Sensitive Information Detection Based on Deep Learning Models
Abstract
1. Introduction
2. YOLOv8 Detection Algorithm
3. Improved YOLOv8 Model
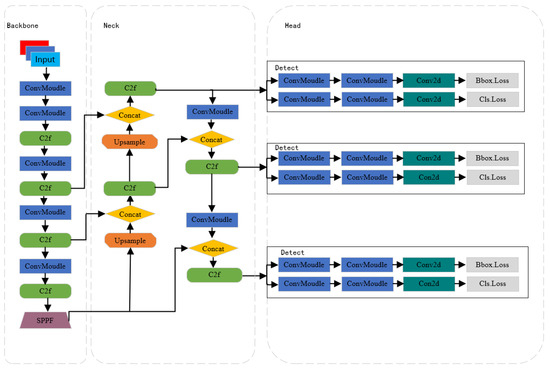
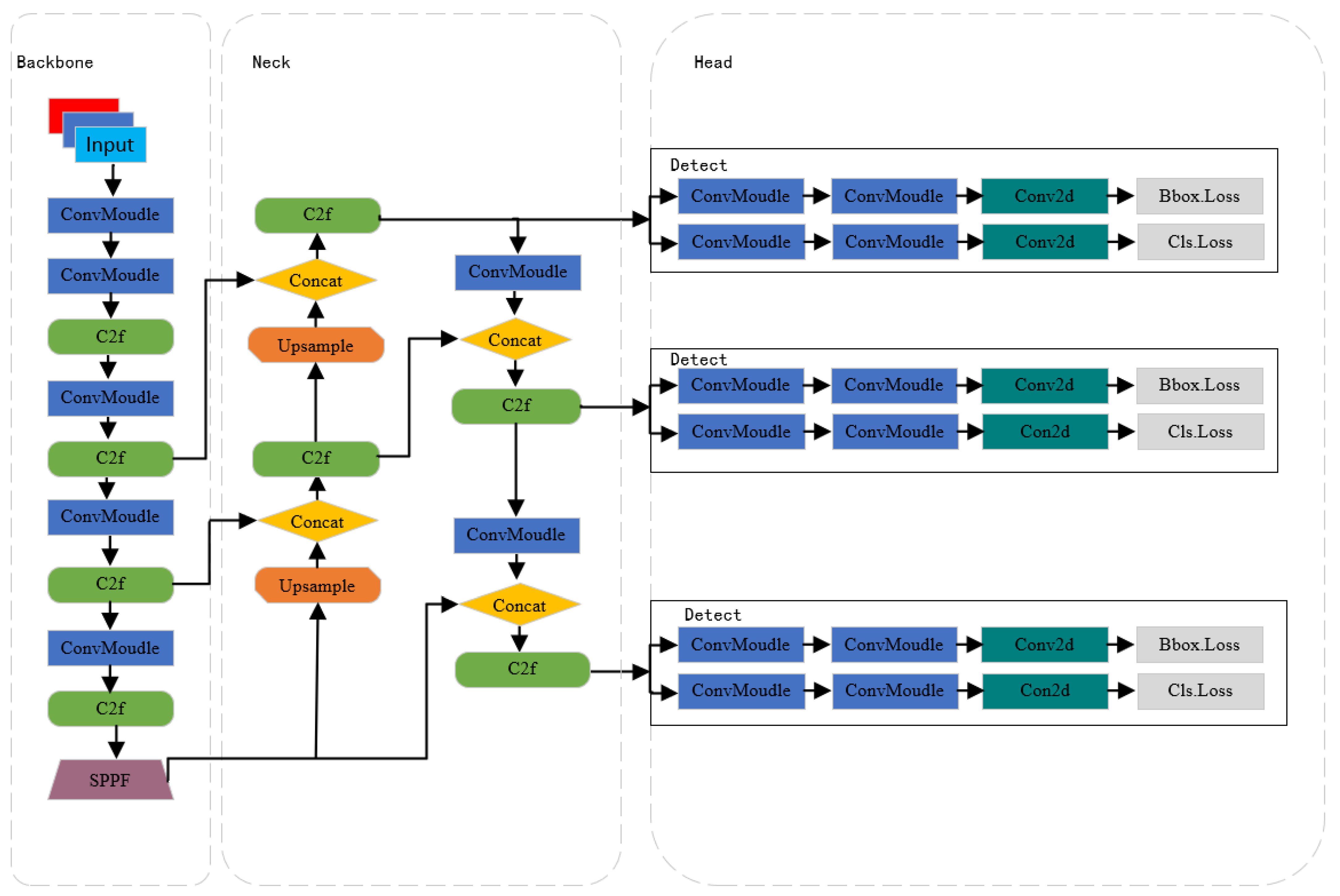
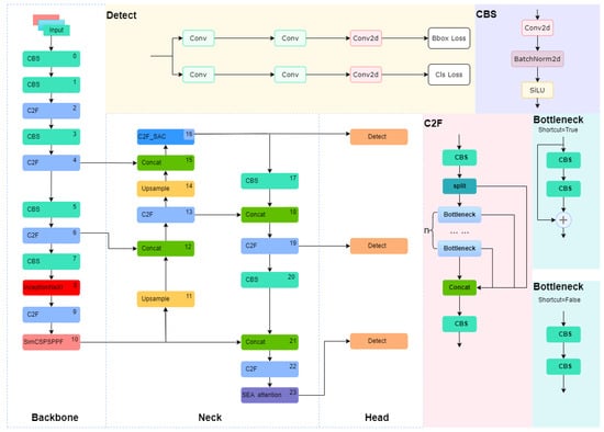
3.1. Improved YOLOv8 Algorithm Architecture
3.2. Optimizing Feature Extraction Capability
- Small square kernels (3 × 3):where C represents the number of channels, is the processed number of channels, and denotes depthwise separable convolution.
- Horizontal stripe-shaped kernel (1 × 11):
- Vertical stripe-shaped kernel (11 × 1):
- The identity mapping branch remains unchanged:
3.3. Optimizing Spatial Pyramid Pooling
3.4. Improving Model Detection Performance
3.5. Enhancing the Model’s Capture Capability
4. Experiments
4.1. Experimental Dataset
4.2. Experimental Environment and Parameter Settings
4.3. Experimental Evaluation Indicators
4.4. Experimental Results and Analysis
4.4.1. Comparison of Different Spatial Pyramid Pool Layers
4.4.2. Comparison of Different Attention Mechanism Effects
4.4.3. Ablation Experiment
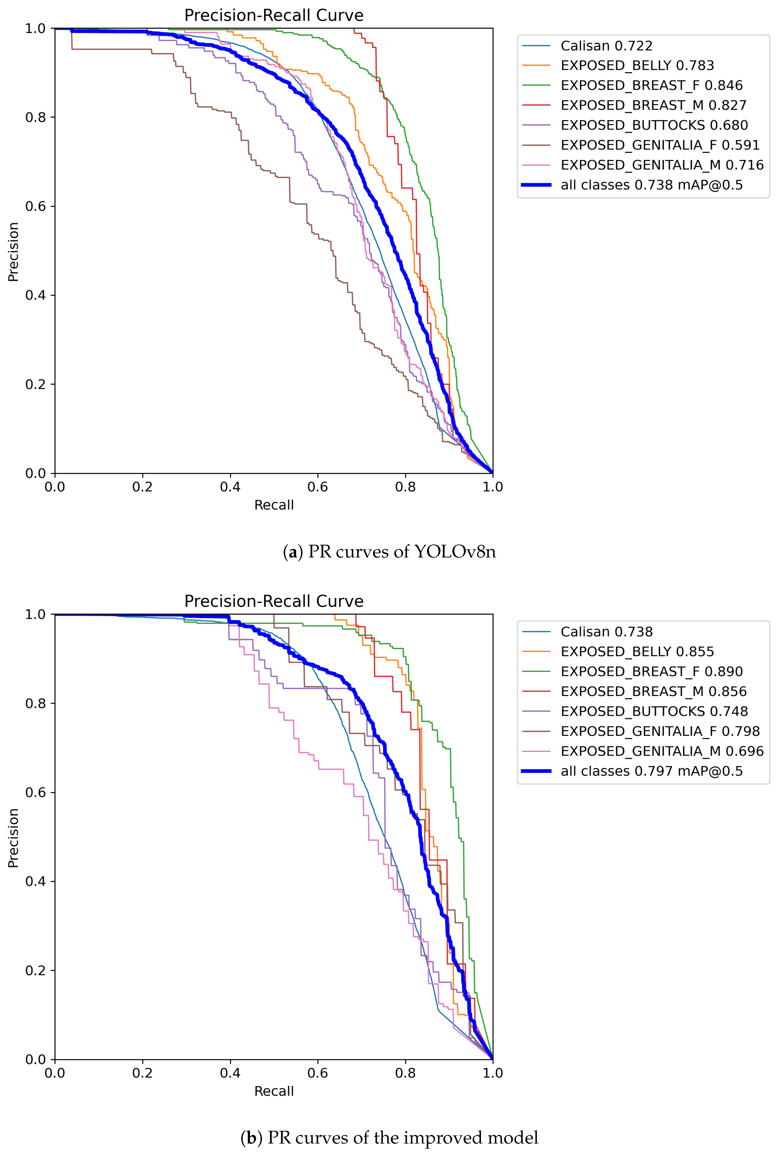
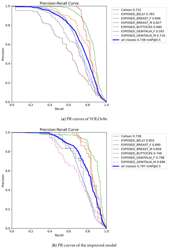
4.4.4. Comparative Experiment
4.4.5. Generalization Comparative Experiment
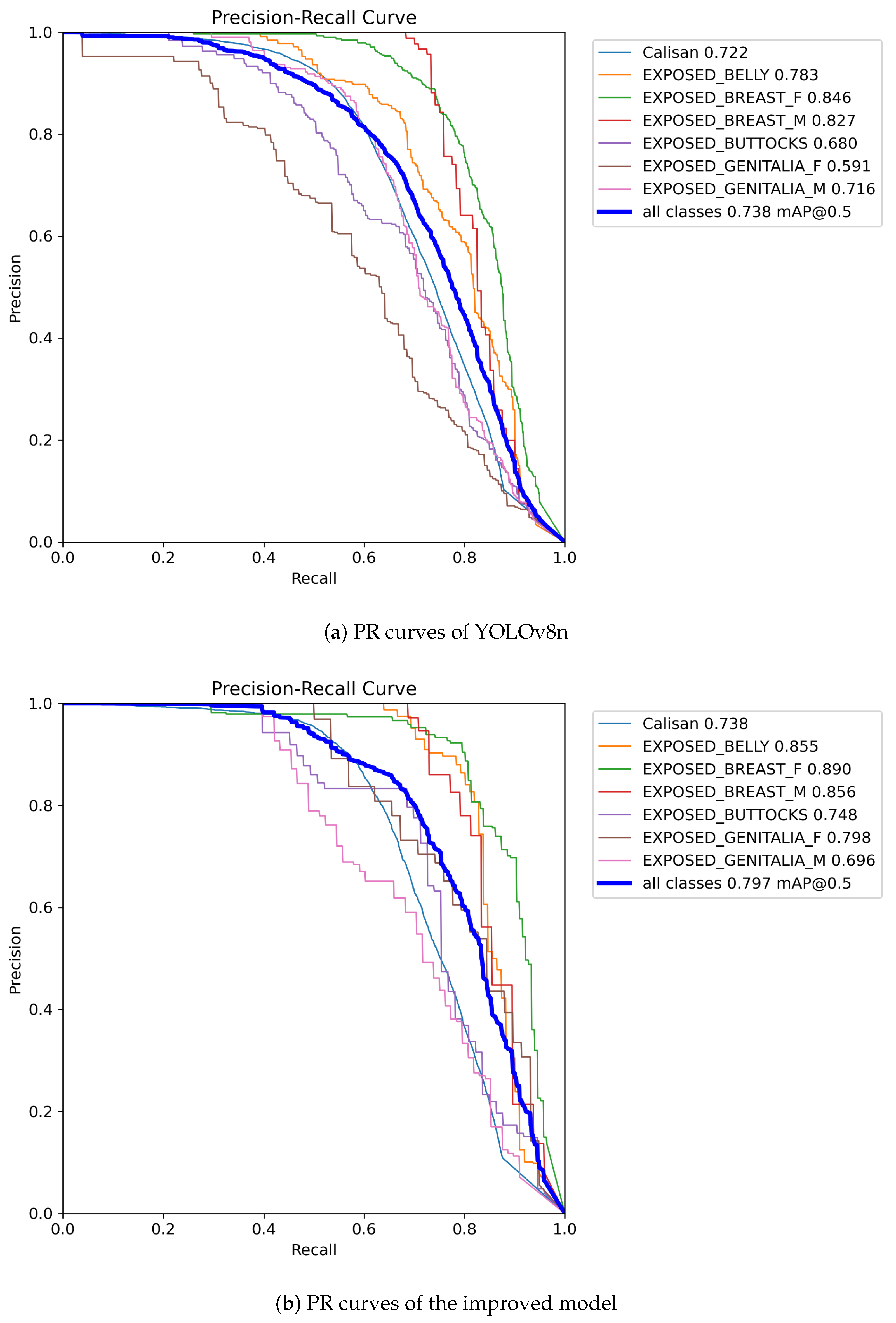
4.4.6. Visualization Analysis
5. Conclusions
Author Contributions
Funding
Institutional Review Board Statement
Informed Consent Statement
Data Availability Statement
Conflicts of Interest
References
- Sivic, J.; Zisserman, A. Video Google: A Text Retrieval Approach to Object Matching in Videos. In Proceedings of the Ninth IEEE International Conference on Computer Vision, Nice, France, 13–16 October 2003; IEEE: Piscatway, NJ, USA, 2003; Volume 2, pp. 1470–1477. [Google Scholar]
- Lowe, D.G. Distinctive Image Features from Scale-Invariant Keypoints. Int. J. Comput. Vis. 2004, 60, 91–110. [Google Scholar] [CrossRef]
- Wang, X.; Hu, C.; Yao, S. An adult image recognizing algorithm based on naked body detection. In Proceedings of the 2009 ISECS International Colloquium on Computing, Communication, Control, and Management, Sanya, China, 8–9 August 2009; Volume 4, pp. 197–200. [Google Scholar]
- Deselaers, T.; Pimenidis, L.; Ney, H. Bag-of-visual-words models for adult image classification and filtering. In Proceedings of the 2008 19th International Conference on Pattern Recognition, Tampa, FL, USA, 8–11 December 2008; pp. 1–4. [Google Scholar]
- Basilio, J.; Torres, G.; Sanchez-Perez, G.; Toscano, K.; Perez-Meana, H. Explicit Image Detection Using YCbCr Space Color Model as Skin Detection. Appl. Math. Comput. Eng. 2011, 123–128. [Google Scholar]
- Yin, H.; Xu, X.; Ye, L. Big Skin Regions Detection for Adult Image Identification. In Proceedings of the 2011 Workshop on Digital Media and Digital Content Management, Hangzhou, China, 15–16 May 2011; pp. 242–247. [Google Scholar]
- Krizhevsky, A.; Sutskever, I.; Hinton, G.E. ImageNet Classification with Deep Convolutional Neural Networks. Commun. ACM 2017, 60, 84–90. [Google Scholar] [CrossRef]
- Moustafa, M. Applying Deep Learning to Classify Pornographic Images and Videos. arXiv 2015, arXiv:1511.08899. [Google Scholar]
- Girshick, R.; Donahue, J.; Darrell, T.; Malik, J. Rich Feature Hierarchies for Accurate Object Detection and Semantic Segmentation. In Proceedings of the 2014 IEEE Conference on Computer Vision and Pattern Recognition, Columbus, OH, USA, 23–28 June 2014; IEEE: Piscatway, NJ, USA, 2014; pp. 580–587. [Google Scholar]
- Redmon, J.; Divvala, S.; Girshick, R.; Farhadi, A. You Only Look Once: Unified, Real-Time Object Detection. In Proceedings of the 2016 IEEE Conference on Computer Vision and Pattern Recognition (CVPR), Las Vegas, NV, USA, 26 June–1 July 2016; IEEE: Piscatway, NJ, USA, 2016; pp. 779–788. [Google Scholar]
- Liu, W.; Anguelov, D.; Erhan, D.; Szegedy, C.; Reed, S.; Fu, C.-Y.; Berg, A.C. SSD: Single Shot MultiBox Detector. In Computer Vision—ECCV 2016; Leibe, B., Matas, J., Sebe, N., Welling, M., Eds.; Springer International Publishing: Cham, Switzerland, 2016; pp. 21–37. [Google Scholar]
- Chen, Y.; Xu, H.; Zhang, X.; Gao, P.; Xu, Z.; Huang, X. An object detection method for bayberry trees based on an improved YOLO algorithm. Int. J. Digit. Earth 2023, 16, 781–805. [Google Scholar] [CrossRef]
- Sumi, L.; Dey, S. YOLOv5-based weapon detection systems with data augmentation. Int. J. Comput. Appl. 2023, 45, 288–296. [Google Scholar] [CrossRef]
- Chen, C.; Wang, S.; Huang, S. An improved faster RCNN-based weld ultrasonic atlas defect detection method. Meas. Control. 2023, 56, 832–843. [Google Scholar] [CrossRef]
- Liang, C.; Yan, W.Q. Human Action Recognition Based on YOLOv7. In Deep Learning, Reinforcement Learning, and the Rise of Intelligent Systems; Uddin, M., Mashwani, W., Eds.; IGI Global: Hershey, PA, USA, 2024; pp. 126–145. [Google Scholar]
- Mao, Y.; Song, B.; Zhang, Z.; Yang, W.; Lan, Y. A lightweight image sensitive information detection model based on yolov5s. Acad. J. Comput. Inf. Sci. 2023, 6, 20–27. [Google Scholar]
- Yu, W.; Zhou, P.; Yan, S.; Wang, X. InceptionNeXt: When Inception Meets ConvNeXt. arXiv 2023, arXiv:abs/2303.16900. [Google Scholar]
- Li, C.; Li, L.; Geng, Y.; Jiang, H.; Cheng, M.; Zhang, B.; Ke, Z.; Xu, X.; Chu, X. YOLOv6 v3.0: A Full-Scale Reloading. arXiv 2023, arXiv:2301.05586. [Google Scholar]
- Wang, C.-Y.; Bochkovskiy, A.; Liao, H.-Y.M. YOLOv7: Trainable Bag-of-Freebies Sets New State-of-the-Art for Real-Time Object Detectors. In Proceedings of the 2023 IEEE/CVF Conference on Computer Vision and Pattern Recognition (CVPR), Vancouver, BC, Canada, 17–24 June 2023; IEEE/CVF: Piscatway, NJ, USA, 2023; pp. 7464–7475. [Google Scholar]
- Qiao, S.; Chen, L.-C.; Yuille, A. DetectoRS: Detecting Objects with Recursive Feature Pyramid and Switchable Atrous Convolution. In Proceedings of the 2021 IEEE/CVF Conference on Computer Vision and Pattern Recognition (CVPR), Nashville, TN, USA, 20–25 June 2021; IEEE/CVF: Piscatway, NJ, USA, 2021; pp. 10208–10219. [Google Scholar]
- Wan, Q.; Huang, Z.; Lu, J.; Yu, G.; Zhang, L. SeaFormer: Squeeze-enhanced Axial Transformer for Mobile Semantic Segmentation. arXiv 2023, arXiv:2301.13156. [CrossRef]. [Google Scholar]
- Li, C.; Li, L.; Jiang, H.; Weng, K.; Geng, Y.; Li, L.; Ke, Z.; Li, Q.; Cheng, M.; Nie, W.; et al. YOLOv6: A Single-Stage Object Detection Framework for Industrial Applications. arXiv 2022, arXiv:2209.02976. [Google Scholar]
- Hu, J.; Shen, L.; Sun, G. Squeeze-and-Excitation Networks. In Proceedings of the 2018 IEEE/CVF Conference on Computer Vision and Pattern Recognition, Salt Lake City, UT, USA, 18–23 June 2018; IEEE/CVF: Piscatway, NJ, USA, 2018; pp. 7132–7141. [Google Scholar]
- Hou, Q.; Zhou, D.; Feng, J. Coordinate Attention for Efficient Mobile Network Design. In Proceedings of the 2021 IEEE/CVF Conference on Computer Vision and Pattern Recognition (CVPR), Nashville, TN, USA, 20–25 June 2021; IEEE/CVF: Piscatway, NJ, USA, 2021; pp. 13708–13717. [Google Scholar]
- Ouyang, D.; He, S.; Zhang, G.; Luo, M.; Guo, H.; Zhan, J.; Huang, Z. Efficient Multi-Scale Attention Module with Cross-Spatial Learning. In Proceedings of the ICASSP 2023—2023 IEEE International Conference on Acoustics, Speech and Signal Processing (ICASSP), Rhodes Island, Greece, 4–10 June 2023; IEEE: Piscatway, NJ, USA, 2023; pp. 1–5. [Google Scholar]
- Woo, S.; Park, J.; Lee, J.-Y.; Kweon, I.S. CBAM: Convolutional Block Attention Module. In Proceedings of the Computer Vision—ECCV 2018, Munich, Germany, 8–14 September 2018; Springer International Publishing: Berlin/Heidelberg, Germany, 2018; pp. 3–19. [Google Scholar]
- Yu, Y.; Zhang, Y.; Cheng, Z.; Song, Z.; Tang, C. MCA: Multidimensional collaborative attention in deep convolutional neural networks for image recognition. Eng. Appl. Artif. Intell. 2023, 126, 107079. [Google Scholar] [CrossRef]
- Liu, Y.; Shao, Z.; Hoffmann, N. Global Attention Mechanism: Retain Information to Enhance Channel-Spatial Interactions. arXiv 2021, arXiv:abs/2112.05561. [Google Scholar]
- Adarsh, P.; Rathi, P.; Kumar, M. YOLO v3-Tiny: Object Detection and Recognition using one stage improved model. In Proceedings of the 2020 6th International Conference on Advanced Computing and Communication Systems (ICACCS), Coimbatore, India, 6–7 March 2020; IEEE: Piscatway, NJ, USA, 2020; pp. 687–694. [Google Scholar]
- Lv, W.; Xu, S.; Zhao, Y.; Wang, G.; Wei, J.; Cui, C.; Du, Y.; Dang, Q.; Liu, Y. DETRs Beat YOLOs on Real-time Object Detection. arXiv 2023, arXiv:abs/2304.08069. [Google Scholar]
- Wang, C.; He, W.; Nie, Y.; Guo, J.; Liu, C.; Han, K.; Wang, Y. Gold-YOLO: Efficient Object Detector via Gather-and-Distribute Mechanism. arXiv 2023, arXiv:abs/2309.11331. [Google Scholar]
- Wang, C.-Y.; Yeh, I.-H.; Liao, H. YOLOv9: Learning What You Want to Learn Using Programmable Gradient Information. arXiv 2024, arXiv:abs/2402.13616. [Google Scholar]









| Models | mAP0.5/% | Params (M) | GFLOPs | Detection Time/ms |
|---|---|---|---|---|
| YOLOv8n+SPP | 73.4 | 3.00 | 8.1 | 2.6 |
| YOLOv8n+SPPF | 73.8 | 3.00 | 8.1 | 2.4 |
| YOLOv8n+SimSPPF | 74.8 | 3.00 | 8.1 | 3.5 |
| YOLOv8n+SimSPPCSPC | 76.2 | 4.61 | 9.4 | 3.7 |
| YOLOv8n+SimCSPSPPF | 77.9 | 4.61 | 9.4 | 3.6 |
| Models | mAP0.5/% | Precision% | Recall% | Params (M) | GFLOPs |
|---|---|---|---|---|---|
| IS-YOLOV8n+SE [23] | 78.5 | 84.0 | 69.4 | 5.14 | 9.6 |
| +CA [24] | 78.1 | 83.3 | 68.0 | 5.14 | 9.6 |
| +EMA [25] | 78.6 | 81.8 | 69.2 | 5.13 | 9.6 |
| +CBAM [26] | 79.3 | 81.0 | 71.6 | 5.14 | 9.6 |
| +MCA [27] | 78.3 | 83.0 | 67.0 | 5.13 | 9.6 |
| +GAM [28] | 78.4 | 82.3 | 69.7 | 6.77 | 10.9 |
| +Sea Attention | 79.7 | 83.4 | 70.7 | 6.61 | 10.7 |
| Baseline | InceptionNext | SimCSPSPPF | C2F_SAC | Sea Attention | mAP0.5% | Precision% | Recall% | Params (M) | GFLOPs |
|---|---|---|---|---|---|---|---|---|---|
| 73.8 | 78.3 | 64.3 | 3.00 | 8.1 | |||||
| ✓ | 76 | 78.6 | 67.7 | 3.53 | 8.5 | ||||
| YOLOv8n | ✓ | ✓ | 78.5 | 80.3 | 71.4 | 5.14 | 9.8 | ||
| ✓ | ✓ | ✓ | 79.2 | 88.7 | 67.3 | 5.13 | 9.6 | ||
| ✓ | ✓ | ✓ | ✓ | 79.7 | 83.4 | 70.7 | 6.61 | 10.7 |
| Models | mAP0.5% | Precision% | Recall% | Params (M) | GFLOPs |
|---|---|---|---|---|---|
| YOLOv3-tiny | 70.2 | 72.8 | 62.1 | 12.13 | 18.9 |
| YOLOv5n | 72.0 | 79.5 | 61.7 | 2.50 | 7.1 |
| RT-DETR | 77.9 | 83.3 | 68.9 | 19.88 | 57.0 |
| Gold-YOLO | 74.9 | 79.7 | 64.8 | 6.01 | 11.9 |
| YOLOv9-c | 78.1 | 81.6 | 70.1 | 50.71 | 236.7 |
| YOLOv8n | 73.8 | 78.3 | 64.3 | 3.00 | 8.1 |
| Ours | 79.7 | 83.4 | 70.7 | 6.61 | 10.7 |
| Models | mAP0.5% | Precision% | Recall% | Params (M) | GFLOPs |
|---|---|---|---|---|---|
| YOLOv8n | 73.8 | 75.7 | 67.0 | 3.00 | 8.1 |
| Ours | 76.5 | 77.8 | 69.1 | 6.61 | 10.8 |
Disclaimer/Publisher’s Note: The statements, opinions and data contained in all publications are solely those of the individual author(s) and contributor(s) and not of MDPI and/or the editor(s). MDPI and/or the editor(s) disclaim responsibility for any injury to people or property resulting from any ideas, methods, instructions or products referred to in the content. |
© 2024 by the authors. Licensee MDPI, Basel, Switzerland. This article is an open access article distributed under the terms and conditions of the Creative Commons Attribution (CC BY) license (https://creativecommons.org/licenses/by/4.0/).
Share and Cite
Zhang, R.; Zhu, D.; Wu, C.; Xu, J.; Wu, C.H. Sensitive Information Detection Based on Deep Learning Models. Appl. Sci. 2024, 14, 7541. https://doi.org/10.3390/app14177541
Zhang R, Zhu D, Wu C, Xu J, Wu CH. Sensitive Information Detection Based on Deep Learning Models. Applied Sciences. 2024; 14(17):7541. https://doi.org/10.3390/app14177541
Chicago/Turabian StyleZhang, Ruotong, Dingju Zhu, Chao Wu, Jianyu Xu, and Chun Ho Wu. 2024. "Sensitive Information Detection Based on Deep Learning Models" Applied Sciences 14, no. 17: 7541. https://doi.org/10.3390/app14177541
APA StyleZhang, R., Zhu, D., Wu, C., Xu, J., & Wu, C. H. (2024). Sensitive Information Detection Based on Deep Learning Models. Applied Sciences, 14(17), 7541. https://doi.org/10.3390/app14177541

