Abstract
The scientific community’s interest in finding an alternative to the term “wastes” for coffee by-products is steadily increasing. The substantial presence of polyphenols, caffeine, and tannins in these wastes could result in the contamination of water and soil, as they exhibit harmful effects on a range of plants, microorganisms, and aquatic organisms. However, these identical antioxidants can extensively be utilized in food packaging applications. In the context of active packaging, the development of bioactive food packaging films based on natural products and coffee industry wastes is of significant importance according to circular economy principles. In this study, the effect of coffee silverskin particles, i.e., waste of the coffee roasting process, and coffee silverskin aqueous extracts on the properties and antioxidant activity of wheat flour-based films with glucose for food packaging applications were evaluated. In addition, chemical structure identification, optical and morphological analysis, color measurements, and physico-chemical characterization of the films were performed, determining their water absorption, film solubility, and degree of swelling. Furthermore, the oxygen and water vapor transition rate and their antioxidant activity were also measured, and it was found that increasing the addition of coffee silverskin particles and aqueous extracts affected the properties of the films. The biocomposite films of wheat flour and glucose with coffee silverskin particles produced in this work exhibited higher tensile stress at break and Young’s modulus compared with wheat flour film with no additives. However, a decrease in elongation at break was observed with increasing addition of the silverskin due to the transition from a pure elastomeric material to a crosslinked one following the formation of hydrogen bonds between the additive and the matrix, which was also found in the FTIR spectra. This work offers a new use of wheat flour and coffee silverskin as an inexpensive biocomposite material to produce multifunctional active films for food packaging applications.
    1. Introduction
Many researchers are currently committed to finding sustainable alternatives to synthetic plastics, which not only harm the environment but also rely on the depletion of petroleum crude. This drive stems from the pressing need to mitigate the negative impact of petroleum-based plastics on the environment. Currently, there are biodegradable plastics like PBAT (poly(butylene adipate-co-terephthalate), a copolyester of adipic acid, 1,4-butanediol, and terephthalic acid), PBS (poly(butylene succinate), derived from direct esterification of succinic acid with 1,4-butanediol), PLA (poly(lactic acid), derived from sustainable sources), PHA (polyhydroxyalkanoates), and PHB (polyhydroxybutyrate, manufactured by microorganisms), which are eco-friendly alternatives to traditional plastics. Furthermore, over the past few years, there has been a growing focus on biodegradable polymers, which are derived from other sources, such as chitin from shrimp shells [], gelatin extract from fish [], starch from plants such as potato, corn, rice, and wheat [], and pectin from ripe fruits, especially from apples, oranges, and currants [].
Another alternative to biodegradable film production is to use flours, which are complex mixtures where starch, protein, lipids, and fibers are naturally present in the matrix [,]. The utilization of wheat flours for the production of bioplastics presents a cost-effective and energy-efficient alternative to purified starch, giving materials compelling functional characteristics, albeit with a drawback of reduced resistance to breaking [,]. Wheat flour, a popular processed grain product consumed worldwide, is primarily composed of starch and gluten. These macromolecular constituents play a crucial role in determining the fundamental functional and structural characteristics of wheat flour []. The primary constituent of wheat flour is starch, which is mainly composed of amylose (20–30%) and amylopectin (70–80%), making up around 70–75% of its overall composition [,]. Additionally, wheat flour contains protein, accounting for approximately 8–14%, and minor components like lipids, which constitute about 2% of its composition []. Additionally, it includes non-starch polysaccharides, making up around 2–3% of its composition, along with essential minerals, vitamins, antioxidants, and other crucial nutrients [].
Plasticizers are substances that, upon being introduced to another material, result in the softening or increased flexibility of said material. While this broad definition encompasses a wide range of products, the Council of the International Union of Pure and Applied Chemistry (IUPAC) adopted the following definition of a plasticizer: A plasticizer is a substance or material incorporated in a material (usually a plastic or elastomer) to increase its flexibility, workability, or distensibility. In addition, a plasticizer may reduce the melt viscosity, lower the temperature of a second-order transition, or lower the elastic modulus of the product []. Glycerol and sorbitol have proven to be efficient hydrophilic plasticizers in certain polysaccharide film formations [,]. The most used plasticizers that can be incorporated are glycerol, sorbitol, diethanolamine, triethanolamine, and polyethylene glycol [,]. Glucose, can also lead to better strength, flexibility, and biodegradability of wheat flour films [].
Coffee is one of the most consumed beverages in the world. Coffee silverskin (CS), refers to the outer layer of green coffee beans that is released as a by-product during the roasting process. It accounts for approximately 4% (w/w) of the total weight of coffee beans []. Few reports on the applications of CS in film production are available, as it mainly consists of polysaccharides, such as in the form of cellulose (24%), hemicellulose (17%), and lignin (29%). Moreover, modified and unmodified coffee silverskin has been used as a filler in polymer matrices of PLA, HDPE, LDPE PLA-PBS mixtures, and PBSA [,,,,], enhancing physical and chemical properties of new materials. Notably, this by-product serves as an excellent source of caffeine, polyphenols, tannins, and melanoidins, resulting in a high antioxidant activity level []. It should be noted here that although silverskin is a part of the coffee bean, its final use in edible packaging films should be checked for potential side effects on the human body.
Previous studies have used wheat flour to make biodegradable films [,,]. Hence, with these inputs, the present work is focused on the utilization of coffee silverskin as reinforcing fillers or aqueous extracts in the wheat flour matrix to form biocomposites. The innovation of this work is the use of wheat flour in the development of new materials and the enhancement of the final properties using by-products of the coffee industry. The fabricated biocomposites were characterized and tested for their structural, morphological, antioxidant, and tensile properties. These biocomposites are targeted for potential use in packaging and wrapping applications as an alternative to conventional biodegradable polymers.
2. Materials and Methods
2.1. Materials
The wheat flour used in this study was procured by a local company “Afoi Keramari MANNA” (Thessaloniki, Greece). Based on the information provided by the company, the primary ingredient used in the production of flour is sourced from Western Macedonian grain, specifically from Kozani and Grevena. The nutritional breakdown of wheat flour per 100 g consists of 1.5 g of fat (with 0 g being saturated), 75 g of carbohydrates (with 0 g of sugars), 0.6 g of dietary fibers, 12 g of proteins, and 0.002 g of salt. The food-grade Glucose (Dextrose) Monohydrate that was used was from Chemco.
Coffee silverskin, derived from the roasting of a mixture of Arabica and Robusta coffee varieties, were provided by AVEK S.A. (Thessaloniki, Greece) and milled (<200 μm).
Distilled water was used throughout the experiments.
2.2. Preparation of Biocomposite Wheat Flour Films (WFFs)
Films were prepared using wheat flour as a matrix and glucose as a plasticizer (1:1 weight ratio). The experimental procedure followed that of Petaloti et al. [], with some modifications. The specified quantity of flour and glucose was combined with 120 mL of distilled water. Coffee silverskin was pulverized using an electric grinder, washed with distilled water, and dried at 80 °C for 24 h prior to use. Aqueous solutions containing 1% and 2% w/v coffee silverskin were formulated through a mild heating process at 60 °C for 30 min. Subsequently, the solutions were filtered using a paper filter to collect the filtrate. Then, coffee silverskin particles in different concentrations (2.5–20 wt.% in relation to the dry weight of wheat flour) or coffee silverskin aqueous extract, which substituted a portion of the 120 mL distilled water (10 and 20 mL), was added to the solution and stirred for 10 min to facilitate the dissolution of the flour. Afterwards, it underwent exposure to a temperature of 90 °C and was sustained at that magnitude for duration of 10 min. Three films per formulation were examined by pouring the solution onto a silicone mold measuring 27 cm in diameter. The films were then dried in a vacuum oven at 40 °C for 24 h before being placed for 1 day in a desiccator with silica gel for analysis. Films can be easily affected by the moisture content. The composites prepared were given the code names WFF-Xss, where X is for CS concentration, and WFF-1%Z and WFF-2%Z, where 1% is a for 1% w/v extract and 2% for 2% w/v extract, and, finally, Z is A for 10 mL extract and B for 20 mL extract in the matrix.
2.3. Film Characterization
Optical and Morphological analysis. Images of WFFs with coffee silverskin particles, from Stereo zoom microscope (Kern Optics, Ballingen, Germany), were used to examine the dispersion of particles in the wheat flour matrix. A VIS2.0Pro microscope was used for particle measurements. The scanning electron microscope utilized for films with coffee silverskin aqueous extracts was FESEM JSM 7610 FPlus (JEOL) from JEOL in Tokyo, Japan, boasting an instrument resolution of 5 nm. In order to conduct a thorough analysis of the samples, it was imperative that they displayed conductivity. To facilitate this, a thin carbon-layer coating was administered to the samples to improve surface conductivity.
Color measurements. Measurements of the colorimetric indicators were performed using a Macbeth CE 3000 spectrophotometer under D65 illumination, 10° standard observer with ultraviolet (UV) included, and the specular component included.
The color intensity of the films was assessed through testing. The Kubelka–Munk equation was utilized to evaluate the color strength (K/S) via a light reflectance technique:
      
        
      
      
      
      
    
        where R stands for reflectance at the maximum absorption wavelength, S stands for the scattering the coefficient, and K stands for the absorption coefficient.
Water absorption (WC), Solubility, and Swelling Degree
To quantify the water content of the films, a sample measuring 1 × 1 cm was excised and weighed both before and after undergoing a 24 h drying process in an oven set at 105 °C. The samples were used after being left for one day in a desiccator with silica gel. The water absorption (%) was calculated by conducting three repeated measurements for each film and applying the specified equation:
      
        
      
      
      
      
    
        where Mo is the initial mass (g) and M is the bone-dry mass (g).
Film specimens of dimensions 1 × 1 cm underwent a desiccation process at 70 °C for 24 h in a vacuum oven to acquire the initial dry weight (M1). Following this, the films were positioned in 50 mL beakers filled with 30 mL of distilled water, sealed with plastic covers, and stored at 25 °C for 24 h. Upon completion of the designated time, any remaining water in the beakers was removed, and the residual film specimens were gently dried using filter paper. The residual film specimens (M2) were subsequently subjected to an additional round of desiccation at 70 °C for 24 h in a vacuum oven to determine the final dry weight (M3). Three measurements were conducted for each film specimen to ensure precision and uniformity. Film solubility and swelling degree were computed using the following equations, respectively:
      
        
      
      
      
      
    
      
        
      
      
      
      
    
FT-IR (ATR). The Perkin Elmer Spectrum 1 spectrophotometer (Shelton, CT, USA), was used for the analysis. It was outfitted with an attenuated total reflectance (ATR) device and employed thin films for the measurements. Spectra were captured within the 4000–650 cm−1 range at a 2 cm−1 resolution, with 32 scans averaged to reduce noise. Spectrum v5.0.1 software was utilized to detect multiple peaks.
Gas Permeability. The gas permeability of the films that were prepared was assessed by means of a gas permeability analyzer, model N500 instrument (Guangzhou Biaoji Packaging Equipment Co., Biaoji, China), under the following conditions: a constant temperature of 23 °C, relative humidity of 0%, and a gas flow rate of 10 mL/min.
Water Vapor Permeability. Water vapor permeability was assessed in accordance with the ASTM E96 standard []. The experiment used glass Petri dishes filled with 10 mL of distilled water, creating 100% humidity. The dishes were placed in a desiccator with silica gel, and their weights were measured before and after a 24 h period. The film thickness was measured at six points for calculations. The mass loss of the dish equaled the water permeated through the film. The permeability to water vapor was determined by plotting water passing through the film against time and calculating the slope. The value obtained was subsequently divided by the film’s area, denoted as A, to calculate the WVTR as per Equation (5).
        
      
      
      
    
        WVTR = (Δm/Δt)/A 
      
      To determine water vapor permeability (WVP) in accordance with Equation (6), the thickness of the film (dfilm) was multiplied by the WVTR value. The resultant product was then divided by the pressure differential in water vapor across the two sides of the film (Τ = 20 °C, Δp = 2339 Pa).
        
      
        
      
      
      
      
    
Antioxidant Activity. The present study assessed the antioxidant activity of the films using the DPPH (2,2-diphenyl-1-picrylhydrazyl) test. The experimental procedure was based on that by Petaloti et al. [], using a Shimadzu Spectrophotometer UV-1800 (Shimadzu, Kyoto, Japan). The percentage of antioxidant activity (AA) of the films was determined by measuring the absorbance (ABS) at 516 nm, with the absorbance of the DPPH solution serving as the control according to the following equation:
      
        
      
      
      
      
    
Mechanical Properties. Tensile experiments were carried out utilizing an Instron 3344 dynamometer, following the guidelines of ASTM D882 [] with a crosshead velocity of 10 mm/min. Specimens for the tensile tests were in the shape of a dumbbell (with central dimensions of 5 × 0.5 mm thickness and a gauge length of 22 mm), which were prepared using a Wallace cutting press. Each sample underwent a minimum of five trials, and the outcomes were combined to determine the average values for Young’s modulus, tensile strength, and elongation at fracture.
2.4. Statistical Analysis
One-way analysis of variance (ANOVA) was applied to determine statistical differences between different groups. The assumption of normal distribution was investigated for the variables using the Shapiro–Wilk test. Statistical analysis was performed using IBM SPSS Statistics 28. The statistical significance level was set at p-value ≤ 0.05.
3. Results and Discussion
3.1. Optical and Morphological Analysis
The images of wheat flour and coffee silverskin (2.5–20 wt.%) and SEM images of coffee silverskin aqueous extract composite films are presented in Figure 1 and Figure 2. The images indicate that while the pure wheat flour film is colorless and transparent, the composite films with coffee silverskin have evenly distributed filler particles and are brown in color. Compared with pure wheat flour, all the films exhibited lower light transmission, making them suitable for packaging photo-sensitive materials []. The coffee silverskin particles exhibited varying sizes and were evenly distributed within the matrix. Nevertheless, in certain areas, some agglomeration was also observable, as indicated by a larger particle size when the concentration of CS was increased. This clustering in higher concentrations imparted roughness on the surface of the wheat flour films (WFFs). The films with CS aqueous extracts exhibited a homogeneous and continuous structure, with no fragility or pores and cracks, owing to the glucose concentration in the matrix. As shown in the SEM images, glucose, glycerol and sorbitol as plasticizers in biofilms, yielded commensurate outcomes, with more uniform surface [,].
 
      
    
    Figure 1.
      Images of biocomposite wheat flour films with coffee silverskin particles.
  
 
      
    
    Figure 2.
      SEM images of biocomposite wheat flour films with coffee silverskin aqueous extracts.
  
3.2. Color Measurements
In Table 1 and Figure 3, it is evident that the color of the WFFs underwent a change following the addition of coffee silverskin particles and extracts, allowing for an evaluation of the color characteristics of the films. The lightness (L*) values of the WFF composites were notably lower compared with the control WFF. A gradual decrease in lightness values was observed across all samples, with a reduction of 41.15% for the maximum concentration of CS particles and 7.6% for films containing CS aqueous extracts. Conversely, the a* values exhibited a gradual increase, with higher values noted for films with CS particles. In contrast, films with CS aqueous extracts did not show a significant increase in a* values. Regarding the b* and c* values of the WFF-ss samples, they initially doubled upon the addition of coffee silverskin particles to the matrix before eventually reaching the same values as the WFF control film. Contrariwise, the b* and c* values for films with CS extracts, progressively escalated and almost doubled for the WFF-2%B film. The h* values decreased when CS particles or extracts were added to the matrix compared with the WFF control film, by up to 43.02% for WFF-20ss and 8.4% for WFF-2%B. The R% values decreased, as expected, when coffee silverskin particles and aqueous extracts were added to the wheat flour–glucose matrix. For all films, color strength (K/S) was inversely proportional to the reflectance at the maximum absorption wavelength (R%). Films with a higher content of coffee silverskin particles and aqueous extracts exhibited evaluated color strength in comparison with the WFF control film. Elevated levels appeared in films with coffee silverskin particles as the increased addition led to agglomerations coating the wheat flour matrix. The increased addition of CS particles to the matrix led to a brownish film and yellowish appearance for films with CS aqueous extracts. This conclusion matched the a* and b* values. Similar outcomes were observed for PLA films with coffee silverskin particles, which led to a light brown color, which was likely due to the increase in the a* and b* values [].
 
       
    
    Table 1.
    Color measurements of biocomposite wheat flour films (WFFs) with coffee silverskin particles and extracts.
  
 
      
    
    Figure 3.
      Color characteristics of the biocomposite materials studied.
  
3.3. FTIR Spectroscopy
The identification of the chemical structure of the prepared films was accomplished by recording their infrared (IR) spectra. Figure 4 illustrates the FTIR spectra for the wheat flour films composed of flour with varying coffee silverskin contents or aqueous extracts.

 
      
    
    Figure 4.
      FTIR-ATR spectra of WFF biocomposites with coffee silverskin particles and extracts.
  
The primary stretching mode of the –OH group is often associated with the spectral region between 3100 and 3700 cm−1. This specific band is obtained from the polysaccharide molecules and specific amino acids present in proteins of wheat flour []. It was observed that this band, situated within the range of 3100–3700 cm−1, exhibits an augmentation as the coffee silverskin particles or extract addition increased. The spectral region detected between 2800 and 3000 cm−1 is frequently linked to the elongation of the C–H (CH2) group present in the protein of wheat flour []. These two sharp bands at 2920 and 2850 cm−1 are attributed to C–H stretching vibration and have been previously reported in spectra of coffee silverskin [], roasted Arabica and Robusta coffee samples [], and roasted coffee husks []. The occurrence of peaks in this particular area can also be attributed to the asymmetrical stretching of the C–H bonds within the methyl (−CH3) group present in the caffeine molecule and lipids [,]. The band between 1700 and 1600 cm−1 is highly associated with C=O and C=N functional groups present in proteins of wheat flour [,]. These absorption peaks can be also linked to chlorogenic acids and caffeine []. The distinct peak around 1000 cm−1 is associated with the characteristic absorption peak of polysaccharide molecules [] and glycosidic bonds, which are related to galactomannans polysaccharide sugars, resulting from the stretching vibration of C–O in C–O–H bonds []. The FTIR/ATR spectrum of coffee silverskin in Figure 4 shows prominent bands at 3300 cm−1 (OH and NH stretching vibrations), 2920–2850 cm−1 (CH stretching in the methyl group of caffeine), 1640 cm−1 (carbonyl stretching), and 1030 cm−1 (CO stretching and CH rocking vibrations from polysaccharides like cellulose and hemicellulose) [].
The addition of coffee silverskin extracts and particles to the FTIR spectra of wheat flour and glucose (WFF) membranes results in noticeable interactions with the matrix. The spectra containing coffee silverskin extracts show slight shifts and changes in absorption band intensities in the hydroxyl (3200–3500 cm−1) and amide I and II (1500–1700 cm−1) regions, indicating potential hydrogen bond formation or other secondary interactions with the matrix. Moreover, variations in the C-O-C and C-O stretching regions (1000–1300 cm−1) suggest interactions with polysaccharides. On the other hand, the spectra with coffee silverskin particles display more significant shifts and intensity changes, particularly in the hydroxyl and amide regions, implying stronger interactions. These differences are likely attributed to the surface and structure of the particles, which enhance contact and interaction with the matrix. In conclusion, the findings imply that coffee silverskin additives, especially particles, have a substantial impact on the chemical environment of WFFs, influencing their ultimate properties.
3.4. Water Absorption (WA), Solubility, and Swelling Degree
Table 2 presents the fundamental characteristics of the films, encompassing their water absorption (%), solubility (%), and swelling degree (%). Water content (WC) showed a decrease of up to 25.15% when coffee silverskin was added to the matrix at the lowest concentration. Subsequently, with higher incorporations, water absorption increased, compared with the WFF-2.5ss film. The water absorption of the WFF-20ss film was 5.22% lower than that of the control WFF film. The addition of CS aqueous extract in the matrix showed a decrease in WA values up to 9.14–38.68%, with respect to the control WFF. Wheat filter flour films with glycerol and sorbitol as plasticizers, containing carvacrol as additive, exhibited comparable levels of WA []. On the contrary, films made from wheat flour by-products, when combined with glycerol and sorbitol, exhibited higher levels of WA [].
 
       
    
    Table 2.
    Water absorption (%), solubility (%), and swelling degree (%) of all prepared WFF biocomposites with coffee silverskin particles and extracts. Mean values and standard deviation. Different superscripts indicate statistically significant differences (p< 0.05).
  
The water resistance of biodegradable films can be greatly impacted by two essential attributes, i.e., solubility and swelling. The solubility and swelling degree values are presented in Table 2. By increasing the addition of coffee silverskin to wheat flour films, the swelling degree displayed an increase from 4.21% (WFF-2.5ss) to 42.57% (WFF-20ss) in relation to the control WFF. Initially, the inclusion of CS extracts led to elevated values of almost up to 50% (WFF-a1) and then reduced by up to 8.47% (WFF-2%B). Water solubility did not show much difference among the films. At first, water solubility showed a reduction of up to 11.93% and then exhibited an increase until WFF-10ss, with the same values as the control WFF. At two higher concentrations, the WFFs showed a decrease of up to 8.14% compared with the control WFF. This decrease in solubility values may be related to the presence of coffee silverskin, which has a hydrophobic character and bad solubility in water. In addition, the lower solubility of certain flour films can be attributed to the presence of lipids and proteins distributed throughout the wheat flour matrix as a result of adding coffee silverskin, which seems to improve hydrophobicity and reduce solubility []. Higher values of solubility were observed in films with CS extracts, as they are aqueous. Our films had less water resistance in comparison with films based on wheat filter flour incorporated with carvacrol and sorbitol/glycerol []. Similar trends were observed in amaranth flour-based films []. Wheat Flour/PBAT active films incorporated with oregano oil microparticles had lower solubility values, possibly because of the high concentration of PBAT, which has a hydrophobic character [].
3.5. Water Vapor and Gas Permeability
The primary purpose of a food package is frequently to inhibit or reduce the movement of moisture from food to the surrounding environment, necessitating the lowest possible water vapor permeability (WVP) []. Conversely, there are instances where having a packaging film with inadequate water vapor barrier properties can be advantageous. This is because it permits the transfer of water vapor through the film, thereby averting water condensation, which could lead to microbial deterioration []. Table 3 shows the oxygen transmission rate (OTR), the water vapor transmission rate (WVTR), and the water vapor permeability (WVP) of all studied WFF biocomposite materials.
 
       
    
    Table 3.
    The oxygen transmission rate (OTR), water vapor transmission rate (WVTR), and water vapor permeability (WVP) of all studied WFF biocomposite materials.
  
The addition of coffee silverskin particles and water extracts in the WFF matrix led to a lower water vapor transmission rate (WVTR) and water permeability (WVP) up to 33.91% for films with CS particles, owing to its hydrophobic character, and up to 55.36% for films with CS extracts. These WVP values were slightly lower for starch-based films, such as babassu (3.52–5.52 × 10−10 g m−1 s−1 Pa−1) [] and pinhão (3.11 × 10−10 g m−1 s−1 Pa−1, 28 ± 2% RH) [], but marginally higher for rice (0.08 × 10−10 g m−1 s−1 Pa−1, 75% RH) [], semolina (0.09 × 10−10 g m−1 s−1 Pa−1) [], and similar for chicken flour films (0.36 × 10−10 g m−1 s−1 Pa−1) []. WVP values of plasticized wheat flour filter film containing glycerol with carvacrol were slightly higher than ours (1.90  ×  10−10 g/m·s·Pa), and wheat flour filter film with sorbitol showed lower values []. Maniglia et al. [] suggested that films produced using flour are anticipated to exhibit elevated water vapor permeability (WVP). The increased water vapor permeability (WVP) can be ascribed to the plentiful hydrophilic groups found in non-starchy substances such as proteins and fibers.
The oxygen transmission rate (OTR) showed a decrease of up to 34.12% when coffee silverskin was added to the WFF matrix at the lowest concentration. Subsequently, in higher incorporations, the OTR increased and led to similar values as the control WFF. The OTR of the WFF-20ss film was 72.1% higher than the control WFF film. Coffee silverskin extracts led to lower OTR values in the range between 14.51 and 28.07% with respect to the WFF control film. Wheat gluten-derived gel coatings and films demonstrate favorable oxygen barrier properties because of their heightened resilience against nonpolar substances, such as O2, CO2, and lipids []. The films produced in this work showed higher OTR values than biofilms based on amaranth flour [].
The moisture of the samples played a very important role in the measurements of the above properties. The samples were very sensitive to moisture and were likely affected by this factor. The significant change in the values of the water vapor transmission rate (WVTR) and the oxygen transmission rate (OTR) with the addition of a small amount of coffee silverskin (CS) or extract can be explained by the interaction between the CS components and the film matrix. The role of polyphenols and other bioactive compounds in CS may be crucial in this case. Polyphenols have the ability to form secondary bonds such as hydrogen bonds, which can alter the structure and density of the membrane, leading to reduced diffusion of water vapor and oxygen. Additionally, the reduction in the water absorption of the film that was observed can contribute to this reduction, as moisture acts as a plasticizer, facilitating the diffusion of molecules within the membrane. When water absorbance decreases, the membrane becomes denser and less permeable.
3.6. Antioxidant Activity
Figure 5 illustrates the variation in antioxidant activity over time for WFFs with CS particles and extracts. WFF-2Oss exhibited a superior antioxidant capacity of 43.34%, attributed to its higher concentration of the additive. Films with CS extracts had lower values of antioxidant activity in 24 h. Pure wheat flour films with glucose as a plasticizer presented antioxidant activity of up to 18.43% in 24 h []. Thus, coffee silverskin augmented the antioxidant activity of the wheat flour films. Coffee silverskin is a rich source of bioactive components, such as melanoidins, caffeine, and dietary fibers, that possess antioxidant properties []. These constituents play a significant role in enhancing the antioxidant activity of coffee silverskin. Additionally, the elevated protein levels found in wheat flour in comparison with other grains appear to improve the antioxidant characteristics of the films []. Moreover, the antioxidant capacity can be attributed to the existence of phenolic acids, including ferulic, syringic, p-cumaric, vanillic, and caffeine, within wheat flour [].

 
      
    
    Figure 5.
      Antioxidant activity of the WFF-based biocomposites with coffee silverskin particles and extracts at time steps of 1, 2, 3, 4, 5, 6, and 24 h.
  
3.7. Mechanical Properties
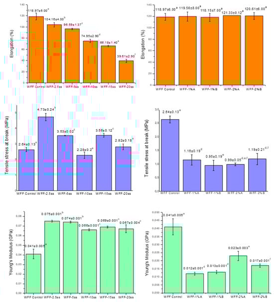
Finally, the mechanical properties of the materials prepared were examined using tensile measurements. Figure 6 shows a comparison of the samples containing different concentrations of coffee silverskin, which evidences a significant decrease of elongation at break of around 66.71% (WFF-20ss) compared with the control WFF. All films with CS extracts demonstrated equivalent values of elongation at break (%) compared with the control WFF. Compared to the neat WFF, a significant increase in tensile stress at break was observed only in the WFF-2.5ss film. The film presented a value of 4.73 ± 0.24 MPa, an increase of up to 79% compared with the neat wheat flour film (Table 4). The WFF-5ss and WFF-15ss films exhibited similar values of tensile stress at break, higher than the control WFF, of up to 33.7%. Films with CS aqueous extracts showed a decrease in the tensile stress at break ranging from 54.9 to 64.0%. As shown in Figure 6, the Young’s modulus of the WFF with coffee silverskin films was higher than that of the matrix, with similar values of up to 82.93%. The Young’s modulus of the films with CS extracts was lower, between 43.9 and 52.5% for the WFF control film. It should be noted that the values obtained for Young’s modulus may depend on how it is calculated. The highest value is obtained when it is estimated from the slope of the initial part of the load/extension curve. The values gradually decrease when it is calculated from the secant at an increased strain level. For rubbery polymers and crosslinked elastomers, often the so-called M100 value is calculated, which is the value of the stress at 100% extension (i.e., strain = 1). In this study, the first method was followed since in some of the samples, the tensile strain did not reach 100%. From the statistical analysis (Table 4), it was clear that the tensile strain at break was different for all composites with CS particles, whereas no significant difference was observed when CS aqueous extracts were used. Therefore, coffee silverskin particles as an additive to the WFF matrix led to higher tensile stress, and Young’s Modulus values and CS aqueous extracts did not affect the elongation values.
 
      
    
    Figure 6.
      Mechanical properties of all prepared WFF biocomposites with coffee silverskin particles and extracts. Mean values and standard deviation. Different superscripts indicate statistically significant differences (p< 0.05).
  
 
       
    
    Table 4.
    Tensile strain at break (%), tensile stress at break (MPa), and Young’s modulus (MPa) of all prepared WFF biocomposites with coffee silverskin particles and extracts. Mean values and standard deviation. Different superscripts indicate statistically significant differences (p < 0.05).
  
Estimating Young’s modulus from the stress–strain curve has limitations due to equipment accuracy, slippage, and loss of accuracy at large deformations. To provide more accurate estimations, Figure 7 shows tensile stress–strain% curves for selective samples, followed by a comparison of our films with well-known materials. The % elongation values for LDPE according to the literature are 20–100% and 100–700% for HDPE. The values of the WFF and the films with extracts are higher than those of LDPE and are in the range of those of HDPE. The values of all the films showed much lower values than the tensile stress and Young’s modulus of LDPE (7–17 MPa, 102–240 MPa) and HDPE (18 MPa, 960–1000 MPa) []. It is widely recognized that the level of moisture present in the samples significantly influences the mechanical characteristics of the materials, and it is possible that this factor had an impact in this instance. However, the significant decrease in Young’s modulus with the addition of 1% coffee silverskin extract and the substantial increase with the addition of 2.5% CS particles can be attributed to various factors affecting the microstructure and mechanical behavior of the membranes. The samples with extracts may contain polyphenols and other water-soluble compounds that act as plasticizers, reducing the rigidity of the polymer material and leading to a decrease in Young’s modulus. This results in a more flexible and less stiff material. Furthermore, the particles can act as reinforcing agents, enhancing the mechanical properties of the polymer through mechanisms such as dispersion strengthening and secondary phase reinforcement, resulting in an increase in stiffness and Young’s modulus.
 
      
    
    Figure 7.
      Tensile stress–strain curves for selected samples.
  
The films of wheat flour and coffee silverskin particles produced in this work presented superior mechanical properties than the extruded films produced only with wheat flour by Puglia et al. (tensile stress of 0.7–1.4 MPa and tensile strain of 36–72%) []. Similar values of tensile stress and lower values of tensile strain, in comparison with films with CS extracts, were observed by Benincasa et al. for extruded films with wheat flour (tensile stress ranged from 0.72 to 1.75 MPa and tensile strain ranged from 38.33 to 115.82%) []. Wheat flour by-product films containing glycerol and sorbitol exhibited lower values of tensile stress than the WFF-Xss films and values similar to films with CS extracts (ranging from 0.10 to 2.82 MPa), with tensile strain analogous to the WFF-Xss films (ranging from 25.84% to 56.71%) []. Similarly, biodegradable thermoplastics derived from wheat flour with varying concentrations of glycerol displayed lower Young’s modulus (16–276 MPa), tensile stress (0.9–4.9 MPa), and tensile strain (14–44%) []. The incorporation of oregano oil microparticles in wheat flour/PBAT active films during production resulted in comparable tensile stress (3.01–3.87 MPa), increased tensile strain (296.67–351.65%), and reduced Young’s modulus, comparable to films with CS extracts (15.20–19.16 MPa) []. Zdanowicz et al. [] found that the addition of spent coffee grounds into thermoplastic wheat flour led to an increase in tensile strength and a decrease in the swelling degree of biocomposites.
4. Concluding Remarks
Wheat flour films with coffee silverskin particles and extracts are a promising alternative source for biodegradable film production, strengthening the circular economy and the utilization of wastes. The addition of coffee silverskin significantly increased the antioxidant capacity of the films, which means that these films could replace synthetic preservatives in food mass so that no preservatives are used or consumed, which can be harmful to health. The incorporation of coffee silverskin provided lower water absorption and solubility because of the hydrophobicity of the additive, but a higher swelling degree. The films with coffee silverskin extracts produced in this work presented lower oxygen and water vapor transition rate values compared with the films with pure coffee silverskin particles. Furthermore, owing to the hydrophobic nature of coffee silverskin, there was a significant reduction in the water vapor transmission rate (WVTR) and water permeability (WVP) by as much as 33.91%. The WFF-Xss films exhibited remarkable mechanical characteristics, including elevated tensile stress at break and Young’s modulus, surpassing those of the control wheat flour film, while simultaneously displaying reduced tensile strain at break. The decrease in elongation at break observed with increased addition of the silverskin was due to the transition from a pure elastomeric material to a more brittle one following the formation of hydrogen bonds or other secondary interactions between the additive and the matrix, which was also found in the FTIR spectra. Although the samples were tested in the same conditions while they were completely dry, we believe that moisture may have affected their properties. Therefore for further research, we suggest testing different moisture levels to determine the effect of moisture on mechanical properties and using controlled temperature and humidity conditions during testing to maintain constant moisture levels.
Author Contributions
Conceptualization, A.-I.P. and D.S.A.; methodology, A.-I.P.; software, A.-I.P.; validation, A.-I.P.; formal analysis, A.-I.P., A.V. and C.G.; investigation, A.-I.P., A.V., C.G. and D.S.A.; resources, D.S.A.; data curation, A.-I.P.; writing—original draft preparation, A.-I.P.; writing—review and editing, A.-I.P. and D.S.A.; visualization, A.-I.P.; supervision, D.S.A.; project administration, D.S.A.; funding acquisition, D.S.A. All authors have read and agreed to the published version of the manuscript.
Funding
This research received no external funding.
Institutional Review Board Statement
Not applicable.
Informed Consent Statement
Not applicable.
Data Availability Statement
The raw data supporting the conclusions of this article will be made available by the authors on request.
Acknowledgments
We would like to thank E. Varka for providing the coffee silverskin used.
Conflicts of Interest
The authors declare no conflicts of interest.
References
- Lopez, O.; Garcia, M.A.; Villar, M.A.; Gentili, A.; Rodriguez, M.S.; Albertengo, L. Thermo-compression of biodegradable thermoplastic corn starch films containing chitin and chitosan. LWT Food Sci. Technol. 2014, 57, 106–115. [Google Scholar] [CrossRef]
- Le, T.; Maki, H.; Takahashi, K.; Okazaki, E.; Osako, K. Properties of Gelatin Film from Horse Mackerel (Trachurus japonicus) Scale. J. Food Sci. 2015, 80, E734–E741. [Google Scholar] [CrossRef] [PubMed]
- Mangaraj, S.; Yadav, A.; Bal, L.M.; Dash, S.K.; Mahanti, N.K. Application of Biodegradable Polymers in Food Packaging Industry: A Comprehensive Review. J. Packag. Technol. Res. 2019, 3, 77–96. [Google Scholar] [CrossRef]
- Valdés, A.; Burgos, N.; Jiménez, A.; Garrigós, M.C. Natural pectin polysaccharides as edible coatings. Coatings 2015, 5, 865–886. [Google Scholar] [CrossRef]
- Daudt, R.; Avena-Bustillos, R.; Williams, T.; Wood, D.; Külkamp-Guerreiro, I.; Marczak, L.; McHugh, T. Comparative study on properties of edible films based on pinhão (Araucaria angustifolia) starch and flour. Food Hydrocoll. 2016, 60, 279–287. [Google Scholar] [CrossRef]
- Orsuwan, A.; Sothornvit, R. Effect of banana and plasticizer types on mechanical, water barrier, and heat sealability of plasticized banana-based films. J. Food Process. Preserv. 2017, 42, e13380. [Google Scholar] [CrossRef]
- Benincasa, P.; Dominici, F.; Bocci, L.; Governatori, C.; Panfili, I.; Tosti, G.; Torre, L.; Puglia, D. Relationships between wheat flour baking properties and tensile characteristics of derived thermoplastic films. Ind. Crop. Prod. 2017, 100, 138–145. [Google Scholar] [CrossRef]
- Leblanc, N.; Saiah, R.; Beucher, E.; Gattin, R.; Castandet, M.; Saiter, J.-M. Structural investigation and thermal stability of new extruded wheat flour based polymeric materials. Carbohydr. Polym. 2008, 73, 548–557. [Google Scholar] [CrossRef]
- Gao, X.; Tong, J.; Guo, L.; Yu, L.; Li, S.; Yang, B.; Wang, L.; Liu, Y.; Li, F.; Guo, J.; et al. Influence of gluten and starch granules interactions on dough mixing properties in wheat (Triticum aestivum L.). Food Hydrocoll. 2020, 106, 105885. [Google Scholar] [CrossRef]
- Chen, G.-X.; Zhou, J.-W.; Liu, Y.-L.; Lu, X.-B.; Han, C.-X.; Zhang, W.-Y.; Xu, Y.-H.; Yan, Y.-M. Biosynthesis and Regulation of Wheat Amylose and Amylopectin from Proteomic and Phosphoproteomic Characterization of Granule-binding Proteins. Sci. Rep. 2016, 6, 33111. [Google Scholar] [CrossRef]
- BeMiller, J.N. Pasting, paste, and gel properties of starch–hydrocolloid combinations. Carbohydr. Polym. 2011, 86, 386–423. [Google Scholar] [CrossRef]
- Wang, Z.; Ma, S.; Sun, B.; Wang, F.; Huang, J.; Wang, X.; Bao, Q. Effects of thermal properties and behavior of wheat starch and gluten on their interaction: A review. Int. J. Biol. Macromol. 2021, 177, 474–484. [Google Scholar] [CrossRef] [PubMed]
- Guo, P.; Yu, J.; Copeland, L.; Wang, S.; Wang, S. Mechanisms of starch gelatinization during heating of wheat flour and its effect on in vitro starch digestibility. Food Hydrocoll. 2018, 82, 370–378. [Google Scholar] [CrossRef]
- Godwin, A.L.E.D. PLASTICIZERS. In Applied Polymer Science: 21st Century; Elsevier: Amsterdam, The Netherlands, 2000; pp. 157–175. [Google Scholar]
- Lim, W.S.; Ock, S.Y.; Park, G.D.; Lee, I.W.; Lee, M.H.; Park, H.J. Heat-sealing property of cassava starch film plasticized with glycerol and sorbitol. Food Packag. Shelf Life 2020, 26, 100556. [Google Scholar] [CrossRef]
- Aguirre, A.; Borneo, R.; León, A. Antimicrobial, mechanical and barrier properties of triticale protein films incorporated with oregano essential oil. Food Biosci. 2013, 1, 2–9. [Google Scholar] [CrossRef]
- Xu, J.; Li, Y. Wheat Gluten–Based Coatings and Films: Preparation, Properties, and Applications; John Wiley and Sons Inc.: Hoboken, NJ, USA, 2023. [Google Scholar] [CrossRef]
- Giyatmi; Melanie, S.; Fransiska, D.; Darmawan, M.; Irianto, H. Barrier and physical properties of arrowroot starch-carrageenan based biofilms. J. Bio-Sci. 2017, 25, 45–56. [Google Scholar] [CrossRef]
- Petaloti, A.-I.; Makri, S.; Achilias, D.S. Bioactive Edible Gel Films Based on Wheat Flour and Glucose for Food Packaging Applications. Gels 2024, 10, 105. [Google Scholar] [CrossRef] [PubMed]
- Ballesteros, L.F.; Teixeira, J.A.; Mussatto, S.I. Chemical, Functional, and Structural Properties of Spent Coffee Grounds and Coffee Silverskin. Food Bioproc. Technol. 2014, 7, 3493–3503. [Google Scholar] [CrossRef]
- Sung, S.H.; Chang, Y.; Han, J. Development of polylactic acid nanocomposite films reinforced with cellulose nanocrystals derived from coffee silverskin. Carbohydr. Polym. 2017, 169, 495–503. [Google Scholar] [CrossRef]
- Dominici, F.; García, D.G.; Fombuena, V.; Luzi, F.; Puglia, D.; Torre, L.; Balart, R. Bio-polyethylene-based composites reinforced with alkali and palmitoyl chloride-treated coffee silverskin. Molecules 2019, 24, 3113. [Google Scholar] [CrossRef]
- Hejna, A.; Korol, J.; Kosmela, P.; Kuzmin, A.; Piasecki, A.; Kulawik, A.; Chmielnicki, B. By-products from food industry as a promising alternative for the conventional fillers for wood–polymer composites. Polymers 2021, 13, 893. [Google Scholar] [CrossRef]
- Totaro, G.; Sisti, L.; Fiorini, M.; Lancellotti, I.; Andreola, F.N.; Saccani, A. Formulation of Green Particulate Composites from PLA and PBS Matrix and Wastes Deriving from the Coffee Production. J. Polym. Environ. 2019, 27, 1488–1496. [Google Scholar] [CrossRef]
- Pagliarini, E.; Totaro, G.; Saccani, A.; Gaggìa, F.; Lancellotti, I.; Di Gioia, D.; Sisti, L. Valorization of coffee wastes as plant growth promoter in mulching film production: A contribution to a circular economy. Sci. Total. Environ. 2023, 871, 162093. [Google Scholar] [CrossRef] [PubMed]
- Conde, T.; Mussatto, S.I. Isolation of polyphenols from spent coffee grounds and silverskin by mild hydrothermal pretreatment. Prep. Biochem. Biotechnol. 2016, 46, 406–409. [Google Scholar] [CrossRef]
- Drakos, A.; Pelava, E.; Evageliou, V. Properties of flour films as affected by the flour’s source and particle size. Food Res. Int. 2018, 107, 551–558. [Google Scholar] [CrossRef] [PubMed]
- An Outline of Standard ASTM E96 for Cup Method Water Vapor Permeability Testing. [Online]. Available online: www.labthinkinternational.com.cn (accessed on 5 December 2022).
- Petaloti, A.-I.; Achilias, D.S. The Development of Sustainable Biocomposite Materials Based on Poly(lactic acid) and Silverskin, a Coffee Industry By-Product, for Food Packaging Applications. Sustainability 2024, 16, 5075. [Google Scholar] [CrossRef]
- ASTM D 882. Tensile Testing of Thin Plastic Sheeting. Available online: https://www.instron.com/es-es/-/media/literature-library/applications/2006/02/astm-d-882---tensile-testing-of-thin-plastic-sheeting.pdf (accessed on 15 November 2020).
- Thiagamani, S.M.K.; Nagarajan, R.; Jawaid, M.; Anumakonda, V.; Siengchin, S. Utilization of chemically treated municipal solid waste (spent coffee bean powder) as reinforcement in cellulose matrix for packaging applications. Waste Manag. 2017, 69, 445–454. [Google Scholar] [CrossRef]
- Mossavi, M.P.; Kashiri, M.; Maghsoudlou, Y.; Khomiri, M.; Alami, M. Development and characterization of a novel multifunctional film based on wheat filter flour incorporated with carvacrol: Antibacterial, antifungal, and insecticidal potentials. Food Sci. Technol. Int. 2022, 28, 603–612. [Google Scholar] [CrossRef]
- Chen, X.; Cui, F.; Zi, H.; Zhou, Y.; Liu, H.; Xiao, J. Development and characterization of a hydroxypropyl starch/zein bilayer edible film. Int. J. Biol. Macromol. 2019, 141, 1175–1182. [Google Scholar] [CrossRef]
- Tao, R.; Sedman, J.; Ismail, A. Characterization and in vitro antimicrobial study of soy protein isolate films incorporating carvacrol. Food Hydrocoll. 2021, 122, 107091. [Google Scholar] [CrossRef]
- Kemsley, E.K.; Ruault, S.; Wilson, R.H. Discrimination between Coffea arabica and Coffea canephora variant robusta beans using infrared spectroscopy. Food Chem. 1995, 54, 321–326. [Google Scholar] [CrossRef]
- Reis, N.; Franca, A.S.; Oliveira, L.S. Discrimination between roasted coffee, roasted corn and coffee husks by Diffuse Reflectance Infrared Fourier Transform Spectroscopy. LWT 2013, 50, 715–722. [Google Scholar] [CrossRef]
- Paradkar, M.M.; Irudayaraj, J. Rapid determination of caffeine content in soft drinks using FTIR–ATR spectroscopy. Food Chem. 2002, 78, 261–266. [Google Scholar] [CrossRef]
- Cremer, D.R.; Kaletunç, G. Fourier transform infrared microspectroscopic study of the chemical microstructure of corn and oat flour-based extrudates. Carbohydr. Polym. 2003, 52, 53–65. [Google Scholar] [CrossRef]
- Xiao, Q.; Woo, M.W.; Hu, J.; Xiong, H.; Zhao, Q. The role of heating time on the characteristics, functional properties and antioxidant activity of enzyme-hydrolyzed rice proteins-glucose Maillard reaction products. Food Biosci. 2021, 43, 101225. [Google Scholar] [CrossRef]
- Ribeiro, J.S.; Salva, T.J.; Ferreira, M.M. Chemometric studies for quality control of processed brazilian coffees using drifts. J. Food Qual. 2010, 33, 212–227. [Google Scholar] [CrossRef]
- Luo, S.; Chen, J.; He, J.; Li, H.; Jia, Q.; Hossen, A.; Dai, J.; Qin, W.; Liu, Y. Preparation of corn starch/rock bean protein edible film loaded with d-limonene particles and their application in glutinous rice cake preservation. Int. J. Biol. Macromol. 2022, 206, 313–324. [Google Scholar] [CrossRef]
- Figueiró, S.; Góes, J.C.; Moreira, R.; Sombra, A. On the physico-chemical and dielectric properties of glutaraldehyde crosslinked galactomannan–collagen films. Carbohydr. Polym. 2004, 56, 313–320. [Google Scholar] [CrossRef]
- Peron-Schlosser, B.; Carpiné, D.; Jorge, R.M.M.; Spier, M.R. Optimization of wheat flour by product films: A technological and sustainable approach for bio-based packaging material. J. Food Sci. 2021, 86, 4522–4538. [Google Scholar] [CrossRef]
- Tapia-Blácido, D.; Sobral, P.J.; Menegalli, F.C. Development and characterization of biofilms based on Amaranth flour (Amaranthus caudatus). J. Food Eng. 2005, 67, 215–223. [Google Scholar] [CrossRef]
- Balan, G.C.; Paulo, A.F.S.; Correa, L.G.; Alvim, I.D.; Ueno, C.T.; Coelho, A.R.; Ströher, G.R.; Yamashita, F.; Sakanaka, L.S.; Shirai, M.A. Production of Wheat Flour/PBAT Active Films Incorporated with Oregano Oil Microparticles and Its Application in Fresh Pastry Conservation. Food Bioprocess Technol. 2021, 14, 1587–1599. [Google Scholar] [CrossRef]
- Mir, S.A.; Dar, B.N.; Wani, A.A.; Shah, M.A. Effect of plant extracts on the techno-functional properties of biodegradable packaging films. Trends Food Sci. Technol. 2018, 80, 141–154. [Google Scholar] [CrossRef]
- Sarebanha, S.; Farhan, A. Eco-friendly Composite Films Based on Polyvinyl Alcohol and Jackfruit Waste Flour. J. Packag. Technol. Res. 2018, 2, 181–190. [Google Scholar] [CrossRef]
- Maniglia, B.C.; Tessaro, L.; Ramos, A.P.; Tapia-Blácido, D.R. Which plasticizer is suitable for films based on babassu starch isolated by different methods? Food Hydrocoll. 2018, 89, 143–152. [Google Scholar] [CrossRef]
- Silva-Rodrigues, H.C.; Silveira, M.P.; Helm, C.V.; Jorge, L.M.d.M.; Jorge, R.M.M. Gluten free edible film based on rice flour reinforced by guabiroba (Campomanesia xanthocarpa) pulp. J. Appl. Polym. Sci. 2020, 137, 49254. [Google Scholar] [CrossRef]
- Jafarzadeh, S.; Alias, A.K.; Ariffin, F.; Mahmud, S. Physico-mechanical and microstructural properties of semolina flour films as influenced by different sorbitol/glycerol concentrations. Int. J. Food Prop. 2018, 21, 983–995. [Google Scholar] [CrossRef]
- Camiletti, O.F.; Riveros, C.G.; Aguirre, A.; Grosso, N.R. Sunflower oil preservation by using chickpea flour film as bio-packaging material. J. Food Sci. 2021, 86, 61–67. [Google Scholar] [CrossRef]
- Maniglia, B.C.; Tessaro, L.; Lucas, A.A.; Tapia-Blácido, D.R. Bioactive films based on babassu mesocarp flour and starch. Food Hydrocoll. 2017, 70, 383–391. [Google Scholar] [CrossRef]
- Lin, D.; Zhao, Y. Innovations in the development and application of edible coatings for fresh and minimally processed fruits and vegetables. Compr. Rev. Food Sci. Food Saf. 2007, 6, 60–75. [Google Scholar] [CrossRef]
- Iriondo-DeHond, A.; Martorell, P.; Genovés, S.; Ramón, D.; Stamatakis, K.; Fresno, M.; Molina, A.; Del Castillo, M.D. Coffee silverskin extract protects against accelerated aging caused by oxidative Agents. Molecules 2016, 21, 721. [Google Scholar] [CrossRef]
- Lv, J.; Yu, L.; Lu, Y.; Niu, Y.; Liu, L.; Costa, J.; Yu, L. Phytochemical compositions, and antioxidant properties, and antiproliferative activities of wheat flour. Food Chem. 2012, 135, 325–331. [Google Scholar] [CrossRef] [PubMed]
- Favaro, S.L.; Pereira, A.G.B.; Fernandes, J.R.; Baron, O.; da Silva, C.T.P.; Moisés, M.P.; Radovanovic, E. Outstanding Impact Resistance of Post-Consumer HDPE/Multilayer Packaging Composites. Mater. Sci. Appl. 2017, 8, 15–25. [Google Scholar] [CrossRef]
- Puglia, D.; Dominici, F.; Kenny, J.M.; Santulli, C.; Governatori, C.; Tosti, G.; Benincasa, P. Tensile Behavior of Thermoplastic Films from Wheat Flours as Function of Raw Material Baking Properties. J. Polym. Environ. 2016, 24, 37–47. [Google Scholar] [CrossRef]
- Sreekumar, P.A.; Leblanc, N.; Saiter, J.M. Effect of Glycerol on the Properties of 100% Biodegradable Thermoplastic Based on Wheat Flour. J. Polym. Environ. 2013, 21, 388–394. [Google Scholar] [CrossRef]
- Zdanowicz, M.; Rokosa, M.; Pieczykolan, M.; Antosik, A.K.; Skórczewska, K. Biocomposites Based on Wheat Flour with Urea-Based Eutectic Plasticizer and Spent Coffee Grounds: Preparation, Physicochemical Characterization, and Study of their Influence on Plant Growth. Materials 2024, 17, 1212. [Google Scholar] [CrossRef]
| Disclaimer/Publisher’s Note: The statements, opinions and data contained in all publications are solely those of the individual author(s) and contributor(s) and not of MDPI and/or the editor(s). MDPI and/or the editor(s) disclaim responsibility for any injury to people or property resulting from any ideas, methods, instructions or products referred to in the content. | 
© 2024 by the authors. Licensee MDPI, Basel, Switzerland. This article is an open access article distributed under the terms and conditions of the Creative Commons Attribution (CC BY) license (https://creativecommons.org/licenses/by/4.0/).
