Next Article in Journal
A Study of the Influence of Synthesis Parameters on the Preparation of High Performance SSZ-13 Membranes
Next Article in Special Issue
Development of a Capsule-Type Inspection Robot Customized for Ondol Pipelines
Previous Article in Journal
A Study on the Mechanical Resonance Frequency of a Piezo Element: Analysis of Resonance Characteristics and Frequency Estimation Using a Long Short-Term Memory Model
Previous Article in Special Issue
A Network Analysis-Based Approach for As-Built BIM Generation and Inspection
 
 
Font Type:
Arial Georgia Verdana
Font Size:
Aa Aa Aa
Line Spacing:
Column Width:
Background:
Article

Buckling Capacity of Steel Spherical Shells According to B&M Procedure Compared to Selected Experimental Studies

by
Paweł Błażejewski
Institute of Civil Engineering, University of Zielona Góra, Licealna 9, 65-417 Zielona Góra, Poland
Appl. Sci. 2024, 14(17), 7835; https://doi.org/10.3390/app14177835
Submission received: 16 July 2024 / Revised: 23 August 2024 / Accepted: 28 August 2024 / Published: 4 September 2024

Abstract

This article compares the results of estimating the buckling capacity of steel spherical shells using simple engineering formulas with the results of selected experimental studies that have been conducted over the past 70 years. It is worth noting that these studies were conducted by research centers from all over the world, and the tested coatings differed in material, manufacturing method, radius R, and thickness t. The test methods, procedures, and measurement tools were also different. The convergence of the results obtained between the proposed simple engineering approach, which is based on the provisions of EN-1993-1-6 and the recommendations in EDR5th, and the experimental studies is satisfactory, and in many cases the results obtained are almost identical. Therefore, it is possible to practically apply the developed algorithms for estimating the buckling capacity of steel spherical shells without worrying too much about the capacity reserve.

1. Introduction

The procedure for estimating the buckling capacity of spherical shells, developed in the past and described in detail in [1,2,3], is based on the assumptions contained in standard EN-1993-1-6 [4] while maintaining an engineering approach. It also complements the recommendation of EDR5th [5] by unifying the provisions contained therein. The procedure is distinguished by its low complexity and ease of application. Using simple mathematical formulas, it is possible to estimate the buckling capacity of spherical shells composed of different materials with different geometries: thickness t, radius R, and a semi-angle of opening contained within 10° ≤ φ ≤ 90°. During the development of the new procedure, the main assumptions accompanying the dimensioning of the spherical shells contained in the standard [4] and recommendations [5] were not changed. The result was an engineering approach to a very complex issue.
The algorithm for proceeding with the estimation of the buckling capacity of the spherical shells fixed along the support edge with a semi-angle of opening contained within 10° ≤ φ ≤ 90° is as follows:
The B&M algorithm for calculating the buckling resistance of spherical shells:
  • Taking material and geometrical data: E, fyk, R, and t.
  • Calculation of critical and plastic resistance. Determination of slenderness λ
    p Rcr ( LBA ) = 1.303 E t R 2 p Rpl ( MNA ) = 1.986 f y k t R then   λ = p Rpl ( MNA ) p Rcr ( LBA )
  • Selection of shell execution class. Determination of imperfection amplitude
    Class A         Q   =   40 Class B         Q   =   25 Class C         Q   =   16 then   Δ w k = 1 Q R t
  • Determination of buckling parameters α and β. Determination of slenderness λp
    α ( Δ w k / t ) = 0.65 1 + 1.8 ( Δ w k / t ) 0.8 β ( Δ w k / t ) = 0.87 Δ w k t 0.026 then   λ p = α 1 β
  • Determination of working range of spherical shell. Reduction factor χ
    χ ( λ ) = 1 ,                      dla λ < λ 0 χ ( λ ) = a λ 2 + b λ + c ,       dla λ 0 λ λ p χ ( λ ) = α / λ 2 ,                 dla λ > λ p where λ 0 = 0.2
  • Determination of polynomial expressions for elastic-plastic range
    a = α ( 0.4 3 λ p ) + λ p 3 λ p 3 ( 0.04 0.4 λ p + λ p 2 ) , b = 2 λ p 4 + α ( 4 λ p 2 0.08 ) λ p 3 ( 0.04 0.4 λ p + λ p 2 ) , c = α ( 0.12 0.8 λ p ) + λ p 4 λ p 2 ( 0.04 0.4 λ p + λ p 2 ) .
  • Determination of characteristic buckling capacity of spherical shell
    p R k = χ p R p l .
It is worth remembering that, in the development of the above calculation formula, as many as seven different forms of imperfections were taken into account, counting from the first two forms of buckling, through linear imperfections from welding, and ending with local dimple. This is described in detail in [3]. In total, more than 8000 numerical analyses have been performed. It is also not insignificant that each of the numerically tested spherical shells with imperfections was analyzed for different manufacturing quality classes (A, B, and C), and thus different amplitudes of imperfections were taken into account, according to [4,5]. It is worth mentioning at this point that the spherical shells were not classified according to their geometric imperfections during the conducted laboratory tests [6,7,8,9,10,11,12]. Such a classification was included in the studies conducted by Kolodziej and Marcinowski and described in detail in [13,14]. In the absence of such a classification, it may turn out that the tested shell has an imperfection far exceeding the permissible values and will lose its stability much faster during testing than the analytical calculations will indicate.

2. Experimental Studies of Spherical Shells

The latest methods of testing spherical shells mostly rely on laser scanning to obtain the exact geometry of the component. Advanced numerical analyses that take into account the scanned geometry of the shell are then carried out [6,7,8], and the results obtained are compared with the experimental results. The convergence of the results obtained is very satisfactory; however, these are research works and not design formulas. The analytical formulas are intended to provide engineers the ability to estimate the load carrying capacity of a spherical shell in an easy way, with the greatest possible convergence of the results between the analytical calculations and the actual behavior of the spherical shell.
The obtained results of the analytical calculations according to the above procedure are characterized by high accuracy in reproducing the behavior of real spherical shells regardless of their geometry and the material used in their manufacture. This is confirmed by comparing the results obtained from the analytical calculations with the results of selected experimental tests. This comparison is all the more valuable because these studies have been conducted over the past 70 years, at different research centers, using different materials, different spherical shell fabrication techniques, and different measurement methods.

2.1. Experimental Studies of Magnesium Alloy Spherical Shells Performed by Abner Kaplan and Yuan-Cheng Fung

In August 1954, a paper entitled “National Advisory Committee for Aeronautics, Technical Note 3212” [9] was published in the journal. “A nonlinear theory of bending and buckling of thin elastic shallow spherical shells”, whose authors were Abner Kaplan and Yuan-Cheng Fung. This work contained both theoretical considerations and the results of the experimental studies conducted. These tests were conducted on a series of shallow spherical shells with a base radius of 4 inches, nominal shell radii of curvature of 20 and 30 inches, and shell thicknesses ranging from 0.029 to 0.102 inches. The shells were rigidly fixed in the base and composed of a material designated QQ-M-44, which is a magnesium alloy. The material parameters were elastic modulus E = 6.5∙106 psi and Poisson’s ratio v = 0.32. The shell fabrication process was based on the “spinning” method, which involves rapidly rotating a flat sheet of metal while forming the curvature of the shell. Two types of pressure gauges were used in the study: a mercury gauge to measure pressures below 20 psi and a Bourdon tube gauge to measure when pressures exceeded 20 psi. The view of the test fixture is shown below in Figure 1.
The experimental results, in their original form and expressed in Anglo Saxon units, were converted to SI units. In addition, when comparing these results with the proposed procedure for estimating buckling capacity, material parameters corresponding to those used in the experimental studies were used to ensure that the comparisons were correct and relevant. Figure 2 shows buckling capacity curves for different classes of manufacturing quality using material parameters corresponding to the QQ-M-44 alloy used in the experimental tests. The parameter values are E = 44,815.92 MPa, fyk = 206.15 MPa, and v = 0.32. The results of the experimental tests are shown as points on a graph, where each point corresponds to one test trial.
The comparison of the results clearly shows that the experimental results are consistent with those obtained using the proposed B&M procedure for estimating buckling capacity. In most cases, the experimental results were slightly higher than the buckling capacity curve for the manufacturing quality parameter Q = 40. Only in two cases did the experimental results fall between the curves for the parameter Q = 25 and Q = 40. This suggests that the proposed procedure accurately approximates the buckling capacity, taking into account the material used in the experimental tests. All three curves describe the experimental results conservatively, which is advantageous in the design process of spherical shells.

2.2. Experimental Studies of PVC Spherical Shells Performed by Lynn Seaman

In May 1962, Lynn Seaman published a paper entitled “The nature of buckling in thin spherical shells” [10], which was part of his doctoral dissertation. The paper included both theoretical considerations on the buckling capacity of spherical shells and the results of extensive experimental studies.
The experimental study used 40 samples of spherical shells composed of polyvinyl chloride (PVC) with different parameters. These shells had different base radii: 15, 25, 35, 45, and 80 inches. The thickness of each shell was determined as the arithmetic average of measurements at the top of the shell and at points at the center of the four selected meridians. The nominal radius of curvature of each shell was calculated from the shell’s height, which is the distance of the top from the base of the shell.
In the experiments conducted, two different types of testing were used. The first type consisted of a constant control of the displacement of the shell, while the second consisted of a constant control of the hydrostatic pressure applied to the top surface of the shell. The experimental results were converted to SI units. A schematic of the test stand is shown in Figure 3 below.
Figure 4 shows buckling capacity curves for different classes of manufacturing quality using material parameters corresponding to the PVC used. The experimental results are shown as points on the graph (40 points in total).
A comparison of the experimental results with the proposed B&M calculation procedure shows that the buckling phenomenon of real spherical shells was well described by the calculation formulas. The experimental results were higher than all three buckling capacity curves for the fabrication quality parameter Q = 16, 25 and 40 except for two specimens, which provided results slightly below the buckling capacity curve corresponding to the worst fabrication quality class, with Q = 16. See Figure 4 below.

2.3. Experimental Studies of Aluminum Spherical Shells Performed by Martin A. Krenzke and Thomas J. Kiernan

In August 1963, Martin A. Krenzke and Thomas J. Kiernan published a scientific report [11] entitled “Tests of Stiffened and Unstiffened Machined Spherical Shells Under External Hydrostatic Pressure”, in which they presented the results of experimental tests on spherical shells. These tests included as many as 102 samples, 73 of which were unstiffened spherical shells with different opening angles (from 5° to 120°).
The tested shells were composed of 7075-T6 aluminum with material parameters as follows: yield strength fyk = 80,000 psi, elastic modulus E = 10.8∙106 psi, and Poisson’s ratio v = 0.30. A tool specifically designed to accurately generate internal spherical surfaces was used to generate the internal contours. The spherical shell and support ring of each model were composed as a unit. All the samples were subjected to hydrostatic pressure, which was gradually increased at one-minute intervals until the tested shell buckled. The pressure value at the point of buckling was read and considered the critical pressure. A schematic of the test stand is shown in Figure 5 below.
The experimental results were converted to SI units and presented in tables and graphs. Figure 6 shows buckling capacity curves for different classes of manufacturing quality using material parameters corresponding to the aluminum used. The material parameters are E = 74,463.4 MPa, fyk = 551.6 MPa, and v = 0.30. The experimental results are shown as points on a graph (59 points in total).
The comparison of the experimental results (Figure 6) with the proposed B&M calculation procedure shows that the buckling phenomenon of real spherical shells was very well described by the calculation formulas. The experimental results were slightly higher than all three buckling capacity curves for the fabrication quality parameters Q = 16, 25, and 40. Only two out of the fifty-nine tested specimens showed buckling capacities lower than the curves for Q = 25 and 40, but they were still higher than the curve corresponding to the worst class of fabrication quality, that is, Q = 16.

2.4. Experimental Studies of Steel Spherical Shells Performed by Jan Błachut

The experimental studies conducted at the Department of Construction at the University of Liverpool, authored by J. Błachut, included the results in a paper entitled “Buckling of Shallow Spherical Caps Subjected to External Pressure” [12]. The research involved six shallow spherical shells composed of mild steel alloys. These shells were precisely machined using CNC numerically controlled lathes, resulting in near-perfect geometries. The studied series of spherical shells (D1–D6) were characterized by an almost constant base radius Di, varying nominal radius of curvature of the shell R, and different thickness values t and heights H. The shells were rigidly fixed in the base, and their ideal shape is shown in Figure 7.
The exact geometric data of each of the tested samples are presented in [12]. The material parameters of the tested shells were determined experimentally: elastic modulus E = 207.0 GPa, yield strength fyk = 303.5 MPa, and Poisson’s ratio v = 0.28.
A comparison of the results from the tests with the proposed B&M procedure for estimating the buckling capacity is shown in Figure 8. These results show very good convergence. This proves the correctness of the proposed calculation formulas.
It is worth noting that the spherical shells tested covered a wide range of slenderness, as measured by the R/t ratio. The value of the critical pressure causing the buckling of the tested shell was in each case higher than the buckling capacity determined by the proposed procedure, taking into account any manufacturing quality parameter Q.

2.5. Experimental Studies of Steel Spherical Shells Performed by Sebastian Kołodziej and Jakub Marcinowski

In 2018, a paper was published [13] presenting experimental studies of shallow spherical shells of steel. This work is part of S. Kołodziej’s doctoral dissertation entitled “Experimental evaluation of buckling capacity of steel spherical shells loaded with external pressure”.
The research program included the testing of twenty spherical shell specimens composed of steel sheets of DC04 grade according to EN10130, which has excellent parameters for plastic processing. The shell models were decided to be created by the Spinning Metal Forming method on a modern numerically controlled machine.
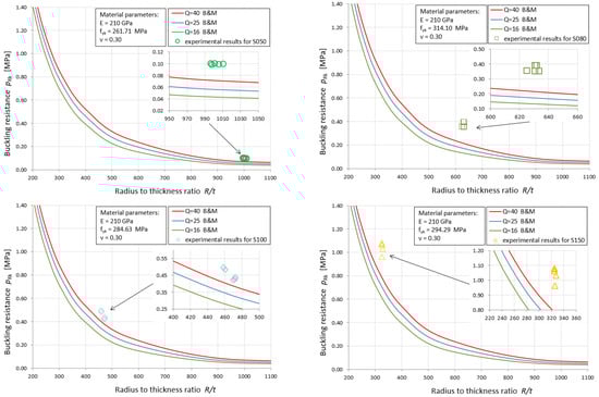
The geometry of the shells was chosen to obtain the R/t ratios most commonly encountered in engineering practice. Samples were composed of sheet metal with four nominal thicknesses t of 0.50; 0.80; 1.00; and 1.50 mm. The radius of the support perimeter in each case was 125 mm, and the nominal heights of H were 15.87; 15.86; 15.86; and 15.85 mm, respectively. The nominal radii R were 500.25; 500.40; 500.50; and 500.75 mm, resulting in the following R/t ratios = 1000.50; 625.50; 500.50; and 333.86. It is worth noting that each series was characterized by a different yield strength value fyk, but Young’s modulus E = 210 GP and Poisson’s ratio v = 0.3 had constant values.
The main component of the test stand was a pressure chamber, shown in Figure 9. A strain gauge pressure transducer coupled to a computerized recording unit was used to measure the pressure in the chamber. A non-contact optical displacement measurement system was used to measure displacement. The details of the test apparatus and measuring station are presented in [13,14].
The test program included the testing of twenty spherical shell samples with radius a = 125 mm and nominal inner surface radius R = 500. In order to eliminate potential residual stresses, the fabricated parts were subjected to annealing at 400 °C. The strips of sheet metal were also subjected to annealing under the same conditions, from which the samples were prepared to determine the necessary material characteristics. A detailed description of the preparation of the test specimens and the determination of the material parameters is described in [14]. The geometric deviations of the sample from the nominal geometry were also evaluated.
The comparison of the experimental results, shown in Figure 10, carried out by S. Kołodziej and J. Marcinowski, with the proposed B&M calculation procedure, once again shows that the buckling phenomenon of spherical shells has been well described by calculation formulas. The experimental results obtained in some cases (S080 specimens) showed an increased reserve of load carrying capacity; however, they were always on the safe side from the designer’s point of view. In other cases, the reserve of the bearing capacity is already much smaller and varies from 8 to 43%. For the samples of the S050 series, the results obtained exceed from 37% to 43% of the characteristic load capacity determined according to the B&M procedure. For the samples of the S080 series, the results obtained exceed from 68% to 90% of the characteristic load capacity determined according to the B&M procedure. For the samples of the S100 series, the results obtained exceed from 8% to 20% of the characteristic load capacity determined according to the B&M procedure. For the samples of the S150 series, the results obtained exceed from 23% to 38% of the characteristic load capacity determined according to the B&M procedure.

2.6. Experimental Studies of Stainless Steel Alloy Spherical Shells Performed by Jian Zhang et al.

In 2018, J. Zhang et al. published a paper [6] entitled “Buckling of stainless steel spherical caps subjected to uniform external pressure” in the journal Ships and offshore structures. The paper includes experimental tests conducted on six nominally identical specimens, designated SC1, SC2, SC3, SC4, SC5, and SC6. The material from which they were composed was 304 stainless steel alloy. To ensure the geometric repeatability of the individual shells, advanced laser machining techniques with a numerical control system were used to produce them. The hemispherical shells were cut and cold-stamped from sheets of 304 stainless steel. The exact manufacturing process of the samples is described in [8]. This material has advantages such as high ductility, which can prevent the caps from disintegrating into small pieces, and it enables the post-buckling modes to be determined conveniently.
The spherical shells produced have a nominal base diameter of d = 146 mm, a nominal wall thickness of t = 1 mm, and a nominal height of h = 37 mm, and the shell radius R was determined to be 90.51 mm Figure 11.
During the entire fabrication process, the shells were not heat-treated because of their relatively small thickness-to-radius ratios. Before the hydrostatic test, the wall thicknesses and geometrical shapes of all the shells were measured carefully. The results show that the actual wall thickness values of the manufactured shells varied from 0.978 to 1.077 mm due to the stamping process.
Based on the laboratory tests, the material properties were determined for each individual sample. Then, the averaged values of Young’s modulus E, Poisson’s coefficient v, and yield stress fyk served as the starting parameters in the numerical analyses and were used to create buckling capacity curves. The values are yield stress fyk = 335.408 MPa, Young’s modulus E = 159.208 GP, and Poisson’s coefficient v = 0.291.
After the initial measurements, the samples were slowly pressurized to destruction in a cylindrical pressure chamber at Jiangsu University of Science and Technology. The chamber has an inner diameter of 200 mm, an overall length of 400 mm, and a maximum pressure of 20 MPa, with water as the pressure medium. The pressure inside the chamber was recorded with a pressure transducer; the pressure was applied slowly in ∼0.1 MPa increments. The exact process of loading and conducting the test is described in [6,7]. The effect of the experimental tests regarding the form of spherical shells that buckled is shown in Figure 12.
Figure 13 shows the buckling capacity curves with marked points from the experimental measurements.
The comparison of the experimental results with the proposed B&M procedure for estimating the buckling capacities of spherical shells is shown in Figure 13. This comparison very well demonstrates how accurate analytical calculations can be. The differences between the experiment and analytical estimation are within 0.2–4.7%. This is also confirmed in Table 1, which compares the results of the experiment with the results from two types of numerical analysis (pe-p—numerical buckling loads obtained from elastic–plastic modeling and pe-pp—numerical buckling loads obtained from elastic–perfectly plastic modeling) and analytical calculations. It can be seen that the analytical estimation, in this particular case, shows greater convergence with the experimental results than the numerical calculations.

2.7. Experimental Studies of Steel Spherical Shells Performed by Sang-Rai Cho et al.

Another study on real spherical shell models that deserves attention was described in 2020 by Sang-Rai Cho et al. in [8] “Ultimate Strength Assessment of Steel-Welded Hemispheres under External Hydrostatic Pressure”, published in the Journal of Marine Science and Application. In this study, four models of steel spherical shells HS-1 through HS-4 were tested. They were fabricated using petal welding procedures.
This is the same method used to fabricate actual full-size submarine end closures. Residual stresses and imperfections appeared in the tested shells because the fabrication method uses sheet pressing and welding processes. The manufacturing process consists of several steps. First, each piece of spherical shell was individually cold-pressed to the desired sphericity. In this case, cold forming was repeatedly performed until the required bending curvature was achieved. Once this process was completed, each of these bent plates was welded together. In order to maintain sphericity, the welding process begins by welding one of the plates to the crown of the shell with a 60-degree opening angle. The remaining plates are then welded.
A detailed assessment of the geometry, including its imperfections and a measurement of the shell thickness, is conducted after the welding work is completed. The exact process of manufacturing test specimens is described in [8], and photos of the specimens before testing are shown below in Figure 14.
The welding diagram and photos of the spherical shells prepared for testing are shown in Figure 14. Models HS-1 and HS-4 consist of four segments and one crown. Model HS-2 has three segments and one crown. Finally, a single shell segment was used in model HS-3. All the test models are composed of SS41 mild steel. Details of the determination of the material parameters of the tested shells are provided in [8].
For the purpose of the analytical estimation of the buckling capacity of spherical shells, Young’s modulus E = 206 GPa, Poisson’s ratio, ν = 0.3, and yield strength of fyk = 290 MPa and fyk = 332 MPa were used for the calculations (hence the two different graphs for comparison.
The experimental tests were conducted at the Ultimate Limit State Analysis Laboratory (ULSAN Lab) at Ulsan University. Each model was measured for initial imperfections and thickness. Measurements were completed with a proprietary instrument on a rotary table with a dial gauge. For thickness measurement, an ultrasonic meter was used. All the spherical shell models except HS-2 were tested in a pressure chamber with an inner length of 2.8 m and a diameter of 1.3 m. The maximum pressure in this chamber can be 80 bar. The HS-2 model, for which the highest buckling capacity was expected, was tested using a chamber with an inner length of 1.8 m and an inner diameter of 0.65 m, in which a pressure of 120 bar is possible. Figure 15 shows a schematic of the test stand and a view of the two pressure chambers.
During the test, the load increments were evenly divided into three main cycles, the first up to about 25% and the second up to about 80% of the predicted critical pressure, and the third until failure with load increments of 0.5 bar. At each pressure increase, the pressure was maintained for about 0.5 to 1 min. This procedure was intended to reflect the actual process of submerging, for example, a submersible vessel. During the experiment, the deformation of the tested shells was recorded and the critical pressure was recorded.
The comparison of the experimental results with the proposed B&M procedure for estimating the buckling capacities of spherical shells once again proved to be very accurate. In two cases, for specimens HS-1 and HS-2, the B&M calculation procedure shows a small reserve of buckling capacity, 6.3% and 3.2%, respectively. In contrast, for specimen HS-4, the buckling capacity was determined almost perfectly. The difference between the experiment and the calculation procedure is only 0.5% A similar accuracy value in the estimation was found for sample HS-3; it is 0.2%. But, in this case, the buckling capacity was compared with the curve corresponding to the B class of the shell’s manufacturing quality. Apparently, the tested shell was burdened with larger initial geometric imperfections. It is worth noting that [8] did not classify shells in terms of their manufacturing quality.
Another very interesting comparison is the summary that Cho et al. included in their paper [8]. Table 2 lists the buckling capacity values of the tested spherical shells and compares them with the results obtained from the numerical analyses (Num) and the available standards: PD 5500 (UK’s PD 5500 Specification for unfired fusion welded pressure vessels.), American Bureau of Shipping (ABS), and Det Norske Veritas (DNV). Added to this summary are calculations completed using the B&M procedure for estimating the buckling capacities of spherical shells. As can be seen, the convergences obtained according to the B&M procedure are more than satisfactory.

3. Discussion

In the second half of the 20th century, experimental research began on actual models of spherical shells. These studies were conducted at several independent research centers on shells composed of different types of material with different geometries. The results of the experimental studies made it possible to verify the correctness of the calculation formulas proposed at the time for determining the buckling capacity of spherical shells. The difference between the results of the experiments and those obtained from the theoretical approach also became apparent. In order to best reflect the actual behavior of spherical shells, and thus optimize the process of their design, computer techniques began to be increasingly used. Their continuous development has led to a situation in which an engineer can model a spherical shell, declare any of its materials, load it, and then perform any numerical analysis determining its critical, plastic, and ultimate load capacity.
This paper compares the formula developed by Błażejewski and Marcinowski [1,3] for estimating the buckling capacity of spherical shells with the experimental studies conducted in the last 70 years. Historical studies [9,10,11,12] and studies conducted in recent years [6,7,8,13,14] were deliberately selected. Such a choice demonstrates very well the development of the testing and measurement techniques and, in parallel with them, the development of numerical studies that enable the development of computational formulas, which are increasingly accurate in estimating the actual buckling capacity of spherical shells. Several basic conclusions can be drawn from the comparison of the B&M procedure with the historical studies. Almost all the points corresponding to the various tests are above the buckling capacity curves. Hence, the conclusion is that the developed calculation formulas estimate the buckling capacity safely. In some cases, one receives the impression that they are even very conservative, as in the case of the comparison with the studies of L. Seaman [10]. It should be remembered, however, that the test methods of the time did not enable monitoring the shell loading pressure continuously or the numerical scanning of the surface to determine the exact geometric parameters of the shell. The material used to create the test specimens was also not insignificant. It can be noted that buckling load curves fit better with the results of tests conducted on steel or light alloy specimens rather than PVC. This is certainly related to the possibility of more accurate control of the geometry and easier determination of the material properties of the tested shells.
The dynamic development of computer analysis and increasingly advanced and precise testing as well as measurement techniques have led to a situation where a manufactured spherical shell sample is scanned and transferred to a CAD environment at a scale of 1:1, taking into account all the geometric imperfections present on its surface. In such a way, following the numerical analysis, we obtain in most cases quite a high convergence with the experimental results, as shown in [7,8,14]. However, in order for an engineer to be able to design spherical shells based on standards using the computational algorithms contained in them to this extent, these algorithms should be developed to take into account as many variables as possible while keeping their use simple. Such an algorithm is the B&M procedure for estimating the buckling capacity of spherical shells, which was developed on the basis of more than 8000 numerical analyses, taking into account seven different forms of imperfections, three different classes of quality of shell manufacture (imperfection amplitudes), most of the relations of radius R to shell thickness t occurring in engineering practice, and using analyses such as LBA, MNA, and GMNIA. The various steps in the development of this procedure are presented in [3]. A comparison of the experimental results of the last few years with the computational procedure discussed here shows how accurate the algebraic estimates can be in relation to the actual behavior of the spherical shell. This can be observed very well in Figure 13 and Figure 16, as well as in Table 1 and Table 2. It can also be observed that the proposed procedure shows better convergence of the results with the experimental studies than the author’s numerical analyses. This may be related to the fact that the first or second form of loss of stability of a spherical shell is not always its worst geometric imperfection, as was described in [3].
As can be understood from this paper, comparisons of experimental studies with computational formulas are greatly needed. They show how far forward today’s science has progressed in terms of the development of the issues related to the stability of spherical shells. Therefore, further work in this area is planned.

Funding

This research received no external funding.

Institutional Review Board Statement

Not applicable.

Informed Consent Statement

Not applicable.

Data Availability Statement

The original contributions presented in the study are included in the article, further inquiries can be directed to the corresponding author.

Conflicts of Interest

The author declares no conflict of interest.

References

  1. Błażejewski, P.; Marcinowski, J. A new approach to the buckling resistance assessment of pressurized spherical shells; W: Shell Structures, Theory and Applications. In Proceedings of the 10th SSTA Conference, Gdańsk, Polska, 16–18 October 2013; Taylor & Francis Group: London, UK, 2014; pp. 179–182. [Google Scholar]
  2. Błażejewski, P.; Marcinowski, J. Buckling capacity curves for pressurized spherical shells; W: Recent Progress in Steel and Composite Structures. In Proceedings of the XIII International Conference on Metal Structures-ICMS 2016, Zielona Góra, Polska, 15–17 June 2016; Taylor & Francis Group: London, UK, 2016; pp. 401–406. [Google Scholar]
  3. Błażejewski, P. Development of a Procedure for the Determination of the Buckling Resistance of Steel Spherical Shells According to EC 1993-1-6. Materials 2021, 15, 25. [Google Scholar] [CrossRef] [PubMed]
  4. EN1993-1-6; Eurocode 3: Design of Steel Structures, Part 1.6: Strength and Stability of Shell Structures. CEN: Brussels, Belgium, 2006.
  5. Rotter, J.M.; Schmidt, H. (Eds.) Buckling of Steel Shells. European Design Recommendations, 5th ed.; ECCS: Brussels, Belgium, 2008. [Google Scholar]
  6. Zhang, J.; Zhang, M.; Tang, W.; Wang, W.; Wang, M. Buckling of spherical shells subjected to external pressure: A comparison of experimental and theoretical data. Thin-Walled Struct. 2017, 111, 58–64. [Google Scholar] [CrossRef]
  7. Zhang, J.; Wang, Y.; Wang, F.; Tang, W. Buckling of stainless steel spherical caps subjected to uniform external pressure. Ships Offshore Struct. 2018, 13, 779–785. [Google Scholar] [CrossRef]
  8. Cho, S.R.; Muttaqie, T.; Lee, S.H.; Paek, J.; Sohn, J.M. Ultimate Strength Assessment of Steel-Welded Hemispheres under External Hydrostatic Pressure. J. Mar. Sci. Appl. 2020, 19, 615–633. [Google Scholar] [CrossRef]
  9. Kaplan, A.; Fung, Y.C. A Nonlinear Theory of Bending and Buckling of Thin Elastic Shallow Spherical Shells; Technical Note 3112; California Institute of Technology: Pasadena, CA, USA, 1954. [Google Scholar]
  10. Seaman, L. The Nature of Buckling in Thin Spherical Shells; Monograph Series No 46; Watertown Arsenal Laboratories: Watertown, MA, USA, 1962. [Google Scholar]
  11. Krenzke, M.A.; Kiernan, T.J. Elastic Stability of Near-Perfect Shallow Spherical Shells. AIAA J. 1963, 1, 2855–2857. [Google Scholar] [CrossRef]
  12. Blachut, J. Shallow spherical caps under external pressure. In Proceedings of the XXI International Congress of Theoretical and Applied Mechanics, Warsaw, Poland, 15–21 August 2004. [Google Scholar]
  13. Kołodziej, S.; Marcinowski, J. Experimental investigations of buckling of pressurized spherical caps; W: Shell Structures: Theory and Applications. In Proceedings of the 11th International SSTA Conference, Gdańsk, Polska, 11–13 October 2017; Taylor & Francis Group: London, UK, 2018; Volume 4, pp. 243–246, ISBN 9781138050457. [Google Scholar]
  14. Kołodziej, S.; Marcinowski, J. Experimental and numerical analyses of the buckling of steel, pressurized, spherical shells. Adv. Struct. Eng. 2018, 21, 2416–2432. [Google Scholar] [CrossRef]
Figure 1. View of testing fixture. According to [9].
Figure 1. View of testing fixture. According to [9].
Applsci 14 07835 g001
Figure 2. Comparison of the test results of Kaplan and Fung [9] with proposed B&M buckling capacity curves.
Figure 2. Comparison of the test results of Kaplan and Fung [9] with proposed B&M buckling capacity curves.
Applsci 14 07835 g002
Figure 3. Schematic of the test apparatus. According to [10].
Figure 3. Schematic of the test apparatus. According to [10].
Applsci 14 07835 g003
Figure 4. Comparison of the test results of L. Seaman [10] with proposed B&M buckling capacity curves.
Figure 4. Comparison of the test results of L. Seaman [10] with proposed B&M buckling capacity curves.
Applsci 14 07835 g004
Figure 5. Sketches of models in pressure tanks. According to [11].
Figure 5. Sketches of models in pressure tanks. According to [11].
Applsci 14 07835 g005
Figure 6. Comparison of the test results of Krenzke and Kiernan [11] with proposed B&M buckling capacity curves.
Figure 6. Comparison of the test results of Krenzke and Kiernan [11] with proposed B&M buckling capacity curves.
Applsci 14 07835 g006
Figure 7. Idealized geometry diagram of the tested spherical shells. According to [12].
Figure 7. Idealized geometry diagram of the tested spherical shells. According to [12].
Applsci 14 07835 g007
Figure 8. Comparison of the test results of J. Błachut [12] with proposed B&M buckling capacity curves.
Figure 8. Comparison of the test results of J. Błachut [12] with proposed B&M buckling capacity curves.
Applsci 14 07835 g008
Figure 9. View of the test pressure chamber. According to [14].
Figure 9. View of the test pressure chamber. According to [14].
Applsci 14 07835 g009
Figure 10. Comparison of the test results of S. Kołodziej and J. Marcinowski [13] with proposed B&M buckling capacity curves.
Figure 10. Comparison of the test results of S. Kołodziej and J. Marcinowski [13] with proposed B&M buckling capacity curves.
Applsci 14 07835 g010
Figure 11. Idealized geometry diagram of the tested spherical shell. According to [6].
Figure 11. Idealized geometry diagram of the tested spherical shell. According to [6].
Applsci 14 07835 g011
Figure 12. The form of buckling of the tested spherical caps SC1–SC6. According to [7].
Figure 12. The form of buckling of the tested spherical caps SC1–SC6. According to [7].
Applsci 14 07835 g012
Figure 13. Comparison of the test results of J. Zhang et al. [7] with proposed B&M buckling capacity curves.
Figure 13. Comparison of the test results of J. Zhang et al. [7] with proposed B&M buckling capacity curves.
Applsci 14 07835 g013
Figure 14. Welding line: (a) HS-1 and HS-4; (b) HS-2; (c) HS-3; (d) side view, photograph before painting; (e) HS-1; (f) HS-2; and before testing; (g) HS-3; (h) HS-4. According to [8].
Figure 14. Welding line: (a) HS-1 and HS-4; (b) HS-2; (c) HS-3; (d) side view, photograph before painting; (e) HS-1; (f) HS-2; and before testing; (g) HS-3; (h) HS-4. According to [8].
Applsci 14 07835 g014
Figure 15. Schematic of the test stand and view of the two pressure chambers.
Figure 15. Schematic of the test stand and view of the two pressure chambers.
Applsci 14 07835 g015
Figure 16. Comparison of the test results of S. Cho et al. [8] with proposed B&M buckling capacity curves.
Figure 16. Comparison of the test results of S. Cho et al. [8] with proposed B&M buckling capacity curves.
Applsci 14 07835 g016
Table 1. Experimental and numerical buckling resistance [MPa].
Table 1. Experimental and numerical buckling resistance [MPa].
TestNumericalNumericalB&M Procedure
Sampleptest [MPa]pe-pp [MPa]pe-p [MPa]pB&M [MPa]
15.2805.333 (1.010)5.468 (1.036)5.307 (0.995)
25.5535.185 (0.934)5.310 (0.956)5.397 (1.029)
35.2555.348 (1.018)5.506 (1.048)Q = 40 5.410 (0.971)
Q = 25 5.246 (1.002)
45.5805.116 (0.917)5.257 (0.942)5.369 (1.039)
55.3565.357 (1.000)5.500 (1.027)Q = 40 5.431 (0.986)
Q = 25 5.246 (1.017)
65.6475.282 (0.935)5.429 (0.961)5.389 (1.047)
Table 2. Comparison of the test and prediction results.
Table 2. Comparison of the test and prediction results.
ModelExperimentalExperimental/Prediction
Pc, Exp [MPa]NumDNVABSPD 5500B&M
HS-15.490.990.951.361.001.06
HS-29.811.060.941.310.971.03
HS-33.101.020.921.310.970.99
HS-44.300.920.891.280.940.99
Disclaimer/Publisher’s Note: The statements, opinions and data contained in all publications are solely those of the individual author(s) and contributor(s) and not of MDPI and/or the editor(s). MDPI and/or the editor(s) disclaim responsibility for any injury to people or property resulting from any ideas, methods, instructions or products referred to in the content.

Share and Cite

MDPI and ACS Style

Błażejewski, P. Buckling Capacity of Steel Spherical Shells According to B&M Procedure Compared to Selected Experimental Studies. Appl. Sci. 2024, 14, 7835. https://doi.org/10.3390/app14177835

AMA Style

Błażejewski P. Buckling Capacity of Steel Spherical Shells According to B&M Procedure Compared to Selected Experimental Studies. Applied Sciences. 2024; 14(17):7835. https://doi.org/10.3390/app14177835

Chicago/Turabian Style

Błażejewski, Paweł. 2024. "Buckling Capacity of Steel Spherical Shells According to B&M Procedure Compared to Selected Experimental Studies" Applied Sciences 14, no. 17: 7835. https://doi.org/10.3390/app14177835

APA Style

Błażejewski, P. (2024). Buckling Capacity of Steel Spherical Shells According to B&M Procedure Compared to Selected Experimental Studies. Applied Sciences, 14(17), 7835. https://doi.org/10.3390/app14177835

Note that from the first issue of 2016, this journal uses article numbers instead of page numbers. See further details here.

Article Metrics

Back to TopTop