysis as a tool to identify areas of weakness in a turbine wind-blade and solutions for their reinforcement. Compos. Part B Eng. 2016, 103, 23–29. [Google Scholar] [CrossRef]
 - Jang, Y.J.; Jin, J.W.; Lee, J.H.; Lee, S.I.; Kang, K.W. Long-term durability of offshore wind turbine composite blades based on nonlinear load behavior due to pitch movement. J. Mech. Sci. Technol. 2020, 34, 2347–2355. [Google Scholar] [CrossRef]
 - Cui, W.C.; Wisnom, M.R.; Jones, M.A. Comparison of Failure Criteria to Predict Delamination of Unidirectional Glass/Epoxy Specimens Waisted Through the Thickness. Composites 1992, 23, 158–166. [Google Scholar] [CrossRef]
 - Benzeggagh, M.L.; Kenane, M. Measurement of Mixed-Mode Delamination Fracture Toughness of Unidirectional Glass/Epoxy Composites with Mixed-Mode Bending Apparatus. Compos. Sci. Technol. 1996, 56, 439–449. [Google Scholar] [CrossRef]
 - Rybicki, E.F.; Kanninen, M.F. A Finite element calculation of stress intensity factors by a modified crack closure integral. Eng. Fract. Mech. 1977, 9, 931–938. [Google Scholar] [CrossRef]
 - Deobald, L.; Mabson, G.; Engelstad, S.; Rao, M.; Gurvich, M.; Seneviratne, W.; Perera, S.; O’Brien, T.; Murri, G.; Ratcliffe, J.; et al. Guidelines for VCCT-Based Interlaminar Fatigue and Progressive Failure Finite Element Analysis; NASA/TM-2017-219663; 2017. Available online: https://ntrs.nasa.gov/citations/20170011484 (accessed on 10 August 2024).
 - Paris, P.; Gomaz, M.; Anderson, W. A Rational Analytic Theory of Fatigue. Trend Eng. 1961, 13, 9–14. [Google Scholar]
 - Francisco, L.; Rogier, N. “Testing Methods for Thick Laminates and Fracture models Calibrations”, Wind Turbine Materials and Constructions (WMC) Knowledge Centre. Available online: https://www.bondvoormaterialenkennis.nl/wp-content/uploads/2021/05/Testing-Methods-for-Thick-Laminates-and-Fracture-Models-Calibrations_R.-Lahuerta.pdf (accessed on 10 August 2024).
 - ASTM E647; Standard Test Method for Measurement of Fatigue Crack Growth Rates. ASTM International: West Conshohocken, PA, USA, 2015.
 - SOBRIETY Corp. MercuryRT Real-Time Tracking System. Available online: http://www.dynrot.eu/t_testing_en.htm (accessed on 10 August 2024).
 - ABAQUS 2021 User’s Manual; Dassault System’s Simulia Corp.: Providence, RI, USA, 2021.
 - Boscolo, M.; Zhang, X. A modelling technique for calculating stress intensity factors for structures reinforced by bonded straps. Part II: Validation. Eng. Fract. Mech. 2010, 6, 896–907. [Google Scholar] [CrossRef][Green Version]
 - Sekiguchi, Y.; Sato, C. Effect of Bond-Line Thickness on Fatigue Crack Growth of Structural Acrylic Adhesive Joints. Materials 2021, 14, 1723. [Google Scholar] [CrossRef]
 - Mallikarachchi, H.M.Y.C.; Ubamanyu, K. Predicting Residual Fatigue Life with Finite Element Analysis. Conf. Pap. 2016. Available online: https://www.researchgate.net/publication/309727305_Predicting_Residual_Fatigue_Life_with_Finite_Element_Analysis (accessed on 10 August 2024).
 


















| FM73 | ||
|---|---|---|
| Stiffness [MPa] | KI | 4500 | 
| KII | 4270 | |
| KIII | 4270 | |
| Strength [MPa] | SI | 6492 | 
| SII | 113 | |
| SII | 113 | |
| 3axis GFRP | 2axis GFRP | |
| E11 [MPa] | 26,700 | 10,900 | 
| E22 [MPa] | 13,300 | 10,900 | 
| G13 [MPa] | 74,600 | 11,600 | 
| ν | 0.513 | 0.646 | 
| ρ [kg/m3] | 2267 | 2243 | 
| Rated power (MW) | 5 | Blade set angle (°) | 0 | 
| Class | IIA | Rotor shaft tilt angle (°) | 5 | 
| No. of blades | 3 | Maximum chord length (m) | 4.1 | 
| Blade length (m) | 61.5 | Rotor overhang (m) | 5 | 
| Hub height (m) | 90.55 | Rotor position | Upwind | 
| Tower height (m) | 88.15 | Transmission | Gearbox | 
| Cut-in wind speed (m/s) | 3 | Power control | Pitch | 
| Rated wind speed (m/s) | 11.4 | Fixed/Variable | Variable | 
| Cut-out wind speed (m/s) | 25 | Gear Ratio | 97 | 
| Rated rotational speed (rpm) | 12.1 | Substructure type | Jacket | 
| Test | R )  | |||
| 1 | 0.1 | 1.12 | 1.18 | 0.12 | 
| 2 | 0.3 | 1.12 | 1.13 | 0.13 | 
| 3 | 0.5 | 1.12 | 1.14 | 0.14 | 
| Test | R | ||||||
| 1 | 0.1 | 2869.4 | −3.085 | 0.0237 | 2.9554 | 0.107 | 1.058 | 
| 2 | 0.3 | 712.4 | −4.065 | 0.0844 | 3.9394 | 0.119 | 1.008 | 
| 3 | 0.5 | 783.76 | −4.146 | 0.0704 | 3.9969 | 0.125 | 1.017 | 
Disclaimer/Publisher’s Note: The statements, opinions and data contained in all publications are solely those of the individual author(s) and contributor(s) and not of MDPI and/or the editor(s). MDPI and/or the editor(s) disclaim responsibility for any injury to people or property resulting from any ideas, methods, instructions or products referred to in the content.  | 
© 2024 by the authors. Licensee MDPI, Basel, Switzerland. This article is an open access article distributed under the terms and conditions of the Creative Commons Attribution (CC BY) license (https://creativecommons.org/licenses/by/4.0/).
Share and Cite
Kim, H.-G.; Kang, K.-W. Assessment of Fatigue Crack Growth Characteristics of Laminated Biaxial/Triaxial Hybrid Composite in Wind Turbine Blades. Appl. Sci. 2024, 14, 7929. https://doi.org/10.3390/app14177929
Kim H-G, Kang K-W. Assessment of Fatigue Crack Growth Characteristics of Laminated Biaxial/Triaxial Hybrid Composite in Wind Turbine Blades. Applied Sciences. 2024; 14(17):7929. https://doi.org/10.3390/app14177929
Chicago/Turabian StyleKim, Hak-Geun, and Ki-Weon Kang. 2024. "Assessment of Fatigue Crack Growth Characteristics of Laminated Biaxial/Triaxial Hybrid Composite in Wind Turbine Blades" Applied Sciences 14, no. 17: 7929. https://doi.org/10.3390/app14177929
APA StyleKim, H.-G., & Kang, K.-W. (2024). Assessment of Fatigue Crack Growth Characteristics of Laminated Biaxial/Triaxial Hybrid Composite in Wind Turbine Blades. Applied Sciences, 14(17), 7929. https://doi.org/10.3390/app14177929
        
