Next Article in Journal
A Comprehensive Approach for an Interpretable Diabetic Macular Edema Grading System Based on ConvUNext
Previous Article in Journal
Analysing Near-Miss Incidents in Construction: A Systematic Literature Review
 
 
Font Type:
Arial Georgia Verdana
Font Size:
Aa Aa Aa
Line Spacing:
Column Width:
Background:
Review

Research Status and Prospects of High-Voltage Pulse Plasma Rock-Fracturing Technology

School of Engineering and Technology, China University of Geosciences (Beijing), Beijing 100083, China
*
Author to whom correspondence should be addressed.
Appl. Sci. 2024, 14(16), 7261; https://doi.org/10.3390/app14167261
Submission received: 28 March 2024 / Revised: 30 July 2024 / Accepted: 14 August 2024 / Published: 18 August 2024

Abstract

With the continuous development of the geological engineering field, high-voltage electric pulse plasma rock-fracturing technology has become a research hotspot in recent years. It is now widely recognized that this fracturing technology has many application prospects and great economic benefits. Through the research process of this technology, it has proven to be an efficient and new type of rock-fracturing technology, which overcomes the problems of high cost, low efficiency, high safety risk, and serious pollution associated with traditional rock-fracturing technology. Also, it has unique advantages in terms of protecting the environment and reducing damage to the surrounding buildings. This paper reviews the research history of plasma shock wave influencing factors and pulsed discharge plasma rock-fracturing technology, summarizes the research on this technology from the perspectives of the mechanism of high-voltage electric pulse plasma rock fracturing and practical application, and discusses the feasibility of this technology when applied to the field of tunnel boring as well as the future development direction. This technology can be better used in the tunnel-boring field, which can greatly improve the tunnel-boring efficiency, but at present, the research on plasma rock-fracturing-assisted tunnel boring is still in the laboratory research stage, which lacks systematic research equipment and judging indexes, and the follow-up should focus on improving the systematic research capabilities of the plasma rock-fracturing-assisted tunnel-boring equipment, and systematically and comprehensively carry out research on rock-fracturing by plasma-assisted excavation equipment.

1. Introduction

Rock fracturing is one of the most primitive activities in the transformation and utilization of natural resources by human beings, and it is also an extremely important technology in modern resource development, engineering construction and drilling exploration. The history of rock fracturing spans the stages of manual grinding, mechanical impact, thermal expansion and contraction, chemical blasting, and so on. Especially after the industrial revolution, high-power mechanical rock-fracturing equipment and high-energy-density, powerful explosives came into being, which greatly improved the efficiency of rock fracturing. However, the traditional mechanical rock-fracturing tools wear easily, possess poor adaptability to the surrounding rock, and chemical blasting has the problems of environmental pollution [1] and loud noise. Therefore, a new rock-fracturing technology with controllable energy, no pollution to the environment, high efficiency, and low cost is urgently needed.
Over the years, many experts and scholars have carried out a lot of research work focusing on new rock-fracturing technology [2], analyzing the in-depth research on the principles of rock fracturing and new rock-fracturing methods [3]; new rock-fracturing methods continue to appear, which mainly include microwave rock fracturing, high-pressure water jet-based rock fracturing, thermal rock fracturing, high-voltage pulse plasma rock fracturing [4,5], and so on. Compared with other rock-fracturing methods, the plasma fracturing method [6,7] has many advantages, such as controllable energy release, smaller flying stone generation, light equipment weight, and low cost, which make it useful in aviation propulsion, geotechnical excavation, concrete pile foundation reaming [8]. Oil and gas well plugging [9], medical lithotripsy [10], and material preparation [11,12] also have great application prospects.
The fracturing of hard rock bodies is often encountered in mining, tunneling, and other practical projects. At present, hydraulic fracturing, drilling and blasting, and CO2 phase-change fracturing are mainly used to fracture hard rock [13,14,15]. However, traditional fracturing technology has obvious limitations. Hydraulic fracturing suffers from large water consumption [16] and high labor intensity, resulting in slow construction progress, and is easily affected by the original crack [17]; drilling and blasting may react with underground flammable and explosive gasses, which has certain safety risks, and the approval procedures for explosives are complicated [18]. For CO2 phase-change fracturing vibration speed decay, the fracturing range is limited [19]. Plasma fracturing technology is a new type of rock-fracturing technology, and compared with hydraulic fracturing, its water consumption is small and it does not need excessive water pressure, so it is not easily affected by the original crack; compared with drilling and blasting, the technology can be in low-power slow energy storage mode, and can release energy rapidly in a very short period. The discharge process is carried out in the electric medium, and will not produce toxic gasses, rendering it safer and more economical; compared with CO2 phase change fracturing, this technology can quickly cycle fracturing many times, and the single release of large energy results in fracturing over a larger area, meaning a wider range of applications. With the above advantages, plasma fracturing technology has a broad application prospects in the field of rock fracturing [20,21].
Plasma rock-fracturing technology uses a high-voltage pulse discharge device to release high-density current instantaneously and generate a high-temperature, high-energy plasma discharge channel with the electric medium. The pressure in the channel rises sharply and expands outward at high speed, forming a shockwave to fracture the rock [22], realizing the conversion of electrical energy into mechanical energy and generating the electric blasting effect. It is mainly composed of three main parts: a pulse discharge device, an electrode structure, and an electric medium [23].
Regarding the different electric mediums between the energy conversion, the three main methods are vacuum medium discharge, gas medium discharge, and liquid medium discharge, with significant differences between them [24,25]. Compared with the vacuum or gas medium, the liquid medium in the electro-explosion is, on the one hand, more uniform, and has higher deposition energy [26], which facilitates the convenient study of the process of the phase transition of the metals and their physical properties; on the other hand, the incompressibility of a liquid medium (such as water) means small volume perturbations bring about large pressure changes, thus generating electro-explosive shockwaves in the liquid-phase medium with peak value high pressure and small attenuation characteristics, which constitutes an important technical means of generating strong shockwaves.
When the electric explosion technology of the liquid medium is used for rock-fracturing operation, the discharge methods can be divided into two categories: electrohydraulic effect-based rock fracturing and wire electro-explosion rock fracturing [27]. Figure 1 shows several main modes of action characteristic of rock fracturing when using plasma shock waves [28].
In Figure 1a, the discharge electrode is directly placed in the medium without contacting the rock, and shockwaves and water jets are released through the plasma discharge channel generated in the medium to damage the rock. In Figure 1b, the discharge electrode is also not in contact with the rock; the solid–molten–liquid–vapor–plasma phase transition occurs through the deposition of energy by the metal wires connected between the electrodes under the high-voltage pulsed discharge, and the shockwave is released to fracture the rock. In Figure 1c, the electrodes are in contact with the rock surface, and the discharge channel is at the junction of the rock and the medium, similar to the discharge along the surface to break the rock. In Figure 1d, the electrode is in close contact with the rock, the discharge channel is formed inside the rock when the electric field strength is strong enough, and the expansion generates stress to damage the rock.
In the initial industrial application of an electrohydraulic effect shockwave, the liquid wire electro-explosion is often generally categorized as an electrohydraulic effect, in the compilation of Mr. Xie Guangrun’s “Electric Water Hammer Effect” book [4], the wire electro-explosion is categorized as a “thermal explosion” method [4]. In other research involving wire electro-explosion in liquids, such as electrohydraulic molding, spark vibration source, etc., wire electro-explosion in liquids is often mentioned in conjunction with the electrohydraulic effect, or as a complement to the electrohydraulic technology [29,30]. Although the electrical wire explosion shockwave phenomenon is similar to the electrohydraulic effect, generally discussed together with the electrohydraulic effect, the two mechanisms are different. The liquid electric effect, in the traditional sense, generally refers to the electrode gap in the water electric breakdown. In contrast, the metal wire electro-explosion in liquid presets the metal wire in the gap between the two electrodes, which can provide the initial channel for the discharge current, help to reduce the energy loss, improve the reliability, stability, and consistency of the discharge shockwave, and improve the energy conversion efficiency of the shockwave, up to 24% [31].
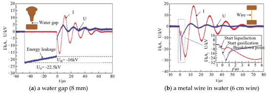
Figure 2 illustrates the comparison between the breakdown of a water gap (8 mm) and the electrical explosion load of a metal wire in water (6 cm wire), as well as the difference in the typical discharge waveform [32]. Both are powered by the same pulse power supply, but the main discharge occurred after the water gap went through a process of tens of microseconds of discharge channel initiation, formation, and development, as depicted in Figure 2a. The wire load does not go through this process; the discharge channel is formed in the metal wire and its explosive products, during which the metal wire undergoes a complex phase transition process, and the electrical conductivity also changes sharply, accordingly. It is a typical nonlinear resistive load, which is manifested as a more complex discharge waveform in Figure 2b. It is evident that breaking down the water gap or forming a discharge channel in water is not easy and consumes considerable energy. The development of the discharge channel is uncontrollable, making it difficult to form a long gap breakdown, whereas the wire can easily achieve a breakdown of several centimeters at a lower voltage (kV).
Therefore, in the application of electro-explosion to the rock-fracturing technology, the key is to improve the intensity of the shockwave generated in the process of electro-explosion. In summary, the use of a liquid-phase electric-medium wire electro-explosion produces a higher intensity shockwave, the energy conversion efficiency is greater, the breakdown voltage is lower, and low-cost and high-efficiency rock fracturing can be realized.

2. Research on Electro-Explosive Technology for Metal Wire

The electrical explosion of metal wire refers to the injection of a pulsed current with a certain range of parameters into the metal wire. Under the action of Joule heat, the metal wire will undergo a rapid phase transition, which will lead to the wire transitioning to a solid state, a liquid state, a gas state, and a plasma state, successively, and finally develop into a plasma channel, accompanied by physical phenomena such as light radiation and shockwave [25,33], as shown in Figure 3.
In 1774, in the process of studying series circuits, E. Nairne stumbled upon the phenomenon of an electrical explosion of a wire when driven by a battery [34,35]. In 1813, Singer and Crosse reported, at the Royal Society, on the driving force of an electrical explosion of a wire, and the resulting destructive effects [25].
Continuing into the 20th century, researchers have carried out more modern wire electro-explosion research; known as the father of the systematic study of the electrical wire explosion, A. Anderson used high-temperature spectroscopic diagnostic methods to confirm the phenomenon that an electrical wire explosion can produce high temperatures of more than 3000 °C, which aroused people’s interest in electrical wire explosion [25]. In 1960, Martin [36] carried out systematic experimental and theoretical research, adding tungsten wire with a diameter of 1 mm between the electrodes, and found that the addition of tungsten wire could make the discharge more stable, reduce energy leakage, and increase the intensity of shockwave. Since 1970, with the development of electro-explosive physical devices, especially the circuit breaker, the characteristics of the electro-explosive wire in the liquid have also been fully studied [37].
Many experts and scholars have also carried out more research on the electro-explosive process of metal wire. Han R.Y. et al. [33] reviewed the development of electro-explosive shockwave technology, and detailed the applications of the current electro-explosive shockwave technology and the bottlenecks that needed to be resolved. Finally, the development trend and roadmap of this technology are summarized and proposed, as shown in Figure 4.
The application of wire electro-explosion in plasma rock-fracturing technology has the advantages of safety, reliability, environmental friendliness, and practicality [6]. Meanwhile, this technology also has a wide range of applications in other scientific fields, such as underwater low-frequency and high-intensity sound sources, in vitro lithotripsy in medical science, oil-field decongestion, electrohydraulics for sand clearing, the preparation of nano-powder, pipeline descaling, etc. [29,38,39,40]. However, the research on the influencing factors of shockwaves and the electric medium has not yet been supported by systematic theory. Improving the efficiency of rock fracturing by increasing the intensity of shockwaves and research on rocks, etc., will bring more practical significance to the application of this technology in engineering applications and other scientific fields.

3. Study on the Factors Affecting the Pulsed Discharge Plasma Rock-Fracturing Technology

The key to the pulsed discharge plasma rock-fracturing technology is to control the interaction between the plasma shockwave and the rock, which involves first adjusting the discharge parameters to increase the energy of the shockwave to achieve greater rock fracturing. Secondly, it is necessary to study the in situ factors of the rock and the blasting process to achieve the same energy to produce a rock fracturing scope as large as possible. Through theory, simulation, and experiments, researchers have studied the influence of discharge wire parameters, circuit parameters, electric medium properties, and rock properties on the efficiency of this technology, but with less focus on the drilling parameters and hole arrangement of the blasting process. The research results are systematically summarized as follows.

3.1. Influence of Discharge Wire Parameters on the Effectiveness of Rock Fracturing

The discharge wire parameters are categorized as follows: wire resistance model, wire material, wire diameter, and wire length. Different wire parameters will result in a different deposition energy on the wire, and ultimately a different shockwave intensity.

3.1.1. Influence of Wire Resistance Model Selection on the Effectiveness of Rock Fracturing in Simulation Analysis

When the pulse current runs through the wire, the injected energy heats the wire, making the wire temperature rise rapidly and transition in an instant through the solid–molten–liquid–vapor–plasma process; according to the five stages of different conductivity, equivalent circuit diagrams can be made, as shown in Figure 5.
In Figure 6, C is the energy storage capacitance, Uc(t) is the initial voltage, i(t) is the total dry-circuit current, i1(t) is the current through the electric medium, i2(t) is the current through the metal wire, L and Re are the circuit inductance and the external circuit resistance, respectively, Rm is the resistance of the electric medium, and Ri(t) is the resistance of the metal wire in solid–molten–liquid–vapor–plasma.
List the loop equations as:
i ( t ) = C d U c ( t ) d t
i ( t ) = i 1 ( t ) + i 2 ( t )
U c ( t ) = R e × i ( t ) + L d i ( t ) d t + R i ( t ) × i 2 ( t )
R i ( t ) × i 2 ( t ) = R m × i 1 ( t )
In the discharge process, except for the metal wire resistance model, other influencing factors can correspond between the test and numerical simulation. Only the change in metal wire resistance has not been considered, so it is necessary to optimize some existing resistance models when conducting numerical simulations.
The solid–molten–liquid–vapor–plasma process of a metal wire presents a nonlinear resistance process, and the main models for the resistance change during the phase transition are the Boltzew analytical model [41], the dimensionless similar parameter model [42], the magnetohydrodynamics model (MHD) [43], and the Tucker model [44]. The Boltzew analytical model assumes that the energy injected into the wire is used exclusively for phase change and heating, and it does not take into account other energy conversion processes and does not apply to the wire vaporization and plasma discharge processes. Relevant scholars at the Israel Institute of Technology proposed a dimensionless similar parameter model, which takes into account the coexistence of plasma discharge channels and electric medium discharge channels when calculating the impedance of the loaded area, but the simulation results and experimental results have some discrepancies because of the oversimplification of the discharge process in water in this model. The MHD model is based on the Maxwell system of equations and the system of equations of fluid dynamics, and combined with the equation of state, which can more accurately describe the process before and after the breakdown of the wire. However, MHD has a cumbersome implementation process; the algorithm is computationally large and requires the assistance of optical systems and other issues, and there is no obvious advantage for the μs-scale wire explosion in water. Therefore, the Tucker model is more suitable than the action volume model for the description of the nonlinear change in resistance of the wire.
The Tucker model assumes that the heating process is adiabatic and ignores energy losses by conduction, radiation, convection, etc. The model introduces a specific action quantity:
g t = 0 t J 2 ( t ) d t = 1 A 0 0 t I 2 ( t ) d t
where J is the injected wire current density; A0 is the wire conducting area; I is the current through the wire, and t is the heating time.
For fixed-phase heating (solid heating and liquid heating), the resistivity ρ(t) can be expressed as:
ρ t = ρ 1 e g t g m ln ρ 2 ρ 1     0 g g m
where ρ1, ρ2 are the resistivities of the wire at the beginning and the end of the heating phase in the solid or liquid state; and gm is the amount of specific action corresponding to the beginning and the end of the heating phase in the stationary phase.
For the heating phase of the phase transition (melting or vaporization), the resistivity ρ(t) can be expressed as:
ρ t = ρ 1 1 ρ 2 2 ρ 1 2 ρ 2 2 g t g m 0.5     0 g g m
where ρ1, ρ2 are the resistivities of the wire at the beginning and the end of the phase-change heating stage; and gm is the amount of specific action corresponding to the beginning and the end of the phase-change heating stage.
For the plasma phase, the resistivity ρ(t) can be expressed as:
ρ t = ρ 2 1 + ρ 1 2 ρ 2 2 ρ 1 2 g t g m g m 0.5     0 g g m
where ρ1, ρ2 are the initial and terminational resistivities of the plasma generation phase; gm is the specific interaction corresponding to the onset to the end of the plasma generation phase.
The relevant parameters of three common metal wires are given in Table 1, where ρ1, ρ2 refers to units of μ Ω cm and gm refers to units of A 2 s m m 4 .

3.1.2. Influence of Wire Material on the Effectiveness of Rock Fracturing

Han R.Y. systematically compared the electro-explosive properties of 12 common metal wires in water, namely aluminum, titanium, iron, nickel, copper, niobium, molybdenum, silver, tantalum, tungsten, platinum, and gold, as well as three tungsten rhenium alloy wires, under the same energy storage conditions [45]. The 15 materials are categorized into non-refractory metals, refractory metals, and metals with melting points in between. With all other parameters equal, the non-refractory wires produce a stronger shockwave than the other two groups, because less energy is required for the complete vaporization of the non-refractory wires, and the excess energy is converted into other forms of energy, mainly shockwaves. Therefore, it is recommended to use a non-refractory metal wire to enhance the rock-fracturing effect.
Yan Z.L. simulated three kinds of metal wires by using the Tucker model [46], and the simulation results show that the electrical resistance of the wires rises sharply at the time of vaporization, and the resistance reaches the maximum at the end of vaporization; the resistance decreases at the time of plasma formation until the end of the discharge. The resistivity parameters and the maximum specific action quantity of the three metals are different at each stage, which leads to the variation in the time of phase change and the degree of resistance change in the three metals at each stage, and the intensity of the shockwave is proportional to the deposition energy before the end of vaporization; considering the cost of each metal, it is recommended to use Cu as the wire in plasma fracturing to increase the efficiency of rock fracturing.

3.1.3. Influence of Wire Diameter and Length on the Effectiveness of Rock Fracturing

Zhou Haibin investigated the influence of wire diameter and length on shockwave strength [47], as shown in Figure 6, and the following conclusions were obtained. When the diameter of the wire is small, the vaporization process develops very quickly, the energy deposited in the vaporization stage is very limited, and the channel breakdown and plasma expansion are the dominant processes generating the shockwave. As the diameter increases, the vaporization process is gradually enhanced, and a stronger vaporization shockwave can be generated, but the increase in the diameter leads to a sharp decrease in the load resistance value, which reduces the efficiency of the electric energy deposition, and also leads to the rapid increase in the mass of the wire; a large amount of energy is used in the resistive heating stage before vaporization, which greatly reduces the efficiency of electrical energy deposition. Thick wires are detrimental to the generation of shockwaves.
Under the same conditions, different lengths of metal wires lead to different discharge channel resistances, which in turn affect the discharge process and energy deposition characteristics. If the system energy storage is sufficient, the increase in the wire length within a certain range can lead to an increase in the deposition energy, a prolonged duration of the stages of vaporization and breakdown, and a decrease in the deposition energy per unit mass. When the wire length is increased within this range, the peak pressure of the shockwave gradually increases, but the trend of increasing with length gradually slows down.
Figure 6. Variation rule of shockwave pressure with wire diameter (a) and length (b) [47].
Figure 6. Variation rule of shockwave pressure with wire diameter (a) and length (b) [47].
Applsci 14 07261 g006
Therefore, in the process of using the plasma rock-fracturing technology, it is necessary to match the diameter and the length of the wire to achieve a better rock-fracturing effect.

3.2. Influence of Circuit Parameters on the Effectiveness of Rock Fracturing

The circuit parameters are divided into the following areas: charging voltage, storage capacitance, loop inductance, and resistance. Different circuit parameters result in different energy inputs to the wire, which ultimately results in the different intensities of the shockwaves generated.

3.2.1. Influence of Discharge Voltage and Charging Capacitance on the Effectiveness of Rock Fracturing

The relationship between the peak pressure of shockwaves and the discharge parameters was given by Lu X.P. [48]. When the length of the copper wire in the discharge gap is 5 mm, there is no relationship between the shockwave peak pressure and the capacitance, but the dependence increases significantly with the increase in the length of the copper wire between the electrodes. The peak shockwave pressure has an obvious dependence on the voltage and the length of the copper wire between the electrodes. Increasing the initial voltage and the distance between the electrodes are both favorable to the increase in peak shockwave pressure. However, when the copper wire is not used in the discharge gap, increasing the inter-electrode distance will lead to an increase in the randomness of the gap breakdown delay or even the failure of the breakdown. Therefore, in order to obtain a higher pressure value, the approach of increasing the initial voltage is used as much as possible under the set conditions.
Jiang H.W. conducted the discharge test by setting different charging voltages and recording the peak pressure [49]. It was concluded that the charging voltage has a linear effect on the shockwave peak pressure. This is because the charging voltage is directly related to the capacitor energy storage; the larger the charging voltage, the larger the capacitor energy storage, the larger the energy injected into the wire, and the larger the shockwave pressure generated. In practice, higher shockwave pressure can be achieved by increasing the charging voltage to achieve a better rock-fracturing effect [50].
The effects of capacitance and energy storage on the phase time, deposition energy, and shockwave of metal wires were investigated [51] by Liu B. et al. It was concluded that the capacitance and energy storage had almost no effect on the deposition energy of copper wire in the solid and liquid phase change process; the deposition energy of the wire vaporization process increased linearly with the increase in capacitance and energy storage.

3.2.2. Influence of Loop Inductance and Resistance on the Effectiveness of Rock Fracturing

Cai Z.X. et al. carried out a simulation analysis on the inductance and resistance of the loop [52]; the results show that the smaller the loop inductance, the faster the rate of rise of the internal pressure of the plasma channel, and the larger the peak value of the internal pressure of the channel, the faster the rate of growth of the channel radius. This is because the increase in loop inductance will reduce the rising rate of the discharge current, then affect the expansion rate of the channel, and finally affect the change law of the channel radius. At the same time, the increase in loop inductance will reduce the energy injected into the channel, and ultimately reduce the energy conversion efficiency and the shockwave intensity. The increase in the loop resistance will lead to a decrease in the peak pressure of the pulse shockwave and a decrease in the peak expansion velocity of the radius of the formed plasma channel. This is because the larger the loop resistance, the more electric energy the loop consumes, and the smaller the energy injected into the channel correspondingly; the energy of the corresponding shockwave will also decrease. To increase the deposition energy and rock-fracturing effect, the inductance and resistance of the loop can be reduced by increasing the capacitor and wrapping the transmission line.

3.3. Influence of Electric Medium Properties on the Effectiveness of Rock Fracturing

In the process of the metal electrical wire explosion discharge, after the metal wire between the electrodes completes phase transition gasification, it expands outward at high speed to release a shockwave. The density, temperature, conductivity, pressure, and other properties of a liquid medium such as water will have a certain influence on the phase transition process of the metal wire. At the same time, water and other liquid media will form bubbles, with the initial pressure greater than the external pressure under the action of pressure waves, acoustic pulses, high temperature, strong light, and other environments. Through the process of bubble expansion and contraction pulsation, it will also exert forces on the outside world and produce secondary shockwaves. Therefore, the fracturing efficiency of different dielectrics is also different.

3.3.1. Influence of General Physical Properties of Electric Mediums on the Effectiveness of Rock Fracturing

Zhou Q. et al. studied the effect of medium density on the electro-explosive deposition of energy. Through experiments and mathematical calculations [53], they analyzed the air and water media on the development of electro-explosive copper wire and the various processes of deposition of energy; it was concluded that the density of the medium is an important factor that affects the electro-explosive process of the copper wire-based deposition of energy. Whether copper wire is used in the water medium or the air medium has a significant difference on the electro-explosive process; the electro-explosive copper wire in the water has a higher deposition of energy in the process, especially significant after the start of vaporization.
Liu et al. studied the effect of water temperature on shockwaves [54]. For a 0.2 mm copper wire, the peak voltage of the discharge at 75 °C was significantly higher than the peak voltage of the discharge at 25 °C, the current was slightly lower, the peak resistance was higher, and more energy was deposited in the vaporization process, but the peak pressure of the generated shockwave was reduced. The authors opined that a higher temperature leads to an increase in the thermal conductivity of water, and more energy storage is transferred to the surrounding water medium during the discharge process.
Liu et al. also investigated the effect of the conductivity of the liquid-phase medium on the shockwave [54]. Comparing the peak current, peak voltage, and peak pressure of a test medium with a conductivity of 0.5 mS/cm and brine with a conductivity of 10 mS/cm at different copper wire diameters and different capacitances, it was found that high conductivity brine leads to a significant decrease in peak voltage, a slight increase in peak current, a decrease in deposition energy, and a decrease in the peak pressure of the resulting shockwave. The reason for this phenomenon is that, for the copper wire in the process of vaporization, resistance gradually increases, when the resistance reaches a certain value, the shunt effect of the highly conductive liquid-phase medium cannot be ignored; at this time, the current is not completely running through the metal wire. The stored energy will not be completely deposited on the wire, and the surrounding brine will also consume energy.
In terms of the influence of medium pressure on electric explosion, Han R.Y. used a pressurized water chamber to conduct an electric explosion experiment of copper wire in water, with static pressure ranging from 0.1 to 0.9 MPa [45]. The experiment found that the increase in hydrostatic pressure would increase the intensity of the shockwave to a certain extent. Rousskikh et al. [55] also discussed the influence of water pressure on the electrical explosion process of metal wires. Their research results pointed out that higher environmental pressure would inhibit the expansion process of metal wires and delay the breakdown time, so that more energy could be injected into the metal wires, thus generating a stronger shockwave.
Through the study of the general physical properties of the dielectric, it is found that the greater the dielectric density, the lower the temperature, the more appropriate the conductivity, the greater the medium pressure, the greater the shockwave intensity, and the stronger the crushing effect on the rock.

3.3.2. Influence of Energetic Dielectric Driven by Electrical Wire Explosion on Rock-Fracturing Effect

In the process of the electrical wire explosion, although the energy conversion rate can be as high as 24% [56], it is not desirable in practical applications to increase the pulse discharge energy storage and the mass of the wire load without limitation, due to the surrounding environment and the skin effect of the current [57]. In order to generate stronger and more controllable shockwaves, the use of electrical wire explosions to drive energetic material explosions is seen as a solution [58]. Existing studies have shown that electric explosive wire plasma has been used in detonating explosives and igniting propellants [59,60].
Li A. et al. proposed a shockwave adjustment method based on energetic material formulations and studied the controllable shockwave generated by different energetic material formulations through theory and experiments [61], and the results are shown in Figure 7. The results show that the peak pressure of the shockwave can be increased by increasing the mass of the energetic material. The pulse width of a shockwave can be effectively adjusted by adjusting the proportion of energetic materials with different explosion velocities. Reducing the particle size of energetic materials can significantly increase the peak pressure of a shockwave and increase its area impulse.
Shi H.T. et al. proposed an energy-containing material consisting of nitromethane, aluminum powder, and copper oxide powder, which is driven by a tungsten wire electro-explosion [62]. It is found that when 2.8 g of this energetic material is added, the amplitude and energy of the underwater wire electro-explosive shockwave are increased by 1.7 and 7.9 times. The Joule heat of the tungsten wire explosion complements the chemical reaction, which is the key to detonating the energetic material.
Yuan W. et al. carried out an experimental study of a copper wire electro-explosion in aluminum powder suspension [56]; the experimental results show that the addition of energy-containing aluminum powder is conducive to the formation of a plasma discharge channel in the late stage of the electro-explosion of metal wire. In the environment created by the suspension of aluminum powder, the existence of parallel circuits reduces the channel resistance; although the enhancement effect of aluminum powder suspension driven by electrical wire explosion on shockwave is reflected in the main shockwave, it is more manifested in the enhancement of a secondary shockwave. These studies have confirmed that the scheme of an electrical wire explosion driving energetic materials to enhance the shockwave is feasible, and the addition of energetic materials can further enhance the intensity of the shockwave of an electric explosion. This result has a certain promotion effect on the generation of controllable shockwave technology and is expected to be applied to the development of fossil energy, mine engineering, urban blasting, tunnel tunneling, and other fields.

3.4. Influence of Rock Properties on the Effectiveness of Rock Fracturing

When using plasma rock-fracturing technology to break rock, the working principle is as follows: the capacitor bank accumulates electric energy until the voltage reaches the preset voltage, and then in a few microseconds, through the metal wire between the electrodes, the electric energy is released to the electric medium inside the borehole, and the discharge produces an electrohydraulic effect, which turns the wire into a high-pressure, high-temperature plasma, which rapidly expands to form a shockwave, so that the pressure in the borehole is increased instantly, thereby breaking the rock [63]. Since the destructive behavior of rocks with different properties under the action of the plasma shockwave is different, the efficiency of rock fracturing will also be different. Therefore, for the rock itself and its in situ properties, the researchers carried out certain numerical simulations and experimental research.

3.4.1. Influence of Rock Physical Properties on the Effectiveness of Rock Fracturing

Zhang Z.C. carried out basic research on rock fracturing by pulse discharge with an amplitude voltage of 30~50 kV and a single energy of 10~20 J [28], which confirmed that the larger the rock porosity, the smaller the electrical breakdown field strength. Bai L.L. et al. also explored the effect of rock pores on rock fracturing by plasma pulse [64] and found that the electric field intensity at the junction between the pores and the rock matrix is the largest under the action of an electric pulse, and the electrical breakdown of rock will first occur at the edge of the pores. The more pores in the rock and the smaller the spacing, the greater the electric field strength. The larger the porosity of the rock, the easier it is to be broken.
Li B. carried out electro-fracturing experiments on rock samples with different hardnesses [65]. He found that after high-voltage electric pulse fracturing, the fissure development is more complex and abundant in a rock with a high hardness value. It is easier to produce coarser fissures in the rock with a small hardness value. The fissures in the soft rock are developed along the shortest path. The fissures in the hard rock are irregularly developed, and it is easier to form a complex fissure network, but the number of times that the hard rock needs to be fractured is more than that of the soft rock.
Sun S.M. et al. used a high-voltage pulse power supply and added electric explosive wires between the electrodes to carry out laboratory tests on three rock samples—concrete, granite, and basalt—which are often encountered in construction processes such as engineering excavation and building demolition [66], confirming that electric explosive plasma pulse rock-fracturing technology mainly generates cracks through rocks, and gradually expands and breaks without resulting in flying rocks. It is safer than explosives [67]. Zhang H. et al. [68] conducted fracturing experiments on shale, sandstone, and concrete by liquid phase discharge, revealing the forms of different kinds of rocks after fracturing.
Jiang H.W. further studied the fracturing effect of the rock’s elastic modulus and tensile strength [49]. It was found that (1) with the increase in the elastic modulus, the fractured radius of the rock increases. This is because when the elastic modulus is at a small order, the rock stiffness is low. Under the action of the electro-hydraulic shockwave, the rock near the explosion point is more easily broken, with short cracks mainly developing near the explosion point, so the fractured radius is small. With the increase in elastic modulus, the rock stiffness increases, the rock fracture degree near the explosion point decreases, it is easier to form large cracks, and the fracture radius increases. (2) With the increase in the tensile strength, the fractured radius decreases continuously, and the curve shows a linear trend, indicating that the tensile strength is the key factor affecting the fracturing effect. This is because under the action of the electro-hydraulic shockwave, when the tensile force inside the rock is greater than the tensile strength of the rock, cracks will occur inside the rock, as shown in Figure 8.
Lin B.Q. et al. injected a NaCl solution into the rock samples to improve the electrical conductivity of the samples, thereby expanding the rock-fracturing effect [69]. The results showed that, compared with the rock samples injected with distilled water, the rock samples soaked with the NaCl solution were more completely broken after the breakdown of the high-voltage electric pulse; more pores and cracks were formed on the surface, and the fracture network was more abundant. This is because, during the immersion of the rock in the NaCl solution, a large number of conductive ions, Na+ and Cl, enter the pore cracks inside the rock and are attached to the surface of the pore cracks. These conductive ions penetrating into the pore cracks can effectively improve the electrical conductivity of the rock, which is conducive to the realization of the high-voltage electrical pulse breakdown needed to crack the rock.
Peng J.Y. et al. conducted high-voltage electric pulse fracturing on rock samples of different sizes [70], and found that as the size of the sample increased, its rupture degree gradually deteriorated. This is because, with the increase in the size of the specimen, the intensity of the explosion wave continues to decay, and the strength of the stress wave reflected in the large-size specimen is not enough to continue to fracture the specimen, which indicates that the reflection effect of the free boundary should be fully utilized when the high-voltage pulse is used to break the rock.

3.4.2. Influence of the In Situ Mechanical Properties of Rocks on the Effectiveness of Rock Fracturing

In practical engineering applications, high-voltage pulse plasma rock-fracturing operations are affected by different stratigraphic factors. Currently, there are fewer studies on this aspect.
Guo J. et al. studied the fracturing effect of plasma pulses on hard rock under different peripheral rock stresses [71], as shown in Figure 9, and the results showed that the peripheral rock stress is an important factor in determining the development and extension characteristics of cracks in the rock body, with an especially significant effect on the extension direction of the cracks. In the fracturing process, the cracks will be deflected towards the direction of the maximum initial compressive stress, and the total length of the cracks will decrease gradually. When the angle between all cracks and the maximum initial compressive stress is less than 45°, the total length of cracks starts to increase gradually. At the same time, it is found that in the early stage of fracturing, the dynamic stress generated by the high-voltage electric pulse discharge is much larger than the surrounding rock stress, which plays a dominant role in the destruction of the specimen, and with the rapid attenuation of the dynamic stress in the process of propagation, the magnitude of the initial surrounding rock stress and the dynamic stress gradually reach similar values, and the initial surrounding rock stress eventually dominates the emergence and expansion of the cracks.
At present, there are few types of research on the influence of rock properties and the in situ mechanical properties on plasma rock fracturing, and the current research is not sufficient. Other aspects, such as the density, hardness, water content, and the other formation factors of the surrounding rock, can be further studied in the future.

4. Feasibility Analysis of Pulsed Discharge Plasma Rock-Fracturing Technology in Tunnel Boring

With the rapid development of national economy, a large amount of infrastructure construction has been generated in national transportation, water conservancy, coal mining and other industries, especially with the rise of roads and railways in China in the past 20 years, and a large amount of tunnel construction has occurred in mountain road tunnels and urban rail transit [72], as shown in Figure 10. At present, in tunnel engineering construction, most of the methods of drilling and blasting and mechanical excavation are used. Mechanical methods often use mechanical equipment for tunneling, mainly the shield/TBM (Tunnel-Boring Machine) method [73]. Due to the high cost of mechanical equipment-related purchasing and transportation, assembly, parts consumption, etc., and the need to design mechanical equipment according to the specific tunnel project, the designing and manufacturing of mechanical equipment takes a long time and costs are high, resulting in a high initial investment, so the shield tunneling method and TBM method are not suitable for mountain short-tunnel projects. Because of the existing problems and objective requirements of mechanical construction, the drilling and blasting method has the advantages of simple construction, wide application range, strong geological adaptability, and low excavation cost, so the drilling and blasting method is still the mainstream construction method in mountain tunnel engineering.
In the excavation process for the drilling and blasting method, the energy of fractured rock mainly comes from the stress wave released within a short time after the explosion [74], However, harmful gasses may be released during the use of explosives [1], the control of explosives by the state is very strict, and the preservation of explosives in the project also has certain security risks. Pulsed discharge plasma rock-fracturing technology has the advantages of controllable energy release, small flying stone production, light equipment weight, and low cost, and has been rated as one of the most promising non-explosive rock-breaking methods by many foreign institutions, such as the National Science Foundation of the United States.
According to the above summary, at present, there is a relatively solid theoretical research basis for plasma rock-fracturing technology. The influencing factors of this technology applied in the rock-fracturing process of tunnel excavation have been analyzed to a certain extent, and a qualitative analysis has been carried out on how to achieve greater shockwaves. Therefore, it is feasible to apply this technology in the field of tunnel excavation engineering.

5. Conclusions

Pulsed discharge plasma rock fracturing is a new and efficient rock-fracturing technology, which is expected to solve the problems of high wear and tear of mechanical equipment, high cost, and serious pollution during the traditional rock-fracturing process, with a wide range of prospects for application in many fields, such as tunnel boring, infrastructure construction, rocky foundation construction, building demolition, etc. Combined with the research results of this technology in recent years, this paper first introduces the key to this technology, which is to enhance the intensity of shockwaves generated in the process of electric explosion; secondly, it systematically summarizes the main factors affecting the rock fracturing; and finally, it discusses the popularization and application of this technology in the field of tunnel boring.
(1)
Pulsed discharge plasma rock fracturing is a process of multi-physical field coupling, which brings together many disciplines such as acoustic, optical, thermal, electric, force, etc. Moreover, this technology has a low cost and high safety, it does not pollute the environment, and it has high efficiency, which can greatly improve the effectiveness of rock fracturing.
(2)
At present, the main research means for pulsed discharge plasma rock fracturing are laboratory experiments and simulations. Experimental methods can visually reflect the interaction process between the plasma and the rock. It can provide effective validation for the simulation. The simulation method can save time and reduce the cost of consumption, and the combination of the two can better reveal the mechanism of rock fracturing and determine the relationship between rock-fracturing efficiency and rock-fracturing energy consumption.
(3)
The factors affecting the efficiency of pulsed discharge plasma rock-fracturing technology are mainly discharge wire parameters, circuit parameters, electric medium properties, rock properties, the blasting process, etc. At present, the first two types of research are more promising, focusing mainly by improving the intensity of the shockwave generated in the discharge process to obtain a higher efficiency of rock fracturing.

6. Prospect

(1)
At present, there are fewer studies on the effects of the different electric medium properties and in situ properties of rock on the efficiency of rock fracturing, but the study of these two factors is a must for the technology to achieve engineering applications, and the study of these two aspects should be focused on in the subsequent research.
(2)
At present, there are more studies on increasing the intensity of shockwaves in the process of an electric explosion, but few studies on how to apply the generated shockwave on the corresponding broken rock. The next step should be to further the research on the rock-fracturing process, which can be compared with the explosive blasting process, to realize the engineering application of the new technology as soon as possible.
(3)
At this stage, the application of this technology in engineering is still in the initial stage, there is still a long way to go to realize engineering application, and the follow-up should focus on improving the systematic research of plasma rock-fracturing-assisted excavation equipment to break the rock, and systematically and comprehensively carry out the research.

Author Contributions

Conceptualization, Y.Z. and J.W.; methodology, Y.Z.; investigation, Y.Z.; writing—original draft preparation, Y.Z., J.L., H.L. and S.F.; writing—review and editing, Q.X. and J.W.; visualization, Y.Z. All authors have read and agreed to the published version of the manuscript.

Funding

This article was funded by the following projects. Research and Demonstration of intelligent equipment for Green low-carbon plasma rock Breaking Construction—Beijing Science and Technology Commission Plan Project (Project No.: 68922022001), 2022–2025.

Institutional Review Board Statement

This article does not address ethical approval.

Informed Consent Statement

This article does not cover techniques used on humans.

Data Availability Statement

This article is a review and does not involve generating new data.

Conflicts of Interest

The authors declare no conflict of interest.

References

  1. Xiong, J.; Lu, W. View of Research on Evaluation and Control of Nitrogen Pollution in Engineering Blasting. Blasting 2019, 36, 23. [Google Scholar]
  2. Zhang, J.C. New progress of drilling technology. Prospect. Eng. (Geotech. Drill. Eng.) 2007, 34, 11–18. [Google Scholar]
  3. Bao, T.; Huang, N. Research and development prospect of rock fracturing technology. Anhui Constr. 2010, 17, 110–116. [Google Scholar]
  4. Xie, G. Electric Water Hammer Effect; Shanghai Science and Technology Press: Shanghai, China, 1962. [Google Scholar]
  5. Yutkin. Liquid Electric Effect; Yu, J., Translator; Science Press: Beijing, China, 1962. [Google Scholar]
  6. Huang, G. Research on High Voltage Pulsed Discharge Rock Fracturing. Master’s Thesis, Huazhong University of Science and Technology, Wuhan, China, 2013. [Google Scholar]
  7. Yan, T.; Li, W.; Bi, X. A new method for evaluating rock fracturing efficiency based on fracturing ratio function. J. Pet. 2009, 291–294. [Google Scholar]
  8. Wang, M.-S.; Bo, K. Research on the effect of high voltage pulse discharge technology on pile diameter. Prospect. Eng. (Geotech. Drill. Excav. Eng.) 2017, 44, 68–71. [Google Scholar]
  9. Huang, L.; Liu, B.; Li, L. Experimental Study on Performance Evaluation of Controlled Plasma Pulse Plugging Removal Technology. Machines 2023, 11, 945. [Google Scholar] [CrossRef]
  10. Xu, Y.; He, F.; Li, B.; Li, W.; Wang, B.; Zhou, X. Directed microbursting of gallstones by plasma shock wave. Physics 1988, 115–116. [Google Scholar]
  11. Cho, C.; Choi, Y.W.; Kang, C. Effects of the medium on synthesis of nanopowders by wire explosion process. Appl. Phys. Lett. 2007, 91, 141501. [Google Scholar] [CrossRef]
  12. Gao, X.; Huang, K.; Tan, Z. Formation of nanodiamond by pulsed discharge of carbon fiber wires. Appl. Phys. Lett. 2020, 117, 081902. [Google Scholar] [CrossRef]
  13. Guo, D.; Shang, D.; Lu, P. Experimental study on the weakening of hard top plate by deep hole energy blasting. J. Coal Sci. 2013, 38, 1149–1153. [Google Scholar]
  14. Zhao, S. Comparative analysis of the applicability of deep-hole roof pre-cracking blasting and directional hydraulic fracturing to prevent washout. J. Min. Saf. Eng. 2021, 38, 706–719. [Google Scholar]
  15. Wang, F.; Tu, S.; Yang, Y. Deep-hole pre-split blasting mechanism and its application for controlled roof caving in shallow depth seams. Int. J. Rock Mech. Min. Sci. 2013, 64, 112–121. [Google Scholar] [CrossRef]
  16. Bi, H.; Deng, Z.; Li, S. Application of deep hole blasting in roof control of small coal pillar roadway. Coal Sci. Technol. 2022, 50, 85–91. [Google Scholar]
  17. Fu, G.; Sun, H.H.; Fan, A.L. Experimental study of fracturing by high-voltage electric pulse in shale gas extraction. Intense Laser Part. Beam 2016, 28, 192–196. [Google Scholar]
  18. Huang, B.; Zhao, X.; Chen, S. Theory and complete set of technologies for hydraulic fracturing control in hard top slabs. J. Rock Mech. Eng. 2017, 36, 2954–2970. [Google Scholar]
  19. Zhang, D.; Bai, X.; Yin, G. Mechanical mechanism of rock fracturing and fissure extension by liquid CO2 phase change shot hole in low permeability coal seam. J. Coal 2018, 43, 3154–3168. [Google Scholar]
  20. Li, Y.; Sun, Y.; Liu, Y. Research status and prospect of liquid electric effect and electric spark vibration source. High Volt. Technol. 2021, 47, 753–765. [Google Scholar]
  21. Qin, Y.; Gao, P.; Yuan, S. A novel technology of high-voltage pulse discharge for comminution of galena ore. Trans. Nonferrous Met. Soc. China 2021, 31, 2479–2492. [Google Scholar] [CrossRef]
  22. Qu, J. Research on Rock Fracturing Effect of High Voltage Pulsed Plasma. Master’s Thesis, China University of Geosciences, Beijing, China, 2018. [Google Scholar]
  23. Liu, X. High Power Pulse Technology; National Defense Industry Press: Beijing, China, 2005. [Google Scholar]
  24. Chace, W.G.; Moore, H.K. Exploding Wires; Plenum Press: New York, NY, USA, 1959. [Google Scholar]
  25. Zhang, Y.; Yao, W.; Qiu, A. Review of wire electrical explosion phenomena. High Volt. Eng. 2019, 45, 2668–2680. [Google Scholar]
  26. Grinenko, A.; Efimov, S.; Fedotov, A. Addressing the problem of plasma shell formation around an exploding wire in water. Phys. Plasmas 2006, 13, 052703. [Google Scholar] [CrossRef]
  27. Qin, S. Study on the Pulse Discharge Phenomenon of Gas-Liquid Two-Phase Body with Drained Line-Wire Electrode. Master’s Thesis, Huazhong University of Science and Technology, Wuhan, China, 2007. [Google Scholar]
  28. Zhang, Z. Development of High-Voltage Pulse Discharge Rock Fracturing and Drilling Equipment. Ph.D. Thesis, Zhejiang University, Hangzhou, China, 2013. [Google Scholar]
  29. Qin, Z.; Zuo, G.; Wang, Y. High Voltage Strong Pulsed Discharge and Applications; Beijing University of Technology Press: Beijing, China, 2000. [Google Scholar]
  30. Li, C. High Energy Rate Forming; National Defense Industry Press: Beijing, China, 2001. [Google Scholar]
  31. Efimov, S.; Gurovich, V.T.; Bazalitski, G. Addressing the efficiency of the energy transfer to the water flow by underwater electrical wire explosion. J. Appl. Phys. 2009, 106, 073308. [Google Scholar] [CrossRef]
  32. Zhou, H.B.; Zhang, Y.M.; Li, H.L. Generation of electrohydraulic shock waves by Plasma-Ignited energetic materials: III. shock wave characteristics with three discharge loads. IEEE Trans. Plasma Sci. 2015, 43, 4017–4023. [Google Scholar] [CrossRef]
  33. Han, R.; Li, L. Current status and prospects of research on wire electroexplosion in liquids. High Volt. Technol. 2021, 47, 766–777. [Google Scholar]
  34. Chace, W.G. A brief survey of exploding wire research. In Exploding Wires; Chace, W.G., Moore, H.K., Eds.; Plenum Press: New York, NY, USA, 1959. [Google Scholar]
  35. Nairne, E. Wire explosion by a Fe material. Philos. Trans. R. Soc. 1774, 64, 79–89. [Google Scholar]
  36. Martin, E.A. Experimental Investigation of a High Energy Density, High Voltage Arc Plasma. Appl. Phys. 1960, 31, 255–267. [Google Scholar] [CrossRef]
  37. Guenther, A.H.; Kristiansen, M.; Martin, T. Opening Switches; Plenum Press: New York, NY, USA, 1987. [Google Scholar]
  38. Zhang, Y.-Z.; Zheng, J.-T.; Chen, H.-G. Theoretical study of high-voltage pulse discharge water treatment technology. High Volt. Technol. 2007, 2, 136–140. [Google Scholar]
  39. Ouyang, Z.; Qi, Q.; Zhang, Y.; Wei, X.; Zhao, S. Mechanism and test of hydraulic fracturing to prevent impact ground pressure. J. Coal 2011, S2, 321–325. [Google Scholar]
  40. Weise, T.H.G.G.; Hofmann, J.; Loffler, M.J. Fracturing of composite materials by electrothermally generated pressure pulses. In Proceedings of the 10th IEEE Pulsed Power Conference, Albuquerque, NM, USA, 3–6 July 1995; pp. 1194–1199. [Google Scholar]
  41. Li, Y. Study on the Mechanism and Characterization of Electroexplosion of Metal Wires; China Academy of Engineering Physics: Beijing, China, 2002. [Google Scholar]
  42. Gurovich, V.; Grinenko, A.; Krasik, Y. Simplified model of underwater electrical discharge. Phys. Rev. E 2004, 69, 036402. [Google Scholar] [CrossRef]
  43. Grinenko, A.; Sayapin, A.; Gurovich, V.T. Underwater electrical explosion of a Cu wire. J. Appl. Phys. 2005, 97, 23303. [Google Scholar] [CrossRef]
  44. Tucker, T.J.; Toth, R.P. EBW1: A Computer Code for the Prediction of the Behavior of Electrical Circuits Containing Exploding Wire Elements; Sandia National Laboratories: Albuquerque, NM, USA, 1975. [Google Scholar]
  45. Han, R. Experimental Study of Electroexplosive Process and Characteristics of Metal Wire in Water under Microsecond Current Pulse. Master’s Thesis, Xi’an Jiaotong University, Xi’an, China, 2018. [Google Scholar]
  46. Yan, Z. Research on the Influencing Factors of Shock Wave in Liquid Electric Effect. Master’s Thesis, China University of Geosciences, Beijing, China, 2020. [Google Scholar]
  47. Zhou, H.B. Research on the Generation Mechanism and Energy Conversion Characteristics of Microsecond Electric Explosion Shock Wave of Copper Wire in Water. Ph.D. Thesis, Xi’an Jiaotong University, Xi’an, China, 2017. [Google Scholar]
  48. Lu, X.; Pan, Y.; Zhang, H. Study of electrical and acoustic radiation characteristics of pulsed discharges in water. J. Phys. 2002, 51, 1549. [Google Scholar]
  49. Jiang, H.A. Numerical Simulation Study of Fracturing and Seepage Enhancement by Liquid Electric Shock Wave. Master’s Thesis, China University of Geosciences, Beijing, China, 2021. [Google Scholar]
  50. Zhou, P.; Du, X.; Cao, Y.; Yu, J.; Jiang, H.; Xue, Q. Experimental study on the technology of increasing seepage and unblocking by electroburst shock wave. Oil Drill. Technol. 2020, 48, 98–103. [Google Scholar]
  51. Liu, B.; Wang, G.; Guo, Y.; Wang, T. Electro-explosive characteristics of copper wire and its shock wave behavior under water environment. High Volt. Technol. 2018, 44, 4038–4044. [Google Scholar]
  52. Cai, Z. Research on Rock Fracturing Mechanism and Rock Fracturing Law of Liquid Phase Discharge Plasma. Ph.D. Thesis, China University of Petroleum, Beijing, China, 2022. [Google Scholar]
  53. Zhou, Q.; Zhang, Q.; Zhang, J. Effect of medium on the energy of electroexplosive deposition of copper wires. High Volt. Technol. 2011, 37, 369–374. [Google Scholar]
  54. Liu, B.; Wang, D.; Guo, Y. Effect of circuit parameters and environment on shock waves generated by underwater electrical wire explosion. IEEE Trans. Plasma Sci. 2017, 45, 2519–2526. [Google Scholar] [CrossRef]
  55. Rousskikh, A.G.; Oreshkin, V.I.; Labetsky, A.Y. Electrical explosion of conductors in the high-pressure zone of a convergent shock wave. Tech. Phys. 2007, 52, 571–576. [Google Scholar] [CrossRef]
  56. Yuan, W.; Han, R.; Li, C. Shock wave enhancement effect of metal wire burst in water igniting aluminum powder suspension. Intense Laser Part. Beam 2022, 34, 122–127. [Google Scholar]
  57. Grinenko, A.; Efimov, S.; Fedotov, A. Efficiency of the shock wave generation caused by underwater electrical wire explosion. J. Appl. Phys. 2006, 100, 113509. [Google Scholar] [CrossRef]
  58. Han, R.; Zhou, H.; Liu, Q. Generation of electrohydraulic shock waves by plasma ignited energetic materials: I. Fundamental mechanisms and processes. IEEE Trans. Plasma Sci. 2015, 43, 3999–4008. [Google Scholar] [CrossRef]
  59. Jin, Y. Research on Radiation Ignition and Combustion Characteristics of Solid Gunpowder by Electrothermal Plasma. Ph.D. Thesis, Nanjing University of Science and Technology, Nanjing, China, 2014. [Google Scholar]
  60. Li, H.-Y.; Curi, B.-M.; Li, H.-Z. Experimental study on plasma-enhanced artillery firing performance. J. Missiles Guid. 2007, 297–299, 312. [Google Scholar]
  61. Li, A. A method of shock waveform adjustment based on energy-containing material formulation. Drill. Process 2020, 43, 57–60. [Google Scholar]
  62. Shi, H.; Hu, Y.; Li, T. Detonation of a nitromethane-based energetic mixture driven by electrical wire explosion. J. Phys. D Appl. Phys. 2022, 55, 05LT01. [Google Scholar] [CrossRef]
  63. Hamelin, M.; Kitzinger, F.; Pronko, S.; Schofield, G. Hard rock fracturing with pulsed power. In Proceedings of the 9th IEEE International Conference on Pulsed Power, Albuquerque, NM, USA, 21–23 June 1993; pp. 11–14. [Google Scholar]
  64. Bai, L.; Li, Z.; Wang, Y. Influence law of rock pore properties on electric pulse rock fracturing. Spec. Oil Gas Reserv. 2021, 28, 148–153. [Google Scholar]
  65. Li, B. Experimental Study on the Mechanism of Pressure Cracking of Coal Body by High Voltage Electric Pulse Wave. Ph.D. Thesis, Anhui University of Technology, Ma’anshan, China, 2022. [Google Scholar]
  66. Sun, X.; Ma, R.; Lu, J. Experimental study of high- voltage pulsed plasma rock fracturing. J. Undergr. Space Eng. 2020, 16, 1657–1664. [Google Scholar]
  67. Zheng, M.; Xia, Y. Analysis of the impact of blasting vibration on the lining safety of existing high-speed railway tunnels. J. Undergr. Space Eng. 2018, 14, 813–818. [Google Scholar]
  68. Zhang, H.; Cai, Z.; Chen, A. Liquid-phase discharge plasma rock fracturing indoor experiments and rock-fracturing mechanism. J. Pet. 2020, 41, 615–628. [Google Scholar]
  69. Lin, B.; Wang, Y.; Yan, F. Experimental study on the effect of NaCl solution on the pore structure of coal body fractured by electric pulse. J. Coal 2018, 43, 1328–1334. [Google Scholar]
  70. Peng, J.; Wang, H.; Wu, S. Experimental study on the fracture behavior of red sandstone subjected to high-voltage electric pulse breakdown. Met. Min. 2022, 71–76. [Google Scholar]
  71. Guo, J.; Mi, X.; Feng, G.; Bai, J.; Wen, X.; Zhu, L.; Zhang, W.; Huang, W. Characteristics and mechanism of rock fracturing by high-voltage electric pulse based on liquid electric effect. J. Coal Sci. 2024, 49, 2270–2282. [Google Scholar]
  72. Zhang, H.D. Research on the Construction of Hard Surrounding Rock Tunnels by TBM and Drilling and Blasting Method. Master’s Thesis, Shijiazhuang Railway University, Shijiazhuang, China, 2017. [Google Scholar]
  73. Geng, W. Research on Intelligent Design Method and System of Blasting Program for Tunnel Drilling and Blasting Excavation. Master’s Thesis, Shandong University, Jinan, China, 2021. [Google Scholar]
  74. Lou, Q. Characterization of Dynamic Response of Large Section Tunnel under Blasting. Master’s Thesis, Guizhou University, Guiyang, China, 2022. [Google Scholar]
Figure 1. Main modes of electro-explosive rock fracturing [28].
Figure 1. Main modes of electro-explosive rock fracturing [28].
Applsci 14 07261 g001
Figure 2. Comparison of the structure and typical discharge waveforms for water gap and wire load in water [32].
Figure 2. Comparison of the structure and typical discharge waveforms for water gap and wire load in water [32].
Applsci 14 07261 g002
Figure 3. Physical process of shockwave generated by electro-explosion of metal wire [25].
Figure 3. Physical process of shockwave generated by electro-explosion of metal wire [25].
Applsci 14 07261 g003
Figure 4. Roadmap for the development of wire electro-explosive technology in liquids [33].
Figure 4. Roadmap for the development of wire electro-explosive technology in liquids [33].
Applsci 14 07261 g004
Figure 5. Equivalent circuit diagram of wire electro-explosion.
Figure 5. Equivalent circuit diagram of wire electro-explosion.
Applsci 14 07261 g005
Figure 7. (a) Shockwave forms for different charges, (b) different burst velocities of energy-containing materials, and (c) different grain sizes of energy-containing mixtures [61].
Figure 7. (a) Shockwave forms for different charges, (b) different burst velocities of energy-containing materials, and (c) different grain sizes of energy-containing mixtures [61].
Applsci 14 07261 g007
Figure 8. Crack distribution for different moduli of elasticity and tensile strength [49].
Figure 8. Crack distribution for different moduli of elasticity and tensile strength [49].
Applsci 14 07261 g008
Figure 9. Crack distribution on the upper surface of the specimen under different ground stresses [71].
Figure 9. Crack distribution on the upper surface of the specimen under different ground stresses [71].
Applsci 14 07261 g009
Figure 10. 2010~2021 China’s road tunnel quantity and length statistics chart.
Figure 10. 2010~2021 China’s road tunnel quantity and length statistics chart.
Applsci 14 07261 g010
Table 1. Parameters related to several common metal wires.
Table 1. Parameters related to several common metal wires.
MaterialSolid-State Heating StageMelting StageLiquid Heating Stage
ρ1ρ2gmρ1ρ2gmρ1ρ2gm
copper1.779.980,4929.918.91373618.926.329,780
aluminum2.8211.224,23811.223.1679723.141.516,616
silver1.598.661,6828.615.910,08915.927.318,391
MaterialGasification stageBreakdown generation plasma stage
ρ1ρ2gmρ1ρ2gm
copper26.362048,9926203575,200
aluminum41.539317,2153936025,000
silver27.3837.731,000837.739.923,100
Disclaimer/Publisher’s Note: The statements, opinions and data contained in all publications are solely those of the individual author(s) and contributor(s) and not of MDPI and/or the editor(s). MDPI and/or the editor(s) disclaim responsibility for any injury to people or property resulting from any ideas, methods, instructions or products referred to in the content.

Share and Cite

MDPI and ACS Style

Zhang, Y.; Wang, J.; Xue, Q.; Liu, J.; Li, H.; Fang, S. Research Status and Prospects of High-Voltage Pulse Plasma Rock-Fracturing Technology. Appl. Sci. 2024, 14, 7261. https://doi.org/10.3390/app14167261

AMA Style

Zhang Y, Wang J, Xue Q, Liu J, Li H, Fang S. Research Status and Prospects of High-Voltage Pulse Plasma Rock-Fracturing Technology. Applied Sciences. 2024; 14(16):7261. https://doi.org/10.3390/app14167261

Chicago/Turabian Style

Zhang, Yuanyuan, Jin Wang, Qilong Xue, Jiawei Liu, Hufeng Li, and Song Fang. 2024. "Research Status and Prospects of High-Voltage Pulse Plasma Rock-Fracturing Technology" Applied Sciences 14, no. 16: 7261. https://doi.org/10.3390/app14167261

APA Style

Zhang, Y., Wang, J., Xue, Q., Liu, J., Li, H., & Fang, S. (2024). Research Status and Prospects of High-Voltage Pulse Plasma Rock-Fracturing Technology. Applied Sciences, 14(16), 7261. https://doi.org/10.3390/app14167261

Note that from the first issue of 2016, this journal uses article numbers instead of page numbers. See further details here.

Article Metrics

Back to TopTop