Next Article in Journal
A Comparison of Two Fluorescent Stains for the Evaluation of Bioceramic Sealer Penetration into the Tubular Dentine Using Confocal Microscopy
Next Article in Special Issue
Proposal for an Intelligent Methodology to Manage Energy in Buildings and Detect Anomalies as a Compass Towards Zero Energy Buildings (ZEB)
Previous Article in Journal
Research on Hard Rock Pillar Stability Prediction Based on SABO-LSSVM Model
 
 
Font Type:
Arial Georgia Verdana
Font Size:
Aa Aa Aa
Line Spacing:
Column Width:
Background:
Article

Performance and Economic Analysis of Two Types of High-Temperature Heat Pump Based on New Refrigerants

1
School of Energy Science and Engineering, Harbin Institute of Technology, Harbin 150001, China
2
Chongqing Research Institute, Harbin Institute of Technology, Chongqing 401120, China
3
School of Energy and Power Engineering, Northeast Electric Power University, Jilin 132000, China
*
Authors to whom correspondence should be addressed.
Appl. Sci. 2024, 14(17), 7735; https://doi.org/10.3390/app14177735
Submission received: 2 August 2024 / Revised: 15 August 2024 / Accepted: 16 August 2024 / Published: 2 September 2024
(This article belongs to the Special Issue Energy Efficiency in Buildings and Its Sustainable Development)

Abstract

This paper proposes, for the first time, the research concept of comparing energy and economy between transcritical cycle high-temperature heat pumps and subcritical cycle high-temperature heat pumps with new refrigerants. Experiments and simulations are conducted to compare the system performance and economy of two heat pumps, and the effects of different factors on the performance of two heat pumps are analyzed. The results show that R744/R1234yf (90/10) and R515-1 are the preferred refrigerants for transcritical cycle heat pumps and subcritical cycle heat pumps, respectively. The COP of the R744/R1234yf (90/10) transcritical heat pump is generally higher than that of the R515B-1 subcritical heat pump, and compared to the R515B-1 subcritical heat pump, the cost recovery period of the R744/R1234yf (90/10) transcritical heat pump is about 9–15 years. Therefore, it is recommended that users who use heat pumps for a long time choose transcritical cycle heat pumps. Meanwhile, with the change of evaporation temperature, the system COP of the R515B-1 subcritical heat pump and R744/R1234yf (90/10) transcritical heat pump increases by 61.11% and 65.91%, respectively. In addition, the optimal charge amount for the R515B-1 subcritical heat pump is 81.8% of that of the R744/R1234yf (90/10) transcritical heat pump.

1. Introduction

With the accelerated substitution of renewable energy for coal and the rapidly developing electrification of terminal energy systems, the global heat pump market is rapidly expanding [1]. A heat pump is an efficient and energy-saving device that fully utilizes low-grade thermal energy and has enormous potential in the field of energy conversion. It was rated as one of the top ten breakthrough technologies by the Massachusetts Institute of Technology Review in 2024. Compared to ordinary heat pumps, high-temperature heat pumps that use waste heat as their main driving heat source have a wider range of applications due to their higher outlet water temperature. They can not only be used for household heating but also in industrial scenarios such as drying, distillation, and semiconductor manufacturing, playing a positive role in industrial carbon reduction [2,3].
At present, high-temperature heat pumps are mainly divided into two categories from the perspective of refrigerants and circulation methods. The first category is transcritical cycle heat pumps with R744 (carbon dioxide) as the main working fluid, and the other is subcritical cycle heat pumps with HFC refrigerants (hydrofluorocarbon, R134a, R152a, R245fa, etc.) as the main working fluids [4]. In transcritical cycle heat pumps, R744 achieves good thermal performance and is environmentally friendly, and the large temperature drop on the exothermic side makes it easier to heat the target. However, the high pressure at the exothermic end, leads to high costs and unstable operation [5]. In subcritical cycle heat pumps, the main problem is that when the heating temperature is high, the system performance is lower, and the GWP of the working fluid is generally higher. In response to these issues, many scholars have conducted research on these two types of heat pump at different levels.
Wang et al. [6] evaluated the application of R744/R41 in transcritical cycle heat pump systems. The results indicated that the mixture is a good alternative to pure R744 and can effectively reduce the optimal high pressure of the system and improve the system COP. Compared to pure R744, the optimal pressure of R744/R41 (50/50) can be reduced by 28.62%, and COP can be increased by 20.52%. Sun et al. [7] studied the heating performance of R744/R32 in water–water heat pumps using experimental methods and explored the influence of different factors on system performance. The results showed that when the mass fraction of R744 was 0.6, the heating performance coefficient of the system increased by 23.3% and the discharge pressure of the system significantly decreased. Yu et al. [8] conducted experimental research on the application of R744/R41 in automotive heat pump systems. The results indicated that the charge amount of the working fluid was an important factor affecting system performance, and the use of the mixture not only effectively reduced discharge pressure but also increased the heating COP of the system by up to 14.5%. Zhang et al. [9] studied a transcritical heat pump using an R744/R290 mixture as refrigerant through experimental and simulation methods and analyzed the influence of different factors on the optimal discharge pressure of the system. The results indicated that when the mass fraction of R744 was greater than 0.78, the system had the optimal discharge pressure and obtained the maximum COP. In addition, the mass fraction of the mixture, the outlet temperature of the gas cooler, and the evaporation temperature have a significant impact on the discharge pressure. Yu et al. [10] experimentally studied the effect of R744 and R290 on the performance of a transcritical heat pump under different ratios. The results showed that when the mass fraction of R744 was 0.6, the COP of the system reached its highest level—29.4% higher than that of a pure R744 system—and the optimal pressure was reduced by 40%. Dai et al. [11] proposed a heat pump dryer system using a R744/low-GWP working fluid mixture and compared it with traditional boiler drying systems. The results showed that under the influence of the R744/low-GWP working fluid mixture, the performance coefficient of the heat pump dryer was significantly improved, and the discharge pressure was reduced. When the ratio of R744/R32 was 0.1/0.9 mass ratio, the COP of system reached the highest level of 4.29, which is 7.42% higher than that under pure R744. Tian et al. [12] designed a transcritical heat pump with an expander and studied the effects of different factors on system performance using experimental methods. The results showed that under the same working conditions, compared with the R744 transcritical system without an expander, the COP of the R744 transcritical system with an expander increased by about 6–10%. Sun et al. [13] proposed a novel R744 transcritical cycle system with a mechanical superheat-assisted cycle and compared it with two different R744 transcritical systems. The results showed that compared with the traditional R744 system and the R744 system (with expander), the COP of the new system was increased by 15.72% and 12.19%, respectively, and the optimal pressure was reduced by 2.3% and 1.3%, respectively. Ye et al. [14] established a theoretical model to study the effects of gas coolers and internal heat exchangers on the optimal discharge pressure and performance of an R744 transcritical system. The results showed that under the influence of the subcooling of the internal heat exchanger, the COP of the system was increased by 26.3%, and the optimal discharge pressure was also reduced. Qin et al. [15] evaluated an R744 transcritical system from two perspectives, namely the actual operational thermal efficiency of the internal heat exchanger and the actual growth rate of COP. The results showed that under the given operating conditions, the addition of an internal heat exchanger significantly reduced the exergy efficiency of the system, and the influence of the internal heat exchanger on the exergy efficiency decreased with the increase in discharge pressure and ambient temperature. Zendehboudi et al. [16] proposed a theoretical model to analyze the impact of different factors on the performance of R744 heat pump systems. The results showed that increasing the outlet water temperature from 60 °C to 80 °C resulted in a nearly 14% decrease in optimal COP and a 12.2% increase in optimal discharge pressure. When the evaporation temperature was increased from −10 °C to 10 °C, the optimal COP increased by about 63%, while the optimal discharge pressure remained almost unchanged. Dai et al. [17] proposed a transcritical R744 heat pump system with a mechanical subcooling-assisted cycle and established a mathematical model to study its annual energy and economic performance. The results showed that under the given operating conditions, the COP of the system can be increased by 24.4%, and the discharge pressure can be reduced by 2.093 MPa. Compared with traditional R744 heat pump systems, the proposed new system has lower power costs. Zendehboudi et al. [18] proposed a CO2 heat pump with an integrated tri-partite gas cooler and conducted a comprehensive performance analysis on it. The results showed that when the ambient temperature and inlet water temperature are both 10 °C, combining SH with DHW can reduce the discharge pressure of the system by 7.9% and increase the COP by 7.5%, and compared with the DHW system, for every 5 °C increase in ambient temperature, the total exergy destruction cost rate of the DHW + SH system decreases by an average of 7.7%.
In the field of subcritical cycle heat pumps, Sun et al. [19] proposed a new type of mixed refrigerant to replace R134a for high-temperature heat pumps and explored the optimal ratio of mixed refrigerant and the influence of different factors on system performance through experimental and simulation methods. The results showed that the GWP of the new refrigerant is lower, and the maximum COP of the system can be increased by 20.52%, with a charge amount of only 80.95% of R134a. Carlos et al. [20] conducted a feasibility study on replacing HFC-245fa with HCFO (hydrochlorofluoroolefins)-1224yd (z), HCFO-1233zd (E), and HFO (hydrofluoroolefins)-1336mzz (z) in high-temperature heat pump systems. The results showed that compared with R245fa, the system COP of HCFO-1233zd (E), HFO-1336mzz (z), and HCFO-1224yd (z) increased by approximately 27%, 21%, and 17%, respectively. Meanwhile, when using HFO-1336mzz (z), the compressor and installation size of the system are larger, while when using HCFO-1233zd (E), the emission reduction of the system is higher. Adrian et al. [21] conducted experimental research, for the first time, on the application of HFO-1234ze (E) and its non-combustible mixture, R515B, instead of HFC-134a in medium- and high-temperature heat pumps. The results indicated that the system COP of HFO-1234ze (E) and R515B is equivalent or slightly higher (up to 5%), and considering other factors, R515B is a suitable alternative to HFO-1234ze (E). Carlos et al. [22] evaluated the potential of integrating high-temperature heat pumps into district heating networks (DHNs). The results indicated that when DHN acts as a heat exchanger, the COP of the integrated system is 3.2 to 5.4, while when DHN is a heat source, the COP of the integrated system is 2.8 to 5.7. Meanwhile, HCFO-1233zd (E) and HCFO-1224yd (Z) are considered the most promising low-GWP refrigerants to replace HFC-245fa. Carlos et al. [23] determined the optimal choice for high-temperature heat pumps in different scenarios by comparing eight advanced cycle configurations and nine low-GWP refrigerants from the perspectives of energy, economy, and environment. The results indicated that a two-stage cascade is more suitable for high-temperature rise scenarios, single-stage cycles with economizers and parallel compression are more suitable for low-temperature rise scenarios, and the system COP and heat balance of HCFO-1233zd (E) and HCFO-1224yd (Z) are better. Meanwhile, compared to natural gas boilers, advanced high-temperature heat pump configurations can effectively reduce carbon emissions. Yan et al. [24] proposed a novel performance prediction model that only requires knowledge of the critical parameters of the working fluid to quickly predict the performance coefficient of the working fluid used in the system. The results showed that the results of the model are consistent with those of the Peng–Robinson equation of state (PR-EOS) and REFPROP 10.0. Kondou et al. [25] conducted an exploratory evaluation of heat pump heat recovery systems using environmentally friendly refrigerants and compared the system performance of refrigerants R717, R365mfc, R1234ze (E), and R1234ze. The results indicated that the cascade cycle using R1234ze (Z) and R365mfc has a relatively high COP and provides practical benefits. Wu et al. [26] studied the system performance of six refrigerants used in high-temperature heat pumps through experimental and simulation methods, including R718, HCs (hydrocarbon, R600, R601), HFOs (R1234ze (Z), R1336mzz (Z)), and HFC (R245fa) as refrigerants. The results indicated that R718 achieves the best system performance and Carnot efficiency (COP/COPCarnot). Meanwhile, compared to R1336mz (Z), R600, and R245fa, R718 has its unique advantages in high-temperature heat pump applications. Byrne et al. [27] introduced a heat pump that can achieve simultaneous heating and cooling in hotels, luxury residences, and small office buildings and found that hydrofluorocarbons achieve good performance. Longo et al. [28] studied the heat transfer and pressure drop characteristics of refrigerant HFO-1234ze (Z) during condensation through experimental methods and compared it with HFC-236fa, HFC-134a, HC-600a, and HFO-12334ze (E). The results indicated that at the same mass flow rate, the heat transfer coefficients of HFO-1234ze (Z) are higher than those of all refrigerants currently used in heat pumps, and its frictional pressure drop is similar to that of HC-600a. Mikielewicz et al. [29] studied the system performance of different low-GWP refrigerants for high-temperature heat pumps. The results indicated that although pentane and R365mfc have the best system COP, the flammability of pentane and the high price of R365mfc are important factors hindering their future implementation. Sulaiman et al. [30] presented a series of theoretical simulation results using low-GWP refrigerants for high-temperature heat pumps and developed a steady-state thermodynamic model for a single-stage high-temperature heat pump with an internal heat exchanger (IHX). The results indicated that the proposed model is highly reliable and that HCFO-1233zd (E) and HFO-1336mzz (Z) are the most likely substitutes for HFC-245fa and HFC-365mfc, respectively.
In summary, although a considerable amount of research has been conducted to improve the overall performance of high-temperature heat pumps from the perspectives of refrigerant and system structure, all of them focus on individual types of high-temperature heat pumps, and there are few reports comparing the two types of high-temperature heat pumps. Therefore, to fill the current research gap, this paper proposes the research concept of comparing and evaluating the performance and economy of different types of high-temperature heat pumps. This not only promotes energy conservation, carbon reduction, and the development of heat pump technology but also provides guidance for users to choose which heat pump is most suitable.
This paper first builds two test benches and a simulation model for two types of high-temperature heat pump. After verifying the accuracy of the model, the optimal new refrigerants suitable for transcritical heat pumps and subcritical heat pumps are determined. Finally, the performance and economy of the two types of high-temperature heat pump are compared through improvements at the refrigerant level, and the impact of key factors on system performance is analyzed through experimental methods.

2. Establishment of Model and Experiment

2.1. Experimental

2.1.1. System Description

Figure 1 and Figure 2 show the flow chart and physical diagram of the transcritical high-temperature heat pump. The system is composed of an evaporator, gas cooler, compressor, regenerator, throttle valve, electric heater, water pump, water tank, etc. Table 1 shows the main equipment parameters, and Table 2 shows the accuracy of each measuring device. The main operating process is as follows: first, the working fluid absorbs the heat of chilled water (water on the evaporator side) in the evaporator and evaporates. Then, the low-temperature steam with a certain degree of superheat that flows out of the evaporator first passes through the regenertor to absorb some of the heat, then enters the compressor to be compressed into a high-temperature and high-pressure supercritical state. Furthermore, the working fluid releases heat to the heating water through the gas cooler. Finally, the working fluid is sequentially returned to the evaporator through the regenertor and throttle valve to complete a heating cycle. In all heat exchangers, only heat transfer occurs, without any material exchange. Figure 3a,b show the P-h diagram and T-s diagram of the transcritical heat pump system, respectively. For the trancritical heat pump, 1-11 is the heating process in the regenerator, 2-3 is the gas cooling process, 3-33 is the subcooling process in the regenerator, 33-4 is the throttling and depressurization process, and 4-1 is the evaporation process.
Figure 4 and Figure 5 show the flow chart and physical diagram of the subscritical high-temperature heat pump. The system is composed of an evaporator, condenser, compressor, throttle valve, electric heater, water pump, water tank, etc. Table 3 shows the main equipment parameters, and Table 4 shows the accuracy of each measuring device. The working process of the subcritical heat pump is similar to that of the transcritical heat pump, so it is not repeated here. Figure 6a,b show the P-h diagram and T-s diagram of the subcritical heat pump system, respectively. For the subcritical heat pump, 1(1′, 1″)-2(2′, 2″) is the actual compression process, 2(2′, 2″)-3(3′, 3″) is the condensation process, reaching a certain degree of supercooling at the 3(3′, 3″), 3(3′, 3″)-4(4’, 4″) state point indicates the throttling and depressurization process, and 4(4′, 4″)-1(1′, 1″) is the evaporation process, reach a certain degree of superheat at the state point 1(1′, 1″).

2.1.2. Data Verification

The heating capacity of the two systems was calculated according to the heat exchange capacity of the water-heating side using Equation (1), the cooling capacity of the two systems was calculated according the heat exchange capacity of the chilled water using Equation (2), and the heating COP of the system was obtained by Equation (4). The errors between the heating capacity for the water-heating side and Equation (3) were within ±8%, indicating that the tested system exhibited effective heat balance.
Uncertainty analysis was performed to verify the measured data of the heating capacity and COP using Equation (5) [31], where E represents the targeted capacity or COP, Yi represents the uncertainty of its affecting factors, and N is the number of affecting factors. Based on that, the relative uncertainties of the heating capacity and COP of the two systems are shown in Table 5.
Q h = m h - w C p T h - w - o T h - w - i
Q e = m e - w C p T e - w - i T e - w - o
Q h = m e - w C p T e - w - i T e - w - o + W
C O P h = Q h / W
δ E E = i = 1 N δ Y i Y i 2
where Qh is the heating capacity (kW), Qe is the cooling capacity (kW), mh-w is the mass flow of heating water (kg/s), me-w is the mass flow of chilled water (kg/s), Th-w-o is the outlet temperature of heating water (K), Th-w-i is the inlet temperature of heating water (K), Te-w-i is the inlet temperature of chilled water (K), Te-w-o is the outlet temperature of chilled water (K), W is the consumption of the compressor (kW), Cp is the specific heat of water (kJ/(kg·K)), and COP is the coefficient of performance.

2.1.3. Test Conditions and Test Method

R744 and R744/R1234yf (90/10) were used as test refrigerants in the transcritical heat pump, and R515B was used as test refrigerant in the subcritical heat pump. First, the inlet temperature of heating water was set to 313 K, the inlet temperature of chilled water (the inlet water temperature of the evaporator) was set to 313 K, the mass flow rate of heating water was set to 570 kg/h, the mass flow rate of chilled water was set to 1980 kg/h, and the charge amount of refrigerants was set to 4 kg. Subsequently, to study the influence of evaporation temperature on system performance, other working conditions were left unchanged, and the evaporation temperature was adjusted to between 273 K and 293 K. In addition, when comparing the performance of the two systems, all working conditions were consistent.

2.1.4. Physical Properties of Working Medium

When R744 is used as the working fluid for the transcritical heat pump, the high-pressure side pressure of the system usually exceeds 10 MPa. Therefore, to reduce the impact of high pressure on system operation safety, different environmentally friendly R744 mixed refrigerants were chosen as substitutes for R744. Meanwhile, based on R515B, a new, effective, and environmentally friendly refrigerant is proposed, named R515B-1, which consists of R1234ze, R227ea, R245fa, and RE170 in a mass ratio of 70/10/10/10. Table 6 and Table 7 show the thermophysical properties of refrigerants applied to the subcritical heat pump system and transcritical heat pump system, respectively.

2.2. Simulation

2.2.1. Energy Thermodynamic Model

The simple modeling of the two systems was conducted using EES software. The energy analysis is only based on the changes in refrigerant and parameters and is not related to the parameters of the external environment.
The energy thermodynamic model is outlined as follows:
(i)
Unit work input to compressor (kJ/kg):
w c o m p - s u b = h 2 2 , 2 h 1 1 , 1
w c o m p - t r a n = h 2 h 11
(ii)
Unit heating capacity (kJ/kg):
q h - s u b = h 2 2 , 2 h 3 3 , 3
q h - t r a n = h 2 h 3
(iii)
COPh is given by:
C O P h - s u b = h 2 2 , 2 h 3 3 , 3 / h 2 2 , 2 h 1 1 , 1
C O P h - t r a n = h 2 h 3 / h 2 h 11
where h is the enthalpy value of state points (kJ/kg). The enthalpy values of state points were obtained according to the temperature and pressure of state points measured by experiments and combined with REFPROP9.0 [32].
It is worth noting that as this paper focuses on experiments rather than practical engineering applications, in order to find a heat source (such as industrial waste heat) that matches the actual engineering application when building an experimental platform, we applied electric heating to heat water to construct industrial waste heat. However, in the actual process, electric heating is not required to produce such waste heat, so the power consumption of this part is not considered in the calculation reported in this article.

2.2.2. Model Assumptions

In contrast with the experiment, the simulation makes the following assumptions:
(1)
At the outlet of the evaporator and condenser, the refrigerant is in a saturated state;
(2)
When the working fluid flows in the heat exchanger and connecting pipe, the pressure drop and heat loss are not considered;
(3)
The compression process is adiabatic but not isentropic;
(4)
The refrigerant does not contain lubricating oil.

2.2.3. The Optimal Pressure

The calculation method for optimal pressure is shown in Figure 7. First, by inputting Te, Tg, and other parameters, then assuming a high pressure range, the optimal high pressure and other performance parameters are calculated by EES engineering software.

3. Results and Discussion

In this section, the main task is to compare the system performance and economy of two types of heat pump system under different operating conditions. First, model validation is carried out on each heat pump to ensure the accuracy and reliability of the model. Secondly, the optimal new refrigerants suitable for transcritical heat pumps and subcritical heat pumps are determined. Finally, the coefficient of performance (COP), power consumption (W), heating capacity (Qh), payback period (PP), and outlet temperature of the heating water (Tw-o) of the two heat pumps are compared and analyzed under different operating conditions, e.g., the evaporation temperature (Te) is 273–293 K, the inlet water temperature of the evaporator (Te-w-i) is 307–317 K, and the inlet temperature of the heating water (Th-w-i) is 309–319 K.

3.1. Model Validation

Figure 8 shows the experimental and calculated values of COP for two-cycle heat pumps under the influence of evaporation temperature. R744 and R744/R1234yf (90/10) are used as refrigerants in the transcritical cycle heat pump, and R515B is used as refrigerant in the subcritical cycle heat pump. From Figure 8, it can be observed that in the transcritical cycle heat pump, the overall error between the simulated and experimental values is less than 10%, and all simulated values are lower than the experimental values. Similarly, in the subcritical cycle heat pump, the accuracy of simulated values is relatively good, with an average error of 3.07%. This indicates that the model has high accuracy and reliability.

3.2. Selection of Optimal Refrigerant

Figure 9 shows the variation of optimal system performance with evaporation temperature for different R744 mixed refrigerants applied in the transcritical heat pump (Tg-o is 313 K). From Figure 9, it can be observed that as the evaporation temperature increases, the optimal COP of the system increases, while the optimal pressure decreases. Meanwhile, among numerous mixed refrigerants, only the performance parameters of R744/R1234yf (90/10) are comprehensively higher than those of R744; therefore, it is determined as the preferred refrigerant to replace R744. In addition, compared to R744, the system COP of R744/R1234yf (90/10) increased by 1.16%, and the optimal pressure decreased by 12.83%.
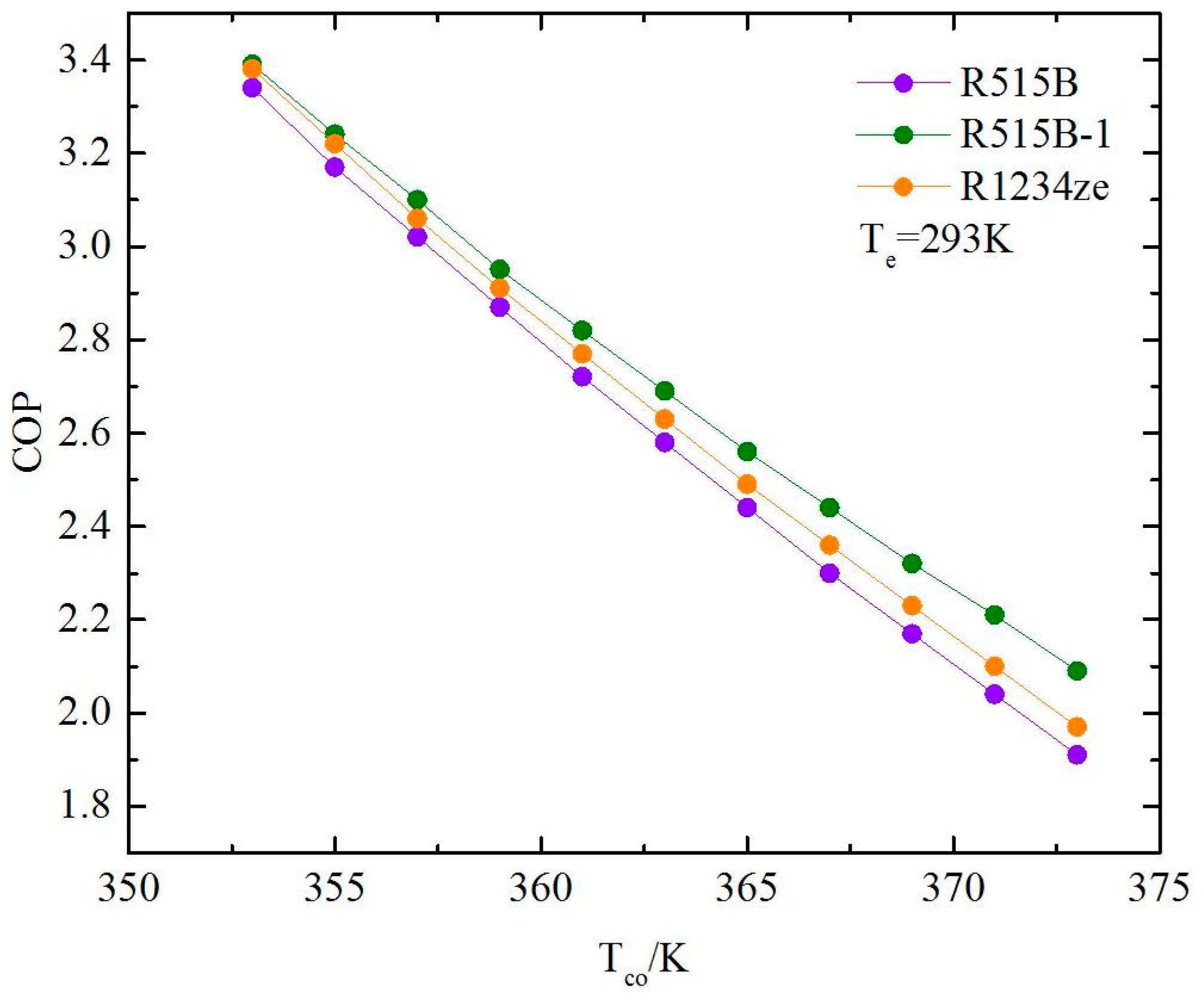
Figure 10 shows the variation of system performance with condensation temperature for R515B, R1234ze, and R515B-1 applied in the subcritical heat pump. From Figure 10, it can be observed that as the condensation temperature increases, the COP of the system decreases. Meanwhile, compared to R1234ze and R515B, the system COP of R515B-1 increased by 2.65% and 4.79%, respectively. Therefore, R515B-1 is identified as the preferred refrigerant to replace R515B.

3.3. The Effect of Different Factors on the System Performance of Two Heat Pumps

Figure 11, Figure 12 and Figure 13 show the effects of different factors on the system performance of the R515B-1 subcritical heat pump and R744/R1234yf (90/10) transcritical heat pump. Table 8 shows the cost of the R515B-1 subcritical heat pump and R744/R1234yf (90/10) transcritical heat pump, which was obtained through market research (more accurate data provided by cooperative enterprises).
The calculation method of PP is shown in Equation (12).
PP = cost tran cost sub Δ W · k el
where costtran and costsub are the costs of the R744/R1234yf (90/10) transcritical heat pump and R515B-1 subcritical heat pump, respectively; ΔW is the difference in power consumption between the two systems; and kel is the cost of electricity (USD 0.214/kWh) [33].

3.3.1. The Effect of Te on the System Performance of Different High-Temperature Heat Pumps

Figure 11 shows the effect of evaporation temperature on the system performance of R515B-1 and R744/R1234yf (90/10) applied to the subcritical heat pump and transcritical heat pump, respectively, as well as the expected cost recovery period of the R744/R1234yf (90/10) transcritical heat pump compared to that of the R515B-1 subcritical heat pump. Figure 11a shows the changes in power consumption and heating capacity of the two heat pump systems with evaporation temperature. It can be observed from the figure that as the evaporation temperature increases, the power consumption of both heat pump systems decreases. At the same time, the heating capacity of the transcritical heat pump gradually decreases, while the heating capacity of the subcritical heat pump gradually increases. This is mainly because as the evaporation temperature increases, the evaporation pressure of both systems increases. At this time, the high pressure of the subcritical heat pump remains unchanged, while the high pressure of the transcritical heat pump decreases. Therefore, the compressor pressure ratio of the two systems decreases to varying degrees, ultimately leading to a decrease in power consumption of both systems. The increase in evaporation pressure reduces the unit heating capacity of the subcritical heat pump, while the increase in evaporation pressure increases the refrigerant flow rate. Because the influence of refrigerant flow rate is greater than that of unit heating capacity, the total heating capacity of the subcritical heat pump increases. In the transcritical heat pump, the reduction in unit heating capacity is greater, resulting in a decreasing trend in the total heating capacity of the transcritical heat pump. In addition, compared to the R515B-1 subcritical heat pump, the R744/R1234yf (90/10) transcritical heat pump consumes less power and has a higher heating capacity; its heating capacity is only lower than that of the R515B-1 subcritical heat pump at higher evaporation temperatures.
Figure 11b shows the variation in COP with evaporation temperature for the two heat pump systems. It can be observed from the figure that the COP of the R744/R1234yf (90/10) transcritical heat pump is generally higher than that of the R515B-1 subcritical heat pump, and the COP of both systems increases with the increase in evaporation temperature. It is worth noting that in the R744/R1234yf (90/10) transcritical heat pump, the decrease in heating capacity is smaller than the decrease in power consumption, so its COP shows an increasing trend.
Figure 11c shows the variation in the outlet temperature of heating water with evaporation temperature for the two heat pump systems. It can be observed from the figure that compared to the R515B-1 subcritical heat pump, the R744/R1234yf (90/10) transcritical heat pump has the ability to produce higher-temperature hot water. Meanwhile, due to the fact that the outlet temperature of heating water is mainly determined by the heating capacity of the system, under higher-temperature evaporation conditions, the heating capacity of the R744/R1234yf (90/10) transcritical heat pump is lower than that of the R515B-1 subcritical heat pump, resulting in a decrease in the outlet temperature of heating water.
Figure 11d shows the years of cost recovery for the R744/R1234yf (90/10) transcritical heat pump under a target heating capacity of 1000 kW. As mentioned earlier, the cost of a transcritical heat pump is more than three times that of a subcritical heat pump, but its COP is higher, and it is more energy-efficient, which makes it possible to recover costs within the limited 20-year lifespan. From the figure, it can be observed that as the evaporation temperature increases, the overall cost recovery period shows an increasing trend, and the shortest cost recovery period is 9 years. Therefore, for users considering long-term use of heat pumps, it is recommended to use a transcritical heat pump system, while for users only considering short-term use, it is recommended to use a subcritical heat pump system.
Within the given evaporation temperature range, compared to the R515B-1 subcritical heat pump system, the COP and heating capacity of the R744/R1234yf (90/10) transcritical heat pump system increased by an average of 80.25% and 26.25%, respectively. The outlet temperature of heating water increased by an average of 5.79 °C, the power consumption decreased by an average of 37.23%, and the average cost recovery period is 14.06 years. Meanwhile, with the change in evaporation temperature, in the R515B-1 subcritical heat pump system, the COP increased by 61.11%, the heating capacity increased by 11.3%, the power consumption decreased by 30.94%, and the outlet temperature of heating water increased by 4.94 °C. In the R744/R1234yf (90/10) transcritical heat pump system, the COP increased by 65.91%, the heating capacity decreased by 13.59%, the power consumption decreased by 49.97%, and the outlet temperature of heating water decreased by 7.55 °C.
Figure 11. The effect of evaporation temperature on the system performance of different high-temperature heat pumps (Te-w-i is 313 K, Tco is 365 K, Th-w-i is 313 K, and the charge amount is 4 kg).
Figure 11. The effect of evaporation temperature on the system performance of different high-temperature heat pumps (Te-w-i is 313 K, Tco is 365 K, Th-w-i is 313 K, and the charge amount is 4 kg).
Applsci 14 07735 g011

3.3.2. The Effect of Th-w-i on the System Performance of Different High-Temperature Heat Pumps

Figure 12 shows the effect of Th-w-i (inlet temperature of heating water) on the system performance of R515B-1 and R744/R1234yf (90/10) applied to the subcritical heat pump and transcritical heat pump, respectively, as well as the expected cost recovery period of the R744/R1234yf (90/10) transcritical heat pump compared to the R515B-1 subcritical heat pump. Figure 12a shows the changes in power consumption and heating capacity of the two heat pump systems with Th-w-I. It can be observed from the figure that as the Th-w-i increases, the power consumption and heating capacity of both heat pump systems increase, but the magnitude of the power consumption increase is higher. This is mainly because in the R515B-1 subcritical heat pump and R744/R1234yf (90/10) transcritical heat pump, with the increase in Th-w-i, the refrigerant temperature at the condenser outlet and gas cooler outlet increases, that is, subcooling decreases. This causes the refrigerant temperature to rise after being throttled by the throttle valve, further increasing the refrigerant temperature at both the inlet and outlet of the evaporator, ultimately leading to an increase in the suction temperature of the compressor, a decrease in the specific suction volume, and a decrease in the refrigerant flow rate. At the same time, the discharge temperature increases with the increase in the compressor suction temperature, resulting in an increase in both unit power consumption and unit heating capacity. The impact of both is greater than that of the refrigerant flow rate, leading to an increase in both heating capacity and power consumption of the two systems. In addition, the power consumption and heating capacity of the R744/R1234yf (90/10) transcritical heat pump are generally lower than those of the R515B-1 subcritical heat pump, indicating that in higher-temperature evaporation conditions, the heating capacity of the R744/R1234yf (90/10) transcritical heat pump still does not present an advantage.
Figure 12b shows the variation of COP with Th-w-i for the two heat pump systems. It can be observed from the figure that the COP of the R744/R1234yf (90/10) transcritical heat pump is generally higher than that of the R515B-1 subcritical heat pump.
Figure 12c shows the variation of outlet temperature of heating water with Th-w-i for the two heat pump systems. It can be observed from the figure that due to the larger heating capacity of the R515B-1 subcritical heat pump, its outlet temperature of heating water is higher. However, the increase in the outlet temperature of heating water in the R744/R1234yf (90/10) transcritical heat pump is greater.
Figure 12d shows the years of cost recovery for the R744/R1234yf (90/10) transcritical heat pump. From the figure, it can be observed that as the Th-w-i increases, its cost recovery period remains almost unchanged, corresponding to about 15 years.
Within the given Th-w-i range, compared to the R515B-1 subcritical heat pump system, the COP of the R744/R1234yf (90/10) transcritical heat pump system increased by an average of 98.31%, the heating capacity decreased by an average of 1.91%, the outlet temperature of heating water decreased by an average of 0.91 °C, the power consumption decreased by an average of 50.34%, and the average cost recovery period is 14.82 years. Meanwhile, with the change in Th-w-i, in the R515B-1 subcritical heat pump system, the COP decreased by 6.74%, the heating capacity increased by 3.24%, the power consumption increased by 10.52%, and the outlet temperature of heating water increased by 1.57 °C. In the R744/R1234yf (90/10) transcritical heat pump system, the COP decreased by 13.17%, the heating capacity increased by 5.19%, the power consumption increased by 21.17%, and the outlet temperature of heating water increased by 2.44 °C.
Figure 12. The effect of Th-w-i on the system performance of different high-temperature heat pumps (Te is 293 K, Te-w-i is 313 K, Tco is 365 K, and the charge amount is 4 kg).
Figure 12. The effect of Th-w-i on the system performance of different high-temperature heat pumps (Te is 293 K, Te-w-i is 313 K, Tco is 365 K, and the charge amount is 4 kg).
Applsci 14 07735 g012

3.3.3. The Effect of Charge Amount on the System Performance of Different High-Temperature Heat Pumps

Figure 13 shows the impact of the charge amounts of R515B-1 and R744/R1234yf (90/10) on the system performance of their respective heat pumps, as well as the expected cost recovery period of the R744/R1234yf (90/10) transcritical heat pump compared to the R515B-1 subcritical heat pump. Figure 13a shows the changes in power consumption and heating capacity of the two heat pump systems with changes in the charge amount of refrigerant. It can be observed from the figure that as the charge amount increases, the power consumption of the two systems exhibits similar and complex patterns of change. As the charge amount increases, the power consumption of the R744/R1234yf (90/10) transcritical heat pump shows a trend of first increasing, then decreasing and finally increasing again. For the R515B-1 subcritical heat pump, the power consumption variation pattern is consistent with the latter half of the power consumption variation pattern of the R744/R1234yf (90/10) subcritical heat pump, mainly due to its lower optimal charge amount. With respect to the changes in heating capacity of the two systems, an increase in superheat increases the discharge temperature of the compressor, thereby increasing the heating capacity of the system. At the same time, an increase in the charge amount also increases the heating capacity of the system, so the heating capacity of both systems shows an increasing trend. In addition, compared to the R744/R1234yf (90/10) transcritical heat pump, the R515B-1 subcritical heat pump has a greater range of changes in power consumption and heating capacity.
Figure 13b shows the variation of COP with changes in the charge amount for the two heat pump systems. It can be observed from the figure that as the charge amount increases and under the combined influence of system heating capacity and power consumption, the two systems exhibit the maximum COP, at which point the corresponding charge amount optimal. Meanwhile, even though the COP of the R515B-1 subcritical heat pump at the optimal charge amount is still much lower than that of the R744/R1234yf (90/10) transcritical heat pump, the optimal charge amount for the R515B-1 subcritical heat pump is 81.8% of that of the R744/R1234yf (90/10) transcritical heat pump.
Figure 13c shows the variation of outlet temperature of heating water with changes in the charge amount of the two heat pump systems. From the figure, it can be observed that as the charge amount increases, the change in the outlet temperature of heating water of the R515B-1 subcritical heat pump is greater, exceeding the outlet temperature of the heating water of the R744/R1234yf (90/10) subcritical heat pump.
Figure 13d shows the years of cost recovery for the R744/R1234yf (90/10) transcritical heat pump. From the figure, it can be observed that as the charge amount increases, the cost recovery period shows a trend of first increasing, then decreasing. When the charge amount is optimal for the R515B-1 subcritical heat pump, the cost recovery period is the longest—up to 17 years. At the same time, within the given range of charge amount, the lowest cost recovery period is also around 12 years.
Within the given range of charge amount, compared to the R515B-1 subcritical heat pump system, the COP of the R744/R1234yf (90/10) transcritical heat pump system increased by an average of 97.13%, the power consumption decreased by an average of 48.41%, and the average cost recovery period is 14.67 years. Meanwhile, with the change in charge amount, in the R515B-1 subcritical heat pump system, the heating capacity increased by 26.28%, and the outlet temperature of heating water increased by 10.36 °C. In the R744/R1234yf (90/10) transcritical heat pump system, the heating capacity increased by 8.97%, and the outlet temperature of heating water increased by 3.96 °C.
Finally, it is necessary to point out that the specific values for the optimal charge amount are limited to the experimental platform built in this paper, and the values are only for reference, mainly to reveal the relationship between the optimal charge amounts of the two systems and their impact on system performance. For different test benches or heat pump equipment, the charge amount will vary according to the specific operating conditions.
Figure 13. The effect of charge amount on the system performance of different high-temperature heat pumps (Te is 293 K, Te-w-i is 313 K, Th-w-i is 313 K, and Tco is 365 K).
Figure 13. The effect of charge amount on the system performance of different high-temperature heat pumps (Te is 293 K, Te-w-i is 313 K, Th-w-i is 313 K, and Tco is 365 K).
Applsci 14 07735 g013aApplsci 14 07735 g013b

4. Conclusions

This paper proposes, for the first time, the research concept of comparing energy and economy between transcritical cycle high-temperature heat pumps and subcritical cycle high-temperature heat pumps with new refrigerants. Experiments and simulations were conducted to compare the system performance and economy of two heat pumps, and the effect of different factors on the performance of two heat pumps was analyzed. The following conclusions can be obtained:
  • R744/R1234yf (90/10) and R515-1 are the preferred refrigerants for transcritical cycle heat pumps and subcritical cycle heat pumps, respectively.
  • The COP of the R744/R1234yf (90/10) transcritical heat pump is generally higher than that of the R515B-1 subcritical heat pump, and the power consumption of the R744/R1234yf (90/10) transcritical heat pump is generally lower than that of R515B-1 subcritical heat pump.
  • Compared to the R515B-1 subcritical heat pump, the cost recovery period of the R744/R1234yf (90/10) transcritical heat pump is about 9–15 years. It is recommended that users who use heat pumps for a long time choose transcritical cycle heat pumps.
  • With the change in Te, the system COP and heating capacity of the R515B-1 subcritical heat pump and R744/R1234yf (90/10) transcritical heat pump increased by 61.11%, 11.3% and 65.91%, 13.59%, respectively.
  • With the change in Th-w-i, the system COP of the R515B-1 subcritical heat pump and R744/R1234yf (90/10) transcritical heat pump decreased by 6.74% and 13.17%, respectively. The heating capacity of the R515B-1 subcritical heat pump and R744/R1234yf (90/10) transcritical heat pump increased by 3.24% and 5.19%, respectively.
  • The optimal charge amount of the R515B-1 subcritical heat pump is lower than that of the R744/R1234yf (90/10) transcritical heat pump, which is only 81.8% of that of R744/R1234yf (90/10) transcritical heat pump.
According to the research conclusions, comparing two types of heat pumps with new refrigerants not only promotes the development of high-temperature heat pumps, as well as energy conservation and emission reduction, but also provides users with multiple choices for heat pump use. In the future, further optimization of transcritical heat pumps should be carried out from the perspectives of cost and performance.

Author Contributions

Conceptualization, D.S. and J.Q.; methodology, Z.L.; software, Z.L.; validation, Z.L.; resources, J.Q.; writing—original draft preparation, D.S.; writing—review and editing, D.S. All authors have read and agreed to the published version of the manuscript.

Funding

This research received no external funding.

Institutional Review Board Statement

Not applicable.

Informed Consent Statement

Not applicable.

Data Availability Statement

Data not publicly due to privacy.

Acknowledgments

This project was supported by Dalian Yuanshuo Energy Chemical Technology Co., Ltd. Tianjin Aoborui Technology Co., Ltd. is greatly appreciated by the authors for providing the refrigerant.

Conflicts of Interest

We declare that we have no financial and personal relationships with other people or organizations that can inappropriately influence our work, there is no professional or other personal interest of any nature or kind in any product, service and/or company that could be construed as influencing the position presented in, or the review of, the manuscript entitled.

Nomenclature

Cpspecific heat, kJ/(kg·K)
hspecific enthalpy of state point, kJ/kg
Kslope
kcost, USD/kWh
mmass flow rate, kg/h
Maxmaximum
Ppressure, MPa
Qrefrigerating/heating capacity, kW
qunit refrigerating/heating capacity, kJ/kg
sspecific entropy of state point, kJ/(kg·K)
Tkelvin temperature, K
Wpower consumption of compressor, kW
wunit power consumption of compressor, kJ/kg
Greek symbols
ε efficiency of compressor
δ uncertainty
difference
Subscripts
numberstate point
cocondenser
crcritical
compcompressor
eevaporation
elelectricity
ggas cooler
hheating
iinlet
ooutlet
optoptimal
subsubcritical
trantranscritical
wwater
Acronyms
ASHEREAmerican Society of Heating, Refrigerating and Air-Conditioning Engineers
COPcoefficient of performance
GWPglobal warming potential
ODPozone depleting potential
PPpayback period

References

  1. Yan, H.Z.; Ahrens, M.U.; Hertwich, E.; Eikevik, M.T.; Wang, R.Z. Heat pumps as a sustainable bridge for global heating and cooling at multi-scale. Energy Environ. Sci. 2024, 17, 2081–2087. [Google Scholar] [CrossRef]
  2. Arpagaus, C.; Bless, F.; Uhlmann, M.; Schiffmann, J.; Bertsch, S.S. High temperature heat pumps: Market overview, state of the art, research status, refrigerants, and application potentials. Energy 2018, 152, 985–1010. [Google Scholar] [CrossRef]
  3. Jiang, J.T.; Hu, B.; Wang, R.Z.; Deng, N.; Cao, F.; Wang, C.C. A review and perspective on industry high-temperature heat pumps. Renew. Sustain. Energy Rev. 2022, 161, 112106. [Google Scholar] [CrossRef]
  4. Adamson, K.M.; Walmsley, T.G.; Carson, J.K.; Chen, Q.; Schlosser, F.; Kong, L. High-temperature and transcritical heat pump cycles and advancements: A review. Renew. Sustain. Energy Rev. 2022, 167, 112798. [Google Scholar] [CrossRef]
  5. Ma, Y.T.; Liu, Z.Y.; Tian, H. A review of transcritical carbon dioxide heat pump and refrigeration cycles. Energy 2013, 55, 156–172. [Google Scholar] [CrossRef]
  6. Wang, D.; Lu, Y.; Tao, L. Thermodynamic analysis of CO2 blends with R41 as an azeotropy refrigerant applied in small refrigerated cabinet and heat pump water heater. Appl. Therm. Eng. 2017, 125, 1490–1500. [Google Scholar] [CrossRef]
  7. Sun, Z.; Cui, Q.; Wang, Q.; Ning, J.; Guo, J.; Dai, B.; Liu, Y.; Xu, Y. Experimental study on CO2/R32 blends in a water-to-water heat pump system. Appl. Therm. Eng. 2019, 162, 114303. [Google Scholar] [CrossRef]
  8. Yu, B.B.; Yang, J.Y.; Wang, D.D.; Shi, J.Y.; Guo, Z.K.; Chen, J.P. Experimental energetic analysis of CO2/R41 blends in automobile air-conditioning and heat pump systems. Appl. Energy 2019, 239, 1142–1153. [Google Scholar] [CrossRef]
  9. Zhang, X.P.; Wang, F.; Fan, X.W.; Wei, X.L.; Wang, F.K. Determination of the optimum heat rejection pressure in transcritical cycles working with R744/R290 mixture. Appl. Therm. Eng. 2013, 54, 176–184. [Google Scholar] [CrossRef]
  10. Yu, B.; Wang, D.; Liu, C. Performance improvements evaluation of an automobile air conditioning system using CO2-propane mixture as a refrigerant. Int. J. Refrig. 2018, 88, 172–181. [Google Scholar] [CrossRef]
  11. Dai, B.M.; Zhao, P.; Liu, S.C.; Su, M.Q.; Zhong, D.; Qian, J.B. Assessment of heat pump with carbon dioxide/low-global warming potential working fluid mixture for drying process: Energy and emissions saving potential. Energy Convers. Manag. 2020, 222, 113225. [Google Scholar] [CrossRef]
  12. Tian, H.; Ma, Y.T.; Li, M.X. Study on expansion power recovery in CO2 transcritical cycle. Energy Convers. Manag. 2010, 51, 2516–2522. [Google Scholar] [CrossRef]
  13. Sun, D.H.; Fei, T.; Liu, Z.K.; Xu, J.; Qin, J. Performance analysis of a new transcritical R744 refrigeration cycle with expander-mechanical overheating. Appl. Therm. Eng. 2023, 218, 119285. [Google Scholar] [CrossRef]
  14. Ye, Z.; Wang, Y.; Song, Y.; Yin, X.; Cao, F. Optimal discharge pressure in transcritical CO2 heat pump water heater with internal heat exchanger based on pinch point analysis. Int. J. Refrig. 2020, 118, 12–20. [Google Scholar] [CrossRef]
  15. Qin, X.; Wang, D.; Jin, Z.; Wang, J.; Zhang, G.; Li, H. A comprehensive investigation on the effect of internal heat exchanger based on a novel evaluation method in the transcritical CO2 heat pump system. Renew. Energy 2021, 178, 574–586. [Google Scholar] [CrossRef]
  16. Zendehboudi, A. Optimal discharge pressure and performance characteristics of a transcritical CO2 heat pump system with a tri-partite gas cooler for combined space and water heating. Renew. Energy 2024, 226, 120359. [Google Scholar] [CrossRef]
  17. Dai, B.; Qi, H.; Liu, S.; Ma, M.; Zhong, Z.; Li, H. Evaluation of transcritical CO2 heat pump system integrated with mechanical subcooling by utilizing energy, exergy and economic methodologies for residential heating. Energy Convers. Manag. 2019, 192, 202–220. [Google Scholar] [CrossRef]
  18. Zendehboudi, A. Energy, exergy, and exergoeconomic analyses of an air source transcritical CO2 heat pump for simultaneous domestic hot water and space heating. Energy 2024, 290, 130295. [Google Scholar] [CrossRef]
  19. Sun, D.; Wang, C.; Liu, Z.; Qin, J.; Liu, Z. Experimental and simulation study on R134a/RE170/R152a mixture as R134a replacement in a moderately-high temperature heat pump. Appl. Therm. Eng. 2024, 236, 121643. [Google Scholar] [CrossRef]
  20. Carlos, M.R.; Joaquín, N.E.; Adrián, M.B.; Marta, A.A.; Francisco, M. Thermodynamic analysis of low GWP alternatives to HFC-245fa in high-temperature heat pumps: HCFO-1224yd(Z), HCFO-1233zd(E) and HFO-1336mzz(Z). Appl. Therm. Eng. 2019, 152, 762–777. [Google Scholar]
  21. Adrián, M.B.; Carlos, M.R.; Joaquín, N.E.; Ángel, B.C. Experimental comparison of HFO-1234ze(E) and R-515B to replace HFC-134a in heat pump water heaters and moderately high temperature heat pumps. Appl. Therm. Eng. 2021, 196, 117256. [Google Scholar]
  22. Carlos, M.R.; Samer, S.; Adrián, M.B.; Joaquín, N.E. High temperature heat pump integration into district heating network. Energy Convers. Manag. 2020, 210, 112719. [Google Scholar]
  23. Mateu-Royo, C.; Arpagaus, C.; Mota-Babiloni, A.; Navarro-Esbrí, J.; Bertsch, S.S. Advanced high temperature heat pump configurations using low GWP refrigerants for industrial waste heat recovery: A comprehensive study. Energy Convers. Manag. 2021, 229, 113752. [Google Scholar] [CrossRef]
  24. Yan, H.; Ding, L.; Sheng, B.; Dong, X.; Zhao, Y.; Zhong, Q.; Gong, W.; Gong, M.; Guo, H.; Shen, J. Performance prediction of HFC, HC, HFO and HCFO working fluids for high temperature water source heat pumps. Appl. Therm. Eng. 2021, 185, 116324. [Google Scholar] [CrossRef]
  25. Kondou, C.; Koyama, S. Thermodynamic assessment of high-temperature heat pumps using Low-GWP HFO refrigerants for heat recovery. Int. J. Refrig. 2015, 53, 126–141. [Google Scholar] [CrossRef]
  26. Wu, D.; Hu, B.; Wang, R.Z.; Fan, H.B.; Wang, R.J. The performance comparison of high temperature heat pump among R718 and other refrigerants. Renew. Energy 2020, 154, 715–722. [Google Scholar] [CrossRef]
  27. Byrne, P.; Miriel, J.; Lenat, Y. Design and simulation of a heat pump for simultaneous heating and cooling using HFC or CO2 as a working fluid. Int. J. Refrig. 2009, 32, 1711–1723. [Google Scholar] [CrossRef]
  28. Longo, G.A.; Zilio, C.; Righetti, G.; Brown, J.S. Experimental assessment of the low GWP refrigerant HFO-1234ze(Z) for high temperature heat pumps. Exp. Therm. Fluid. Sci. 2014, 57, 293–300. [Google Scholar] [CrossRef]
  29. Mikielewicz, D.; Wajs, J. Performance of the very high-temperature heat pump with low GWP working fluids. Energy 2019, 182, 460–470. [Google Scholar] [CrossRef]
  30. Sulaiman, A.Y.; Cotter, D.; Arpagaus, C.; Hewitt, N. Theoretical evaluation of energy, exergy, and minimum superheat in a high-temperature heat pump with low GWP refrigerants. Int. J. Refrig. 2023, 153, 99–109. [Google Scholar] [CrossRef]
  31. Moffat, R.J. Describing the uncertainties in experimental results. Exp. Therm. Fluid Sci. 1988, 1, 3–17. [Google Scholar] [CrossRef]
  32. Lemmon, E.; McLinden, M.; Huber, M. NIST Standard Reference Database 23. Reference Fluid Thermodynamic and Transport Properties Database (REFPROP), 9th ed.; National Institute of Standards and Technology (NIST): Gaithersburg, MD, USA, 2010.
  33. Zarei, A.; Akhavan, S.; Rabiee, M.B.; Elahi, S. Energy, exergy and economic analysis of a novel solar driven CCHP system powered by organic Rankine cycle and photovoltaic thermal collector. Appl. Therm. Eng. 2021, 194, 117091. [Google Scholar] [CrossRef]
Figure 1. Flow chart of the transcritical cycle heat pump system.
Figure 1. Flow chart of the transcritical cycle heat pump system.
Applsci 14 07735 g001
Figure 2. Physical diagram of the transcritical cycle heat pump system.
Figure 2. Physical diagram of the transcritical cycle heat pump system.
Applsci 14 07735 g002
Figure 3. P-h and T-s diagrams of the transcritical heat pump system.
Figure 3. P-h and T-s diagrams of the transcritical heat pump system.
Applsci 14 07735 g003
Figure 4. Flow chart of the subscritical cycle heat pump system.
Figure 4. Flow chart of the subscritical cycle heat pump system.
Applsci 14 07735 g004
Figure 5. Physical diagram of the subscritical cycle heat pump system.
Figure 5. Physical diagram of the subscritical cycle heat pump system.
Applsci 14 07735 g005
Figure 6. P-h and T-s diagrams of the subcritical heat pump system.
Figure 6. P-h and T-s diagrams of the subcritical heat pump system.
Applsci 14 07735 g006
Figure 7. Flow diagram of research steps.
Figure 7. Flow diagram of research steps.
Applsci 14 07735 g007
Figure 8. Model validation of two high-temperature heat pumps. (a) Te is 273–293 K, Tg-o is 313 K, Pg is 9.5 MPa; (b) Te is 273–293 K, Tco is 358 K.
Figure 8. Model validation of two high-temperature heat pumps. (a) Te is 273–293 K, Tg-o is 313 K, Pg is 9.5 MPa; (b) Te is 273–293 K, Tco is 358 K.
Applsci 14 07735 g008
Figure 9. The effect of evaporation temperature on the optimal system performance of different mixed refrigerants (transcritical cycle).
Figure 9. The effect of evaporation temperature on the optimal system performance of different mixed refrigerants (transcritical cycle).
Applsci 14 07735 g009
Figure 10. The effect of condensation temperature on the system performance of different refrigerants (subcritical cycle).
Figure 10. The effect of condensation temperature on the system performance of different refrigerants (subcritical cycle).
Applsci 14 07735 g010
Table 1. The main equipment parameters (transcritical cycle heat pump).
Table 1. The main equipment parameters (transcritical cycle heat pump).
EquipmentMain ParametersModel
CompressorRated power: 13.6 kWPiston compressor
EvaporatorHeat transfer area: 0.97 m2Double pipe
Gas coolerHeat transfer area: 0.56 m2Double pipe
Table 2. The accuracies of various sensor devices (transcritical cycle heat pump).
Table 2. The accuracies of various sensor devices (transcritical cycle heat pump).
VariableDeviceRangeAccuracy
SignalPLC data monitoring system//
PressurePressure sensor0–16 MPa±0.1%
TemperatureRTD Pt100−50–200 °C±0.3 °C
Mass flowElectromagnetic flowmeter0–20 m3/h±0.5%
Compressor workStandard power meter/±0.2%
Table 3. The main equipment parameters (subcritical cycle heat pump).
Table 3. The main equipment parameters (subcritical cycle heat pump).
EquipmentMain ParametersModel
CompressorRated power: 20.2 kWRotor compressor
EvaporatorHeat transfer area: 1.612 m2Double pipe
CondenserHeat transfer area: 0.78 m2Double pipe
Table 4. The accuracies of various sensor devices (subcritical cycle heat pump).
Table 4. The accuracies of various sensor devices (subcritical cycle heat pump).
VariableDeviceRangeAccuracy
SignalPLC data monitoring system//
PressurePressure sensor0–5 MPa±0.5%
TemperatureRTD Pt100−50–200 °C±0.3 °C
Mass flowElectromagnetic flowmeter0–20 m3/h±0.5%
Compressor workStandard power meter/±0.2%
Table 5. The relative uncertainties of the two systems.
Table 5. The relative uncertainties of the two systems.
ParameterTranscritical Heat Pump SystemSubcritical Heat Pump System
Heating capacity 5.31%4.63%
COP5.86%4.97%
Table 6. Thermophysical properties of the three refrigerants (subcritical heat pump system).
Table 6. Thermophysical properties of the three refrigerants (subcritical heat pump system).
ParameterR1234zeR515B (R1234ze/R227ea)R515B-1 (R1234ze/R227ea/RE170/R245fa)
Chemical formulaC3F4H2C3F4H2/C3HF7C3F4H2/C3HF7/C2H6O/C3H3F5
Critical pressure3.63 MPa3.57 MPa3.88 MPa
Critical temperature382.51 K381.62 K387.71 K
Molar mass114.04 kg/kmol117.48 kg/kmol103.7 kg/kmol
Normal boiling point254.18 K253.82 K256.36 K
GWP6299433
ASHRAE ClassificationA1A1A1
Table 7. Critical parameters of R744 mixtures (transcritical heat pump system).
Table 7. Critical parameters of R744 mixtures (transcritical heat pump system).
Proportion of R744/%R744/R1234yfR744/R1234zeR744/RE170
ParametersPcr/MPaTcr/KPcr/MPaTcr/KPcr/MPaTcr/K
608.13333.938.15337.368.54361.22
708.13326.018.08328.118.78350.26
808.02318.558.13320.898.78337.48
907.8311.497.87312.818.41322.63
Table 8. The costs of two types heat pump.
Table 8. The costs of two types heat pump.
DeviceCost Equations
R515B-1 subcritical heat pump 63.38 × Q h
R744/R1234yf (90/10) transcritical heat pump 204.2 × Q h
Disclaimer/Publisher’s Note: The statements, opinions and data contained in all publications are solely those of the individual author(s) and contributor(s) and not of MDPI and/or the editor(s). MDPI and/or the editor(s) disclaim responsibility for any injury to people or property resulting from any ideas, methods, instructions or products referred to in the content.

Share and Cite

MDPI and ACS Style

Sun, D.; Qin, J.; Liu, Z. Performance and Economic Analysis of Two Types of High-Temperature Heat Pump Based on New Refrigerants. Appl. Sci. 2024, 14, 7735. https://doi.org/10.3390/app14177735

AMA Style

Sun D, Qin J, Liu Z. Performance and Economic Analysis of Two Types of High-Temperature Heat Pump Based on New Refrigerants. Applied Sciences. 2024; 14(17):7735. https://doi.org/10.3390/app14177735

Chicago/Turabian Style

Sun, Dahan, Jiang Qin, and Zhongyan Liu. 2024. "Performance and Economic Analysis of Two Types of High-Temperature Heat Pump Based on New Refrigerants" Applied Sciences 14, no. 17: 7735. https://doi.org/10.3390/app14177735

APA Style

Sun, D., Qin, J., & Liu, Z. (2024). Performance and Economic Analysis of Two Types of High-Temperature Heat Pump Based on New Refrigerants. Applied Sciences, 14(17), 7735. https://doi.org/10.3390/app14177735

Note that from the first issue of 2016, this journal uses article numbers instead of page numbers. See further details here.

Article Metrics

Back to TopTop